|
|
(21), (22) Заявка: 2001135851/04, 28.06.2000
(24) Дата начала отсчета срока действия патента:
28.06.2000
(30) Конвенционный приоритет:
29.06.1999 JP 11/183162
(43) Дата публикации заявки: 10.07.2003
(45) Опубликовано: 20.07.2005
(56) Список документов, цитированных в отчете о поиске:
RU 2088576 C1, 27.08.1997. RU 2106783 C1, 20.03.1998. WO 9845274 A1, 15.10.1998. US 5556873 A, 17.09.1996. EP 511845 A1, 04.11.1992.
(85) Дата перевода заявки PCT на национальную фазу:
28.12.2001
(86) Заявка PCT:
JP 00/04258 (28.06.2000)
(87) Публикация PCT:
WO 01/00614 (04.01.2001)
Адрес для переписки:
129010, Москва, ул. Б.Спасская, 25, стр.3, ООО “Юридическая фирма Городисский и Партнеры”, пат.пов. Е.Е.Назиной
|
(72) Автор(ы):
ОКУИ Суко (JP), КИОМУРА Нобуо (JP), ФУКУТИ Тосики (JP), ТАНАКА Кен (JP), КАЦУРАДА Манабу (JP), ОКАНО Казуя (JP), СУМИТАНИ Наоко (JP), МИЯУТИ Акико (JP), ЯБЕ Акико (JP)
(73) Патентообладатель(и):
НИХОН НОХЯКУ Ко., Лтд. (JP)
|
(54) ПРОИЗВОДНОЕ ПИРАЗОЛА, СОДЕРЖАЩИЙ ЕГО В КАЧЕСТВЕ АКТИВНОГО ИНГРЕДИЕНТА, ИНСЕКТИЦИД, ПРОМЕЖУТОЧНОЕ СОЕДИНЕНИЕ, СПОСОБЫ ПОЛУЧЕНИЯ СОЕДИНЕНИЙ
(57) Реферат:
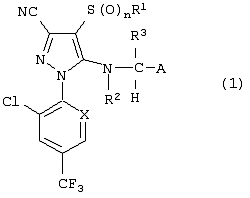
Описывается производное 1-арил-3-циано-5-гетероарилалкиламинопиразола общей формулы (1) A: 
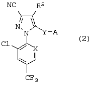
(где Х представляет собой С-галоген, R1 представляет собой C1-С4алкильную группу, или галогенС1-С4алкильную группу, R2 и R3 представляют собой атом водорода, А представляет собой любую из групп формул А-1 – А-4, где R4 представляет собой атом водорода или С1-С4алкильную группу, n представляет собой 0, 1 или 2, при условии, что R1 представляет собой галогенС1-С4алкильную группу, за исключением пергалогеналкильной группы, когда А представляет собой А-1, и n равно 0, и что n не равно 0, когда А представляет собой А-4. Описывается производное пиразола общей формулы (2): A: Y: 
где X, R2, R3 и R4 – имеют значения, указанные выше, R5 представляет собой атом водорода, А представляет собой А-1, Y – любая из групп Y-1 – Y-3, и Z представляет собой атом галогена, которые являются промежуточными соединениями для получения соединения (1). Описаны способы получения соединений формулы (1) и (2) и инсектицид, содержащий в качестве активного ингредиента соединение формулы (1). Технический результат – инсектицид обладает высокой системной активностью, высокой безопасностью при пониженном вредном влиянии на окружающую среду, соседствующую с местом его применения. 8 н. и 3 з.п. ф-лы, 9 табл.
Область техники
Настоящее изобретение относится к новому производному 1-арил-3-циано-5-гетероарилалкиламинопиразола и средству, содержащему его в качестве активного ингредиента, для борьбы с вредителями.
Предпосылки изобретения
В области сельского хозяйства и садоводства к настоящему времени разработано и внедрено в практическое применение в целях борьбы с различными насекомыми-вредителями множество инсектицидов.
Примеры известных соединений пиразола, обладающих инсектицидной активностью, включают производные 3-циано-1-фенилпиразола, имеющие необязательно замещенную аминогруппу в 5-положении, описанные в выложенных заявках на патент Японии №№228065/1987, 316771/1988 и 118369/1991, замещенные производные 1-арил-3-циано-5-(гет)арилметилидениминопиразола, описанные в выложенной заявке на патент Японии №148240/1993, и замещенные производные 1-арил-5-(гет)арилметиламинопиразола, описанные в выложенной заявке на патент Японии №47768/1989.
Однако соединения, описанные в вышеуказанной литературе не являются достаточными в необходимой степени во всех таких аспектах, как инсектицидное действие, спектр инсектицидной активности, безопасность и тому подобное, и таким образом желательна разработка новых соединений, способных преодолеть такие проблемы. В результате, в качестве соединений, обладающих высокой безопасностью, в WO98/45274 описаны новые производные 1-арил-3-циано-5-гетероарилалкиламинопиразола.
Однако в данной заявке не описаны конкретные соединения, в которых гетероциклическое кольцо представляет собой пиразиновое кольцо, пиридазиновое кольцо или пиримидиновое кольцо.
Соединения, описанные в WO98/45274 и им подобные являются превосходными по своей инсектицидной активности и обладают пониженной токсичностью в сравнении с известными соединениями. В последние годы безопасность для организмов, отличных от целевых насекомых-вредителей, и для окружающей среды требуется в увеличенной степени, и в будущем будут жестко предприняты меры для защиты окружающей среды. Следовательно, для разработки пестицидов, удовлетворяющих более жестким требованиям, важной проблемой является поиск соединений, обладающих более высокой безопасностью.
Кроме того, в плане эффективного применения агента для борьбы с вредителями и применения для обработки почвы, особенно эффективного для борьбы с организмами-вредителями, такими как высасывающие жидкость вредители, важным фактором является системная активность, поэтому было бы желательно выявить новые соединения, обладающие обоими этими свойствами.
Описание изобретения
В результате интенсивных исследований для решения вышеуказанных проблем авторы настоящего изобретения установили, что соединение, в котором определенный азотсодержащий шестичленный гетероцикл присоединен к аминогруппе в 5-положении пиразольного кольца пиразольного производного, производное 1-арил-3-циано-5-гетероарилалкиламинопиразола, проявляет избирательно высокую системную активность и обладает низкой токсичностью для окружающей среды, что показано с использованием токсичности для рыб.
Более того, было установлено, что более высокий эффект может быть достигнут посредством оптимизации в сочетании гетероарильной группы и заместителя в 4-положении пиразольного кольца, и было создано данное изобретение.
А именно, настоящее изобретение относится к производному 1-арил-3-циано-5-гетероарилалкиламинопиразола, представленному следующей общей формулой (1):

A: 
(где X представляет собой N или С-галоген, R1 представляет собой алкильную группу, алкенильную группу, алкинильную группу, или галогеналкильную группу, R2 представляет собой атом водорода, алкильную группу или ацильную группу, R3 представляет собой атом водорода или алкильную группу, А представляет собой любую из групп, представленных формулами А-1 по А-4, R4 представляет собой атом водорода, алкильную группу, атом галогена, и n представляет собой 0, 1 или 2, при условии, что R1 представляет собой галогеналкильную группу, за исключением пергалогеналкильной группы, когда А представляет собой А-1 и n равно 0, и что n не равно 0, когда А представляет собой А-4), и к содержащему его в качестве активного ингредиента средству борьбы с вредителями.
Далее изобретение будет объяснено подробно.
[Соединения изобретения]
В изобретении заместитель R1 в соединениях, представленных вышеуказанной общей формулой (1), представляет собой линейную или разветвленную алкильную группу, такую как метильная группа, этильная группа, н-пропильная группа, изопропильная группа, н-бутильная группа, изобутильная группа, втор-бутильная группа или трет-бутильная группа; линейную или разветвленную алкенильную группу, такую как винильная группа, аллильная группа, металлильная группа или 2-бутенильная группа; линейную или разветвленную алкилинильную группу, такую как этинильная группа или пропаргильная группа; или линейную или разветвленную галогеналкильную группу, такую как фторметильная группа, дифторметильная группа, трифторметильная группа, 2-фторэтильная группа, 2-хлорэтильная группа, 2,2,2-трифторэтильная группа, 2,2,2-трихлорэтильная группа, 3-хлорпропильная группа, 3-бромпропильная группа, 3,3,3-трифторпропильная группа, 2,2,3,3-тетрафторпропильная группа, 2,2,3,3,3-пентафторпропильная группа, 2,2-дихлор-3,3,3-трифторпропильная группа, 2,2,-дихлор-3,3,3-трифторпропильная группа, 1,3-дифтор-2-пропильная группа, 1,1,1,3,3,3-гексафтор-2-пропильная группа, 3,3,3-трихлорпропильная группа, 4-хлорбутильная группа, 4,4,4-трифторбутильная группа или 3,3,4,4,4-пентафторбутильная группа. Предпочтительными являются C1-C4 алкильная группа, C1-C4 алкенильная группа, C1-C4 алкинильная группа или C1-C4 галогеналкильная группа. Особенно предпочтительной является C1-C4 алкильная группа или C1-C4 галогеналкильная группа. Среди них предпочтительной является C1-C2 алкильная группа или C1-C2 галогеналкильная группа, и особенно предпочтительной является C1-C2 галогеналкильная группа, такая как фторметильная группа, дифторметильная группа, трифторметильная группа, 2-фторэтильная группа или 2-хлорэтильная группа.
R2 представляет собой атом водорода; линейную или разветвленную алкильную группу, такую как метильная группа, этильная группа, н-пропильная группа, изопропильная группа, н-бутильная группа, изобутильная группа, втор-бутильная группа или трет-бутильная группа; или линейную, или разветвленную ацильную группу, такую как метилкарбонильная группа, этилкарбонильная группа, н-пропилкарбонильная группа, изопропилкарбонильная группа, н-бутилкарбонильная группа, изобутилкарбонильная группа, втор-бутилкарбонильная группа или трет-бутилкарбонильная группа. Предпочтительными является C1-C4 алкильная группа или C1-C4 ацильная группа. Особенно предпочтительным R2 является атом водорода.
R3 представляет собой атом водорода или линейную, или разветвленную алкильную группу, такую как метильная группа, этильная группа, н-пропильная группа, изопропильная группа, н-бутильная группа, изобутильная группа, втор-бутильная группа или трет-бутильная группа. Предпочтительной из вышеуказанных алкильных групп является C1-C4 алкильная группа. Особенно предпочтительным R3 является атом водорода.
А является любой из групп, представленных от А-1 до А-4, и предпочтительной из них является А-1. Изобретение отличается тем, что выбирают азотсодержащий шестичленный гетероцикл, имеющий вышеуказанную конкретную структуру, и кольцо связано с аминогруппой в 5-положении пиразольного кольца через метиленовую группу.
R4 представляет атом водорода; линейную или разветвленную алкильную группу, такую как метильная группа, этильная группа, н-пропильная группа, изопропильная группа, н-бутильная группа, изобутильная группа, втор-бутильная группа или трет-бутильная группа; или атом галогена, такой как атом хлора, атом фтора или атом брома. Что касается алкильной группы, то предпочтительной является C1-C4 алкильная группа. Особенно предпочтительным R4 является атом водорода.
Х представляет N или атом С-галогена. Из них предпочтительным является атом С-галогена, и особенно предпочтительным является атом С-хлора.
n является любым из 0, 1 или 2, и, предпочтительно, n равно 0 или 1, при условии что n не равно 0, когда А представляет А-4.
Более того, когда А представляет А-1, и n равно 0, R1 представляет галогеналкильную группу, за исключением пергалогеналкильной группы. Из них предпочтительной является C1-C4 галогеналкильная группа, особенно предпочтительной является С1-С2 галогеналкильная группа, наиболее предпочтительной является C1 фторированная алкильная группа, такая как фторметильная группа или дифторметильная группа.
В качестве соединений вышеуказанной общей формулы (1) наиболее предпочтительными являются соединения, включающие сочетание каждого из предпочтительных заместителей, как указано выше для заместителей.
Из них предпочтительным соединением, включающим сочетание заместителей, является соединение, в котором каждый из R2, R3 и R4 представляет собой атом водорода, Х представляет собой С-Сl группу, и А представляет собой А-1.
В случае, когда n не равно 0, R1 предпочтительно представляет собой алкильную группу или галогеналкильную группу, более предпочтительно, C1-C4 алкильную группу или C1-С4 галогеналкильную группу, и, особенно предпочтительно, C1-C2 галогеналкильную группу. Более того, в случае, когда n равно 0, R1 представляет собой галогеналкильную группу, отличающуюся от пергалогеналкильной группы, предпочтительно, C1-C4 галогеналкильную группу и, особенно предпочтительно, C1-С2 фторированную алкильную группу.
Из них соединения, в которых R1 представляет C1 галогеналкильную группу, то есть фторметильную группу, дифторметильную группу или трифторметильную группу (за исключением трифторметильной группы, когда n равно 0) являются предпочтительными, поскольку они обладают высокой инсектицидной активностью и низкой токсичностью для рыб при использовании в качестве средств для борьбы с вредителями, особенно в качестве активных ингредиентов для инсектицидов.
Из сочетаний вышеуказанных заместителей наиболее предпочтительными соединениями являются 1-(2,6-дихлор-4-трифторметилфенил)-4-фторметилтио-5-(пиразин-2-илметиламино)-пиразол-3-карбонитрил и 1-(2,6-дихлор-4-трифторметилфенил)-4-трифторметилсульфинил-5-(пиразин-2-илметиламино)пиразол-3-карбонитрил.

[Способ получения соединений изобретения]
Что касается способа получения соединений по изобретению, представленных вышеуказанной общей формулой (1), то соединения могут быть получены образованием пиразольного кольца, а затем, при необходимости, введением или заменой заместителя(ей).
Известные способы включают методы, описанные в выложенных заявках на патент Японии №№316771/1988 и 148240/1993, 47768/1989 и 47768/1989. В качестве иллюстрации, как способ получения с использованием таких методов, приведен способ, показанный на реакционной схеме 1
Реакционная схема 1

Однако данный способ имеет тот недостаток, что на первой стадии в нем используется дорогой фторсодержащий реагент. Альтернативно, возможны способы, приведенные на реакционных схемах 2 и 3, но и здесь возникают аналогичные проблемы, такие как доступность исходных веществ.
Реакционная схема 2

Реакционная схема 3

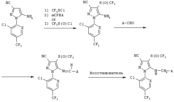
Более того, в WO98/45274 описано, что производное пиразола, имеющее 4-пиридилметиламиногруппу в 5-положении, может быть получено обработкой аминогруппы, имеющейся в 5-положении пиразольного производого, пиридил-4-альдегидом с образованием имина, а затем восстановлением имина (реакционная схема 4).
Реакционная схема 4

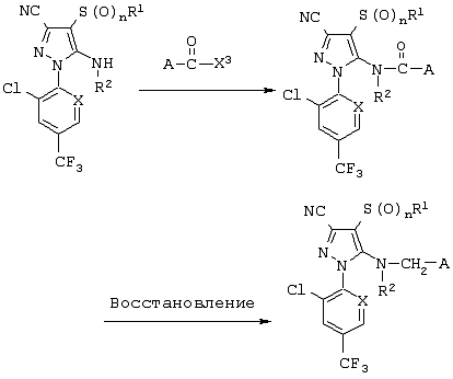
Также можно синтезировать соединения по изобретению в соответствии со способом, показанным выше на реакционной схеме (4), однако в результате дополнительных исследований авторы настоящего изобретения установили, что способы, показанные на следующих далее реакционных схемах 5-10 являются более эффективными в качестве способов получения производных пиразола, представленных общей формулой (1) по настоящей патентной заявке. Следующими общими формулами (2) представлены промежуточные соединения для получения соединений общей формулы (1) в соответствии с вышеуказанными способами.

A: 
Y: 
(где R2, R3, R4 и Х имеют такие же значения, как в общей формуле (1), а R5 представляет собой атом водорода, тиоцианатогруппу, дитиогруппу, которая объединяет два пиразольных кольца, или меркаптогруппу, Z представляет атом галогена).
Далее способы получения соединений по изобретению будут проиллюстрированы более подробно. Реакционные схемы 5-10 отмечены в качестве способов получения соединений изобретения, представленных вышеуказанной общей формулой (1). Во всех случаях R1, предпочтительно, представляет собой галогеналкильную группу, содержащую 1-2 атома углерода.
Реакционная схема 5

Реакционная схема 6

Реакционная схема 7

Реакционная схема 8

Реакционная схема 9

На реакционной схеме 5 представлен способ получения производного пиразола общей формулы (1), который включает обработку производного пиразола общей формулы (2), где R5 представляет собой атом водорода, и Y представляет собой Y-3, реагентом R1S (О)nХ1, где R1 и n имеют такое же значение, как в общей формуле (1), а X1 представляет собой атом хлора или атом брома Х1, предпочтительно, представляет собой атом хлора. Когда n равно 0, предпочтительным примером используемого реагента, R1S(O)nX1, является трифторметилсульфенилхлорид (СF3SCl), и в таком случае полученное соединение является производным пиразола, имеющим трифторметилсульфенильную группу в 4-положении. Когда n равно 1, предпочтительным примером используемого реагента, R1S(O)nX1, является трифторметилсульфинилхлорид (СF3SOCl), и в таком случае полученное соединение является производным пиразола, имеющим трифторметилсульфинильную группу в 4-положении.
Данная реакция проиллюстрирована далее с использованием трифторметилсульфенилхлорида и трифторметилсульфинилхлорида в качестве представительных примеров, но данная реакция может быть осуществлена аналогичным образом в случае использования других реагентов.
При использовании трифторметилсульфинилхлорида трифторметилсульфинилхлорид может быть выделен заранее или он может образовываться in situ из натриевой соли или калиевой соли трифторметилсульфиновой кислоты и хлористого тионила. Далее пиразол сульфенилируют по 4-ому положению взаимодействием с солью трифторметилсульфиновой кислоты, в зависимости от условий реакции.
В реакции R1S(O)nX1 используют в количестве от 0,5 до 10,0 мольных эквивалентов, предпочтительно, от 0,8 до 5 мольных эквивалентов по отношению к соединению, представленному общей формулой (2) (где R5 представляет собой атом водорода) и взаимодействие осуществляют при температуре от 0° С до 150° С, предпочтительно, от 0° С до 100° С. Растворитель для использования в реакции включает ароматические углеводороды, такие как бензол, толуол или ксилол; кетоны, такие как ацетон или метилэтилкетон, галогенированные углеводороды, такие как хлороформ или хлористый метилен; полярные растворители, такие как тетрагидрофуран или N,N-диметилформамид. В частности, предпочтительными являются толуол и дихлорметан.
При использовании трифторметилсульфенилхлорида взаимодействие можно проводить в отсутствие основания, но, предпочтительно, его проводят в присутствии основания, и используют амин, такой как пиридин или триэтиламин. При использовании трифторметилсульфинилхлорида или соли трифторметилсульфиновой кислоты используют амин, такой как диметиламин, пиридин или триэтиламин или неорганическое основание, такое как карбонат щелочного металла, в сочетании с кислотой, такой как серная кислота, хлористоводородная кислота или толуолсульфоновая кислота. Предпочтительным является сочетание диметиламина и толуолсульфоновой кислоты. Их можно добавлять по отдельности, но предпочтительно их добавляют в виде соли диметиламина и толуолсульфоновой кислоты (тозилат диметиламина).
На реакционной схеме 6 представлен способ получения производного пиразола общей формулы (1), где n равно 1 или 2, включающий окисление атома серы производного пиразола общей формулы (1), где n равно 0. Примеры способов окисления включают химическое окисление с использование окислителя и биологическое окисление с использованием ферментов или грибов, но обычно используется химическое окисление. При химическом окислении окислитель добавляют в количестве от 0,2 до 5,0 мольных эквивалентов, предпочтительно, от 0,25 до 2,0 мольных эквивалентов, к соединению общей формулы (2) в отсутствие или в присутствии растворителя, и взаимодействие осуществляют при температуре от -20 до 150° С, предпочтительно, от 0 до 20° С.
Окислитель для использования в данной реакции включает пероксид водорода, Оксон, м-хлорпербензойную кислоту, перуксусную кислоту, периодат натрия, тетраоксид рутения, озон, трет-бутилгидропероксид, азотную кислоту и тому подобные. Предпочтительным является пероксид водорода.
Растворитель для использования в реакции может представлять собой органический растворитель, обычно применяемый для окисления, и обычно используют углеводородный растворитель, такой как толуол или гексан, или галогенированный углеводородный растворитель, такой как дихлорметан или хлороформ.
Конкретно, взаимодействие по изобретению обычно проводят в присутствии кислоты. Применяемая кислота может быть представлена протонной кислотой и кислотой Льюиса, но предпочтительной является протонная кислота. Примеры протонной кислоты включают неорганические кислоты, такие как серная кислота, хлористоводородная кислота, азотная кислота и фосфорная кислота, разбавленная серная кислота, и органические кислоты, такие как уксусная кислота, муравьиная кислота и трифторуксусная кислота. Предпочтительной является неорганическая кислота, и более предпочтительной является серная кислота. При использовании серной кислоты применяют разбавленную серную кислоту, имеющую концентрацию от 60 до 90%, предпочтительно от 75 до 85%. Каждая из данных кислот может быть использована в виде смеси с органическим растворителем, но, предпочтительно, в качестве растворителя используют саму кислоту.
Предпочтительным сочетанием окислителя и растворителя является сочетание пероксида водорода и разбавленной серной кислоты.
При взаимодействии при необходимости можно добавить катализатор для ускорения окисления. В качестве катализатора обычно можно использовать катализатор для ускорения окисления сульфида. Предпочтительными являются соединение рутения, соединение вольфрама, соединение ванадия, соединение молибдена, соединение титана или тому подобные, и более предпочтительным является соединение рутения. Примеры соединения рутения могут включать трихлорид рутения и оксид рутения. Количество используемого катализатора составляет, например, от 0,01 до 100 мол.%, предпочтительно, от 0,1 до 20 мол.% относительно исходного сульфида.
Взаимодействие осуществляют при температуре от -30 до 120° С, предпочтительно от -10° С до комнатной температуры в течение от 1 до 48 часов, предпочтительно от 1 до 6 часов.
На реакционной схеме 7 представлен способ получения производного пиразола общей формулы (1), где n равно 0, включающий обработку производного пиразола общей формулы (2), где R5 представляет собой тиоцианатогруппу, и Y представляет собой Y-3, соединением R1-X2, где R1 имеет то же значение, что и в общей формуле (1), и X2 представляет собой атом галогена или триметилсилильную группу.
Примеры реагента для применения в данной реакции включают бромистый трифторметил, йодистый трифторметил и трифторметилтриметилсилан. Предпочтительным является трифторметилтриметилсилан.
Примеры растворителя для применения в реакции включают простые эфирные растворители, такие как тетрагидрофуран, диэтиловый эфир и диметоксиэтан; углеводородные растворители, такие как толуол и ксилол; и галогенированные углеводородные растворители, такие как дихлорметан и хлороформ. Предпочтительным является тетрагидрофуран.
Взаимодействие предпочтительно проводят в присутствии фтористого соединения и предпочтительным является фторид тетрабутиламмония или фторид калия.
При взаимодействии реагент R1-Х2 используют в количестве от 0,5 до 10,0 мольных эквивалентов, предпочтительно от 0,8 до 5 мольных эквивалентов относительно соединения, представленного общей формулой (2), где R5 представляет собой атом водорода. Взаимодействие осуществляют при температуре от -20 до 120° С, предпочтительно, от 0° С до комнатной температуры, в течение от 1 до 24 часов, предпочтительно от 1 до 4 часов.
На реакционной схеме 8 представлен способ получения производного пиразола общей формулы (1), где n равно 0, включающий обработку производного пиразола общей формулы (2), где R5 представляет собой меркаптогруппу, и Y представляет собой Y-3, соединением R1-X3, где R1 имеет то же значение, что и в общей формуле (1), и X3 представляет собой атом галогена.
Примеры реагента для применения в данной реакции включают бромистый трифторметил и йодистый трифторметил.
Примеры растворителя включают полярные растворители, такие как ДМФ и ДМСО; углеводородные растворители, такие как толуол и гексан; галогенированные углеводородные растворители, такие как дихлорметан и хлороформ, основные растворители, такие как триэтиламин и жидкий аммиак. Предпочтительным является полярный растворитель, такой как ДМФ.
Взаимодействие предпочтительно осуществляют в условиях образования трифторметильного радикала, и конкретные примеры включают облучение светом и применение радикального инициатора, окислительно-восстановительного агента и агента переносчика электронов, такого как метилвиологен.
Взаимодействие осуществляют при температуре от -20 до 120° С, предпочтительно, от 0° С до комнатной температуры, в течение от 1 до 24 часов, предпочтительно, от 1 до 4 часов.
На реакционной схеме 9 представлен способ получения производного пиразола общей формулы (1), где n равно 0, и R3 представляет собой атом водорода, включающий обработку производного пиразола общей формулы (2), где R5 представляет собой дитиогруппу, объединяющую два пиразольных кольца, и Y представляет собой Y-3, соединением R1-X4, где R1 имеет то же значение, что и в общей формуле (1), а X4 представляет собой атом галогена или SO2M (M представляет собой щелочной металл).
Примеры реагента для применения в данной реакции включают бромистый трифторметил, йодистый трифторметил и соль трифторметилсульфиновой кислоты.
Примеры растворителя включают полярные растворители, такие как ДМФ и ДМСО; углеводородные растворители, такие как толуол и гексан; галогенированные углеводородные растворители, такие как дихлорметан и хлороформ. Предпочтительным является полярный растворитель, такой как ДМФ.
Взаимодействие предпочтительно осуществляют в условиях образования трифторметильного радикала, и конкретные примеры включают облучение светом и применение радикального инициатора, окислительно-восстановительного агента и агента переносчика электронов, такого как метилвиологен.
В случае бромистого трифторметила и йодистого трифторметила предпочтительно в сочетании используют агент радикально-анионного образования диоксида серы. Примеры агента радикально-анионного образования диоксида серы включают дитионат натрия (Na2SO4), гидроксиметансульфинат натрия (Rongalit, NaO2SCH2OH), гидроксиметансульфинат цинка, смесь диоксида серы и цинка и смесь диоксида серы и муравьиной кислоты или ее соли.
Взаимодействие осуществляют при температуре от -20 до 120° С, предпочтительно, от 0° С до комнатной температуры, в течение от 1 до 24 часов, предпочтительно, от 1 до 4 часов.
Реакционная схема 10

На реакционной схеме 10 представлен способ получения производного пиразола общей формулы (1), где R1 представляет собой алкильную группу, содержащую один или несколько атомов фтора, включающий обработку производного пиразола общей формулы (1), где R1 представляет собой алкильную группу, содержащую один или несколько атомов хлора или атомов брома, фторирующим агентом, выбранным из группы, включающей фтористый водород, смесь фтористого водорода и амина и фторид металла.
Используемый реагент включает фтористый водород, смесь фтористого водорода и амина и фторид металла, такой как фторид калия, фторид натрия или фторид кобальта. Предпочтительной является смесь фтористого водорода и амина. В качестве растворителя можно использовать растворитель, обычно применяемый для фторирования посредством обмена галогена, и предпочтительным является полярный растворитель, такой как ДМФ. R7 в исходном веществе, предпочтительно, представляет собой трихлорметильную группу, а трифторметильная группа может быть отмечена в качестве R8.
Способы получения производных пиразола, представленных общей формулой (1), проиллюстрированы выше, и предпочтительные способы показаны на реакционных схемах 5 и 6.
Следующее далее будет иллюстрировать способы получения производных пиразола, представленных общей формулой (2). Когда Y представляет собой Y-3, производные пиразола, представленные общей формулой (2) могут быть получены в соответствии со способами, показанными на реакционных схемах 11 и 12, исходя из соединений, представленных общей формулой (3) и общей формулой (4).
Реакционная схема 11

Реакционная схема 12

Реакционная схема 13

Более того, как показано на схеме 13 выше, здесь можно указать способ, где исходное вещество, соединение общей формулы (3), сначала взаимодействует с А(С=O)-Х7 с образованием амидного соединения (соединение, где Y представляет собой Y-1 в общей формуле (2)), которое затем восстанавливают с образованием соединения, где Y представляет собой Y-3 в общей формуле (2). Также можно указать другой способ, где амидное соединение (соединение, где Y представляет собой Y-1 в общей формуле (2)) преобразуют в галогенимидатное соединение (соединение, где Y представляет собой Y-2 в общей формуле (2)), которое затем восстанавливают с образованием производного пиразола, где Y представляет собой Y-3 в общей формуле (2).
Восстановитель для применения в реакции восстановления включает комплекс боран-ТГФ, боргидрид натрия, цианоборгидрид натрия, боргидрид лития, литийалюминийгидрид или тому подобное.
Растворитель для применения в реакции включает полярные растворители, например, простые эфиры, такие как диэтиловый эфир, диоксан или тетрагидрофуран; спирты, такие как метанол, этанол или пропанол; и тому подобное.
Взаимодействие осуществляют при температуре от -20 до 120° С, предпочтительно, от 0° С до комнатной температуры, в течение от 1 до 24 часов, предпочтительно, от 1 до 4 часов.
Хлорирующий агент для применения при галогенимидировании включает пентахлорид фосфора, оксихлорид фосфора, хлористый тионил и тому подобные.
Растворитель для применения в реакции включает неполярные растворители, такие как бензол, толуол и ксилол; галогенированные растворители, такие как тетрахлорид углерода, хлороформ и дихлорметан и простые эфирные растворители, такие как диметоксиэтан и тетрагидрофуран.
Взаимодействие осуществляют при температуре от 0 до 200° С, предпочтительно, от комнатной температуры до 150° С, в течение от 1 до 24 часов, предпочтительно, от 1 до 4 часов.
Соединения, представленные общей формулой (1), могут быть получены сочетанием вышеописанных способов. Способ получения 1-(2,6-дихлор-4-трифторметилфенил)-4-трифторметилсульфинил-5-(пиразин-2-илметиламино)пиразол-3-карбонитрила показан ниже на реакционной схеме 14 в качестве типичного способа получения.
Реакционная схема 14

[Применение соединений изобретения]
Средство для борьбы с вредителями, содержащее соединение по изобретению в качестве активного ингредиента, обладает действием, подавляющим вредителей, таких как насекомые-вредители и клещи, и является эффективным для отпугивания, вытеснения и борьбы с вредителями, например, во многих областях сельского хозяйства, лесного хозяйства, при выращивании культур, в рыбной промышленности и при сохранении продуктов этих областей и в здравоохранении.
В частности, соединение по изобретению обладает превосходным действием в качестве инсектицида и акарицида при использовании для отпугивания, вытеснения и борьбы с вредителями в сельском хозяйстве, лесоводстве и тому подобное, в частности, с вредителями, повреждающими сельскохозяйственные культуры при их выращивании, собранный урожай, деревья, высокоценные растения и тому подобное, и с вредителями, вредными для здоровья.
Далее будут проиллюстрированы конкретные области применения, вредители, объекты подавления, способы нанесения и тому подобное, но изобретение не ограничено следующими описаниями. Кроме того, эти целевые вредители не ограничиваются конкретно указанными вредителями, и вредители включают имаго (последняя стадия насекомого после всех метаморфоз), личинки, яйца и тому подобное.
(А) Область сельского и лесного хозяйства
Средство борьбы с вредителями, содержащее соединение по изобретению в качестве активного ингредиента, эффективно для отпугивания и контролирования вредителей, таких как членистоногие, мягкотелые, нематоды, различные грибы и тому подобные, которые поражают сельскохозяйственные культуры, такие как пищевые культуры (например, растения риса, овса, кукурузы, картофеля, сладкого картофеля, бобов), овощи (например, культуры капусты, тыквенные, баклажаны, помидоры, лук), фруктовые деревья (например, цитрусовые, яблоки, виноград, персики), промышленные культуры (например, табак, чай, сахарная свекла, сахарный тростник, хлопок, оливы), зерновые культуры для выпаса скота и кормовые культуры (зольные почвы, травянистые пастбища, пастбища с растениями семейства бобовых), высокоценные растения (травы, цветы и растения для аранжировки, садовые деревья), при выращивании данных посевов. Кроме того, соединение по изобретению также эффективно для отпугивания и борьбы с вредителями при хранении урожая вышеуказанных культур, например, пищевого зерна, фруктов, орехов, специй и табака и продуктов их переработки, такой как сушка и измельчение. Кроме того, соединение также эффективно для защиты растущих деревьев, упавших деревьев, переработанных лесоматериалов и при хранении древесины от поражения вредителями, такими как термиты и жуки.
В качестве конкретных вредителей, принадлежащих к классам Athropoda (Членистоногие), Mollusca (Молюски) и Nematoda (Нематоды), могут быть, например, указаны следующие. Примеры насекомых рода Arthropoda включают следующее.
Примеры Lepidoptera включают Noctuidae, такие как Leucania unipuncta, Heliothis assulata, Barathra brassicae и Plusia peponis; Putellidae, такие как Plutella maculipennis; Tortricidae, такие как Hоmоnа magnanima и Grapholita molesta; Psychidae, такие как Canephora asiatica; Lyonetiidae, такие как Lyonetia clerkella; Lithocolletidae, такие как Lithocolletis ringoniella; Acrolepiidae, такие как Acrolepia alliella; Aegeriidae, такие как Aegeria molybdoceps; Heliodlnidae, такие как Kakivoria flavofasciata; Gelechiidae, такие как Pectinophora gossypiella; Carposinidae, такие как Carposina nipponensis; Heterogeneldae, такие как Chidocampa flavescens; Pyralidae, такие как Cnaphalocrocis medinalis, Chilo suppxessalis, и Natarcha derogate; Hesperiidae, такие как Parnara quttata; Papilionidae, такие как Papilio machaon; Pieridae, такие как Pieris rapae; Lycaenidae, такие как Lampides boeticus; Geometridae, такие как Ascotis selenaria cretacea; Sphingidae, такие как Herse convolvuli, Notodontidae, такие как Phalera flavescens; Lymantriidae, такие как Euproctis subflava; и Arctiidae, такие как Hyphantna cunea.
Примеры Coleoptera включают Scarabaeidae, такие как Anomala cuprea, Oxycetonia jucunda и Popillia japonica; Buprestidae, такие как Agrilus auriventris; Elateridae, такие как Melanotus legatus; Coccinellidae, такие как Epilachna vigintioctopunctata; Cerambycidae, такие как Anoplophora malasiaca и Xylotrechus pyrrhoderus; Chrysomelidae, такие как Aulacophora femoralis, Phyllotreta striolata и Donacia provostii; Attelabidae, такие как Phynchites heros; Brenthidae, такие как Cylas formicarius; и Curculionidae, такие как Curculio sikkimensis и Echinocnemus squameus.
Примеры Hemiptera включают Pentatomidae, такие как Plautia stali и Halyomorpha halys; Urostylidae, такие как Urochela luteovaria; Coreidae, такие как Cletus punctiger; Alydidae, такие как Leptocorisa chinensis; Pyrrhocoridae, такие как Dysdercus cingulatus; Tingidae, такие как Stephanitis nashi; Miridae, такие как Deraeocoris amplus; Cicadidae, такие как Platypleura kaempferi; Aphrophoridae, такие как Dophoara vitis; Tettigellidae, такие как Oniella leucocephala; Cicadellidae, такие как Arboridia apicalis и Empoasca onukii; Deltocephalidae, такие как Nephotettix cincticeps; Delphacidae, такие как Laodelphax striatellus и Nilaparvata lugens; Flatidae, такие как Geisha distinctissima; Psylloidae, такие как Psylla pynsuga; Aleyrodidae, такие как Trialeurodes vaporariorum и Bemisia argentifolii; Phylloxeridae, такие как Moritziella costaneivora; Pemphigidae, такие как Eriosoma lanigera; Aphididae, такие как Aphis gossypii; Myzus persicae и Rhopalosiphum rufiabdomlnalis; Margarodidae, такие как Icerya purchasi; Pseudococcidae, такие как Planococcus citri; Coccidae, такие как Ceroplastes rubens; и Diaspididae, такие как Quadraspidiotus perniciosus и Pseudaulacaspis pentagana.
Примеры Thysanoptera включают Thripidae, такие как Frankliniella occidentalis, Scirtothrips dorsalis и Thrips palmi; и Phlaeothripidae, такие как Ponticulothrips diospyrosi и Haplothrips aculeatus.
Примеры Hymenoptera включают Tenthredinidae, такие как Athalia japonica; Argidae, такие как Arge mali; Cynipidae, такие как Dryocosmus kuriphilus; и Megachilidae, такие как Megachile nipponica nipponica.
Примеры Dioptera включают Cecidomyildae, такие как Asphondylia sp.; Tephiridae, такие как Zeugodacus cucurbitae; Ephydridae, такие как Hydrellia griseola; Drosophilidae, такие как Drosophila suzukii; Agromyzidae, такие как Chromatomyia horticola и Liriomyza trifolii; и Anthomyiidae такие как Hylemya antiqua.
Примеры Orthoptera включают Tettigoniidae, такие как Homorocoryphus nidtidulus; Gzyllidae, такие как Calyptotrypes hihinonis; Gryllotalpidae, такие как Gcyllotalpa afrcana; и Acrididae, такие как Охуа japonica.
Примеры Collembola включают Sminthuridae такие как Sminthurus viridis; и Onychiuridae, такие как Onychiurus matsumotoi.
Примеры Isoptera включают Termitidae, такие как Odontotermes formosanus, и примеры Dermaptera включают Labiduridae, такие как Labidura riparia.
Представленное далее может быть отмечено в качестве примеров Arthropoda Crustacea и Arachnida.
Примеры Crustacea Isopoda включают Armadillidiidae, такие как Armadillidium vulgare.
Примеры Arachnida Acarlna включают, такие как Tarsonemidae такие как Hemitarsonemus latus и Tarsonemus pallidus; Eupodidae, такие как Penthaleus major; Tenuipalpidae, такие как Brevipalpus lewisi; Tetranychidae, такие как Tetranychus urticae, Tetranychus kanzawai, Panonychus citri, и Panonychus ulmi; Eriophyldae, такие как Aculus pelekassi, Aculus schlechtendali и Eriophyyes chibaensis; и Acaridae, такие как Tyrophagus putrescentiae.
В качестве Mollusca Gastropoda примеры Gastropoda Mesogastropoda включают Роmасеа canallculata, и примеры Stylommatophora включают Achatina fulica, Incilaria bilineata, Milax gagates, Limax maximus и Acusta despecta.
Следующее может быть отмечено в качестве примеров Nematoda Secernentea и Adenophorea.
Примеры Secernentea Tylenchida включают Anguinidae, такие как Ditylenchus destructor; Tylenchorhynchidae, такие как Tylenchorhynchus claytoni; Pratylenchidae, такие как Pratylenchus penetrans и Pratylenchus coffeae, Hoplolaimidae, такие как Helicotylenchus dihystera; Heteroderidae, такие как Heterodera rostochiensis; Meloidogynidae, такие как Meloidogyne incognita; Criconematidae, такие как Criconemoides: Nothotylenchidae, такие как Nothotylencus acris; и Aphelenchoidae, такие как Aphelenchoides fragariae.
Примеры Adenophorea Dorylaimida включают Longidoridae, такие как Xiphinema americanum; и Trichdoridae, такие как Paratrichodorus porosus.
Кроме того, соединение по изобретению также эффективно для отпугивания, борьбы и вытеснения вредителей, поражающих или оказывающих отрицательное действие на природные леса, искусственные леса, древесные насаждения в зеленых районах городов и тому подобное. При этом в качестве конкретных вредителей можно отметить следующих.
Примеры Arthropoda Insecta и Arachnida включают следующее.
Примеры Lepidoptera включают Lymantriidae, такие как Dasychira argentata и Lymantria disper japonica; Lasiocampidae, такие как Dendrolimus spectabilis и Malacosoma neustria; Pyralidae, такие как Dioryctria abietella; Noctuidae, такие как Agrotis fucosa; Tortricidae, такие как Ptycholomoides aeriferana, Laspeyresia kurokoi, и Cydia cryptomeriae; Arctiidae, такие как Hyphantria cunea; Nepticulidae, такие как Stigmella malella; и Heterogeneidae, такие как Parasa consocia.
Примеры Coleoptera включают Scarabaeidae, такие как Anomala rufocuprea и Heptophylla picea; Buprestidae, такие как Aqrilus spinipennis; Cerambycidae, такие как Monochamus alternatus; Chrysomelidae, такие как Lypesthes itoi; Carculionidae, такие как Scepticus griseus и Shirahoshizo coniferae; Rbynchophoridae, такие как Sipalinus gigas; Scolytidae, такие как Tomicus piniperda и Indocryphalus aceris; и Bostcychidae, такие как Rhizopertha dominica.
Примеры Hemiptera включают Aphididae, такие как Cinara todocola; Adelgidae, такие как Adelges japonicus; Diaspidiae, такие как Aspidiotus cryptomeriae; и Coccidae, такие как Ceroplastes pseudoceriferus.
Примеры Hymenoptera включают Tenthredinidae, такие как Pristiphora erichsoni; Diprionidae, такие как Nesodiprion japonica; и Cynipidae, такие как Dryocosmus kuriphilus.
Примеры Dioptera включают Tipulidae, такие как Tipula aino; Anthomyiidae, такие как Hylemya platura; и Cecidomyiidae, такие как Contarinia inouyei и Contarinia matsusintome.
Примеры Arachnida Acaria включают Oligonychus hondoensis и Oligonychus unuguis.
Примеры Nematoda Secernentea Tylencida включают Paracytaphelenchidae, такие как Bursaphelenchus xylophilus.
Средство борьбы с вредителями, содержащее соединение по изобретению в качестве активного ингредиента, может использоваться в виде любого препарата или любой формы применения, полученных путем приготовления состава, эффективного в вышеуказанном сельскохозяйственном или лесном хозяйстве, по отдельности, или в сочетании, или в виде смешанного препарата с другими активными соединениями, такими как инсектициды, акарициды, нематоциды, фунгициды, синергисты, регуляторы роста растений, гербициды и токсичные пищевые добавки. В качестве конкретных примеров вышеуказанных других активных соединений могут быть указаны следующие, которые их не ограничивают.
Активные соединения, такие как инсектициды или акарициды:
Примеры фосфорорганических средств включают
Дихлорвоз, Фениторотион, Малатион, Налед, Хлорпирифос, Диазинон, Тетрахлорвинфос, Фентион, Изоксатион, Метидатион, Салитион, Ацефат, Деметон-S-метил, Дисульфотон, Монохротофос, Азинефос-метил, Паратион, Фосалон, Пиримифос-метил и Протиофос. Примеры карбаметных веществ включают Меторкарб, Фенобкарб, Пропоксур, Карбарил, Этиофенкарб, Пиримикарб, Бендиокарб, Карбосульфан, Карбофуран, Метомил и Тиодикарб. Примеры хлорорганических агентов включают Линдан, ДДТ, Эндосульфан, Алдрин и Хлорден. Примеры пиретроидных агентов включают Перметрин, Циперметрин, дельтаметрин, Цигалотрин, Цифлутрин, Акринатрин, Фенвалерат, Этофенпрокс, Силафлуофен, Флувалинат, Флуцитринат, Бифентрин, Аллетрин, Фенотрин, Фенпропатрин, Цифенотрин, Фураметрин, Резметрин, Трансфуртрин, Праллетрин, Флуфенепрокс, Галфенпрокс и Имипротрин. Примеры неоникотиноидных агентов включают Имидахлоприд, Нитенпирам, Ацетамиприд, Тефранитозин, Тиаметоксам и Тиаклоприд.
Примеры регуляторов роста насекомых, такие как фенилбензоилмочевина, включают Дифлубензурон, Хлорфлубензурон, Трифлумурон, Флуфеноксурон, Гексафлумурон, Луфенурон, Тефлубензурон, Бупрофезин, Тебуфенозид, Хромафенозид, Метоксифенозид и Циромазин.
Примеры ювенильных гормональных средств включают Пирипроксифен, Феноксикарб, Метопрен и Гидропрен.
Примеры инсектицидных веществ, продуцируемых микроорганизмами, включают Абамектин, Милбемектин, Никкомицин, Эмамектин бензоат, Ивермектин и Спиносад.
Примеры других инсектицидов включают Картап, Безультап, Хлорфенапир, Диафентиурон, Никотин сульфат, Метальдегид, Фипронил, Пиметрозин, Индоксакарб и Толфенпирад.
Примеры акарицидов включают Дикофол, Фенисобромолат, Безомат, Тетрадифон, Полинактинс, Амитрац, Пропаргит, Фенбутатин оксид, Трициклогексилтин гидроксид, Тебуфенпирад, Пиридабен, Фенпироксимат, Пиримидифен, Феназаквин, Клофентезин, Гексатиазокс, Ацехиноцил, Хинометионат, Фенотиокарб, Этоксазол и Бифеназат.
Из нематоцидов примеры активных соединений включают метилизоцианат, Фостиазат, Оксамил и Месульфенфос.
Примеры токсичных пищевых добавок включают монофторуксусную кислоту, Варфарин, Коуматетралил и Дифацинон.
Из фунгицидов примеры активных соединений включают неорганические соединения меди, органические соединения меди, серу, Манеб, Тирам, Тиадиазин, Каптан, Хлороталонил, Ипробенфос, Тиофанат метил, Беномил, Тиабендазол, Ипродион, Процимидон, Пенцикурон, Металаксил, Сандофан, Билетон, Трифлумизол, Фенаримол, Трифорин, Дитианон, Триазин, Флуазинам, Пробеназол, Диетофенкарб, Изопротиолан, Пироквилон, Иминоктадин ацетат, Экломезоль, Дазомет и Крезоксим метил.
Примеры активных соединений-синергистов включают бис(2,3,3,3-тетрахлорпропиловый) простой эфир, N-(2-этилгексил)бицикло[2.1.1]гепт-5-ен-2,3-дикарбоксиимид и -[2-(2-бутоксиэтокси)этокси]-4,5-метилендиокси-2-пропилтолуол.
Примеры активных соединений гербицидов включают Биалафос, Сетоксидим, Трифлуралин и Мефенацет. Примеры активных соединений регуляторов роста растений включают индолуксусную кислоту, Этефон и 4-СРА.
Примеры активных соединений-репеллентов включают каран-3,4-диол, N,N-диэтил-м-триамид (Deet), лимонен, диналул, циторонеллал, ментон, хинокитиол, ментол, гераниол и эукалиптол.
Средство борьбы с вредителями по данному изобретению можно использовать в любых формах, и соединение формулы (1) входит в состав рецептур вместе со вспомогательными добавками для пестицидов с получением препаративных форм, таких как, например, смачиваемые порошки, смачиваемые гранулы, водные растворы, эмульгируемые концентраты, жидкости, текучие формы, включая суспензии в воде и эмульсии в воде, капсулы, дусты, гранулы и аэрозоли, которые впоследствии используют. В препаративных формах может содержаться любое количество активного ингредиента, но содержание обычно составляет в диапазоне от 0,001 до 99,5% по массе от общего количества активных ингредиентов, выбранных подходящим образом в соответствии с различными условиями, такими как вид препаративной формы и способ применения. Например, предпочтительным является получение препаративных форм таким образом, чтобы содержание активного ингредиента колебалось примерно от 0,01 до 90% по массе, предпочтительно, от 1 до 50% по массе, в смачиваемых порошках, смачиваемых гранулах, водных растворах, эмульгируемых концентратах, жидкостях, текучих продуктах, капсулах и тому подобном; примерно от 0,1 до 50% по массе, предпочтительно, от 1 до 10% по массе, в дустах и гранулах; или примерно от 0,001 до 20% по массе, предпочтительно, от 0,01 до 2% по массе, в аэрозолях.
Вспомогательные добавки для пестицидов используются для улучшения репеллентного действия, подавляющего действия и вытесняющего действия в отношении вредителей, для улучшения стабильности препаративных форм и их диспергируемости и тому подобное, и используемые примеры включают носители (разбавители), поверхностно-активные вещества, эмульгаторы, смачивающие агенты, диспергаторы и разрыхлители. Жидкие носители включают воду; ароматические углеводороды, такие как толуол и ксилол; спирты, такие как метанол, бутанол и гликоль; кетоны, такие как ацетон; амиды, такие как диметилформамид; сульфоксиды, такие как диметилсульфоксид; метилнафталин; циклогексан; животные или растительные масла и жирные кислоты. Примеры твердых носителей включают глину, каолин, тальк, диатомовую землю, диоксид кремния, карбонат кальция, монтмориллонит, бентонит, полевой шпат, кварц, оксид алюминия, опилки, нитроцеллюлозу, крахмал и гуммиарабик (аравийскую камедь). Обычно в качестве эмульгаторов или диспергаторов можно использовать поверхностно-активные вещества. Например, можно использовать анионные, катионные, неионные или амфотерные поверхностно-активные вещества, такие как натрий высший спирт сульфаты, хлорид стеарилтриметиламмония, полиоксиэтилен-алкилфениловые простые эфиры и лаурилбетаин. Кроме того, можно использовать поверхностно-активные вещества, такие как полиоксиэтилен-нонилфениловый эфир и полиоксиэтилен-лаурилфениловый эфир; смачивающие агенты, такие как диалкилсульфосукцинаты; закрепляющие составы, такие как карбоксиметилцеллюлоза и поливиниловый спирт; и разрыхлители, такие как лигнинсульфонат натрия и лаурилсульфат натрия.
Например, в случае смачиваемых порошков, порошок с наполнителем получают смешиванием соединения общей формулы (I) в качестве активного ингредиента с твердым носителем, поверхностно-активным веществом и т.д., объемный порошок можно применять после разбавления до установленной концентрации водой для использования. В случае эмульгируемых концентратов, жидкость с наполнителем получают смешиванием вышеуказанного соединения в качестве активного ингредиента с растворителем, поверхностно-активным веществом и т.д., и жидкость с наполнителем можно применять после разбавления до установленной концентрации водой для использования. В случае дустов, дуст получают смешиванием вышеуказанного соединения в качестве активного ингредиента с твердым носителем и т.д., и его можно применять сам по себе. В случае гранул, гранулы получают смешиванием вышеуказанного соединения в качестве активного ингредиента с твердым носителем, поверхностно-активным агентом и т.д. с последующей грануляцией. Гранулы можно применять как таковые. Способы получения вышеуказанных препаративных форм разнообразных видов не ограничены описанными выше способами, и специалист в данной области может произвольно выбрать подходящий способ в зависимости от типа активного ингредиента и цели применения.
Способ применения изменяется в зависимости от типа и степени заражения вредителями, от вида, формы культивирования и состояния роста целевых сельскохозяйственных культур, деревьев и тому подобное, но против членистоногих, брюхоногих моллюсков, нематод и тому подобного препараты могут обычным образом применяться с содержанием активного ингредиента, колеблющемся от 0,1 до 1000 г, предпочтительно, от 1 до 100 г на 10 ар площади, которая повреждена вредителями или где прогнозируется возможность поражения.
Что касается конкретного способа применения, вышеуказанные смачиваемые порошки, смачиваемые гранулы, водные растворы, эмульгируемые концентраты, жидкости, текучие продукты, включая суспензии в воде и эмульсии в воде, капсулы и тому подобное могут быть разбавлены водой и распылены на культуры, деревья и тому подобное в количестве, колеблющемся от 10 до 1000 литров на 10 ар в зависимости от типа, формы культивирования и состояния роста целевых сельскохозяйственных культур, деревьев и тому подобного. Кроме того, в случае дустов, гранул и аэрозолей, препарат можно применять как таковой на сельскохозяйственных культурах, деревьях и тому подобном в границах диапазона, описанного для вышеуказанного способа применения.
В том случае, когда целевые вредители, главным образом, поражают сельскохозяйственные культуры, деревья и тому подобное в почве, смачиваемые порошки, смачиваемые гранулы, водные растворы, эмульгируемые концентраты, жидкости, текучие продукты, включая суспензии в воде и эмульсии в воде, капсулы и тому подобное могут, например, быть разбавлены водой и использованы обычно в количестве, колеблющемся от 5 до 500 литров на 10 ар. Тогда препараты можно распылять равномерно на поверхность почвы по всей площади применения или ими можно орошать почву. Когда препараты представляют собой дусты или гранулы, то препараты как таковые могут быть распылены равномерно на поверхности почвы по всей площади применения. Альтернативно, при распылении или орошении препарат можно применять только рядом с посевами, культурами, деревьями и тому подобным для защиты от поражения вредителями сельскохозяйственных культур, или почва может быть вспахана в процессе или после распыления для механического рассредоточения активного ингредиента.
Более того, средство для борьбы с вредителями, содержащее соединение по изобретению в качестве активного ингредиента, может быть нанесено вокруг посевов растений известным способом. При такой обработке может быть предотвращено не только повреждение вредителями в почве после высевания семян, но также стебли и листья, цветы и плоды растения могут быть защищены от поражения вредителями.
В случае защиты вышеописанных растущих деревьев, упавших деревьев, обработанных лесоматериалов, хранящейся древесины от поражения вредителями, такими как термиты или жуки, можно указать способы распыления, опрыскивания, орошения или нанесения масляного раствора, эмульгируемого концентрата, смачиваемого порошка или золя, или распыление средства в виде дуста или гранул. В таких областях применения средство для борьбы с вредителями, содержащее соединение по изобретению в качестве активного ингредиента, может применяться само по себе или в сочетании, или в виде смешанного препарата с другими активными соединениями, такими как инсектициды, акарицид, нематоцид, фунгицид, репеллент и синергист.
В препаратах может содержаться любое количество активного ингредиента, но содержание обычно бывает в диапазоне от 0,0001 до 95% по массе от общего количества активных ингредиентов. Предпочтительно, активный ингредиент содержится в количестве от 0,005 до 10% по массе в дустах, гранулах и тому подобное и в количестве от 0,01 до 50% по массе в эмульгируемых концентратах, смачиваемых порошках, золях и тому подобном. Конкретно, в случае вытеснения или борьбы с термитами или жуками препараты можно распылять на поверхности почвы или лесоматериалов и древесины в количестве от 0,01 до 100 г на 1 м2 в пересчете на количество активного ингредиента.
(В) Область скотоводства и рыбного хозяйства
Средство борьбы с вредителями, содержащее соединение по изобретению в качестве активного ингредиента, эффективно для отпугивания, вытеснения и подавления вредителей, таких как членистоногие, нематоды, трематоды, ленточные черви и простейшие, которые являются внутренними или внешними паразитами животных и домашних животных, являющихся объектами скотоводства, рыбного хозяйства или живущих в домах, и средство можно использовать для профилактики и лечения заболеваний, которые вызывают данные паразиты.
Являющиеся объектами животные включают позвоночных животных, таких как крупный рогатый скот, включая коров, овец, коз, лошадей, свиней и тому подобное; культурных рыб, птиц, таких как домашняя птица, домашних животных и экспериментальных животных, выбранных из млекопитающих, включая собаку, кошку, мышь, крысу, хомячка, белку, хорька и т.д., рыб и тому подобное.
Из вредителей в качестве примеров могут быть указаны следующие Arthropoda Insecta и Arachnida. Примеры Diptera включают Tabanidae, такие как Chrysops japonica, Simulium iwatens и Tabanus trigonus; Mascidae, такие как Ophyra leucostoma, Musca domestica и Stomoxys calcitrans; Gasterophilidae, такие как Gasterphilus intestinalis; Hypodermidae, такие как Hypoderma bovis; Calliphoridae, такие как Phaenicia cuprina; Phoridae такие как Megaseria spiracularis; Sepsidae, такие как Sepsis monostigma: Psychodidae, такие как Telmatoscopus albipunctatus и Psychoda alternata; Culicidae, такие как Anopheles hyrcanus sinensis, Culex tritaeniorhynchus и Aedes albopictus; Simaliidae, такие как Prosimilium hirtipes; Ceratopogonidae, такие как Culicoides oxystoma и Culicoides arakawai.
Примеры Siphonaptera включают Pulicidae, такие как Ctenocephalides felis и Ctenocephalides canis.
Примеры Anoplura включают Echinophthiriidae, такие как Наematopinus suis и Haematopinus eurysternus; Trichodectidae, такие как Damalinia equi; Linognathidae, такие как Linognathus vituli; и Menoponidae, такие как Меnороn gallinae.
Примеры Arthropoda Arachnida Acarina включают Ixodidae, такие как Haemaphysalis longicornis, Ixodes ovatus, BoophiIus microplus и Amblyomma testudinarium; Macronyssidae, такие как Ornithonyssus sylviarum; Dermanyssidae, такие как Dermanyssus gallinae; Demodicidae, такие как Demodex suis; Sarcoptidae, такие как Notoederes cati и Sarcoptes sylvianum, и Psoroptidae, такие как Otodectes cynotis и Psoroptes bovis.
В качестве примеров Nematoda Phasmidia можно отметить следующее.
Примеры Strongylida включают Ancylostoma, Stephanurus dentatus, Metastrongylus elongatus, Trichostrongylus и Oesophagostomum.
Примеры Platyhelminthes Trematoda включают Schistosoma japonicum, Fasciola hepatica, Paramphistomum cervi, Paragonimus wastermanii и Prosthogonimus japonicus.
Примеры Cestoda включают Anoplocephala pecfoliata, Moniezia expansa, Moniezia benedeni, Raillietina tetragona, Raillietina sp., и Raillietina cesticillus.
Примеры Protozoa Mastigophora включают Histomonas и тому подобные, такие как Rhizomastigida, Leishmania; Trypanosoma, и тому подобные, такие как Tripanpsomidae; Giardia и тому подобные, такие как Polymastigida, и Txichomonas и тому подобные, такие как Trichomonadia.
Кроме того, примеры Sarcodina Amoebida включают Entamoeba, примеры Sporozoa Piroplasmea включают Theilaria, и Babesia, и примеры Telosporidia включают Eimeria, Plasmodium, и Toxoplasma.
Средство борьбы с вредителями, содержащее соединение по изобретению в качестве активного ингредиента можно использовать в виде любого препарата или любой формы применения, полученной путем получения состава, эффективного для вышеуказанных областей сельского и лесного хозяйства, по отдельности, или в сочетании, или в виде смешанного препарата с другими активными соединениями, такими как инсектицид, акарицид, нематоцид, фунгицид, синергист, регулятор роста растений, гербицид и токсичная пищевая добавка. Вещества, указанные в разделе “(А) Область сельского и лесного хозяйства”, могут быть указаны в качестве конкретных примеров вышеуказанных других активных соединений, но ими они не ограничиваются.
Конкретные способы применения включают введение в корм крупного рогатого скота, домашних животных и тому подобных; пероральное введение в виде подходящей перорально-проглатываемой рецептурной композиции, например, таблетки, пилюли, капсулы, пасты, геля, напитка, лечебного питания, лечебного напитка, дополнительного лечебного питания, большой пилюли замедленного высвобождения или устройства для замедленного высвобождения, сохраняющегося в желудочно-кишечном тракте, содержащей фармацевтически приемлемый носитель и вещество покрывающей оболочки; и подкожное применение в виде спрея, порошка, смазки, крема, мази, эмульсии, лосьона, препарата для нанесения пятна, препарата для орошения, шампуня и тому подобного.
В качестве способов подкожного применения и местного применения можно использовать устройства (например, ошейники, медальоны и ушные бирки), прикрепляемые к животным для местного или системного контроля членистоногих.
Далее будут проиллюстрированы конкретные способы перорального введения и подкожного применения в случае применения в качестве антигельминтного средства, но в изобретении способы применения не ограничены следующими описаниями.
В случае перорального введения в качестве лечебного напитка, суспензия или дисперсия обычно может быть получена путем растворения активного ингредиента в подходящем нетоксичном растворителе или в воде вместе с суспенгатором, таким как бентонит, смачивающим агентом или другими эксципиентами и, при необходимости, может содержаться противовспенивающий агент. Напиток обычно содержит активный ингредиент в количестве от 0,01 до 1,0% по массе, предпочтительно, от 0,01 до 0,1% по массе.
В случае перорального введения в качестве разовой формы применения сухого твердого вещества обычно используют капсулу, пилюлю или таблетку, содержащую определенное количество активного ингредиента. Такие формы применения могут быть получены гомогенным смешиванием активного ингредиента с подходящим распыленным разбавителем, наполнителем, разрыхлителем и/или связующими веществами, такими как крахмал, лактоза, тальк, стеарат магния, растительная камедь и тому подобное. При получении состава такой разовой формы количество и содержание антигельминта могут необязательно определяться в зависимости от вида животного-хозяина, для которого предназначено лечение, вида паразита и массы тела хозяина.
В случае введения в виде корма, могут быть указаны способы, в которых соединение активного ингредиента гомогенно диспергируют в пище, средство применяется в виде внекорневой подкормки или в виде шариков. Для достижения антигельминтного действия соединение активного ингредиента окончательно содержится в корме в количестве от 0,0001 до 0,05% по массе, предпочтительно от 0,0005 до 0,01% по массе.
В случае раствора или дисперсии в эксципиенте – жидком носителе, препараты могут быть введены животным парентерально путем инъекции в сычуг или внутримышечно, внутритрахейно или в виде подкожной инъекции. Ввиду парентерального введения активный ингредиент предпочтительно смешивают с растительным маслом, таким как арахисовое масло или хлопковое масло. В таком составе активный ингредиент обычно содержится в количестве от 0,05 до 50% по массе, предпочтительно от 0,1 до 0,2% по массе. Более того, препарат, смешанный с носителем, таким как диметилсульфоксид, углеводородный растворитель или тому подобное, может применяться непосредственно или местно на поверхности крупного рогатого скота или домашних животных путем распыления или непосредственного орошения.
(С) Область здравоохранения
Средство борьбы с вредителями, содержащее в качестве активного ингредиента соединение по изобретению, также эффективно в области здравоохранения для отпугивания, вытеснения и подавления вредителей, оказывающих вредное воздействие на окружающую среду, такую как пища, одежда и жилище, или, кроме того, поражающих тело человека или перемещающих или несущих патогены, с целью поддержания условий общественного здоровья. В частности, средство борьбы с вредителями по изобретению эффективно для отпугивания, вытеснения и подавления чешуекрылых, жесткокрылых, книжных червей, тараканов, мух и клещей, которые поражают сами дома и внутренние и внешние лесоматериалы, продукты древесины, такие как деревянная мебель, хранящиеся продукты питания, одежду, книги, животные товары (кожу, мех, шерсть, перо и т.д.), промышленные товары (одежда, бумага и т.д.), и тому подобное, и оказывают вредное воздействие на здоровую жизнь. Далее будут проиллюстрированы конкретные примеры вредителей в таких областях здравоохранения.
В качестве членистоногих насекомых, Arthropoda Insecta, могут быть указаны следующие. Примеры Lepidoptera включают Lymantciidae, такие как Euproctis similis; Lasiocampidae, такие как Dendrolimus undans flaveola; Heterogeneidae, такие как Parasa consocia; Zygaenidae, такие как Aztona funeralis; Pyralidae, такие как Cadra cautella, Ephestia cautella и Plodia intecpunctella; Gelechiidae, такие как Sitotroga cerearella; Tineidae, такие как Tinea pellionella и Tineola bisselliella.
Примеры Coleoptera включают Oedemeridae, такие как Xanthochroa waterhousei; Meloidae, такие как Epicauta qorhami; Staphylinidae, такие как Paederus fuscipes; Rhynchophoridae, такие как Sitophilus zeamais и Sitophilus oryzae; Brachidae, такие как Callosobruchus chinensis, Bruchus pisorum, и Bruchus rufimanus; Tenebrionidae, такие как Tribolium castaneum; Cucujidae, такие как Oryzoephilus surinamensis и Placonotus testaceus; Anobiidae, такие как Lasioderma serricorne и Stegobium paniceum; Dermestidae, такие как Attagenus unicolor, Anthrenus verbasci и Dermestes maculatus; Ptinidae, такие как Gibbium aeguinoctiale; Bostrychidae, такие как Dinoderus minutus и Rhizopertha dominica; и Lyctidae, такие как Lyctus brunneus.
Примеры Hymenoptera включают Vespidae, такие как Vespa mandarinia; Formicidae, такие как Brachyponera chinensis; и Pompilidae, такие как Batozonellus annulatus.
Примеры Diptera включают Culicidae, такие как Aedes jaonica; Ceratopogonidae, такие как Culicoides sp.; Chironomidae, такие как Chironomus dorsalis; Simuliidae, такие как Simulium aokii; Tabanidae, такие как Chrysops japonicus; Mascidae, такие как Musca domestica; Anthomyiidae, такие как Fannia canicularis; Calliphoridae, такие как Phormia regina; Sarcophagidae, такие как Boettcherisca peregrina; Drosophilidae, такие как Drosophila virilis; и Piophilidae, такие как Piophila casei.
Примеры Siphonaptera включают Pulicidae, такие как Pulex irritans.
Примеры Collembola включают Neogastruridae, такие как Neograstruna communis.
Примеры Blattaria включают Blattellidae, такие как Blattela germania и Asiablatta kyotensis; и Blattidae, такие как Periplaneta ainerlcana, Periplaneta fuliginosa и Periplaneta japonica.
Примеры Ortnoptera включают Gryllacridoidea, такие как Diestrammena japonica и Steropelmatidae.
Примеры Anoplura включают Pediculidae, такие как Pediculus humanus capitis; и Pthiridae, такие как Pthirus pubis.
Примеры Hemiptera включают Cimicidae, такие как Cimex lectularius; и Reduriidae, такие как Isyndus obscurus.
Примеры Isoptera включают Phinotermitidae, такие как Reticulitermes speratus и Coptotermes formosanus: и Kalotermitidae, такие как Cryptotermes domesticus, и примеры Psocoptera включают Trogiidae, такие как Lepinotus reticulatus; и Liposcelidae, такие как Liposcelis bostrichophius. Примеры Thysanura включают Lepismatidae, такие как Ctenolepisma villosa и Lepisma saccharina.
В качестве примеров Arthropoda Araсhnida можно отметить следующее.
Примеры Acarina включают Ixodidae, такие как Ixodes persulcatus; Macronyssidae, такие как Ornithonyssus bacoti; Cheyletidae, такие как Chelacaropsis moorei; Pyemotidae, такие как Pyemotes tritici; Demodicidae, такие как Demodex folliculorum; Pyroglyphidae, такие как Permatophagoides pteronyssius; Sarcoptidae, такие как Sarcoptes scabiei; Trombiculidae, такие как Leptotrombidum akamushi; Acaridae, такие как Tyrophagus putrescentiae и Lardoglyphus konoi; и Carpoglyphidae, такие как Carpoglyphus lactis.
Примеры Araneae включают Clubionidae, такие как Chiracanthium japonicum; Heteropodidae, такие как Heteropoda venatoria; Pholcidae, такие как Spermophora senoculata и Pholcus phalangioides; Urocteidae, такие как Uroctea compactilis; и Salticidae, такие как Plexippus paykulli и Plexippus setipes.
Примеры Scorpiones включают Buthidae, такие как Isometrus europaeus.
В качестве других Acthropoda (членистоногих), примеры Chilopoda Scolopendromorpha включают Scolopendridae, такие как Scolopendra subspinipes и Otostigmus multispinosus, и примеры Scutigeromorpha включают Scutigeridae, такие как Thereuonema hilgendorfi. Кроме того, примеры Artropoda Diplopoda Polydesmoidea включают Strongylosomidae, такие как Oxidus qracilis, и примеры Arthropoda Crustacea Isopoda включают Oniscidae, такие как Porcellio scaber. Далее примеры Annelida Hirudinea Gnathobdellida включают Haemadipsidae, такие как Haemadipsa zeylanica japonica.
Средство борьбы с вредителями, содержащее соединение по изобретению в качестве активного ингредиента, можно использовать в виде любого препарата или любой формы применения, полученной путем получения состава, эффективного в вышеуказанной области здравоохранения, по отдельности, или в сочетании, или в виде смешанного препарата с другими активными соединениями, такими как инсектицид, акарицид, нематоцид, фунгицид, синергист, регулятор роста растений, гербицид и токсичная пищевая добавка. Вещества, указанные в разделе “(А) Область сельского и лесного хозяйства”, могут быть указаны в качестве конкретных примеров вышеуказанных других активных соединений, но ими они не ограничиваются.
Форма применения средства борьбы с вредителями сельского хозяйства по изобретению может представлять собой любую форму и защита вышеуказанных животных или растительных товаров может достигаться путем распыления масляного раствора, эмульгируемого концентрата, смачиваемого порошка, дуста или тому подобное, помещения пластикового паровуалирующего агента, обработки дымящим агентом или аэрозолем, помещения гранулы, таблетки или токсичной пищевой добавки, распыляемой аэрозолем. Активный ингредиент предпочтительно содержится в препаратах в количестве от 0,0001 до 95% по массе.
В качестве способа применения против вредителей, например, непосредственно против поражающих членистоногих, болезнетворных членистоногих и тому подобное, могут быть указаны способы распыления, впрыскивания, орошения и нанесения масляного раствора, эмульгируемого концентрата, смачивающего порошка или тому подобного, распыления дуста или тому подобное, обработки препаратом, таким как фумигант, противокомариной спиралью, нагреваемым аэрозолем, включая дымовое средство самоподжигающегося типа или химически активный аэрозоль, дымовое средство, включая вуалирующий или ULV агент и другие. Альтернативно, гранула, таблетка или токсичная пищевая добавка могут быть представлены в другом виде, или флотирующий дуст, гранулы или тому подобное можно применять, добавляя их в водные пути, скважины, резервуары, емкости для хранения воды и в другую проточную воду или стоячую воду.
Кроме того, с восточными волнянками, которые также являются вредителями в сельском и лесном хозяйстве, можно бороться способом, аналогичным описанному в разделе “(А) Области сельского и лесного хозяйства”. Способ добавления средства борьбы в пищу скота, таким образом, чтобы навоз был загрязнен активным ингредиентом, является эффективным против мух, а способ испарения в воздух с использованием электрической противокомариной спирали является эффективным против комаров.
Препараты, которые представляют собой используемые формы, могут существовать в виде смешанных препаратов вместе с вышеописанными другими активными ингредиентами, такими как инсектицид, акарицид, нематоцид, фунгицид, репелент или синергист, и активный ингредиент, предпочтительно, содержится в данных препаратах в количестве всего от 0,0001 до 95% по массе. Кстати, также можно использовать препарат в сочетании с другими используемыми активными соединениями.
В случае защиты домов, деревянной мебели и тому подобное от поражения вредителями, такими как термиты или жуки, можно указать способы распыления, опрыскивания, орошения или нанесения масляного раствора, эмульгируемого концентрата, смачиваемого порошка или золя, или распыления агента в виде дуста или гранул на дома, деревянную мебель и тому подобное и рядом с ними. В таких областях применения соединение по изобретению можно использовать само по себе, или в сочетании, или в виде смешанного препарата с другими активными соединениями, такими как инсектицид, акарицид, нематоцид, фунгицид, репеллент и синергист.
Любое количество соединения активного ингредиента, такого как соединение по изобретению, может содержаться в препаратах, но содержание обычно находится в диапазоне от 0,0001 до 95% по массе от общего количества активных ингредиентов. Предпочтительно, чтобы соединения содержались в количестве от 0,005 до 10% по массе в масляных растворах, дустах, гранулах и тому подобное, и в количестве от 0,01 до 50% по массе в эмульгируемых концентратах, смачиваемых порошках, золях и тому подобное. Конкретно, в случае вытеснения и борьбы с термитами или жесткокрылыми, препарат можно распылять поблизости или непосредственно на поверхность в количестве от 0,01 до 100 г на 1 м2 в пересчете на количество активного ингредиента.
При отпугивании, вытеснении и подавлении вредителей, которые поражают тела людей или транспортируют, или переносят патогены, в качестве способов, отличных от вышеописанных способов, можно отметить пероральное введение в виде подходящей перорально-проглатываемой рецептурной композиции, например, таблетки, пилюли, капсулы, пасты, геля, напитка, лечебного питания, лечебного напитка, лечебной пищевой добавки, большой пилюли замедленного высвобождения или устройства замедленного высвобождения, так чтобы оно удерживалось в желудочно-кишечном тракте, содержащей фармацевтически приемлемый носитель и покрывающее оболочкой вещество; и внутрикожное применение в виде спрея, порошка, смазки, крема, мази, эмульсии, лосьона, препарата для нанесения пятна, препарата для орошения, шампуня и тому подобное. Конкретные составы могут быть осуществлены способами, аналогичными отмеченным в разделе “(В) Области выращивания скота и рыбного хозяйства”.
Наилучший способ осуществления изобретения
Далее более подробно разъяснено настоящее изобретение со ссылкой на примеры, но изобретение не ограничено следующими примерами, если они не выходят за пределы его сущности.
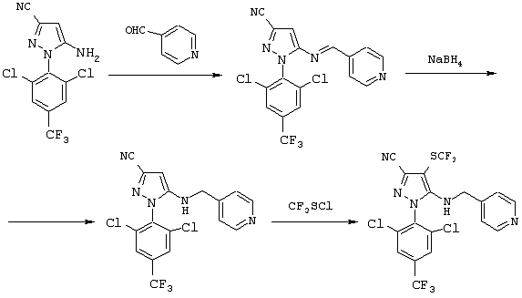
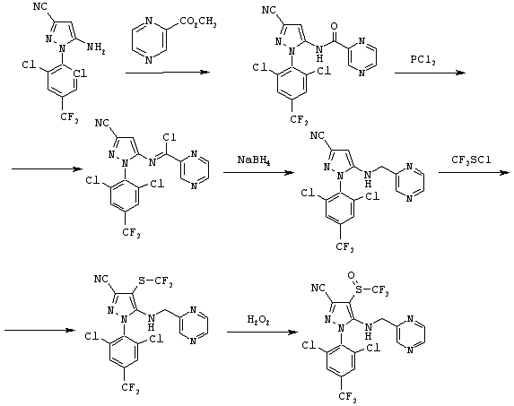
Пример 1. Получение 1-(2,6-дихлор-4-трифторметилфенил)-4-трифторметилсульфинил-5-(пиразин-2-илметиламино)пиразол-3-карбонитрила (соединение №5).
К смеси 10,0 г 5-амино-1-(2,6-дихлор-4-трифторметилфенил)-4-трифторметилсульфинилпиразол-3-карбонитрила, 2,5 г формилпиразина и 80 мл толуола добавляли 0,1 г моногидрата п-толуолсульфоновой кислоты и смесь нагревали при кипячении с обратным холодильником в течение 10 часов, в течение чего удалялась образующаяся вода. После охлаждения до комнатной температуры к смеси добавляли 30 мл ледяной воды с последующей экстракцией. Органический слой сушили над безводным сульфатом натрия. Растворитель удаляли, отгоняя его при пониженном давлении, получая неочищенный 1-(2,6-дихлор-4-трифторметилфенил)-4-трифторметилсульфинил-5-(пиразин-2-илметилиденимино)-пиразол-3-карбонитрил.
К раствору 1-(2,6-дихлор-4-трифторметилфенил)-4-трифторметилсульфинил-5-(пиразин-2-илметилиденимино)пиразол-3-карбонитрила, полученного выше, в метаноле (100 мл) постепенно добавляли 0,9 г боргидрида натрия. После перемешивания при комнатной температуре в течение 1 часа к смеси добавляли лед и этилацетат с последующей экстракцией. Органический слой промывали насыщенным солевым раствором и затем сушили над безводным сульфатом натрия. Остаток очищали колоночной хроматографией на силикагеле, получая 7,0 г соединения (№5), описанного далее в таблице 1.
Таблица 1. Температура плавления: 169° С.
1H ЯМР (СDСl3): 4,37 (2Н, м), 6,81 (1Н, м), 7,74 (2Н, д), 8,39 (1Н, д), 8,50 (2Н, м)
Пример 2. Получение 1-(2,6-дихлор-4-трифторметилфенил)-4-метилсульфинил-5-(пиразин-2-илметиламино)пиразол-3-карбонитрила (соединение №1).
К смеси 5,6 г 5-амино-1-(2,6-дихлор-4-трифторметилфенил)-4-метилсульфинилпиразол-3-карбонитрила, 2,0 г формилпиразина и 60 мл толуола добавляли 20 мг моногидрата п-толуолсульфоновой кислоты и смесь нагревали при кипячении с обратным холодильником в течение 3 часов, в течение чего удалялась образующаяся вода. После охлаждения до комнатной температуры к смеси добавляли 0,1 мл триэтиламина и 30 мл ледяной воды с последующей экстракцией. Органический слой сушили над безводным сульфатом натрия. Растворитель удаляли, отгоняя его при пониженном давлении, получая неочищенный 1-(2,6-дихлор-4-трифторметилфенил)-4-метилсульфинил-5-(пиразин-2-илметилиденимино)пиразол-3-карбонитрил.
К раствору 1-(2,6-дихлор-4-трифторметилфенил)-4-метил-сульфинил-5-(пиразин-2-илметилиденимино) пиразол-3-карбонитрила, полученного выше, в метаноле (50 мл) постепенно добавляли 0,7 г боргидрида натрия. После перемешивания при комнатной температуре в течение 1 часа к смеси добавляли лед и этилацетат с последующей экстракцией. Органический слой промывали насыщенным солевым раствором и затем сушили над безводным сульфатом натрия. Остаток очищали колоночной хроматографией на силикагеле, получая 5,1 г соединения (№1), описанного далее в таблице 1.
Таблица 1. Температура плавления: 198° С.
1H ЯМР (СDСl3): 3,33 (3Н, с), 4,18 (2Н, д), 7,15 (1Н, т), 7,71 (2Н, с), 8,41 (2Н, д), 8,51 (1Н, д).
Пример 3. Получение 1-(2,6-дихлор-4-трифторметилфенил)-4-трифторметилсульфинил-5-(1-окси-пиридин-3-илметиламино)пиразол-3-карбонитрила (соединение №14).
В 10 мм N,N-диметилформамида суспендировали 0,1 г 60%-ного гидрида натрия и постепенно добавляли 5-амино-1-(2,6-дихлор-4-трифторметилфенил) -4-трифторметилсульфинилпиразол-3-карбонитрил. Через 20 минут перемешивания при комнатной температуре добавляли к смеси 3 капли 15-краун-5-эфира, а затем 0,3 г 3-хлорметилпиридин-1-оксида с последующим перемешиванием при комнатной температуре. После выдерживания в течение ночи к смеси добавляли воду и этилацетат и смесь нейтрализовали 1н соляной кислотой. После разделения жидкостей органический слой промывали насыщенным солевым раствором, а затем сушили над безводным сульфатом натрия.
Остаток очищали колоночной хроматографией на силикагеле, получая 0,9 г соединения (№14), описанного в следующей таблице 1.
Таблица 1. Температура плавления: 189-191° С.
1H ЯМР (CDCl3): 4,2-4,5 (2Н, м), 7,03 (1Н, д), 7,12 (1Н, т), 7,18 (1Н, т), 7,74 (2Н, с), 8,03 (2Н, м).
Пример 4. Получение N-[3-циано-1-(2,6-дихлор-4-трифторметилфенил)пиразол-5-ил]пиразин-2-карбоксамида.
К смеси 0,5 г (1,6 ммоль) 5-амино-1-(2,6-дихлор-4-трифторметилфенил)пиразол-3-карбонитрила, 0,24 г (1,7 ммоль) метилпиразинкарбоксилата и 0,5 мл ацетонитрила постепенно добавляли при комнатной температуре 0,3 г (1,6 ммоль) смеси 28% СН3ONа/СН3ОН. После перемешивания в течение 2 часов при комнатной температуре к смеси добавляли 5 мл воды, а затем концентрированную соляную кислоту до достижения рН 2, при этом в осадок выпадали кристаллы. К смеси добавляли 10 мл этилацетата с последующей экстракцией. Органический слой промывали насыщенным солевым раствором, а затем сушили над безводным сульфатом натрия. После удаления сульфата натрия фильтрованием слой концентрировали, и полученные кристаллы отфильтровывали. Кристаллы промывали небольшим количеством гексана и этилацетата и сушили, получая 0,5 г (выход 77%) N-[3-циано-1-(2,6-дихлор-4-трифторметилфенил)пиразол-5-ил]пиразин-2-карбоксамида.
Пример 5. Получение 1-(2,6-дихлор-4-трифторметилфенил)-5-(пиразин-2-илхлорметилимино)пиразол-3-карбонитрила.
Смесь 139 г (0,33 моль) N-[3-циано-1-(2,6-дихлор-4-трифторметилфенил)пиразол-5-ил]пиразин-2-карбоксамида, 72,6 г (0,35 моль) пентахлорида фосфора и 300 мл толуола нагревали при кипячении с обратным холодильником в течение 2 часов. Дополнительно добавляли к смеси 5 г пентахлорида фосфора с последующим нагреванием при кипячении с обратным холодильником в течение 1 часа. Смесь охлаждали до комнатной температуры и оставляли на ночь. После перемешивания в течение 30 минут кристаллы отфильтровывали и промывали толуолом. Кристаллы растворяли в 1 л хлороформа и раствор экстрагировали после добавления воды. Органический слой промывали дважды водой и насыщенным солевым раствором, а затем сушили над безводным сульфатом натрия. Растворитель удаляли отгонкой и полученный кристаллы промывали гексаном, получая 112,2 г (выход 79%) 1-(2,6-дихлор-4-трифторметилфенил)-5-(пиразин-2-илхлорметилимино)пиразол-3-карбонитрила.
Пример 6. Получение 1-(2,6-дихлор-4-трифторметилфенил)-5-(пиразин-2-илметиламино)пиразол-3-карбонитрила.
К суспензии 85 мг (2,2 ммоль) боргидрида натрия в этаноле (2 мл) постепенно добаляли 0,5 г (1,1 ммоль) 1-(2,6-дихлор-4-трифторметилфенил)-5-(пиразин-2-илхлорметилимино)пиразол-3-карбонитрила при температуре не выше 20° С. После перемешивания при комнатной температуре в течение 1 часа смесь постепенно выливали в 40 мл воды для осаждения кристаллов. После перемешивания в течение 30 минут кристаллы отфильтровывали и промывали водой до тех пор, пока рН фильтрата не достигал 6. Полученные таким образом кристаллы растворяли в этилацетате и раствор экстрагировали после добавления насыщенного солевого раствора. Органический слой сушили над безводным сульфатом магния, фильтровали и концентрировали. Полученные кристаллы отфильтровывали, промывали небольшим количеством гексана и этилацетата и сушили, получая 0,42 г (выход 92%) 1-(2,6-дихлор-4-трифторметилфенил)-5-(пиразин-2-илметиламино)пиразол-3-карбонитрила.
Пример 7. Получение 1-(2,6-дихлор-4-трифторметилфенил)-4-трифторметилсульфенил-5-(пиразин-2-илметиламино)пиразола
К раствору 3,0 г 1-(2,6-дихлор-4-трифторметилфенил)-5-(пиразин-2-илметиламино)пиразола, растворенного в 30 мл сухого хлористого метилена в атмосфере азота добавляли 14 мл раствора трифторметилсульфенилхлорида в сухом хлористом метилене при комнатной температуре на протяжении примерно 1 часа с последующим перемешиванием в течение ночи. К смеси добавляли насыщенный водный раствор гидрокарбоната натрия и органический слой промывали несколько раз насыщенным водным раствором гидрокарбоната натрия и водой. После этого слой очищали колоночной хроматографией на силикагеле. После удаления растворителя высушивание в вакумме давало 3,59 г 1-(2,6-дихлор-4-трифторметилфенил)-4-трифторметилсульфенил-5-(пиразин-2-илметиламино)пиразола
Пример 8. Получение 1-(2,6-дихлор-4-трифторметилфенил)-4-трифторметилсульфинил-5-(пиразин-2-илметиламино)пиразол-3-карбонитрила
В 1,0 мл 1,2-дихлорэтана суспендировали 234 мг (1,3 ммоль) трифторметансульфината калия, 358 мг (1,6 ммоль) п-толуолсульфоната диметиламина, 413 мг (1,0 ммоль) 1-(2,6-дихлор-4-трифторметилфенил)-5-(пиразин-2-илметиламино)пиразол-3-карбонитрила, а затем при охлаждении льдом добавляли 301 мг (2,5 ммоль) хлористого тионила. Смесь нагревали до 60°С и перемешивали в течение 30 минут. После этого реакционную смесь анализировали с использованием высокоэффективной жидкостной хроматографии, наблюдая образование 1- (2,6-дихлор-4-трифторметилфенил) -4-трифторметил-сульфинил-5- (пиразин-2-илметиламино) пиразол-3-карбонитрила с 11% выходом. Установлено, что конверсия 1-(2,6-дихлор-4-трифторметилфенил)-5-(пиразин-2-илметиламино)пиразол-3-карбонитрила составляла 95%.
Пример 9. Получение 1-(2,6-дихлор-4-трифторметилфенил)-4-трифторметилсульфенил-5-(пиразин-2-илметиламино)пиразол-3-карбонитрила
В 5,0 мл 1,2-дихлорэтана суспендировали 1,725 г (10,0 ммоль) трифторметансульфината калия, 895 мг (4,1 ммоль) п-толуолсульфоната диметиламина, 951 мг (5,0 ммоль) моногидрата п-толуолсульфоновой кислоты, а затем при охлаждении льдом добавляли 1,506 г (12,6 ммоль) хлористого тионила. После перемешивания в течение 3 часов при комнатной температуре к смеси добавляли 1,03 г (2,5 ммоль) 1-(2,6-дихлор-4-трифторметилфенил)-5-(пиразин-2-илметиламино)пиразол-3-карбонитрила и смесь нагревали до 40° С и перемешивали в течение 5 часов. Реакционную смесь нейтрализовали насыщенным водным раствором гидрокарбоната натрия, а затем экстрагировали дихлорметаном. Органический слой сушили над безводным сульфатом магния. Растворитель отгоняли с использованием отгонки при пониженном давлении и полученное масло очищали, выделяя 487 мг (выход 38%) 1-(2,6-дихлор-4-трифторметилфенил)-4-трифторметилсульфенил-5-(пиразин-2-илметиламино)пиразол-3-карбонитрила.
Пример 10. Получение 1-(2,6-дихлор-4-трифторметил-фенил)-4-трифторметилсульфенил-5-(пиразин-2-илметиламино)-пиразол-3-карбонитрила
В 350 мл и 110 мл ацетонитрила растворяли 7,89 г (8,88 ммоль) бис(1-(2,6-дихлор-4-трифторметилфенил)-3-карбонитрил-5-(пиразин-2-илметиламино)пиразол-4-ил)-дисульфида, 5,44 г (31,6 ммоль) трифторметансульфината калия и 0,40 г (1,24 ммоль) диоксобис(ацетилацетонато)молибдена, а затем добавляли по каплям при комнатной температуре 3,4 мл (27,2 ммоль) 80%-ного раствора трет-бутилгидропероксида. Кроме того, каждые 4 часа повторяли дважды добавление 5,44 г (31,6 ммоль) трифторметансульфината калия и 3,4 мл (27,2 ммоль) 80%-ного раствора трет-бутилгидропероксида с последующим перемешиванием в течение 15 часов при комнатной температуре. Затем опять добавляли 5,44 г (31,6 ммоль) трифторметансульфината калия и 3,4 мл (27,2 ммоль) 80%-ного раствора трет-бутилгидропероксида с последующим перемешиванием в течение 6 часов. После удаления фильтрованием выпавших в осадок бледно-коричневых кристаллов из фильтрата удаляли ацетонитрил с использованием отгонки при пониженном давлении и добавляли этилацетат с последующей экстракцией. После промывки органического слоя водой растворитель удаляли при пониженном давлении и остаток подвергали очистке колоночной хроматографией (Гекcaн/AcOEt2=5/2), получая 0,88 г (1,7 ммоль) бледно-желтых кристаллов 1-(2,6-дихлор-4-трифторметилфенил)-4-трифторметил-сульфенил-5-(пиразин-2-илметиламино)пиразол-3-карбонитрила с 9,6% выходом.
Пример 11. Получение 1-(2,6-дихлор-4-трифторметил-фенил)-4-трифторметилсульфенил-5-(пиразин-2-илметиламино)-пиразол-3-карбонитрила
В атмосфере азота 10,1 мг (0,24 ммоль) боргидрида натрия добавляли к раствору в метаноле (1,5 мл) 50 мг (0,11 ммоль) 1-(2,б-дихлор-4-трифторметилфенил)-4-тиоцианат-5-(пиразин-2-илметиламино)пиразол-3-карбонитрила с последующим перемешиванием при комнатной температуре в течение 2 часов. После удаления растворителя из реакционной смеси с использованием отгонки при пониженном давлении в атмосфере азота добавляли 2 мл ДМФ. После охлаждения на бане со смесью сухой лед-ацетон к смеси добавляли раствор в ДМФ (0,5 мл) 54,5 мг (0,11 ммоль) МЕС-12 (S-(трифторметил)-3,7-динитробензотиофения трифторметансульфоната), трифторметилирующего агента, производимого Daikin Chemical Industries Ltd. После перемешивания в течение 1 часа при комнатной температуре добавляли этилацетат и воду с последующей экстракцией. Органический слой подвергали ЖХ-анализу, наблюдая образование 1-(2,6-дихлор-4-трифторметилфенил)-4-трифторметилсульфенил-5-(пиразин-2-илметиламино)пиразол-3-карбонитрила с выходом по площади под кривой 41,7%.
Соединения, представленные в таблице 1, были синтезированы в соответствии со способами, описанными в примерах 1-11. Далее приведены данные, показывающие номер соединения и данные ЯМР.
№2
1H ЯМР (СDСl3): 3,33 (3Н, с), 4,19 (2Н, д), 7,15 (1Н, ушир.т), 7,71 (2Н, с), 8, 40 (1Н, д), 8,42 (1H, д), 8,51 (1Н, д)
№3
1H ЯМР (СDСl3): 1,39 (3Н, т), 3,26 (2Н, м), 4,34 (2Н, д), 6,83 (1H, т), 7,68 (2Н, д), 8,35 (1H, д), 8,47 (1H, д), 8,51 (1H, с)
№4
1H ЯМР (СDСl3): 4,43 (2Н, д), 6,75 (1H, т), 6,78 (1H, т), 7,75 (2Н, д), 8,41 (1H, м), 8,50 (2Н, м)
№6
1H ЯМР (СDСl3): 2,56 (3Н, с), 4,30 (2Н, м), 6,62 (1H, ушир.м), 7,72 (2Н, д), 8,25 (1H, д), 8,35 (1H, д)
№7
1Н ЯМР (СDСl3): 4,66 (2Н, д), 5,27 (1H, ушир.с), 5,30 (1H, с), 5,61 (1H, с), 7,76 (2Н, с), 8,41 (1H, д), 8,49 (1Н, д), 8,54 (1H, с)
№8
1H ЯМР (CDCl3): 4,53 (2Н, с), 6,88 (1H, т), 7,71 (2Н, с), 8,29 (1H, с), 8,36 (1H, с), 8,39 (1H, с)
№9
1H ЯМР (СDСl3): 4,35 (2Н, м), 6,85 (1H, ушир.с), 7,23 (1H, д), 7,74 (2Н, д), 8,69 (1H, д), 9,01 (1H, с)
№10
1H ЯМР (СDСl3): 2,37 (3Н, с), 4,90 (2Н, д), 5,27 (1H, м), 7,45 (2Н, м), 7,75 (2Н, с), 9,12 (1H, дд)
№11
1H ЯМР (СDСl3): 4,68 (2Н, м), 6,71 (1H, ушир.с), 7,47 (1H, д), 7,73 (1H, д), 9,11 (1H, д)
№12
1H ЯМР (СDСl3): 4,1-4,5 (2Н, м), 6,69 (1H, т), 7,10 (2Н, д), 7,21 (1H, т), 7,77 (2Н, с), 8,10 (2Н, д)
№13
1H ЯМР (СDСl3): 4,3 (2Н, м), 7,02 (2Н, д), 7,70 (2Н, с), 8,01 (2Н, д)
№15
1H ЯМР (СDСl3): 4,84 (2Н, д), 6,35 (1H, ушир.с), 7,31 (3Н, м), 7,77 (2Н, с), 8,15 (1H, м)

X:C-Cl, R2=H, R3=H
| Соединение № |
S(O)nR1 |
A |
Тпл° С |
| 1 |
SOCH3 |
 |
198 |
| 2 |
SO2CH3 |
 |
147-149 |
| 3 |
SOC2H5 |
 |
158-162 |
| 4 |
SOCHF2 |
 |
178 |
| 5 |
SOCF3 |
 |
169 |
| 6 |
SOCF3 |
 |
186-188 |
| 7 |
SCH2F |
 |
119-120 |
| 8 |
SCHF2 |
 |
117.118 |
| 9 |
SOCF3 |
 |
101-103 |
| 10 |
SCH3 |
 |
151-153 |
| 11 |
SOCF3 |
 |
79-81 |
| 12 |
SOCHF2 |
 |
202-204 |
| 13 |
SOCF3 |
 |
179 |
| 14 |
SOCF3 |
 |
189-191 |
| 15 |
SOCF3 |
 |
183-185 |
Далее представлены примеры составов сельскохозяйственных и садоводческих инсектицидов, содержащих в качестве активного ингредиента соединение по изобретению, но формы применения этим не ограничиваются.
<Пример состава 1> Смачиваемый порошок
Двадцать частей по массе соединения по изобретению, 20 частей по массе Carplex #80 (наименование продукта белого угля, производимого Shionogi &Co., Ltd.), 52 части по массе каолиновой глины ST Kaolin Clay (наименование продукта каолинита, производимого Tsuchiya Kaolin К.К.), 5 частей по массе Sorpol 9047K (наименование продукта анионного поверхностно-активного вещества, производимого Toho Chemical Industry Co., Ltd.) и 3 части по массе Runox P65L (наименование продукта анионного поверхностно-активного вещества, производимого Toho Chemical Industry Co., Ltd.) смешивали и равномерно измельчали, получая смачиваемый порошок, содержащий 20% по массе активного ингредиента.
<Пример состава 2> Дуст:
Две части по массе соединения по изобретению, 93 части по массе глины (производимой Nippon Talc К.К.) и 5 частей по массе Carplex #80 (наименование продукта белого угля, производимого Shionogi &Co., Ltd.), равномерно смешивали и измельчали, получая дуст, содержащий 2% по массе активного ингредиента.
<Пример состава 3> Эмульгируемый концентрат
В смешанном растворителе, состоящем из 35 частей по массе ксилола и 30 частей по массе диметилформамида, растворяли 20 частей по массе соединения по изобретению и добавляли к смеси 15 частей по массе Sorpol 3005K (наименование продукта анионного поврехностно-активного вещества, производимого Toho Chemical Industry Co., Ltd.), получая эмульгируемый концентрат, содержащий 20% по массе активного ингредиента.
<Пример состава 4> Текучий продукт
Смесь 30 частей по массе соединения по изобретению, 5 частей по массе Sorpol 9047K, 3 частей по массе Sorbon T-20 (наименование продукта неионного поверхностно-активного вещества, производимого Toho Chemical Industry Co., Ltd.), 8 частей по массе этиленгликоля и 44 части по массе воды измельчали во влажном виде в Dynomill (производимый Shinmaru enterprises Co.). К полученной суспензии добавляли 10 частей по массе 1 вес.% водного раствора ксантановой камеди (полимер природного происхождения) с последующим смешиванием и тщательным измельчением, получая текучий продукт, содержащий 20% по массе активного ингредиента.
Далее будут проиллюстрированы примеры испытаний сельскохозяйственных и садоводческих инсектицидов, содержащих в качестве активного ингредиента соединение по изобретению, но формы применения следующим не ограничиваются.
Пример испытания 1. Инсектицидное действие на личинках коричневой рисовой дельфациды (Nilaparvata lugens)
Саженцы риса высаживали в стеклянный цилиндр (внутренний диаметр 3 см × длины: 17 см) и освобождали туда пять личинок 4-й возрастной стадии коричневой рисовой дельфациды. Сельскохозяйственный и садоводческий инсектицид по изобретению получали в соответствии с примером состава 3 и разбавляли водой и 0,5 мл полученной эмульсии рассеивали в цилиндр с помощью распылительной установки (производимой Mizuho Rika) (двукратная последовательность по концентрации). Цилиндр выдерживали при постоянной комнатной температуре при 25° С и смертность и умирание личинок исследовали через 5 дней после обработки, получая степень смертности (%), принимая при этом агонизирующее насекомое за 1/2 умершего насекомого. Полученные результаты представлены в таблице 2 (номера соединений в таблице 2 соответствуют номерам в таблице 1).
| Таблица 2 |
| Соединение № |
Концентрация (частей на млн) |
Степень смертности (%) |
| 1 |
500 |
100 |
| 3 |
500 |
100 |
| 4 |
500 |
100 |
| 5 |
500 |
100 |
| 6 |
500 |
100 |
| 7 |
500 |
100 |
| 9 |
500 |
100 |
| 10 |
500 |
100 |
| 11 |
500 |
100 |
| 12 |
500 |
100 |
| 13 |
500 |
100 |
| 14 |
500 |
100 |
Пример испытания 2. Инсектицидное действие на личинках моли капустной (Plutella xylostella)
Вырезанный из капустного листа диск (диаметром 6 см) замачивали на 1 минуту в водной суспензии сельскохозяйственного и садоводческого инсектицида по изобретению, полученного в соответствии с примером состава 1, высушивали на воздухе и помещали в пластиковую чашку (внутренний диаметр: 7 см). Пять личинок Plutella xylostella 3-й возрастной стадии высвобождали в чашку (двукратная последовательность по концентрации). Чашку выдерживали при постоянной комнатной температуре при 25° С и смертность и умирание личинок исследовали через 4 дня после обработки, получая степень смертности (%), принимая при этом агонизирующее насекомое за умершего насекомого. Полученные результаты представлены в таблице 3 (номера соединений в таблице 3 соответствуют номерам в таблице 1).
| Таблица 3 |
| Соединение № |
Концентрация (частей на млн) |
Степень смертности (%) |
| 1 |
500 |
100 |
| 2 |
500 |
100 |
| 3 |
500 |
100 |
| 4 |
500 |
100 |
| 5 |
500 |
100 |
| 6 |
500 |
100 |
| 7 |
500 |
100 |
| 9 |
500 |
100 |
| 10 |
500 |
100 |
| 11 |
500 |
100 |
| 12 |
500 |
100 |
| 13 |
500 |
100 |
| 14 |
500 |
100 |
| 15 |
500 |
100 |
Пример испытания 3. Инсектицидное действие на личинках совки обыкновенной (Spodoptera litura)
Вырезанный из капустного листа диск (диаметром 6 см) замачивали на 1 минуту в водной суспензии сельскохозяйственного и садоводческого инсектицида по изобретению, полученного в соответствии с примером состава 1, высушивали на воздухе и помещали в пластиковую чашку (внутренний диаметр: 7 см). Пять личинок 3-й возрастной стадии Spodoptera litura высвобождали в чашку (двукратная последовательность по концентрации). Чашку выдерживали при постоянной комнатной температуре при 25° С и смертность и умирание личинок исследовали через 5 дней после обработки, получая степень смертности (%), принимая при этом агонизирующее насекомое за 1/2 умершего насекомого. Полученные результаты представлены в таблице 4 (номера соединений в таблице 4 соответствуют номерам в таблице 1).
| Таблица 4 |
| Соединение № |
Концентрация (частей на млн) |
Степень смертности (%) |
| 5 |
500 |
100 |
| 6 |
500 |
100 |
| 9 |
500 |
100 |
| 11 |
500 |
90 |
| 13 |
500 |
100 |
| 14 |
500 |
100 |
| 15 |
500 |
100 |
Пример испытания 4. Инсектицидное действие на имаго (взрослой особи) зерновки лучистой фасоли (Callosobruchus chinensis)
Две лучистых фасоли помещали в стеклянный цилиндр (внутренний диаметр: 3 см × длина: 15 см) и высвобождали туда 10 имаго Callosobruchus chinensis. Сельскохозяйственный и садоводческий инсектицид по изобретению получали в соответствии с примером состава 3 и разбавляли водой и 0,3 мл полученной эмульсии рассеивали в цилиндр с помощью распылительной установки (производимой Mizuho Rika) (двукратная последовательность по концентрации). Цилиндр выдерживали при постоянной комнатной температуре при 25° С и смертность и умирание личинок исследовали через 4 дня после обработки, получая степень смертности (%), принимая при этом агонизирующее насекомое за умершего насекомого. Полученные результаты представлены в таблице 5 (номера соединений в таблице 5 соответствуют номерам в таблице 1).
| Таблица 5 |
| Соединение № |
Концентрация (частей на млн) |
Степень смертности (%) |
| 1 |
500 |
100 |
| 2 |
500 |
100 |
| 3 |
500 |
100 |
| 4 |
500 |
100 |
| 5 |
500 |
100 |
| 6 |
500 |
100 |
| 9 |
500 |
100 |
| 10 |
500 |
100 |
| 11 |
500 |
100 |
| 12 |
500 |
100 |
| 13 |
500 |
100 |
| 14 |
500 |
100 |
| 15 |
500 |
100 |
Пример испытания 5. Инсектицидное действие на личинках тли персиковой (Myzus persicae)
Воду помещали в бутылку с завинчивающейся пробкой (объем: 10 мл) и помещали туда черешок листа японской редиски и инокулировали 5-6 имаго Myzus persicae на лист. После инокулирования бутылку помещали в стеклянный цилиндр (диаметр: 0,5 см, высота: 15 см) с сеточным покрытием и насекомых оставляли развиваться при постоянной поддерживаемой комнатной температуре при 25° С в течение 3 дней. Имаго с листьев удаляли и листья погружали в водный раствор сельскохозяйственного и садоводческого инсектицида, полученного по изобретению в соответствии с составом примера 3, примерно на 5 секунд, а затем возвращали в стеклянный цилиндр (двукратная последовательность по концентрации). Цилиндр выдерживали при постоянной комнатной температуре 25° С и число насекомых на листьях подсчитывали на 4-й день после обработки для получения степени смертности (%). Полученные результаты представлены в таблице 6 (номера соединений в таблице соответствуют номерам в таблице 1).
| Таблица 6 |
| Соединение № |
Концентрация (частей на млн) |
Степень смертности (%) |
| 1 |
500 |
100 |
| 2 |
500 |
100 |
| 3 |
500 |
100 |
| 4 |
500 |
100 |
| 5 |
500 |
100 |
| 7 |
500 |
100 |
| 8 |
500 |
100 |
| 9 |
500 |
100 |
| 10 |
500 |
100 |
| 12 |
500 |
100 |
| 13 |
500 |
100 |
| 14 |
500 |
100 |
Пример испытания 6. Инсектицидное действие на личинках коричневой рисовой дельфациды (Nilaparvata lugens)
Корни молодых саженцев риса (высота: примерно 10 см), высаженные в пластиковую чашку, промывали водой и смывали почву, чтобы не повредить тонкие корешки. Стебель прищемляли уретановым наконечником (диаметр: 3 см, высота: 2 см), имеющим секущую линию и корни вставляли в колбу Эрленмейера, в которую предварительно помещали 50 мл раствора агента (разбавленный водный раствор сельскохозяйственного и садоводческого инсектицида по изобретению, полученного в соответствии с примером состава 1) (2-3 молодых рисовых саженца/колбу). Уретановый наконечник закрепляли клином в горле колбы, чтобы зафиксировать рисовые саженцы. Помещали туда стеклянную трубку (диаметр: 3 см, высота: 5 см), закрепляли клином в уретановом наконечнике и фиксировали с помощью ленты. Колбу в таком состоянии выдерживали при постоянной комнатной температуре 25° С в течение 3 дней. Пять личинок коричневой рисовой дельфациды помещали в стеклянную трубку и затем трубку закрывали уретановым наконечником с последующим выдерживанием при постоянной комнатной температуре при 25° С (двукратная последовательность по концентрации).
Смертность и умирание личинок исследовали через 4 дня после обработки, получая степень смертности (%), принимая при этом агонизирующее насекомое за умершего насекомого. Этот тест проводили на трех растворах агента, различающихся по концентрации активного ингредиента. Результаты представлены в таблице 7 (номера соединений в таблице соответствуют номерам в таблице 1).
В качестве сравнительных соединений аналогичным образом тестировали соединения I-V, каждое из которых имеет указанную ниже структуру (соединение I описано в выложенной заявке на патент Японии №316771/1988, соединения II и III описаны в примерах WO9845274 и соединения IV и V включены в формулу изобретения WO9845274, но не включены в формулу изобретения настоящей заявки).


| Таблица 7 |
| Степень смертности (%) при каждой концентрации активного ингредиента |
| Соединение № |
3,1 части на млн |
0,8 частей на млн |
0,2 части на млн |
| 1 |
100 |
100 |
100 |
| 3 |
100 |
100 |
100 |
| 4 |
100 |
100 |
100 |
| 5 |
100 |
100 |
100 |
| 7 |
100 |
100 |
100 |
| 8 |
100 |
100 |
100 |
| 9 |
100 |
100 |
100 |
| 10 |
100 |
100 |
100 |
| 14 |
100 |
100 |
100 |
| Соединения сравнения |
| I |
92 |
67 |
33 |
| II |
50 |
20 |
– |
| III |
100 |
100 |
92 |
| IV |
100 |
100 |
100 |
| v |
95 |
80 |
55 |
Коричневая рисовая дельфацида (Nilaparvata lugens) представляет собой высоко проблематичное насекомое-вредитель, которое является вредным, как описано в примере испытаний 1, но достаточная эффективность не может быть достигнута путем применения способа распыления агента на стебли и листья, при условии, что обнаружение откладывается или что достаточное количество агента не распределено на корнях.
Поскольку для данного вида насекомых характерно обитание вокруг корней растений риса или тому подобного и повреждение растения за счет всасывания жидкости, более эффективным способом борьбы с насекомыми может быть способ обработки почвы агентом (обработка гранулами) перед широко происходящими вспышками появления данных видов. Однако для достижения высокого эффекта контроля требуется системное свойство (свойство проникновения и миграции в тело растения) природы агента. Как видно из таблицы, 6 все соединения по изобретению и соединения III и IV проявляют инсектицидную активность за счет высокого системного свойства против этого вида высоко проблематичных насекомых-вредителей, но соединения I, II и III обладали явно более низким действием по сравнению с соединениями изобретения из-за более низкой подобной активности.
Пример испытаний 7. Исследование токсичности для рыб с использованием Oryzias latipes
Данный пример испытаний представляет собой один пример исследования безопасности сельскохозяйственных и садоводческих инсектицидов в отношении окружающей среды.
Десять мг каждого соединения растворяли в 1 мл диметилсульфоксида и 0,05 мл порцию такого раствора добавляли в стеклянный химический стакан, содержащий 1 литр дистиллированной воды, для получения водного раствора с содержанием 0,5 частей на млн. В водный раствор помещали пять рыб Oryzias latipes (взрослые, средний вес 360 мг) и определяли смертность через 48 часов для подсчета степени смертности (%) 5 рыб на 1 лот/стакан, одиночная последовательность). Результаты представлены в таблице 8 (номера соединений в таблице соответствуют номерам в таблице 1).
Аналогично примеру испытаний 6, соединение I, описанное в выложенной заявке на патент Японии №316771/1988, соединения II и III, описанные в примерах WO9845274 и соединения IV и V, включенные в формулу изобретения WO9845274, но не включенные в формулу изобретения настоящей заявки, подвергали исследованию в качестве сравнительных соединений.

Как видно из таблицы 8, все испытания для соединений I-V показали высокую степень смертности рыб, но смертельных случаев не наблюдалось в случае соединений изобретения. Таким образом, соединения по изобретению являются хорошо работоспособными даже, если агент для борьбы применяют непосредственно в водной системе, например, в случае рисовых полей.
Пример испытаний 8: Инсектицидное действие на кошачьей блохе
На круглый фильтр (диаметр: 10 см) добавляли по каплям 0,7 мл раствора агента, разбавленного до заранее установленной концентрации. После высушивания фильтр помещали на дно цилиндра (диаметр: 10 см × высота: 30 см), высвобождали туда десять блох и определяли смертность на 1-й день и на 2-й день после обработки для подсчета степени смертности (%) на основе результатов. Результаты представлены в таблице 9 (номера соединений в таблице соответствуют номерам в таблице 1).
| Таблица 9 |
| Соединение № |
Количество тестируемого агента (мг/фильтр) |
Степень смертности (%) |
| 5 |
0,7 |
100 |
| 7 |
0,7 |
100 |
Промышленная применимость
Производные 1-арил-3-циано-5-пиразинилалкиламинопиразола изобретения представляют собой новые соединения, обладающие превосходным инсектицидным действием и широким спектром инсектицидной активности, они также проявляют высокую системную активность и пониженную токсичность для окружающей среды, такую как токсичность для рыб. Следовательно, производные можно использовать в качестве агентов для борьбы с вредителями сельского хозяйства.
Формула изобретения
1. Производное 1-арил-3-циано-5-гетероарилалкиламинопиразола общей формулы (1):


где Х представляет собой С-галоген, R1 представляет собой С1-С4алкильную группу или галогенС1-С4алкильную группу, R2 и R3 представляют собой атом водорода, А представляет собой любую из групп, представленных выше формулами А-1 по А-4, где R4 представляет собой атом водорода или C1-С4алкильную группу, n представляет собой 0, 1 или 2, при условии, что R1 представляет собой галогенС1-С4алкильную группу, за исключением пергалогеналкильной группы, когда А представляет собой А-1 и n равно 0 и что n не равно 0, когда А представляет собой А-4).
2. Производное 1-арил-3-циано-5-гетероарилалкиламинопиразола по п.1, где А представляет собой А-1 и R4 представляет собой атом водорода или С1-С4алкильную группу.
3. Производное 1-арил-3-циано-5-гетероарилалкиламинопиразола по любому из пп.1 и 2, где R1 представляет собой галогеналкильную группу, содержащую от 1 до 2 атомов углерода.
4. 1-(2,6-Дихлор-4-трифторметилфенил)-4-фторметилтио-5-(пиразин-2-илметиламино)пиразол-3-карбонитрил и 1-(2,6-дихлор-4-трифторметилфенил)-4-трифторметилсульфинил-5-(пиразин-2-илметиламино)пиразол-3-карбонитрил.
5. Производное 1-арил-3-циано-5-гетероарилалкиламинопиразола по любому из пп.1-4 в качестве активного ингредиента для борьбы с вредителями.
6. Инсектицид, содержащий в качестве активного ингредиента производное 1-арил-3-циано-5-гетероарилалкиламинопиразола по любому из пп.1-4.
7. Производное пиразола общей формулы (2):

A: Y: 
где X, R2, R3 и R4 имеют те же значения, что указаны для общей формулы (1), и R5 представляет собой атом водорода, А представляет собой А-1, Y представляет собой любую из групп Y-1 ÷ Y-3, Z представляет собой атом галогена.
8. Способ получения производного пиразола общей формулы (1), где n равно 0, включающий обработку производного пиразола общей формулы (2), где R5 представляет собой группу тиоцианата, А представляет собой А-1 или А-3, R4 представляет собой водород и Y представляет собой Y-3, соединением R1-X2, где R1 имеет те же значения, что указаны для общей формулы (1), и X2 представляет собой атом галогена или триметилсилильную группу.
9. Способ получения производного пиразола общей формулы (2), где Y представляет собой Y-1, R2 представляет собой атом водорода, R4 представляет собой водород или C1-C4 алкил, включающий обработку производного пиразола общей формулы (3)

где Х представляет собой С-галоген, R5 представляет собой атом водорода, азотсодержащим шестичленным гетероциклическим соединением, представленным формулой А-С(=О)-X7, где А представляет собой А-1, X7 представляет собой алкоксильную группу, имеющую 1-6 атомов углерода.
10. Способ получения галогенимидатного соединения общей формулы (2), где Y представляет собой Y-2, А представляет собой А-1, Z представляет собой атом хлора или атом брома, включающий обработку амидного соединения общей формулы (2), где Y представляет собой Y-1, А представляет собой А-1, R4 и R2 представляют собой атом водорода, пентахлоридом фосфора или пентабромидом фосфора.
11. Способ получения производного пиразола общей формулы (2), где Y представляет собой Y-3, А представляет собой А-1, R2, R3 и R4 представляют собой атом водорода, включающий восстановление галогенимидатного соединения, представленного общей формулой (2), где Y представляет собой Y-2 и А представляет собой А-1.
MM4A – Досрочное прекращение действия патента СССР или патента Российской Федерации на изобретение из-за неуплаты в установленный срок пошлины за поддержание патента в силе
Дата прекращения действия патента: 29.06.2006
Извещение опубликовано: 20.12.2007 БИ: 35/2007
|
|