|
|
(21), (22) Заявка: 2003132758/11, 04.11.2003
(24) Дата начала отсчета срока действия патента:
04.11.2003
(45) Опубликовано: 20.07.2005
(56) Список документов, цитированных в отчете о поиске:
МАШИНА ВЫПРАВОЧНО-ПОДБИВОЧНО-РИХТОВОЧНАЯ ВПР-1200″. – М., Транспорт, 1986, стр.121-122. RU 2169809 C1, 27.06.2001. US 5493499 А, 20.02.1996. US 4812991 А, 14.03.1989.
Адрес для переписки:
196084, Санкт-Петербург, ул. Коли Томчака, 9, литер П, ООО НПФ “ЭСУП”
|
(72) Автор(ы):
Бондаренко И.В. (RU), Великотный М.А. (RU), Калюжный А.П. (RU), Конев В.П. (RU), Михайлов В.Е. (RU), Рязанов А.Д. (RU), Соломоник В.А. (RU)
(73) Патентообладатель(и):
Общество с ограниченной ответственностью “Научно-производственная фирма “Электронные системы управления и приборы” (ООО “НПФ “ЭСУП”) (RU)
|
(54) СПОСОБ ИЗМЕРЕНИЯ ГЕОМЕТРИИ РЕЛЬСОВОГО ПУТИ И УСТРОЙСТВО ДЛЯ ЕГО ОСУЩЕСТВЛЕНИЯ
(57) Реферат:
Изобретения относятся к контрольно-измерительной технике и могут быть использованы при текущем содержании железнодорожного пути. Измерение геометрии рельсового пути осуществляется за счет реализации высокоточной схемы измерения с использованием двух кинематически связанных измерительных тележек, образующих транспортно-механическую часть измерительной системы, имеющую датчик пройденного пути и датчики уровней наклона тележек по отношению к горизонту, как минимум, одной излучающей марки (источника оптического излучения), жестко установленной на первой по ходу движения измерительной тележке, обеспечивающей прижим реборды колеса к внутренней головке базового рельса, и оптико-электронной приемно-анализирующей системы, жестко закрепленной на второй тележке. При этом вторая тележка выполнена двухосной с прижимом реборд соответствующих колесных пар к внутренней поверхности головки базового рельса, образуя тем самым измерительную базу, идентифицирующую положение базового рельса в точках касания соответствующих колесных пар. Техническим результатом данного изобретения является повышение точности измерения геометрии рельсового пути при упрощении указанного процесса. 2 н. и 2 з.п. ф-лы, 5 ил.

Изобретение относится к контрольно-измерительной технике и может быть использовано при текущем содержании железнодорожного пути.
Известен способ измерения рельсового пути [RU 2169809 С1, 27.06.2001] с помощью двух единиц измерительного подвижного состава, способных перемещаться независимо друг от друга, причем первая мобильная единица измерительного подвижного состава занимает позицию в одной из двух конечных точек измеряемого участка рельсового пути, а в системе координат определяют положение второй единицы измерительного подвижного состава, остающейся неподвижной во время процесса измерения, и между обеими единицами измерительного подвижного состава устанавливают контрольную прямую в виде оптического измерительного луча, после чего первая единица измерительного подвижного состава передвигается в направлении второй стационарной единицы измерительного подвижного состава, находящейся на другом конце, а любое изменение положения радиоприемника первой единицы измерительного подвижного состава относительно контрольной прямой регистрируется в качестве поправочного коэффициента. Перед началом каждого измерительного цикла с помощью приемника глобальной спутниковой системы радиоопределения, находящейся вблизи измеряемого участка рельсового пути, и используя полученные данные о местоположении, настраивают контрольную прямую на мобильную единицу измерительного подвижного состава и выполняют измерение рельсового пути, перемещая вперед мобильную единицу измерительного подвижного состава.
Недостатком способа является его сложность и высокая стоимость.
Известно устройство для осуществления способа измерения рельсового пути [RU 2169809 C1, 27.06.2001]. Оно содержит две единицы измерительного подвижного состава, способных перемещаться независимо друг от друга, приемник глобальной спутниковой системы радиоопределения, оптический прибор.
Недостатком устройства является его сложность и высокая стоимость. Известен способ измерения геометрии рельсового пути [Машина выправочно-подбивочно-рихтовочная ВПР-1200, Москва, “Транспорт”, 1986, с.121-122], принятый за прототип. Этот способ основан на применении тросовой трехточечной нивелировочной системы с корректировкой передней точки. Принцип работы нивелировочной системы заключается в том, что сигнал на подъемку пути подается датчиком высоты в зависимости от величины отклонения пути в месте выправки от измерительной базы, положение которой определяется двумя точками: задней, находящейся на выправленном участке пути, и передней, находящейся перед ним.
Недостатком способа является его сложность и низкая точность измерения.
Известно устройство для измерения геометрии рельсового пути [Машина выправочно-подбивочно-рихтовочная ВПР-1200, Москва, “Транспорт”, 1986, с.121-122], принятое за прототип. Оно содержит нивелировочные тросы; нивелировочное устройство с маятником, механизмами подъема передних концов тросов и фотоприемником; измерительное устройство с маятником и пропорциональным датчиком высоты; переднюю и лазерную тележки.
Недостатком устройства является сложность его конструкции, а также то, что наличие тросов снижает точность измерения.
Изобретение решает задачу повышения точности измерения геометрии рельсового пути при упрощении указанного процесса.
Поставленная задача решается за счет того, что в способе измерения геометрии рельсового пути с помощью двух измерительных тележек, связанных между собой оптическим измерительным каналом, в соответствии с изобретением, обе тележки связывают кинематически и на второй по ходу движения измерительной тележке устанавливают оптико-электронную приемно-анализирующую систему, визирную ось которой располагают номинально параллельно базовому рельсу, образуя тем самым оптическую измерительную базу, идентифицирующую положение базового рельса в точках касания соответствующих колесных пар, на первой по ходу движения измерительной тележке устанавливают, как минимум, один источник оптического излучения и номинально ориентируют его положение относительно визирной оси оптико-электронной приемно-анализирующей системы, фиксируют отклонения положения базового рельса от прямой, возникающие при движении тележек, как смещение источника оптического излучения от номинального положения относительно визирной оси оптико-электронной приемно-анализирующей системы, сопоставляют полученные данные с пройденным тележками расстоянием (путем), полученную информацию обрабатывают в аппаратно-программном комплексе, осуществляющем алгоритмическую обработку информации в виде, удобном для дальнейшего использования, например, в экранно-графическом представлении с указанием параметров геометрии рельсового пути, в том числе стрел изгиба.
Получают выражения для центральных стрел изгиба в плане и прогиба в продольном профиле рельсового пути:


где хL, yL – соответственно горизонтальная и вертикальная составляющие сдвига точки контакта базового рельса и первого по ходу движения измерительного колеса с прямой линии, проходящей через точки контакта второго и третьего колес;
l1 – расстояние между ближайшими номинально параллельными осями колесных пар первой и второй тележек;
l2 – расстояние между осями измерительных колес второй тележки.
В устройстве для измерения геометрии рельсового пути, содержащем две измерительные тележки, на первой из которых (по ходу движения) установлен источник светового излучения, а на второй – приемник излучения, в соответствии с изобретением, приемник излучения представляет собой оптико-электронную приемно-анализирующую систему, визирная ось которой в номинальном положении устройства (на прямолинейном и горизонтальном участке рельсового пути) расположена параллельно базовому рельсу и на ней размещен источник излучения, причем обе тележки кинематически связаны транспортирующим средством и на обеих тележках установлены датчики уровня, а на одной из них расположен датчик пройденного пути, при этом оптическая приемно-анализирующая система подключена к электронному устройству выделения координатной информации, соединенному с программно-аппаратным комплексом алгоритмической обработки совокупной информации, с которым в свою очередь соединены датчики уровня и пройденного пути.
Вторая измерительная тележка выполнена трехколесной, содержащей заднюю колесную пару и направляющее колесо, при этом реборды направляющего колеса и задней колесной пары, установленные на одной из нитей рельсового пути, принятой в качестве базового рельса, находятся на одной прямой, перпендикулярной оси вращения задней колесной пары.
Таким образом, поставленная задача решается за счет реализации высокоточной схемы измерения с использованием двух кинематически связанных транспортирующим устройством (например, прицепной платформой) измерительных тележек, образующих транспортно-механическую часть измерительной системы, имеющую датчик пройденного пути (одометр) и датчики уровней наклона тележек по отношению к горизонту, как минимум, одной излучающей марки (источника оптического излучения), жестко установленной на первой (по ходу движения) измерительной тележке, обеспечивающей прижим реборды колеса к внутренней головке базового рельса, и оптико-электронной приемно-анализирующей системы, жестко закрепленной на второй тележке, при этом вторая тележка выполнена двухосной с прижимом реборд соответствующих колесных пар к внутренней поверхности головки базового рельса, образуя тем самым измерительную базу, идентифицирующую положение базового рельса в точках касания соответствующих колесных пар.
На фиг.1 изображена геометрическая схема измерений в плане рельсового пути.
На фиг.2 изображена геометрическая схема измерений при наклоне передней тележки.
На фиг.3 изображена схема преобразования координат при наклоне второй тележки в поперечном профиле пути.
На фиг.4 изображена схема расположения элементов устройства.
На фиг.5 изображена схема соединений элементов устройства.
Предложенный способ измерения геометрии рельсового пути заключается в следующем. Номинальное положение всей измерительной системы устанавливается на прямолинейном горизонтальном участке рельсового пути, что соответствует горизонтальному расположению осей колесных пар измерительных тележек и нулевым показаниям датчиков уровня.
Излучающую марку М первой тележки устанавливают на параллельную базовому рельсу визирную ось оптико-электронной приемно-анализирующей системы (в дальнейшем будем называть ее оптической приемно-анализирующей системой (ОПАУ)), располагаемой на второй измерительной тележке, например, непосредственно над (под) осью задней (по ходу движения) колесной пары. При этом оси колес передней колесной пары должны быть кинематически развязаны между собой, причем ось вращения поджимаемого измерительного колеса этой колесной пары и ось вращения задней колесной пары должны быть параллельны и жестко связаны с рамой измерительной тележки, полностью определяя ее пространственное положение относительно точек контакта базового рельса с поджимаемыми измерительными колесами в соответствии с наклоном оси задней колесной пары в поперечном профиле пути. Таким образом, также заданным оказывается и пространственное положение ОПАУ по отношению к базовому рельсу.
ОПАУ выполнено в виде объектива с установленным в плоскости анализа изображения марки позиционно-чувствительным приемником оптического излучения (например, квадрантным фотодиодом или матрицей фотоприемников). Последний подключен к электронному устройству определения координат энергетического центра оптического изображения. Визирная ось такой оптической системы проходит через заднюю узловую точку объектива и принятую за начало координат точку фоточувствительной поверхности позиционно-чувствительного приемника излучения. Позиционно-чувствительный фотоприемник (ПЧФ) в совокупности с электронным устройством образует позиционно-чувствительную регистрирующую систему (ПЧРС). В процессе движения кинематически связанных тележек, вследствие отклонения положения базового рельса от прямой (как в плане, так и в продольном профиле), а также наклона первой тележки, происходит адекватное изменение положения излучающей марки, а затем, в процессе движения, и визирной оси ОПАУ. При этом излучающая марка и узловая точка объектива ОПАУ всегда будут находиться на кривой, эквидистантной базовому рельсу. Указанное смещение воспринимается ОПАУ как изменение проекций угла, под которым видна марка из узловой точки объектива, или как сдвиг анализируемого изображения марки в плоскости позиционно-чувствительного приемника излучения на величину, определяемую проекциями х’, у’ в декартовой системе координат ПЧРС. Соответственно вычисляются значения
и 
(где а – расстояние от узловой точки объектива ОПАУ до марки, s – расстояние от задней главной плоскости объектива до фоточувствительной поверхности) смещения марки М с визирной оси ОПАУ, которые вызвали указанный сдвиг изображения. Величины х, у сдвига марки ставятся в соответствие синхронным показаниям одометра и датчиков уровня, то есть рассматриваются как функции x(L,u1,u2), y(L,u1,u2) пройденного тележками пути L (где u1, u2 – углы наклона первой и второй тележек соответственно).
Получаемые с помощью изложенного способа данные полностью описывают кривую рельсовой нити в естественном виде в том смысле, что ее уравнение не связано ни с каким случайным выбором осей координат и этому уравнению соответствует одна определенная кривая. В качестве доказательства могут быть приведены следующие аргументы. Как было отмечено выше, регистрируемые координаты х’, y’ марки адекватны с точностью до известных величин (см. далее корректирующие функции) углам , , в плане и продольном профиле соответственно, под которыми видна марка из узловой точки объектива ОПАУ.
Фиг.1 иллюстрирует рассматриваемый способ измерения в плане рельсового пути. Очевидно, что все соотношения сохраняются и для измерений в продольном профиле. Из теоремы синусов имеем

где l1 – заданное конструктивно неизменное расстояние между ближайшими номинально параллельными осями колесных пар первой и второй тележек; R – радиус окружности, содержащей точки O, А, М. Для оптической изображающей системы с корригированными абберациями

Таким образом, для текущего значения пути L при горизонтальном расположении измерительных тележек будем иметь

Так как

выражение (1) удобнее представить в виде

В курсах дифференциальной геометрии [см., например, Смирнов В.И. Курс высшей математики, том II, стр.358, М., 1957 г.] показано, что всякому уравнению вида RL=f(L) соответствует только одна определенная кривая, что и требовалось доказать.
В практическом случае малых углов величина смещения х’L во много раз меньше отрезка s, и, следовательно, можно записать

Как следует из выражений (1)-(3), вычисляемые значения RL могут быть получены и при любом другом положении ОПАУ вдоль линии визирования на второй измерительной тележке, которое должно быть задано значением расстояния а. Это обстоятельство удобно использовать при конструктивном воплощении рассматриваемого способа.
Согласно принятым нормам, положение базового рельса задается соответствующими значениями fx, fy центральных стрел его изгиба (в плане) и прогиба (в продольном профиле) при заданной длине хорды, в функциях расстояния до начала отсчета пройденного пути.
В связи с этим обстоятельством, необходимо перейти от формируемых величин отклонений x(L,u1,u2), y(L,u1,u2), соответствующих конструктивно заданным расстояниям между всеми колесными парами измерительных тележек, к традиционному представлению геометрии рельсовой нити. Указанный переход легко выполняется следующим образом. Из фиг.1 для величины инструментальной стрелы изгиба fL(изм), то есть стрелы, получаемой непосредственно из результатов измерений, следует fLu=l2· sin , где l2 – расстояние между осями колес второй тележки. Или, пренебрегая близким к единице множителем cos ,

Известно, что для хорд с малым центральным углом отношение значений стрел прогиба кривой есть величина постоянная, не зависящая от радиуса кривой, а зависящая лишь от соотношения расстояний между точками измерения стрел. Исходя из этого положения, для центральной стрелы fL получим

Если выполнить условие l1=l2, то значение fL можно легко определять как 
Рассматриваемый способ измерений позволяет осуществлять высокоточные измерения и при наличии наклонов измерительных тележек в поперечном профиле пути. Для доказательства обратимся к фиг.2, на которой представлена геометрическая схема измерений для случая, когда ось первой тележки наклонена на угол u1. Номинальное положение марки на первой тележке соответствует началу координат O(o) отсчетной системы Х(о), О(о), Y(o), являющейся центральной проекцией системы координат X’, O’, Y’ позиционно-чувствительного фотоприемника. Расположение начала координат О’ определяется углом u2(уст) начальной установки ОПАУ на измерительной тележке. Аналогично, положение марки М на первой тележке соответствует углу установки u1(уст). В общем случае u1(уст) u2(уст). На фиг.2 изображен случай искривления пути, повлекшего смещения точки К1 контакта колеса первой измерительной тележки с базовым рельсом на величину хL в горизонтальной плоскости и на величину yL в вертикальной плоскости. Вследствие наклона первой тележки на угол u1 в поперечном сечении пути, марка М займет положение, определяемое указанным углом и расстоянием с ее начальной установки. Регистрируемые ОПАУ координаты марки будут содержать соответствующие корректируемые погрешности хкор(u1) и yкор(u1), вызванные угловым поворотом u1. Из фиг.2 нетрудно получить следующие выражения для значений корректирующих функций

Таким образом, в рассматриваемом случае, значения горизонтального и вертикального сдвигов точки контакта К1 базового рельса будут в номинальной и отсчетной системах координат соответственно совпадать и составят

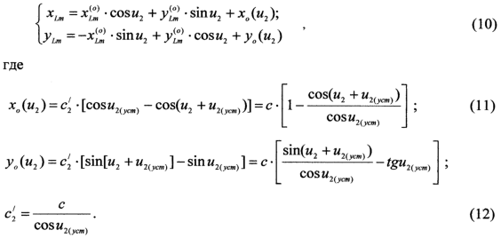
При наклоне второй тележки регистрируемые значения координат хLm, уLm марки изменятся в связи с поворотом отсчетной системы координат X(о), O(о), Y(о) на угол u2 и смещением ее начала на х0(u2) и y0(u2) (см. фиг.3) относительно номинальной системы Xном, Oном, Yном.
Регистрируемым координатам , в новой отсчетной системе будут соответствовать номинальные координаты марки М

Таким образом, зная величины c, u1(уст), u2(уст) исходных конструктивных параметров, а также текущие значения углов u1 и u2, определяемые с помощью датчиков уровня первой и второй тележек, по формулам (6-12) рассчитываются значения измеряемых величин хL, yL.
После соответствующих подстановок, общие расчетные формулы будут иметь вид:

На основании выражений (5) и (13) легко получить значения центральных стрел изгиба в плане и прогиба в продольном профиле рельсового пути

Таким образом, показана адекватность предлагаемого способа измерения геометрии рельсового пути поставленной цели измерительной задачи.
Устройство (см. фиг.4 и фиг.5) содержит первую (по ходу движения) измерительную тележку 1 и вторую измерительную тележку 2, которые установлены на рельсовом пути 3 с помощью кинематических устройств прицепной платформы 4, приводимых в действие гидравлическими домкратами 5. Тележка 2 выполнена трехколесной, содержащей заднюю колесную пару 6 и направляющее колесо 7. При этом реборды колеса 7 и колеса задней колесной пары 6, установленные на одной из нитей рельсового пути 3, принятого в качестве базового рельса 8, находятся на одной прямой, перпендикулярной оси вращения задней колесной пары 6. Указанные реборды колес, а также реборда колеса тележки 1 поджимаются к боковой поверхности головки рельса с помощью соответствующих гидродомкратов 9. Таким образом, пространственное положение тележки 1 полностью определяется положением базового рельса и углом возвышения наружного рельса (углом наклона тележки 1). Для измерения углов наклона тележек на них установлены датчики уровня 10. Для “привязки” результатов измерений к пройденному пути, то есть для обеспечения сопоставимости результатов измерений пикетажу, на тележке 2 расположен инкрементный датчик пройденного пути 11 (одометр). На тележке 2 жестко крепится оптическая приемно-анализирующая система 12 (ОПАУ), таким образом, чтобы ее визирная ось располагалась параллельно базовому рельсу 8. Излучающую марку 13, выполненную в виде светодиода, устанавливают на тележке 1 таким образом, чтобы в номинальном положении измерительного устройства (платформа находится на прямолинейном и горизонтальном участке рельсового пути) она располагалась на визирной оси ОПАУ 12.
ОПАУ 12 подключено к электронному блоку выделения координатной информации 14, который осуществляет определение координат энергетического центра изображения марки 13 на поверхности позиционно-чувствительного фотоприемника (ПЧФ), входящего в состав ОПАУ. Электронный блок 14, а также марки 13 подключены к блоку питания 15. Координатная информация с электронного блока 14, а также информация с датчиков уровня 10 и датчика пройденного пути 11 поступает на аппаратно-программный комплекс 16, осуществляющий алгоритмическую обработку совокупной информации и вывод результатов этой обработки, в виде, удобном для дальнейшего использования, в частности, в экранно-графическом представлении. Выход аппаратно-программного комплекса 16 является выходом устройства.
Устройство работает следующим образом. В процессе движения прицепной платформы 4 вместе с ней перемещаются и измерительные тележки 1 и 2, поджимаемые к базовому рельсу соответствующими гидродомкратами 9. При отклонении положения базового рельса от прямой линии происходит смещение измерительной тележки 1 по отношению к тележке 2 и, соответственно, смещение излучающей марки 13 с визирной оси ОПАУ 12. Электронный блок выделения координатной информации 14 вырабатывает информацию о положении марки 13 в системе координат ОПАУ 12, то есть в системе координат, жестко связанной со второй измерительной тележкой 2. В общем случае указанное смещение может происходить как в плане, так и в продольном профиле рельсового пути. Наличие наклонов измерительных тележек 1 и 2 приводит к неадекватности выделяемой электронным блоком 14 измерительной информации истинному положению идентифицируемых колесами указанных тележек точек базового рельса в плане и профиле рельсового пути. Данное обстоятельство вызвано неизбежным конструктивным удалением положения ОПАУ 12 и марки 13 от базового рельса. Исключение указанного несоответствия и приведение полученной информации к необходимому виду (вычисление величин хL, уL по формулам (13)), а также вычисление значений стрел изгиба fxL, fyL (см. выражение (14)), как функций от пройденного пути (пикетажа), осуществляется аппаратно-программным комплексом 16. В качестве дополнительной информации, необходимой для реализации процедуры указанной коррекции, аппаратно-программный комплекс (АПК) 16 использует показания датчиков уровней 10, то есть в расчет вводятся текущие значения углов наклона u1 и u2 первой и второй измерительных тележек соответственно. Значения углов u1 используются АПК также в виде выходной информации о текущей величине утла возвышения наружного рельса пути. Кроме того, для сопоставления всей измерительной информации с пикетажем на один из входов АПК подаются сигналы от датчика пройденного пути 11. Рассчитанные параметры геометрии рельсового пути, сопоставленные с пикетажем, а именно: положение пути в плане и положение пути в продольном профиле, а также взаимное положение рельсовых нитей по уровню записываются в память АПК, а также могут быть представлены графически на его мониторе.
Формула изобретения
1. Способ измерения геометрии рельсового пути с помощью двух измерительных тележек, связанных между собой оптическим измерительным каналом, отличающийся тем, что обе тележки связывают кинематически и на второй по ходу движения измерительной тележке устанавливают оптико-электронную приемно-анализирующую систему, визирную ось которой располагают номинально параллельно базовому рельсу, образуя тем самым оптическую измерительную базу, идентифицирующую положение базового рельса в точках касания соответствующих колесных пар, на первой по ходу движения измерительной тележке устанавливают, как минимум, один источник оптического излучения и номинально ориентируют его положение относительно визирной оси оптико-электронной приемно-анализирующей системы, фиксируют отклонения положения базового рельса от прямой, возникающие при движении тележек, как смещение источника оптического излучения от номинального положения относительно визирной оси оптико-электронной приемно-анализирующей системы, сопоставляют полученные данные с пройденным тележками расстоянием (путем), полученную информацию обрабатывают в аппаратно-программном комплексе, осуществляющем алгоритмическую обработку информации в виде, удобном для дальнейшего использования, например, в экранно-графическом представлении с указанием параметров геометрии рельсового пути, в том числе стрел изгиба.
2. Способ по п.1, отличающийся тем, что получают выражения для центральных стрел изгиба в плане и прогиба в продольном профиле рельсового пути:

где xL, yL, – соответственно горизонтальная и вертикальная составляющие сдвига точки контакта базового рельса и первого по ходу движения измерительного колеса с прямой линии, проходящей через точки контакта второго и третьего колес;
l1 – расстояние между ближайшими номинально параллельными осями колесных пар первой и второй тележек;
l2 – расстояние между осями измерительных колес второй тележки.
3. Устройство для измерения геометрии рельсового пути, содержащее две измерительные тележки, на первой из которых (по ходу движения) установлен источник светового излучения, а на второй – приемник излучения, отличающееся тем, что приемник излучения представляет собой оптико-электронную приемно-анализирующую систему, визирная ось которой в номинальном положении устройства (на прямолинейном и горизонтальном участке рельсового пути) расположена параллельно базовому рельсу и на ней размещен источник излучения, причем обе тележки кинематически связаны транспортирующим средством и на обеих тележках установлены датчики уровня, а на одной из них расположен датчик пройденного пути, при этом оптическая приемно-анализирующая система подключена к электронному устройству выделения координатной информации, соединенному с программно-аппаратным комплексом алгоритмической обработки совокупной информации, с которым, в свою очередь, соединены датчики уровня и пройденного пути.
4. Устройство по п.3, отличающееся тем, что вторая измерительная тележка выполнена трехколесной, содержащей заднюю колесную пару и направляющее колесо, при этом реборды направляющего колеса и задней колесной пары, установленные на одной из нитей рельсового пути, принятой в качестве базового рельса, находятся на одной прямой, перпендикулярной оси вращения задней колесной пары.
РИСУНКИ
|
|