|
(21), (22) Заявка: 2003103605/04, 11.08.2000
(24) Дата начала отсчета срока действия патента:
11.08.2000
(43) Дата публикации заявки: 10.08.2004
(45) Опубликовано: 10.08.2005
(56) Список документов, цитированных в отчете о поиске:
JP 01-093574, 12.04.1989. JP 01-301664, 16.02.1988. JP 08-245517, 24.09.1996. RU 2150835 С1, 20.06.2000.
(85) Дата перевода заявки PCT на национальную фазу:
06.02.2003
(86) Заявка PCT:
JP 00/05401 (11.08.2000)
(87) Публикация PCT:
WO 01/12580 (22.02.2001)
Адрес для переписки:
129010, Москва, ул. Б.Спасская, 25, стр.3, ООО “Юридическая фирма Городисский и Партнеры”, пат.пов. Е.Е.Назиной
|
(72) Автор(ы):
СУНАГАВА Казухико (JP), ХОСИ Хадзиме (JP), МИЗУСАВА Сигеру (JP), КУСАНО Нобуюки (JP), КУМАЗАВА Сатору (JP)
(73) Патентообладатель(и):
КУРЕХА КАГАКУ КОГИО КАБУСИКИ КАЙСЯ (JP)
|
(54) СПОСОБ ПОЛУЧЕНИЯ 5-[(4-ХЛОРФЕНИЛ)МЕТИЛ]-2,2-ДИМЕТИЛЦИКЛОПЕНТАНОНА
(57) Реферат:
Изобретение относится к усовершенствованному способу получения 5-[(4-хлорфенил)метил]-2,2-диметилциклопентанона и включает: взаимодействие метилового эфира 1-[(4-хлорфенил)метил]-3-метил-2-оксоциклопентанкарбоновой кислоты или этилового эфира 1-[(4-хлорфенил)метил]-3-метил-2-оксоциклопентанкарбоновой кислоты с гидридом натрия и метилгалогенидом, причем количество гидрида натрия составляет 1,0-1,3 моля на один моль соответствующего эфира, а количество используемого метилгалогенида составляет 1,0-1,3 моля на один моль исходного эфира, гидролиз полученного метилового эфира 1-[(4-хлорфенил)метил]-3,3-диметил-2-оксоциклопентанкарбоновой кислоты или этилового эфира 1-[(4-хлорфенил)метил]-3,3-диметил-2-оксоциклопентанкарбоновой кислоты. Соединение, получаемое этим способом, используют для получения сельскохозяйственного или садового фунгицида, метконазола. 5 н. и 3 з.п. ф-лы.
ОБЛАСТЬ ТЕХНИКИ
Настоящее изобретение относится к способу получения 5-[(4-хлорфенил)метил]-2,2-диметилциклопентанона, который является важным промежуточным продуктом в получении метконазола, являющегося сельскохозяйственным или садовым фунгицидом.
ПРЕДПОСЫЛКИ ИЗОБРЕТЕНИЯ
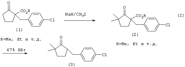
В выложенных заявках на патент Японии (KOKAI) №1-93574 и 1-301664 описывается 5-[(4-хлорфенил)метил]-2,2-диметилциклопентанон, и из него получают 5-[(4-хлорфенил)метил]-2,2-диметил-1-(1Н-1,2,4-триазол-1-илметил)циклопентанол (метконазол), превращая его карбонильную группу в эпоксигруппу и затем вводя в эпоксилированный продукт азолильную группу. В выложенной заявке на патент Японии (KOKAI) №1-93574 в качестве способа получения 5-[(4-хлорфенил)метил]-2,2-диметилциклопентанона описывается метод, представленный следующей далее схемой реакции (I)

Однако в схеме реакции (I) выход соединения (2) в ходе реакции превращения соединения (1) в соединение (2) составляет 81%, выход соединения (3) в ходе реакции превращения соединения (2) в соединение (3) составляет 86% и, следовательно, общий выход соединения (3) в реакции превращения соединения (1) в соединение (3) равен только 70%.
Кроме того, в выложенной заявке на патент Японии (KOKAI) №8-245517 описывается метод взаимодействия метилового эфира 1-[(4-хлорфенил)метил]-3-метил-2-оксоциклопентанкарбоновой кислоты с гидроксидом натрия и метилбромидом в присутствии молекулярных сит с целью получения 5-[(4-хлорфенил)метил]-2,2-диметилциклопентанона, как представлено следующей далее схемой реакции II):

Однако в схеме реакции (II) выход соединения по реакции превращения соединения (4) в соединение (2) также составляет только 71%.
В схеме реакции (II), где R представляет изопропил, описывается, что выход увеличивается до 90%. Однако поскольку полученный продукт (2) [R=изопропил] имеет высокую устойчивость к гидролизу в последующей стадии, соединение (2) не подходит в качестве исходного вещества для 5-[(4-хлорфенил)метил]-2,2-диметилциклопентанона.
Далее в выложенной заявке на патент Японии (KOKAI) №1-93574 описывается способ получения вышеуказанного соединения (4) из схемы реакции (II) в соответствии со следующей далее схемой реакции (III). Однако описания выхода соединения (4) не дается.

В качестве способа получения соединения (5) также известен способ, представленный следующей далее схемой реакции (IV), как описывается в “Precision Organic Synthesis” (опубликовано Nanko-Do Co., Ltd.). Однако любым из данных способов не удается достигнуть высокого выхода желаемого продукта.
Таким образом, способ получения 5-[(4-хлорфенил)метил]-2,2-диметилциклопентанона из диметиладипата или диэтиладипата, который легко реализуем в промышленности и обеспечивает высокий выход, не известен. Поэтому требуется разработать способ эффективного получения вышеуказанного соединения.
ОПИСАНИЕ ИЗОБРЕТЕНИЯ
В вышеуказанных условиях было осуществлено настоящее изобретение. Цель настоящего изобретения заключается в предложении простого способа получения 5-[(4-хлорфенил)метил]-2,2-диметилциклопентанона с высоким выходом и высокого качества, который является важным промежуточным продуктом при получении метконазола, являющегося сельскохозяйственным или садовым фунгицидом.
В результате более ранних исследований заявителей было обнаружено, что при проведении конкретных реакций в конкретных условиях метиловый эфир 1-[(4-хлорфенил)метил]-3-метил-2-оксоциклопентанкарбоновой кислоты или этиловый эфир 1-[(4-хлорфенил)метил]-3-метил-2-оксоциклопентанкарбоновой кислоты, получаемые из легкодоступных в промышленности диметиладипата или диэтиладипата, дают 5-[(4-хлорфенил)метил]-2,2-диметилциклопентанон высокого качества и с высоким выходом. Настоящее изобретение было достигнуто, основываясь на следующих открытиях.
По первому аспекту настоящего изобретения предлагается способ получения 5-[(4-хлорфенил)метил]-2,2-диметилциклопентанона, включающий:
взаимодействие метилового эфира 1-[(4-хлорфенил)метил]-3-метил-2-оксоциклопентанкарбоновой кислоты или этилового эфира 1-[(4-хлорфенил)метил]-3-метил-2-оксоциклопентанкарбоновой кислоты с гидридом натрия и метилгалогенидом с целью получения метилового эфира 1-[(4-хлорфенил)метил]-3,3-диметил-2-оксоциклопентанкарбоновой кислоты или этилового эфира 1-[(4-хлорфенил)метил]-3,3-диметил-2-оксоциклопентанкарбоновой кислоты; и
гидролиз полученного метилового эфира 1-[(4-хлорфенил)метил]-3,3-диметил-2-оксоциклопентанкарбоновой кислоты или этилового эфира 1-[(4-хлорфенил)метил]-3,3-диметил-2-оксоциклопентанкарбоновой кислоты.
По второму аспекту настоящего изобретения предлагается способ получения 5-[(4-хлорфенил)метил]-2,2-диметилциклопентанона, включающий:
(1) взаимодействие диметиладипата или диэтиладипата с алкоксидом металла;
(2) после удаления образующегося в результате спирта взаимодействие полученного продукта реакции с метилгалогенидом;
(3) после завершения реакции взаимодействие полученного продукта реакции с алкоксидом металла; и
(4) после удаления образующегося в результате спирта взаимодействие полученного продукта реакции с (4-хлорфенил)метилхлоридом;
(5) взаимодействие метилового эфира 1-[(4-хлорфенил)метил]-3-метил-2-оксоциклопентанкарбоновой кислоты или этилового эфира 1-[(4-хлорфенил)метил]-3-метил-2-оксоциклопентанкарбоновой кислоты с гидридом натрия и метилгалогенидом; и
(6) гидролиз полученного метилового эфира 1-[(4-хлорфенил)метил]-3,3-диметил-2-оксоциклопентанкарбоновой кислоты или этилового эфира 1-[(4-хлорфенил)метил]-3,3-диметил-2-оксоциклопентанкарбоновой кислоты.
По третьему аспекту настоящего изобретения предлагается способ получения метилового эфира 1-[(4-хлорфенил)метил]-3-метил-2-оксоциклопентанкарбоновой кислоты или этилового эфира 1-[(4-хлорфенил)метил]-3-метил-2-оксоциклопентанкарбоновой кислоты, включающий:
(1) взаимодействие диметиладипата или диэтиладипата с алкоксидом металла;
(2) после удаления образующегося в результате спирта взаимодействие полученного продукта реакции с метилгалогенидом;
(3) после завершения реакции взаимодействие полученного продукта реакции с алкоксидом металла; и
(4) после удаления образующегося в результате спирта взаимодействие полученного продукта реакции с (4-хлорфенил)метилхлоридом.
По четвертому аспекту настоящего изобретения предлагается способ использования 5-[(4-хлорфенил)метил]-2,2-диметилциклопентанона в качестве промежуточного продукта для получения метконазола или для получения сельскохозяйственных или садовых фунгицидов.
По пятому аспекту настоящего изобретения предлагается способ использования метилового эфира 1-[(4-хлорфенил)метил]-3-метил-2-оксоциклопентанкарбоновой кислоты или этилового эфира 1-[(4-хлорфенил)метил]-3-метил-2-оксоциклопентанкарбоновой кислоты в качестве промежуточного продукта для получения 5-[(4-хлорфенил)метил]-2,2-диметилциклопентанона, для получения метконазола или для получения сельскохозяйственных или садовых фунгицидов.
По шестому аспекту настоящего изобретения предлагается способ использования метилового эфира 1-[(4-хлорфенил)метил]-3,3-диметил-2-оксоциклопентанкарбоновой кислоты или этилового эфира 1-[(4-хлорфенил)метил]-3,3-диметил-2-оксоциклопентанкарбоновой кислоты в качестве промежуточного продукта для получения метконазола или для получения сельскохозяйственных или садовых фунгицидов.
Более подробно настоящее изобретение будет описано ниже.
В следующем ниже описании метиловый эфир 1-[(4-хлорфенил)метил]-3-метил-2-оксоциклопентанкарбоновой кислоты и метиловый эфир 1-[(4-хлорфенил)метил]-3,3-диметил-2-оксоциклопентанкарбоновой кислоты химически идентичны этиловому эфиру 1-[(4-хлорфенил)метил]-3-метил-2-оксоциклопентанкарбоновой кислоты и этиловому эфиру 1-[(4-хлорфенил)метил]-3,3-диметил-2-оксоциклопентанкарбоновой кислоты. Поэтому разъяснения сделаны только относительно указанных выше метиловых эфиров.
Способ получения метилового эфира 1-[(4-хлорфенил)метил]-3-метил-2-оксоциклопентанкарбоновой кислоты будет описан ниже.
Способ получения метилового эфира 1-[(4-хлорфенил)метил]-3-метил-2-оксоциклопентанкарбоновой кислоты включает следующие четыре стадии.
Первая стадия (реакция конденсации с замыканием кольца):
Метиладипат подвергают реакции с метоксидом металла. Полученный продукт реакции подвергают деметанолизации (удалению метанола), с получением натриевой соли метилового эфира 2-оксоциклопентанкарбоновой кислоты.
Вторая стадия (первая реакция метилирования):
Полученную натриевую соль метилового эфира 2-оксоциклопентанкарбоновой кислоты подвергают реакции с метилгалогенидом, чтобы получить метиловый эфир 1-метил-2-оксоциклопентанкарбоновой кислоты.
Третья стадия (реакции раскрытия кольца/конденсации с замыканием кольца):
Полученный метиловый эфир 1-метил-2-оксоциклопентанкарбоновой кислоты подвергают реакции с метоксидом металла с тем, чтобы подвергнуть сложный метиловый эфир реакциям раскрытия кольца и конденсации с замыканием кольца, получая тем самым натриевую соль метилового эфира 3-метил-2-оксоциклопентанкарбоновой кислоты.
Четвертая стадия (реакция (4-хлорфенил)метилирования):
Полученную натриевую соль метилового эфира 3-метил-2-оксоциклопентанкарбоновой кислоты подвергают реакции с (4-хлорфенил)метилхлоридом с целью получения метилового эфира 1-[(4-хлорфенил)метил]-3-метил-2-оксоциклопентанкарбоновой кислоты.
Вышеуказанные стадии с первой по четвертую более детально будут описаны ниже.
Конкретно метиловый эфир 1-[(4-хлорфенил)метил]-3-метил-2-оксоциклопентанкарбоновой кислоты можно получить с высоким выходом, непрерывно проводя указанные выше стадии с первой по четвертую без выделения или очистки в ходе этих стадий при следующих рабочих условиях (загруженные количества, условия реакции и т.д.).
Первая стадия:
Поскольку натриевая соль метилового эфира 2-оксоциклопентанкарбоновой кислоты в качестве продукта реакции первой стадии является твердым веществом, первую стадию проводят в растворителе. В качестве подходящих растворителей в первой стадии можно использовать апротонные растворители, имеющие температуру кипения обычно не ниже 75°С, поскольку из реакционного раствора необходимо отгонять метанол. Примеры растворителей могут включать ароматические соединения, такие как бензол, толуол, ксилол и хлорбензол; соединения на основе эфиров, такие как диметоксиэтан и диоксан или аналогичные. Среди данных растворителей предпочтительными являются толуол, ксилол и хлорбензол.
Затем в растворитель загружают диметиладипат и метоксид металла. Полученную смесь нагревают при обычном давлении или при пониженном давлении, чтобы отогнать метанол вместе с растворителем. Температура реакции обычно составляет от 70 до 150°С, предпочтительно, от 80 до 130°С. Если требуется, то в реакционную систему может быть добавлено дополнительное количество растворителя.
В качестве примеров метоксидов металлов можно привести метоксид натрия, метоксид калия или аналогичные соединения. Среди данных метоксидов металлов предпочтительным является метоксид натрия. Метоксиды металлов можно использовать в форме либо порошка либо метанольного раствора. Количество используемого метоксида металла обычно составляет от 0,9 до 1,0 моля на один моль загруженного диметиладипата. Когда используемое количество метоксида металла составляет менее 0,9 моль, степень превращения диметиладипата может значительно понизиться. Когда используемое количество метоксида металла превышает 1,0 моль, удаление метанола из реакционной системы может оказаться трудным, приводя к значительному ухудшению выхода.
При протекании реакции в качестве продукта реакции первой стадии осаждается натриевая соль метилового эфира 2-оксоциклопентанкарбоновой кислоты. Для того чтобы уменьшить вязкость полученной суспензии и облегчить ее перемешивание, может являться эффективным добавление небольшого количества апротонного полярного растворителя. В качестве апротонных полярных растворителей можно указать диметилсульфоксид (ДМСО), N-метилпирролидон, диметилимидазолин, диметилацетамид, диметилформамид или аналогичные соединения.
На первой реакционной стадии важным является в достаточной степени удалить метанол, присутствующий в реакционной системе. Если в реакционной системе остается даже очень незначительное количество метанола, то выход значительно ухудшается.
Вторая стадия:
Затем полученную в первой стадии натриевую соль метилового эфира 2-оксоциклопентанкарбоновой кислоты подвергают реакции с метилгалогенидом. Температура реакции второй стадии обычно равна от 50 до 120°С, предпочтительно от 70 до 100°С.
В качестве метилгалогенидов можно указать метилхлорид, метилбромид или метилйодид. Количество используемого метилгалогенида обычно составляет от 0,9 до 1,1 моля на 1 моль диметиладипата, загруженного на первой стадии. Когда количество метилгалогенида составляет менее 0,9 моль, реакция может не пройти до конца. Когда количество метилгалогенида составляет более 1,1 моля, то хотя никакое неблагоприятное воздействие и не оказывается, но дополнительных полезных эффектов ожидать нельзя.
После завершения реакции избыток метилгалогенида, все еще присутствующего в реакционной системе, если это имеет место, удаляют дистилляцией. Если следующей стадии подвергают реакционный раствор, все еще содержащий остаточный метилгалогенид, то расходуется значительное количество добавляемого в следующей стадии метоксида металла, посредством чего оказывается неблагоприятное воздействие на реакцию.
Далее метиловый эфир 1-метил-2-оксоциклопентанкарбоновой кислоты в качестве продукта реакции второй стадии имеет относительно низкую температуру кипения и высокую растворимость в воде. Поэтому когда продукт реакции промыт водой или отогнан растворитель на данной стадии, выход значительно ухудшается.
Третья стадия:
Затем к реакционному продукту, полученному на второй стадии, добавляют метоксид металла. Полученную смесь нагревают при обычном давлении или при пониженном давлении, чтобы отогнать метанол вместе с растворителем таким же методом, как и использованный на первой стадии. Температура реакции обычно составляет от 70 до 150°С, предпочтительно от 80 до 130°С. Если требуется, то к реакционной смеси можно добавить дополнительное количество растворителя.
В качестве используемого на третьей стадии метоксида металла предпочтительно использовать такой же метоксид металла, какой использовался на первой стадии. Количество загруженного на данной стадии метоксида металла обычно составляет от 0,9 до 1,0 моля на 1 моль загруженного на первой стадии диметиладипата. Когда количество загруженного метоксида металла составляет менее 0,9 моля, процент конверсии диметиладипата может значительно снизиться. Когда количество загруженного метоксида металла превышает 1,0 моль, удаление метанола в реакционной системе может стать затрудненным, что приводит к заметному ухудшению выхода.
Когда происходит реакция, в качестве реакционного продукта третьей стадии осаждается натриевая соль метилового эфира 3-метил-2-оксоциклопентанкарбоновой кислоты. Для того чтобы понизить вязкость полученной суспензии и облегчить ее перемешивание, может являться эффективным добавление небольшого количества апротонного полярного растворителя. В качестве апротонных полярных растворителей можно указать диметилсульфоксид (ДМСО), N-метилпирролидон, диметилимидазолин, диметилацетамид, диметилформамид или аналогичные.
На третьей стадии реакции важным является в достаточной степени удалить присутствующий в реакционной системе метанол. Если в реакционной системе все еще остается даже очень незначительное количество метанола, выход желаемого продукта значительно снижается.
Четвертая стадия:
Полученную на третьей стадии натриевую соль метилового эфира 3-метил-2-оксоциклопентанкарбоновой кислоты затем подвергают реакции с (4-хлорфенил)метилхлоридом. Температура реакции второй стадии обычно составляет от 60 до 150°С, предпочтительно от 80 до 130°С. Количество используемого (4-хлорфенил)метилхлорида обычно составляет от 0,9 до 1,0 моля на 1 моль диметиладипата, загруженного на первой стадии. Когда количество (4-хлорфенил)метилхлорида составляет менее 0,9 моль, полученная на третьей стадии натриевая соль метилового эфира 3-метил-2-оксоциклопентанкарбоновой кислоты может остаться неизрасходованной, приводя к снижению выхода желаемого продукта. Когда количество используемого (4-хлорфенил)метилхлорида превышает 1,0 моль, избыток добавленного (4-хлорфенил)метилхлорида после завершения реакции может остаться неизрасходованным, в результате этого вызывая нежелательные побочные реакции на последующей стадии.
Когда исходные реагенты полностью израсходовались, реакцию останавливают для промывки продукта реакции водой и отгонки растворителя, посредством этого выделяя метиловый эфир 1-[(4-хлорфенил)метил]-3-метил-2-оксоциклопентанкарбоновой кислоты высокого качества с высоким выходом. Полученный таким образом метиловый эфир 1-[(4-хлорфенил)метил]-3-метил-2-оксоциклопентанкарбоновой кислоты имеет высокую температуру кипения и низкую растворимость в воде. Поэтому потери, которые происходят после вышеуказанных обработок, можно игнорировать.
Способ получения 5-[(4-хлорфенил)метил]-2,2-диметилциклопентанона будет описан ниже.
Способ получения 5-[(4-хлорфенил)метил]-2,2-диметилциклопентанона из метилового эфира 1-[(4-хлорфенил)метил]-3-метил-2-оксоциклопентанкарбоновой кислоты включает следующие две стадии.
Пятая стадия (вторая реакция метилирования):
Затем метиловый эфир 1-[(4-хлорфенил)метил]-3-метил-2-оксоциклопентанкарбоновой кислоты подвергают реакции с гидридом натрия и метилгалогенидом с целью получения метилового эфира 1-[(4-хлорфенил)метил]-3,3-диметил-2-оксоциклопентанкарбоновой кислоты.
Шестая стадия (гидролиз):
Полученный таким образом метиловый эфир 1-[(4-хлорфенил)метил]-3,3-диметил-2-оксоциклопентанкарбоновой кислоты гидролизуют, чтобы получить 5-[(4-хлорфенил)метил]-2,2-диметилциклопентанон.
Более подробно указанные выше стадии с пятой по шестую будут описаны далее.
Более конкретно способ получения 5-[(4-хлорфенил)метил]-2,2-диметилциклопентанона с высоким выходом можно осуществить обработкой метилового эфира 1-[(4-хлорфенил)метил]-3-метил-2-оксоциклопентанкарбоновой кислоты при следующих рабочих условиях (загруженное количество, реакционные условия и т.д.).
Пятая стадия:
Затем метиловый эфир 1-[(4-хлорфенил)метил]-3-метил-2-оксоциклопентанкарбоновой кислоты подвергают реакции с гидридом натрия и метилгалогенидом в растворителе при температуре обычно от 60 до 120°С, предпочтительно от 80 до 100°С. Когда температура реакции меньше 60°С, скорость реакции слишком низкая и становится непрактичной. Когда температура реакции выше 120°С, часто могут происходить нежелательные побочные реакции, такие как О-алкилирование.
В качестве растворителей можно использовать любые апротонные растворители с условием, что растворители не реагируют с гидридом натрия или алкилгалогенидом. Примеры растворителей могут включать ароматические соединения, такие как бензол, толуол, ксилол и хлорбензол; соединения на основе простых эфиров, такие как тетрагидрофуран (ТГФ), диметоксиэтан и диоксан; апротонные полярные соединения, такие как диметилформамид, диметилацетамид, N-метилпирролидон и диметилсульфоксид или аналогичные соединения. Данные растворители можно использовать по отдельности или в форме смеси двух или нескольких любых растворителей. В частности, предпочтительным является использование смешанного растворителя, состоящего из ароматического соединения и соединения на основе простого эфира либо апротонного полярного соединения.
Количество используемого в пятой стадии гидрида натрия обычно составляет от 1,0 до 1,3 моля, предпочтительно от 1,1 до 1,2 моля на 1 моль метилового эфира 1-[(4-хлорфенил)метил]-3-метил-2-оксоциклопентанкарбоновой кислоты. Когда количество используемого гидрида натрия составляет меньше 1,0 моля, реакция может не пройти полностью, приводя к низкому выходу желаемого продукта. Когда используемое количество гидрида натрия превышает 1,3 моля, после завершения реакции могут потребоваться сложные последующие обработки.
В качестве метилгалогенидов можно указать метилхлорид, метилбромид или метилйодид. Среди данных метилгалогенидов предпочтительными являются метилбромид и метилйодид. Если используется метилбромид, то к нему можно добавить каталитические количества йодида натрия или йодида калия. Количество используемого метилгалогенида обычно составляет от 1,0 до 1,3 моль, предпочтительно от 1,0 до 1,2 моль на 1 моль метилового эфира 1-[(4-хлорфенил)метил]-3-метил-2-оксоциклопентанкарбоновой кислоты. Когда используемое количество метилгалогенида меньше 1,0 моля, реакция может не пройти до конца, приводя к низкому выходу желаемого продукта. Когда используемое количество метилгалогенида превышает 1,3 моля, часть метилгалогенида может разрушаться.
Реакция данной пятой стадии является сильно экзотермической реакцией и генерирует водород. Следовательно, предпочтительно, чтобы после добавления к растворителю гидрида натрия, к растворителю добавляли метиловый эфир 1-[(4-хлорфенил)метил]-3-метил-2-оксоциклопентанкарбоновой кислоты и метилгалогенид, и они реагировали бы друг с другом при одновременном поддержании температуры растворителя при вышеуказанной температуре реакции. После того, как метиловый эфир 1-[(4-хлорфенил)метил]-3-метил-2-оксоциклопентанкарбоновой кислоты в качестве исходного материала израсходуется в реакционной системе, полученную реакционную смесь выливают в воду, промывают водой и затем подвергают перегонке в атмосфере азота для удаления из нее растворителя, посредством этого выделяя метиловый эфир 1-[(4-хлорфенил)метил]-3,3-диметил-2-оксоциклопентанкарбоновой кислоты.
Шестая стадия:
Гидролиз и реакцию декарбоксилирования метилового эфира 1-[(4-хлорфенил)метил]-3,3-диметил-2-оксоциклопентанкарбоновой кислоты проводят при температуре обычно от 50°С до температуры образования флегмы в кислой либо в щелочной среде.
В случае, когда гидролиз и реакцию декарбоксилирования проводят в кислой среде, в качестве растворителя в дополнение к воде можно использовать уксусную кислоту. Кроме того, в данную систему можно добавить катализаторы. В качестве катализаторов можно использовать неорганические кислоты, такие как хлористоводородная кислота, бромистоводородная кислота и серная кислота. Температура гидролиза и реакции декарбоксилирования обычно равна от 50°С до температуры образования флегмы, предпочтительно от 80°С до температуры образования флегмы.
В случае, когда гидролиз и реакцию декарбоксилирования проводят в щелочной среде, в качестве растворителя в комбинации с водой можно использовать низшие спирты или ароматические углеводороды. В качестве щелочи можно использовать гидроксиды щелочных металлов, предпочтительно гидроксид натрия или гидроксид калия. Температура реакций гидролиза и декарбоксилирования в щелочной среде обычно составляет от 50°С до температуры образования флегмы, предпочтительно от 80°С до температуры образования флегмы.
После того, как метиловый эфир 1-[(4-хлорфенил)метил]-3,3-диметил-2-оксоциклопентанкарбоновой кислоты в качестве исходного материала израсходуется в реакционной системе, полученную реакционную смесь экстрагируют растворителем, промывают водой и затем подвергают перегонке для удаления из нее растворителя, посредством этого выделяя 5-[(4-хлорфенил)метил]-2,2-диметилциклопентанон. После этого, если потребуется, продукт реакции очищают перегонкой или аналогичными методами.
НАИЛУЧШИЙ ВАРИАНТ ОСУЩЕСТВЛЕНИЯ ИЗОБРЕТЕНИЯ
Настоящее изобретение более детально описывается примерами, но следующие далее примеры являются исключительно иллюстративными и, следовательно, предполагается, что они не ограничивают рамки настоящего изобретения.
Пример 1
Один литр толуола, 174,2 г диметиладипата, 189,1 г 28% метилата натрия и 15 г диметилформамида (ДМФА) загружают в 2-литровую четырехгорлую колбу и нагревают при обычном давлении при перемешивании в атмосфере азота с тем, чтобы отогнать смесь метанол/толуол. В течение нагревания в колбу соответствующим образом добавляют 0,5 литра толуола. После того, как метанол полностью отогнан, полученную реакционную смесь охлаждают до 80°С и в реакционную смесь по каплям приливают 100 г метилбромида, в то время как ее температуру поддерживают при 80°С.
После приливания реакционную смесь перемешивают при 80°С в течение 2 часов и затем избыток метилбромида отгоняют при пониженном давлении.
В полученный реакционный раствор добавляют 187,2 г 28% метилата натрия и 15 г диметилформамида (ДМФА). Полученную в результате смесь нагревают при обычном давлении в атмосфере азота при перемешивании, чтобы отогнать из нее смесь метанол/толуол. В течение нагревания в колбу надлежащим образом добавляют толуол и ДМФА в общих количествах 0,5 литра и 15 г соответственно. После того, как метанол полностью отогнан, полученную реакционную смесь охлаждают до 100°С и затем в реакционную смесь по каплям приливают 153 г (4-хлорфенил)метилхлорида, в то время как температуру смеси поддерживают при 100°С.
После приливания по каплям полученную в результате реакционную смесь кипятят с обратным холодильником в течение 3 часов. После завершения реакции отделенную органическую фазу промывают водой и подвергают перегонке для удаления из нее растворителя, посредством этого получая 277,7 г светло-желтого маслянистого вещества. Чистоту полученного продукта определяют газовой хроматографией. В результате подтверждают, что чистота полученного метилового эфира 1-[(4-хлорфенил)метил]-3-метил-2-оксоциклопентанкарбоновой кислоты равна 93%, а его выход составляет 92% по загруженному метиладипату.
Пример 2
В 1-литровую четырехгорлую колбу загружают 44,1 г 60% гидрида натрия и удаляют из него парафины декантацией с использованием толуола. Затем в колбу добавляют 100 мл толуола, 20 мл диметоксиэтана и 1 г йодида натрия. Колбу в качестве реактора оборудуют холодильником, заполненным сухим льдом, и погружают в баню, температуру которой поддерживают при 80°С. В колбу медленно по каплям добавляют 277,7 г метилового эфира 1-[(4-хлорфенил)метил]-3-метил-2-оксоциклопентанкарбоновой кислоты, полученного в примере 1, и 100 г метилбромида, так что вызывается сильная экзотермическая реакция с генерированием водорода. Через 2 часа после приливания по каплям метиловый эфир 1-[(4-хлорфенил)метил]-3-метил-2-оксоциклопентанкарбоновой кислоты в реакционной системе полностью расходуется.
Полученную реакционную смесь вливают в воду в атмосфере азота, и органическую фазу отделяют от реакционной смеси, промывают водой и затем подвергают перегонке для удаления из нее растворителя, получая посредством этого 280 г светло-желтого маслянистого вещества. В результате анализа маслянистого вещества газовой хроматографией подтверждают, что чистота полученного таким образом метилового эфира 1-[(4-хлорфенил)метил]-3,3-диметил-2-оксоциклопентанкарбоновой кислоты равна 92%, а его выход составляет 95% относительно метилового эфира 1-[(4-хлорфенил)метил]-3-метил-2-оксоциклопентанкарбоновой кислоты.
Пример 3
В 1-литровую четырехгорлую колбу загружают 600 мл уксусной кислоты, 30 мл воды, 70 г серной кислоты и 280 г полученного в примере 2 метилового эфира 1-[(4-хлорфенил)метил]-3,3-диметил-2-оксоциклопентанкарбоновой кислоты и перемешивают при 107°С в течение 8 часов. После завершения реакции к реакционному раствору добавляют толуол и воду и затем органическую фазу отделяют от раствора, промывают водой и затем подвергают перегонке для удаления из нее растворителя, получая посредством этого светло-желтое маслянистое вещество. Полученное маслянистое вещество подвергают простой перегонке под давлением от 1 до 2 мм Hg, посредством чего получают 210,2 г дистиллята, имеющего температуру перегонки от 120 до 130°С. В результате анализа дистиллята газовой хроматографией подтверждают, что чистота полученного таким образом 5-[(4-хлорфенил)метил]-2,2-диметилциклопентанона равна 95,5%, а его выход составляет 97% относительно метилового эфира 1-[(4-хлорфенил)метил]-3,3-диметил-2-оксоциклопентанкарбоновой кислоты.
Пример 4
В 1-литровую четырехгорлую колбу загружают 500 мл 25% водного раствора гидроксида натрия и 280 г полученного в примере 2 метилового эфира 1-[(4-хлорфенил)метил]-3,3-диметил-2-оксоциклопентанкарбоновой кислоты и кипятят с обратным холодильником в течение 4 часов. После завершения реакции к реакционному раствору добавляют толуол и воду и затем органическую фазу отделяют от раствора, промывают водой и затем подвергают перегонке для удаления из нее растворителя, получая посредством этого светло-желтое маслянистое вещество. Полученное маслянистое вещество подвергают простой перегонке под давлением от 1 до 2 мм Hg, получая посредством этого 201,6 г дистиллята, имеющего температуру перегонки от 120 до 130°С. В результате анализа дистиллята газовой хроматографией подтверждают, что чистота полученного таким образом 5-[(4-хлорфенил)метил]-2,2-диметилциклопентанона равна 97,5%, а его выход составляет 95% относительно метилового эфира 1-[(4-хлорфенил)метил]-3,3-диметил-2-оксоциклопентанкарбоновой кислоты.
Пример 5:
Проводят такую же процедуру, как определено в примере 1, за исключением того, что вместо 28% метилата натрия используют порошок метилата натрия в том же мольном количестве, как в примере 1. В результате подтверждают, что получаются такие же результаты, как в примере 1.
ПРИМЕНИМОСТЬ В ПРОМЫШЛЕННОСТИ
По способу настоящего изобретения с высоким качеством и высоким выходом можно получить 5-[(4-хлорфенил)метил]-2,2-диметилциклопентанон в качестве важного промежуточного продукта для получения сельскохозяйственного или садового фунгицида.
Формула изобретения
1. Способ получения 5-[(4-хлорфенил)метил]-2,2-диметилциклопентанона, включающий
взаимодействие метилового эфира 1-[(4-хлорфенил)метил]-3-метил-2-оксоциклопентанкарбоновой кислоты или этилового эфира 1-[(4-хлорфенил)метил]-3-метил-2-оксоциклопентанкарбоновой кислоты с гидридом натрия и метилгалогенидом, причем количество используемого в данной реакции гидрида натрия составляет от 1,0 до 1,3 моль на один моль метилового или этилового эфира 1-[(4-хлорфенил)метил]-3-метил-2-оксоциклопентанкарбоновой кислоты, а количество используемого метилгалогенида составляет от 1,0 до 1,3 моль на один моль метилового или этилового эфира 1-[(4-хлорфенил)метил]-3-метил-2-оксоциклопентанкарбоновой кислоты; и
гидролиз полученного метилового эфира 1-[(4-хлорфенил)метил]-3,3-диметил-2-оксоциклопентанкарбоновой кислоты или этилового эфира 1-[(4-хлорфенил)метил]-3,3-диметил-2-оксоциклопентанкарбоновой кислоты.
2. Способ по п.1, где метиловый эфир 1-[(4-хлорфенил)-метил]-3-метил-2-оксоциклопентанкарбоновой кислоты или этиловый эфир 1-[(4-хлорфенил)метил]-3-метил-2-оксоциклопентанкарбоновой кислоты получают
(1) взаимодействием диметиладипата или диэтиладипата с алкоксидом металла, причем количество используемого алкоксида металла составляет от 0,9 до 1,0 моль на один моль загруженного диметиладипата или диэтиладипата;
(2) после удаления образующегося в результате спирта взаимодействием полученного продукта реакции с метилгалогенидом, причем количество используемого метилгалогенида составляет от 0,9 до 1,1 моль на один моль загруженного на стадии (1) диметиладипата или диэтиладипата;
(3) после завершения реакции взаимодействием полученного продукта реакции с алкоксидом металла, причем количество загружаемого алкоксида металла составляет от 0,9 до 1,0 моль на один моль загруженного на стадии (1) диметиладипата или диэтиладипата; и
(4) после удаления образующегося в результате спирта взаимодействием полученного продукта реакции с (4-хлорфенил)метилхлоридом, причем количество используемого (4-хлорфенил)метилхлорида составляет от 0,9 до 1,0 моль на один моль загруженного на стадии (1) диметиладипата или диэтиладипата.
3. Способ получения метилового эфира 1-[(4-хлорфенил)метил]-3-метил-2-оксоциклопентанкарбоновой кислоты или этилового эфира 1-[(4-хлорфенил)метил]-3-метил-2-оксоциклопентанкарбоновой кислоты, включающий
(1) взаимодействие диметиладипата или диэтиладипата с алкоксидом металла, причем количество используемого алкоксида металла составляет от 0,9 до 1,0 моль на один моль загруженного диметиладипата или диэтиладипата;
(2) после удаления образующегося в результате спирта взаимодействие полученного продукта реакции с метилгалогенидом, причем количество используемого метилгалогенида составляет от 0,9 до 1,1 моль на один моль загруженного на стадии (1) диметиладипата;
(3) после завершения реакции взаимодействие полученного продукта реакции с алкоксидом металла, причем количество загружаемого алкоксида металла составляет от 0,9 до 1,0 моль на один моль загруженного на стадии (1) диметиладипата или диэтиладипата; и
(4) после удаления образующегося в результате спирта взаимодействие полученного продукта реакции с (4-хлорфенил)метилхлоридом, причем количество используемого (4-хлорфенил) метилхлорида составляет от 0,9 до 1,0 моль на один моль загруженного на стадии (I) диметиладипата или диэтиладипата.
4. Способ получения метилового эфира 1-[(4-хлорфенил)-метил]-3,3-диметил-2-оксоциклопентанкарбоновой кислоты или этилового эфира 1-[(4-хлорфенил)метил]-3,3-диметил-2-оксоциклопентанкарбоновой кислоты, включающий
взаимодействие метилового эфира 1-[(4-хлорфенил)метил]-3-метил-2-оксоциклопентанкарбоновой кислоты или этилового эфира 1-[(4-хлорфенил)метил]-3-метил-2-оксоциклопентанкарбоновой кислоты с гидридом натрия и метилгалогенидом, причем количество используемого в данной реакции гидрида натрия составляет от 1,0 до 1,3 моль на один моль метилового или этилового эфира 1-[(4-хлорфенил)метил]-3-метил-2-оксоциклопентанкарбоновой кислоты, а количество используемого метилгалогенида составляет от 1,0 до 1,3 моль на один моль метилового или этилового эфира 1-[(4-хлорфенил)метил]-3-метил-2-оксоциклопентанкарбоновой кислоты.
5. Способ получения 5-[(4-хлорфенил)метил]-2,2-диметил-1-(1Н-1,2,4-триазол-1-илметил)циклопентанола (Метконазол), включающий
взаимодействие метилового эфира 1-[(4-хлорфенил)метил]-3-метил-2-оксоциклопентанкарбоновой кислоты или этилового эфира 1-[(4-хлорфенил)метил]-3-метил-2-оксоциклопентанкарбоновой кислоты с гидридом натрия и метилгалогенидом;
гидролиз полученного метилового эфира 1-[(4-хлорфенил)-метил]-3,3-диметил-2-оксоциклопентанкарбоновой кислоты или этилового эфира 1-[(4-хлорфенил)метил]-3,3-диметил-2-оксоциклопентанкарбоновой кислоты с получением 5-[(4-хлорфенил)метил]-2,2-диметилциклопентанона и
последующее превращение 5-[(4-хлорфенил)метил]-2,2-диметилциклопентанона в 5-[(4-хлорфенил)метил]-2,2-диметил-1-(1Н-1,2,4-триазол-1-илметил)циклопентанол,
причем количество используемого в данной реакции гидрида натрия составляет от 1,0 до 1,3 моль на один моль метилового или этилового эфира 1-[(4-хлорфенил)метил]-3-метил-2-оксоциклопентанкарбоновой кислоты, а количество используемого метилгалогенида составляет от 1,0 до 1,3 моль на один моль метилового или этилового эфира 1-[(4-хлорфенил)метил]-3-метил-2-оксоциклопентанкарбоновой кислоты.
6. Способ получения 5-[(4-хлорфенил)метил]-2,2-диметил-1-(1Н-1,2,4-триазол-1-илметил)циклопентанола (метконазол) по п.5, где метиловый эфир 1-[(4-хлорфенил)метил]-3-метил-2-оксоциклопентанкарбоновой кислоты или этиловый эфир 1-[(4-хлорфенил)метил]-3-метил-2-оксоциклопентанкарбоновой кислоты получают
(1) взаимодействием диметиладипата или диэтиладипата с алкоксидом металла, причем количество используемого алкоксида металла составляет от 0,9 до 1,0 моль на один моль загруженного диметиладипата или диэтиладипата;
(2) после удаления образующегося в результате спирта взаимодействием полученного продукта реакции с метилгалогенидом, причем количество используемого метилгалогенида составляет от 0,9 до 1,1 моль на один моль загруженного на стадии (1) диметиладипата или диэтиладипата;
(3) после завершения реакции взаимодействием полученного продукта реакции с алкоксидом металла, причем количество загружаемого алкоксида металла составляет от 0,9 до 1,0 моль на один моль загруженного на стадии (1) диметиладипата или диэтиладипата; и
(4) после удаления образующегося в результате спирта взаимодействием полученного продукта реакции с (4-хлорфенил)метилхлоридом, причем количество используемого (4-хлорфенил)метилхлорида составляет от 0,9 до 1,0 моль на один моль загруженного на стадии (1) диметиладипата или диэтиладипата.
7. Способ получения сельскохозяйственного или садового фунгицида Метконазол, включающий
взаимодействие метилового эфира 1-[(4-хлорфенил)метил]-3-метил-2-оксоциклопентанкарбоновой кислоты или этилового эфира 1-[(4-хлорфенил)метил]-3-метил-2-оксоциклопентанкарбоновой кислоты с гидридом натрия и метилгалогенидом;
гидролиз полученного метилового эфира 1-[(4-хлорфенил)метил]-3,3-диметил-2-оксоциклопентанкарбоновой кислоты или этилового эфира 1-[(4-хлорфенил)метил]-3,3-диметил-2-оксоциклопентанкарбоновой кислоты с получением 5-[(4-хлорфенил)метил]-2,2-диметилциклопентанона и
последующее превращение 5-[(4-хлорфенил)метил]-2,2-диметилциклопентанона в 5-[(4-хлорфенил)метил]-2,2-диметил-1-(1Н-1,2,4-триазол-1-илметил)циклопентанол,
причем количество используемого в данной реакции гидрида натрия составляет от 1,0 до 1,3 моль на один моль метилового или этилового эфира 1-[(4-хлорфенил)метил]-3-метил-2-оксоциклопентанкарбоновой кислоты, а количество используемого метилгалогенида составляет от 1,0 до 1,3 моль на один моль метилового или этилового эфира 1-[(4-хлорфенил)метил]-3-метил-2-оксоциклопентанкарбоновой кислоты.
8. Способ получения сельскохозяйственного или садового фунгицида Метконазол по п.7, где метиловый эфир 1-[(4-хлорфенил)метил]-3-метил-2-оксоциклопентанкарбоновой кислоты или этиловый эфир 1-[(4-хлорфенил)метил]-3-метил-2-оксоцикло-пентанкарбоновой кислоты получают
(1) взаимодействием диметиладипата или диэтиладипата с алкоксидом металла, причем количество используемого алкоксида металла составляет от 0,9 до 1,0 моль на один моль загруженного диметиладипата или диэтиладипата;
(2) после удаления образующегося в результате спирта взаимодействием полученного продукта реакции с метилгалогенидом, причем количество используемого метилгалогенида составляет от 0,9 до 1,1 моль на один моль загруженного на стадии (1) диметиладипата или диэтиладипата;
(3) после завершения реакции взаимодействием полученного продукта реакции с алкоксидом металла, причем количество загружаемого алкоксида металла составляет от 0,9 до 1,0 моль на один моль загруженного на стадии (1) диметиладипата или диэтиладипата и
(4) после удаления образующегося в результате спирта взаимодействием полученного продукта реакции с (4-хлорфенил)метилхлоридом, причем количество используемого (4-хлорфенил)метилхлорида составляет от 0,9 до 1,0 моль на один моль загруженного на стадии (1) диметиладипата или диэтиладипата.
PD4A – Изменение наименования обладателя патента Российской Федерации на изобретение
(73) Новое наименование патентообладателя:
Куреха Корпорейшн (JP)
Адрес для переписки:
103735, Москва, ул. Ильинка, д. 5/2, ООО «Союзпатент»
Извещение опубликовано: 10.03.2007 БИ: 07/2007
|