|
|
(21), (22) Заявка: 2004101946/12, 27.01.2004
(24) Дата начала отсчета срока действия патента:
27.01.2004
(45) Опубликовано: 20.07.2005
(56) Список документов, цитированных в отчете о поиске:
RU 2192928 C1, 20.11.2002. RU 2198737 C1, 20.02.2003. SU 1588440 A1, 30.08.1990. US 4522634 A, 11.06.1985. US 3893828 A, 08.07.1975. US 3509695 A, 05.05.1970. GB 1223817 A, 03.03.1971. GB 2110431 A, 15.06.1983.
Адрес для переписки:
119991, Москва, Ленинский пр-т, 19, ОАО ЭНИН
|
(72) Автор(ы):
Кунтулов Б.М. (RU), Стрелков С.О. (RU), Гаврилов Е.И. (RU), Ермаков В.В. (RU), Караваненко А.В. (RU)
(73) Патентообладатель(и):
Открытое Акционерное Общество “Энергетический институт им. Г.М. Кржижановского” (RU), Кунтулов Булат Мухамедьярович (RU), Стрелков Сергей Олегович (RU), Гаврилов Евгений Иванович (RU), Ермаков Василий Вячеславович (RU), Караваненко Александр Васильевич (RU)
|
(54) УСТРОЙСТВО ДЛЯ АВТОМАТИЧЕСКОГО УПРАВЛЕНИЯ ЭЛЕКТРОФИЛЬТРОМ
(57) Реферат:
Изобретение относится к энергетическому машиностроению. В устройство для автоматического регулирования электрофильтром напорная камера через входной узел заполняется золой одновременно при встряхивании электродов электрофильтров. Циклы заполнения и опорожнения напорной камеры регулируются автоматически при достижении рабочего давления воздуха в ресивере, которое определяет поднятие поршня в распределителе воздуха и его импульсное поступление в напорную камеру, поршневое вытеснение золы из последней в транспортный трубопровод. Во входном узле размещены клапан с хвостовиком и седло, при поступлении воздуха через вертикальную трубку в полость хвостовика клапан поднимается, определяя поступление золы в напорную камеру. Изобретение обеспечивает экономию электроэнергии и повышение надежности работы. 1 ил.

Изобретение относится к энергетическому машиностроению и может быть использовано в электрофильтрах тепловых электростанций.
Предшествующий уровень техники.
Известно устройство для автоматического управления электрофильтром, содержащее бункер, исполнительные механизмы встряхивания электродов, подключенные к уровнемеру, блок управления, шлюзовый питатель [1].
Недостатком устройства является невозможность удаления пыли из бункера на значительное расстояние, сложность конструкции, определяемая наличием двух уровнемеров.
Наиболее близким по технической сущности к рассматриваемому решению является устройство для автоматического управления электрофильтром, содержащее бункер, исполнительные механизмы встряхивания электродов, подключенные к уровнемеру, транспортный трубопровод, состоящий из секций в каждой с восходящим и наклонным участками, узлами подвода и отвода воздуха соответственно в нижней и верхней частях восходящего участка, трубопровод подачи воздуха, соединенный с источником избыточного давления через клапан с приводом, подключенным к выходу уровнемера [2].
Недостатком устройства является невозможность автоматического регулирования процессом удаления пыли из бункера при изменении режима работы котлоагрегата, определяющая снижение надежности работы.
Задачей данного предложения является экономия электроэнергии и повышение надежности работы за счет увеличения ресурса работы узлов электрофильтра.
Раскрытие изобретения
Устройство для автоматического управления электрофильтром, содержащее бункер, исполнительные механизмы встряхивания электродов, подключенные к уровнемеру, транспортный трубопровод, трубопровод подачи воздуха, соединенного с источником избыточного давления через клапан с приводом, подключенным к выходу уровнемера, напорная камера с входным узлом, распределитель воздуха, ресивер, причем входной узел выполнен в виде размещенного в бункере вертикального корпуса, на нижнем торце которого установлено седло с клапаном и хвостовиком на его нижней поверхности, а через верхний торец введен выходной конец вертикальной трубки с седлом, сообщенной входным концом с отверстием нижнего торца вертикального корпуса распределителя воздуха, другое отверстие которого сообщено через ресивер с первым регулятором расхода воздуха, на отверстиях нижнего торца распределителя воздуха размещено седло, хвостовик клапана входного узла установлен с возможностью вертикального перемещения клапана между седлами в корпусе на выходном конце второй вертикальной трубки, входной конец которой соединен последовательно через два отверстия в верхней полости распределителя воздуха со вторым регулятором расхода воздуха, выходом сообщенным с выходом первого регулятора расхода воздуха и трубопроводом его подачи, при этом в корпусе распределителя воздуха установлен с возможностью вертикального перемещения поршень, а полость корпуса входного узла между двумя седлами сообщена через напорную камеру, выполненную наклонной, с транспортным трубопроводом.
Устройство для автоматического управления электрофильтром изображено на чертеже и содержит бункер 1, исполнительные механизмы встряхивания электродов, подключенные к уровнемеру 2, транспортный трубопровод 3, трубопровод 4 подачи воздуха, соединенный с источником избыточного давления 5 через клапан приводом 6, подключенным к выходу уровнемера 2. Напорная камера 7 через входной узел соединена с бункером 1. Входной узел выполнен в виде размещенного в бункере 1 вертикального корпуса 8, на нижнем торце которого установлено седло 9 с клапаном 10 и хвостовиком 11 на его нижней поверхности, а через верхний торец введен выходной конец вертикальной трубки 12 с седлом 13. Входной конец этой трубки 12 сообщен с отверстием 14 нижнего торца вертикального корпуса 15 распределителя воздуха, другое отверстие 16 которого сообщено через ресивер 17 с первым регулятором 18 расхода воздуха. На отверстиях 14, 16 нижнего торца распределителя воздуха размещено седло 19, хвостовик 11 клапана 10 входного узла установлен с возможностью вертикального перемещения клапана 10 между седлами 9 и 13 на выходном конце второй вертикальной трубки 20.
Входной конец этой трубки 20 соединен последовательно через два отверстия 21, 22 в верхней полости распределителя воздуха со вторым регулятором 23 расхода воздуха. В корпусе 15 распределителя воздуха установлен с возможностью вертикального перемещения поршень 24.
Работа устройства осуществляется следующим образом.
В результате срабатывания уровнемера 2 после превышения предельного значения пылеемкости на электродах электрофильтра управляющий сигнал поступает на исполнительные механизмы встряхивания электродов и на открытия электроклапана 6 подачи воздуха. Сжатый воздух начинает заполнять ресивер 17 и одновременно через регулятор 23, отверстия 21, 22 корпуса 15 распределителя воздуха поступает под клапан 10 в полость хвостовика 11. Давление в последней повышается, определяя поднятие клапана 10 к седлу 13 и поступление золы через отверстие в седле 9 в напорную камеру 7. Воздух из трубки 20 через хвостовик 11 также инициирует движение потока золы и заполнение напорной камеры 7. Цикл заполнения золой напорной камеры завершается при достижении давления в ресивере расчетной величины, что обуславливает поднятие поршня 24 в корпусе 15 распределителя, открытие отверстий 14, 16, закрытие отверстий 21, 22, импульсное поступление сжатого воздуха через трубку 12 в полость корпуса 8.
Клапан 10 с высоким ускорением перемещается к седлу 9, поступление золы в напорную камеру 7 прекращается, а пневмоимпульс из ресивера вытесняет золу из напорной камеры 7 в транспортный трубопровод 3. Сформировавшийся поршень золы выдавливается по транспортному трубопроводу 3 со скоростью, определяемой давлением в ресивере 17.
Новый цикл заполнения золой напорной камеры 7 начинается после выравнивания давлений в полостях бункера 1 и корпуса 8, т.е. после снижения давления в ресивере ниже расчетной величины. Поршень 24 падает на седло 19, закрывает отверстия 14, 16, открывает отверстия 21, 22, воздух через трубку 20 поступает на клапан 10, определяя его открытие и поступление золы в напорную камеру. Хвостовик 11 клапана 10 возможно выполнить в виде трубки, установленной с зазором по внешней поверхности на вертикальный конец трубки 20. Длину хвостовика 11 выбирают большей расстояния между седлами 9, 13 для исключения заклинивания клапана в корпусе 8. На торец размещений отверстия 21, 22 возможно также установить уплотнительную прокладку – седло.
Автоматическое управление режимами заполнения и вытеснения золы осуществляется регулированием соотношений расхода воздуха регуляторами 18, 23. При увеличении расхода воздуха в ресивер 17 через регулятор 18 частота циклов увеличивается, т.к. время заполнения и достижение рабочего давления в ресивере 17 уменьшается. Обеспечение поднятия поршня 24 при рассчитанном давлении в ресивере достигается корректированием расхода воздуха регулятором 23.
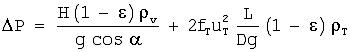
Давление в ресивере 17 определяют согласно соотношению:

где Р=Рр-Р0
Рр, Р0 – давление соответственно в ресивере и на выходном конце транспортного трубопровода;
g – ускорение свободного падения;
Н – высота поднятия транспортного трубопровода;
– порозность потока золы;
Т – плотность частиц золы;
fT – коэффициент трения поршня золы;
u – скорость воздуха, см/с;
L и D – длина и диаметр транспортного трубопровода;
– угол к горизонтали транспортного трубопровода.
Согласно экспериментальным данным объем напорной камеры должен быть меньше или равным объему ресивера. Корпус 8, трубки 20, 12 и хвостовик 11 должны быть установлены соосно для повышения надежности вертикального перемещения клапана 10 между седлами 9, 13. Напорная камера 7 для обеспечения ее заполнения золой должна располагаться наклонно под углом естественного откоса частиц золы.
Экономия электроэнергии достигается за счет удаления золы за периоды ее поступления в бункер с минимальным расходом воздуха, регулируемого в автоматическом режиме.
Источники информации
1. Авторское свидетельство СССР №1588440, В 03 С 3/68, 1987 г.
2. Патент РФ №2192928, В 03 С 3/68, 2002 г. (прототип).
Формула изобретения
Устройство для автоматического управления электрофильтром, содержащее бункер, исполнительные механизмы встряхивания электродов, подключенные к уровнемеру, транспортный трубопровод, трубопровод подачи воздуха, соединенный с источником избыточного давления через клапан с приводом, подключенным к выходу уровнемера, отличающееся тем, что в устройство введены напорная камера с входным узлом, распределитель воздуха, ресивер, причем входной узел выполнен в виде размещенного в бункере вертикального корпуса, на нижнем торце которого установлено седло с клапаном и хвостовиком на его нижней поверхности, а через верхний торец введен выходной конец вертикальной трубки с седлом, сообщенной входным концом с отверстием нижнего торца вертикального корпуса распределителя воздуха, другое отверстие которого сообщено через ресивер с первым регулятором расхода воздуха, на отверстиях нижнего торца распределителя воздуха размещено седло, хвостовик клапана входного узла установлен с возможностью вертикального перемещения клапана между седлами в корпусе на выходном конце второй вертикальной трубки, входной конец которой соединен последовательно через два отверстия в верхней полости распределителя воздуха со вторым регулятором расхода воздуха, выходом сообщенным с выходом первого регулятора расхода воздуха и трубопроводом его подачи, при этом в корпусе распределителя воздуха установлен с возможностью вертикального перемещения поршень, а полость корпуса входного узла между двумя седлами сообщена через напорную камеру, выполненную наклонной, с транспортным трубопроводом.
РИСУНКИ
|
|