Патент на изобретение №2256662
|
||||||||||||||||||||||||||
(54) БИЦИКЛИЧЕСКИЕ АЗОТСОДЕРЖАЩИЕ ГЕТЕРОЦИКЛЫ И СОДЕРЖАЩАЯ ИХ ФАРМАЦЕВТИЧЕСКАЯ КОМПОЗИЦИЯ
(57) Реферат:
Описываются бициклические азотсодержащие гетероциклы общей формулы (I) где R1 обозначает водород, (С1-С7)алкил, (С3-С7)циклоалкил, (С3-С7)циклоалкил (С1-С4)алкил, пиридил, нафтил, фурил(С1-С4)алкил, фенил, необязательно замещенный ди-(С1-С7)алкиламино(С1-С7)алкокси, галогеном, (С1-С7)алкокси или гидрокси(С1-С7)алкилом, или фенил (С1-С7)алкил, необязательно замещенный (С1-С7)алкокси, амино(С1-С7)алкилом, амино или ди-(С1-С7)алкиламино(С1-С7)алкокси; R2 обозначает (С1-С7)алкил, (С3-С7)циклоалкил, фурил(С1-С4)алкил, пиридил или его N-оксид; фенил, необязательно замещенный галогеном, (С1-С7)алкилом, (С1-С7)алкокси, гидрокси или трифторметилом, или фенил(С1-С7)алкил, необязательно замещенный (С1-С7)алкокси; R3 обозначает водород, (С1-С7)алкил, (С3-С7)циклоалкил(С1-С4)алкил, (С3-С7)циклоалкенил, пиридил (С1-С4)алкил, нафтил, фенил, необязательно замещенный фталимидо(С1-С4)алкилом, амино(С1-С7)алкилом, гидрокси(С1-С7)алкилом, (С1-С7)алкиламино(С1-С7)алкилом, ди-(С1-С7)алкиламино(С1-С7)алкилом, морфолино(С1-С4)алкилом или пиперазинил(С1-С4)алкилом, или фенил (С1-С7)алкил, необязательно замещенный (С1-С7)алкоксикарбонилом или карбокси; или фармацевтически приемлемые соли соединений формулы I в форме основания с кислотами или фармацевтически приемлемые соли соединений формулы I в форме кислоты с основаниями, и фармацевтическая композиция на их основе. Описываемые соединения обладают тирозинкиназной ингибиторной активностью и могут применяться для лечения или профилактики воспалительных, иммунологических, онкологических, бронхопульмональных, дерматологических и сердечно-сосудистых заболеваний, для лечения астмы, нарушений центральной нервной системы или связанных с диабетом осложнений или для предупреждения отторжения трансплантата после хирургической трансплантации. 2 н. и 12 з.п. ф-лы, 1 табл.
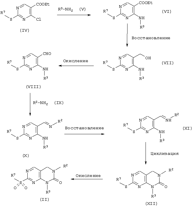
Настоящее изобретение относится к бициклическим азотсодержащим гетероциклам. Более конкретно изобретение относится к аминозамещенным дигидропиримидо[4,5-d]пиримидиноновым производным, способу их получения и содержащим их фармацевтическим композициям. Аминозамещенные дигидропиримидо[4,5-d]пиримидиноновые производные, предложенные в настоящем изобретении, представляют собой соединения общей формулы R1 обозначает водород, (низш.)алкил, арил, арил(низш.)алкил, гетероарил, гетероарил(низш.)алкил, (низш.)циклоалкил или (низш.)циклоалкил(низш.)алкил, R2 обозначает (низш.)алкил, арил, арил(низш.)алкил, гетероарил, гетероарил(низш.)алкил, (низш.)циклоалкил или (низш.)циклоалкил(низш.)алкил и R3 обозначает водород, (низш.)алкил, арил, арил(низш.)алкил, гетероарил, гетероарил (низш.)алкил, (низш.)циклоалкил, (низш.)циклоалкенил или (низш.) циклоалкил (низш.) алкил, и фармацевтически приемлемые соли основных соединений формулы I с кислотами или фармацевтически приемлемые соли кислотных соединений формулы I с основаниями. Соединения формулы I и их вышеуказанные соли являются ингибиторами протеинкиназ, прежде всего, Т-клеточной тирозинкиназы р56lck. Следовательно, они могут применяться для лечения или профилактики воспалительных, иммунологических, онкологических, бронхопульмональных, дерматологических и сердечно-сосудистых заболеваний, для лечения астмы, нарушений центральной нервной системы или связанных с диабетом осложнений или для предупреждения отторжения трансплантата после хирургической трансплантации. В контексте настоящего описания понятие “(низш.) алкил”, индивидуально или в сочетании, таком как “арил (низш.) алкил”, “гетероарил (низш.) алкил” и “(низш.)циклоалкил(низш.)алкил”, обозначает алкильную группу с прямой или разветвленной цепью, содержащую от 1 до 7, предпочтительно от 1 до 4 атомов углерода, такую как метил, этил, н-пропил, изопропил, н-бутил, втор-бутил, трет-бутил, н-пентил, н-гексил, н-гептил и т.п. Понятие “(низш.)алкокси” обозначает (низш.) алкильную группу, как она определена выше, которая связана через атом кислорода, примерами (низш.)алкоксигрупп являются метокси, этокси, н-пропокси, изопропокси, н-бутокси, втор-бутокси, трет-бутокси, н-пентокси и т.п. Понятие “(низш.)циклоалкил”, индивидуально или в сочетании, таком как “(низш.) циклоалкил (низш.) алкил”, обозначает циклоалкильную группу, содержащую от 3 до 7, предпочтительно от 4 до 6 атомов углерода, т.е. циклопропил, циклобутил, циклопентил, циклогексил или циклогептил. Понятие “(низш.)циклоалкенил” обозначает циклоалкенильную группу, содержащую от 4 до 7 атомов углерода, например, циклобутенил, циклопентенил, циклогексенил и т.п. Понятие “арил”, индивидуально или в сочетании, таком как “арил(низш.)алкил”, обозначает фенильную или нафтильную группу, которая необязательно может быть замещена одним или несколькими заместителями, выбранными из ряда, включающего галоген, (низш.)алкил, (низш.)алкокси, (низш.)алкокси(низш.)алкил, трифторметил, гидрокси, гидрокси(низш.)алкил, карбоновую кислоту, эфир карбоновой кислоты, нитро, амино, фенил или т.п., предпочтительно галоген, (низш.)алкил, (низш.)алкокси, трифторметил, гидрокси, нитро, амино и фенил, причем, заместители могут быть одинаковыми или различными, и/или может быть замещена группой формулы -Z-NR4R5 или -Z-OR6, где Z обозначает пространственную группу и R4 и R5 каждый по отдельности обозначает водород или (низш.)алкил, или R4 и R5 вместе с атомом азота, к которому они присоединены, обозначает 4-, 5- или 6-членную насыщенную или частично ненасыщенную или 5- или 6-членную ароматическую гетероциклическую группу, которая содержит один или несколько гетероатомов, выбранных из азота, серы и кислорода, и которая необязательно замещена (низш.)алкилом, (низш.)алкокси- и/или оксогруппой, и/или которая необязательно сконденсирована с бензогруппой, и где R6 обозначает Н или (низш.)алкил, предпочтительно Н. Примерами пространственных групп являются -(СН2)m-, где m обозначает 1, 2, 3 или 4, и -O(СН2)n-, где n обозначает 2, 3 или 4. Атомы углерода в цепи -(СН2)m необязательно могут быть замещены одним или двумя заместителями, выбранными из ряда, включающего (низш.)алкил, гидрокси (низш.)алкил или (низш.)алкокси(низш.)алкил, причем, заместители могут быть одинаковыми или различными. Примерами гетероциклильных групп, образованных R4 и R5 вместе с атомом азота, к которому они присоединены, являются пирролидинил, пиперидинил, пиперазинил, морфолинил и индолил. Таким образом, понятие “арил” включает такие группы, как фенил, 1-нафтил, 2-гидроксифенил, 3-бромфенил, 4-метоксифенил, 2,6-дифторфенил, 2,6-дихлорфенил, 3-(2-аминоэтил)фенил, 4-(2-гидроксиэтил)фенил, 4-(2-диэтиламиноэтокси)фенил, 3-(2-фталимидоэтил) фенил и т.п. Понятие “гетероарил”, индивидуально или в сочетании, таком как “гетероарил(низш.)алкил”, обозначает 5- или 6-членную гетероароматическую группу, которая содержит один или несколько гетероатомов, выбранных из N, S и О, и которая может быть сконденсирована с бензогруппой, и/или замещена таким же образом, как это указано ранее для “арила”. Примерами типичных гетероарильных групп являются тиенил, фурил, пиридил, пиримидинил, хинолил, индолил, бензофуранил, имидазол, 1,2,3-триазол, 1,2,4-триазол, тетразол, тиазол, пиридин-N-оксид и т.п. Понятие “галоген” обозначает фтор, хлор, бром или йод. Предпочтительный класс соединений по настоящему изобретению включает соединения общей формулы где R10 обозначает (низш.)алкил, арил или арил(низш.)алкил, R20 обозначает арил и R30 обозначает галоген, (низш.)алкил, арил или арил(низш.)алкил. Предпочтительными соединениями формулы Iа являются соединения формулы где R101 обозначает арил и R20 и R30 имеют указанные выше значения. R101 предпочтительно обозначает фенил. R20 предпочтительно обозначает галофенил, прежде всего, 2,6-дихлорфенил. R30 предпочтительно обозначает фенил, замещенный группой формулы -Z-NR4R5, как она определена выше. Другой предпочтительный класс соединений по настоящему изобретению включает соединения общей формулы где R11 обозначает (низш.)алкил, R21 обозначает арил и R31 обозначает гетероарил(низш.)алкил. R11 предпочтительно обозначает изопропил и R21 предпочтительно обозначает галофенил. Одним из особенно предпочтительных соединений формулы I является 1-[3-(2-аминоэтил)фенил]-7-анилино-3-(2,6-дихлорфенил)-3,4-дигидропиримидо[4,5-d]пиримидин-2(1Н)-он. Другими репрезентативными соединениями по настоящему изобретению являются: 3-(2,6-дихлорфенил)-7-[4-[2-(диэтиламино)этокси]анилино]-3,4-дигидро-1-метилпиримидо[4,5-d]пиримидин-2(1Н)-он, 3-(2,6-дихлорфенил)-7-[4-[2-(диэтиламино)этокси]анилино]-3,4-дигидро-1-фенилпиримидо[4,5-d]пиримидин-2(1Н)-он, 1-бензил-3-(2,6-дихлорфенил)-7-[4-[2-(диэтиламино)этокси]анилино]-3,4-дигидpoпиpимидo[4,5-d]пиpимидин-2(1H)-oн, 3-(2,6-дихлорфенил)-7-[4-[2-(диэтиламино)этокси]анилино]-3,4-дигидро-1-[(3-пиридил)метил]пиримидо[4,5-d]пиримидин-2(1Н)-он, 3-(2,6-дихлорфенил)-3,4-дигидро-1-фенил-7-[(4-пиридил)амино]пиримидо[4,5-d]пиримидин-2(1Н)-он, 7-[4-[2-(диэтиламино)этокси]анилино]-3-(2,6-дифторфенил)-3,4-дигидро-1-метилпиримидо[4,5-d]пиримидин-2(1Н)-он, 3-(2,4-дихлорфенил)-7-[4-[2-(диэтиламино)этокси]анилино]-3,4-дигидро-1-метилпиримидо[4,5-d]пиримидин-2(1H)-он и 3-(2,6-дихлорфенил)-1-[2-циклогексен-1(RS)-ил]-7-[4-[2-(диэтиламино)этокси]анилино]-3,4-дигидро-1-метилпиримидо[4,5-d]пиримидин-2(1Н)-он. Другими предпочтительными соединениями являются: 1-[3-(2-аминоэтил)фенил]-7-анилино-3-(2-бромфенил)-3,4-дигидропиримидо[4,5-d]пиримидин-2(1Н)-он, 1-[3-(2-аминоэтил)фенил]-7-анилино-3,4-дигидро-3-(2,6-димeтилфeнил)пиpимидo[4,5-d]пиpимидин-2(1H)-oн, 3-(2-бромфенил)-7-[4-[2-(диэтиламино)этокси]анилино]-3,4-дигидро-1-[3-(2-гидроксиэтил)фенил]пиримидо[4,5-d]пиримидин-2(1Н)-он, 1-[3-((2-амино-1,1-диметил)этил)фенил]-7-анилино-3-(2-бромфенил)-3,4-дигидропиримидо[4,5-d]пиримидин-2(1Н)-он, 1-[3-(2-аминоэтил)фенил]-3-(2-бромфенил)-7-(4-метоксианилино)-3,4-дигидропиримидо[4,5-d]пиримидин-2(1Н)-он, 7-анилино-3-(2-бромфенил)-3,4-дигидро-1-[4-(гидроксиметил)фенил]пиримидо[4,5-d]пиримидин-2(1Н)-он, 1-[4-(аминометил)фенил]-7-анилино-3-(2-бромфенил)-3,4-дигидропиримидо[4,5-d]пиримидин-2(1Н)-он, 7-анилино-3-(2,6-дихлорфенил)-3,4-дигидро-1-[3-[2-(метиламино)этил]фенил]пиримидо[4,5-d]пиримидин-2(1Н)-он, 7-анилино-3-(2,6-дихлорфенил)-3,4-дигидро-1-[3-[2-(диметиламино)этил]фенил]пиримидо[4,5-d]пиримидин-2(1Н)-он, 1-[3-(2-аминоэтил)фенил]-7-анилино-3-(2,4-дихлорфенил)-3,4-дигидропиримидо[4,5-d]пиримидин-2(1Н)-он, 7-анилино-3-(2,4-дихлорфенил)-3,4-дигидро-1-[3-[2-(метиламино)этил]фенил]пиримидо[4,5-d]пиримидин-2(1Н)-он, 1-[4-(аминометил)фенил]-7-анилино-3-(2,4-дихлорфенил)-3,4-дигидропиримидо[4,5-d]пиримидин-2(1Н)-он, 3-(2,4-дихлорфенил)-7-[4-[2-(диэтиламино)этокси]анилино]-3,4-дигидро-1-[3-(2-гидроксиэтил)фенил]пиримидо[4,5-d]пиримидин-2(1Н)-он, 3-(2,4-дихлорфенил)-7-[4-[2-(диэтиламино)этокси]анилино]-3,4-дигидро-1-[3-(2-(диметиламино)этил)фенил]пиримидо[4,5-d]пиримидин-2(1Н)-он и 1-[3-(1-аминометил-1-этилпропил)фенил]-3-(2,6-дихлорфенил)-7-фeнилaминo-3,4-дигидpoпиpимидo[4,5-d]пиpимидин-2(1H)-oн. Согласно способу по настоящему изобретению вышеуказанные аминозамещенные дигидропиримидо[4,5-d]пиримидиноновые производные получают путем (а) взаимодействия соединения общей формулы где R2 и R3 имеют указанные выше значения при условии, что любая присутствующая гидро-, аминогруппа или группа карбоновой кислоты может находиться в защищенной форме, и L обозначает бензилсульфонил или (низш.)алкансульфонил, с амином общей формулы где R1 имеют указанные выше значения при условии, что любая присутствующая гидро-, аминогруппа или группа карбоновой кислоты может находиться в защищенной форме, и при необходимости превращения защищенной гидроксигруппы, защищенной аминогруппы или защищенной группы карбоновой кислоты, присутствующей в продукте реакции, в свободную гидроксигруппу или в свободную аминогруппу или в свободную группу карбоновой кислоты, или б) для получения соединения формулы I, в котором R1 обозначает водород, отщепления арилметильной группы от соединения формулы I, в котором R1 обозначает арилметил, и в) при необходимости превращения полученного основного соединения формулы I в фармацевтически приемлемую соль с кислотой, или превращения полученного кислотного соединения формулы I в фармацевтически приемлемую соль с основанием. Защищенная гидроксигруппа или защищенная аминогруппа или защищенная группа карбоновой кислоты, присутствующие в исходном продукте формул II или III, т.е. в арильном или гетероарильном заместителе R1, R2 и/или R3, могут представлять собой обычную защищенную гидроксигруппу, защищенную аминогруппу или защищенную группу карбоновой кислоты. Так, например, гидроксигруппа может быть защищена в форме простого эфира, например, простого метилового эфира, или в форме сложного эфира, например, сложного этилового эфира. Примером защитной группы для аминогруппы является фталимидогруппа. Примером защищенной карбоновой кислоты является эфир, например, метиловый эфир. Взаимодействие соединения формулы II с амином формулы III согласно варианту (а) способа может быть осуществлено в присутствии растворителя или без него. Когда используют растворитель, то он обычно представляет собой галогенированный алифатический углеводород, например, дихлорметан или 1,2-дихлорэтан, простой эфир с открытой цепью, например, диэтиловый эфир или диизопропиловый эфир, простой циклический эфир, например, тетрагидрофуран, необязательно галогенированный ароматический углеводород, например, бензол, толуол, ксилол или хлорбензол, или формамид, например, диметилформамид. Реакцию можно осуществлять при температуре в диапазоне от примерно 0°С до примерно 200°С, предпочтительно при температуре от примерно 100°С до примерно 200°С. Превращение защищенной гидроксигруппы или защищенной аминогруппы или защищенной группы карбоновой кислоты, которые присутствуют в продукте, полученном взаимодействием соединения формулы II с амином формулы III, может быть осуществлено хорошо известным методом. Так, например, простой эфир, такой как простой метиловый эфир, может быть превращен в гидроксигруппу обработкой бромистоводородной кислотой, а сложный эфир, такой как сложный этиловый эфир, может быть превращен в гидроксигруппу с помощью алюмогидрида щелочного металла, такого как алюмогидрид лития. А, например, фталимидогруппа может быть превращена в аминогруппу обработкой гидратом гидразина. В свою очередь, сложный эфир, например, сложный метиловый эфир, может быть превращен в карбоновую кислоту, например, взаимодействием с гидроксидом щелочного металла. Отщепление арилметильной группы, например, (низш.)алкоксибензила, такого как 4-метоксибензил, от соединения формулы I, в котором R1 обозначает арилметил, согласно варианту (б) способа может быть осуществлено с помощью хорошо известных методов. Например, отщепление может быть осуществлено с помощью трифторуксусной кислоты, как правило, при повышенной температуре, предпочтительно при температуре дефлегмации реакционной смеси. Соединения формулы I, являющиеся основными, могут образовывать соли с неорганическими кислотами, например, с галогенводородными кислотами, такими как соляная кислота или бромистоводородная кислота, с серной кислотой, азотной кислотой или фосфорной кислотой, или с органическими кислотами, например, с муравьиной кислотой, уксусной кислотой, трифторуксусной кислотой, лимонной кислотой, фумаровой кислотой, яблочной кислотой, малеиновой кислотой, янтарной кислотой, винной кислотой, салициловой кислотой, метансульфоновой кислотой, этансульфоновой кислотой, 4-толуолсульфоновой кислотой и т.п. Соединения формулы I, являющиеся кислотными, могут образовывать соли с основаниями, металлами или аминами, такими как щелочные и щелочно-земельные металлы или органические амины. Примеры металлов, которые используются в качестве катионов, являются натрий, калий, магний, кальций и т.п. Примерами приемлемых аминов являются этилендиамин, моноэтаноламин, диэтаноламин и т.п. Согласно варианту (в) способа эти соли могут быть получены и выделены хорошо известным методом. Соли основных соединений формулы I с кислотами являются предпочтительными. Исходные продукты формулы II являются новыми и также являются объектом настоящего изобретения. Они могут быть получены согласно процессу, проиллюстрированному ниже на схеме I, на которой R2 и R3 имеют приведенные выше значения с указанными ранее ограничениями и R7 обозначает (низш.)алкил или бензил. Схема I Согласно схеме I на первой стадии соединение формулы IV подвергают взаимодействию с соединением формулы V, получая соединение формулы VI. Эту реакцию обычно осуществляют в растворителе, который является инертным в реакционных условиях, предпочтительно в галогенированном алифатическом углеводороде, особенно предпочтительно дихлорметане, в необязательно галогенированном ароматическом углеводороде, простом эфире с открытой цепью или циклическом, формамиде или (низш.)алканоле. Предпочтительно реакцию проводят при температуре от примерно -20°С до примерно 120°С. Следующая стадия включает восстановление соединения формулы VI с получением спирта формулы VII. Это восстановление осуществляют с помощью алюмогидрида лития хорошо известным методом, например, в растворителе, который является инертным в условиях восстановления, предпочтительно в простом эфире с открытой цепью или циклическом, наиболее предпочтительно в тетрагидрофуране, при температуре от примерно -20°С до примерно 70°С, предпочтительно при температуре примерно от 0°С до примерно комнатной. Окисление спирта формулы VII на следующей стадии позволяет получить карбоксальдегид формулы VIII. Это окисление осуществляют с помощью диоксида марганца хорошо известным методом, например, в растворителе, который является инертным в условиях окисления, предпочтительно в галогенированном алифатическом углеводороде, наиболее предпочтительно дихлорметане, или в необязательно галогенированном ароматическом углеводороде. Предпочтительно окисление осуществляют при температуре от примерно 0°С до примерно 60°С. Взаимодействие карбоксальдегида формулы VIII с амином формулы IX на следующей стадии позволяет получить соединение формулы X. Это взаимодействие может быть осуществлено в присутствии кислоты, например, ароматической сульфоновой кислоты, предпочтительно 4-толуолсульфоновой кислоты, с азеотропным удалением воды, образовавшейся в процессе реакции. Предпочтительно реакцию осуществляют в растворителе, который является инертным в условиях окисления, предпочтительно в необязательно галогенированном ароматическом углеводороде, особенно предпочтительно толуоле, и при температуре от примерно 70°С до примерно 150°С, особенно предпочтительно при температуре дефлегмации растворителя. Следующая стадия включает восстановление соединения формулы Х с получением соединения формулы XI. Это восстановление осуществляют с помощью борогидрида натрия, алюмогидрида лития или триацетоксиборогидрида натрия хорошо известным методом. Предпочтительно соединение формулы Х не подвергают очистке, но чаще реакционную смесь, в которой его получают, концентрируют и полученный концентрат растворяют в растворителе, который является инертным в условиях восстановления, предпочтительно в простом эфире с открытой цепью или циклическом, наиболее предпочтительно в тетрагидрофуране, или в необязательно галогенированном ароматическом углеводороде или (низш.)алканоле, а затем обрабатывают указанными выше восстановителями. Предпочтительно восстановление осуществляют при температуре от примерно 0°С до примерно 100°С, предпочтительно при температуре примерно 25°С. После циклизации соединения формулы XI получают соединение формулы XII. Циклизацию осуществляют путем взаимодействия с фосгеном или трихлорметилхлорформиатом хорошо известным методом, предпочтительно в присутствии третичного органического основания, предпочтительно три((низш.)алкил)амина, особенно предпочтительно триэтиламина, в растворителе, который является инертным в условиях восстановления, предпочтительно в простом эфире с открытой цепью или циклическом, наиболее предпочтительно в тетрагидрофуране, или необязательно галогенированном ароматическом углеводороде или галогенированном алифатическом углеводороде. Предпочтительно реакцию осуществляют при температуре от примерно -20°С до примерно 50°С, предпочтительно при температуре от примерно 0°С до примерно комнатной. После окисления соединения формулы XII с помощью 3-хлорпербензойной кислоты получают исходный продукт формулы II. Это окисление осуществляют хорошо известным методом, например, в растворителе, который является инертным в условиях окисления, предпочтительно в галогенированном алифатическом углеводороде, наиболее предпочтительно дихлорметане, и при температуре от примерно -20°С до примерно 50°С, предпочтительно при температуре от примерно 0°С до примерно комнатной. Соединения формулы XII на схеме I или исходные продукты формулы II, в которых R3 обозначает водород, могут быть получены в виде N-замещенных производных обработкой гидридом щелочного металла, предпочтительно гидридом натрия, и затем подвергнуты взаимодействию с соединением общей формулы где R3a имеет любое значение, указанное выше для R3 за исключением водорода, арила или гетероарила, a L обозначает уходящую группу. Уходящая группа, обозначенная L в соединении формулы XIII, может представлять собой, например, галоген, (низш.)алкансульфонат, например, метансульфонат, трифторметансульфонат, или ароматический сульфонат, например, бензолсульфонат или 4-толуолсульфонат. Предпочтительно L обозначает йод. N-замещение предпочтительно осуществляют в растворителе, который является инертным в условиях реакции, предпочтительно в формамиде, особенно предпочтительно диметилформамиде, в простом эфире с открытой цепью или циклическом или в необязательно галогенированном ароматическом углеводороде. Предпочтительно реакцию осуществляют при температуре от примерно 50°С до примерно 200°С, предпочтительно при температуре от примерно 50°С до примерно 150°С. Кроме того, соединения формулы XII на схеме I или исходные продукты формулы II, в которых R3 обозначает арил, замещенной группой формулы -(CH2)m-NR4R5, где NR4R5 обозначает фталимидогруппу и m имеет указанные выше значения, могут быть получены циклизацией соединения формулы XI, в котором R3 обозначает арил, замещенный группой формулы -(СН2)m-ОН, где m имеет указанные выше значения, с помощью фосгена и обработкой продукта реакции (соединения, соответствующего формулам XII или II, в котором R3 обозначает арил, замещенный группой формулы -(СН2)m-Сl, где m имеет указанные выше значения) солью щелочного металла фталимида, предпочтительно солью калия. Кроме того, соединения формулы XII на схеме I или исходные продукты формулы II, или соединения формулы I, в которых любой из заместителей R1-R3 содержит арил, замещенный группой Z-NR4R5, могут быть получены из соответствующих соединений, замещенных Z-OH, стандартными методами, например, активацией в виде метансульфоната или толуолсульфоната, и взаимодействием с амином HNR4R5, или взаимодействием с HNR4R5 в условиях реакции Митсунобу. Когда любой из заместителей R1-R3 включат азотсодержащую гетероарильную группу, процесс может привести к образованию N-оксида. N-оксиды могут быть превращены в свободные азотсодержащие соединения стандартными методами, например, взаимодействием с трифенилфосфином. Согласно альтернативному способу получения соединений формулы VI на схеме I, в которых R3 обозначает водород, этил-4-амино-2-меркаптопиримидин-5-карбоксилат формулы они могут быть подвергнуты взаимодействию с соединением общей формулы где R7 имеет указанные выше значения, a L имеет такие же значения, которые указаны для структуры XIII. Взаимодействие соединения формулы XIV с соединением формулы XV предпочтительно осуществляют в растворителе, который является инертным в условиях реакции, предпочтительно в кетоне, особенно предпочтительно ацетоне, в галогенированном алифатическом углеводороде, необязательно галогенированном ароматическом углеводороде, простом эфире с открытом цепью или циклическом или формамиде. Предпочтительно реакцию осуществляют при температуре от примерно -20°С до примерно 100°С, предпочтительно при температуре примерно 20°С. Указанные выше соединения формул IV, XIII, XIV и XV являются известными соединениями или аналогами известных соединений. Соединение формулы IV, в котором R7 обозначает метил, поступает в продажу от фирмы Sigma-Aldrich Company Ltd. или в котором R7 обозначает бензил, может быть синтезировано согласно методу, описанному у Peters Е. и др., J. Amer. Chem. Soc., 64, 794-795, 1942. Соединение формулы XIV поступает в продажу от фирмы Lancaster Synthesis Ltd. Соединения формул XIII и XV поступают в продажу, например, когда L обозначает галоген типа метил- и этилйодида или бензилбромида, от фирмы Sigma-Aldrich Company Ltd., или когда L обозначает сульфонат типа н-бутилметансульфоната или этил-4-толуолсульфоната, от фирмы Lancaster Synthesis Ltd. Указанные выше аминные исходные продукты формул III, V и IX, в случае, если они не являются известными соединениями или аналогами известных соединений, могут быть получены методами, аналогичными тем, которые применяются для получения известных соединений, или согласно процессам, проиллюстрированным в приведенных ниже примерах. В частности, соединения формул III, V и IX поступают в продажу, например, от фирмы Sigma-Aldrich Company Ltd. или от фирмы Lancaster Synthesis Ltd., или могут быть синтезированы стандартными методами, проиллюстрированными в примерах 1, 15, 16, 27, 37, 57, 61, 63, 77, 84 и 85. В целом, ароматические и гетероароматические амины могут быть получены, например, из соответствующих нитросоединений восстановлением, например, с помощью никеля Ренея, или каталитическим гидрированием. Нитросоединения, в свою очередь, могут быть получены нитрованием ароматических или гетероароматических соединений. Алкиламины, включая те, которые содержат ароматические или гетероароматические группы, могут быть получены, например, взаимодействием соответствующих соединений, несущих уходящую группу, с аммиаком или с соединением, несущим такую группу, как азид, могут быть превращены в амин известными методами. Примерами таких уходящих групп являются сульфонаты, полученные в свою очередь из соответствующих спиртов или галогенидов. В альтернативном варианте алкиламины могут быть получены из циансодержащих соединений путем восстановления. Таким образом, амины могут быть получены, например, из имеющихся в продаже спиртов, галогенидов и нитрилов. Промежуточные продукты формулы XI на схеме I также могут быть получены согласно способу, проиллюстрированному на схеме II, где R2, R3 и R7 имеют указанные выше значения. R8 обозначает либо этил, либо 4-метоксибензил. Схема II Согласно схеме II на первой стадии соединение формулы (IV) подвергают взаимодействию либо с этоксидом натрия в этаноле, либо с натриевой солью 4-метоксибензилового спирта в тетрагидрофуране при температуре от примерно 0°С до примерно комнатной, получая соединение формулы (XVI). На следующей стадии соединение формулы (XVI) восстанавливают с получением спирта формулы (XVII). Реакцию осуществляют с использованием гидрида диизобутилалюминия или алюмогидрида лития хорошо известным методом в растворителе, который является инертным в условиях реакции, предпочтительно в галогенированном алифатическом углеводороде, особенно предпочтительно дихлорметане, или в простом эфире с открытой цепью или циклическом, особенно предпочтительно тетрагидрофуране. Предпочтительно реакцию осуществляют при температуре от примерно -78°С до примерно комнатной. После окисления спирта формулы (XVII) получают карбоксальдегид формулы (XVIII). Это окисление осуществляют с помощью диоксида марганца хорошо известным методом, например, в растворителе, который является инертным в условиях окисления, предпочтительно в галогенированном алифатическом углеводороде, наиболее предпочтительно дихлорметане, или в необязательно галогенированном ароматическом углеводороде, Предпочтительно окисление осуществляют при температуре от примерно 0°С до примерно 60°С. Взаимодействие карбоксальдегида формулы (XVIII) с амином формулы (IX) на следующей стадии позволяет получить соединение формулы (XIX). Это взаимодействие может быть осуществлено в присутствии кислоты, например, ароматической сульфоновой кислоты, предпочтительно 4-толуолсульфоновой кислоты, с азеотропным удалением воды, образовавшейся в процессе реакции. Предпочтительно реакцию осуществляют в растворителе, который является инертным в условиях окисления, предпочтительно в необязательно галогенированном ароматическом углеводороде, особенно предпочтительно толуоле, и при температуре от примерно 70°С до примерно 150°С, особенно предпочтительно при температуре дефлегмации растворителя. Следующая стадия включает восстановление соединения формулы (XIX) с получением соединения формулы (XX). Это восстановление осуществляют с помощью борогидрида натрия, алюмогидрида лития или триацетоксиборогидрида натрия хорошо известным методом. Предпочтительно соединение формулы (XIX) не подвергают очистке, но чаще реакционную смесь, в которой его получают, концентрируют и полученный концентрат растворяют в растворителе, который является инертным в условиях восстановления, предпочтительно в простом эфире с открытой цепью или циклическом, наиболее предпочтительно тетрагидрофуране, или в необязательно галогенированном ароматическом углеводороде или (низш.)алканоле, а затем обрабатывают указанным выше восстановителем. В альтернативном варианте реакционная смесь, содержащая соединение формулы (XIX), может быть добавлена без концентрирования к раствору одного из вышеперечисленных восстановителей в растворителе, который является инертным в условиях восстановления, предпочтительно в простом эфире с открытой цепью или циклическом, наиболее предпочтительно тетрагидрофуране, или в необязательно галогенированном ароматическом углеводороде или (низш.)алканоле. На стадии расщепления простого эфира соединение формулы (XX) подвергают взаимодействию с концентрированной серной кислотой, в случае, когда R8 обозначает этил, или с трифторуксусной кислотой, в случае, когда R8 обозначает 4-метоксибензил, получая пиридоновое производное формулы (XXI). Эту реакцию осуществляют с использованием реагента в качестве растворителя. При использовании серной кислоты реакцию проводят при температуре примерно 120°С, а при использовании трифторуксусной кислоты при температуре ее дефлегмации. Взаимодействие соединения формулы (XXI) с оксихлоридом фосфора на следующей стадии позволяет получить соединение формулы (XXII). Реакцию проводят, используя оксихлорид фосфора в качестве растворителя при температуре примерно 100°С. Хлорид формулы (XXII) подвергают взаимодействию с соединением формулы (V), получая промежуточный продукт формулы (XI). Реакция может быть проведена в присутствии растворителя или без него. Когда применяют растворитель, то он предпочтительно может представлять собой галогенированный алифатический углеводород, например, дихлорметан или 1,2-дихлорэтан, простой эфир с открытой цепью, например, диэтиловый эфир или диизопропиловый эфир, циклический простой эфир, например, тетрагидрофуран, необязательно галогенированный углеводород, например, бензол, толуол, ксилол или хлорбензол, или формамид, например, диметилформамид. Реакцию проводят в присутствии основания, предпочтительно третичного амина, например, диэтиланилина. Реакция может быть осуществлена при температуре в диапазоне от примерно 0°С до примерно 200°С, предпочтительно от примерно 100°С до примерно 200°С. Как указывалось ранее, соединения формулы I, фармацевтически приемлемые соли основных соединений формулы I с кислотами и фармацевтически приемлемые соли кислотных соединений формулы I с основаниями все являются ингибиторами Т-клеточной киназы р56lck, которая осуществляют понижающую регуляции Т-клеточной активации, приводя к иммуносупрессии и уменьшению воспаления. Таким образом, соединения по изобретению являются противовоспалительными агентами, которые могут применяться для уменьшения воспалительного состояния, которое наблюдается при различных болезнях, а также иммунодепрессантами, которые могут применяться, например, для предупреждения отторжения трансплантата при связанной с трансплантаций терапией. Эта активность может быть продемонстрирована с помощью следующего теста. Реакционные смеси (25 мкл), содержащие человеческую рекомбинантную p56lck, 10 мМ MnCl2, 10 мкМ АТФ, 0,2 мМ ванадата натрия, 20 мкМ пептидного субстрата (AlaGluGluGluIleTyrGlyGluPheGluAlaLysLysLysLys), [ Степень блокады фермента при использовании каждой концентрации тестируемого соединения рассчитывают из следующего уравнения: Значение IC50 представляет собой концентрацию тестируемого соединения, при которой на 50% снижается индуцируемое протеинкиназой включение радиоактивной метки в описанных ранее условиях эксперимента. В описанном выше тесте установлено, что значение IC50 1-[3-(2-аминоэтил)фенил]-7-анилино-3-(2,6-дихлорфенил)-3,4-дигидропиримидо[4,5-d]пиримидин-2(1Н)-она составляет 0,03 нМ. Дополнительные примеры приведены в следующей таблице:
Соединения формулы I, фармацевтически приемлемые соли основных соединений формулы I с кислотами и фармацевтически приемлемые соли кислотных соединений формулы I с основаниями могут применяться в качестве лекарственных средств, например, в форме фармацевтических композиций для лечения или профилактики воспалительных, иммунологических, онкологических, бронхопульмональных, дерматологических и сердечно-сосудистых заболеваний, для лечения астмы, нарушений центральной нервной системы или связанных с диабетом осложнений или для предупреждения отторжения трансплантата после хирургической трансплантации. Фармацевтические композиции могут вводиться энтерально, например перорально, в форме таблеток, покрытых оболочкой таблеток, драже, желатиновых капсул с мягким или твердым покрытием, растворов, эмульсий или суспензий, назально, например в форме назальных спреев, или ректально, например, в форме суппозиториев. Однако они также могут вводиться парентерально, например, в форме растворов для инъекций. Соединения формулы I и их вышеуказанные фармацевтически приемлемые соли могут обрабатываться вместе с фармацевтически инертными органическими или неорганическими носителями для приготовления фармацевтических композиций. В качестве таких носителей, например, для таблеток, покрытых оболочкой таблеток, драже, желатиновых капсул с твердым покрытием, могут применяться лактоза, кукурузный крахмал или его производные, тальк, стеариновая кислота или ее соли и т.п. Приемлемыми носителями для желатиновых капсул с мягким покрытием являются, например, растительные масла, воски, жиры, полутвердые или жидкие полиолы и т.п.; в зависимости от природы действующего вещества для желатиновых капсул с мягким покрытием, как правило, не требуются никакие носители. Приемлемыми носителями для приготовления растворов и сиропов являются, например, вода, полиолы, сахароза, инвертный сахар, глюкоза и т.п. Приемлемыми носителями для суппозиториев являются, например, нейтральные или гидрогенизированные масла, воски, жиры, полутвердые или жидкие полиолы и т.п. Фармацевтические композиции также могут содержать консерванты, солюбилизаторы, стабилизаторы, смачивающиеся агенты, эмульгаторы, подслащивающие вещества, красители, корригенты, соли для изменения осмотического давления, буферы, маскирующие агенты или антиоксиданты. Они также могут содержать терапевтически ценные субстанции, отличные от соединений формулы I и их вышеуказанных фармацевтически приемлемых солей. Лекарственные средства, содержащие соединение формулы I или его фармацевтически приемлемую соль в сочетании с совместимым фармацевтическим носителем, также являются объектом настоящего изобретения, так же как и способ приготовления таких лекарственных средств, предусматривающий внесение одного или нескольких этих соединений или их солей, при необходимости с одним или несколькими терапевтически ценными субстанциями, в предназначенную для введения в галеновой форме в сочетании с совместимым фармацевтическим носителем. Как отмечалось ранее, соединения формулы I и их вышеуказанные фармацевтически приемлемые соли могут применяться согласно изобретению в качестве терапевтически активных субстанций, прежде всего в качестве противовоспалительных агентов для предупреждения отторжения трансплантата после хирургической трансплантации. Доза может варьироваться в широких пределах и должна, естественно, соответствовать индивидуальным требованиям в каждом конкретном случае. Как правило, в случае введения взрослым людям приемлемая суточная доза должна находиться в диапазоне от примерно 0,1 мг/кг до примерно 100 мг/кг, предпочтительно от примерно 0,5 мг/кг до примерно 5 мг/кг. Суточная доза может вводиться в виде однократной дозы или в виде разделенных доз и, кроме того, указанный ранее верхний уровень доз может быть превышен при наличии соответствующих показаний. И наконец, также объектом изобретения является применение соединений формулы I и их вышеуказанных фармацевтически приемлемых солей для приготовления лекарственных средств, предназначенных, прежде всего, для лечения или профилактики воспалительных, иммунологических, онкологических, бронхопульмональных, дерматологических и сердечно-сосудистых заболеваний, для лечения астмы, нарушений центральной нервной системы или связанных с диабетом осложнений или для предупреждения отторжения трансплантата после хирургической трансплантации. Приведенные ниже примеры служат для более подробного пояснения изобретения, но они никоим образом не направлены на ограничение его объема. Пример 1 Смесь 2,55 г (6,6 ммоля) 3-(2,6-дихлорфенил)-7-метан-сульфонил-3,4-дигидро-1-метилпиримидо[4,5-d]пиримидин-2(1Н)-она и 7 г (34 ммоля) 4-[2-(диэтиламино)этокси]анилина выдерживали при 180°С в течение 35 мин, а затем охлаждали. Остаток хроматографировали на силикагеле, используя для элюирования вначале 5%-ный метанол в дихлорметане, а затем дихлорметан/метанол/уксусную кислоту/воду (в соотношении 240/24/3/2). Содержавшие продукт фракции объединяли и выпаривали. Остаток выпаривали с толуолом, а затем растворяли в 150 мл дихлорметана. Раствор промывали 100 мл насыщенного водного раствора бикарбоната натрия, сушили над сульфатом магния и выпаривали с получением 1,18 г (выход: 35%) сырого продукта. В результате очистки кристаллизацией из циклогексана/этилацетата в виде белого твердого вещества получали 310 мг (выход: 9%) чистого 3-(2,6-дихлорфенил)-7-{4-[2-(диэтиламино)этокси]анилино}-3,4-дигидро-1-метилпиримидо[4,5-d]пиримидин-2(1Н)-она с температурой плавления 123-124°С. Использованный в качестве исходного материала 3-(2,6-дихлорфенил)-7-метансульфонил-3,4-дигидро-1-метилпиримидо[4,5-d]пиримидин-2(1Н)-он готовили следующим образом. а) Раствор 20 г (86 ммолей) этил-4-хлор-2-метилтиопиримидин-5-карбоксилата в 250 мл дихлорметана охлаждали до 0°С и обрабатывали медленным добавлением 35 мл (281 ммоля) 33%-ного раствора метиламина в этаноле. После перемешивания в течение 30 мин добавляли 150 мл воды и фазы разделяли. Органическую фазу сушили над сульфатом магния и фильтровали. Фильтрат выпаривали под пониженным давлением с получением в виде белого твердого вещества 19 г (выход: 97%) этил-4-метиламино-2-метилтиопиримидин-5-карбоксилата. б) 9 г (237 ммоля) литийалюминийгидрида перемешивали в 300 мл сухого тетрагидрофурана и обрабатывали добавлением по каплям раствора 34 г (143 ммоля) этил-4-метиламино-2-метилтиопиримидин-5-карбоксилата в 300 мл сухого тетрагидрофурана и оставляли стоять в течение 15 мин. Смесь охлаждали льдом и осторожно обрабатывали добавлением по каплям 18 мл воды. Добавляли по каплям 36 мл 2 М раствора гидроксида натрия, а затем 48 мл воды. Образовавшуюся суспензию перемешивали в течение 17 ч при комнатной температуре, а затем фильтровали. Остаток на фильтре дважды промывали, используя каждый раз по 100 мл этилацетата, и объединенные фильтрат и промывные жидкости выпаривали под пониженным давлением. Остаток суспендировали в 200 мл дихлорметана/гексана (2/1), твердое вещество отфильтровывали и сушили с получением в виде желтого твердого вещества 23,5 г (выход: 86%) 4-метиламино-2-метилтиопиримидин-5-метанола. в) 20 г (108 ммолей) 4-метиламино-2-метилтиопиримидин-5-метанола перемешивали в 1 л дихлорметана и обрабатывали 87 г (1 моль) диоксида марганца. Образовавшуюся суспензию перемешивали в течение 24 ч, а затем фильтровали через вспомогательное фильтровальное вещество. Остаток на фильтре промывали 100 мл дихлорметана и объединенные фильтрат и промывные жидкости выпаривали под пониженным давлением с получением в виде белого твердого вещества 15,8 г (выход: 80%) 4-метиламино-2-метилтиопиримидин-5-карбоксальдегида. г) Смесь 6 г (32,8 ммоля) 4-метиламино-2-метилтиопиримидин-5-карбоксальдегида, 5,5 г (33,9 ммоля) 2,6-дихлоранилина и 1 г (5,3 ммоля) 4-толуолсульфокислоты в 70 мл толуола кипятили с азеотропным удалением воды в течение 17 ч. Смесь концентрировали под пониженным давлением до объема примерно 10 мл, а затем обрабатывали 120 мл этанола. Приготовленную суспензию нагревали до 75°С и в течение 15-минутного периода обрабатывали 6,2 г (160 ммоля) таблетированного боргидрида натрия. Смесь перемешивали в течение еще 15 мин и охлаждали до комнатной температуры. Под пониженным давлением выпаривали растворитель и остаток перемешивали в смеси 200 мл 2 М раствора гидроксида натрия и 200 мл этилацетата в течение 1 ч. Фазы разделяли и органическую фазу сушили над сульфатом магния и фильтровали. В результате выпаривания фильтрата под пониженным давлением и экспресс-хроматографии остатка с использованием для элюирования диэтилового эфира/гексана (3/7) в виде белого твердого вещества получали 5,2 г (выход: 48%) 5-(2,6-дихлорфенил)аминометил-4-метиламино-2-метилтиопиримидина. д) Охлаждаемый льдом перемешиваемый раствор 12 мл фосгена (20%-ный раствор в толуоле; 23 ммоля) в 100 мл тетрагидрофурана обрабатывали добавлением по каплям раствора 5 г (15,2 ммоля) 5-(2,6-дихлорфенил)аминометил-4-метиламино-2-метилтиопиримидина и 4 мл (29 ммолей) триэтиламина в 80 мл тетрагидрофурана. После перемешивания в течение 1 ч смесь обрабатывали 100 мл насыщенного водного раствора хлорида аммония и фазы разделяли. Водную фазу экстрагировали 100 мл тетрагидрофурана и объединенные органические растворы сушили над сульфатом магния и фильтровали. Фильтрат концентрировали под пониженным давлением с получением в виде белого твердого вещества 4,8 г (выход: 89%) 3-(2,6-дихлорфенил)-7-метилтио-3,4-дигидро-1-метилпиримидо[4,5-d]пиримидин-2(1Н)-она. е) Раствор 5 г (14,1 ммоля) 3-(2,6-дихлорфенил)-7-метилтио-3,4-дигидро-1-метилпиримидо[4,5-d]пиримидин-2(1Н)-она в 200 мл дихлорметана охлаждали льдом и обрабатывали 10 г (28,9 ммоля) 3-хлорпербензойной кислоты. Смесь перемешивали при комнатной температуре в течение 17 ч, затем обрабатывали 2 мл диметилсульфоксида и оставляли стоять в течение 10 мин. Далее добавляли 100 мл насыщенного водного раствора бикарбоната натрия и фазы разделяли. Органическую фазу сушили над сульфатом магния и фильтровали. В результате концентрирования фильтрата под пониженным давлением в виде белого твердого вещества получали 5 г (выход: 92%) 3-(2,6-дихлорфенил)-7-метансульфонил-3,4-дигидро-1-метилпиримидо[4,5-d]пиримидин-2(1Н)-она. Использованный в качестве исходного материала 4-[2-(диэтиламино)этокси]анилин получали следующим образом. I) Раствор 27,8 г (0,2 моля) 4-нитрофенола в 500 мл этанола обрабатывали 15 г (0,22 моля) этоксида натрия. После перемешивания в течение 30 мин при комнатной температуре под пониженным давлением удаляли растворитель. Остаточное желтое твердое вещество перемешивали в смеси 160 мл ксилола и 30 мл воды, а затем обрабатывали 41,4 г (0,3 моля) карбоната калия и 34,4 г (0,2 моля) гидрохлорида 2-диэтиламиноэтилхлорида. Смесь кипятили с обратным холодильником в течение 17 ч и фильтровали в горячем состоянии. Остаток на фильтре промывали горячим ксилолом и объединенные фильтрат и промывные жидкости выпаривали под пониженным давлением. Перегонкой остатка под высоким вакуумом в виде жидкости получали 31,4 г (выход: 66%) 4-[2-(диэтиламино)этокси]нитробензола. II) Раствор 5 г (21 ммоля) 4-[2-(диэтиламино)этокси]нитробензола в 50 мл этанола гидрогенизировали при комнатной температуре и под атмосферным давлением над 100 мг 10%-ного палладия на угле. По прошествии 4 ч суспензию фильтровали через вспомогательное фильтровальное вещество и фильтрат выпаривали под пониженным давлением с получением в виде масла 4 г (выход: 92%) 4-[2-(диэтиламино)этокси]анилина. Пример 2 Смесь 100 мг (0,31 ммоля) 3-(2-хлорфенил)-7-метансульфонил-3,4-дигидро-1-метилпиримидо[4,5-d]пиримидин-2(1Н)-она и 300 мг (1,4 ммоля) 4-[2-(диэтиламино)этокси]анилина выдерживали при 180°С в течение 30 мин, а затем охлаждали. Остаток хроматографировали на силикагеле, используя для элюирования дихлорметан/метанол/уксусную кислоту/воду (в соотношении 240/24/3/2). Содержавшие продукт фракции объединяли и выпаривали. Остаток выпаривали с толуолом, а затем растворяли в 40 мл дихлорметана. Раствор промывали 40 мл насыщенного раствора бикарбоната натрия, сушили над сульфатом магния, фильтровали и выпаривали с получением в виде белого твердого вещества 20 мг (выход: 15%) 3-(2-хлорфенил)-7-{4-[2-(диэтиламино)этокси]анилино}-3,4-дигидро-1-метилпиримидо[4,5-d]пиримидин2(1Н)-она с температурой плавления 150-151°С. Использованный в качестве исходного материала 3-(2-хлорфенил)-7-метансульфонил-3,4-дигидро-1-метилпиримидо[4,5-d]пиримидин-2(1Н)-он готовили аналогично примеру 1а)-е), применяя 2-хлоранилин вместо 2,6-дихлоранилина. Пример 3 Смесь 100 мг (0,31 ммоля) 3-фенил-7-метансульфонил-3,4-дигидро-1-метилпиримидо[4,5-d]пиримидин-2(1Н)-она и 300 мг (1,4 ммоля) 4-[2-(диэтиламино)этокси]анилина выдерживали при 170-180°С в течение 10 мин, а затем охлаждали. Остаток хроматографировали на силикагеле, используя для элюирования дихлорметан/метанол/уксусную кислоту/воду (в соотношении 240/24/3/2). Содержавшие продукт фракции объединяли и выпаривали. Остаток выпаривали с толуолом, а затем растворяли в 40 мл дихлорметана. Раствор промывали 40 мл насыщенного раствора бикарбоната натрия, сушили над сульфатом магния, фильтровали и выпаривали. Остаточное твердое вещество очищали кристаллизацией из циклогексана/этилацетата с получением в виде белого твердого вещества 14 мг (выход: 10%) 3-фенил-7-{4-[2-(диэтиламино)-этокси]анилино}-3,4-дигидро-1-метилпиримидо[4,5-d]пиримидин-2(1Н)-она с температурой плавления 141-144°С. Использованный в качестве исходного материала 3-фенил-7-метансульфонил-3,4-дигидро-1-метилпиримидо[4,5-d]пиримидин-2(1Н)-он готовили следующим образом. а) В смесь 200 мг (1,1 ммоля) 4-метиламино-2-метилтиопиримидин-5-карбоксальдегида со 110 мг (1,2 ммоля) анилина в 5 мл 1,2-дихлорэтана вводили 350 мг (1,6 ммоля) триацетоксиборгидрида натрия, после чего 0,1 мл (1,7 ммоля) уксусной кислоты. По прошествии 2,5 ч добавляли 25 мл насыщенного водного бикарбоната натрия и 20 мл дихлорметана. Фазы разделяли и водную фазу дважды промывали 25 мл дихлорметана. Объединенные органические растворы сушили над сульфатом магния, фильтровали и выпаривали. Остаток хроматографировали на силикагеле, используя для элюирования диэтиловый эфир/гексан (1/1). Содержавшие продукт фракции объединяли и выпаривали с получением в виде белого твердого вещества 218 мг (выход: 76%) 5-фениламинометил-4-метиламино-2-метилтиопиримидина. б) Смесь 200 мг (0,77 ммоля) 5-фениламинометил-4-метиламино-2-метилтиопиримидина с 0,2 мл (1,4 ммоля) триэтиламина в 15 мл диоксана по каплям вводили в охлажденный на льду раствор 150 мг (0,79 ммоля) трихлорметилхлорформиата в 10 мл диоксана. Далее смесь оставляли нагреваться до комнатной температуры. По прошествии еще 10 мин смесь выпаривали. К остатку добавляли 40 мл дихлорметана и 40 мл водного раствора бикарбоната натрия. Фазы разделяли и дихлорметановую фазу сушили над сульфатом магния, фильтровали и выпаривали с получением в виде белого твердого вещества 162 мг (выход: 74%) 3-фенил-7-метилтио-3,4-дигидро-1-метилпиримидо[4,5-d]пиримидин-2(1Н)-она. в) Раствор 160 мг (0,56 ммоля) 3-фенил-7-метилтио-3,4-дигидро-1-метилпиримидо[4,5-d]пиримидин-2(1Н)-она в 20 мл дихлорметана обрабатывали 400 мг (1,16 ммоля) 3-хлорпербензойной кислоты (в воде концентрацией 50 мас.%). По прошествии 3 ч добавляли 30 мл насыщенного водного раствора бикарбоната натрия и 20 мл дихлорметана и фазы разделяли. Органическую фазу сушили над сульфатом магния, фильтровали, а затем выпаривали с получением в виде белого твердого вещества 165 мг (выход: 93%) 3-фенил-7-метансульфонил-3,4-дигидро-1-метилпиримидо[4,5-d]пиримидин-2(1Н)-она. Пример 4 Смесь 100 мг (0,31 ммоля) 3-циклогексил-7-метансульфонил-3,4-дигидро-1-метилпиримидо[4,5-d]пиримидин-2(1Н)-она с 400 мг (1,9 ммоля) 4-[2-(диэтиламино)этокси]анилина выдерживали при 180°С в течение 35 мин, а затем охлаждали. Остаток хроматографировали на силикагеле, используя для элюирования дихлорметан/метанол/уксусную кислоту/воду (в соотношении 240/24/3/2). Содержавшие продукт фракции объединяли и выпаривали. Остаток выпаривали с толуолом, а затем растворяли в 40 мл дихлорметана. Раствор промывали 40 мл насыщенного водного раствора бикарбоната натрия, сушили над сульфатом магния, фильтровали и выпаривали. Остаток растирали в порошок в гексане, фильтровали и сушили с получением в виде белого твердого вещества 25 мг (выход: 18%) 3-циклогексил-7-{4-[2(диэтиламино)этокси]-анилино}-3,4-дигидро-1-метилпиримидо[4,5-d]пиримидин-2(1Н)-она с температурой плавления 90-92°С. Использованный в качестве исходного материала 3-циклогексил-7-метансульфонил-3,4-дигидро-1-метилпиримидо[4,5-d]пиримидин-2(1Н)-он готовили следующим образом. а) Смесь 200 мг (1,1 ммоля) 4-метиламино-2-метилтиопиримидин-5-карбоксальдегида с 200 мг (2,02 ммоля) циклогексиламина в 10 мл метанола оставляли стоять в течение 3 дней над 500 мг молекулярных сит типа 4А. Раствор декантировали, отделяя от сит, и порциями в него добавляли 100 мг (2,7 ммоля) боргидрида натрия. По прошествии 30 мин смесь выпаривали и к остатку добавляли 60 мл этилацетата и 60 мл 2 М водного гидроксида натрия. Фазы разделяли и органическую фазу сушили над сульфатом магния, фильтровали и выпаривали с получением в виде бесцветного масла 245 мг (выход: 85%) 5-циклогексиламинометил-4-метиламино-2-метилтиопиримидина. б) Смесь 210 мг (0,79 ммоля) 5-циклогексиламинометил-4-метиламино-2-метилтиопиримидина с 0,2 мл триэтиламина в 10 мл тетрагидрофурана по каплям вводили в охлажденный на льду раствор 0,5 мл (0,96 ммоля) фосгена (20%-ный раствор в толуоле) в 5 мл тетрагидрофурана. По прошествии 1 ч в образовавшуюся смесь добавляли 15 мл водного раствора хлорида аммония и 10 мл тетрагидрофурана. Фазы разделяли. Органическую фазу сушили над сульфатом магния, фильтровали и затем выпаривали. Остаток хроматографировали на силикагеле, используя для элюирования диэтиловый эфир/гексан (3/2). Фракции, содержавшие продукт, объединяли и выпаривали с получением в виде белого твердого вещества 120 мг (выход: 52%) 3-циклогексил-7-метилтио-3,4-дигидро-1-метилпиримидо[4,5-d]пиримидин-2(1Н)-она. в) Раствор 100 мг (0,34 ммоля) 3-циклогексил-7-метилтио-3,4-дигидро-1-метилпиримидо[4,5-d]пиримидин-2(1Н)-она в 10 мл дихлорметана обрабатывали 250 мг (0,74 ммоля) 3-хлорпербензойной кислоты (в воде концентрацией 50 мас.%). По прошествии 3 ч добавляли 30 мл насыщенного водного раствора бикарбоната натрия и 20 мл дихлорметана и фазы разделяли. Органическую фазу сушили над сульфатом магния, фильтровали, а затем выпаривали с получением в виде белого твердого вещества 165 мг (выход: 93%) 3-циклогексил-7-метансульфонил-3,4-дигидро-1-метилпиримидо[4,5-d]пири-мидин-2(1Н)-она. Пример 5 Смесь 250 мг (0,83 ммоля) 3-трет-бутил-7-метансульфонил-3,4-дигидро-1-метилпиримидо[4,5-d]пиримидин-2(1Н)-она с 600 мг (2,9 ммоля) 4-[2-(диэтиламино)этокси]анилина выдерживали при 180°С в течение 35 мин, а затем охлаждали. Остаток хроматографировали на силикагеле, используя для элюирования дихлорметан/метанол/уксусную кислоту/воду (в соотношении 240/24/3/2). Содержавшие продукт фракции объединяли и выпаривали. Остаток выпаривали с толуолом, а затем растворяли в 30 мл дихлорметана. Раствор промывали 20 мл насыщенного водного раствора бикарбоната натрия, сушили над сульфатом магния, фильтровали и выпаривали. Остаток растирали в порошок в гексане, фильтровали и сушили с получением в виде не совсем белого твердого вещества 70 мг (выход: 21%) 3-трет-бутил-7-{4-[2-(диэтиламино)этокси]анилино}-3,4-дигидро-1-метилпиримидо[4,5-d]пиримидин-2(1Н)-она с температурой плавления 130°С. Использованный в качестве исходного материала 3-третбутил-7-метансульфонил-3,4-дигидро-1-метилпиримидо[4,5-d]пиримидин-2(1Н)-он готовили следующим образом. а) Смесь 200 мг (1,1 ммоля) 4-метиламино-2-метилтиопиримидин-5-карбоксальдегида с 0,23 мл (2,18 ммоля) трет-бутиламина в 10 мл метанола оставляли стоять в течение 3 дней над 500 мг молекулярных сит типа 4А. Раствор декантировали, отделяя от сит, и порциями в него добавляли 100 мг (2,7 ммоля) боргидрида натрия. По прошествии 30 мин смесь выпаривали и к остатку добавляли 20 мл этилацетата и 20 мл 2 М водного гидроксида натрия. Фазы разделяли и органическую фазу сушили над сульфатом магния, фильтровали и выпаривали с получением в виде белого твердого вещества 240 мг (выход: 92%) 5-третбутиламинометил-4-метиламино-2-метилтиопиримидина. б) Смесь 240 мг (1 ммоль) 5-трет-бутиламинометил-4-метиламино-2-ме-тилтиопиримидина с 0,28 мл триэтиламина в 5 мл тетрагидрофурана по каплям вводили в охлажденный льдом раствор 1 мл (1,92 ммоля) фосгена (20%-ный раствор в толуоле) в 5 мл тетрагидрофурана. По прошествии 1 ч в образовавшуюся смесь добавляли 30 мл насыщенного водного хлорида аммония и 20 мл тетрагидрофурана. Фазы разделяли. Органическую фазу сушили над сульфатом магния, фильтровали и затем выпаривали с получением в виде белого твердого вещества 220 мг (выход: 83%) 3-трет-бутил-7-метилтио-3,4-дигидро-1-метилпиримидо[4,5-d]пиримидин-2(1Н)-она. в) Раствор 220 мг (0,83 ммоля) 3-трет-бутил-7-метилтио-3,4-дигидро-1-метилпиримидо[4,5-d]пиримидин-2(1Н)-она в 20 мл дихлорметана обрабатывали 570 мг (1,66 ммоля) 3-хлорпербензойной кислоты (в воде концентрацией 50 мас.%). По прошествии 18 ч добавляли 0,2 мл насыщенного водного раствора бикарбоната натрия и фазы разделяли. Органическую фазу промывали 20 мл насыщенного водного раствора бикарбоната натрия, сушили над сульфатом магния, фильтровали, а затем выпаривали с получением в виде белого твердого вещества 250 мг (выход: 100%) 3-трет-бутил-7-метансульфонил-3,4-дигидро-1-метилпиримидо[4,5-d]пиримидин-2(1Н)-она. Пример 6 Смесь 200 мг (0,65 ммоля) 3-циклопентил-7-метансульфонил-3,4-дигидро-1-метилпиримидо[4,5-d]пиримидин-2(1Н)-она с 300 мг (1,4 ммоля) 4-[2-(диэтиламино)этокси]анилина выдерживали при 180°С в течение 35 мин, а затем охлаждали. Остаток хроматографировали на силикагеле, используя для элюирования дихлорметан/метанол/уксусную кислоту/воду (в соотношении 240/24/3/2). Содержавшие продукт фракции объединяли и выпаривали. Остаток выпаривали с толуолом, а затем растворяли в 30 мл дихлорметана. Раствор промывали 20 мл насыщенного водного раствора бикарбоната натрия, сушили над сульфатом магния, фильтровали и выпаривали. Остаток очищали высокоэффективной жидкостной хроматографией (ВЭЖХ) с обращенной фазой. Подвижная фаза представляла собой воду/0,1% трифторуксусной кислоты (А) и ацетонитрил/0,07% трифторуксусной кислоты (Б); градиент составлял 5-95% Б в течение 20 мин и продукт детектировали с помощью ультрафиолетового детектора при длине волны 215 нм. Содержавшие продукт фракции лиофилизировали с получением в виде белого твердого вещества 20 мг (выход: 7%) 3-циклопентил-7-{4-[2-(диэтиламино)этокси]анилино}-3,4-дигидро-1-метилпиримидо[4,5-d]пиримидин-2(1H)-она с температурой плавления 89°С. Использованный в качестве исходного материала 3-циклопентил-7-метансульфонил-3,4-дигидро-1-метилпиримидо[4,5-d]пиримидин2(1Н)-он готовили аналогично примеру 5а)-в), применяя циклопентиламин вместо трет-бутиламина. Пример 7 Смесь 120 мг (0,27 ммоля) 3-(2,6-дихлорфенил)-7-метансульфонил-3,4-дигидро-1-фенилпиримидо[4,5-d]пиримидин-2(1Н)-она с 370 мг (1,8 ммоля) 4-[2-(диэтиламино)этокси]анилина выдерживали при 180°С в течение 40 мин, а затем охлаждали. Остаток хроматографировали на силикагеле, используя для элюирования дихлорметан/метанол/уксусную кислоту/воду (в соотношении 240/24/3/2). Содержавшие продукт фракции объединяли и выпаривали. Остаток выпаривали с толуолом, а затем растворяли в 50 мл дихлорметана. Раствор промывали 50 мл насыщенного водного раствора бикарбоната натрия, сушили над сульфатом магния, фильтровали и выпаривали. Остаточное твердое вещество очищали кристаллизацией из циклогексана/этилацетата с получением в виде не совсем белого твердого вещества 10 мг (выход: 6%) 3-(2,6-дихлорфенил-7-{4-[2-(диэтиламино)этокси]анилино}-3,4-дигидро-1-фенилпиримидо[4,5-d]пиримидин-2(1Н)-она с температурой плавления 162-163°С. Использованный в качестве исходного материала 3-(2,6-дихлорфенил-7-метансульфонил-3,4-дигидро-1-фенилпиримидо[4,5-d]пиримидин-2(1Н)-он готовили следующим образом. а) Смесь 4 г (17,2 ммоля) этил-4-хлор-2-метилтиопиримидин-5-карбоксилата с 5 г (54 ммоля) анилина в 40 мл диоксана при комнатной температуре перемешивали в течение 24 ч. Далее смесь выпаривали и к остатку добавляли 100 мл этилацетата и 50 мл 2 М водной соляной кислоты. Фазы разделяли и органическую фазу промывали 50 мл водной соляной кислоты, сушили над сульфатом магния, фильтровали и выпаривали. Полученное твердое вещество очищали кристаллизацией из водного этанола с получением в виде белого твердого вещества 3,5 г (выход: 64%) этил-4-фениламино-2-метилтиопиримидин-5-карбоксилата. б) Раствор 3,5 г (11,1 ммоля) этил-4-фениламино-2-метилтиопиримидин-5-карбоксилата в 50 мл тетрагидрофурана охлаждали льдом и затем обрабатывали добавлением по каплям 12 мл (12 ммоля) 1 М литийалюминийгидрида в тетрагидрофуране. Охлаждающую баню удаляли и при комнатной температуре смесь перемешивали в течение 3 ч. Далее смесь охлаждали льдом и осторожно обрабатывали добавлением по каплям 0,5 мл воды, 0,75 мл 2 М водного гидроксида натрия, а затем 1 мл воды. Образовавшуюся суспензию фильтровали через вспомогательное фильтровальное вещество. Фильтрат выпаривали с получением в виде желтого масла 2,7 г (выход: 98%) 4-фениламино-2-метилтиопиримидин-5-метанола. в) 2,7 г (10,9 ммоля) 4-фениламино-2-метилтиопиримидин-5-метанола перемешивали в 50 мл дихлорметана и обрабатывали 9,6 г (111 ммоля) диоксида марганца. Образовавшуюся суспензию перемешивали в течение 18 ч, а затем фильтровали через вспомогательное фильтровальное вещество. Фильтрат выпаривали, а остаток хроматографировали на силикагеле, используя для элюирования диэтиловый эфир/гексан (1/1). Содержавшие продукт фракции объединяли и выпаривали с получением в виде белого твердого вещества 1,8 г (выход: 67%) 4-фениламино-2-метилтиопиримидин-5-карбоксальдегида. г) Смесь 700 мг (2,9 ммоля) 4-фениламино-2-метилтиопиримидин-5-карбоксальдегида, 490 мг (3,0 ммоля) 2,6-дихлоранилина и 100 мг (0,5 ммоля) 4-толуолсульфокислоты в 50 мл толуола кипятили с обратным холодильником с азеотропным удалением воды в течение 18 ч. Смесь охлаждали и выпаривали. Добавляли 50 мл метанола и 400 мг (11,7 ммоля) боргидрида натрия и смесь кипятили с обратным холодильником в течение 20 мин, охлаждали, а затем выпаривали. Остаток в течение 30 мин перемешивали в смеси 50 мл 2 М водного гидроксида натрия с 50 мл этилацетата, после чего фазы разделяли. Органическую фазу сушили над сульфатом магния, фильтровали и выпаривали. Экспресс-хроматографией остатка на силикагеле с использованием для элюирования диэтилового эфира/гексана (2/3) в виде белого твердого вещества получали 410 мг (выход: 36%) 5-(2,6-дихлорфенил)аминометил-4-фениламино-2-метилтиопиримидина. д) Охлаждаемый льдом перемешиваемый раствор 0,25 мл (0,48 мл) фосгена (20%-ный в толуоле) в 5 мл тетрагидрофурана обрабатывали добавлением по каплям раствора 100 мг (0,26 ммоля) 5-(2,6-дихлорфенил)аминометил-4-фениламино-2-метилтиопиримидина и 0,1 мл (0,7 ммоля) триэтиламина в 10 мл тетрагидрофурана. При комнатной температуре смесь перемешивали в течение 3 дней. Добавляли 20 мл тетрагидрофурана и 20 мл насыщенного водного раствора хлорида аммония, фазы разделяли и органическую фазу сушили над сульфатом магния, фильтровали и выпаривали с получением в виде белого твердого вещества 110 мг (выход: 100%) 3-(2,6-дихлорфенил)-7-метилтио-3,4-дигидро-1-фенилпиримидо[4,5-d]пиримидин-2(1Н)-она. е) Раствор 110 мг (0,26 ммоля) 3-(2,6-дихлорфенил)-7-метилтио-3,4-дигидро-1-фенилпиримидо[4,5-d]пиримидин-2(1Н)-она в 5 мл дихлорметана обрабатывали 190 мг (0,55 ммоля) 3-хлорпербензойной кислоты (в воде концентрацией 50 мольных %). По прошествии 18 ч добавляли 40 мл насыщенного водного раствора бикарбоната натрия и 40 мл дихлорметана и фазы разделяли. Органическую фазу сушили над сульфатом магния, фильтровали и выпаривали с получением в виде бледно-желтого масла 120 мг (выход: 100%) 3-(2,6-дихлорфенил)-7-метансульфонил-3,4-дигидро-1-фенилпиримидо[4,5-d]пиримидин-2(1Н)-она. Пример 8 Смесь 100 мг (0,25 ммоля) 3-(2,6-дихлорфенил)-1-этил-7-метансульфонил-3,4-дигидропиримидо[4,5-d]пиримидин-2(1Н)-она со 120 мг (0,5 ммоля) 4-[2-(диэтиламино)этокси]анилина выдерживали при 180°С в течение 35 мин, а затем охлаждали. Остаток хроматографировали на силикагеле, используя для элюирования дихлорметан/метанол/уксусную кислоту/воду (в соотношении 240/24/3/2). Содержавшие продукт фракции объединяли и выпаривали. Остаток выпаривали с толуолом, а затем растворяли в 50 мл дихлорметана. Раствор промывали 50 мл насыщенного водного раствора бикарбоната натрия, сушили над сульфатом магния, фильтровали и выпаривали с получением в виде окрашенного в оранжевый цвет твердого вещества 30 мг (выход: 22%) 3-(2,6-дихлорфенил-1-этил-7-{4-[2-(диэтиламино)этокси]анилино}-3,4-дигидропиримидо[4,5-d]пиримидин-2(1Н)-она с температурой плавления 85°С. Использованный в качестве исходного материала 3-(2,6-дихлорфенил-1-этил-7-метансульфонил-3,4-дигидропиримидо[4,5-d]пиримидин-2(1Н)-он готовили следующим образом. а) Смесь 49 г (246 ммолей) 4-амино-5-карбэтоксипиримидин-2-тиола с 42 г (304 ммолей) карбоната калия в 400 мл ацетона обрабатывали 50 г (352 ммоля) йодметана. После перемешивания в течение 3 ч добавляли 500 мл воды. Фазы разделяли и водную фазу дважды экстрагировали с использованием каждый раз по 300 мл дихлорметана. Объединенные органические фазы промывали 100 мл рассола, сушили над сульфатом магния, фильтровали и выпаривали с получением в виде бледно-желтого твердого вещества 45,2 г (выход: 86%) этил-4-амино-2-метилтиопиримидин-5-карбоксилата. б) 13 г (338 ммолей) литийалюминийгидрида перемешивали в 300 мл тетрагидрофурана и обрабатывали добавлением по каплям раствора 45 г (211 ммолей) этил-4-амино-2-метилтиопиримидин-5-карбоксилата в 300 мл тетрагидрофурана. Спустя 15 мин после завершения этого добавления смесь охлаждали льдом и осторожно обрабатывали добавлением по каплям 25 мл воды. После перемешивания в течение 2 ч при комнатной температуре смесь фильтровали через вспомогательное фильтровальное вещество и фильтрат выпаривали. Остаток растирали в порошок в 500 мл дихлорметана/гексана (1/1), собирали фильтрованием и сушили с получением в виде белого твердого вещества 28 г (выход: 78%) 4-амино-2-метилтиопиримидин-5-метанола. в) 28 г (164 ммоля) 4-амино-2-метилтиопиримидин-5-метанола перемешивали в 500 мл дихлорметана и обрабатывали 150 г (1,7 моля) диоксида марганца. Образовавшуюся суспензию перемешивали в течение 24 ч, а затем фильтровали через вспомогательное фильтровальное вещество. Фильтрат выпаривали с получением в виде бледно-желтого твердого вещества 20,2 г (выход: 73%) 4-амино-2-метилтиопиримидин-5-карбоксальдегида. г) Смесь 10 г (59,2 ммоля) 4-амино-2-метилтиопиримидин-5-карбоксальдегида, 9,7 г (59,9 ммоля) 2,6-дихлоранилина и 1 г (5,3 ммоля) 4-толуолсульфокислоты в 200 мл ксилола кипятили с азеотропным удалением воды в течение 24 ч. Смесь охлаждали и выпаривали. К осадку добавляли 50 мл уксусной кислоты и 20 мл толуола. Смесь охлаждали льдом и обрабатывали добавлением в течение 30 мин порциями по 5 г (147 ммолей) боргидрида натрия. По прошествии 1 ч смесь выпаривали и остаток перемешивали в течение 1 ч в смеси 100 мл этилацетата со 100 мл 2 М водного гидроксида натрия. Фазы разделяли и органическую фазу сушили над сульфатом магния, фильтровали и выпаривали. В результате кристаллизации остатка из водного этанола в виде белого твердого вещества получали 2,4 г (выход: 13%) 5-(2,6-дихлорфенил)аминометил-4-амино-2-метилтиопиримидина. Маточный раствор выпаривали и экспресс-хроматографией остатка на силикагеле с использованием для элюирования диэтилового эфира/гексана (1/1) в виде белого твердого вещества получали дополнительно 2,1 г (выход: 11%) 5-(2,6-дихлорфенил)аминометил-4-амино-2-метилтиопиримидина. д) Охлажденный льдом перемешиваемый раствор 5,8 мл (11,2 ммоля) фосгена (20%-ный в толуоле) в 80 мл тетрагидрофурана обрабатывали добавлением по каплям раствора 1,76 г (5,6 ммоля) 5-(2,6-дихлорфенил)аминометил-4-амино-2-метилтиопиримидина и 1,6 мл (11,2 ммоля) триэтиламина в 80 мл тетрагидрофурана. Смесь перемешивали в течение 1 ч. Добавляли 50 мл тетрагидрофурана и 50 мл насыщенного водного раствора хлорида аммония. Фазы разделяли и органическую фазу промывали насыщенным водным раствором хлорида аммония, сушили над сульфатом магния, фильтровали и выпаривали с получением в виде белого твердого вещества 1,7 г (выход: 89%) 3-(2,6-дихлорфенил)-7-метилтио-3,4-дигидропиримидо[4,5-d]пиримидин-2(1Н)-она. е) Раствор 220 мг (0,64 ммоля) 3-(2,6-дихлорфенил)-7-метилтио-3,4-дигидропиримидо[4,5-d]пиримидин-2(1Н)-она в 10 мл дихлорметана обрабатывали 440 мг (1,28 ммоля) 3-хлорпербензойной кислоты (в воде концентрацией 50 мас.%) и перемешивали в течение 18 ч. Добавляли 0,2 мл диметилсульфоксида. По прошествии еще 15 мин добавляли 15 мл насыщенного водного раствора бикарбоната натрия. Фазы разделяли и затем органическую фазу промывали 30 мл насыщенного водного раствора бикарбоната натрия, сушили над сульфатом магния и выпаривали с получением в виде белого твердого вещества 250 мг (выход: 100%) 3-(2,6-дихлорфенил)-7-метансульфонил-3,4-дигидропиримидо[4,5-d]пиримидин-2(1Н)-она. ж) Охлажденный льдом раствор 100 мг (0,27 ммоля) 3-(2,6-дихлорфенил)-7-метансульфонил-3,4-дигидропиримидо[4,5-d]пиримидин-2(1Н)-она в 6 мл диметилформамида обрабатывали 11 мг (0,27 ммоля) гидрида натрия (концентрацией 60 мас.%). По прошествии 30 мин смесь обрабатывали 0,03 мл (0,3 ммоля) йодэтана, а затем выдерживали при 90°С в течение 2 ч. Смесь выпаривали и остаток обрабатывали 30 мл дихлорметана и 30 мл воды. Фазы разделяли и органическую фазу промывали 30 мл воды, сушили над сульфатом магния, фильтровали и выпаривали с получением в виде желтого твердого вещества 100 мг (выход: 92%) 3-(2,6-дихлорфенил)-1-этил-7-метансульфонил-3,4-дигидропиримидо[4,5-d]пиримидин-2(1Н)-она. Пример 9 Смесь 100 мг (0,22 ммоля) 1-бензил-3-(2,6-дихлорфенил)-7-метансульфонил-3,4-дигидропиримидо[4,5-d]пиримидин-2(1Н)-она со 120 мг (0,5 ммоля) 4-[2-(диэтиламино)этокси]анилина выдерживали при 180°С в течение 35 мин, а затем охлаждали. Остаток хроматографировали на силикагеле, используя для элюирования дихлорметан/метанол/уксусную кислоту/воду (в соотношении 240/24/3/2). Содержавшие продукт фракции объединяли и выпаривали. Остаток выпаривали с толуолом, а затем растворяли в 50 мл дихлорметана. Раствор промывали 50 мл насыщенного водного раствора бикарбоната натрия, сушили над сульфатом магния, фильтровали и выпаривали с получением в виде белого твердого вещества 30 мг (выход: 23%) 1-бензил-3-(2,6-дихлорфенил)-7-{4-[2-(диэтиламино)этокси]анилино}-3,4-дигидропиримидо[4,5-d]пиримидин-2(1Н)-она с температурой плавления 106°С. Использованный в качестве исходного материала 1-бензил-3-(2,6-дихлорфенил-7-метансульфонил-3,4-дигидропиримидо[4,5-d]пиримидин-2(1Н)-он готовили следующим образом. Охлажденный льдом раствор 100 мг (0,27 ммоля) 3-(2,6-дихлорфенил)-7-метансульфонил-3,4-дигидропиримидо[4,5-d]пиримидин-2(1Н)-она в 6 мл диметилформамида обрабатывали 11 мг (0,27 ммоля) гидрида натрия (концентрацией 60 мас.%). По прошествии 30 мин смесь обрабатывали 0,04 мл (0,3 ммоля) бензилбромида, а затем выдерживали при 90°С в течение 2 ч. Смесь выпаривали и к остатку добавляли 30 мл дихлорметана и 30 мл воды. Фазы разделяли и органическую фазу промывали 30 мл воды, сушили над сульфатом магния, фильтровали и выпаривали с получением в виде желтого твердого вещества 100 мг (выход: 80%) 1-бензил-3-(2,6-дихлорфенил)-7-меансульфонил-3,4-дигидропиримидо[4,5-d]пиримидин-2(1Н)-она. Пример 10 Смесь 60 мг (0,13 ммоля) 3-(2,6-дихлорфенил)-7-метансульфонил-3,4-дигидро-1-[(3-пиридил)метил]пиримидо[4,5-d]пиримидин-2(1H)-она со 150 мг (0,72 ммоля) 4-[2-(диэтиламино)этокси]анилина выдерживали при 180°С в течение 35 мин, а затем охлаждали. Остаток хроматографировали на силикагеле, используя для элюирования дихлорметан/метанол/уксусную кислоту/воду (в соотношении 240/24/3/2). Содержавшие продукт фракции объединяли и выпаривали. Остаток выпаривали с толуолом, а затем растворяли в 50 мл дихлорметана, промывали 50 мл насыщенного водного раствора бикарбоната натрия, сушили над сульфатом магния, фильтровали и выпаривали. Остаток очищали ВЭЖХ с обращенной фазой. Подвижная фаза представляла собой воду/0,1% трифторуксусной кислоты (А) и ацетонитрил/0,07% трифторуксусной кислоты (Б). Градиент составлял 5-95% Б в течение 20 мин, причем продукт детектировали с помощью ультрафиолетового детектора при длине волны 215 нм. Содержавшие продукт фракции лиофилизировали с получением в виде белого твердого вещества 16 мг (выход: 17%) 3-(2,6-дихлорфенил)-7-{4-[2-(диэтиламино)этокси]анилино}-3,4-дигидро-1-[(3-пиридил)метил]пиримидо-[4,5-d]пиримидин-2(1Н)-она с температурой плавления 64°С. Использованный в качестве исходного материала 3-(2,6-дихлорфенил)-7-метансульфонил-3,4-дигидро-1-[(3-пиридил)метил]пиримидо[4,5-d]-пиримидин-2(1Н)-он готовили следующим образом. Охлажденный льдом раствор 100 мг (0,27 ммоля) 3-(2,6-дихлорфенил)-7-метансульфонил-3,4-дигидропиримидо[4,5-d]пиримидин-2(1Н)-она в 6 мл диметилформамида обрабатывали 22 мг (0,54 ммоля) гидрида натрия (концентрацией 60 мас.%). По прошествии 30 мин смесь обрабатывали 50 мг (0,3 ммоля) гидрохлорида пиколилхлорида, а затем выдерживали при 90°С в течение 2 ч и при 100°С в течение еще часа. Смесь выпаривали и остаток обрабатывали 30 мл дихлорметана и 30 мл воды. Фазы разделяли и органическую фазу промывали 30 мл воды, сушили над сульфатом магния, фильтровали и выпаривали с получением в виде желтого твердого вещества 60 мг (выход: 48%) 3-(2,6-дихлорфенил)-7-метансульфонил-3,4-дигидро-1[(3-пиридил)метил]пиримидо[4,5-d]пиримидин-2(1Н)-она. Пример 11 Смесь 110 мг (0,29 ммоля) 3-(2,6-дихлорфенил)-7-метансульфонил-3,4-дигидро-1-метилпиримидо[4,5-d]пиримидин-2(1Н)-она с 0,31 мл (2,9 ммоля) бензиламина выдерживали при 180°С в течение 10 мин, а затем охлаждали. К остатку добавляли 30 мл этилацетата и 30 мл 2 М водной соляной кислоты. Фазы разделяли и органическую фазу промывали последовательно 20 мл 5%-ного водного раствора бикарбоната натрия и 20 мл рассола, сушили над сульфатом магния, фильтровали и выпаривали с получением в виде белого твердого вещества 93 мг (выход: 79%) 7-бензиламино-3-(2,6-дихлорфенил)-3,4-дигидро-1-метилпиримидо[4,5-d]пиримидин-2(1Н)-она с температурой плавления 195-198°С. Пример 12 Смесь 100 мг (0,26 ммоля) 3-(2,6-дихлорфенил)-7-метансульфонил-3,4-дигидро-1-метилпиримидо[4,5-(1]пиримидин-2(1H)-она с 0,25 мл (2,6 ммоля) 4-фторанилина выдерживали при 180°С в течение 30 мин, а затем охлаждали. К остатку добавляли 30 мл этилацетата и 30 мл 2 М водной соляной кислоты. Фазы разделяли и органическую фазу промывали 20 мл рассола, сушили над сульфатом магния, фильтровали и выпаривали. Остаток хроматографировали на силикагеле, используя для элюирования этилацетат/гексан (2/3). Содержавшие продукт фракции объединяли и выпаривали с получением в виде светло-серого твердого вещества 40 мг (выход: 37%) 3-(2,6-дихлорфенил)-7-(4-фторанилино)-3,4-дигидро-1-метилпиримидо[4,5-d]пиримидин-2(1Н)-она с температурой плавления 208-211°С. Пример 13 Смесь 100 мг (0,26 ммоля) 3-(2,6-дихлорфенил)-7-метансульфонил-3,4-дигидро-1-метилпиримидо[4,5-d]пиримидин-2(1Н)-она с 0,24 мл (2,6 ммоля) анилина выдерживали при 180°С в течение 30 мин, а затем охлаждали. К остатку добавляли 30 мл этилацетата и 30 мл 2 М водной соляной кислоты. Фазы разделяли и органическую фазу промывали 20 мл рассола, сушили над сульфатом магния, фильтровали и выпаривали. Остаток хроматографировали на силикагеле, используя для элюирования этилацетат/гексан (1/1). Содержавшие продукт фракции объединяли и выпаривали с получением в виде бледно-пурпурного твердого вещества 42 мг (выход: 40%) 7-анилино-3-(2,6-дихлорфенил)-3,4-дигидро-1-метилпиримидо[4,5-d]пиримидин-2(1Н)-она с температурой плавления 222-224°С. Пример 14 Смесь 100 мг (0,26 ммоля) 3-(2,6-дихлорфенил)-7-метансульфонил-3,4-дигидро-1-метилпиримидо[4,5-d]пиримидин-2(1Н)-она с 0,32 мл (2,6 ммоля) 4-метоксианилина выдерживали при 60°С в течение 4 ч, а затем охлаждали. К остатку добавляли 10 мл 2 М водной соляной кислоты. Выпадавшее в осадок желтое твердое вещество отфильтровывали, промывали последовательно 2 М водной соляной кислотой, водой и диэтиловым эфиром, а затем сушили с получением в виде желтого твердого вещества 45 мг (выход: 40%) 3-(2,6-дихлорфенил)-3,4-дигидро-7-(4-метоксианилино)-1-метилпиримидо[4,5-d]пиримидин-2(1Н)-она с температурой плавления 175°С (с разложением). Пример 15 Смесь 200 мг (0,52 ммоля) 3-(2,6-дихлорфенил)-7-метансульфонил-3,4-дигидро-1-метилпиримидо[4,5-d]пиримидин-2(1Н)-она со 140 мг (0,8 ммоля) 4-[2-(диметиламино)этокси]анилина выдерживали при 160°С в течение 2 ч, а затем охлаждали. Остаток хроматографировали на силикагеле, используя для элюирования вначале дихлорметан/метанол/уксусную кислоту/воду (в соотношении 240/24/3/2), а затем дихлорметан/метанол/уксусную кислоту/воду (в соотношении 90/18/3/2). Содержавшие продукт фракции объединяли и выпаривали. Остаток выпаривали с толуолом, а затем растворяли в 40 мл дихлорметана, промывали 40 мл насыщенного водного раствора бикарбоната натрия, сушили над сульфатом магния, фильтровали и выпаривали с получением в виде белого твердого вещества 35 мг (выход: 23%) 3-(2,6-дихлорфенил)-7-{4-[2-(диметиламино)этокси]анилино}3,4-дигидро-1-метилпиримидо[4,5-d]пиримидин-2(1Н)-она с температурой плавления 175-174°С. Использованный в качестве исходного материала 4-[2-(диметиламино)этокси]анилин готовили следующим образом. а) Суспензию 5 г (36 ммолей) 4-нитрофенола в 250 мл ксилола обрабатывали раствором 1,63 г (41 ммоль) гидроксида натрия в 20 мл воды и при комнатной температуре смесь перемешивали в течение 30 мин. Далее смесь обрабатывали 7,5 г (54 ммоля) карбоната калия и 5,11 г (36 ммолей) гидрохлорида диметиламиноэтилхлорида. Смесь кипятили с обратным холодильником в течение 2 ч, а затем в течение еще 24 ч с азеотропным удалением воды. Смесь фильтровали в горячем состоянии и твердое вещество промывали горячим ксилолом. Объединенные фильтрат и промывные жидкости выпаривали и остаток перегоняли под высоким вакуумом с получением в виде жидкости, окрашенной в оранжевый цвет, 1,28 г (выход: 20%) 4-[2-(диметиламино)этокси]нитробензола. б) Раствор 880 мг (3,7 ммоля) 4-[2-(диметиламино)этокси]нитробензола в 10 мл этанола гидрогенизировали под атмосферным давлением в течение 3 ч над 88 мг 10%-ного палладия на угле. Суспензию фильтровали через слой вспомогательного фильтровального вещества и фильтрат выпаривали с получением в виде жидкости, окрашенной в оранжевый цвет, 680 мг (выход: 100%) 4-[2-(диметиламино)этокси]анилина. Пример 16 а) Смесь 200 мг (0,52 ммоля) 3-(2,6-дихлорфенил)-3,4-дигидро-7-метансульфонил-1-метилпиримидо[4,5-d]пиримидин-2(1Н)-она с 800 мг (4,47 ммоля) этил-4-аминофенилацетата выдерживали при 185°С в течение 45 мин. Остаток разделяли между 10 мл этилацетата и 10 мл 2 М соляной кислоты, а нерастворимое твердое вещество, окрашенное в кремовый цвет, собирали фильтрованием и промывали 20 мл воды и 20 мл этилацетата и затем сушили под высоким вакуумом. Выделяли 95 мг (выход: 38%) этил-2-{4-{[3-(2,6-дихлорфенил)-1,2,3,4-тетрагидро-1-метил-2-оксопиримидо[4,5-d]пиримидин-7-ил]амино} фенил} ацетата с температурой плавления 211-212°С. б) В перемешиваемый раствор 40 мг (82 мкмоля) этил-2{4-{[3-(2,6-дихлорфенил)-1,2,3,4-тетрагидро-1-метил-2-оксопиримидо[4,5-d]пиримидин-7-ил]амино}фенил}ацетата в 4 мл безводного тетрагидрофурана при 0°С по каплям вводили 91 мкл (91 мкмолей) 1,0 М раствора литийалюминийгидрида в безводном тетрагидрофуране и смесь перемешивали в течение еще 90 мин. Реакцию гасили 10 мл 2 М гидроксида натрия и смесь дважды экстрагировали, используя каждый раз по 10 мл этилацетата. Объединенные органические экстракты сушили над сульфатом магния, фильтровали и выпаривали. Остаток очищали экспресс-хроматографией на силикагеле с использованием для элюирования этилацетата/гексана (2/1). Содержавшие продукт фракции выпаривали с получением в виде белого твердого вещества 25 мг (выход: 68%) 3-(2,6-дихлорфенил)-3,4-дигидро-7-[4-(2-гидроксиэтил)анилино]-1-метилпиримидо[4,5-d]пиримидин2(1Н)-она с температурой плавления 148-151°С. Использованный в качестве исходного материала этил-4-аминофенилацетат готовили следующим образом. Раствор 1 г (4,78 ммоля) этил-4-нитрофенилацетата в 10 мл сухого метанола обрабатывали добавлением 100 мг 10%-ного палладия на угле, а затем при комнатной температуре и под атмосферным давлением гидрогенизировали в течение 4 ч. Фильтрованием удаляли катализатор и фильтрат выпаривали с получением в виде подвижного желтого масла 830 мг (выход: 97%) этил-4-аминофенилацетата. Пример 17 Смесь 100 мг (0,26 ммоля) 3-(2,6-дихлорфенил)-3,4-дигидро-7-метансульфонил-1-метилпиримидо[4,5-d]пиримидин-2(1Н)-она с 400 мкл (3,4 ммоля) фенетиламина выдерживали при 180°С в течение 4 ч, а затем охлаждали до комнатной температуры. Смесь растворяли в 10 мл этилацетата и промывали последовательно 10 мл 2 М соляной кислоты и 10 мл насыщенного водного раствора бикарбоната натрия. Этилацетатную фазу выделяли, сушили над сульфатом магния, фильтровали и выпаривали. Сырой продукт очищали экспресс-хроматографией на силикагеле, используя для элюирования 5% метанола/дихлорметан. Содержавшие продукт фракции объединяли и выпаривали с получением в виде бледно-желтого твердого вещества 35 мг 3-(2,6-дихлорфенил)-3,4-дигидро-1-метил-7-(2-фенилэтиламино)пиримидо[4,5-d]пиримидин-2(1Н)-она с температурой плавления 148-151°С. Пример 18 Смесь 2,2 г (5,7 ммоля) 3-(2,6-дихлорфенил)-3,4-дигидро-7-метансульфонил-1-метилпиримидо[4,5-d]пиримидин-2(1Н)-она с 4,8 г (28,5 ммоля) 2,4-диметоксибензиламина выдерживали при 55°С в течение 2 ч, а затем оставляли остывать. Смесь растворяли в 100 мл дихлорметана и промывали последовательно 30 мл 2 М соляной кислоты, 30 мл насыщенного водного раствора бикарбоната натрия и 30 мл рассола. Органическую фазу выделяли, сушили над сульфатом магния, фильтровали и выпаривали. Остаток растирали в порошок в этилацетате/гексане (1/1) и в виде белого твердого вещества фильтрованием собирали 3-(2,6-дихлорфенил)-3,4-дигидро-7-(2,4-диметоксибензиламино)-1-метилпиримидо[4,5-d]пиримидин-2(1Н)-она, который сушили под высоким вакуумом при 40°С. После сушки получали 2,35 г продукта (выход: 87%) с температурой плавления 152-154°С. Пример 19 Раствор 200 мг (0,42 ммоля) 3-(2,6-дихлорфенил)-3,4-дигидро-7-(2,4-диметоксибензиламино)-1-метилпиримидо[4,5-d]пиримидин-2(1Н)-она в 2 мл дихлорметана обрабатывали 2 мл трифторуксусной кислоты и смесь перемешивали при комнатной температуре в азотной атмосфере в течение 5 ч. Растворитель выпаривали, остаток растирали в порошок в насыщенном водном растворе бикарбоната натрия, продукт собирали фильтрованием и сушили под пониженным давлением. Высушенный продукт очищали дальнейшим суспендированием в дихлорметане и фильтрованием через политетрафторэтиленовую мембрану. Фильтрат выпаривали и остаток сушили с получением в виде белого твердого вещества 115 мг (выход: 84%) 7-амино-3-(2,6-дихлорфенил)-3,4-дигидро-1-метилпиримидо[4,5-d]пиримидин-2(1Н)-она с температурой плавления 176-184°С. Пример 20 Раствор 100 мг (0,22 ммоля) 3-(2,6-дихлорфенил)-7-метансульфонил-1-фенил-3,4-дигидро-1Н-пиримидо[4,5-d]пиримидин-2-она и 300 мкл (2,4 ммоля) циклогексиламина в 2 мл дихлорметана при комнатной температуре перемешивали в течение ночи. Смесь разбавляли 10 мл дихлорметана, промывали 10 мл 2 М соляной кислоты и 10 мл насыщенного водного раствора бикарбоната натрия, сушили над сульфатом магния, фильтровали и выпаривали. В виде белой пены выделяли 99 мг (выход: 96%) 3-(2,6-дихлорфенил)-7-циклогексиламино-3,4-дигидро-1-фенилпиримидо[4,5-d]пиримидин-2(1Н)-она с температурой плавления 258-259° С. Пример 21 Раствор 100 мг (0,22 ммоля) 3-(2,6-дихлорфенил)-7-метансульфонил-1-фенил-3,4-дигидро-1Н-пиримидо[4,5-d]пиримидин-2-она и 2 мл метиламина в тетрагидрофуране при комнатной температуре перемешивали в течение 48 ч. Смесь разбавляли 10 мл этилацетата, промывали 10 мл 2 М соляной кислоты и 10 мл насыщенного водного раствора бикарбоната натрия, сушили над сульфатом магния, фильтровали и выпаривали. В виде белого твердого вещества выделяли 30 мг (выход: 34%) 3-(2,6-дихлорфенил)-3,4-дигидро-7-метиламино-1-фенилпиримидо[4,5-d]пиримидин-2(1Н)-она с температурой плавления 211-213°С. Пример 22 Раствор 100 мг (0,22 ммоля) 3-(2,6-дихлорфенил)-7-метансульфонил-1-фенил-3,4-дигидро-1Н-пиримидо[4,5-d]пиримидин-2-она и 200 мкл (2,12 ммоля) 4-аминопиридина в 2 мл дихлорметана при комнатной температуре перемешивали в течение ночи. Смесь выпаривали и остаток очищали экспресс-хроматографией на силикагеле, используя для элюирования смесь 10% метанола/дихлорметан. Содержавшие продукт фракции объединяли и выпаривали с получением в виде не совсем белого твердого вещества 16 мг (выход: 15%) 3-(2,6-дихлорфенил)-3,4-дигидро-1-фенил-7-[(4-пиридил)-амино]пиримидо[4,5-d]пиримидин-2(1Н)-она, который разлагался при 289°С. Пример 23 Раствор 100 мг (0,22 ммоля) 3-(2,6-дихлорфенил)-7-метансульфонил-1-фенил-3,4-дигидро-1Н-пиримидо[4,5-d]пиримидин-2-она и 285 мкл (2,2 ммоля) циклогексилметиламина в 2 мл дихлорметана при комнатной температуре перемешивали в течение ночи. Смесь разбавляли 10 мл дихлорметана, промывали 10 мл 2 М соляной кислоты и 10 мл насыщенного водного раствора бикарбоната натрия, сушили над сульфатом магния, фильтровали и выпаривали. В виде белой пены выделяли 100 мг (выход: 94%) 3-(2,6-дихлорфенил)-7-(циклогексилметиламино)-3,4-дигидро-1-фенилпири-мидо[4,5-d]пиримидин-2(1Н)-она с температурой плавления 229-233°С. Пример 24 Смесь 100 мг (0,22 ммоля) 3-(2,6-дихлорфенил)-7-метансульфонил-1-фенил-3,4-дигидро-1Н-пиримидо[4,5-d]пиримидин-2-она с 320 мкл (2,2 ммоля) 1-аминонафталина выдерживали при 130°С в течение 4 ч. Смесь оставляли остывать, а затем разделяли между 10 мл этилацетата и 2 М соляной кислотой. Фильтрованием удаляли нерастворимый гидрохлорид 1-аминонафталина. Этилацетатную фазу выделяли, промывали 10 мл насыщенного водного раствора бикарбоната натрия, сушили над сульфатом магния, фильтровали и выпаривали. Остаток очищали экспресс-хроматографией на силикагеле, используя для элюирования этилацетат/гексан (1/1). Содержавшие продукт фракции выпаривали с получением в виде бледно-розового твердого вещества 46 мг (выход: 40%) 3-(2,6-дихлорфенил)-3,4-дигидро-7-(1-нафтиламино)-1-фенилпиримидо[4,5-d]пиримидин-2(1Н)-она с температурой плавления 213-214°С. Пример 25 Смесь 100 мг (0,26 ммоля) 3-(2,6-дихлорфенил)-3,4-дигидро-7-метансульфонил-1-метилпиримидо[4,5-d]пиримидин-2(1Н)-она и 136 мг (1 ммоль) п-ксилолдиамина выдерживали при 70°С в течение 20 мин. Продукт очищали экспресс-хроматографией в колонке на силикагеле, используя для элюирования дихлорметан/метанол/воду/уксусную кислоту (в соотношении 90/18/3/2). Содержавшие продукт фракции объединяли и выпаривали. Остаток растворяли в 20 мл дихлорметана, промывали 20 мл насыщенного водного раствора бикарбоната натрия, сушили над сульфатом магния, фильтровали и выпаривали с получением в виде белого твердого вещества 35 мг (выход: 30%) 1-[4-(аминометил)бензиламино]-3-(2,6-дихлорфенил)-3,4-дигидро-1-метилпиримидо-[4,5-d]пиримидин-2(1Н)-она с температурой плавления 151-152°С. Пример 26 Смесь 100 мг (0,26 ммоля) 3-(2,6-дихлорфенил)-3,4-дигидро-7-метансульфонил-1-метилпиримидо[4,5-d]пиримидин-2(1Н)-она и 140 мг (1 ммоль) 2-(4-аминофенил)этиламина выдерживали при 70°С в течение 20 мин. Продукт очищали экспресс-хроматографией в колонке, используя для элюирования 5%-ный метанол в дихлорэтане. Содержавшие продукт фракции объединяли и выпаривали. Остаток перекристаллизовывали из этилацетата, выделяя в виде желтого твердого вещества 3 мг (выход: 3%) 7-[2-(4-аминофенил)этиламино]-3-(2,6-дихлорфенил)-3,4-дигидро-1-метилпиримидо[4,5-d]-пиримидин-2(1Н)-она с температурой плавления 174-175°С. Пример 27 Смесь 100 мг (0,26 ммоля) 3-(2,6-дихлорфенил)-3,4-дигидро-7-метансульфонил-1-метилпиримидо[4,5-d]пиримидин-2(1Н)-она и 238 мг (1,07 ммоля) 4-(2-диэтиламиноэтокси)бензиламина выдерживали при 170°С в течение 30 мин. Продукт очищали экспресс-хроматографией в колонке, используя для элюирования дихлорметан/метанол/воду/уксусную кислоту (в соотношении 240/14/3/2). Содержавшие продукт фракции объединяли и выпаривали с получением в виде белого твердого вещества 40 мг (выход: 29%) 3-(2,6-дихлорфенил)-7-{4-[2-(диэтиламино)этокси]бензиламин}-3,4-дигидро-1-метилпиримидо[4,5-d]пиримидин-2(1Н)-она с температурой плавления 137-138°С. Использованный в качестве исходного материала 4-(2-диэтиламиноэтокси)бензиламин готовили следующим образом. а) Раствор 8,04 г (67 ммолей) 4-цианофенола в 100 мл ксилола обрабатывали раствором 2,99 г (74 ммоля) гидроксида натрия в 20 мл воды и смесь перемешивали в течение 30 мин. В эту смесь добавляли 13,88 г (100 ммолей) карбоната калия и 12,83 г (75 ммолей) гидрохлорида 2-диэтиламиноэтилхлорида. Далее образовавшуюся смесь кипятили с обратным холодильником в течение 3 ч, после чего оставляли остывать, дважды промывали с использованием каждый раз по 50 мл воды, сушили над сульфатом магния, фильтровали и выпаривали с получением в виде бесцветной подвижной жидкости 10,93 г (выход: 74%) 4-(2-диэтиламиноэтокси)бензонитрила. б) 5 мл (5 ммолей) 1 М раствора литийалюминийгидрида по каплям при 0°С вводили в перемешиваемый раствор 1,01 г (5 ммолей) 4-(2-диэтиламиноэтокси) бензонитрила в 5 мл сухого тетрагидрофурана. Смесь нагревали до комнатной температуры и перемешивали в течение ночи. Реакцию останавливали осторожным добавлением 5 мл насыщенного раствора сегнетовой соли, а затем смесь выпаривали. Остаток разделяли между 25 мл диэтилового эфира и 25 мл воды и органическую фазу отделяли, сушили над сульфатом магния и выпаривали. Сырой продукт очищали экспресс-хроматографией на силикагеле, используя для элюирования дихлорметан/метанол/воду/уксусную кислоту (в соотношении 60/18/2/3). Содержавшие продукт фракции объединяли и выпаривали с получением в виде бесцветного масла 785 мг (выход: 71%) 4-(2-диэтиламиноэтокси)бензиламина [масс-спектрограмма (ESI): МН+=223]. Пример 28 Смесь 65 мг (0,19 ммоля) 3-(2,6-диметилфенил)-7-метансульфонил-3,4-дигидро-1-метилпиримидо[4,5-d]пиримидин-2(1Н)-она и 180 мг (0,87 ммоля) 4-[2-(диэтиламино)этокси]анилина выдерживали при 180°С в течение 30 мин, а затем охлаждали. Остаток подвергали обработке хроматографией в колонке на силикагеле, используя для элюирования дихлорметан/метанол/уксусную кислоту/воду (в соотношении 240/24/3/2). Содержавшие продукт фракции объединяли, выпаривали и остаток выпаривали с толуолом. Остаток растворяли в 20 мл дихлорметана, три раза промывали с использованием каждый раз по 20 мл насыщенного водного раствора бикарбоната натрия, сушили над сульфатом магния, фильтровали и выпаривали с получением в виде розового масла 15 мг продукта, который очищали ВЭЖХ. Подвижная фаза представляла собой воду/0,1% трифторуксусной кислоты (А) и ацетонитрил/0,07% трифторуксусной кислоты (Б); градиент составлял 5-95% Б в течение 20 мин; продукт детектировали с помощью ультрафиолетового детектора при длине волны 215 нм. Содержавшие продукт фракции лиофилизировали и лиофилизат растворяли в 20 мл дихлорметана, три раза промывали с использованием каждый раз по 20 мл насыщенного водного раствора бикарбоната натрия, сушили над сульфатом магния, фильтровали и выпаривали с получением в виде белого твердого вещества 10 мг (выход: 11%) 7-{4-[2-(диэтиламино)этокси]анилино}-3,4-дигидро-1-метил-3-(2,6-диметилфенил)пиримидо[4,5-d]пиримидин-2(1Н)-она с температурой плавления 58°С. Использованный в качестве исходного материала 3-(2,6-диметилфенил)-7-метансульфонил-3,4-дигидро-1-метилпиримидо[4,5-d]пиримидин-2(1Н)-он готовили следующим образом. а) В смесь 200 мг (1,1 моля) 4-метиламино-2-метилтиопиримидин-5-карбоксальдегида и 0,15 мл (1,2 ммоля) 2,6-диметиланилина в 5 мл дихлорметана вводили 350 мг (1,6 ммоля) триацетоксиборгидрида натрия, а затем 0,1 мл (1,7 ммоля) уксусной кислоты. По прошествии 5 ч дополнительно вводили 0,15 мл 2,6-диметиланилина и при комнатной температуре смесь перемешивали в течение 18 ч. Добавляли 20 мл насыщенного водного раствора бикарбоната натрия и 25 мл дихлорметана. Фазы разделяли и водную фазу дважды промывали 25 мл дихлорметана. Объединенные органические растворы сушили над сульфатом магния, фильтровали и выпаривали. Остаток подвергали хроматографии в колонке на силикагеле, используя для элюирования диэтиловый эфир/гексан (1/2). Содержавшие продукт фракции объединяли и выпаривали с получением в виде белого твердого вещества 40 мг (выход: 13%) 5-(2,6-диметилфенил) аминометил-4-метиламино-2-метилтиопиримидина [масс-спектрограмма (ESI): MH+=289] и в виде белого твердого вещества 200 мг (выход: 65%) 5-(2,6-диметилфенил)иминометил-4-метиламино-2-метил-тиопиримидина [масс-спектрограмма (ESI): МН+=287]. б) Смесь 195 мг (0,68 ммоля) 5-(2,6-диметилфенил)аминометил-4-метиламино-2-метилтиопиримидина и 0,19 мл (1,4 ммоля) триэтиламина в 10 мл диоксана по каплям вводили в охлажденный льдом раствор 0,085 мл (0,7 ммоля) трихлорметилхлорформиата в 10 мл диоксана. Далее смесь оставляли нагреваться до комнатной температуры. По прошествии еще 10 мин смесь выпаривали. К остатку добавляли 40 мл дихлорметана и 40 мл насыщенного водного раствора бикарбоната натрия. Фазы разделяли и дихлорметановую фазу сушили над сульфатом магния, фильтровали и выпаривали. Остаток растворяли в 15 мл пиридина и кипятили с обратным холодильником в течение 1 ч. Смесь охлаждали и выпаривали. Остаток разделяли между 20 мл дихлорметана и 20 мл 2 М соляной кислоты. Органическую фазу промывали 20 мл воды, сушили над сульфатом магния и выпаривали с получением в виде не совсем белого твердого вещества 100 мг (выход: 47%) 3-(2,6-диметилфенил)-7-метилтио-3,4-дигидро-1-метилпиримидо[4,5-d]пиримидин-2(1Н)-она [масс-спектрограмма (ESI): МН+=315]. в) Раствор 100 мг (0,32 ммоля) 3-(2,6-диметилфенил)-7-метилтио-3,4-дигидро-1-метилпиримидо[4,5-d]пиримидин-2(1Н)-она в 10 мл дихлорметана растирали в порошок совместно с 220 мг (0,64 ммоля) 3-хлорпербензойной кислоты (в воде концентрацией 50 мас.%). По прошествии 18 ч добавляли 30 мл насыщенного водного раствора бикарбоната натрия и 20 мл дихлорметана и фазы разделяли. Органическую фазу сушили над сульфатом магния, фильтровали и выпаривали с получением в виде белого твердого вещества 65 мг (выход: 59%) 3-(2,6-диметилфенил)-7-метансульфонил-3,4-дигидро-1-метилпиримидо[4,5-d]пиримидин-2(1Н)-она [масс-спектрограмма (ESI): MH+=347]. Пример 29 Смесь 250 мг (0,67 ммоля) 3-(2,6-дихлорфенил)-7-метансульфонил-3,4-дигидропиримидо[4,5-d]пиримидин-2(1Н)-она и 600 мг (2,9 ммоля) 4-[2-(диэтиламино) этокси]анилина выдерживали при 180°С в течение 35 мин, а затем охлаждали. Остаток подвергали обработке хроматографией в колонке на силикагеле, используя для элюирования дихлорметан/метанол/уксусную кислоту/воду (в соотношении 240/24/3/2). Содержавшие продукт фракции объединяли и выпаривали, а остаток выпаривали с толуолом. Остаток растворяли в 30 мл дихлорметана, дважды промывали с использованием каждый раз по 20 мл насыщенного водного раствора бикарбоната натрия, сушили над сульфатом магния, фильтровали и выпаривали. Остаток растирали в порошок в гексане, отфильтровывали и сушили с получением в виде не совсем белого твердого вещества 70 мг (выход: 21%) 3-(2,6-дихлорфенил)-7-{4-[2-(диэтиламино)этокси]анилино}-3,4-дигидропиримидо[4,5-d]пиримидин-2(1H)-она с температурой плавления 248°C. Пример 30 Смесь 70 мг (0,16 ммоля) 3-(2,6-дихлорфенил)-1-изопропил-7-метансульфонил-3,4-дигидропиримидо[4,5-d]пиримидин-2(1Н)-она и 166 мг (0,8 ммоля) 4-[2-(диэтиламино)этокси]анилина выдерживали при 180°С в течение 35 мин, а затем охлаждали. Остаток подвергали обработке хроматографией в колонке на силикагеле, используя для элюирования дихлорметан/метанол/уксусную кислоту/воду (в соотношении 240/24/3/2). Содержавшие продукт фракции объединяли, выпаривали и остаток выпаривали с толуолом. Остаток растворяли в 30 мл дихлорметана, дважды промывали с использованием каждый раз по 20 мл насыщенного водного раствора бикарбоната натрия, сушили над сульфатом магния, фильтровали и выпаривали с получением в виде белого твердого вещества 5 мг (выход: 22%) 3-(2,6-дихлорфенил)-7-{4-[2-(диэтиламино)этокси]анилино}-3,4-дигидро-1-изопропилпиримидо[4,5-d]пиримидин-2(1H)-она с температурой плавления 125°C. Использованный в качестве исходного материала 3-(2,6-дихлорфенил)-1-изопропил-7-метансульфонил-3,4-дигидропиримидо[4,5-d]пиримидин-2(1H)-он готовили следующим образом. а) Охлажденный льдом раствор 100 мг (0,27 ммоля) 3-(2,6-дихлорфенил)-7-метилтио-3,4-дигидропиримидо[4,5-d]пиримидин-2(1H)-она в 6 мл диметилформамида обрабатывали 13 мг (0,33 ммоля) гидрида натрия (концентрацией 60 мас.%). По прошествии 30 мин смесь обрабатывали 0,03 мл (0,3 ммоля) 2-бромпропана, а затем выдерживали при 90°C в течение 2 ч, охлаждали и оставляли стоять в течение 3 дней. Смесь выпаривали и остаток обрабатывали 30 мл дихлорметана и 30 мл воды. Фазы разделяли и органическую фазу промывали 30 мл воды, сушили над сульфатом магния, фильтровали и выпаривали с получением в виде желтого твердого вещества 60 мг (выход: 54%) 3-(2,6-дихлорфенил)-1-изопропил-7-метилтио-3,4-дигидропиримидо[4,5-d]пиримидин-2(1Н)-она [масс-спектрограмма (ESI): МН+=383]. б) Раствор 60 мг (0,16 ммоля) 3-(2,6-дихлорфенил)-1-изопропил-7-метилтио-3,4-дигидропиримидо[4,5-d]пиримидин-2(1Н)-она в 10 мл дихлорметана обрабатывали 108 мг (0,32 ммоля) 3-хлорпербензойной кислоты (в воде концентрацией 50 мас.%) и перемешивали в течение 18 ч. Добавляли 0,2 мл диметилсульфоксида. По прошествии еще 15 мин добавляли 15 мл насыщенного водного раствора бикарбоната натрия и фазы разделяли. Органическую фазу промывали 30 мл насыщенного водного раствора бикарбоната натрия, сушили над сульфатом магния и выпаривали с получением в виде белого твердого вещества 65 мг (выход: 100%) 3-(2,6-дихлорфенил)-1-изопропил-7-метансульфонил-3,4-дигидропиримидо[4,5-d]пиримидин-2(1Н)-она [масс-спектрограмма (ESI): MH+=415]. Пример 31 Смесь 200 мг (0,6 ммоля) 3-(2-метилфенил)-7-метансульфонил-3,4-дигидро-1-метилпиримидо[4,5-d]пиримидин-2(1Н)-она и 300 мг (1,4 ммоля) 4-[2-(диэтиламино)этокси]анилина выдерживали при 180°С в течение 35 мин, а затем охлаждали. Остаток подвергали обработке хроматографией в колонке на силикагеле, используя для элюирования дихлорметан/метанол/уксусную кислоту/воду (в соотношении 240/24/3/2). Содержавшие продукт фракции объединяли и выпаривали, а остаток выпаривали с толуолом. Остаток растворяли в 30 мл дихлорметана, дважды промывали с использованием каждый раз по 20 мл насыщенного водного раствора бикарбоната натрия, сушили над сульфатом магния, фильтровали и выпаривали с получением в виде розового твердого вещества 30 мг (выход: 11%) 7-{4-[2-(диэтиламино)этокси]анилино}-3,4-дигидро-1-метил-3-(2-метилфенил)пиримидо[4,5-d]пиримидин-2(1Н)-она с температурой плавления 132°С. Использованный в качестве исходного материала 3-(2-метилфенил)-7-метансульфонил-3,4-дигидро-1-метилпиримидо[4,5-d]пиримидин-2(1Н)-он готовили следующим образом. а) Смесь 300 мг (1,6 моля) 4-метиламино-2-метилтиопиримидин-5-карбоксальдегида, 0,20 мл (1,8 ммоля) о-толуидина и 59 мл (0,3 ммоля) 4-толуолсульфокислоты в 50 мл толуола кипятили с азеотропным удалением воды в течение 18 ч. Смесь охлаждали и выпаривали. Остаток растворяли в 40 мл этанола и нагревали до 70°С. Осторожно добавляли 300 мг (0,8 ммолей) боргидрида натрия и смесь выдерживали при 70°С в течение 2 ч. Дополнительно осторожно добавляли 300 мг (8 ммолей) боргидрида натрия и смесь выдерживали при повышенной температуре в течение еще часа. Смесь охлаждали, а затем выпаривали. Остаток разделяли между 50 мл 2 М водного раствора гидроксида натрия и 50 мл этилацетата. Органическую фазу сушили над сульфатом магния, фильтровали и выпаривали. Остаток подвергали обработке хроматографией в колонке на силикагеле с использованием для элюирования диэтилового эфира/гексана (1/1). Содержавшие продукт фракции объединяли и выпаривали с получением в виде белого твердого вещества 190 мг (выход: 43%) 5-(2-метилфенил) аминометил-4-метиламино-2-метилтиопиримидина [масс-спектрограмма (ESI): MH+=275]. б) Охлажденный льдом перемешиваемый раствор 0,7 мл (1,3 ммоля) фосгена (20%-ный в толуоле) в 5 мл тетрагидрофурана обрабатывали добавлением по каплям раствора, содержавшего 189 мг (0,69 ммоля) 5-(2-метилфенил) аминометил-4-метиламино-2-метилтиопиримидина и 0,2 мл (1,4 ммоля) триэтиламина в 5 мл тетрагидрофурана. Смесь перемешивали в течение 1 ч. В эту смесь добавляли 20 мл тетрагидрофурана и 20 мл насыщенного водного раствора хлорида аммония. Фазы разделяли и органическую фазу сушили над сульфатом магния, фильтровали и выпаривали с получением в виде окрашенного в кремовый цвет твердого вещества 210 мг (выход: 100%) 3-(2-метилфенил)-7-метилтио-3,4-дигидро-1-метилпиримидо[4,5-d]пиримидин-2(1Н)-она [масс-спектрограмма (ESI): MH+=301]. в) Раствор 210 мг (0,7 ммоля) 3-(2-метилфенил)-7-метилтио-3,4-дигидро-1-метилпиримидо[4,5-d]пиримидин-2(1Н)-она в 10 мл дихлорметана обрабатывали 482 мг (1,4 ммоля) 3-хлорпербензойной кислоты (в воде концентрацией 50 мас.%). По прошествии 18 ч добавляли 40 мл насыщенного водного раствора бикарбоната натрия и 40 мл дихлорметана и фазы разделяли. Органическую фазу сушили над сульфатом магния, фильтровали и выпаривали с получением в виде белого твердого вещества 200 мг (выход: 86%) 3-(2-метилфенил)-7-метансульфонил-3,4-дигидро-1-метилпиримидо[4,5-d]-пиримидин-2(1Н)-она [масс-спектрограмма (ESI): МН+=333]. Пример 32 Смесь 40 мг (0,096 ммоля) 3-(2,6-дихлорфенил)-7-метансульфонил-3,4-дигидро-1-фенилпиримидо[4,5-d]пиримидин-2(1Н)-она и 1 мл (11 ммолей) анилина выдерживали при 180°С в течение 45 мин, охлаждали и разделяли между 30 мл этилацетата и 30 мл 2 М соляной кислоты. Выделенную органическую фазу сушили над сульфатом магния, фильтровали и выпаривали. Остаток подвергали обработке хроматографией в колонке на силикагеле, используя для элюирования этилацетат/гексан (1/2). Содержавшие продукт фракции объединяли и выпаривали с получением рыжевато-коричневого твердого вещества, которое очищали ВЭЖХ. Подвижная фаза представляла собой воду/ 0,1% трифторуксусной кислоты (А) и ацетонитрил/0,07% трифторуксусной кислоты (Б); градиент составлял 5-95% Б в течение 20 мин; продукт детектировали с помощью ультрафиолетового детектора при длине волны 215 нм. Содержавшие продукт фракции лиофилизировали с получением в виде белого твердого вещества 5 мг (выход: 4%) 7-анилино-3-(2,6-дихлорфенил)-3,4-дигидро-1-фенилпиримидо[4,5-d]пиримидин-2(1Н)-она с температурой плавления 138°С. Пример 33 Смесь 56 мг (0,13 ммоля) 3-(2,6-дихлорфенил)-7-метансульфонил-3,4-дигидро-1-фенилпиримидо[4,5-d]пиримидин-2(1Н)-она и 1 мл 4-метоксибензиламина выдерживали при 100°С в течение 30 мин, затем охлаждали и разделяли между 30 мл дихлорметана и 30 мл 2 М соляной кислоты. Органическую фазу сушили над сульфатом магния, фильтровали и выпаривали с получением в виде желтого твердого вещества 68 мг (выход: 100%) 3-(2,6-дихлорфенил)-3,4-дигидро-7-(4-метоксибензил)амино-1-фенилпиримидо[4,5-d]пиримидин-2(1Н)-она с температурой плавления 56°С. Пример 34 Раствор 40 мг (0,96 ммоля) 3-(2,6-дихлорфенил)-7-(4-метоксибензил)-амино-3,4-дигидро-1-фенилпиримидо[4,5-d]пиримидин-2-она в 5 мл трифторуксусной кислоты кипятили с обратным холодильником в течение 5 ч. Смесь выпаривали и остаток разделяли между 30 мл этилацетата и 30 мл 2 М водного гидроксида натрия. Органическую фазу сушили над сульфатом магния, фильтровали и выпаривали, а остаток подвергали обработке хроматографией в колонке на силикагеле, используя для элюирования дихлорметан/метанол (20/1). Содержавшие продукт фракции объединяли и выпаривали с получением в виде белого твердого вещества 10 мг (выход: 27%) 7-амино-3-(2,6-дихлор-фенил)-3,4-дигидро-1-фенилпиримидо[4,5-d]пиримидин-2(1Н)-она с температурой плавления >300°С. Пример 35 Смесь 200 мг (0,56 ммоля) 3-(2,6-дифторфенил)-7-метансульфонил-3,4-дигидро-1-метилпиримидо[4,5-d]пиримидин-2(1Н)-она и 400 мг (1,9 ммоля) 4-[2-(диэтиламино)этокси]анилина выдерживали при 180°С в течение 30 мин, а затем охлаждали. Остаток подвергали обработке хроматографией в колонке на силикагеле, используя для элюирования дихлорметан/метанол/уксусную кислоту/воду (в соотношении 240/24/3/2). Содержавшие продукт фракции объединяли, выпаривали и остаток выпаривали с толуолом. Остаток растворяли в 40 мл дихлорметана, промывали 40 мл насыщенного водного раствора бикарбоната натрия, сушили над сульфатом магния, фильтровали и выпаривали с получением в виде окрашенного в оранжевый цвет твердого вещества 30 мг (выход: 11%) 7-{4-[2-(диэтиламино)этокси]анилино}-3-(2,6-дифторфенил)-3,4-дигидро-1-метилпиримидо[4,5-d]пиримидин-2(1Н)-она [масс-спектрограмма (ESI): MH+=483]. Использованный в качестве исходного материала 3-(2,6-дифторфенил)-7-метансульфонил-3,4-дигидро-1-метилпиримидо[4,5-d]пиримидин-2(1Н)-он готовили следующим образом. а) Смесь 300 мг (1,6 ммоля) 4-метиламино-2-метилтиопиримидин-5-карбоксальдегида, 232 мг (1,8 ммоля) 2,6-дифторанилина и 59 мл (0,3 ммоля) моногидрата 4-толуолсульфокислоты в 30 мл толуола кипятили с азеотропным удалением воды в течение 18 ч. Смесь охлаждали и выпаривали. Остаток растворяли в 20 мл тетрагидрофурана и по каплям добавляли в раствор 1,6 мл (1,6 ммоля) литийалюминийгидрида (1 М в тетрагидрофуране) в дополнительных 20 мл тетрагидрофурана. По прошествии 30 мин смесь охлаждали льдом и осторожно добавляли по каплям 0,5 мл воды, 0,75 мл 2 М раствора гидроксида натрия и, наконец, 1 мл воды. Образовавшуюся суспензию фильтровали через вспомогательное фильтровальное вещество и фильтрат выпаривали. Остаток подвергали обработке хроматографией в колонке на силикагеле с использованием для элюирования диэтилового эфира/гексана (1/1) с получением в виде белого твердого вещества 210 мг (выход: 44%) 5-(2,6-дифторфенил)аминометил-4-метиламино-2-метилтиопиримидина [масс-спектрограмма (ESI): MH+=297]. б) Охлажденный льдом перемешиваемый раствор 0,7 мл (1,3 ммоля) фосгена (20%-ный в толуоле) в 5 мл тетрагидрофурана обрабатывали добавлением по каплям раствора 210 мг (0,71 ммоля) 5-(2,6-дифторфенил)аминометил-4-метиламино-2-метилтиопиримидина и 0,2 мл (1,4 ммоля) триэтиламина в 5 мл тетрагидрофурана. Смесь перемешивали в течение 1 ч. В эту смесь добавляли 20 мл тетрагидрофурана и 20 мл насыщенного водного раствора хлорида аммония и фазы разделяли. Органическую фазу сушили над сульфатом магния, фильтровали и выпаривали с получением в виде белого твердого вещества 200 мг (выход: 87%) 3-(2,6-дифторфенил)-7-метилтио-3,4-дигидро-1-метилпиримидо[4,5-d]пиримидин-2(1Н)-она [масс-спектрограмма (ESI): MH+=323]. в) Раствор 200 мг (0,62 ммоля) 3-(2,6-дифторфенил)-7-метилтио-3.4-дигидро-1-метилпиримидо[4,5-d]пиримидин-2(1Н)-она в 10 мл дихлорметана обрабатывали 430 мг (1,24 ммоля) 3-хлорпербензойной кислоты (в воде концентрацией 50 мас.%). По прошествии 18 ч добавляли 40 мл насыщенного водного раствора бикарбоната натрия и 40 мл дихлорметана и фазы разделяли. Органическую фазу сушили над сульфатом магния, фильтровали и выпаривали с получением в виде белого твердого вещества 200 мг (выход: 91%) 3-(2,6-дифторфенил)-7-метансульфонил-3,4-дигидро-1-метилпиримидо[4,5-d]пиримидин-2(1Н)-она [масс-спектрограмма (ESI): MH+=355]. Пример 36 Смесь 200 мг (0,52 ммоля) 3-(2,4-дихлорфенил)-7-метансульфонил-3,4-дигидро-1-метилпиримидо[4,5-d]пиримидин-2(1Н)-она и 300 мг (1,4 ммоля) 4-[2-(диэтиламино)этокси]анилина выдерживали при 180° С в течение 30 мин, а затем охлаждали. Остаток подвергали обработке хроматографией в колонке на силикагеле, используя для элюирования дихлорметан/метанол/уксусную кислоту/воду (в соотношении 240/24/3/2). Содержавшие продукт фракции объединяли, выпаривали и остаток выпаривали с толуолом. Далее остаток растворяли в 40 мл дихлорметана, промывали 40 мл насыщенного водного раствора бикарбоната натрия, сушили над сульфатом магния, фильтровали и выпаривали с получением в виде окрашенного в оранжевый цвет твердого вещества 20 мг (выход: 8%) 3-(2,4-дихлорфенил)-7-{4-[2-(диэтиламино)этокси]анилино}-3,4-дигидро-1-метилпиримидо[4,5-d]пиримидин-2(1Н)-она с температурой плавления 172°С. Использованный в качестве исходного материала 3-(2,4-дихлорфенил)-7-метансульфонил-3,4-дигидро-1-метилпиримидо[4,5-d]пиримидин-2(1Н)-он готовили аналогично изложенному в примере 35 в отношении 3-(2,6-дифторфенил)-7-метансульфонил-3,4-дигидро-1-метилпиримидо[4,5-d]пиримидин-2(1Н)-она, применяя 2,4-дихлоранилин вместо 2,6-дифторанилина. Пример 37 Смесь 200 мг (0,52 ммоля) 3-(2,6-дихлорфенил)-7-метансульфонил-3,4-дигидро-1-[3-(2-фталимидоэтил)фенил]пиримидо[4,5-d]пиримидин-2(1Н)-она и 3 мл анилина выдерживали при 180°С в течение 40 мин, а затем охлаждали. Смесь разделяли между 40 мл дихлорметана и 40 мл 2 М соляной кислоты. Органическую фазу сушили над сульфатом магния, фильтровали и выпаривали. Остаток подвергали обработке хроматографией в колонке на силикагеле, используя для элюирования диэтиловый эфир/гексан (1/1). Содержавшие продукт фракции объединяли и выпаривали с получением в виде белого твердого вещества 30 мг (выход: 29%) 7-анилино-3-(2,6-дихлорфенил)-3,4-дигидро-1- [3-(2-фталимидоэтил)фенил]пиримидо[4,5-d]пиримидин-2(1Н)-она с температурой плавления 142°С. Использованный в качестве исходного материала 3-(2,6-дихлорфенил)-7-метансульфонил-3,4-дигидро-1-[3-(2-фталимидоэтил)фенил]пиримидо[4,5-d]пиримидин-2(1H)-он готовили следующим образом. а) В раствор 10 г (60 ммолей) 3-нитрофенилуксусной кислоты в 120 мл этанола вводили 20 мл насыщенного раствора хлорида водорода в этилацетате и смесь кипятили с обратным холодильником в течение 4 ч, охлаждали и оставляли стоять при комнатной температуре в течение 18 ч. Смесь выпаривали и остаток разделяли между 120 мл диэтилового эфира и 100 мл насыщенного водного раствора бикарбоната натрия. Органическую фазу сушили над сульфатом магния, фильтровали и выпаривали с получением в виде бледно-желтого масла 10,3 г (выход: 82%) этил-3-нитрофенилацетата [ЯМР-спектрограмма (250 МГц) б) Раствор 10,3 г (49 ммолей) этил-3-нитрофенилацетата в 120 мл этанола в течение 6 ч гидрировали над 1 г 10%-ного палладия на угле. Смесь фильтровали и фильтрат выпаривали с получением в виде желтого масла 9,3 г (выход: 100%) этил-3-аминофенилацетата [ЯМР-спектрограмма (250 МГц) в) Смесь 5 г (21,5 ммоля) этил-4-хлор-2-метилтиопиримидин-5-карбоксилата и 4 г (22,3 ммоля) этил-3-аминофенилацетата в 80 мл 1,4-диоксана обрабатывали 6 мл (43 ммоля) триэтиламина, а затем выдерживали при 60°С в течение 4 ч. Смесь охлаждали и выпаривали. Остаток разделяли между 120 мл этилацетата и 100 мл 2 М соляной кислоты. Органическую фазу сушили над сульфатом магния, фильтровали и выпаривали с получением в виде масла, окрашенного в бледно-оранжевый цвет, которое медленно затвердевало с образованием белого твердого вещества, 7,4 г (выход: 92%) этил-4-[3-(этоксикарбонилметил)фенил]амино-2-метилтиопиримидин-5-карбоксилата [масс-спектрограмма (ESI): МН+=376]. г) В охлажденный льдом раствор 1,3 г (34 ммоля) литийалюминийгидрида в 70 мл тетрагидрофурана добавляли по каплям раствор 6,5 г (17 ммолей) этил-4-[3-(этоксикарбонилметил)фенил]амино-2-метилтиопиримидин-5-карбоксилата в 70 мл тетрагидрофурана. Охлаждающую баню удаляли и при комнатной температуре смесь перемешивали в течение 2 ч. Реакцию останавливали осторожным добавлением, по каплям 1,2 мл воды, 1,2 мл 2 М водного гидроксида натрия и, наконец, 3,6 мл воды. Образовавшуюся суспензию фильтровали через вспомогательное фильтровальное вещество и фильтрат выпаривали. Остаток подвергали обработке хроматографией в колонке на силикагеле, используя для элюирования дихлорметан/метанол (10/1). Содержавшие продукт фракции объединяли и выпаривали с получением в виде желтого масла 3,1 г (выход: 62%) 5-гидроксиметил-4-[3-(2-гидроксиэтил)фенил]амино-2-метилтио пиримидина [масс-спектрограмма (ESI): МН+=292]. д) В раствор 3,1 г (10,7 ммоля) 5-гидроксиметил-4-[3-(2-гидроксиэтил)-фенил]амино-2-метилтиопиримидина в 250 мл дихлорметана вводили 9 г (100 ммолей) диоксида марганца и смесь перемешивали в течение 24 ч. Смесь фильтровали через вспомогательное фильтровальное вещество и фильтрат выпаривали с получением в виде белого твердого вещества 2,6 г (выход: 84%) 5-формил-4-[3-(2-гидроксиэтил)фенил]амино-2-метилтио пиримидина [масс-спектрограмма (ESI): MH+=290]. е) Раствор 4 г (13,8 ммоля) 5-формил-4-[3-(2-гидроксиэтил)фенил]амино-2-метилтиопиримидина в 80 мл толуола обрабатывали 2,4 г (15 ммолей) 2,6-дихлоранилина и 0,25 г (1,3 ммоля) моногидрата 4-толуолсульфокислоты и смесь кипятили с азеотропным удалением воды в течение 18 ч, а затем охлаждали. Смесь выпаривали, а остаток растворяли в 40 мл тетрагидрофурана и по каплям добавляли в раствор 0,6 г (16 ммолей) литийалюминийгидрида в 40 мл тетрагидрофурана. По прошествии 1 ч реакцию останавливали осторожным добавлением, по каплям 0,6 мл воды, 0,6 мл 2 М водного гидроксида натрия и 1,8 мл воды. Образовавшуюся суспензию фильтровали через вспомогательное фильтровальное вещество и фильтрат выпаривали. Остаток подвергали обработке хроматографией в колонке на силикагеле, используя для элюирования дихлорметан/метанол при градиенте от соотношения 50:1 до соотношения 10:1. Содержавшие продукт фракции первой части целевого соединения, которую элюировали из колонки, объединяли и выпаривали с получением в виде белого твердого вещества 1 г (выход: 17%) 5-(2,6-дихлоранилино)метил-4-[3-(2-гидроксиэтил) фенил]амино-2-метилтиопиримидина [масс-спектрограмма (ESI): МН+=435]. Содержавшие продукт фракции второй части целевого соединения, которую элюировали из колонки, объединяли и выпаривали с получением в виде белого твердого вещества 1,8 г (выход: 45%) 5-гидроксиметил-4-[3-(2-гидроксиэтил) фенил]амино-2-метилтиопиримидина [масс-спектрограмма (ESI): МН+=292]. ж) Раствор 1 г (2,3 ммоля) 5-(2,6-дихлоранилино)метил-4-[3-(2-гидроксиэтил) фенил]амино-2-метилтиопиримидина в 60 мл тетрагидрофурана обрабатывали 0,8 мл (6 ммолей) триэтиламина и смесь по каплям вводили в раствор 1,8 мл фосгена (20%-ный раствор в толуоле) в 40 мл тетрагидрофурана. Охлаждающую баню удаляли. По прошествии 2 ч добавляли 100 мл насыщенного водного раствора хлорида аммония. Смесь разделяли и органическую фазу сушили над сульфатом магния, фильтровали и выпаривали. Остаток подвергали обработке хроматографией в колонке на силикагеле, используя для элюирования диэтиловый эфир/гексан (1/2). Фракции, содержавшие продукт, объединяли и выпаривали с получением в виде белого твердого вещества 0,5 г (выход: 50%) 3-(2,6-дихлорфенил)-7-метилтио-3,4-дигидро-1-[3-(2-хлорэтил)фенил]пиримидо[4,5-d]пиримидин-2(1Н)-она [масс-спектрограмма (ESI): МН+=479]. з) Раствор 0,5 г (1,1 ммоля) 3-(2,6-дихлорфенил)-7-метилтио-3,4-дигидро-1-[3-(2-хлорэтил)фенил]пиримидо[4,5-d]пиримидин-2(1Н)-она в 30 мл диметилформамида обрабатывали 0,2 г (1,1 ммоля) калиевой соли фталимида и смесь выдерживали при 80° С в течение 2 ч. Охлажденную смесь выпаривали и разделяли между 40 мл дихлорметана и 40 мл воды. Органическую фазу сушили над сульфатом магния, фильтровали и выпаривали. Остаток подвергали обработке хроматографией в колонке на силикагеле, используя для элюирования диэтиловый эфир/гексан (1/1). Содержавшие продукт фракции объединяли и выпаривали с получением в виде белого твердого вещества 0,43 г (выход: 70%) 3-(2,6-дихлорфенил)-7-метилтио-3,4-дигидро-1-[3-(2-фталимидоэтил)фенил]пиримидо[4,5-d]пиримидин-2(1Н)-она [масс-спектрограмма (ESI): МН+=590]. и) Раствор 400 мг (0,68 ммоля) 3-(2,6-дихлорфенил)-7-метилтио-3,4-дигидро-1-[3-(2-фталимидоэтил)фенил]пиримидо[4,5-d]пиримидин-2(1Н)-она в 20 мл дихлорметана обрабатывали 470 мг (1,36 ммоля) 3-хлорпербензойной кислоты (в воде концентрацией 50 мас.%). По прошествии 18 ч добавляли 40 мл насыщенного водного раствора бикарбоната натрия и 40 мл дихлорметана и фазы разделяли. Органическую фазу сушили над сульфатом магния, фильтровали и выпаривали с получением в виде белого твердого вещества 370 мг (выход: 88%) 3-(2,6-дихлорфенил)-7-метансульфонил-3,4-дигидро-1-[3-(2-фталимидоэтил)-фенил]пиримидо[4,5-d]пиримидин-2(1Н)-она [масс-спектрограмма (ESI): МН+=622]. Пример 38 Раствор 30 мг (0,05 ммоля) 3-(2,6-дихлорфенил)-7-анилино-3,4-дигидро-1-[3-(2-фталимидоэтил)фенил]пиримидо[4,5-d]пиримидин-2(1Н)-она в 5 мл этанола обрабатывали 0,02 мл гидразингидрата. По прошествии 5 ч смесь выпаривали и к остатку добавляли 10 мл дихлорметана. Образовавшуюся суспензию фильтровали и фильтрат выпаривали. Остаток подвергали обработке хроматографией в колонке на силикагеле, используя для элюирования дихлорметан/метанол/уксусную кислоту/воду (в соотношении 240/24/3/2). Содержавшие продукт фракции объединяли, выпаривали и остаток выпаривали с толуолом. Далее остаток растворяли в 40 мл дихлорметана, промывали 40 мл насыщенного водного раствора бикарбоната натрия, сушили над сульфатом магния, фильтровали и выпаривали с получением в виде белого твердого вещества 12 мг (выход: 50%) 1-[3-(2-аминоэтил)фенил]-7-анилино-3-(2,6-дихлорфенил)-3,4-дигидропиримидо[4,5-d]пиримидин-2(1Н)-она с температурой плавления 208°С. Пример 39 Смесь 250 мг (0,98 ммоля) 3-метил-7-метансульфонил-3,4-дигидро-1-метилпиримидо[4,5-d]пиримидин-2(1Н)-она и 560 мг (2,7 ммоля) 4-[2-(диэтиламино)этокси]анилина выдерживали при 180°С в течение 35 мин, а затем охлаждали. Остаток подвергали обработке хроматографией в колонке на силикагеле, используя для элюирования дихлорметан/метанол/уксусную кислоту/воду (в соотношении 240/24/3/2). Содержавшие продукт фракции объединяли, выпаривали и остаток выпаривали с толуолом. Далее остаток растворяли в 40 мл дихлорметана, промывали 40 мл насыщенного водного раствора бикарбоната натрия, сушили над сульфатом магния, фильтровали и выпаривали. Остаток растирали в порошок в гексане, отфильтровывали и сушили с получением в виде белого твердого вещества 23 мг (выход: 7%) 7-{4-[2-(диэтиламино)этокси]анилино}-3,4-дигидро-1,3-диметилпиримидо[4,5-d]пирими-дин-2(1Н)-она с температурой плавления 186°С. Использованный в качестве исходного материала 3-метил-7-метансульфонил-3,4-дигидро-1-метилпиримидо[4,5-d]пиримидин-2(1Н)-он готовили аналогично изложенному в примере 4 в отношении 3-циклогексил-7-метансульфонил-3,4-дигидро-1-метилпиримидо[4,5-d]пиримидин-2(1Н)-она, применяя метиламин (в виде 2 М раствора в тетрагидрофуране) вместо циклогексиламина. Пример 40 Смесь 160 мг (0,45 ммоля) 3-(2-хлор-6-метилфенил)-7-метансульфонил-3,4-дигидро-1-метилпиримидо[4,5-d]пиримидин-2(1Н)-она и 300 мг (1,4 ммоля) 4-[2-(диэтиламино)этокси]анилина выдерживали при 180°С в течение 35 мин, а затем охлаждали. Остаток подвергали обработке хроматографией в колонке на силикагеле, используя для элюирования дихлорметан/метанол/уксусную кислоту/воду (в соотношении 240/24/3/2). Содержавшие продукт фракции объединяли, выпаривали и остаток выпаривали с толуолом. Далее остаток растворяли в 30 мл дихлорметана, дважды промывали с использованием каждый раз по 20 мл насыщенного водного раствора бикарбоната натрия, сушили над сульфатом магния, фильтровали и выпаривали. Остаток далее очищали ВЭЖХ. Подвижная фаза представляла собой воду/0,1% трифторуксусной кислоты (А) и ацетонитрил/0,07% трифторуксусной кислоты (Б); градиент составлял 5-95% Б в течение 20 мин; продукт детектировали с помощью ультрафиолетового детектора при длине волны 215 нм. Содержавшие продукт фракции лиофилизировали и лиофилизат растворяли в 30 мл дихлорметана, дважды промывали с использованием каждый раз по 20 мл насыщенного водного раствора бикарбоната натрия, сушили над сульфатом магния, фильтровали и выпаривали с получением в виде желтой смолы 5 мг (выход: 2%) 3-(2-хлор-6-метилфенил)-7-{4-[2-(диэтиламино)этокси]анилино}-3,4-дигидро-1-метилпиримидо[4,5-d]пиримидин-2(1Н)-она [масс-спектрограмма (ESI): МН+=495]. Использованный в качестве исходного материала 3-(2-хлор-6-метилфенил)-7-метансульфонил-3,4-дигидро-1-метилпиримидо[4,5-d]пиримидин 2(1Н)-он готовили аналогично изложенному в примере 35 в отношении 3-(2,6-дифторфенил)-7-метансульфонил-3,4-дигидро-1-метилпиримидо[4,5-d]пиримидин-2(1Н)-она с применением 2-хлор-6-метиланилин вместо 2,6-дифторанилина. Пример 41 Смесь 350 мг (1,2 ммоля) 3-изопропил-7-метансульфонил-3,4-дигидро-1-метилпиримидо[4,5-d]пиримидин-2(1Н)-она и 500 мг (2,4 ммоля) 4-[2-(диэтиламино)этокси]анилина выдерживали при 180°С в течение 35 мин, а затем охлаждали. Остаток подвергали обработке хроматографией в колонке на силикагеле, используя для элюирования дихлорметан/метанол/уксусную кислоту/воду (в соотношении 240/24/3/2). Содержавшие продукт фракции объединяли, выпаривали и остаток выпаривали с толуолом. Далее остаток растворяли в 40 мл дихлорметана, промывали 40 мл насыщенного водного раствора бикарбоната натрия, сушили над сульфатом магния, фильтровали и выпаривали. Остаток растирали в порошок в гексане, отфильтровывали и сушили с получением в виде белого твердого вещества 40 мг (выход: 8%) 7-{4-[2-(диэтиламино)этокси]анилино}-3,4-дигидро-3-изопропил-1-метилпиримидо[4,5-d]пиримидин-2(1Н)-она с температурой плавления 154°С. Использованный в качестве исходного материала 3-изопропил-7-метансульфонил-3,4-дигидро-1-метилпиримидо[4,5-d]пиримидин-2(1Н)-он готовили аналогично изложенному в примере 4 в отношении 3-циклогексил-7-метансульфонил-3,4-дигидро-1-метилпиримидо[4,5-d]пиримидин-2(1Н)-она с применением изопропиламина вместо циклогексиламина. Пример 42 Смесь 70 мг (0,15 ммоля) 3-(2,6-дихлорфенил)-1-[2-циклогексен-1-(RS)ил]-7-метансульфонил-3,4-дигидропиримидо[4,5-d]пиримидин-2(1Н)-она и 150 мг (0,7 ммоля) 4-[2-(диэтиламино)этокси]анилина выдерживали при 180°С в течение 35 мин, а затем охлаждали. Остаток подвергали обработке хроматографией в колонке на силикагеле, используя для элюирования дихлорметан/метанол/уксусную кислоту/воду (в соотношении 240/24/3/2). Содержавшие продукт фракции объединяли и выпаривали, а остаток выпаривали с толуолом. Далее остаток растворяли в 30 мл дихлорметана, дважды промывали с использованием каждый раз по 20 мл насыщенного водного раствора бикарбоната натрия, сушили над сульфатом магния, фильтровали и выпаривали с получением в виде окрашенной в оранжевый цвет смолы 5 мг (выход: 22%) 3-(2,6-дихлорфенил)-1-[2-циклогексен-1(RS)-ил]-7-{4-[2-(диэтиламино)этокси]анилино}-3,4-дигидропиримидо[4,5-d]пиримидин-2(1Н)-она [масс-спектрограмма (ESI): MH+=581]. Использованный в качестве исходного материала 3-(2,6-дихлорфенил)-1-[2-циклогексен-1(RS)-ил]-7-метансульфонил-3,4-дигидропиримидо[4,5-d]пиримидин-2(1Н)-он готовили следующим образом. Охлажденный льдом раствор 200 мг (0,54 ммоля) 3-(2,6-дихлорфенил)-7-метансульфонил-3,4-дигидропиримидо[4,5-d]пиримидин-2(1Н)-она в 12 мл диметилформамида обрабатывали 22 мг (0,54 ммоля) гидрида натрия (концентрацией 60 мас.%). По прошествии 30 мин смесь обрабатывали 0,07 мл (0,6 ммоля) 3-бромциклогексена, а затем кипятили с обратным холодильником в течение 4 ч. Смесь выпаривали и к остатку добавляли 30 мл дихлорметана и 30 мл воды. Фазы разделяли и органическую фазу промывали 30 мл воды, сушили над сульфатом магния, фильтровали и выпаривали с получением в виде коричневого масла 70 мг (выход: 29%) 3-(2,6-дихлорфенил)-1-[2-циклогексен-1(RS)-ил]-7-метансульфонил-3,4-дигидропиримидо[4,5-d]пиримидин-2(1Н)-она [масс-спектрограмма (ESI): MH+=453]. Пример 43 Смесь 200 мг (0,5 ммоля) 3-(2-бромфенил)-7-метансульфонил-3,4-дигидро-1-метилпиримидо[4,5-d]пиримидин-2(1Н)-она и 208 мг (1 ммоль) 4-[2-(диэтиламино)этокси]анилина выдерживали при 180°С в течение 30 мин, а затем охлаждали. Остаток подвергали обработке хроматографией в колонке на силикагеле, используя для элюирования дихлорметан/метанол/уксусную кислоту/воду (в соотношении 240/24/3/2). Содержавшие продукт фракции объединяли, выпаривали и остаток выпаривали с толуолом. Далее остаток растворяли в 40 мл дихлорметана, промывали 40 мл насыщенного водного раствора бикарбоната натрия, сушили над сульфатом магния, фильтровали и выпаривали с получением в виде окрашенного в кремовый цвет твердого вещества 22 мг (выход: 8%) 3-(2-бромфенил)-7-{4-[2-(диэтиламино)этокси]анилино}-3,4-дигидро-1-метилпиримидо[4,5-d]пиримидин-2(1Н)-она с температурой плавления 144°С. Использованный в качестве исходного материала 3-(2-бромфенил)-7-метансульфонил-3,4-дигидро-1-метилпиримидо[4,5-d]пиримидин-2(1Н)-он готовили аналогично изложенному в примере 35 в отношении 3-(2,6-дифторфенил)-7-метансульфонил-3,4-дигидро-1-метилпиримидо[4,5-d]пиримидин-2(1Н)-она с применением 2-броманилина вместо 2,6-дифторанилина. Пример 44 Смесь 200 мг (0,52 ммоля) 3-(2,5-дихлорфенил)-7-метансульфонил-3,4-дигидро-1-метилпиримидо[4,5-d]пиримидин-2 (1Н)-она и 218 мг (1,04 ммоля) 4-[2-(диэтиламино)этокси]анилина выдерживали при 180° С в течение 30 мин, а затем охлаждали. Остаток подвергали обработке хроматографией в колонке на силикагеле, используя для элюирования дихлорметан/метанол/уксусную кислоту/воду (в соотношении 240/24/3/2). Содержавшие продукт фракции объединяли, выпаривали и остаток повторно выпаривали с толуолом. Остаток растворяли в 40 мл дихлорметана, промывали 40 мл насыщенного водного бикарбоната натрия, сушили над сульфатом магния, фильтровали и выпаривали с получением в виде белого твердого вещества 15 мг (выход: 6%) 3-(2,5-дихлорфенил)-7-{4-[2-(диэтиламино)этокси]анилино}-3,4-дигидро-1-метилпиримидо[4,5-d]пиримидин-2(1Н)-она с температурой плавления 138° С [масс-спектрограмма (ESI): MH+=514]. Использованный в качестве исходного материала 3-(2,5-дихлорфенил)-7-метансульфонил-3,4-дигидро-1-метилпиримидо[4,5-d]пиримидин-2(1Н)-он готовили аналогично изложенному в примере 35 в отношении 3-(2,6-дифторфенил)-7-метансульфонил-3,4-дигидро-1-метилпиримидо[4,5-d]пиримидин-2(1Н)-она с применением 2,5-дихлоранилина вместо 2,6-дифторанилина. Пример 45 Смесь 200 мг (0,5 ммоля) 3-(3-бромфенил)-7-метансульфонил-3,4-дигидро-1-метилпиримидо[4,5-d]пиримидин-2(1Н)-она и 300 мг (1,4 ммоля) 4-[2-(диэтиламино)этокси]анилина выдерживали при 180°С в течение 35 мин, а затем охлаждали. Остаток подвергали обработке хроматографией в колонке на силикагеле, используя для элюирования дихлорметан/метанол/уксусную кислоту/воду (в соотношении 240/24/3/2). Содержавшие продукт фракции объединяли, выпаривали и остаток выпаривали с толуолом. Далее остаток растворяли в 40 мл дихлорметана, промывали 40 мл насыщенного водного раствора бикарбоната натрия, сушили над сульфатом магния, фильтровали и выпаривали с получением в виде не совсем белого твердого вещества 30 мг (выход: 11%) 3-(3-бромфенил)-7-{4-[2-(диэтиламино)этокси]анилино}-3,4-дигидро-1-метилпиримидо[4,5-d]пиримидин-2(1Н)-она с температурой плавления 150°С. Использованный в качестве исходного материала 3-(3-бромфенил)-7-метансульфонил-3,4-дигидро-1-метилпиримидо[4,5-d]пиримидин-2(1Н)-он готовили аналогично изложенному в примере 35 в отношении 3-(2,6-дифторфенил)-7-метансульфонил-3,4-дигидро-1-метилпиримидо[4,5-d]пиримидин-2(1Н)-она с применением 3-броманилина вместо 2,6-дифторанилина. Пример 46 Смесь 380 мг (1,1 ммоля) 3-(2-метоксифенил)-7-метансульфонил-3,4-дигидро-1-метилпиримидо[4,5-d]пиримидин-2(1Н)-она и 3 мл анилина выдерживали при 180°С в течение 45 мин, затем охлаждали и разделяли между 30 мл дихлорметана и 30 мл 2 М соляной кислоты. Органическую фазу сушили над сульфатом магния, фильтровали и выпаривали. Остаток подвергали обработке хроматографией в колонке на силикагеле, используя для элюирования дихлорметан/метанол при градиенте от соотношения 99:1 до соотношения 20:1. Содержавшие продукт фракции объединяли и выпаривали с получением в виде не совсем белого твердого вещества 7-анилино-3,4-дигидро-3-(2-метоксифенил)-1-метилпиримидо[4,5-d]пиримидин-2(1Н)-она с температурой плавления 225°С. Использованный в качестве исходного материала 3-(2-метоксифенил)-7-метансульфонил-3,4-дигидро-1-метилпиримидо[4,5-d]пиримидин-2(1Н)-он готовили аналогично изложенному в примере 35 в отношении 3-(2,6-дифторфенил)-7-метансульфонил-3,4-дигидро-1-метилпиримидо[4,5-d]пиримидин-2(1Н)-она с применением 2-метоксианилина вместо 2,6-дифторанилина. Пример 47 Раствор 50 мг (0,14 ммоля) 3-(2-метоксифенил)-7-анилино-3,4-дигидро-1-метилпиримидо[4,5-d]пиримидин-2(1Н)-он в 15 мл 48%-ной водной бромистоводородной кислоты кипятили с обратным холодильником в течение 1 ч. Смесь охлаждали, выпаривали и остаток растирали в порошок в гексане. Полученное твердое вещество отфильтровывали и сушили с получением в виде не совсем белого твердого вещества 40 мг (выход: 82%) 7-анилино-3,4-дигидро-3-(2-гидроксифенил)-1-метилпиримидо[4,5-d]пиримидин-2(1Н)-она с температурой плавления 192°С. Пример 48 Смесь 200 мг (0,55 ммоля) 3-(4-метоксибензил)-7-метансульфонил-3,4-дигидро-1-метилпиримидо[4,5-d]пиримидин-2(1Н)-она и 300 мг (1,4 ммоля) 4-[2-(диэтиламино)этокси]анилина выдерживали при 180°С в течение 20 мин, а затем охлаждали. Остаток подвергали обработке хроматографией в колонке на силикагеле, используя для элюирования дихлорметан/метанол/уксусную кислоту/воду (в соотношении 240/24/3/2). Содержавшие продукт фракции объединяли, выпаривали и остаток выпаривали с толуолом. Далее остаток растворяли в 40 мл дихлорметана, промывали 40 мл насыщенного водного раствора бикарбоната натрия, сушили над сульфатом магния, фильтровали и выпаривали. Остаток растирали в порошок в гексане, отфильтровывали и сушили с получением в виде белого твердого вещества 20 мг (выход: 7%) 7-{4-[2-(диэтиламино)этокси]анилино}-3,4-дигидро-3-(4-метоксибензил)-1-метилпиримидо[4,5-d]пиримидин-2(1Н)-она с температурой плавления 112°С. Использованный в качестве исходного материала 3-(4-метоксибензил)-7-метансульфонил-3,4-дигидро-1-метилпиримидо[4,5-d]пиримидин-2(1Н)-он готовили аналогично изложенному в примере 4 в отношении 3-циклогексил-7-метансульфонил-3,4-дигидро-1-метилпиримидо[4,5-d]пиримидин-2(1Н)-она с применением 4-метоксибензиламина вместо циклогексиламина. Пример 49 Смесь 300 мг (0,6 ммоля) 3-(2-бромфенил)-7-метансульфонил-3,4-дигидро-1-[3-(2-гидроксиэтил)фенил]пиримидо[4,5-d]пиримидин-2(1Н)-она и 1,5 мл 4-метоксибензиламина выдерживали при 100°С в течение 1 ч. Смесь охлаждали и разделяли между 30 мл дихлорметана и 30 мл 2 М водной соляной кислоты. Органическую фазу сушили над сульфатом магния, фильтровали и выпаривали. Остаток растворяли в 10 мл трифторуксусной кислоты, а затем кипятили с обратным холодильником в течение 3 ч. Смесь охлаждали, выпаривали и остаток разделяли между 25 мл этилацетата и 25 мл насыщенного раствора бикарбоната натрия. Органическую фазу сушили над сульфатом магния, фильтровали, выпаривали и остаток подвергали обработке хроматографией в колонке на силикагеле, используя для элюирования этилацетат. Содержавшие продукт фракции объединяли и выпаривали с получением в виде белого твердого вещества 105 мг (выход: 40%) 7-амино-3-(2-бромфенил)-3,4-дигидро-1-[3-(2-гидроксиэтил)фенил]пиримидо[4,5-d]пиримидин-2(1Н)-она с температурой плавления 154°С. Использованный в качестве исходного материала 3-(2-бромфенил)-7-метансульфонил-3,4-дигидро-1-[3-(2-гидроксиэтил)фенил]пиримидо[4,5-d]пиримидин-2(1Н)-он получали следующим образом. а) Раствор 2,5 г (8,65 ммоля) 5-формил-4-[3-(2-гидроксиэтил)фенил]-амино-2-метилтиопиримидина в 120 мл толуола обрабатывали 1,5 г (9,3 ммоля) 2-броманилина и 100 мг (0,5 ммоля) моногидрата 4-толуолсульфокислоты и затем кипятили с азеотропным удалением воды в течение 1 ч. Охлажденную смесь выпаривали, а остаток растворяли в 4 мл тетрагидрофурана. Приготовленный раствор по каплям добавляли в раствор 9 мл (9 ммолей) литийалюминийгидрида (в виде 1 М раствора в тетрагидрофуране) в 40 мл тетрагидрофурана. По прошествии 1 ч реакцию останавливали осторожным добавлением, по каплям 0,35 мл воды, 0,35 мл 2 М водного гидроксида натрия и 1 мл воды. Образовавшуюся суспензию фильтровали через вспомогательное фильтровальное вещество и фильтрат выпаривали. Остаток разделяли между 150 мл этилацетата и 50 мл насыщенного водного раствора бикарбоната натрия. Органическую фазу сушили над сульфатом магния, фильтровали и выпаривали с получением в виде окрашенной в оранжевый цвет смолы 3,5 мг (выход: 91%) 5-(2-броманилино)метил-4-[3-(2-гидроксиэтил)фенил]амино-2-метилтиопиримидина [масс-спектрограмма (ESI): MH+=444]. б) Раствор 3,5 г (7,9 ммоля) 5-(2-броманилино)метил-4-[3-(2-гидроксиэтил)фенил]амино-2-метилтиопиримидина в 100 мл дихлорметана обрабатывали 3,3 г (39 ммолей) дигидропирана и 15 мл (0,08 ммоля) моногидрата 4-толуолсульфокислоты. По прошествии 18 ч смесь обрабатывали 100 мг (0,4 ммоля) пиридиний-4-толуолсульфоната. По прошествии еще 3 дней добавляли 100 мл диэтилового эфира и 100 мл 50%-ного рассола. Органическую фазу сушили над сульфатом магния, фильтровали и выпаривали с получением в виде желтого масла 2,6 г (выход: 62%) 5-(2-броманилино)метил-4-[3-(2-тетрагидропиран-2-ил)оксиэтил]фениламино-2-метилтиопиримидина [масс-спектрограмма (ESI): MH+=529]. в) Раствор 2,6 г (4,9 ммоля) 5-(2-броманилино)метил-4-[3-(2-тетрагидропиран-2-ил)оксиэтил]фениламино-2-метилтиопиримидина в 60 мл тетрагидрофурана обрабатывали 2 мл (14,4 ммоля) триэтиламина и смесь по каплям вводили в охлажденный на льду раствор 3 мл фосгена (20%-ный раствор в толуоле) в 20 мл тетрагидрофурана. По прошествии 1 ч добавляли 50 мл насыщенного водного хлорида аммония. Органическую фазу выделяли, сушили над сульфатом магния, фильтровали и выпаривали. Остаток растворяли в 100 мл метанола и добавляли 20 мл насыщенного раствора соляной кислоты в этилацетате. По прошествии 10 мин смесь выпаривали с получением в виде не совсем белого твердого вещества 1,8 г (выход: 78%) 3-(2-бромфенил)-7-метилтио-3,4-дигидро-1-[3-(2-гидроксиэтил)фенил]пиримидо[4,5-d]пиримидин-2(1Н)-она [масс-спектрограмма (ESI): MH+=471]. г) Раствор 1,4 г (3 ммоля) 3-(2-бромфенил)-7-метилтио-3,4-дигидро-1-[3-(2-гидроксиэтил)фенил]пиримидо[4,5-d]пиримидин-2(1Н)-она в 60 мл дихлорметана обрабатывали 2 г (6 ммолей) 3-хлорпербензойной кислоты (в воде концентрацией 50 мас.%). По прошествии 18 ч добавляли 40 мл насыщенного водного раствора бикарбоната натрия. Органическую фазу сушили над сульфатом магния, фильтровали и выпаривали с получением в виде белого твердого вещества 1,45 г (выход: 100%) 3-(2-бромфенил)-7-метансульфонил-3,4-дигидро-1-[3-(2-гидроксиэтил)фенил]пиримидо[4,5-d]пиримидин-2(1Н)-она [масс-спектрограмма (ESI): MH+=503]. Пример 50 Раствор 200 мг (0,31 ммоля) 7-анилино-3-(2-бромфенил)-3,4-дигидро-1-[3-(2-фталимидоэтил)фенил]пиримидо[4,5-d]пиримидин-2(1Н)-она в 20 мл этанола обрабатывали 0,3 мл гидразингидрата. По прошествии 20 ч смесь выпаривали и продукт очищали хроматографией в колонке на силикагеле, используя для элюирования дихлорметан/метанол/уксусную кислоту/воду (в соотношении 240/24/3/2). Содержавшие продукт фракции объединяли, выпаривали и остаток выпаривали с толуолом. Далее остаток растворяли в 50 мл дихлорметана, промывали 50 мл насыщенного водного раствора бикарбоната натрия, сушили над сульфатом магния, фильтровали и выпаривали с получением в виде белого твердого вещества 45 мг (выход: 28%) 1-[3-(2-аминоэтил)фенил]-7-анилино-3-(2-бромфенил)-3,4-дигидропиримидо[4,5-е]пиримидин-2(1Н)-она с температурой плавления 130°С. Использованный в качестве исходного материала 7-анилино-3-(2-бромфенил)-3,4-дигидро-1-[3-(2-фталимидоэтил)фенил]пиримидо[4,5-d]пиримидин-2(1Н)-он готовили аналогично изложенному в примере 37 в отношении 7-анилино-3-(2,6-дихлорфенил)-3,4-дигидро-1-[3-(2-фталимидоэтил)фенил]пиримидо[4,5-d]пиримидин-2(1Н)-она с применением 2-броманилина вместо 2,6-дихлоранилина. Пример 51 Раствор 500 мг (0,86 ммоля) 7-анилино-3,4-дигидро-3-(2,6-диметилфенил)-1-[3-(2-фталимидоэтил)фенил]пиримидо[4,5-d]пиримидин-2(1Н)-она в 30 мл этанола обрабатывали 0,8 мл гидразингидрата. По прошествии 18 ч смесь выпаривали и продукт очищали хроматографией в колонке на силикагеле, используя для элюирования дихлорметан/метанол/уксусную кислоту/воду (в соотношении 240/24/3/2). Содержавшие продукт фракции объединяли, выпаривали и остаток выпаривали с толуолом. Далее остаток растворяли в 50 мл дихлорметана, промывали 50 мл насыщенного водного раствора бикарбоната натрия, сушили над сульфатом магния, фильтровали и выпаривали. В результате растирания остатка в порошок с гексаном с последующим фильтрованием в виде белого твердого вещества получали 10 мг (выход: 3%) 1-[3-(2-аминоэтил)фенил]-7-анилино-3,4-дигидро-3-(2,6-диметилфенил)пиримидо[4,5-d]пиримидин-2(1Н)-она с температурой плавления 128°С. Использованный в качестве исходного материала 7-анилино-3,4-дигидро-3-(2,6-диметилфенил)-1-[3-(2-фталимидоэтил)фенил]пиримидо[4,5-d]пиримидин-2(1Н)-он готовили аналогично изложенному в примере 37 в отношении 7-анилино-3-(2,6-дихлорфенил)-3,4-дигидро-1-[3-(2-фталимидоэтил)фенил]пиримидо[4,5-d]пиримидин-2(1Н)-она с применением 2,6-диметиланилина вместо 2,6-дихлоранилина. Пример 52 Раствор 155 мг (0,23 ммоля) 7-анилино-3-(2-хлор-4-трифторметилфенил)-3,4-дигидро-1-[3-(2-фталимидоэтил)фенил]пиримидо[4,5-d]пиримидин-2(1Н)-она в 20 мл этанола обрабатывали 0,3 мл гидразингидрата. По прошествии 18 ч смесь выпаривали и продукт очищали хроматографией в колонке на силикагеле, используя для элюирования дихлорметан/метанол/уксусную кислоту/воду (в соотношении 240/24/3/2). Содержавшие продукт фракции объединяли, выпаривали и остаток выпаривали с толуолом. Далее остаток растворяли в 40 мл дихлорметана, промывали 40 мл насыщенного водного раствора бикарбоната натрия, сушили над сульфатом магния, фильтровали и выпаривали. В результате растирания остатка в порошок с гексаном с последующим фильтрованием в виде белого твердого вещества получали 40 мг (выход: 32%) 1-[3-(2-аминоэтил)фенил]-7-анилино-3-(2хлор-4-трифторметилфенил)-3,4-дигидропиримидо[4,5-d]пиримидин-2(1Н)-она с температурой плавления 102°С. Использованный в качестве исходного материала 7-анилино-3-(2-хлор-4-трифторметилфенил)-3,4-дигидро-1-[3-(2-фталимидоэтил)фенил]пиримидо[4,5-d]пиримидин-2(1Н)-он готовили аналогично изложенному в примере 37 в отношении 7-анилино-3-(2,6-дихлорфенил)-3,4-дигидро-1-[3-(2-фталимидоэтил)фенил]пиримидо[4,5-d]пиримидин-2(1Н)-она с применением 2-хлор-4-трифторметиланилина вместо 2,6-дихлоранилина. Пример 53 Раствор 1,2 г (1,7 ммоля) 7-анилино-1-{3-[2-(трет-бутилдифенилсилилокси) этил]фенил}-3-(2-хлор-6-метилфенил)-3,4-дигидропиримидо[4,5-d]пиримидин-2(1Н)-она в 30 мл тетрагидрофурана обрабатывали 2,25 мл (2,25 ммоля) тетрабутиламмонийфторида (1 М в тетрагидрофуране). Смесь кипятили с обратным холодильником в течение 5 ч, охлаждали и выпаривали. Остаток разделяли между 50 мл этилацетата и 50 мл 2 М водной соляной кислоты. Органическую фазу промывали 40 мл воды, сушили над сульфатом магния, фильтровали и выпаривали. Остаток очищали экспресс-хроматографией на силикагеле, используя для элюирования градиент от соотношения дихлорметан/метанол 100:1 до соотношения дихлорметан/метанол 100:5. Содержавшие продукт фракции выпаривали с получением в виде смолы 350 мг (выход: 42%) 7-анилино-3-(2-хлор-6-метилфенил)-3,4-дигидро-1-[3-(2-гидроксиэтил) фенил]пиримидо[4,5-d]пиримидин-2(1Н)-она [масс-спектрограмма (ESI): МН+=486]. Использованный в качестве исходного материала 7-анилино-1-{3-[2(трет-бутилдифенилсилилокси)этил]фенил}-3-(2-хлор-6-метилфенил)-3,4-дигидропиримидо[4,5-d]пиримидин-2(1Н)-он получали следующим образом. а) Раствор 3,4 г (11,7 ммоля) 5-формил-4-[3-(2-гидроксиэтил)фениламино]-2-метилтиопиримидина из примера 37 (д) в 50 мл диметилформамида обрабатывали 3,9 г (14 ммолей) трет-бутилдифенилхлорсилана, 2,4 г (35 ммолей) имидазола и 50 мг (0,4 ммоля) 4-(диметиламино) пиридина. Смесь перемешивали в течение 18 ч, а затем выпаривали. Остаток разделяли между 150 мл этилацетата и 100 мл 2 М водной соляной кислоты. Органическую фазу промывали дополнительными 100 мл 2М водной соляной кислоты, сушили над сульфатом магния, фильтровали и выпаривали с получением в виде белого твердого вещества 6,2 г (выход: 100%) 4-{3-[2-(трет-бутилдифенилсилилокси)этил]фениламино}-5-формил-2-метилтиопиримидина [масс-спектрограмма (ESI): MH+=528]. б) Смесь 2,6 г (5 ммолей) 4-{3-[2-(трет-бутилдифенилсилилокси)этил]-фениламино}-5-формил-2-метилтиопиримидина и 0,63 мл (722 мг, 5,1 ммоля) 2-хлор-6-метиланилина в 80 мл толуола обрабатывали 170 мг (0,9 ммоля) моногидрата 4-толуолсульфокислоты, а затем кипятили с азеотропным удалением воды в течение 2 ч. Смесь охлаждали и выпаривали. Остаток растворяли в 20 мл тетрагидрофурана и по каплям добавляли в раствор 5 мл (5 ммолей) литийалюминийгидрида (1 М в тетрагидрофуране) в дополнительных 30 мл тетрагидрофурана. После перемешивания в течение 1 ч реакцию останавливали осторожным добавлением, по каплям 1,5 мл воды, 2 мл 2 М водного гидроксида натрия и 2,5 мл воды. Смесь фильтровали через вспомогательное фильтровальное вещество и фильтрат выпаривали с получением в виде желтого масла, которое использовали без дальнейшей очистки, 3,3 г (выход: 100%) 4-{3-[2-(трет-бутилдифенилсилилокси)этил]фенил}амино-5-(2-хлор-6-метиланилино) метил-2-метилтиопиримидина [масс-спектрограмма (ESI): MH+=653]. в) Раствор 3,3 г (5 ммолей) 4-{3-[2-(трет-бутилдифенилсилилокси)этил]-фенил} амино-5-(2-хлор-6-метиланилино)метил-2-метилтиопиримидина в 50 мл тетрагидрофурана обрабатывали 1,4 мл (10 ммолей) триэтиламина и образовавшуюся смесь по каплям вводили в раствор 5 мл (9,6 ммоля) фосгена (20%-ный раствор в толуоле) в 30 мл тетрагидрофурана. Смесь перемешивали при комнатной температуре в течение 24 ч, а затем кипятили с обратным холодильником в течение еще 18 ч. Смесь охлаждали и выпаривали. Смесь разделяли между 40 мл дихлорметана и 40 мл насыщенного водного бикарбоната натрия. Органическую фазу сушили над сульфатом магния, фильтровали и выпаривали с получением в виде желтого твердого вещества 1,58 г (выход: 47%) 1-{3-[2-(трет-бутилдифенилсилилокси) этил]фенил}-3-(2-хлор-6-метилфенил)-3,4-дигидро-7-метилтиопиримидо[4,5-d]пиримидин-2(1Н)-она [масс-спектрограмма (ESI): MH+=679]. г) Раствор 1,58 г (2,3 ммоля) 1-{3-[2-(трет-бутилдифенилсилилокси)-этил]фенил}-3-(2-хлор-6-метилфенил)-3,4-дигидро-7-метилтиопиримидо-[4,5-d]пиримидин-2(1Н)-она в 40 мл дихлорметана обрабатывали 1,6 г (4,3 ммоля) 3-хлорпербензойной кислоты (в воде концентрацией 50 мас.%). По прошествии 18 ч добавляли 40 мл насыщенного водного бикарбоната натрия. Органическую фазу сушили над сульфатом магния, фильтровали и выпаривали. Продукт перекристаллизовывали из этанола с получением в виде белого твердого вещества 1,1 г (выход: 67%) 1-{3-[2-(трет-бутилдифенилсилилокси)-этил]фенил}-3-(2-хлор-6-метилфенил)-3,4-дигидро-7-метансульфонилпиримидо[4,5-d]пиримидин-2(1Н)-она [масс-спектрограмма (ESI): МН+=711]. д) Смесь 1,1 г (1,5 ммоля) 1-{3-[2-(трет-бутилдифенилсилилокси) этил]-фенил}-3-(2-хлор-6-метилфенил)-3,4-дигидро-7-метансульфонилпиримидо-[4,5-d]пиримидин-2(1Н)-она и 3 мл анилина выдерживали при 180°С в течение 20 мин. Смесь охлаждали и добавляли в 50 мл 2 М водной соляной кислоты. Образовавшуюся суспензию фильтровали, твердый материал промывали водой и сушили с получением 1,2 г (выход: 100%) 1-{3-[2-(трет-бутилдифенилсилилокси) этил]фенил}-7-анилино-3-(2-хлор-6-метилфенил)-3,4-дигидропиримидо[4,5-d]пиримидин-2(1Н)-она [массспектрограмма (ESI): MH+=724]. Пример 54 Раствор 250 мг (0,4 ммоля) 7-анилино-3-(2-хлор-6-метилфенил)-3,4-дигидро-1-[3-(2-фталимидоэтил) фенил]пиримидо[4,5-d]пиримидин-2(1Н)-она в 10 мл этанола обрабатывали 0,5 мл гидразингидрата. По прошествии 18 ч смесь выпаривали и продукт очищали хроматографией в колонке на силикагеле, используя для элюирования дихлорметан/метанол/уксусную кислоту/воду (в соотношении 240/24/3/2). Содержавшие продукт фракции объединяли, выпаривали и остаток выпаривали с толуолом. Далее остаток растворяли в 40 мл дихлорметана, промывали 40 мл насыщенного водного раствора бикарбоната натрия, сушили над сульфатом магния, фильтровали и выпаривали. В результате растирания остатка в порошок в гексане с последующим фильтрованием в виде белого твердого вещества получали 30 мг (выход: 15%) 1-[3-(2-аминоэтил)фенил]-7-анилино-3-(2-хлор-6-метилфенил)-3,4-дигидропиримидо-[4,5-d]пиримидин-2(1Н)-она с температурой плавления 192°С. Использованный в качестве исходного материала 7-анилино-3-(2-хлор-6-метилфенил)-3,4-дигидро-1-[3-(2-фталимидоэтил) фенил]пиримидо[4,5-d]пиримидин-2(1Н)-он получали следующим образом. а) Раствор 200 мг (0,41 ммоля) 7-анилино-3-(2-хлор-6-метилфенил)-3,4-дигидро-1-[3-(2-гидроксиэтил)фенил]пиримидо[4,5-d]пиримидин-2(1Н)-она (полученного аналогично примеру 53) в 15 мл дихлорметана обрабатывали 0,12 мл (0,82 ммоля) триэтиламина и 87 мг (0,5 ммоля) метансульфонового ангидрида. По прошествии 18 ч смесь промывали 30 мл насыщенного водного бикарбоната натрия, сушили над сульфатом магния, фильтровали и выпаривали с получением в виде смолы 233 мг (выход: 100%) 7-анилино-3-(2-хлор-6-метилфенил)-3,4-дигидро-1-[3-(2-метансульфонилоксиэтил) фенил]пиримидо-[4,5-d]пиримидин-2(1Н)-она [масс-спектрограмма (ESI): МН+=564]. б) Раствор 233 мг (0,41 ммоля) 7-анилино-3-(2-хлор-6-метилфенил)-3,4-дигидро-1-[3-(2-метансульфонилоксиэтил) фенил]пиримидо[4,5-d]пиримидин-2(1Н)-она в 10 мл диметилформамида обрабатывали 100 мг (0,54 ммоля) фталимида калия и смесь выдерживали при 90°С в течение 3 ч. Смесь охлаждали и выпаривали. Остаток разделяли между 50 мл этилацетата и 50 мл воды. Органическую фазу сушили над сульфатом магния, фильтровали и выпаривали с получением в виде белого твердого вещества 250 мг (выход: 99%) 7-анилино-3-(2-хлор-6-метилфенил)-3,4-дигидро-1-[3-(2-фталимидоэтил)-фенил]пиримидо[4,5-d]пиримидин-2(1Н)-она [масс-спектрограмма (ESI): MH+=615]. Пример 55 Раствор 90 мг (0,14 ммоля) 7-анилино-3-(2,5-дихлорфенил)-3,4-дигидро-1-[3-(2-фталимидоэтил) фенил]пиримидо[4,5-d]пиримидин-2(1Н)-она и 0,07 мл гидразингидрата в 15 мл метанола перемешивали при комнатной температуре в азотной атмосфере в течение 18 ч. Реакционную смесь выпаривали и остаток очищали экспресс-хроматографией в колонке на силикагеле, используя для элюирования дихлорметан/метанол/уксусную кислоту/воду (в соотношении 240/24/3/2). Содержавшие продукт фракции объединяли, выпаривали и остаток повторно выпаривали с толуолом. Далее остаток растворяли в 20 мл дихлорметана, промывали 20 мл насыщенного водного бикарбоната натрия, сушили над сульфатом магния, фильтровали и выпаривали с получением в виде белого твердого вещества 37 мг (выход: 52%) 1-[3-(2-аминоэтил) фенил]-7-анилино-3-(2,5-дихлорфенил)-3,4-дигидропиримидо[4,5-d]пиримидин-2(1Н)-она с температурой плавления 120-123°С [масс-спектрограмма (ESI): MH+=505]. Использованный в качестве исходного материала 7-анилино-3-(2,5-дихлорфенил)-3,4-дигидро-1-[3-(2-фталимидоэтил) фенил]пиримидо[4,5-d]пиримидин-2(1Н)-он готовили из 7-анилино-3-(2,5-дихлорфенил)-3,4-дигидро-1-[3-(2-гидроксиэтил)фенил]пиримидо[4,5-d]пиримидин-2(1Н)-она (полученного аналогично примеру 53 с применением 2,5-дихлоранилина вместо 2-хлор-6-метиланилина) аналогично примеру 54. Пример 56 200 мг (0,40 ммоля) 3-(2-бромфенил)-3,4-дигидро-1-[3-(2-гидроксиэтил)фенил]-7-метансульфонилпиримидо[4,5-d]пиримидин-2(1Н)-она обрабатывали 250 мг (1,2 ммоля) 4-[2-(диэтиламино)этокси]анилина и смесь выдерживали при 180°С в течение 40 мин. Смесь охлаждали и продукт очищали хроматографией в колонке на силикагеле, используя для элюирования дихлорметан/метанол/уксусную кислоту/воду (в соотношении 240/24/3/2). Содержавшие продукт фракции объединяли и выпаривали, а остаток выпаривали с толуолом. Далее остаток растворяли в 40 мл дихлорметана, промывали 40 мл насыщенного водного раствора бикарбоната натрия, сушили над сульфатом магния, фильтровали и выпаривали с получением в виде белого твердого вещества 45 мг (выход: 18%) 3-(2-бромфенил)-7-{4-[2-(диэтиламино)этокси]анилино}-3,4-дигидро-1-[3-(2-гидроксиэтил)фенил]пиримидо[4,5-d]пиримидин-2(1Н)-она с температурой плавления 98°С. Использованный в качестве исходного материала 3-(2-бромфенил)-3,4-дигидро-1-[3-(2-гидроксиэтил)фенил]-7-метансульфонилпиримидо[4,5-d]пиримидин-2(1Н)-он получали следующим образом. а) Раствор 3,5 г (7,9 ммоля) 5-(2-броманилино)метил-4-[3-(2-гидроксиэтил)фенил]амино-2-метилтиопиримидина [полученного по методу, аналогичному методу получения 5-(2,6-дихлоранилино)метил-4-[3-(2-гидроксиэтил)фенил]амино-2-метилтиопиримидина, изложенному в примере 37 (е), с использованием 2-броманилина вместо 2,6-дихлоранилина] в 100 мл дихлорметана обрабатывали 3,3 г (39 ммолей) 2,3-дигидропирана и 15 мг (0,08 ммоля) моногидрата толуолсульфокислоты и смесь перемешивали при комнатной температуре в течение 3 дней. В дальнейшем добавляли 100 мл диэтилового эфира и 100 мл рассола. Смесь разделяли и органическую фазу сушили над сульфатом магния, фильтровали и выпаривали. Экспресс-хроматографией на силикагеле с использованием диэтилового эфира и гексана в соотношении 1/1 в качестве элюента в виде желтого масла получали 2,6 г 5-(2-броманилино)метил-4-{3-[2-(тетрагидропиранилокси)этил]фенил}амино-2-метилтиопиримидина [масс-спектрограмма (ESI): МН+=529]. б) Раствор 2,6 г (4,9 ммоля) 5-(2-броманилино)метил-4-{3-[2-(тетрагидропиранилокси) этил]фенил}амино-2-метилтиопиримидина в 40 мл тетрагидрофурана обрабатывали 2 мл (14,4 ммоля) триэтиламина и образовавшийся раствор по каплям добавляли в охлажденный на льду раствор 3 мл фосгена (20%-ный раствор в толуоле, 5,8 ммоля) в 40 мл тетрагидрофурана. По прошествии 1 ч добавляли 50 мл насыщенного раствора хлорида аммония. Смесь разделяли и органическую фазу сушили над сульфатом магния и фильтровали. В раствор добавляли 20 мл насыщенного раствора хлорида водорода в этилацетате. По прошествии 10 мин раствор выпаривали с получением в виде белого твердого вещества 1,8 г (выход: 78%) 3-(2-бромфенил)-3,4-дигидро-1-[3-(2-гидроксиэтил)фенил]-7-метилтиопиримидо[4,5-d]-пиримидин-2(1Н)-она [масс-спектрограмма (ESI): МН+=471]. в) Раствор 1,4 г (3 ммоля) 3-(2-бромфенил)-3,4-дигидро-1-[3-(2-гидроксиэтил) фенил]-7-метилтиопиримидо[4,5-d]пиримидин-2(1Н)-она в 60 мл дихлорметана обрабатывали 2 г (6 ммолей) 3-хлорпербензойной кислоты (в воде концентрацией 50 мас.%) и смесь перемешивали в течение 18 ч. Смесь промывали 50 мл насыщенного водного бикарбоната натрия, сушили над сульфатом магния, фильтровали и выпаривали с получением в виде белого твердого вещества 1,45 г (выход: 100%) 3-(2-бромфенил)-3,4-дигидро-1-[3-(2-гидроксиэтил)фенил]-7-метансульфонилпиримидо[4,5-d]пиримидин-2(1Н)-она [масс-спектрограмма (ESI): МН+=503]. Пример 57 Раствор 1,3 г (1,7 ммоля) 7-анилино-3-(2-бромфенил)-3,4-дигидро-1-{3-{[1,1-диметил-2-(трет-бутилдифенилсилилокси)]этил}фенил}пиримидо[4,5-d]пиримидин-2(1H)-oнa в 30 мл тетрагидрофурана обрабатывали 2,1 мл (2,1 ммоля) тетрабутиламмонийфторида (1 М в тетрагидрофуране). Смесь кипятили с обратным холодильником в течение 5 ч, охлаждали и выпаривали. Остаток разделяли между 50 мл этилацетата и 50 мл 2 М водной соляной кислоты. Органическую фазу промывали 40 мл воды, сушили над сульфатом магния, фильтровали и выпаривали. Остаток очищали экспресс-хроматографией на силикагеле, используя для элюирования градиент от соотношения дихлорметан/метанол 100:1 до соотношения дихлорметан/метанол 100:5. Содержавшие продукт фракции выпаривали и остаток перекристаллизовывали из этилацетата с получением в виде окрашенного в кремовый цвет твердого вещества 500 мг (выход: 54%) 7-анилино-3-(2-бромфенил)-3,4-дигидро-1-{3-[(1,1-диметил-2-гидрокси)этил]фенил}пиримидо[4,5-d]пиримидин-2(1Н)-она с температурой плавления 178°С [масс-спектрограмма (ESI): MH+=545]. Использованный в качестве исходного материала 7-анилино-3-(2-бромфенил)-3,4-дигидро-1-{3-{[1,1-диметил-2-(третбутил-дифенилсилилокси)]этил}фенил}пиримидо[4,5-d]пиримидин-2(1Н)-он готовили по методу, аналогичному методу получения 7-анилино-3-(2-хлор-6-метилфенил)-3,4-дигидро-1-{3-[2-(трет-бутилдифенилсилил-окси)этил]фенил}пиримидо[4,5-d]-пиримидин-2(1Н)-она в примере 53 с применением в качестве исходного материала 5-формил-4-{3-[(1,1-диметил-2-гидрокси)этил]фениламино}-2-метилтиопиримидина вместо 5-формил-4-[3-(2-гидроксиэтил)фениламино]2-метилтиопиримидина и 2-броманилина вместо 2-хлор-6-метиланилина. 5-формил-4-{3-[(1,1-диметил-2-гидрокси)этил]фениламино}-2-метил-тиопиримидин получали по методу, аналогичному методу получения 5-формил-4-[3-(2-гидроксиэтил)фенил]амино-2-метилтиопиримидина в примере 37, применяя этил[2,2-диметил-2-(3-нитрофенил)]ацетат вместо этил-3-нитрофенилацетата. Этил[2,2-диметил-2-(3-нитрофенил)]ацетат получали следующим образом. Раствор 5 г (24 ммоля) этил-3-нитрофенилацетата в 20 мл тетрагидрофурана по каплям вводили в суспензию 2,88 г (72 ммоля) гидрида натрия (концентрацией 60 мас.%) в 80 мл тетрагидрофурана. По прошествии 30 мин по каплям добавляли 3,6 мл (57 ммолей) йодметана и образовавшуюся коричневую суспензию перемешивали в течение 1 ч. Осторожно добавляли 50 мл насыщенного водного хлорида аммония, а затем 50 мл этилацетата. Смесь перемешивали и органическую фазу промывали 50 мл рассола, сушили над сульфатом магния, фильтровали и выпаривали с получением в виде коричневого масла 5,5 г (выход: 97%) этил[2,2-диметил-2-(3-нитрофенил)]ацетата [масс-спектрограмма (ESI): MH+=238]. Пример 58 Раствор 250 мг (0,37 ммоля) 7-анилино-3-(2-бромфенил)-3,4-дигидро-1-{3-[(1,1-диметил-2-фталимидо)этил]фенил}пиримидо[4,5-d]пиримидин-2(1Н)-она в 10 мл этанола обрабатывали 0,5 мл гидразингидрата. По прошествии 18 ч смесь выпаривали и продукт очищали хроматографией в колонке на силикагеле, используя для элюирования дихлорметан/метанол/уксусную кислоту/воду (в соотношении 240/24/3/2). Содержавшие продукт фракции объединяли, выпаривали и остаток выпаривали с толуолом. Далее остаток растворяли в 50 мл дихлорметана, промывали 50 мл насыщенного водного раствора бикарбоната натрия, сушили над сульфатом магния, фильтровали и выпаривали. Остаток растирали в порошок в гексане с получением в виде белого твердого вещества 40 мг (выход: 20%) 1-{3-[(2-амино-1,1-диметил)этил]фенил}-7-анилино-3-(2-бромфенил)-3,4-дигидропиримидо[4,5-d]пиримидин-2(1Н)-она с температурой плавления 188°С. Использованный в качестве исходного материала 7-анилино-3-(2-бромфенил)-3,4-дигидро-1-{3-[(1,1-диметил-2-фталимидо)этил]фенил}пиримидо-[4,5-d]пиримидин-2(1Н)-он готовили из 7-анилино-3-(2-бромфенил)-3,4-дигидро-1-{3-[(1,1-диметил-2-гидрокси)этил]фенил}пиримидо[4,5-d]пиримидин-2(1Н)-она (полученного в примере 57) по методу, аналогичному методу примера 54. Пример 59 Раствор 130 мг (0,31 ммоля) 3-(2-бромфенил)-7-метансульфонил-3,4-дигидро-1-[3-(2-фталимидоэтил)фенил]пиримидо[4,5-d]пиримидин-2(1Н)-она из примера 50 обрабатывали 1 г (8 ммолей) 4-метоксианилина. Смесь выдерживали при 120°С в течение 2 ч. Смесь охлаждали и обрабатывали 30 мл 2 М водной соляной кислоты. Суспендированное твердое вещество отфильтровывали, промывали водой и сушили. Этот твердый материал растворяли в 20 мл этанола и обрабатывали 0,2 мл гидразингидрата. По прошествии 18 ч смесь выпаривали и продукт очищали хроматографией в колонке на силикагеле, используя для элюирования дихлорметан/метанол/уксусную кислоту/воду (в соотношении 240/24/3/2). Содержавшие продукт фракции объединяли, выпаривали и остаток выпаривали с толуолом. Далее остаток растворяли в 50 мл дихлорметана, промывали 50 мл насыщенного водного раствора бикарбоната натрия, сушили над сульфатом магния, фильтровали и выпаривали с получением в виде белого твердого вещества 35 мг (выход: 31%) 1-[3-(2-аминоэтил)фенил]-3-(2-бромфенил)-7-(4-метоксианилино)-3,4-дигидропиримидо[4,5-d]пиримидин-2(1Н)-она с температурой плавления 132-135°С. Пример 60 25 мг 1-[3-(2-аминоэтил)фенил]-3-(2-бромфенил)-7-(4-метоксианилино)-3,4-дигидропиримидо[4,5-d]пиримидин-2(1Н)-она (полученного в примере 59) обрабатывали 2 мл 40%-ной водной бромистоводородной кислоты и смесь выдерживали при 150°С в течение 2 ч. Смесь охлаждали и выпаривали. Остаток растирали в порошок с гексаном с получением в виде белого твердого вещества 20 мг (выход: 80%) 1-[3-(2-аминоэтил)фенил]-3-(2-бромфенил)-7-(4-гидроксианилино)-3,4-дигидропиримидо[4,5-d]пиримидин-2(1Н)-она с температурой плавления 210° С (с разложением). Пример 61 Раствор 230 мг (0,31 ммоля) 7-анилино-3-(2-бромфенил)-3,4-дигидро-1-[3-(фталимидометил)фенил]пиримидо[4,5-d]пиримидин-2(1Н)-она в 10 мл этанола обрабатывали 0,5 мл гидразингидрата. По прошествии 18 ч смесь выпаривали и продукт очищали хроматографией в колонке на силикагеле, используя для элюирования дихлорметан/метанол/уксусную кислоту/воду (в соотношении 240/24/3/2). Содержавшие продукт фракции объединяли, выпаривали и остаток выпаривали с толуолом. Далее остаток растворяли в 50 мл дихлорметана, промывали 50 мл насыщенного водного раствора бикарбоната натрия, сушили над сульфатом магния, фильтровали и выпаривали с получением в виде белого твердого вещества 5 мг (выход: 2,8%) 1-[3-(аминоэтил)фенил]-7-анилино-3-(2-бромфенил)-3,4-дигидропиримидо[4,5-d]пиримидин-2(1Н)-она с температурой плавления 121°С. Использованный в качестве исходного материала 7-анилино-3-(2-бромфенил)-3,4-дигидро-1-[3-(фталимидометил)фенил]пиримидо[4,5-d]пиримидин-2(1Н)-он получали следующим образом. а) Раствор 5 г (33 ммоля) 3-нитробензилового спирта в 100 мл диметилформамида обрабатывали 10,8 г (40 ммолей) трет-бутилдифенилхлорсилана, 6,7 г (99 ммолей) имидазола и 100 мг (0,9 ммоля) 4-(диметиламино) пиридина и при комнатной температуре смесь перемешивали в течение 4 ч. Растворитель выпаривали и остаток разделяли между 100 мл этилацетата и 100 мл 2 М водной соляной кислоты. Органическую фазу промывали дополнительными 50 мл 2 М водной соляной кислоты, сушили над сульфатом магния, фильтровали и выпаривали с получением в виде бесцветного масла 12,9 г (выход: 100%) 3-(третбутилдифенилсилилоксиметил) нитробензола [масс-спектрограмма (ESI): MH+=392]. б) Раствор 12,9 г (33 ммоля) 3-(трет-бутилдифенилсилилоксиметил) нитробензола в 150 мл этанола обрабатывали 1 г 10%-ного палладия на угле, а затем встряхивали в атмосфере водорода в течение 18 ч. Смесь фильтровали и фильтрат выпаривали с получением в виде бесцветного масла 12 г (выход: 100%) 3-(трет-бутилдифенилсилилоксиметил) анилина [масс-спектрограмма (ESI): МН+=362]. в) Раствор 2,32 г (10 ммолей) этил-4-хлор-2-метилтиопиримидин-5-карбоксилата в 30 мл 1,4-диоксана обрабатывали 1,4 мл (10 ммоля) триэтиламина и 4,7 г (13 ммолей) 3-(трет-бутилдифенилсилилоксиметил)анилина. Смесь выдерживали при 50°С в течение 18 ч и выпаривали. Остаток разделяли между 50 мл этилацетата и 50 мл 2 М водной соляной кислоты. Органическую фазу сушили над сульфатом магния, фильтровали и выпаривали с получением в виде бесцветного масла 5,6 г (выход: 100%) этил-4-[3-(трет-бутилдифенилсилилоксиметил)анилино]амино-2-метилтиопиримидин-5-карбоксилата [масс-спектрограмма (ESI): MH+=558]. г) Раствор 5,6 г (10 ммолей) этил-4-[3-(трет-бутилдифенилсилилоксиметил)анилино]амино-2-метилтиопиримидин-5-карбоксилата в 30 мл тетрагидрофурана добавляли по каплям в охлажденный льдом раствор 10 мл 1 М раствора литийалюминийгидрида в тетрагидрофуране (10 ммолей) в дополнительных 20 мл тетрагидрофурана. По прошествии 1 ч реакцию останавливали последовательным осторожным добавлением 1 мл воды, 1,5 мл 2 М водного гидроксида натрия и 2 мл воды. Смесь фильтровали через фильтр из вспомогательного фильтровального вещества и твердые частицы тщательно промывали тетрагидрофураном. Объединенные фильтрат и промывные жидкости выпаривали с получением в виде желтого масла 4,6 г (выход: 88%) 4-[3-(третбутилдифенилсилилоксиметил)анилино]-5-гидроксиметил-2-метилтиопиримидина [масс-спектрограмма (ESI):MH+=516]. д) Раствор 7,7 г (15 ммолей) 4-[3-(трет-бутилдифенилсилилоксиметил)-анилино]-5-гидроксиметил-2-метилтиопиримидина в 100 мл дихлорметана обрабатывали 13 г (150 ммолей) диоксида марганца и смесь перемешивали в течение 18 ч. Смесь фильтровали и фильтрат выпаривали. Продукт очищали экспресс-хроматографией на силикагеле, используя для элюирования этилацетат/гексан в соотношении 1/2. Содержавшие продукт фракции объединяли и выпаривали с получением в виде бесцветного масла 3,5 г (выход: 46%) 4-[3-(трет-бутилдифенилсилилоксиметил) анилино]-2-метилтиопиримидин-5-карбоксальдегида [масс-спектрограмма (ESI): МН+=514]. е) Раствор 3,5 г (6,8 ммоля) 4-[3-(трет-бутилдифенилсилилоксиметил)-анилино]-2-метилтиопиримидин-5-карбоксальдегида в 100 мл толуола обрабатывали 12 г (7 ммолей) 2-броманилина и 100 мг (0,5 ммоля) моногидрата толуолсульфокислоты. Смесь кипятили с азеотропным удалением воды в течение 2 ч, а затем охлаждали и выпаривали. Остаток растворяли в 20 мл тетрагидрофурана и затем по каплям добавляли в охлажденный льдом раствор 7 мл 1 М литийалюминийгидрида в тетрагидрофуране (7 ммолей) в дополнительных 20 мл тетрагидрофурана. По прошествии 1 ч реакцию останавливали последовательным осторожным добавлением, по каплям 1,5 мл воды, 2 мл 2 М водного гидроксида натрия и 3 мл воды. Смесь фильтровали через фильтр из вспомогательного фильтровального вещества и твердые частицы тщательно промывали тетрагидрофураном. Объединенные фильтрат и промывные жидкости выпаривали с получением в виде белого твердого вещества 4,5 г (выход: 100%) 5-[(2-броманилино)метил]-4-[3-(трет-бутилдифенилсилилоксиметил)анилино]-2-метилтиопиримидина [масс-спектрограмма (ESI):MH+=670]. ж) Раствор 4,5 г (6,8 ммоля) 5-[(2-броманилино)метил]-4-[3-трет-бутилдифенилсилилоксиметил)анилино]-2-метилтиопиримидина и 1,9 мл (13,6 ммоля) триэтиламина в 50 мл толуола по каплям вводили в раствор 7 мл фосгена (20%-ный раствор в толуоле, 13,6 ммоля) в дополнительных 50 мл толуола. Смесь кипятили с обратным холодильником в течение 5 ч и охлаждали. Добавляли 50 мл этилацетата и 60 мл насыщенного водного бикарбоната натрия и смесь разделяли. Органическую фазу сушили над сульфатом магния, фильтровали и выпаривали с получением в виде бесцветного масла 4,7 г (выход: 100%) 3-(2-бромфенил)-1-[3-(трет-бутилдифенилсилилоксиметил)фенил]3,4-дигидро-7-метилтиопиримидо[4,5-d]пиримидин-2(1Н)-она [масс-спектрограмма (ESI): МН+=696]. з) Раствор 4,7 г (6,8 ммоля) 3-(2-бромфенил)-1-[3(трет-бутилдифенилсилилоксиметил)фенил]-3,4-дигидро-7-метилтиопиримидо[4,5-d]пиримидин-2(1Н)-она в 100 мл дихлорметана обрабатывали 4,6 г (13,6 ммоля) 3-хлорпербензойной кислоты (в воде концентрацией 50 мас.%) и перемешивали в течение 18 ч. Добавляли 60 мл насыщенного водного бикарбоната натрия. Органическую фазу сушили над сульфатом магния и выпаривали. Остаток перекристаллизовывали из этанола с получением в виде белого твердого вещества 4,3 г (выход: 87%) 3-(2-бромфенил)1-[3-(трет-бутилдифенилсилилоксиметил)фенил]-3,4-дигидро-7-метансульфонилпиримидо[4,5-d]пиримидин-2(1Н)-она [масс-спектрограмма (ESI): МН+=728]. и) Раствор 400 мг (0,55 ммоля) 3-(2-бромфенил)-1-[3(трет-бутилдифенилсилилоксиметил)фенил]-3,4-дигидро-7-метансульфонилпиримидо[4,5-d]-пиримидин-2(1Н)-она в 30 мл метанола обрабатывали 400 мг (11 ммолей) фторида аммония и смесь кипятили с обратным холодильником в течение 1 ч. Смесь выпаривали и продукт очищали экспресс-хроматографией на силикагеле, используя для элюирования дихлорметан/метанол в соотношении 20/1. Содержавшие продукт фракции объединяли и выпаривали с получением в виде белого твердого вещества 257 мг (выход: 96%) 3-(2-бромфенил)-3,4-дигидро-1-[3-(гидроксиметил) фенил]-7-метансульфонилпиримидо[4,5-d]пиримидин-2(1Н)-она [масс-спектрограмма (ESI): MH+=490]. к) Раствор 257 мг (0,53 ммоля) 3-(2-бромфенил)-3,4-дигидро-1-[3-(гидроксиметил) фенил]-7-метансульфонилпиримидо[4,5-d]пиримидин-2(1Н)-она в 15 мл дихлорметана обрабатывали 0,15 мл (1,06 ммоля) триэтиламина и 104 мг (0,6 ммоля) метансульфонового ангидрида. По прошествии 18 ч добавляли 10 мл насыщенного водного бикарбоната натрия. Смесь разделяли и органическую фазу сушили над сульфатом магния, фильтровали и выпаривали с получением в виде бесцветного масла 250 мг (выход: 83%) 3-(2-бромфенил)-3,4-дигидро-7-(метансульфонил)-1-[3-(метансульфонилоксиметил)фенил]пиримидо[4,5-d]-пиримидин-2(1Н)-она [масс-спектрограмма (ESI): MH+=567]. л) Раствор 250 мг (0,44 ммоля) 3-(2-бромфенил)-3,4-дигидро-7-(метансульфонил)-1-[3-(метансульфонилоксиметил) фенил]пиримидо[4,5-d]пиримидин-2(1Н)-она в 10 мл диметилформамида обрабатывали 111 мг (0,6 ммоля) фталимида калия и смесь выдерживали при 90°С в течение 1 ч, а затем охлаждали и выпаривали. Остаток разделяли между 30 мл дихлорметана и 30 мл воды. Органическую фазу собирали, сушили над сульфатом магния, фильтровали и выпаривали с получением в виде белого твердого вещества 270 мг (выход: 99%) 3-(2-бромфенил)-3,4-дигидро-7-(метансульфонил)-1-[3-(фталимидометил)фенил]пиримидо[4,5-d]пиримидин-2(1Н)-она [масс-спектрограмма (ESI): MH+=618]. м) 270 мг (0,44 ммоля) 3-(2-бромфенил)-3,4-дигидро-7-(метансульфонил)-1-[3-(фталимидометил)фенил]пиримидо[4,5-d]пиримидин-2(1Н)-она обрабатывали 3 мл анилина и смесь выдерживали при 180°С в течение 20 мин и охлаждали. Добавляли 20 мл этилацетата и 20 мл 2 М водной соляной кислоты. Органическую фазу сушили над сульфатом магния, фильтровали и выпаривали с получением в виде рыжевато-коричневого твердого вещества 230 мг (выход: 83%) 7-анилино-3-(2-бромфенил)-3,4-дигидро-1-[3-(фталимидометил)фенил]пиримидо[4,5-d]пиримидин-2(1Н)-она [масс-спектрограмма (ESI): MH+=632]. Пример 62 Раствор 1,5 г (2 ммоля) 7-анилино-3-(2-бромфенил)-1-{3-[(трет-бутил-дифенилсилилокси)метил]фенил}-3,4-дигидропиримидо[4,5-d]пиримидин-2(1Н)-она в 30 мл тетрагидрофурана обрабатывали 2,5 мл (2,5 ммоля) тетрабутиламмонийфторида (1 М в тетрагидрофуране). Смесь кипятили с обратным холодильником в течение 5 ч, охлаждали и выпаривали. Остаток разделяли между 50 мл этилацетата и 50 мл 2 М водной соляной кислоты. Органическую фазу промывали 40 мл воды, сушили над сульфатом магния, фильтровали и выпаривали. Остаток очищали экспресс-хроматографией на силикагеле, используя для элюирования дихлорметан/метанол в соотношении 100:1. Содержавшие продукт фракции выпаривали с получением в виде белого твердого вещества 550 мг (выход: 55%) 7-анилино-3-(2-бромфенил)-3,4-дигидро-1-[3-(гидроксиметил)фенил]пиримидо[4,5-d]пиримидин-2(1Н)-она с температурой плавления 136°С [масс-спектрограмма (ESI): MH+=486]. Использованный в качестве исходного материала 7-анилино-3-(2-бромфенил)-1-{3-[(трет-бутилдифенилсилилокси)метил]фенил}-3,4-дигидропиримидо[4,5-d]пиримидин-2(1Н)-он получали следующим образом. 1,5 г (2 ммоля) 3-(2-бромфенил)-1-[3-(трет-бутилдифенилсилилоксиметил)фенил]-3,4-дигидро-7-метансульфонилпиримидо[4,5-d]пиримидин-2(1Н)-она [полученного в примере 61 (з)] обрабатывали 3 мл анилина и смесь выдерживали при 180° С в течение 20 мин и охлаждали. Смесь выливали в 50 мл 2 М водной соляной кислоты и выпадавший в осадок продукт отфильтровывали, промывали водой и сушили с получением в виде светло-коричневого твердого вещества 1,5 г (выход: 100%) 7-анилино-3-(2-бромфенил)-1-{3-[(трет-бутилдифенилсилилокси)метил]фенил}-3,4-дигидропиримидо[4,5-d]-пиримидин-2(1Н)-она [масс-спектрограмма (ESI): MH+=741]. Пример 63 Смесь 180 мг (0,37 ммоля) 3-(2-бромфенил)-3,4-дигидро1-[4-(гидроксиметил)фенил]-7-метансульфонилпиримидо[4,5-d]пиримидин-2(1Н)-она и 0,34 мл (3,7 ммоля) анилина выдерживали при 120°С в течение 3 ч. Реакционную смесь охлаждали до комнатной температуры, затем растирали в порошок с 5 мл 2 М соляной кислоты. Желтовато-коричневый продукт собирали фильтрованием, промывали водой, затем диэтиловым эфиром. Сырой материал очищали экспресс-хроматографией на силикагеле, используя для элюирования 3%-ный метанол в дихлорметане. Содержавшие продукт фракции объединяли и выпаривали с получением в виде не совсем белого твердого вещества 65 мг (выход: 35%) 7-анилино-3-(2-бромфенил)-3,4-дигидро-1-[4-(гидроксиметил)фенил]пиримидо[4,5-d]пиримидин-2(1Н)-она с температурой плавления 129-132°С [масс-спектрограмма (ESI): МН+=502]. Использованный в качестве исходного материала 3-(2-бромфенил)-3,4-дигидро-1-[4-(гидроксиметил)фенил]-7-метансульфонилпиримидо[4,5-d]пиpимидин-2(1H)-oн получали следующим образом. а) Раствор 5,9 г (38,7 ммоля) 4-нитробензилового спирта, 17,6 мл (193,5 ммоля) 3,4-дигидро-2Н-пирана и 500 мг (2,6 ммоля) моногидрата п-толуолсульфокислоты в 200 мл дихлорметана при комнатной температуре перемешивали в течение 4 ч. Реакционную смесь выпаривали и остаток очищали экспресс-хроматографией на силикагеле, используя в качестве элюента этилацетат/гексан в соотношении 1/4. Содержавшие продукт фракции объединяли и выпаривали с получением в виде бледно-желтого масла 8,52 г (выход: 93%) 2-(4-нитробензилокси)тетрагидропирана. б) Раствор 8,5 г (35,9 ммоля) 2-(4-нитробензилокси)тетрагидропирана в 150 мл метанола гидрогенизировали при комнатной температуре и под атмосферным давлением в присутствии 800 мг 10%-ного палладия на угле в течение 8 ч. Фильтрованием удаляли катализатор и фильтрат выпаривали с получением продукта в виде темно-желтого масла. В результате очистки экспресс-хроматографией в колонке на силикагеле, используя в качестве элюента этилацетат/гексан в соотношении 1/2, в виде бледно-желтого масла получали 4,8 г (выход: 65%) 4-(тетрагидропиран-2-илоксиметил)анилина [масс-спектрограмма (ESI):[MH+MeCN]+=249]. в) Раствор 4,25 г (18,26 ммоля) этил-4-хлор-2-метилтиопиримидин-5-карбоксилата, 4,73 г (22,85 ммоля) 4-(тетрагидропиран-2-илоксиметил)анилина и 6,4 мл (45,7 ммоля) триэтиламина в высушенном над молекулярными ситами 1,4-диоксане выдерживали при 60° С в течение 4 ч. Реакционную смесь выпаривали и остаток разделяли между этилацетатом и водой. Этилацетатный слой отделяли, сушили (MgSO4) и выпаривали с получением продукта в виде коричневого масла, которое очищали экспресс-хроматографией на силикагеле, используя в качестве элюента этилацетат/гексан в соотношении 1/4. Содержавшие продукт фракции объединяли и выпаривали с получением в виде желтого масла 6,68 г (выход: 90%) этил-4-[4-(тетрагидропиран-2-илоксиметил) фенил]амино-2-метилтиопиримидин-5-карбоксилата [масс-спектрограмма (ESI): MH+=404]. г) Раствор 6,6 г (16,37 ммоля) этил-4-[4-(тетрагидропиран-2-илоксиметил)фенил]амино-2-метилтиопиримидин-5-карбоксилата в 100 мл безводного тетрагидрофурана при 0°С по каплям вводили в 20,5 мл (20,5 ммоля) литийалюминийгидрида (1 М в тетрагидрофуране) в 100 мл безводного тетрагидрофурана. Реакционную смесь в течение 2 ч подогревали до комнатной температуры, а затем до 65°С, после чего реакцию останавливали последовательным добавлением 0,75 мл воды, 0,75 мл 2 М раствора гидроксида натрия и 2,25 мл воды. Реакционной смеси давали остыть, а затем фильтровали через вспомогательное фильтровальное вещество и фильтрат выпаривали с получением в виде желтого полутвердого вещества 4,5 г (выход: 75%) 4-[4-(тетрагидропиран-2-илоксиметил) фенил]амино-5-гидроксиметил-2-метилтиопиримидина. д) Реакцией 4,54 г (12,57 ммоля) 4-[4-(тетрагидропиран-2-илоксиметил)-фенил]амино-5-гидроксиметил-2-метилтиопиримидина аналогично примеру 7(в) получали 4,02 г (выход: 89%) 5-формил-4-[4-(тетрагидропиран-2-илоксиметил) фенил]амино-2-метилтиопиримидина. е) Реакцией 4,0 г (11,1 ммоля) 5-формил-4-[4-(тетрагидропиран-2-илоксиметил) фенил]амино-2-метилтиопиримидина с 2-броманилином аналогично примеру 37(е) в виде бледно-желтой смолы получали 1,13 г (выход: 24%) 5-(2-броманилино)метил-4-[4-(тетрагидропиран-2-илоксиметил) фенил]амино-2-метилтиопиримидина [масс-спектрограмма (ESI): МН+=515]. ж) Раствор 0,93 г (1,8 ммоля) 5-[(2-броманилино) метил]-4-[4-(тетрагидропиран-2-илоксиметил)фенил]амино-2-метилтиопиримидина и 0,5 мл (3,61 ммоля) триэтиламина в 5 мл безводного тетрагидрофурана по каплям при 0°С в азотной атмосфере вводили в 1,9 мл (3,61 ммоля) 20%-ного раствора фосгена в толуоле, растворенного в 5 мл тетрагидрофурана. Реакционную смесь перемешивали при 0°С в течение дальнейших 60 мин, а затем выпаривали. Остаток разделяли между 10 мл этилацетата и 10 мл 2 М соляной кислоты, этилацетатный слой отделяли, а затем промывали 10 мл насыщенного водного бикарбоната натрия, сушили над сульфатом магния, фильтровали и выпаривали с получением в виде желтой смолы 0,945 г (выход: 97%) 3-(2-бромфенил)-3,4-дигидро-1-[4-(тетрагидропиран-2-илоксиметил)фенил]-7-метилтиопиримидо[4,5-d]пиримидин-2(1Н)-она [масс-спектрограмма (ЕSI):МН+=541]. з) Раствор 0,945 г (1,75 ммоля) 3-(2-бромфенил)-3,4-дигидро-1-[4-(тетрагидропиран-2-илоксиметил)фенил]-7-метилтиопиримидо[4,5-d]пиримидин-2(1Н)-она в 10 мл насыщенного хлорида водорода в этилацетате при комнатной температуре перемешивали в течение 2 ч. Реакционную смесь разбавляли 10 мл этилацетата, а затем промывали 10 мл воды и 20 мл насыщенного водного бикарбоната натрия, сушили над сульфатом магния, фильтровали и выпаривали с получением в виде желтой смолы 0,68 г (выход: 85%) 3-(2-бромфенил)-3,4-дигидро-1-[4-(гидроксиметил)фенил]-7-метилтиопиримидо[4,5-d]-пиримидин-2(1Н)-она [масс-спектрограмма (ESI):MH+=457]. и) Реакцию 0,68 г (1,49 ммоля) 3-(2-бромфенил)-3,4-дигидро-1-[4-(гидроксиметил)фенил]-7-метилтиопиримидо[4,5-d]пиримидин-2(1Н)-она с 3-хлорпербензойной кислотой проводили аналогично примеру 7 (е) с получением в виде пены кремового цвета 0,36 г (выход: 49%) 3-(2-бромфенил)-3,4-дигидро-1-[4-(гидроксиметил)фенил]-7-метансульфонилпиримидо[4,5-d]пиримидин-2(1Н)-она [масс-спектрограмма (ESI): MH+=491]. Пример 64 Раствор 160 мг (0,253 ммоля) 7-анилино-3-(2-бромфенил)-3,4-дигидро-1-[4-(фталимидометил)фенил]пиримидо[4,5-d]пиримидин-2(1Н)-она и 5 мл гидразингидрата в 5 мл этанола перемешивали при комнатной температуре в азотной атмосфере в течение 4 ч. Реакционную смесь выпаривали и остаток очищали экспресс-хроматографией на силикагеле, используя для элюирования дихлорметан/метанол/уксусную кислоту/воду (в соотношении 240/24/3/2). Содержавшие продукт фракции объединяли, выпаривали и остаток повторно выпаривали с толуолом. Далее остаток растворяли в 20 мл дихлорметана, промывали 20 мл насыщенного водного бикарбоната натрия, сушили над сульфатом магния, фильтровали и выпаривали с получением в виде белого твердого вещества 55 мг (выход: 43%) 1-[4-(аминометил)фенил]-7-анилино-3-(2-бромфенил)-3,4-дигидропиримидо[4,5-d]пиримидин-2(1Н)-она с температурой плавления 133-136°С [масс-спектрограмма (ESI): МН+=501]. Использованный в качестве исходного материала 7-анилино-3-(2-бромфенил)-3,4-дигидро-1-[4-(фталимидометил)фенил]пиримидо[4,5-d]пиримидин-2(1Н)-он готовили из 7-анилино-3-(2-бромфенил)-3,4-дигидро-1-[4-(гидроксиметил) фенил]пиримидо[4,5-d]пиримидин-2(1Н)-она (полученного аналогично примеру 63) по методу, аналогичному описанному в примере 54. Пример 65 Смесь 160 мг (0,3 ммоля) 3-(2-бромфенил)-3,4-дигидро-7-метансульфонил-1-(1-нафтил)пиримидо[4,5-d]пиримидин-2(1Н)-она и 200 мкл (2,2 ммоля) анилина выдерживали при 120°С в течение 2 ч. Остаток разделяли между 10 мл этилацетата и 10 мл 2 М соляной кислоты и этилацетатный слой отделяли, а затем промывали 10 мл насыщенного водного бикарбоната натрия, сушили над сульфатом магния, фильтровали и выпаривали с получением в виде оранжевого твердого вещества 100 мг (выход: 67%) 7-анилино-3-(2-бромфенил)-3,4-дигидро-1-(1-нафтил)пиримидо[4,5-d]пиримидин-2(1Н)-она с температурой плавления 120-125°С [масс-спектрограмма (ESI): MH+=522]. Использованный в качестве исходного материала 3-(2-бромфенил)-3,4-дигидро-7-метансульфонил-1-(1-нафтил)пиримидо[4,5-d]пиримидин-2(1Н)-он готовили аналогично примеру 7 из этил-4-хлор-2-метилтиопиримидин-5-карбоксилата и 1-нафтиламина. Пример 66 Смесь 0,655 г (1,1 ммоля) метил-3-{[7-бензилсульфонил-3-(2-бромфенил)-1,2,3,4-тетрагидро-2-оксопиримидо[4,5-d]пиримидин-1-ил]метил}бензоата и 0,55 мл (6 ммолей) анилина выдерживали при 100°С в течение 2 ч. Реакционную смесь разделяли между 10 мл дихлорметана и 10 мл 2 М соляной кислоты и дихлорметановый слой отделяли, промывали 10 мл насыщенного водного бикарбоната натрия, сушили над сульфатом магния, фильтровали и выпаривали. Сырой материал очищали экспресс-хроматографией на силикагеле, используя в качестве элюента этилацетат/гексан в соотношении 1/1. Содержавшие продукт фракции объединяли и выпаривали с получением в виде белого твердого вещества 120 мг (выход: 20%) метил-3-{[7-анилино-3-(2-бромфенил)-1,2,3,4-тетрагидро-2-оксопиримидо[4,5-d]пиримидин-1-ил]метил} бензоата с температурой плавления 79-82°С [масс-спектрограмма (ESI): МН+=546]. Использованный в качестве исходного материала метил-3-{[7-бензилсульфонил-3-(2-бромфенил)-1,2,3,4-тетрагидро-2-оксопиримидо[4,5-d]пиримидин-1-ил]метил}бензоат готовили следующим образом. а) 650 мкл (8,8 ммоля) тионилхлорида при 0°С в азотной атмосфере по каплям вводили в перемешиваемый раствор 1 г (5,8 ммоля) 3-(хлорметил)бензойной кислоты в 40 мл метанола, затем в течение ночи перемешивали при комнатной температуре. Растворитель выпаривали, остаток растворяли в 30 мл дихлорметана, промывали 2 порциями по 40 мл насыщенного водного бикарбоната натрия, 40 мл рассола, сушили над сульфатом магния, фильтровали и выпаривали с получением в виде бесцветной подвижной жидкости 0,94 г (выход: 88%) метил-3-(хлорметил)бензоата. б) Раствор 1 г (2,2 моля) 7-бензилсульфонил-3-(2-бромфенил)-3,4-дигидропиримидо[4,5-d]пиримидин-2(1Н)-она в 20 мл диметилформамида в азотной атмосфере охлаждали до 0°С, обрабатывали 112 мг (4,2 ммоля) 60%-ного гидрида натрия в минеральном масле, затем перемешивали в течение 30 мин. Добавляли 440 мг (2,4 ммоля) метил-3-(хлорметил) бензоата, после чего реакционную смесь выдерживали при 90°С в течение 3 ч. Растворитель выпаривали, а остаток разделяли между 40 мл этилацетата и 40 мл воды, этилацетатный слой отделяли, промывали 40 мл насыщенного водного бикарбоната натрия, сушили над сульфатом магния, фильтровали и выпаривали. Сырой материал очищали экспресс-хроматографией на силикагеле, элюируя этилацетатом/гексаном в соотношении 1/1. Содержавшие продукт фракции объединяли и выпаривали с получением в виде белого твердого вещества 750 мг (выход: 56%) метил-3-{[7-бензилсульфонил-3-(2-бромфенил)-1,2,3,4-тетрагидро-2-оксопиримидо[4,5-d]пиримидин-1-ил]метил}бензоата [масс-спектрограмма (ESI): MH+=607]. Использованный в качестве исходного материала 7-бензилсульфонил-3-(2-бромфенил)-3,4-дигидропиримидо[4,5-d]пиримидин-2(1Н)-он готовили аналогично примеру 8(а)-(е) из технически доступного 4-амино-5-карбэтоксипиримидин-2-тиола и с применением бензилбромида вместо йодметана и 2-броманилина вместо 2,6-дихлоранилина. Пример 67 Раствор 90 мг (0,17 ммоля) метил-3-{[7-анилино-3-(2-бромфенил)-1,2,3,4-тетрагидро-2-оксопиримидо[4,5-d]пиримидин-1-ил]метил} бензоата в тетрагидрофуране/метаноле/воде (6 мл/6 мл/1,5 мл) обрабатывали 27 мг (1,125 ммоля) моногидрата гидроксида лития, затем выдерживали в азотной атмосфере при 60°С в течение 3 ч. Выпаривали растворитель и остаток разделяли между 10 мл этилацетата и 10 мл 2 М соляной кислоты. Этилацетатный слой отделяли, промывали 10 мл насыщенного водного бикарбоната натрия, сушили над сульфатом магния, фильтровали и выпаривали с получением в виде бледно-желтого твердого вещества 30 мг (выход: 35%) 3-{[7-анилино-3-(2-бромфенил)-1,2,3,4-тетрагидро-2-оксопиримидо[4,5-d]пиримидин-1-ил]метил}бензойной кислоты с температурой плавления 180-183°С [масс-спектрограмма (ESI): MH+=530]. Пример 68 Смесь 158 мг (0,35 ммоля) 3-(2,6-дихлорфенил)-7-метансульфонил-3,4-дигидро-1-фенилпиримидо[4,5-d]пиримидин-2(1Н)-она (полученного в примере 7) и 250 мкл (1,9 ммоля) 4-этоксианилина выдерживали при 90°С в течение 2 ч. Реакционную смесь разделяли между 10 мл дихлорметана и 10 мл 2 М соляной кислоты и дихлорметановый слой отделяли, промывали 10 мл насыщенного водного бикарбоната натрия, сушили над сульфатом магния, фильтровали и выпаривали. Сырой материал очищали экспресс-хроматографией на силикагеле, элюируя этилацетатом/гексаном в соотношении 1/1. Содержавшие продукт фракции объединяли и выпаривали с получением в виде белого твердого вещества 126 мг (выход: 71%) 3-(2,6-дихлорфенил)-7-(4-этоксианилино)-3,4-дигидро-1-фенилпиримидо[4,5-d]пиримидин-2(1Н)-она с температурой плавления 224-226°С [масс-спектрограмма (ESI): MH+=506]. Пример 69 Раствор 960 мг (1,29 ммоля) 7-анилино-1-[3-(2-трет-бутилдифенилсилилоксиэтил)фенил]-3-(2,6-дихлорфенил)-3,4-дигидропиримидо[4,5-d]пиримидин-2(1Н)-она в 8 мл сухого тетрагидрофурана обрабатывали при 0°С 1,6 мл 1 М раствора тетрабутиламмонийфторида в тетрагидрофуране. Реакционной смеси в течение ночи давали нагреться до комнатной температуры. Выпаривали растворитель и остаток разделяли между 30 мл этилацетата и 30 мл 2 М водной соляной кислоты, этилацетатный слой отделяли, промывали 30 мл насыщенного водного бикарбоната натрия, сушили над сульфатом магния, фильтровали и выпаривали с получением 730 мг темно-коричневого твердого вещества. Сырой материал растирали с диэтиловым эфиром, твердую фазу собирали фильтрованием и промывали дополнительным количеством диэтилового эфира с получением в виде не совсем белого твердого вещества 240 мг (выход: 37%) 7-анилино-3-(2,6-дихлорфенил)-3,4-дигидро-1-[3-(2-гидроксиэтил)фенил]-пиримидо[4,5-d]пиримидин-2(1Н)-она с температурой плавления >250°С [масс-спектрограмма (ESI): МН+=506]. Использованный в качестве исходного материала 7-анилино-1-[3-(2-трет-бутилдифенилсилилоксиэтил)фенил]-3-(2,6-дихлорфенил)-3,4-дигидропиримидо[4,5-d]пиримидин-2(1Н)-он получали следующим образом. а) Раствор 0,8 г (1,84 ммоля) 5-(2,6-дихлоранилино)метил-4-[3-(2-гидроксиэтил)фенил]амино-2-метилтиопиримидина [полученного в примере 37 (е)], 580 мкл (2,2 ммоля) трет-бутилхлордифенилсилана, 0,38 г (5,5 ммоля) имидазола и 15 мг N,N-диметиламинопиридина в 5 мл диметилформамида в азотной атмосфере при комнатной температуре перемешивали в течение ночи. Растворитель выпаривали, а остаток разделяли между 40 мл этилацетата и 40 мл 2 М соляной кислоты, этилацетатный слой отделяли, промывали 40 мл насыщенного водного бикарбоната натрия, сушили над сульфатом магния, фильтровали и выпаривали с получением в виде желтой смолы 1,36 г 4-[3-(2-трет-бутилдифенилсилилоксиэтил)фенил]амино-5-(2,6-дихлоранилино)метил-2-метилтиопиримидина [масс-спектрограмма (ESI): МН+=673]. б) Раствор, содержавший 1,35 г (2 ммоля) 4-[3-(2-третбутилдифенилсилилоксиэтил) фенил]амино-5-(2,6-дихлоранилино) метил-2-метилтиопиримидина и 0,85 мл (6 ммолей) триэтиламина в 5 мл безводного толуола при 0°С в азотной атмосфере по каплям вводили в 3,2 мл (6 ммолей) 20%-ного раствора фосгена в толуоле, растворенного в 10 мл толуола. Затем реакционную смесь кипятили с обратным холодильником в течение 6 ч, после чего выпаривали. Остаток разделяли между 40 мл этилацетата и 40 мл 2 М соляной кислоты, этилацетатный слой отделяли, промывали 40 мл насыщенного водного бикарбоната натрия, сушили над сульфатом магния, фильтровали и выпаривали с получением в виде желтой смолы 1,5 г 1-[3-(2-трет-бутилдифенилсилилоксиэтил)фенил]-3-(2,6-дихлорфенил)-7-метилтио-3,4-дигидропиримидо[4,5-d]-пиримидин-2(1Н)-она [масс-спектрограмма (ESI): МН+=699]. в) Реакцию 1,4 г (2 ммоля) 1-[3-(2-трет-бутилдифенилсилилоксиэтил)-фенил]-3-(2,6-дихлорфенил)-7-метилтио-3,4-дигидропиримидо[4,5-d]пиримидин-2(1Н)-она с 3-хлорпербензойной кислотой проводили аналогично примеру 7(е) с получением в виде кремового твердого вещества 0,98 г (выход: 67%) 1-[3-(2-трет-бутилдифенилсилилоксиэтил)фенил]-3-(2,6-дихлорфенил)-7-метансульфонил-3,4-дигидропиримидо[4,5-d]пиримидин-2(1Н)-она [масс-спектрограмма (ESI): MH+=731]. г) Смесь 980 мг (1,22 ммоля) 1-[3-(2-трет-бутилдифенилсилилоксиэтил)-фенил]-3-(2,6-дихлорфенил)-7-метансульфонил-3,4-дигидропиримидо[4,5-d]пиримидин-2(1Н)-она и 5 мл анилина выдерживали при 100°С в течение 30 мин. Реакционной смеси давали остыть, затем выливали в 50 мл 2 М соляной кислоты. Продукт собирали фильтрованием, промывали 50 мл воды, затем 50 мл гексана и сушили с получением в виде желтовато-коричневого твердого вещества 960 мг (выход: 96%) 7-анилино-1-[3-(2-трет-бутилдифенилсилилоксиэтил)фенил]-3-(2,6-дихлорфенил)-3,4-дигидропиримидо[4,5-d]пиримидин-2(1Н)-она [масс-спектрограмма (ESI): MH+=744]. Пример 70 Раствор 125 мг (0,214 ммоля) 7-анилино-3-(2,6-дихлорфенил)-3,4-дигидро-1-[3-(2-метансульфонилоксиэтил)фенил]пиримидо[4,5-d]пиримидин-2(1Н)-она в 5 мл 33%-ного метиламина в этаноле выдерживали при 60°С в течение 3 ч. Реакционную смесь выпаривали и сырой материал очищали экспресс-хроматографией на силикагеле, элюируя дихлорметаном/метанолом/уксусной кислотой/водой (в соотношении 120/14/3/2). Содержавшие продукт фракции объединяли, выпаривали и остаток выпаривали с толуолом. Далее остаток растворяли в 50 мл дихлорметана, промывали 50 мл насыщенного водного раствора бикарбоната натрия, сушили над сульфатом магния, фильтровали и выпаривали с получением в виде белого твердого вещества 38 мг (выход: 34%) 7-анилино-3-(2,6-дихлорфенил)-3,4-дигидро-1-{3-[2-метиламино)этил]фенил}пиримидо[4,5-d]пиримидин-2(1Н)-она с температурой плавления 122-125°С [масс-спектрограмма (ESI): МН+=519]. Использованный в качестве исходного материала 7-анилино-3-(2,6-дихлорфенил)-3,4-дигидро-1-[3-(2-метансульфонилоксиэтил)фенил]пиримидо-[4,5-d]пиримидин-2(1Н)-он готовили аналогично примеру 54 (а) из 7-анилино-3-(2,6-дихлорфенил)-3,4-дигидро-1-[3-(2-гидроксиэтил)фенил]-пиримидо[4,5-d]пиримидин-2(1Н)-она, полученного в примере 69. Пример 71 Раствор 125 мг (0,214 ммоля) 7-анилино-3-(2,6-дихлорфенил)-3,4-дигидро-1-[3-(2-метансульфонилоксиэтил)фенил]пиримидо[4,5-d]пиримидин-2(1H)-она (полученного аналогично примеру 70) в 5 мл 33%-ного диметиламина в этаноле выдерживали при 60°С в течение 3 ч. Реакционную смесь выпаривали и сырой материал очищали экспресс-хроматографией на силикагеле, элюируя дихлорметаном/метанолом/уксусной кислотой/водой (в соотношении 120/14/3/2). Содержавшие продукт фракции объединяли, выпаривали и остаток выпаривали с толуолом. Далее остаток растворяли в 50 мл дихлорметана, промывали 50 мл насыщенного водного раствора бикарбоната натрия, сушили над сульфатом магния, фильтровали и выпаривали с получением в виде белого твердого вещества 18 мг (выход: 16%) 7-анилино-3-(2,6-дихлорфенил)-3,4-дигидро-1-{3-[2-(диметиламино)этил]фенил} пиримидо[4,5-d]-пиримидин-2 (1Н)-она с температурой плавления 101-105°С [масс-спектрограмма (ESI): МН+=533]. Пример 72 Смесь 1,09 г (2,2 ммоля) 3-(2,4-дихлорфенил)-3,4-дигидро-1-[3-(2-гид-роксиэтил)фенил]-7-метансульфонилпиримидо[4,5-d]пиримидин-2(1Н)-она и анилина выдерживали при 120°С в течение 1 ч. Реакционную смесь разделяли между 20 мл дихлорметана и 20 мл 2 М соляной кислоты и дихлорметановый слой отделяли, промывали 20 мл насыщенного водного бикарбоната натрия, сушили над сульфатом магния, фильтровали и выпаривали. Сырой материал очищали экспресс-хроматографией на силикагеле, элюируя этилацетатом/гексаном в соотношении 5/1. Содержавшие продукт фракции объединяли и выпаривали с получением в виде белого твердого вещества 630 мг (выход: 55%) 7-анилино-3-(2,4-дихлорфенил)-3,4-дигидро-1-[3-(2-гидроксиэтил)фенил]пиримидо[4,5-d]пиримидин-2(1Н)-она с температурой плавления 213-217°С [масс-спектрограмма (ESI): MH+=506]. Использованный в качестве исходного материала 3-(2,4-дихлорфенил)-3,4-дигидро-1-[3-(2-гидроксиэтил)фенил]-7-метансульфонилпиримидо[4,5-d]пиримидин-2(1Н)-он получали следующим образом. а) Реакцию 1,97 г (2,83 ммоля) 1-[3-(2-трет-бутилдифенилсилилоксиэтил)фенил]-3-(2,4-дихлорфенил)-3,4-дигидро-7-метилтиопиримидо[4,5-d]-пиримидин-2(1Н)-она [полученного аналогично примеру 53(а)-(б) с использованием 2,4-дихлоранилина вместо 2-хлор-6-метиланилина] проводили с 1 М раствором тетрабутиламмонийфторида аналогично примеру 69. В виде желтого твердого вещества выделяли 1,3 г (выход: 100%) 3-(2,4-дихлорфенил)-3,4-дигидро-1-[3-(2-гидроксиэтил)фенил]-7-метилтиопиримидо[4,5-d]-пиримидин-2(1Н)-она [масс-спектрограмма (ESI): MH+=461]. б) Реакцию 1,3 г (2,8 ммоля) 3-(2,4-дихлорфенил)-3,4-дигидро-1-[3-(2-гидроксиэтил)фенил]-7-метилтиопиримидо[4,5-d]пиримидин-2(1Н)-она с 3-хлорпербензойной кислотой проводили аналогично примеру 7 (е) с получением в виде кремового твердого вещества 1,1 г (выход: 78%) 3-(2,4-дихлорфенил)3,4-дигидро-1-[3-(2-гидроксиэтил)фенил]-7-метансульфонилпиримидо[4,5-d]пиримидин-2(1Н)-она [масс-спектрограмма (ESI): MH+=493]. Пример 73 Раствор 370 мг (0,6 ммоля) 7-анилино-3-(2,4-дихлорфенил)-3,4-дигидро-1-[3-(2-фталимидоэтил)фенил]пиримидо[4,5-d]пиримидин-2(1Н)-она и 0,3 мл (6 ммолей) гидразингидрата в 5 мл дихлорметана/метанола перемешивали при комнатной температуре в азотной атмосфере в течение ночи. Реакционную смесь выпаривали и остаток очищали экспресс-хроматографией на силикагеле, элюируя дихлорметаном/метанолом/уксусной кислотой/водой (в соотношении 120/14/3/2). Содержавшие продукт фракции объединяли, выпаривали и остаток повторно выпаривали с толуолом. Далее остаток растворяли в 20 мл дихлорметана, промывали 20 мл насыщенного водного бикарбоната натрия, сушили над сульфатом магния, фильтровали и выпаривали с получением в виде белого твердого вещества 100 мг (выход: 33%) 1-[3-(2-аминоэтил)фенил]-7-анилино-3-(2,4-дихлорфенил)-3,4-дигидропиримидо[4,5-d]пиримидин-2(1Н)-она с температурой плавления 131-135°С [масс-спектрограмма (ESI): MH+=505]. Использованный в качестве исходного материала 7-анилино-3-(2,4-дихлорфенил)-3,4-дигидро-1-[3-(2-фталимидоэтил)фенил]пиримидо[4,5-d]пиримидин-2(1Н)-он готовили из 7-анилино-3-(2,4-дихлорфенил)-3,4-дигидро-1-[3-(2-гидроксиэтил)фенил]пиримидо[4,5-d]пиримидин-2(1Н)-она (полученного аналогично примеру 72) по методу, аналогичному описанному в примере 54. Пример 74 Раствор 120 мг (0,2 ммоля) 7-анилино-3-(2,4-дихлорфенил)-3,4-дигидро-1-[3-(2-метансульфонилоксиэтил)фенил]пиримидо[4,5-d]пиримидин-2(1Н)-она в 4 мл 40%-ного метиламина в этаноле выдерживали при 50°С в течение 3 ч. Реакционную смесь выпаривали и сырой материал очищали экспресс-хроматографией в колонке на силикагеле, элюируя дихлорметаном/метанолом/уксусной кислотой/водой (в соотношении 120/14/3/2). Содержавшие продукт фракции объединяли и выпаривали с получением в виде белого твердого вещества 18 мг (выход: 16%) 7-анилино-3-(2,4-дихлорфенил)3,4-дигидро-1-{3-[2-(метиламино)этил]фенил}-пиримидо[4,5-d]пиримидин-2(1Н)-она с температурой плавления 120-122°С [масс-спектрограмма (ESI): MH+=519]. Использованный в качестве исходного материала 7-анилино-3-(2,4-дихлорфенил)-3,4-дигидро-1-[3-(2-метансульфонилоксиэтил)фенил]пиримидо-[4,5-d]пиримидин-2(1Н)-он готовили из 7-анилино-3-(2,4-дихлорфенил)-3,4-дигидро-1-[3-(2-гидроксиэтил)фенил]пиримидо[4,5-d]пиримидин-2(1Н)-она (полученного аналогично примеру 72), по методу, аналогичному описанному в примере 54(а). Пример 75 Раствор 204 мг (0,35 ммоля) 7-анилино-3-(2,4-дихлорфенил)-3,4-дигидро-1-[3-(2-метансульфонилоксиэтил)фенил]пиримидо[4,5-d]пиримидин-2(1Н)-она (полученного в примере 74) в 4 мл 33%-ного диметиламина в этаноле выдерживали при 40°С в течение 2 ч. Реакционную смесь выпаривали и сырой материал очищали экспресс-хроматографией на силикагеле, элюируя дихлорметаном/метанолом/уксусной кислотой/водой (в соотношении 120/14/3/2). Содержавшие продукт фракции объединяли и выпаривали с получением в виде белого твердого вещества 80 мг (выход: 43%) 7-анилино-3-(2,4-дихлорфенил)-3,4-дигидро-1-{3-[2-(диметиламино) этил]фенил}пиримидо[4,5-d]пиримидин-2(1Н)-она с температурой плавления 101-105°С [масс-спектрограмма (ESI): MH+=533]. Пример 76 Смесь 240 мг (0,4 ммоля) 7-бензилсульфонил-3-(2-бромфенил)-1-циклогексилметил-3,4-дигидропиримидо[4,5-d]пиримидин-2(1Н)-она и 0,39 мл (4,3 ммоля) анилина выдерживали при 150°С в течение 2 ч. Реакционную смесь охлаждали до комнатной температуры, а затем разделяли между 20 мл 2 М соляной кислоты и 20 мл дихлорметана. Органический слой отделяли, промывали 20 мл насыщенного водного бикарбоната натрия, сушили над сульфатом магния, фильтровали и выпаривали. Сырой материал очищали экспресс-хроматографией на силикагеле, элюируя этилацетатом/гексаном в соотношении 1/2. Содержавшие продукт фракции объединяли и выпаривали с получением в виде не совсем белого твердого вещества 80 мг (выход: 42%) 7-анилино-3-(2-бромфенил)-1-циклогексилметил-3,4-дигидропиримидо[4,5-d]пиримидин-2(1Н)-она с температурой плавления 200-202°С [масс-спектрограмма (ESI): MH+=492]. Использованный в качестве исходного материала 7-бензилсульфонил-3-(2-бромфенил)-1-циклогексилметил-3,4-дигидропиримидо[4,5-d]пиримидин-2(1Н)-он готовили из 7-бензилсульфонил-3-(2-бромфенил)-3,4-дигидропиримидо[4,5-d]пиримидин-2(1Н)-она (полученного в примере 66) и бромметилциклогексана по методу, аналогичному описанному в примере 66(б). Пример 77 Раствор 195 мг (0,3 ммоля) 7-анилино-3-(2,4-дихлорфенил)-3,4-дигидро-1-[4-(2-фталимидоэтил)фенил]пиримидо[4,5-d]пиримидин-2(1Н)-она и 150 мкл (3 ммоля) гидразингидрата в метаноле/дихлорметане (3 мл/3 мл) перемешивали при комнатной температуре в азотной атмосфере в течение ночи. Реакционную смесь выпаривали и остаток очищали экспресс-хроматографией на силикагеле, элюируя дихлорметаном/метанолом/уксусной кислотой/водой (в соотношении 120/14/3/2). Содержавшие продукт фракции объединяли, выпаривали и остаток повторно выпаривали с толуолом. Остаток растворяли в 20 мл дихлорметана, промывали 20 мл насыщенного водного бикарбоната натрия, сушили над сульфатом магния, фильтровали и выпаривали с получением в виде белого твердого вещества 90 мг (выход: 67%) 1-[4-(2-аминоэтил)фенил]-7-анилино-3-(2,4-дихлорфенил)-3,4-дигидропиримидо[4,5-d]пиримидин-2(1Н)-она с температурой плавления 117-121°С [масс-спектрограмма (ESI): MH+=505]. Использованный в качестве исходного материала 7-анилино-3-(2,4-дихлорфенил)-3,4-дигидро-1-[4-(2-фталимидоэтил)фенил]пиримидо[4,5-d]пиримидин-2(1Н)-он готовили из этил-4-хлор-2-метилтио-5-пиримидинкарбоксилата и 4-[2-(трет-бутилдифенилсилилокси)этил]анилина аналогично примеру 63. На стадии 63 (е) вместо 2-броманилина использовали 2,4-дихлоранилин. 4-[2-(трет-бутилдифенилсилилокси) этил]анилин получали следующим образом. Раствор, содержавший 3 г (18 ммолей) 4-нитрофенетилового спирта, 5,2 ммоля (20 ммолей) трет-бутилхлордифенилсилана, 3,05 г (45 ммолей) имидазола и 438 мг (3,5 ммоля) N,N-диметиламинопиридина в 20 мл диметилформамида в азотной атмосфере при комнатной температуре перемешивали в течение 3 ч. Растворитель выпаривали и остаток разделяли между 40 мл этилацетата и 40 мл 2 М соляной кислоты. Этилацетатный слой отделяли, промывали 40 мл насыщенного водного бикарбоната натрия, сушили над сульфатом магния, фильтровали и выпаривали с получением в виде желтой смолы 6,56 г 4-[2-(трет-бутилдифенилсилилокси)этил]нитробензола. Раствор 6,56 г (16 ммолей) 4-[2-(трет-бутилдифенилсилилокси)этил]-нитробензола в 30 мл метанола, содержавшего 750 мг 10%-ного палладия на угле, при комнатной температуре и под атмосферным давлением гидрогенизировали в течение 2 ч. Катализатор удаляли фильтрованием, а растворитель выпаривали с получением в виде бесцветной жидкости 5,7 г 4-[2-(трет-бутилдифенилсилилокси)этил]фениламина [масс-спектрограмма (ESI): МН+=376]. Пример 78 Смесь 350 мг (0,7 ммоля) 3-(2,4-дихлорфенил)-3,4-дигидро-1-[4-(гидроксиметил)фенил]-7-метансульфонилпиримидо[4,5-d]пиримидин-2(1Н)-она и 2 мл анилина выдерживали при 120°С в течение 3 ч. Реакционную смесь охлаждали до комнатной температуры, а затем разделяли между 20 мл 2 М соляной кислоты и 20 мл дихлорметана. Органический слой отделяли, промывали 20 мл насыщенного водного бикарбоната натрия, сушили над сульфатом магния, фильтровали и выпаривали с получением в виде желтого твердого вещества 200 мг (выход: 57%) 7-анилино-3-(2,4-дихлорфенил)-3,4-дигидро-1-[4-(гидроксиметил)фенил]пиримидо[4,5-d]пиримидин-2(1Н)-она с температурой плавления 121-125°С [масс-спектрограмма (ESI): МН+=492]. Использованный в качестве исходного материала 3-(2,4-дихлорфенил)-3,4-дигидро-1-[4-(гидроксиметил)фенил]-7-метансульфонилпиримидо[4,5-d]пиримидин-2(1Н)-он готовили аналогично примеру 63. На стадии 63 (е) вместо 2-броманилина применяли 2,4-дихлоранилин. Пример 79 Смесь 200 мг (0,48 ммоля) 3-(2,4,6-трихлорфенил)-7-метансульфонил-3,4-дигидро-1-метилпиримидо[4,5-d]пиримидин-2(1Н)-она и 300 мг (1.4 ммоля) 4-[2-(диэтиламино)этокси]анилина выдерживали при 180°С в течение 30 мин. Смесь охлаждали и продукт очищали хроматографией в колонке на силикагеле, используя для элюирования дихлорметан/метанол/уксусную кислоту/воду (в соотношении 240/24/3/2). Содержавшие продукт фракции объединяли, выпаривали и остаток выпаривали с толуолом. Остаток растворяли в 40 мл дихлорметана, промывали 40 мл насыщенного водного раствора бикарбоната натрия, сушили над сульфатом магния, фильтровали и выпаривали с получением в виде белого твердого вещества 45 мг (выход: 17%) 3-(2,4,6-трихлорфенил)-7-{4-[2-(диэтиламино)этокси]анилино}-3,4-дигидро-1-метилпиримидо[4,5-d]пиримидин-2(1Н)-она с температурой плавления 142°С. Использованный в качестве исходного материала 3-(2,4,6-трихлорфенил)-7-метансульфонил-3,4-дигидро-1-метилпиримидо[4,5-d]пиримидин-2(1Н)-он готовили по методу, аналогичному методу получения 3-(2,6-дихлорфенил)-7-метансульфонил-3,4-дигидро-1-метилпиримидо[4,5-d]пиримидин-2(Н)-она в примере 1, с применением 2,4,6-трихлоранилина вместо 2,6-дихлоранилина. Пример 80 Раствор 200 мг (0,23 ммоля) 1-[3-(трет-бутилдифенилсилилоксиэтил)фенил]-3-(2,4-дихлорфенил)-7-{4-[2-(диэтиламино)этокси]анилино}-3,4-дигидропиримидо[4,5-d]пиримидин-2(1Н)-она в 5 мл тетрагидрофурана обрабатывали 0,5 мл (0,5 ммоля) 1 М раствора тетрабутиламмонийфторида в тетрагидрофуране. По прошествии 1 ч смесь выпаривали, а продукт очищали хроматографией на силикагеле, используя в качестве растворителя для элюирования дихлорметан/метанол в соотношении 20:1. В результате выпаривания содержавших продукт фракций после растирания осадка в порошок в гексане и фильтрования в виде белого твердого вещества получали 60 мг (выход: 42%) 3-(2,4-дихлорфенил)-7-{4-[2-(диэтиламино)этокси]анилино}-3,4-дигидро-1-[3-(2-гидроксиэтил)фенил]-пиримидо[4,5-d]пиримидин-2(1Н)-она с температурой плавления 110°С. Использованный в качестве исходного материала 1-[3(трет-бутилдифенил-силилоксиэтил)фенил]-3-(2,4-дихлорфенил)7-{4-[2-(диэтиламино)этокси]анилино}-3,4-дигидропиримидо[4,5-d]пиримидин-2(1Н)-он получали следующим образом. Смесь 500 мг (0,7 ммоля) 1-[3-(трет-бутилдифенилсилилоксиэтил)-фенил]-3-(2,4-дихлорфенил)-3,4-дигидро-7-метансульфонилпиримидо[4,5-d]пиримидин-2(1Н)-она и 1 г (4,8 ммоля) 4-[2-(диэтиламино)этокси]анилина выдерживали при 180°С в течение 30 мин. Смесь охлаждали и продукт очищали хроматографией в колонке на силикагеле, используя для элюирования дихлорметан/метанол/уксусную кислоту/воду (в соотношении 240/24/3/2). Содержавшие продукт фракции объединяли, выпаривали и остаток выпаривали с толуолом. Далее остаток растворяли в 40 мл дихлорметана, промывали 40 мл насыщенного водного раствора бикарбоната натрия, сушили над сульфатом магния, фильтровали и выпаривали с получением в виде желтой смолы 200 мг (выход: 33%) 1-[3-(трет-бутилдифенилсилилоксиэтил)фенил]-3-(2,4-дихлорфенил)-7-{4-[2-(диэтиламино)этокси]анилино}-3,4-дигидропиримидо-[4,5-d]пиримидин-2(1Н)-она [масс-спектрограмма (ESI): МН+=859]. Использованный в качестве исходного материала 1-[3(трет-бутилди-фенилсилилоксиэтил) фенил]-3-(2,4-дихлорфенил)-3,4-дигидро-7-метансульфонилпиримидо[4,5-d]пиримидин-2(1Н)-он готовили по методу, аналогичному методу получения 1-{3-[2-(трет-бутилдифенилсилилокси)этил]фенил}-3-(2-хлор-6-метилфенил)-3,4-дигидро-7-метансульфонилпиримидо[4,5-d]пиримидин-2(1Н)-она в примере 53 (г), с применением 2,4-дихлоранилина вместо 2-хлор-6-метиланилина. Пример 81 Раствор 50 мг (0,07 ммоля) 3-(2,4-дихлорфенил)-7-{4-[2-(диэтиламино)этокси]анилино}-3,4-дигидро-1-[3-(2-фталимидоэтил)фенил]пиримидо-[4,5-d]пиpимидин-2(1H)-oнa в 5 мл этанола обрабатывали 0,5 мл гидразингидрата. По прошествии 18 ч смесь выпаривали и продукт очищали хроматографией в колонке на силикагеле, используя для элюирования дихлорметан/метанол/уксусную кислоту/воду (в соотношении 60/18/2/3). Содержавшие продукт фракции объединяли, выпаривали и остаток выпаривали с толуолом. Далее остаток растворяли в 40 мл дихлорметана, промывали 40 мл насыщенного водного раствора бикарбоната натрия, сушили над сульфатом магния, фильтровали и выпаривали. Остаток растирали в порошок с пентаном и фильтровали с получением в виде белого твердого вещества 10 мг (выход: 23%) 3-(2,4-дихлорфенил)-7-{4-[2-(диэтиламино)этокси]анилино}-3,4-дигидро-1-[3-(2-аминоэтил)фенил]пиримидо[4,5-d]пиримидин-2(1Н)-она с температурой плавления 108°С. Использованный в качестве исходного материала 3-(2,4-дихлорфенил)-7-{4-[2-(диэтиламино)этокси]анилино}-3,4-дигидро-1-[3-(2-фталимидоэтил)-фенил]пиримидо[4,5-d]пиримидин-2(1Н)-он получали следующим образом. а) Раствор 100 мг (0,16 ммоля) 3-(2,4-дихлорфенил)-7-{4-[2-(диэтиламино)этокси]анилино}-3,4-дигидро-1-[3-(2-гидроксиэтил)фенил]-пиримидо-[4,5-d]пиpимидин-2(1H)-oнa из примера 80 в 10 мл дихлорметана обрабатывали 0,05 мл (0,32 ммоля) триэтиламина и 34 мг (0,2 ммоля) метансульфонового ангидрида. По прошествии 4 ч смесь промывали 10 мл насыщенного водного бикарбоната натрия, сушили над сульфатом магния, фильтровали и выпаривали с получением в виде белого твердого вещества 100 мг (выход: 90%) 3-(2,4-дихлорфенил)-7-{4-[2-(диэтиламино)этокси]анилино}-3,4-дигидро-1-[3-(2-метансульфонилоксиэтил) фенил]пиримидо[4,5-d]пиримидин-2(1Н)-она [масс-спектрограмма (ESI): MH+=699]. б) Раствор 50 мг (0,07 ммоля) 3-(2,4-дихлорфенил)-7-{4-[2-(диэтиламино)этокси]анилино}-3,4-дигидро-1-[3-(2-метансульфонилоксиэтил) фенил]пиримидо[4,5-d]пиримидин-2(1Н)-она в 5 мл диметилформамида обрабатывали 17 мг (0,09 ммоля) фталимида калия и смесь выдерживали при 90°С в течение 1 ч. Смесь охлаждали и выпаривали. Остаток разделяли между 20 мл этилацетата и 20 мл воды. Органическую фазу сушили над сульфатом магния и выпаривали с получением в виде белого твердого вещества 50 мг (выход: 95%) 3-(2,4-дихлорфенил)-7-{4-[2-(диэтиламино)этокси]анилино}-3,4-дигидро-1-[3-(2-фталимидоэтил)фенил]пиримидо[4,5-d]пиримидин-2(1Н)-она [масс-спектрограмма (ESI): MH+=750]. Пример 82 50 мг (0,07 ммоля) 3-(2,4-дихлорфенил)-7-{4-[2-(диэтиламино)этокси]-анилино}-3,4-дигидро-1-[3-(2-метансульфонилоксиэтил)фенил]пиримидо[4,5-d]пиримидин-2(1H)-онa из примера 81 (а) обрабатывали 3 мл 33%-ного раствора диметиламина в этаноле и смесь выдерживали при 50°С в течение 3 ч. Смесь охлаждали и выпаривали. Продукт очищали хроматографией в колонке на силикагеле, используя для элюирования дихлорметан/метанол/уксусную кислоту/воду (в соотношении 240/24/3/2). Содержавшие продукт фракции объединяли и выпаривали, а остаток выпаривали с толуолом. Далее остаток растворяли в 40 мл дихлорметана, промывали 40 мл насыщенного водного раствора бикарбоната натрия, сушили над сульфатом магния, фильтровали и выпаривали с получением в виде белого твердого вещества 10 мг (выход: 22%) 3-(2,4-дихлорфенил)-7-{4-[2-(диэтиламино)этокси]анилино}-3,4-дигидро-1-[3-(2-диметиламино)этил]фенил}пиримидо[4,5-d]пиримидин-2(1Н)-она с температурой плавления 92°С. Пример 83 Смесь 300 мг (0,65 ммоля) 3-(2,4-дихлорфенил)-3,4-дигидро-7-метансульфонил-1-фенилпиримидо[4,5-d]пиримидин-2(1Н)-она и 400 мг (1,9 ммоля) 4-[2-(диэтиламино)этокси]анилина выдерживали при 180°С в течение 30 мин. Смесь охлаждали и продукт очищали хроматографией в колонке на силикагеле, используя для элюирования дихлорметан/метанол/уксусную кислоту/воду (в соотношении 240/24/3/2). Содержавшие продукт фракции объединяли, выпаривали и остаток выпаривали с толуолом. Далее остаток растворяли в 40 мл дихлорметана, промывали 40 мл насыщенного водного раствора бикарбоната натрия, сушили над сульфатом магния, фильтровали и выпаривали с получением в виде белого твердого вещества 30 мг (выход: 8%) 3-(2,4-дихлорфенил)-7-{4-[2-(диэтиламино)этокси]анилино}-3,4-дигидро-1-фенилпиримидо[4,5-d]пиримидин-2(1Н)-она с температурой плавления 106-108°С. Использованный в качестве исходного материала 3-(2,4-дихлорфенил)-3,4-дигидро-7-метансульфонил-1-фенилпиримидо[4,5-d]пиримидин-2(1Н)-он готовили по методу, аналогичному методу получения 3-(2,6-дихлорфенил)-7-метансульфонил-3,4-дигидро-1-фенилпиримидо[4,5-d]пиримидин-2(1Н)-она в примере 7, с применением 2,4-дихлоранилина вместо 2,6-дихлоранилина. Пример 84 Смесь 370 мг (0,6 ммоля) трет-бутилового эфира {2-{3-[3-(2,6-дихлорфенил)-7-метансульфонил-2-оксо-3,4-дигидро-2Н-пиримидо[4,5-d]пиримидин-1-ил]фенил]-1,1-диметилэтил}карбаминовой кислоты и 300 мг (3,2 ммоля) анилина выдерживали при 140°С в течение 40 мин и охлаждали. Добавляли 10 мл дихлорметана и 10 мл трифторуксусной кислоты. По прошествии 10 мин смесь выпаривали и продукт очищали хроматографией в колонке на силикагеле, используя для элюирования дихлорметан/метанол/уксусную кислоту/воду (в соотношении 240/24/3/2). Содержавшие продукт фракции объединяли, выпаривали и остаток выпаривали с толуолом. Далее остаток растворяли в 40 мл дихлорметана, промывали 40 мл насыщенного водного раствора бикарбоната натрия, сушили над сульфатом магния, фильтровали и выпаривали с получением в виде белого твердого вещества 73 мг (выход: 23%) 1-[3-(2-амино-2-метилпропил) фенил]-3-(2,6-дихлорфенил)-7-фениламино-3,4-дигидропиримидо-[4,5-d]пиримидин-2(1Н)-она с температурой плавления 128°С. Использованный в качестве исходного материала трет-бутиловый эфир {2-{3-[3-(2,6-дихлорфенил)-7-метансульфонил-2-оксо-3,4-дигидро-2Н-пиримидо[4,5-d]пиримидин-1-ил]фенил}-1,1-диметилэтил}карбаминовой кислоты получали следующим образом. а) Охлажденную льдом суспензию 50 г (215 ммолей) этил-4-хлор-2-метилтиопиримидин-5-карбоксилата в 300 мл этанола обрабатывали добавлением по каплям раствора этоксида натрия [приготовленного с использованием 5,1 г (222 мг 7 атома) натрия и 300 мл этанола). По прошествии 1 ч смесь выпаривали, а остаток разделяли между 400 мл дихлорметана и 400 мл воды. Органическую фазу сушили над сульфатом магния, фильтровали и выпаривали с получением в виде бесцветного масла 48 г (выход: 92%) этил-4-этокси-2-метилтиопиримидин-5-карбоксилата [масс-спектрограмма (ESI): MH+=243]. б) Охлажденный сухим льдом/ацетоном раствор 15 г (62 ммоля) этил-4-этокси-2-метилтиопиримидин-5-карбоксилата в 500 мл дихлорметана обрабатывали добавлением по каплям 185 мл (185 ммолей) 1 М раствора гидрида диизобутилалюминия в дихлорметане. По прошествии 1 ч добавляли 12 мл насыщенного хлорида аммония и смеси давали нагреться до комнатной температуры. Смесь фильтровали через фильтр из вспомогательного фильтровального вещества и выпаривали с получением в виде бледно-желтого масла 12,4 мг (выход: 100%) 4-этокси-2-метилтио-5-(гидроксиметил)пиримидина [масс-спектрограмма (ESI): MH+=201]. в) Раствор 12,4 г (62 ммоля) 4-этокси-2-метилтио-5-(гидроксиметил)пиримидина в 500 мл дихлорметана обрабатывали 54 г (620 ммолей) диоксида марганца. По прошествии 3 ч смесь фильтровали и выпаривали с получением в виде белого твердого вещества 12,7 г (выход: 100%) 4-этокси-2-метилтиопиримидин-5-карбоксальдегида [масс-спектрограмма (ESI): MH+=199]. г) Смесь 12,7 г (64 ммоля) 4-этокси-2-метилтиопиримидин-5-карбоксальдегида, 10,4 г (64 ммоля) 2,6-дихлоранилина и 0,6 г (3 ммоля) моногидрата толуолсульфокислоты в 400 мл толуола кипятили с азеотропным удалением воды в течение 18 ч. Смесь охлаждали и по каплям добавляли в охлажденную льдом суспензию 2,4 г (65 ммолей) литийалюминийгидрида в 400 мл тетрагидрофурана. По прошествии 1 ч реакцию в смеси останавливали осторожным добавлением 2,4 мл воды, 1,2 мл 2 М водного гидроксида натрия и 3,6 мл воды. Смесь фильтровали через фильтр из вспомогательного. фильтровального вещества и выпаривали с получением в виде вязкого оранжевого масла 22 г (выход: 100%) 5-(2,6-дихлоранилинометил-4-этокси-2-метилтиопиримидина, который использовали без дальнейшей очистки [масс-спектрограмма (ESI): MH+=344]. д) 22 г (64 ммоля) 5-(2,6-дихлоранилинометил-4-этокси-2-метилтиопиримидина обрабатывали 100 мл концентрированной серной кислоты и смесь выдерживали при 120°С в течение 20 мин, охлаждали и осторожно добавляли в 1500 мл льда/воды. Смесь экстрагировали 3 порциями по 300 мл дихлорметана. Объединенные органические фазы сушили над сульфатом магния, фильтровали и выпаривали с получением 14 г коричневого твердого вещества. Небольшую порцию очищали экспресс-хроматографией с использованием в качестве элюента этилацетата/изогексана в соотношении 1/2 с получением в виде белого твердого вещества 5-(2,6-дихлоранилинометил)-2-метилтио-3Н-пиримидин-4-она [масс-спектрограмма (ESI): MH+=316]. е) 13,6 г (43 ммоля) сырого 5-(2,6-дихлоранилинометил)-2-метилтио-3Н-пиримидин-4-она обрабатывали 120 мл оксихлорида фосфора и смесь выдерживали в течение 15 мин при 100°С, а затем охлаждали. Смесь выпаривали и осторожно разделяли между 200 мл этилацетата и 200 мл воды. Органическую фазу сушили над сульфатом магния, фильтровали и выпаривали. Продукт очищали экспресс-хроматографией на силикагеле, элюируя диэтиловым эфиром/изогексаном в соотношении 1:9, с получением в виде светло-желтого масла 3,2 г (выход: 22%) 4-хлор-5-(2,6-дихлоранилинометил)-2-метилтиопиримидина [масс-спектрограмма (ESI): МН+=334]. ж) Раствор 520 мг (1,6 ммоля) 4-хлор-5-(2,6-дихлоранилинометил)-2-метилтиопиримидина, 420 мг (1,6 ммоля) трет-бутилового эфира[2-(3-аминофенил)-1,1-диметилэтил]карбаминовой кислоты и 250 мг (1,7 ммоля) N,N-диэтиланилина в 5 мл дихлорметана выдерживали при 80°С до тех пор, пока на выпаривали растворитель, а затем при 120°С в течение 30 мин, после чего охлаждали. Продукт очищали экспресс-хроматографией на силикагеле, элюируя диэтиловым эфиром/изогексаном в соотношении 1:1, с получением в виде белого твердого вещества 350 мг (выход: 39%) трет-бутилового эфира {2-{3-[5-[(2,6-дихлорфениламино)метил]-2-метилтиопиримидин-4-иламино]фенил}-1,1-диметилэтил}карбаминовой кислоты [масс-спектрограмма (ESI): МН+=562]. з) Раствор 320 мг (0,6 ммоля) трет-бутилового эфира {2-{3-[5-[(2,6-дихлорфениламино) метил]-2-метилтиопиримидин-4-иламино]фенил}-1,1-диметилэтил]карбаминовой кислоты в 40 мл толуола обрабатывали 0,25 мл (1,8 ммоля) триэтиламина и образовавшийся раствор по каплям вводили в раствор фосгена (0,6 мл, 20%-ный раствор в толуоле) в дополнительных 40 мл толуола. Реакционную смесь кипятили с обратным холодильником в течение 1 ч, а затем охлаждали. Добавляли 80 мл этилацетата и 80 мл воды. Органическую фазу сушили над сульфатом магния, фильтровали и выпаривали с получением в виде белого твердого вещества 350 мг (выход: 100%) трет-бутилового эфира {2-{3-[3-(2,6-дихлорфенил)-7-метилтио-2-оксо-3,4-дигидро-2Н-пиримидо[4,5-d]пиримидин-1-ил]фенил}-1,1-диметилэтил]карбаминовой кислоты [масс-спектрограмма (ESI): MH+=588]. и) Раствор 350 мг (0,6 ммоля) трет-бутилового эфира {2-{3-[3-(2,6-дихлорфенил)-7-метилтио-2-оксо-3,4-дигидро-2Н-пиримидо[4,5-d]пиримидин-1-ил]фенил}-1,1-диметилэтил}карбаминовой кислоты в 10 мл дихлорметана обрабатывали 400 мг (1,2 ммоля) 3-хлорпербензойной кислоты (в воде концентрацией 50 мас.%) и смесь перемешивали в течение 3 ч. Добавляли 0,5 мл диметилсульфоксида. По прошествии последующих 10 мин добавляли 10 мл насыщенного водного бикарбоната натрия. Органическую фазу сушили над сульфатом магния, фильтровали и выпаривали с получением в виде белого твердого вещества 370 мг (выход: 100%) трет-бутилового эфира {2-{3-[3-(2,6-дихлорфенил)-7-метансульфонил-2-оксо-3,4-дигидро-2Н-пиримидо[4,5-d]-пиримидин-1-ил]фенил}-1,1-диметилэтил}карбаминовой кислоты [масс-спектрограмма (ESI): МН+=620]. Использованный в качестве исходного материала в разделе (ж) трет-бутиловый эфир[2-(3-аминофенил)-1,1-диметилэтил]карбаминовой кислоты получали следующим образом. к) Раствор 4 г (16,5 ммоля) этил-4-бромфенилацетата в 60 мл диэтилового эфира обрабатывали 26 мл (36,4 ммоля) 1,4 М раствора метилмагнийбромида в толуоле/тетрагидрофуране (3/1) и смесь выдерживали при 40°С в течение 1 ч, а затем охлаждали. Добавляли 100 мл насыщенного водного хлорида аммония и фазы разделяли. Органическую фазу сушили над сульфатом магния, фильтровали и выпаривали с получением в виде бесцветного масла 3,5 г (выход: 93%) 1-(4-бромфенил)-2-метилпропан-2-ола [масс-спектрограмма (ESI): MH+=229]. л) Раствор 3,5 г (15,4 ммоля) 1-(4-бромфенил)-2-метилпропан-2-ола в 20 мл ледяной уксусной кислоты обрабатывали 630 мг (15,4 ммоля) ацетонитрила и охлаждали на льду. Медленно добавляли 10 мл концентрированной серной кислоты и смесь перемешивали в течение 72 ч. Смесь выливали в 300 мл льда/воды и нейтрализовали карбонатом калия. Продукт экстрагировали 2 порциями по 250 мл диэтилового эфира. Объединенные органические фазы сушили над сульфатом магния, фильтровали и выпаривали. Продукт очищали перекристаллизацией из диэтилового эфира/гексана с получением в виде белого твердого вещества 3,3 г (выход: 80%) N-[2-(4-бромфенил)-1,1-диметилэтил]-ацетамида [масс-спектрограмма (ESI): MH+=270]. м) Охлажденный льдом раствор 3,3 г (12 ммолей) N-[2-(4-бромфенил)-1,1-диметилэтил]ацетамида в 3 мл концентрированной серной кислоты обрабатывали добавлением по каплям смеси 3 мл концентрированной серной кислоты и 6 мл 90%-ной азотной кислоты. По прошествии 1 ч эту смесь осторожно добавляли в 200 мл льда/воды и выпадавший в осадок продукт экстрагировали 150 мл дихлорметана. Органический раствор сушили над сульфатом магния, фильтровали и выпаривали с получением в виде белого твердого вещества 3,7 г (выход: 98%) N-[2-(4-бром-3-нитрофенил)-1,1-диметилэтил]ацетамида [масс-спектрограмма (ESI): МН+=315]. н) Раствор 3,5 г (11 ммолей) N-[2-(4-бром-3-нитрофенил)-1,1-диметилэтил]ацетамида в 60 мл этанола обрабатывали 3 мл (22 ммоля) триэтиламина и 500 мг 10%-ного палладия на угле. Смесь гидрогенизировали под атмосферным давлением в течение 6 ч, фильтровали и выпаривали. Остаток разделяли между 60 мл этилацетата и 60 мл насыщенного водного бикарбоната натрия. Органическую фазу сушили над сульфатом магния, фильтровали и выпаривали с получением в виде оранжевой смолы 1,7 г (выход: 75%) N-[2-(3-аминофенил)-1,1-диметилэтил]ацетамида [масс-спектрограмма (ESI): MH+=207]. о) Раствор 1,7 г (8,3 ммоля) N-[2-(3-аминофенил)-1,1-диметилэтил]-ацетамида в 20 мл этиленгликоля обрабатывали 3 г (75 ммолей) гидроксида натрия и смесь выдерживали при 195°С в течение 20 ч. Смесь охлаждали и добавляли 150 мл 1 М водного гидроксида натрия, насыщенного хлоридом натрия. Продукт экстрагировали 3 порциями по 100 мл диэтилового эфира. Объединенные органические фазы сушили над сульфатом магния, фильтровали и выпаривали с получением в виде бесцветного масла 1,2 г (выход: 88%) 3-(2-амино-2-метилпропил) анилина [масс-спектрограмма (ESI): M+CH3CN+=206]. п) Охлажденный сухим льдом/ацетоном раствор 1 г (6,1 ммоля) 3-(2-амино-2-метилпропил) анилина в 30 мл тетрагидрофурана обрабатывали добавлением по каплям раствора 1,13 г (6,1 ммоля) дитрет-бутилдикарбоната в 20 мл тетрагидрофурана. По прошествии 1 ч охлаждающую баню удаляли, смеси давали нагреться до комнатной температуры и при этой температуре перемешивали в течение 2 ч. Добавляли 40 мл насыщенного водного хлорида аммония. Органическую фазу сушили над сульфатом магния, фильтровали и выпаривали. Продукт очищали экспресс-хроматографией на силикагеле, используя в качестве элюента диэтиловый эфир/изогексан в соотношении 1/1 с получением в виде белого твердого вещества 960 мг (выход: 60%) трет-бутилового эфира[2-(3-аминофенил)-1,1-диметилэтил]карбаминовой кислоты [масс-спектрограмма (ESI): MH+=265]. Пример 85 Смесь 400 мг (0,62 ммоля) трет-бутилового эфира {2-{3-[3-(2,6-дихлорфенил)-7-метансульфонил-2-оксо-3,4-дигидро-2Н-пиримидо[4,5-d]пиримидин-1-ил]фенил}-2-этилбутил}карбаминовой кислоты и 600 мг (6,5 ммоля) анилина выдерживали при 140°С в течение 45 мин и охлаждали. Остаток растворяли в 20 мл смеси дихлорметана и трифторуксусной кислоты в соотношении 1/1. По прошествии 10 мин смесь выпаривали и продукт очищали экспресс-хроматографией на силикагеле, используя градиентное элюирование от соотношения дихлорметан/метанол 98:2 до соотношения дихлорметан/метанол 95:5. Содержавшие продукт фракции выпаривали и остаток растворяли в 4 мл дихлорметана. Продукт осаждали добавлением пентана и после этого фильтровали и сушили с получением в виде белого твердого вещества 65 мг (выход: 19%) трифторацетата 1-[3-(1-аминометил-1-этилпропил)фенил]-3-(2,6-дихлорфенил)-7-фениламино-3,4-дигидропиримидо[4,5-d]пиримидин-2(1Н)-она с температурой плавления 232°С. Использованный в качестве исходного материала трет-бутиловый эфир {2-{3-[3-(2,6-дихлорфенил)-7-метансульфонил-2-оксо-3,4-дигидро-2Н-пиримидо[4,5-d]пиримидин-1-ил]фенил}-2-этилбутил}карбаминовой кислоты готовили с применением метода, аналогичного методу получения трет-бутилового эфира {2-{3-[3-(2,6-дихлорфенил)-7-метансульфонил-2-оксо-3,4-дигидро-2Н-пиримидо[4,5-d]пиримидин-1-ил]фенил}-1,1-диметилэтил}карбаминовой кислоты в примере 84, с использованием трет-бутилового эфира[2-(3-аминофенил)-2-этилбутил]карбаминовой кислоты вместо трет-бутилового эфира[2-(3-аминофенил)-1,1-диметилэтил]карбаминовой кислоты. трет-Бутиловый эфир[2-(3-аминофенил)-2-этилбутил]карбаминовой кислоты получали следующим образом. а) Охлажденный сухим льдом/ацетоном раствор 2 г (12 ммолей) 3-нитрофенилацетонитрила в 100 мл тетрагидрофурана обрабатывали 4,4 г (26,5 ммоля) йодэтана, 3 г (27 ммолей) трет-бутоксида калия и 800 мг (3 ммоля) 18-крон-6. Смесь перемешивали в течение 18 ч, позволяя реакционной температуре равномерно повышаться до комнатной температуры. Добавляли 100 мл насыщенного водного хлорида аммония и органическую фазу отделяли, сушили над сульфатом магния, фильтровали и выпаривали. Продукт очищали экспресс-хроматографией на силикагеле, используя в качестве элюента диэтиловый эфир/гексан в соотношении 3/7. Содержавшие продукт фракции выпаривали с получением в виде бледно-коричневого масла 2,1 г (выход: 80%) 2-этил-2-(3-нитрофенил)-бутиронитрила [масс-спектрограмма (ESI):MH+=219]. б) Раствор 3,2 г (14,7 ммоля) 2-этил-2-(3-нитрофенил)бутиронитрила в 50 мл этанола обрабатывали 350 мг смоченного водой никеля Ренея и смесь нагревали до 60°С. В течение 20 мин по каплям добавляли 10 мл гидразингидрата и реакционную смесь перемешивали в течение последующего 1 ч при 60°С. Охлажденную смесь фильтровали через фильтр из вспомогательного фильтровального вещества и выпаривали с получением в виде оранжевого масла 2,5 г (выход: 90%) 2-(3-аминофенил)-2-этилбутиронитрила [масс-спектрограмма (ESI): MH+=189]. в) Раствор 2,5 г (13 ммолей) 2-(3-аминофенил)-2-этилбутиронитрила в 30 мл тетрагидрофурана обрабатывали 30 мл (30 ммолей) 1 М раствора литийалюминийгидрида в тетрагидрофуране и смесь кипятили с обратным холодильником в течение 2 ч, а затем охлаждали. Реакцию в смеси останавливали осторожным добавлением 1 мл воды, 0,5 мл 2 М гидроксида натрия и 1,5 мл воды, а затем фильтровали через фильтр из вспомогательного фильтровального вещества. Фильтрат выпаривали с получением в виде бледно-желтого масла 0,88 г (выход: 35%) 3-(1-аминометил)-1-этилпропил)анилина [масс-спектрограмма (ESI): МН+=193]. г) Охлажденный сухим льдом/ацетоном раствор 880 мг (4,6 ммоля) 3-(1-аминометил)-1-этилпропил) анилина в 30 мл тетрагидрофурана обрабатывали добавлением по каплям раствора 850 мг (4,6 ммоля) дитрет-бутилдикарбоната в 30 мл тетрагидрофурана. По прошествии 1 ч охлаждающую баню удаляли. По прошествии еще 2 ч добавляли 40 мл насыщенного водного хлорида аммония. Органическую фазу сушили над сульфатом магния, фильтровали и выпаривали. Продукт очищали экспресс-хроматографией на силикагеле, используя в качестве элюента диэтиловый эфир/изогексан в соотношении 2/3. Содержавшие продукт фракции выпаривали с получением в виде бледно-оранжевого масла 950 мг (выход: 71%) трет-бутилового эфира[2-(3-аминофенил)-2-этилбутил]карбаминовой кислоты [масс-спектрограмма (ESI): МН+=293]. Пример 86 Раствор 200 мг (0,3 ммоля) 2-{3-{3-[3-(2,4-дихлорфенил)-2-оксо-7-фениламино-3,4-дигидро-2Н-пиримидо[4,5-d]пиримидин-1-ил]фенил}пропил}изоиндол-1,3-диона в 10 мл этанола обрабатывали 1 мл гидразингидрата. По прошествии 18 ч выдержки при комнатной температуре смесь выпаривали и продукт очищали хроматографией в колонке на силикагеле, используя для элюирования дихлорметан/метанол/уксусную кислоту/воду (в соотношении 240/24/3/2). Содержавшие продукт фракции объединяли, выпаривали и остаток выпаривали с толуолом. Далее остаток растворяли в 40 мл дихлорметана, промывали 40 мл насыщенного водного раствора бикарбоната натрия, сушили над сульфатом магния, фильтровали и выпаривали, после чего растирали в порошок в дихлорметане/пентане с получением в виде твердого вещества 25 мг (выход: 16%) 1-[3-(3-аминопропил)фенил]-3-(2,4-дихлорфенил)-7-фениламино-3,4-дигидропиримидо[4,5-d]пиримидин-2(1Н)-она с температурой плавления 120°С. Использованный в качестве исходного материала 2-{3-{3-[3-(2,4-дихлорфенил)-2-оксо-7-фениламино-3,4-дигидро-2Н-пиримидо[4,5-d]пиримидин-1-ил]фенил}пропил}изоиндол-1,3-дион получали следующим образом. а) Охлажденную льдом суспензию 2,1 г (53 ммоля) гидрида натрия (дисперсия в минеральном масле концентрацией 60 мас.%) в 120 мл тетрагидрофурана обрабатывали добавлением по каплям раствора 6,5 г (47 ммолей) 4-метоксибензилового спирта в 40 мл тетрагидрофурана. По прошествии 30 мин медленно добавляли раствор 10 г (43 ммоля) этил-4-хлор-2-метилтиопиримидин-5-карбоксилата. По истечении еще 40 мин реакцию останавливали осторожным добавлением 60 мл насыщенного водного хлорида аммония. Смесь разделяли и органическую фазу сушили над сульфатом магния, фильтровали и выпаривали с получением в виде бледно-желтого масла 14,2 г (выход: 99%) этил-4-(4-метоксибензилокси)-2-метилтиопиримидин-5-карбоксилата [масс-спектрограмма (ESI): МН+=335]. б) Охлажденную льдом суспензию 1,6 г (42 ммоля) литийалюминийгидрида в 150 мл тетрагидрофурана обрабатывали медленным добавлением раствора 14 г (42 ммоля) этил-4-(4-метоксибензилокси)-2-метилтиопиримидин-5-карбоксилата в 150 мл тетрагидрофурана. По прошествии 15 мин реакцию останавливали осторожным добавлением 1,5 мл воды, 0,8 мл 2 М водного гидроксида натрия и 2,3 мл воды. Образовавшуюся суспензию фильтровали через фильтр из вспомогательного фильтровального вещества. Отфильтрованный твердый продукт тщательно промывали тетрагидрофураном, а объединенные фильтрат и промывные жидкости выпаривали. Остаток разделяли между 200 мл дихлорметана и 100 мл воды. Органическую фазу сушили над сульфатом магния и фильтровали. К фильтрату добавляли дополнительные 100 мл дихлорметана, который затем обрабатывали 36 г (414 ммоля) диоксида марганца. Смесь перемешивали при комнатной температуре в течение 2 ч и фильтровали через фильтр из вспомогательного фильтровального вещества. Фильтрат выпаривали с получением в виде бледно-желтого масла 11,6 г (выход: 95%) 4-(4-метоксибензилокси)-2-метилтиопиримидин-5-карбоксальдегида [масс-спектрограмма (ESI): MH+=291]. в) Смесь 11,6 г (40 ммолей) 4-(4-метоксибензилокси)-2-метилтиопиримидин-5-карбоксальдегида, 6,5 г (40 ммолей) 2,4-дихлоранилина и 400 мг (2,1 ммоля) моногидрата толуолсульфокислоты кипятили с азеотропным удалением воды в течение 1 ч и охлаждали. Смесь по каплям добавляли в охлажденную льдом суспензию 1,5 г (40 ммолей) литийалюминийгидрида в 100 мл тетрагидрофурана. По прошествии 1 ч реакцию останавливали осторожным добавлением 1,5 мл воды, 0,7 мл 2 М водного раствора гидроксида натрия и 2,2 мл воды. Добавляли дополнительные 100 мл тетрагидрофурана. Смесь фильтровали через фильтр из вспомогательного фильтровального вещества и фильтрат выпаривали с получением в виде вязкого окрашенного в оранжевый цвет масла 10,5 г (выход: 60%) 5-(2,4-дихлоранилинометил)-4-(4-метоксибензилокси)-2-метилтиопиримидина, который использовали без дальнейшей очистки [масс-спектрограмма (ESI): МH+=436]. г) Раствор 5 г (11,5 ммоля) 5-(2,4-дихлоранилинометил)-4-(4-метоксибензилокси)-2-метилтиопиримидина в 30 мл трифторуксусной кислоты кипятили с обратным холодильником в течение 20 мин, охлаждали и выпаривали. Продукт очищали экспресс-хроматографией на силикагеле с использованием в качестве элюента этилацетата/изогексана в соотношении 1/2. Содержавшие продукт фракции объединяли и выпаривали с получением в виде бледно-желтого твердого вещества 1,2 г (выход: 24%) 5-(2,4-дихлоранилинометил)-2-метилтио-3Н-пиримидин-4-она [масс-спектрограмма (ESI): MH+=316]. д) Раствор 1,2 г (3,8 ммолей) 5-(2,4-дихлоранилинометил)-2-метилтио-3Н-пиримидин-4-она в 40 мл оксихлорида фосфора обрабатывали 0,6 мл (3,7 ммоля) N,N-диэтиланилина и смесь выдерживали при 110° С в течение 1 ч, охлаждали и выпаривали. Остаток осторожно разделяли между 40 мл льда/воды и 30 мл диэтилового эфира. Водную фазу экстрагировали дополнительными 30 мл диэтилового эфира и объединенные органические фазы сушили над сульфатом магния, фильтровали и выпаривали с получением в виде масла, которое медленно затвердевало с образованием белого твердого вещества, 1,1 г (выход: 87%) 4-хлор-5-(2,4-дихлоранилинометил)-2-метилтиопиримидина [масс-спектрограмма (ESI): MH+=334]. е) Раствор 180 мг (0,54 ммоля) 4-хлор-5-(2,4-дихлоранилинометил)-2-метилтиопиримидина в 3 мл дихлорметана обрабатывали 150 мг (0,54 ммоля) 2-[3-(3-аминофенил)-пропил]изоиндол-1,3-диона и 85 мг (0,57 ммоля) N,N-диэтиланилина и смесь выдерживали при 120°С, позволяя дихлорметану испаряться, а затем выдерживали при 120°С в течение дополнительных 30 мин. Охлажденную смесь подвергали обработке экспресс-хроматографией на силикагеле, элюируя этилацетатом/изогексаном в соотношении 1:2. Содержавшие продукт фракции объединяли и выпаривали с получением в виде белого твердого вещества 200 мг (выход: 64%) 2-{3-{3-[5-(2,4-дихлоранили-нометил)-2-метилтиопиримидин-4-иламино]фенил}пропил}изоиндол-1,3-диона [масс-спектрограмма (ESI): MH+=578]. ж) Раствор 200 мг (0,35 ммоля) 2-{3-{3-[5-(2,4-дихлоранилинометил)-2-метилтиопиримидин-4-иламино]фенил}пропил}изоиндол-1,3-диона в 10 мл толуола обрабатывали 0,15 мл (1,05 ммоля) триэтиламина и образовавшуюся смесь по каплям вводили в охлажденный льдом раствор 0,4 мл (0,7 ммоля) фосгена (в виде 20%-ного раствора в толуоле) в дополнительных 20 мл толуола. Смесь кипятили с обратным холодильником в течение 1 ч, а затем охлаждали. Добавляли 30 мл этилацетата и 30 мл воды. Органическую фазу сушили над сульфатом магния, фильтровали и выпаривали с получением в виде белого твердого вещества 180 мг (выход: 85%) 2-{3-{3-[3-(2,4-дихлорфенил)-7-метилтио-2-оксо-3,4-дигидро-2Н-пиримидо[4,5-d]пиримидин-1-ил]-фенил}пропил}изоиндол-1,3-диона [масс-спектрограмма (ESI): МН+=604]. з) Раствор 180 мг (0,3 ммоля) 2-{3-{3-[3-(2,4-дихлорфенил)-7-метилтио-2-оксо-3,4-дигидро-2Н-пиримидо[4,5-d]пиримидин-1-ил]фенил} пропил}изоиндол-1,3-диона в 10 мл дихлорметана обрабатывали 200 мг (0,6 ммоля) 3-хлорпербензойной кислоты (в воде концентрацией 50 мас.%) и смесь перемешивали при комнатной температуре в течение 18 ч. Добавляли 0,1 мл диметилсульфоксида. По прошествии последующих 15 мин добавляли 10 мл дихлорметана и 20 мл насыщенного водного бикарбоната натрия. Органическую фазу сушили над сульфатом магния, фильтровали и выпаривали с получением в виде белого твердого вещества 190 мг (выход: 100%) 2-{3-{3-[3-(2,4-дихлорфенил)-7-метансульфонил-2-оксо-3,4-дигидро-2Н-пиримидо[4,5-d]пиримидин-1-ил]фенил} пропил} изоиндол-1,3-диона [масс-спектрограмма (ESI): MH+=636]. и) Смесь 190 мг (0,3 ммоля) 2-{3-{3-[3-(2,4-дихлорфенил)-7-метансульфонил-2-оксо-3,4-дигидро-2Н-пиримидо[4,5-d]пиримидин-1-ил]фенил} пропил} изоиндол-1,3-диона и 1 мл анилина выдерживали при 140°С в течение 35 мин, а затем охлаждали. Смесь вводили в 40 мл 2 М водной соляной кислоты и выпадавший в осадок продукт отфильтровывали, промывали 2 М водной соляной кислотой, затем водой и, наконец, сушили с получением в виде бледно-коричневого вещества 200 мг (выход: 100%) 2-{3-{3-[3-(2,4-дихлорфенил)-2-оксо-7-фениламино-3,4-дигидро-2Н-пиримидо[4,5-d]пиримидин-1-ил]фенил}пропил} изоиндол-1,3-диона [масс-спектрограмма (ESI): MH+=649]. Использованный в качестве исходного материала в разделе (е) 2-[3-(3-аминофенил)-пропил]изоиндол-1,3-дион получали следующим образом. к) В раствор 15 г (100 ммолей) йодида натрия в 120 мл ацетона вводили 3 г (11 ммолей) N-(3-бромпропил)фталимида и смесь кипятили с обратным холодильником в течение 30 мин. Охлажденную смесь фильтровали и выпаривали. Остаток разделяли между 50 мл диэтилового эфира и 50 мл воды. Органическую фазу сушили над сульфатом магния, фильтровали и выпаривали с получением в виде белого твердого вещества 2,6 г (выход: 75%) N-(3-йодпропил)фталимида [масс-спектрограмма (ESI): MH+=316]. л) В азотной атмосфере перемешиваемую суспензию 1,6 г (24 мг 7 атома) цинковой пыли (частицы диаметром <10 мкм) в 20 мл диметилформамида обрабатывали 0,11 мл (1,2 ммоля) 1,2-дибромэтана и смесь нагревали до 60°С, а затем оставляли остывать до комнатной температуры. Операции нагрева и охлаждения повторяли еще дважды. Добавляли 0,04 мл (0,24 ммоля) хлортриметилсилана и смесь перемешивали при комнатной температуре в течение 30 мин. Далее смесь обрабатывали 1,26 г (4 ммоля) N-(3-йодпропил)фталимида и образовавшуюся суспензию перемешивали при комнатной температуре в течение 30 мин, а затем выдерживали при 35°С в течение 1 ч и охлаждали. Далее в эту смесь последовательно добавляли 750 мг (3 ммоля) 1-йод-3-нитробензола, 60 мг (0,06 ммоля) трис(дибензилиденацетон)дипалладия и 70 мг (0,23 ммоля) три(о-толил)фосфина и образовавшуюся смесь при комнатной температуре перемешивали в течение 1 ч. Суспензию фильтровали и фильтрат разбавляли 50 мл этилацетата, дважды промывали 40 мл воды, сушили над сульфатом магния, фильтровали и выпаривали. Продукт очищали экспресс-хроматографией на силикагеле с использованием в качестве элюента этилацетата/изогексана в соотношении 1/2. Содержавшие продукт фракции объединяли и выпаривали с получением в виде бледно-розового твердого вещества 190 мг (выход: 20%) 2-[3-(3-нитрофенил)пропил]изоиндол-1,3-диона [масс-спектрограмма (ESI): MH+=311]. м) Раствор 190 мг (0,6 ммоля) 2-[3-(3-нитрофенил)пропил]изоиндол-1,3-диона в 20 мл этанола обрабатывали 50 мг 10%-ного палладия на угле и встряхивали в атмосфере водорода в течение 2 ч. Смесь фильтровали и фильтрат выпаривали с получением в виде желтого масла 120 мг (выход: 71%) 2-[3-(3-аминофенил) пропил]изоиндол-1,3-диона [масс-спектрограмма (ESI): MH+=281]. Пример 87 Раствор 58 мг (0,1 ммоля) 7-анилино-3-(2,4-дихлорфенил)-3,4-дигидро-1-[3-(2-метансульфонилоксиэтил)фенил]пиримидо[4,5-d]пиримидин-2(1Н)-она (полученного в примере 74) и 0,5 мл диэтиламина в 2 мл этанола выдерживали при 50°С в течение 3 ч. Реакционную смесь выпаривали и сырой материал очищали экспресс-хроматографией на силикагеле, элюируя 5%-ным метанолом в дихлорметане. Содержавшие продукт фракции объединяли и выпаривали с получением в виде не совсем белого твердого вещества 16 мг (выход: 28%) 7-анилино-3-(2,4-дихлорфенил)-1-{3-[2-(диэтиламино)этил]-фенил}-3,4-дигидропиримидо[4,5-d]пиримидин-2(1Н)-она с температурой плавления 186°С [масс-спектрограмма (ESI): МН+=561]. Пример 88 Раствор 58 мг (0,1 ммоля) 7-анилино-3-(2,4-дихлорфенил)-3,4-дигидро-1-[3-(2-метансульфонилоксиэтил)фенил]пиримидо[4,5-d]пиримидин-2(1Н)-она (полученного в примере 74) и 0,5 мл морфолина в 2 мл этанола выдерживали при 50°С в течение 3 ч. Реакционную смесь выпаривали и сырой материал очищали экспресс-хроматографией на силикагеле, элюируя 5%-ным метанолом в дихлорметане. Содержавшие продукт фракции объединяли и выпаривали с получением в виде бледно-желтого твердого вещества 26 мг (выход: 45%) 7-анилино-3-(2,4-дихлорфенил)-3,4-дигидро-1-[3-(2-морфолиноэтилэтил)фенил]пиримидо[4,5-d]пиримидин-2(1Н)-она с температурой плавления 118°С [масс-спектрограмма (ESI): MH+=575]. Пример 89 Раствор 58 мг (0,1 ммоля) 7-анилино-3-(2,4-дихлорфенил)-3,4-дигидро-1-[3-(2-метансульфонилоксиэтил)фенил]пиримидо[4,5-d]пиримидин-2(1Н)-она (полученного в примере 74) и 100 мг пиперазина в 2 мл этанола выдерживали при 50°С в течение 3 ч. Реакционную смесь выпаривали и сырой материал очищали экспресс-хроматографией на силикагеле, элюируя дихлорметаном/метанолом/уксусной кислотой/водой (в соотношении 90/18/3/2). Содержавшие продукт фракции объединяли и выпаривали. Остаток растворяли в 10 мл дихлорметана, промывали 10 мл насыщенного водного бикарбоната натрия, сушили над сульфатом магния, фильтровали и выпаривали с получением в виде белого твердого вещества 3 мг (выход: 5%) 7-анилино-3-(2,4-дихлорфенил)-3,4-дигидро-1-{3-[2-(пиперазинил)этил]фенил}пиримидо[4,5-d]пиримидин-2(1Н)-она с температурой плавления 126°С [масс-спектрограмма (ESI): МН+=574]. Пример 90 Смесь 100 мг (0,26 ммолей) 3-(2,6-дихлорфенил)-3,4-дигидро-7-(метансульфонил)-1-метилпиримидо[4,5-d]пиримидин-2(1Н)-она [полученного в примере 1(е)] и 2 мл фурфуриламина в течение ночи перемешивали в азотной атмосфере при комнатной температуре. Реакционную смесь разделяли между 10 мл дихлорметана и 10 мл 2 М соляной кислоты и органическую фазу промывали 10 мл насыщенного водного бикарбоната натрия, сушили над сульфатом магния, фильтровали и выпаривали. Сырой материал растирали в порошок с диэтиловым эфиром/гексаном, фильтровали и сушили под вакуумом с получением в виде бледно-коричневого твердого вещества 80 мг (выход: 76%) 3-(2,6-дихлорфенил)-3,4-дигидро-7-(фуран-2-илметиламино)-1-метилпиримидо[4,5-d]пиримидин-2 (1Н)-она с температурой плавления 150°С (с разложением) [масс-спектрограмма (ESI): МН+=404]. Пример 91 Раствор 320 мг (0,47 ммоля) 1-[3-(2-трет-бутилдифенилсилилоксиэтил)-фенил]-3-(1-оксипиридин-3-ил)-7-фениламино-3,4-дигидропиримидо[4,5-d]-пиримидин-2(1Н)-она в 5 мл сухого тетрагидрофурана обрабатывали 0,425 мл (0,425 ммоля) тетрабутиламмонийфторида (1 М раствор в тетрагидрофуране), затем перемешивали при комнатной температуре в течение 2 ч. Выпаривали растворитель и сырой материал очищали экспресс-хроматографией на силикагеле, элюируя 10%-ным метанолом в дихлорметане. Содержавшие продукт фракции объединяли и выпаривали с получением в виде бледно-коричневого твердого вещества 95 мг (выход: 61%) 1-[3-(2-гидроксиэтил)фенил]-3-(1-оксипиридин-3-ил)-7-фениламино-3,4-дигидропиримидо-[4,5-d]пиримидин-2(1Н)-она с температурой плавления 220°С (с разложением) [масс-спектрограмма (ESI): МН+=455]. Использованный в качестве исходного материала 1-[3-(2-трет-бутилди-фенилсилилоксиэтил)фенил]-3-(1-оксипиридин-3-ил)-7-фениламино-3,4-дигидропиримидо[4,5-d]пиримидин-2(1Н)он готовили по методу, аналогичному методу получения, описанному в примере 53, с применением 3-аминопиридина вместо 2-хлор-6-метиланилина (53б) и 3 молярных экв. 3-хлорпербензойной кислоты вместо 2 молярных экв. (53 г). Пример 92 Раствор 320 мг (0,47 ммоля) 1-[3-(2-трет-бутилдифенилсилилоксиэтил)-фенил]-3-(фуран-2-илметил)-7-фениламино-3,4-дигидропиримидо[4,5-d]-пиримидин-2(1Н)-она в 5 мл сухого тетрагидрофурана обрабатывали 0,6 мл (0,6 ммоля) тетрабутиламмонийфторида (1 М раствор в тетрагидрофуране), затем перемешивали при комнатной температуре в течение 2 ч. Выпаривали растворитель и сырой материал очищали экспресс-хроматографией на силикагеле, элюируя этилацетатом/гексаном в соотношении 4/1. Содержавшие продукт фракции объединяли и выпаривали с получением в виде бледно-розового твердого вещества 170 мг (выход: 82%) 3-(фуран-2-илметил)-1-[3-(2-гидроксиэтил)фенил]-7-фениламино-3,4-дигидропиримидо[4,5-d]пиримидин-2(1Н)-она с температурой плавления 195°С [масс-спектрограмма (ESI): MH+=442]. Использованный в качестве исходного материала 1-[3-(2-трет-бутилди-фенилсилилоксиэтил)фенил]-3-(фуран-2-илметил)-7-фениламино-3,4-дигидропиримидо[4,5-d]пиримидин-2(1Н)-он готовили по методу, аналогичному методу получения, описанному в примере 53, с применением фурфуриламина вместо 2-хлор-6-метиланилина (53б).
Формула изобретения
1. Бициклические азотсодержащие гетероциклы общей формулы где R1 обозначает водород, (С1-С7)алкил, (С3-С7)циклоалкил, (С3-С7)циклоалкил (С1-С4)алкил, пиридил, нафтил, фурил(С1-С4)алкил, фенил, необязательно замещенный ди-(С1-С7)алкиламино(С1-С7)алкокси, галогеном, (С1-С7)алкокси или гидрокси(С1-С7)алкилом, или фенил (С1-С7)алкил, необязательно замещенный (С1-С7)алкокси, амино(С1-С7)алкилом, амино или ди-(С1-С7)алкиламино(С1-С7)алкокси; R2 обозначает (С1-С7)алкил, (С3-С7)циклоалкил, фурил(С1-С4)алкил, пиридил или его N-оксид; фенил, необязательно замещенный галогеном, (С1-С7)алкилом, (С1-С7)алкокси, гидрокси или трифторметилом, или фенил (С1-С7)алкил, необязательно замещенный (С1-С7)алкокси; R3 обозначает водород, (С1-С7)алкил, (С3-С7)циклоалкил(С1-С4)алкил, (С3-С7)циклоалкенил, пиридил (С1-С4)алкил, нафтил, фенил, необязательно замещенный фталимидо(С1-С4)алкилом, амино (С1-С7)алкилом, гидрокси(С1-С7)алкилом, (С1-С7)алкиламино(С1-С7)алкилом, ди-(С1-С7)алкиламино(С1-С7)алкилом, морфолино(С1-С4)алкилом или пиперазинил(С1-С4)алкилом, или фенил(С1-С7)алкил, необязательно замещенный (С1-С7)алкоксикарбонилом или карбокси; и фармацевтически приемлемые соли соединений формулы I в форме основания с кислотами или фармацевтически приемлемые соли соединений формулы I в форме кислоты с основаниями. 2. Бициклические азотсодержащие гетероциклы по п.1 и фармацевтически приемлемые соли соединений формулы I в форме основания с кислотами. 3. Бициклические азотсодержащие гетероциклы по п.2 общей формулы где R10 обозначает (С1-С7)алкил, фенил или фенил (С1-С4)алкил, оба необязательно замещенные как указано в п.1, R20 обозначает фенил, необязательно замещенный как указано в п.1, и R30 обозначает водород, (С1-С7)алкил, фенил или фенил (С1-С4)алкил, оба необязательно замещенные как указано в п.1. 4. Бициклические азотсодержащие гетероциклы по п.3 общей формулы где R101 обозначает фенил, необязательно замещенный как указано в п.1, a R20 и R30 имеют значения, указанные в п.3. 5. Бициклические азотсодержащие гетероциклы по п.4, где R101 обозначает фенил. 6. Бициклические азотсодержащие гетероциклы по п.5, где R20 обозначает галофенил. 7. Бициклические азотсодержащие гетероциклы по п.6, где R20 обозначает 2,6-дихлорофенил. 8. Бициклические азотсодержащие гетероциклы по любому из пп.3 и 4, где R20 обозначает фенил, замещенный как указано в п.1. 9. Бициклические азотсодержащие гетероциклы по п.1 общей формулы где R11 обозначает (С1-С7)алкил, R21 обозначает фенил, необязательно замещенный как указано в п.1, и R31 обозначает пиридил(С1-С4)алкил. 10. Бициклические азотсодержащие гетероциклы по п.9, где R11 обозначает изопропил. 11. Бициклические азотсодержащие гетероциклы по п.9 или 10, где R21 обозначает галофенил. 12. Бициклические азотсодержащие гетероциклы по п.1, представляющие собой 1-[3-(2-Аминоэтил)фенил]-7-анилино-3-(2,6-дихлорфенил)-3,4-дигидропиримидо[4,5-d]пиримидин-2(1Н)-он. 13. Бициклические азотсодержащие гетероциклы по любому из пп.1-12 или их фармацевтически приемлемые соли, обладающие тирозинкиназной ингибиторной активностью. 14. Фармацевтическая композиция с тирозинкиназной ингибиторной активностью, содержащая соединение по любому из пп.1-12 или его фармацевтически приемлемую соль в сочетании, если это необходимо, с одним или несколькими терапевтически пригодными веществами для введения в галеновой форме вместе с совместимым фармацевтическим носителем. Приоритет по пунктам: 23.10.1998 – по пп.2-8, 12-14; 24.08.1999 – пп.1, 9-11.
MM4A – Досрочное прекращение действия патента СССР или патента Российской Федерации на изобретение из-за неуплаты в установленный срок пошлины за поддержание патента в силе
Дата прекращения действия патента: 14.10.2006
Извещение опубликовано: 20.12.2007 БИ: 35/2007
|
||||||||||||||||||||||||||













–33P]-АТФ (1000-2000 импульсов в мин/пмоль) в 25 мМ HEPES-буфере (рН 7,5) и 0,1% Тритона Х-100, инкубируют при 30° С в течение 60 мин и реакцию прекращают, добавляя 10 мкл 2%-ной ортофосфорной кислоты. Радиоактивно-меченный пептид отделяют от непрореагировавшего [
1,25 (t) (3H), 


