|
|
(21), (22) Заявка: 2002114694/15, 03.11.2000
(24) Дата начала отсчета срока действия патента:
03.11.2000
(30) Конвенционный приоритет:
05.11.1999 (пп.1-21) FR 99/13859
(43) Дата публикации заявки: 10.01.2004
(45) Опубликовано: 20.07.2005
(56) Список документов, цитированных в отчете о поиске:
[Автореферат АБД Medline, Holscher С, “Inhibitors of PLA2 and NO-synthase cooperate in producing amnesia of a spatial task”, Neuroreport, 1995 Mar 27, 6(5), 730-2]. RU 97109847 A1, 20.05.1999. RU 2057123 C1, 27.03.1996. RU 2130017 С1, 10.05.1999.
(85) Дата перевода заявки PCT на национальную фазу:
05.06.2002
(86) Заявка PCT:
FR 00/03066 (03.11.2000)
(87) Публикация PCT:
WO 01/32216 (10.05.2001)
Адрес для переписки:
129010, Москва, ул. Б.Спасская, 25, стр.3, ООО “Юридическая фирма Городисский и Партнеры”, пат.пов. Е.Е.Назиной
|
(72) Автор(ы):
ОГЕ Мишель (FR), ШАБРИЕ ДЕ ЛАССОНЬЕР Пьер-Этьенн (FR)
(73) Патентообладатель(и):
СОСЬЕТЕ ДЕ КОНСЕЙ ДЕ РЕШЕРШ Э Д`АППЛИКАСЬОН СЬЕНТИФИК (С.К.Р.А.С.) (FR)
|
(54) ПРОДУКТ, ВКЛЮЧАЮЩИЙ ПО МЕНЬШЕЙ МЕРЕ ОДНО ВЕЩЕСТВО, ИНГИБИРУЮЩЕЕ NO-СИНТАЗЫ, В КОМБИНАЦИИ ПО МЕНЬШЕЙ МЕРЕ С ОДНИМ ВЕЩЕСТВОМ, ИНГИБИРУЮЩИМ ФОСФОЛИПАЗЫ А2
(57) Реферат:
Изобретение относится к области медицины и касается способа лечения патологии или нарушения, выбираемых среди воспалительных заболеваний, путем одновременного, раздельного или распределенного во времени применения, по меньшей мере, одного вещества, ингибирующего NO-синтазы, и по крайней мере одного вещества, ингибирующего фосфолипазы А2; изобретение также касается комбинации, включающей по меньшей мере одно вещество, ингибирующее NO-синтазы, и по крайней мере одно вещество, ингибирующее фосфолипазы А2, для использования в способе лечения патологии или нарушения, выбранных среди воспалительных заболеваний. 2 н. и 19 з.п. ф-лы.
Изобретение относится к продукту, включающему по меньшей мере одно вещество, ингибирующее NO-синтазы, в комбинации по меньшей мере с одним веществом, ингибирующим фосфолипазы А2, в отдельной форме или в виде комбинации для одновременного, раздельного или распределенного во времени применения при лечении патологий, в которых принимают активное участие монооксид азота и/или фосфолипазы А2. Изобретение относится также к фармацевтической композиции, включающей в качестве действующего начала по меньшей мере одно вещество, ингибирующее NO-синтазы, и по меньшей мере одно вещество, ингибирующее фосфолипазы А2, и, в случае необходимости, фармацевтически приемлемый носитель.
Продукт и фармацевтическая композиция согласно изобретению представляют интерес при лечении патологий, где принимают активное участие монооксид азота и фосфолипазы А2, и, в частности, таких как:
– пролиферативные, воспалительные и отечные заболевания, такие как, например, атеросклероз, рестеноз, легочная гипертензия, гломерулонефрит, портальная гипертензия, псориаз, артроз и ревматоидный артрит, фиброзы, амилоидозы, воспаления желудочно-кишечной системы (колит, болезнь Крона, панкреатит) или легочной системы и дыхательных путей (астма, синуситы, респираторный дистресс-синдром), аллергический ринит;
сердечно-сосудистые и цереброваскулярные нарушения, включающие, например, мигрень, артериальную гипертензию, септический шок, инфаркты сердца или мозга ишемического или геморрагического происхождения, ишемии и тромбозы;
– расстройства центральной или периферической нервной системы, такие как, например, нейродегенеративные заболевания, из которых можно назвать, в частности, инфаркты мозга, старческое слабоумие, включая болезнь Альцгеймера, хорея Гентингтона, болезнь Паркинсона, спастический псевдосклероз Крейтцфельда-Якоба, вызываемые прионами заболевания, боковой амиотрофический склероз, а также боль, черепно-мозговые или спиномозговые травмы, опиатная зависимость, алкогольная зависимость и зависимость по отношению к веществам, вызывающим привыкание к чрезмерному употреблению лекарств;
дерматиты, солнечные радиации (ультрафиолетовое излучение спектра А, ультрафиолетовое излучение спектра В);
– трансплантации органов;
– аутоиммунные и вирусные заболевания, такие как, например, волчанка, СПИД, паразитарные и вирусные инфекции, диабет, рассеянный склероз, миопатии;
– рак и глазные болезни;
– и, в более широком смысле, все патологии, характеризующиеся продукцией или гиперактивацией монооксида азота и/или фосфолипазы А2.
Существуют экспериментальные подтверждения, свидетельствующие о вовлечении монооксида азота (J. Med. Chem., , 4343-4362 (1995); ClIn. Exp. Immunol., , 147-156 (1998)) и фосфолипаз А2 (Trends Pharmac. ScI., , 16162-16170 (1999); BRain Res. Bull., , 139-153 (1999)). Это, в частности, случай экспериментального воспаления лапы крысы, который поясняет изобретение (Agents ActIons, , 292-300 (1989); Immunopharmacology, , 1-9 (1993); BR. J. Pharmacol., , 1119-1126 (1998)) в совокупность этих патологий.
В этом контексте лекарственные средства, которые способны ингибировать образование монооксида азота или ингибировать фосфолипазы А2, могут приводить к полезным эффектам. Не было реализовано никакой комбинации этих двух действующих начал, а именно ингибитора NO-синтазы и ингибитора фосфолипаз А2. Как это показано в экспериментальной части, комбинация ингибитора NO-синтаз и ингибитора фосфолипаз А2, действующих начал, действующих по разным механизмам, вызывает неожиданный терапевтический эффект этих действующих начал, а именно их синегризм. В самом деле, эти действующие начала, вводимые в субактивных дозах (то есть в дозах, которые не вызывают сами по себе терапевтический эффект), вызывают, когда они комбинированы, в высокой степени значительный терапевтический эффект.
Преимуществом этой комбинации является уменьшение в значительной степени доз каждого из действующих начал и, таким образом, уменьшение в значительной степени их нежелательных воздействий при полном достижении терапевтической эффективности. Настоящее изобретение особенно хорошо пояснено на экспериментальной патологической модели воспаления лапы крысы за счет каррагенина.
Объектом изобретения является, во-первых, продукт, включающий по меньшей мере одно вещество, ингибирующее NO-синтазы, в комбинации по меньшей мере с одним веществом, ингибирующим фосфолипазы А2, в отдельной форме или в виде комбинации, для одновременного, раздельного или распределенного во времени применения при лечении патологий, в которых принимают участие монооксид азота и/или фосфолипиды А2. Предпочтительно вышеуказанный продукт включает вещество, ингибирующее NO-синтазу, в комбинации с веществом, ингибирующим фосфолипазы А2.
Под ингибитором NО-синтаз нужно понимать любой специфический или неспецифический ингибитор одной из их изоформ, которая является конститутивной (нейрональная или эндотелиальная) или индуцируемой (J. Med. Chem., , 4343-4362 (1995)). Ингибиторами NO-синтаз, используемыми согласно настоящему изобретению, предпочтительно являются ингибиторы нейрональной или индуцируемой форм NO-синтаз.
Под ингибитором фосфолипаз А2 нужно понимать любой специфический или неспецифический ингибитор секретированной или клеточной форм фосфолипаз А2 (Medecine/Sciences, , 323-332 (1995); Trends Pharmac. Sci., , 16162-16170 (1999); Brain Res. Bull., , 139-153 (1999)).
В продукте согласно изобретению ингибитор NO-синтаз и ингибитор фосфолипаз А2 могут находиться в отдельной форме или в комбинированной форме, образуя соль. Соль предпочтительно образуется из производного ингибирующего NO-синтазу вещества, содержащего по меньшей мере одну основную группу, и производного ингибитора фосфолипаз А2, содержащего по меньшей мере одну кислотную группу. Так, соли могут быть образованы согласно известным специалисту способам из ингибиторов NO-синтазы, таких как, например, амидины, гуанидины, пиридины или пиперидины, такие как указанные ниже, и ингибиторов фосфолипаз А2, таких как, например, мепакрин, аристолоховая кислота, ацилпирролдикарбоновые или ацилиндолдикарбоновые кислоты, такие, как указанные ниже. Эти вещества могут быть природными или синтетическими.
Объектом изобретения также является продукт, включающий по меньшей мере одно вещество, ингибирующее NO-синтазу, в комбинации по меньшей мере с одним производным, ингибирующим фосфолипазы А2, в отдельной форме или в виде комбинации для одновременного, раздельного или распределенного во времени терапевтического применения при лечении патологий, в которых принимают участие монооксид азота и/или фосфолипазы А2, таких, как, в частности, сердечно-сосудистые и цереброваскулярные нарушения, расстройства центральной или периферическолй нервной системы, пролиферативные и воспалительные заболевания, трансплантации органов, аутоиммунные и вирусные заболевания, рак и в более широком смысле все патологии, характеризующиеся либо чрезмерной продукцией монооксида азота и/или фосфолипаз А2, либо дисфункцией, связанной с монооксидом азота и/или фосфолипазами А2.
Из ингибиторов NO-синтаз можно указать соединения аминокислотного и неаминокислотного типа. Ингибиторами NO-синтаз аминокислотного типа могут быть такие соединения, как описанные в заявках WO-95/00505, WO-94/12163, WO-96/06076 и заявке на Европейский патент ЕР 230037, включенных в настоящую заявку путем ссылки, или же производные L-аргинина, орнитина и лизина, такие как описанные в заявках РСТ WO-93/24126, WO-95/01972, WO-95/24382, WO-95/09619 и WO-95/22968, включенных в настоящую заявку путем ссылки.
Ингибиторами NO-синтаз не аминокислотного типа могут быть соединения семейств гуанидинов, изотиомочевин, нитро- или цианоарилов, аминопиридинов или аминопиримидинов, амидинов, индазолов или имидазолов.
Производные гуанидинов, ингибиторы NO-синтаз, могут представлять собой такие соединения, как указанные в заявках РСТ WO-95/28377, WO-91/04023, WO-94/21621, WO-96/18607 и WO-96/18608, включенных в настоящую заявку путем ссылки.
Изотиомочевины, ингибиторы NO-синтаз, могут представлять собой такие соединения, как указанные в заявках РСТ WO-95/09619, WO-96/09286, WO-94/12165, WO-96/14842, WO-96/18607, WO-96/18608, WO-96/09286 и заявках на Европейский патент ЕР 717040 и ЕР 718294, включенных в настоящую заявку путем ссылки.
Нитро- или цианоарилы, ингибиторы NO-синтаз, могут представлять собой такие соединения, как указанные в заявке РСТ WO-94/12163, включенной в настоящую заявку путем ссылки.
Аминопиридины или аминопиримидины, ингибиторы NO-синтаз, могут представлять собой такие соединения, как указанные в заявках РСТ WO-94/14780, WO-96/18616 и WO-96/18617, включенных в настоящую заявку путем ссылки.
Амидины, ингибиторы NO-синтазы, могут представлять собой такие соединения, как указанные в заявках РСТ WO-95/11014, WO-96/01817, WO-95/05363, WO-95/11231, WO-96/14844 и WO-96/19440, включенных в настоящую заявку путем ссылки, или такие соединения, как N-фенил-2-тиофенкарбоксимидамид.
Кроме того, ингибиторы NO-синтаз также могут быть одновременно ингибиторами NO-синтаз (NOS) и улавливателями реакционноспособных форм кислорода (ROS = реакционноспособные формы кислорода). Заявитель первым описал такие ингибиторы в заявках на патенты РСТ WO-98/42696, WO-98/58934, WO-00/02860, WO-00/17190 и WO-00/17191, включенных в настоящую заявку путем ссылки (заявителем также были поданы другие, неопубликованные заявки на патент, в которых описываются соединения, обладающие такими фармакологическими активностями, и соединения, которые там описаны, также могут быть использованы согласно настоящему изобретению). Эти соединения также проявляют синергизм в случае экспериментальной патологической модели воспаления лапы крысы за счет каррагенина при полном сохранении преимуществ, уже показанных в заявках РСТ WO-98/42696 и WO-98/58934, WO-00/02860, WO-00/17190 и WO-00/17191.
Индазолы, ингибиторы NO-синтаз, могут представлять собой соединения общей формулы (IA)

в которой R1 означает один или несколько заместителей, выбираемых среди атома водорода и нитрогруппы, атома галогена, алкила или алкоксила;
или же фармацевтически приемлемые соли соединений общей формулы (IA).
Имидазолы, ингибиторы NO-синтаз, могут представлять собой соединения общей формулы (IIA)

в которой R1 и R2 означают независимо атом водорода или атом галогена, гидроксил, аминогруппу, алкил или алкоксил; или R1 и R2 связаны вместе и образуют фенил, конденсированный с имидазольным циклом, причем вышеуказанный фенил возможно замещен одним или несколькими заместителями, выбираемыми среди гидроксила, трифторметила, атома галогена, карбоксила, алкила, алкоксила или алкенила;
R3 означает атом водорода или алкил, аминогруппу, алкиламиногруппу или фенил, причем вышеуказанный фенил возможно замещен одним или несколькими заместителями, выбираемыми среди гидроксила, трифторметила, атома галогена, карбоксила, алкила, алкоксила или алкенила; и
R4 означает атом водорода или алкил, аминогруппу или алкиламиногруппу;
или фармацевтически приемлемые соли соединений общей формулы (IIA).
Соединения, ингибиторы NO-синтаз и ROS, могут представлять собой, в частности, соединения общей формулы (IIIA)

в которой R0 означает Н или алкил;
А означает радикал

в котором R1 и R2 означают независимо атом водорода, атом галогена, группу ОН, линейный или разветвленный алкил с 1-6 атомами углерода, линейный или разветвленный алкоксил с 1-6 атомами углерода; и
R3 означает атом водорода, линейный или разветвленный алкил с 1-6 атомами углерода или радикал -COR4, где R4 означает алкил с 1-6 атомами углерода;
или радикал

в котором R3 означает атом водорода, линейный или разветвленный алкил с 1-6 атомами углерода или радикал -COR4, где R4 означает алкил с 1-6 атомами углерода;
В означает линейный или разветвленный алкил с 1-6 атомами углерода, фенил, пиридинил или пятичленный гетероцикл с 1-4 гетероатомами, выбираемыми среди О, S, N, и, в частности, тиофен, фуран, пиррол или тиазол, атомы углерода, в которых возможно замещены одной или несколькими группами, выбираемыми среди линейного или разветвленного алкила с 1-6 атомами углерода, алкоксила с 1-6 атомами углерода или атома галогена;
Х означает -CO-N (R3)-X’-, -NH-CO-X’-, -СН=, -СО- или связь, причем X’ означает -(СН2)n-, где n означает целое число от 0 до 6;
Y означает –Y’-, -CO-NH-Y’-, -Y’-NH-CO-, -CO-Y’-, -Y’-CO-, -N(R3)-Y’-, -Y’-N(R3)-, -Y’-CH2-N(R3)-CO-, -O-Y’-, -Y’-O-, -S-Y’-, -Y’-S-, -Y’-O-Y’-, -Y’-N(R3)-Y’- или связь, причем Y’ означает -(СН2)n-, где n означает целое число от 0 до 6;
Het означает гетероцикл с 1-5 гетероатомами, выбираемыми среди О, N, S, который может быть замещен одним или несколькими заместителями X’-OR3, X’-NR3, X’-S-R3 и, такой как, например, оксетан, пиррол, пирролидин, фуран, тетрагидрофуран, тиофен, тетрагидротиофен, сульфолан, пиперазин, гомопиперазин, 4-аминопиперидин-имидазол, имидазолин, дигидроимидазол-2-он, дигидроимидазол-2-тион, оксазол, изоксазол, оксазолин, изоксазолин, оксазолидин, оксазолидинон, тиазол, тиазолин, тиазолидин, тиазолидинон, гидантоин, 1,2,4-триазол, 1,3,4-оксадиазол, 1,3,4-тиадиазол, 1,1-диоксид-1,2,5-тиадиазолидин, 1,2,4-триазол-3-он, тетразол, тетрагидропиридин, азетидин; или фармацевтически приемлемые соли этих соединений.
В некоторых случаях соединения согласно настоящему изобретению могут включать асимметрические атомы углерода. Следовательно, соединения согласно настоящему изобретению имеют две возможные энантиомерные формы, то есть конфигурации “R” и “S”. Соединения согласно настоящему изобретению включают две энантиомерные формы и любые комбинации этих форм, включая рацемические смеси “RS”. Ради простоты, когда в структурных формулах не указана никакая специфическая конфигурация, нужно понимать, что представлены обе энантиомерные формы и их смеси.
Под алкилом, когда он более точно не указан, понимают линейный или разветвленный алкильный радикал с 1-6 атомами углерода. Под алкенилом, когда он более точно не указан, понимают линейный или разветвленный алкильный радикал с 1-6 атомами углерода и имеющий по меньшей мере одну двойную связь. Под галогеналкилом понимают алкильный радикал, по меньшей мере один из атомов углерода (и возможно все) которого заменен на атом галогена.
Под алкоксилом, алкенилом или алкиламиногруппой понимают, соответственно, алкильный, алкенильный или алкиламинорадикал, алкильная часть которого имеет вышеуказанное значение.
Под линейным или разветвленным алкилом с 1-6 атомами углерода понимают, в частности, метил, этил, пропил, изопропил, бутил, изобутил, втор-бутил и трет-бутил, пентил, неопентил, изопентил, гексил, изогексил. Наконец, под галогеном понимают атомы фтора, хлора, брома или иода.
Под фармацевтически приемлемой солью понимают, в частности, аддитивные соли с неорганическими кислотами, такие как гидрохлорид, гидробромид, гидроиодид, сульфат, фосфат, дифосфат и нитрат, или с органическими кислотами, такие как ацетат, малеат, фумарат, тартрат, сукцинат, цитрат, лактат, метансульфонат, п-толуолсульфонат, памоат и стеарат. В рамки настоящего изобретения также входят, когда их используют, соли, получаемые исходя из оснований, таких как гидроксид натрия или гидроксид калия. В отношении других примеров фармацевтически приемлемых солей можно сослаться на публикацию “Salt selectIon for basic drugs”. Int. J. Pharm., 33, 201-217 (1986).
Из ингибиторов фосфолипаз А2 можно указать соединения типа ацилпирролдикарбоновых кислот, ацилиндолдикарбоновых кислот и производных пирролидина. Ингибиторы фосфолипаз А2 типа ацилпирролдикарбоновых кислот, ацилиндолдикарбоновых кислот и производных пирролидина могут быть такими соединениями, как описанные в заявках ЕР 97934481, WO-98/05637, ЕР 969225076 и WO-98/33797. Ингибиторы фосфолипаз А2 также могут представлять собой такие соединения, как указанные в заявках WO-99/43672, WO-99/43654, WO-99/43651, WO-99/15493 и WO-98/37069. Ингибиторы фосфолипаз А2 могут представлять собой также, в частности, производные арилсульфонамидов, такие как описанные в заявке WO-98/25893; производные 1H-индол-3-глиоксиламида, такие как описанные в заявке WO-99/57100; производные индолов, такие как описанные в заявке WO-00/07591; или производные 2-фенилпиримидинов, такие как описанные в заявке WO-00/27824. Все вышеуказанные заявки на патенты включены в настоящую заявку путем ссылки.
Согласно изобретению ингибиторами фосфолипаз А2 предпочтительно являются:
соединения общей формулы (IB) или (I’B)

в которых R1 означает группу -Y1-AR-Y2-Y3, в которой Y1 и Y2 означают независимо (C1-C12)-алкил, (C2-C12)-алкенил, (C1-C12)-алкоксил или (C2-C12)-алкенилоксигруппу, причем радикалы Y1 и Y2 в случае необходимости могут быть прерваны одним или несколькими атомами кислорода; АR означает арил, возможно замещенный одно-, трехкратно заместителями, выбираемыми независимо среди групп R6, R7 и R8, и Y3 означает радикал -COOR17, -CONR17R17, -CONHCOR19, -CONHS(О)2R19, -CONHNHS(O)2R19 или Tz;
R2 означает -COOR17, -Y4-COOR17, -CONR17R17, -Y4-CONR17R17, -CONHCOR19, -Y4-CONHCOR19, -CONHS(О)2R19, Y4-CONHS(O)2R19, -CONHNHS(О)2R19, -Y4-CONHNHS (О)2R19, Tz или -Y4-Tz, причем Y4 означает (C1-C8)-алкил, (C2-C8)-алкенил и причем радикал Y4 в случае необходимости может быть прерван одним или несколькими атомами кислорода;
R3 означает радикал -CO-R9, в котором R9 означает радикал -Y5, арил или -Y5-арил, причем Y5 означает (C1-C19)-алкил, (C2-C19)-алкенил или (C2-C19)-алкинил и причем радикал Y5 в случае необходимости может быть прерван одним или несколькими атомами кислорода, и арил из значения радикала R9 может быть замещен одно-, трехкратно заместителями, выбираемыми независимо среди групп R10, R11 и R12;
каждый радикал R4 означает независимо атом водорода, атом галогена, -СF3, -Y6, арил или -Y6- арил, причем Y6 означает (C1-C8)-алкил, (C2-C8)-алкенил или (C2-C8)-алкинил и причем радикал Y6 в случае необходимости может быть прерван одним или несколькими атомами кислорода, а арил из значения радикала R4 может быть замещен одно-, трехкратно заместителями, выбираемыми независимо среди групп R13, R14 и R15; и причем два соседних алкильных радикала Y6 вместе с атомами углерода, с которыми они связаны, могут образовывать 5-8-членный цикл, который сам в случае необходимости может быть замещен одним или двумя (C1-C4)-алкильными радикалами;
n означает число 2;
m означает число 4;
Tz означает 1Н- или 2Н-тетразол-5-ил;
радикалы R6, R7, R8, R10, R11, R12, R13, R14, R15 и R16 выбирают независимо из группы, состоящей из (C1-C20)-алкила, (C2-C20)-алкенила или (C2-C20) -алкинила, возможно прерываемых одним или несколькими атомами кислорода; атома галогена, -СF3, -CN, -NO2 или -СОСН2ОН и пергалоген-(C2-C6)-алкенила, -OR17, -SR17, -COOR17, -COR18, -NHCOR17, -NR17R17, NHS(O)2R17, -SOR17, -S(O)2R17, -CONR17R17, -S (О)2NR17R17, -OOCR18, -OOCNR17R17, -OOCOR17, -(CH2)rOR23, -(CH2)rSR23, -(CH2)rNHR23 или (CH2)sR20;
R17 означает независимо в каждом случае, когда он имеется, радикал -(CH2)tR20 или (C1-C20)-алкил, (C2-C20)-алкенил или (C2-C20)-алкинил, возможно прерываемые одним или несколькими атомами кислорода;
R18 означает независимо в каждом случае, когда он имеется, радикал R17, -СF3, -(СН2)uСООН или – (СН2)uCOOR21;
R19 означает независимо в каждом случае, когда он имеется, радикал R17 или -СF3;
R20 означает независимо в каждом случае, когда он имеется, арил, замещенный одной или двумя группами R22;
R21 означает независимо в каждом случае, когда он имеется, (C1-C6)-алкил, бензил или фенил;
R22 означает независимо в каждом случае, когда он имеется, атом водорода, атом галогена, (C1-C12)-алкил, (C1-C12) -алкоксил, (C1-C12)-алкилтиогруппу, (C1-C12)-алкилсульфонил, (C1-C12)-алкилкарбонил, -СF3, -CN или -NO2;
R23 означает независимо в каждом случае, когда он имеется, атом водорода или радикал -COR21;
r означает целое число от 1 до 20;
s и t означают независимо целые числа от 0 до 12; и
u означает целое число от 0 до 4;
или соединения общей формулы (IIB)

в которой обе группы Х означают атомы кислорода;
R1 выбирают из группы, состоящей из радикалов

в которых R10 выбирают независимо среди атома галогена и (C1-C10)-алкила, (C1-С10)-алкоксила, (C1-С10)-алкилтиогруппы и (C1-С10)-галогеналкила,
t означает целое число от 0 до 5;
R2 выбирают среди атома галогена и циклопропила, метила, этила и пропила;
R4 и R5 выбирают независимо среди атома водорода, неинтерферирующего заместителя или (кислотной) группы -La-(кислотная группа) при условии, что -La– в случае радикала R4 выбирают среди -O-СН2-, -S-CH2-, -NH-CH2-, -СН2-СН2-, -O-СН(СН3)- и -O-CH(CH2-CH2-Ph)-, причем Ph означает фенил, и -La– в случае радикала R5 выбирают среди радикалов

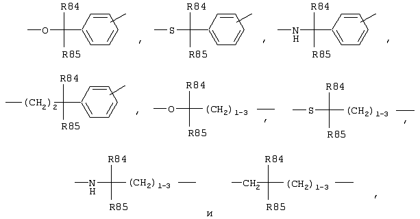
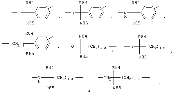
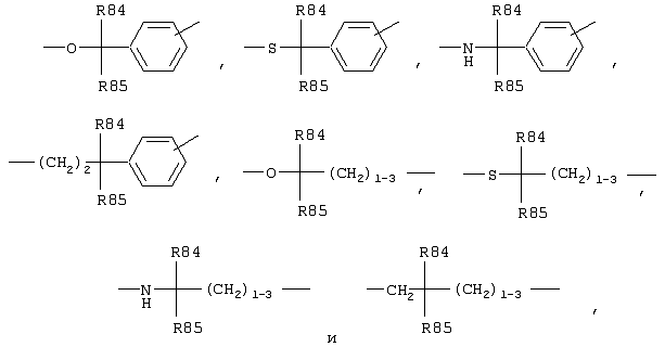
в которых R84 и R85 выбирают независимо среди атома водорода, атома галогена и (C1-С10)-алкила, арила, (C1-С10)-алкиларила, арил-(C1-С10)-алкила, карбоксила или карбалкоксила;
при условии также, что по меньшей мере один из R4 и R5 должен означать группу -La-(кислотная группа) и что (кислотную группу) в радикалах R4 и R5 выбирают среди -СO2Н, -SО3Н и -Р(O)(ОН)2;
R6 и R7 выбирают независимо среди атома водорода и неинтерферирующего заместителя;
причем неинтерферирующие заместители выбирают независимо из группы, состоящей из (C1-С6)-алкила, (C2-С6)-алкенила, (C2-С6)-алкинила, (C7-С18)-аралкила, (C7-С18)-алкиларила, (C3-С8)-циклоалкила, (C3-С8)-циклоалкенила, фенила, толуила, ксиленила, фенилметила, (C1-С6)-алкоксила, (C2-С6)-алкенилоксигруппы, (C2-С6)-алкинилоксигруппы, (C2-С12)-алкоксиалкила,(C2-С12)-алкоксиалкилоксигруппы, (C2-С12)-алкилкарбониламиногруппы, (C2-С12)-алкоксиаминогруппы, (C2-С12)-алкоксиаминокарбонила, (C2-С12)-алкиламиногруппы, (C1-С6)-алкилтиогруппы, (C2-С12)-алкилтиокарбонила, (C1-С6)-алкилсульфинила, (C1-С6)-алкилсульфонила, (C1-С6)-галогеналкоксила, (C2-С6)-галогеналкилсульфонила, (C2-С6)-галогеналкила, (C1-С6)-гидроксиалкила, -С(О)О((C1-С6)-алкила), -(СН2)n-O-((C1-С6)-алкила), бензилоксигруппы, феноксигруппы, фенилтиогруппы, -СНО, аминогруппы, амидиногруппы, атома брома, карбамоила, карбоксила, карбалкоксила, -(СН2)n-СO2Н, атома хлора, цианогруппы, цианогуанидинила, атома фтора, гуанидиногруппы, гидразидной группы, гидразиногруппы, гидразидогруппы, гидроксила, гидроксиаминогруппы, атома иода, нитрогруппы, фосфоногруппы, -SО3Н, тиоацетальной группы, тиокарбонила и (C1-С6)-алкилкарбонила, причем n означает целое число от 1 до 8;
или соединения общей формулы (IIIB)

в которой R1 выбирают из групп (а), (b) и (с):
(а) означает (C7-С20)-алкил, (C7-С20)-галогеналкил, (C7-С20)-алкенил или (C7-С20)-алкинил, насыщенный или ненасыщенный 5-14-членный карбоцикл, возможно замещенный заместителем или заместителями, выбираемыми среди неинтерферирующих заместителей, или (а) означает 5-14-членный гетероцикл с 1-3 гетероатомами, причем вышеуказанный гетероцикл является насыщенным или ненасыщенным и возможно замещен заместителем или заместителями, выбираемыми среди неинтерферирующих заместителей;
(b) означает один из радикалов (а), замещенный одним или несколькими заместителями, выбираемыми среди неинтерферирующих заместителей;
(c) означает группу -(L1)-R11, в которой -(L1)- означает группу, выбираемую среди групп, представленных формулами

в которых Q1 означает связь или одну из групп -СН2 -, -О-, -S-, -NH- и -СО-, и каждая из групп R10 означает независимо атом водорода или (C1-С8)-алкил, (C1-С8)-галогеналкил или (C1-С8)-алкоксил;
R11 означает группу, выбираемую среди групп (а) и (b);
R2 означает атом водорода, атом галогена или (C1-С4)-алкил, (C2-С4)-алкенил, -О-(C1-С3)-алкил, -S-(C1-С3)-алкил, -(C1-С4)-циклоалкил, -СF3, -NО2, -CN или -SО3;
R3 означает -(L3)-Z, где
-(L3)- означает группу с двухвалентной связью, выбираемую среди связи и групп -СН2-, -О-, -S-, -NH- и -СО-;
Z выбирают среди ацетамидной, тиоацетамидной, глиоксиламидной, тиоглиоксиламидной, гидразидной или тиогидразидной групп, представленных общими формулами

в которых R31 и R32 выбирают независимо среди атома водорода и (C1-С8)-алкила, (C1-С8)-галогеналкила или (C3-С4)-циклоалкила; и
Х означает независимо в каждом случае, когда он имеется, атом кислорода или серы;
R4 и R5 выбирают независимо среди атома водорода, неинтерферирующего заместителя или группы – (La)-(ацилсульфонамидная группа), в которой
-(La)- в случае радикала R4 означает группу, представленную формулой

в которой Q2 выбирают среди -СН2-, -О-, -NH-, -С(О)- и -S-;
и каждую из групп R40 выбирают независимо среди атома водорода, атома галогена и (C1-С8)-алкила, арила, (C1-С8)-алкиларила, (C1-С8)-алкоксила и аралкила;
-(La)- в случае радикала R5 выбирают среди групп, представленных формулами

в которых R54, R55, R56 и R57 выбирают независимо из группы, состоящей из атома водорода, атома галогена и (C1-С8)-алкила, (C1-С8)-алкоксила, (C1-С8)-галогеналкила и арила;
(ацилсульфонамидная) группа представляет собой группу формулы -CO-NH-SO2-R81, в которой R81 выбирают из группы, состоящей из -СF3, (C1-С8)-алкила, (C1-С8)-алкоксила, (C1-С8)-алкилтиогруппы, (C1-С8)-алкиламиногруппы, (C1-С8)-галогеналкила, арил-(C1-С14)-алкила, (C1-С14)-алкиларила, арила, тиоарила, (C3-С14)-циклоалкила и 3-14-членного гетероцикла, причем вышеуказанный гетероцикл включает 1-3 гетероатома и является насыщенным или ненасыщенным;
при условии, что по меньшей мере один из R4 и R5 означает группу – (La)-(ацилсульфонамидная группа);
R6 и R7 означают независимо атом водорода, неинтерферирующий заместитель, насыщенный или ненасыщенный 5-14-членный карбоцикл, возможно замещенный заместителем или заместителями, выбираемыми среди неинтерферирующих заместителей, или 5-14-членный гетероцикл с 1-3 гетероатомами, причем вышеуказанный гетероцикл является насыщенным или ненасыщенным и возможно замещен заместителем или заместителями, выбираемыми среди неинтерферирующих заместителей;
причем неинтерферирующие заместители выбирают независимо из группы, состоящей из радикалов (C1-С8)-алкила, (C2-С8)-алкенила, (C2-С8)-алкинила, (C7-С12)-аралкила, (C7-С12)-алкиларила, (C3-С8)-циклоалкила, (C3-С8)-циклоалкенила, фенила, толуила, ксиленила, бифенила, (C1-С8)-алкоксила, (C2-С8)-алкенилоксигруппы, (C2-С8)-алкинилоксигруппы, (C2-С12)алкоксиалкила, (C2-С12)-алкоксиалкилоксигруппы, (C2-С12)-алкилкарбонила, (C2-С12)-алкилкарбониламиногруппы, (C2-С12)-алкоксиаминогруппы, (C2-С12)-алкоксиаминокарбонила, (C1-С12)-алкиламиногруппы, (C1-С6)-алкилтиогруппы, (C2-С12)-алкилтиокарбонила, (C1-С8)-алкилсульфинила, (C1-С8)-алкилсульфонила, (C2-С8)-галогеналкоксила, (C1-С8)-галогеналкилсульфонила, (C2-С8)-галогеналкила, (C1-С8)-гидроксиалкила, -С(О)О((C1-С8)-алкила), -(СН2)n-O-((C1-С8)-алкила), бензилоксигруппы, феноксигруппы, фенилтиогруппы, CONHSO2R, -CHO, аминогруппы, амидиногруппы, атома брома, карбамоила, карбоксила, карбалкоксила, (СН2)n-СO2Н, атома хлора, цианогруппы, цианогуанидинила, атома фтора, гуанидиногруппы, гидразидной группы, гидразиногруппы, гидразидогруппы, гидроксила, гидроксиаминогруппы, атома иода, нитрогруппы, фосфоногруппы, -SО3Н, тиоацетальной группы, тиокарбонила, причем
n означает целое число от 1 до 8;
R означает (C1-С8)-алкил;
или соединения общей формулы (IVB)

в которой R1 выбирают из группы, состоящей из атома галогена и (C1-С6)-алкила или (C1-С6)-алкоксила;
R2 выбирают из группы, состоящей из одного из фенильного или бензильного радикалов, возможно замещенных в ароматическом цикле атомом галогена или (C1-С6)-алкилом, (C1-С6)-алкоксилом, аминогруппой, алкиламиногруппой, диалкиламиногруппой, карбоксилом, карбамоилом, (C1-С6)-ацилом, сульфонилом, тиольной группой или алкилтиогруппой; и (C3-С7)-циклоалкила, причем вышеуказанный (C3-С7)-циклоалкил может быть конденсирован с бензольным циклом или гетероциклом и может быть замещен атомом галогена или (C1-С6)-алкилом;
R3 выбирают из группы, состоящей из атома галогена и (C1-С6)-алкила;
R4 выбирают из группы, состоящей из -Н, -ОН, -N3 и -NНСОСН3;
– или фармацевтически приемлемые соли соединений общей формулы (IB), (IIB), (IIIB) или (IVB).
Согласно другому предпочтительному варианту ингибиторы фосфолипаз А2 могут быть выбраны из группы, состоящей из мепакрина, аристолоховой кислоты и их аналогов, а также фармацевтически приемлемых солей этих соединений.
Объектом изобретения более предпочтительно является продукт, такой как указанный выше, отличающийся тем, что
ингибитор или ингибторы NO-синтаз выбирают из группы, состоящей из L-нитроаргинина (LNA), метилового эфира L-нитроаргинина (LNAME), L-N-монометиларгинина (LNMMA), аминогуанидина, агматина, 2-амино-1-(метиламино)-бензимидазола, 5-нитроиндазола, 6-нитроиндазола, 7-нитроандазола, 1,2-(трифторметилфенил)имидазола (TRIM), 2-амино-4-метил-6-(2-аминоэтил)пиридина, 2-иминопиперидина, 2-иминогомопиперидина, 2-имино-5,6-дигидро-1,3-тиазина, 2-имино-5,6-дигидро-1,3-оксазина, N-фенил-2-тиофенкарбоксимидамида, 2-иминотетрагидропиримидина, S-этилизотиомочевины, S-метил-L-тиоцитруллина, S-этил-L-тиоцитруллина, (S)-N-{4-[4-[(3,4-дигидро-6-гидрокси-2,5,7,8-тетраметил-2Н-1-бензопиран-2-ил)карбонил]-1-пиперазинил]фенил}-2-тиофенкарбоксимидамида и 4-[3,5-бис(1,1-диметилэтил)-4-гидроксифенил]-N-{4-[(имино(2-тиенил)метил)амино]фенил}-N-метил-2-тиазолметанамина, а также фармацевтически приемлемых солей этих соединений; и
– ингибитор или ингибиторы фосфолипаз А2 выбирают из группы, состоящей из мепакрина и аристолоховой кислоты и их аналогов, а также фармацевтически приемлемых солей этих соединений.
Еще более предпочтительно объектом изобретения является продукт, такой как указанный выше, отличающийся тем, что:
– ингибитор или ингибиторы NO-синтаз выбирают из группы, состоящей из аминогуанидина, 7-нитроиндазола и 4-[3,5-бис(1,1-диметилэтил)-4-гидроксифенил]-N-{4-[(имино(2-тиенил)метил)амино]фенил}-N-метил-2-тиазолметанамина, а также фармацевтитчески приемлемых солей вышеуказанных соединений;
и ингибитор или ингибиторы фосфолипаз А2 выбирают из группы, состоящей из мепакрина и аристолоховой кислоты и их аналогов, а также фармацевтически приемлемых солей этих соединений.
Как уже указано, продукт согласно изобретению может быть использован при лечении патологий, в случае которых принимают участие монооксид азота и/или фосфолипазы А2. Эти патологии включают, в частности, сердечно-сосудистые и цереброваскулярные нарушения, расстройства центральной или периферической нервной системы, пролиферативные и воспалительные заболевания, диареи, рвоты, радиоактивные облучения, солнечные облучения, трансплантации органов, аутоиммунные и вирусные заболевания, рак и в более широком смысле все патологии, характеризующиеся либо чрезмерной продукцией монооксида азота и/или фосфолипаз А2, либо дисфункцией, связанной с монооксидом азота и/или фосфолипазами А2.
Согласно предпочтительному варианту продукт согласно изобретению может быть использован при лечении патологий, выбираемых среди пролиферативных и воспалительных заболеваний, таких как атеросклероз, легочная гипертензия, гломерулонефрит, портальная гипертензия, псориаз, артроз и ревматоидный артрит, фиброзы, амилоидозы и воспаления желудочно-кишечной системы или легочной системы и дыхательных путей.
Согласно другому предпочтительному варианту продукт согласно изобретению может быть использован при лечении аутоиммункых и вирусных заболеваний, таких как волчанка, СПИД, паразитарные и вирусные инфекции, диабет, рассеянный склероз и миопатии.
Объектом изобретения является также фармацевтическая композиция, включающая в качестве действующего начала по меньшей мере одно вещество, ингибирующее NO-синтазы, и по меньшей мере одно вещество, ингибирующее фосфолипазы А2, и в случае необходимости фармацевтически приемлемый носитель.
Предпочтительно, вышеуказанная фармацевтическая композиция включает в качестве действующего начала вещество, ингибирующее NO-синтазы, и вещество, ингибирующее фосфолипазы А2.
В общем, фармацевтические композиции согласно изобретению включают продукт, такой как описанный выше, причем сохраняются те же самые предпочтительные указания.
В фармацевтической композиции или в продукте согласно изобретению ингибитор NO-синтаз и ингибитор фосфолипаз А2 могут находиться в дозах, которые могут быть одинаковыми или разными. Дозировки выбирают в зависимости от соединений, комбинируемых с соответствующими разбавителями или эксципиентами.
Ингибитор NO-синтаз и ингибитор фосфолипаз А2 могут быть введены одновременно или последовательно одним и тем же путем введения или разными путями в зависимости от того, находятся ли они в отдельной или комбинированной форме. Путями введения предпочтительно являются пероральный, парентеральный или локальный.
Фармацевтические композиции согласно изобретению могут быть в форме твердого вещества, как, например, порошки, гранулы, таблетки, желатиновые капсулы, липосомы или суппозитории. Соответствующими твердыми носителями могут быть, например, фосфат кальция, стеарат магния, тальк, сахара, лактоза, декстрин, крахмал, желатин, целлюлоза, метилцеллюлоза, натриевая соль карбоксиметилцеллюлозы, поливинилпирролидон и воск.
Фармацевтические композиции, включающие продукт согласно изобретению, могут также находиться в жидкой форме, как, например, растворы, эмульсии, суспензии или сиропы. Соответствующими жидкими носителями могут быть, например, вода, органические растворители, такие как глицерин или гликоли, а также их смеси в различных соотношениях с водой.
Ингибиторы NO-синтаз и ингибиторы фосфолипаз А2 являются промышленными продуктами или могут быть получены известными специалисту способами (или по аналогии с этими способами). В частности, соединения общей формулы (IIIA) описаны в заявках РСТ WO-98/42696 и WO-98/58934, а соединения общих формул (IB) и (I’B), (IIB), (IIIB) и (IVB) описаны соответственно в заявках на патенты РСТ WO-98/05637, WO-99/57100, WO-00/07591 и WO-00/27824.
Если только они не уточнены другим образом, все технические и научные термины, используемые в настоящем описании, имеют то же самое значение, что и таковое, обычно понятное обычному специалисту в области, к которой относится настоящее изобретение. Также все публикации, заявки на патенты, все патенты и все другие ссылки, указанные здесь, включены путем ссылки.
Следующие примеры представлены для пояснения вышеуказанных методик и никоим образом не должны рассматриваться как ограничение объема охраны изобретения.
Экспериментальная часть
Фармакологическое исследование продуктов согласно изобретению
Активность соединений согласно изобретению оценивали in vivo при использовании модели отека за счет каррагенина на лапе крысы.
Самцов крыс Sprague Dawley (Charles River) массой 170-180 г до дня эксперимента содержали в течение 5-8 дней в условиях питомника подопытных животных и в течение 18 часов до и в течение эксперимента содержали натощак в клетках. Группы состояли из 8 животных. Продукты вводили интраперитонеально (ip, 2 мл/кг) за 30 минут до введения путем инъекции 1 % (раствора) каррагенина подподошвенным путем в заднюю правую лапу крыс. Соответствующий отеку объем лапы определяли с помощью водного плетизмометра (Ugo Basile, APELEX) до инъекции каррагенина (t0) и спустя 3 часа после инъекции. Объем лапы позволяет определить % воспаления (объем лапы во время t после каррагенина – объем этой же лапы во время t0 до инъекции продуктов/объем лапы во время t0)×100). Любой продукт, способный в значительной степени уменьшать интенсивность отека (% воспаления), рассматривается как эффективный. Эту эффективность статистически определяют путем теста Стьюдента.
В нижеприводимых примерах буквой А обозначают ингибитор NO-синтаз, а буквой В обозначают ингибитор фосфолипаз А2.
Пример 1
Соединение АВ – комбинация действующих начал А и В.
Соединение А: 7-нитроиндазол, ингибитор нейрональной формы NO-синтаз. Соединение В: мепакрин, ингибитор фосфолипазы А2.
Соединение примера 1: 4 группы животных представляли собой:
группа 1: обработанная с помощью эксципиент + каррагенин;
группа 2: обработанная с помощью А (25 мг/кг) + каррагенин;
группа 3: обработанная с помощью В (30 мг/кг) + каррагенин;
группа 4: обработанная с помощью АВ + каррагенин.
| № группы |
% воспаления |
| 1 |
58,9±4 |
| 2 |
72,5±16,1 |
| |
NS |
| 3 |
64,5±3,7 |
| |
NS |
| 4 |
28±6,2 |
| |
*** |
| (где: NS: непоказательный результат; ***: в высшей степени показательный результат) |
Результаты показывают, что 7-нитроиндазол (ингибитор нейрональной формы NO-синтазы) и мепакрин неактивны в отношении защиты животного от отека, вызываемого каррагенином. Напротив, комбинация этих двух соединений в высшей степени значительным образом защищает животных от отека, вызываемого каррагенином.
Пример 2
Соединение АВ – комбинация действующих начал А и В в отдельной форме, причем в качестве соединения А: аминогуанидин, ингибитор индуцируемой формы NO-синтаз; и в качестве соединения В: мепакрин, ингибитор фосфолипаз А2.
Соединение примера 2: 4 группы животных представляли собой:
группа 1: обработанная с помощью эксципиент + каррагенин;
группа 2: обработанная с помощью А (400 мг/кг) + каррагенин;
группа 3: обработанная с помощью В (30 мг/кг) + каррагенин;
группа 4: обработанная с помощью АВ + каррагенин.
| № группы |
% воспаления |
| 1 |
54,3±2,5 |
| 2 |
53,1±3,4 |
| |
NS |
| 3 |
53,9±3,2 |
| |
NS |
| 4 |
33±5 |
| |
** |
| (где: NS: непоказательный результат; **: в высшей степени показательный результат) |
Результаты показывают, что аминогуанидин (ингибитор индуцируемой формы NO-синтазы) и мепакрин неактивны в отношении защиты животного от отека, вызываемого каррагенином. Напротив, комбинация этих двух соединений в высшей степени значительным образом защищает животных от отека, вызываемого каррагенином.
Пример 3
Соединение АВ – комбинация действующих начал А и В в отдельной форме, причем в качестве соединения А: аминогуанидин, ингибитор индуцируемой формы NO-синтаз; и в качестве соединения В: аристолоховая кислота, ингибитор фосфолипаз А2.
Соединение примера 3: 4 группы животных представляли собой:
группа 1: обработанная с помощью эксципиент + каррагенин;
группа 2: обработанная с помощью А (400 мг/кг) + каррагенин;
группа 3: обработанная с помощью В (30 мг/кг) + каррагенин;
группа 4: обработанная с помощью АВ + каррагенин.
| № группы |
% воспаления |
| 1 |
57,1±3,9 |
| 2 |
60,7±7,5 |
| |
NS |
| 3 |
68±5,1 |
| |
NS |
| 4 |
39,1±4,5 |
| |
** |
| (где: NS: непоказательный результат; **: в высшей степени показательный результат) |
Результаты показывают, что аминогуанидин (ингибитор индуцируемой формы NO-синтазы) и аристолоховая кислота неактивны в отношении защиты животного от отека, вызываемого каррагенином. Напротив, комбинация этих двух соединений в высшей степени значительным образом защищает животных от отека, вызываемого каррагенином.
Пример 4
Соединение АВ – комбинация действующих начал А и В в отдельной форме, причем в качестве соединения А: 4-[3,5-бис(1,1-диметилэтил)-4-гидроксифенил]-N-{4-[(имино(2-тиенил)метил)амино]фенил}-N-метил-2-тиазолметанамингидрохлорид, смешанный ингибитор нейрональной формы NO-синтаз и липидного перокисления; и в качестве соединения В: мепакрин, ингибитор фосфолипаз А2.
Соединение примера 4: 4 группы животных представляли собой:
группа 1: обработанная с помощью эксципиент + каррагенин;
группа 2: обработанная с помощью А (30 мг/кг) + каррагенин;
группа 3: обработанная с помощью В (30 мг/кг) + каррагенин;
группа 4: обработанная с помощью АВ + каррагенин.
| № группы |
% воспаления |
| 1 |
51,5±2,2 |
| 2 |
52,8±4,0 |
| |
NS |
| 3 |
51,9±2,7 |
| |
NS |
| 4 |
37,4±4,6 |
| |
 |
| (где: NS: непоказательный результат; *: показательный результат) |
В данном случае, тогда как 4-[3,5-бис(1,1-диметилэтил)-4-гидроксифенил]-N-{4-[(имино(2-тиенил)метил)амино]фенил}-N-метил-2-тиазолметанамингидрохлорид (ингибитор нейрональной формы NO-синтазы и антиоксидант) и мепакрин неактивны в отношении защиты животного от отека, вызываемого каррагенином, комбинация этих двух соединений в значительной степени защищает животных от отека, вызываемого каррагенином.
Экспериментальные результаты примеров 1, 2, 3 и 4, следовательно, показывают синергический эффект воздействия между этими двумя типами соединений.
Заключение
Результаты показывают, что ингибтор NO-синтазы и ингибитор фосфолипаз А2 неактивные сами по себе, оказывают противовоспалительное синергическое действие, когда они комбинированы.
Формула изобретения
1. Способ лечения патологии или нарушения, выбираемых среди воспалительных заболеваний, путем одновременного, раздельного или распределенного во времени применения по меньшей мере одного вещества, ингибирующего NO-синтазы, и по меньшей мере одного вещества, ингибирующего фосфолипазы А2.
2. Способ по п.1, отличающийся тем, что ингибирующим NO-синтазы веществом является ингибирующее нейрональную форму NO-синтаз вещество.
3. Способ по п.1, отличающийся тем, что ингибирующим NO-синтазы веществом является ингибирующее индуцируемую форму NO-синтаз вещество.
4. Способ по любому из пп.1-3, отличающийся тем, что ингибирующее NO-синтазы вещество и ингибирующее фосфолипазы А2 вещество используют в отдельной форме.
5. Способ по любому из пп.1-3, отличающийся тем, что ингибирующее NO-синтазы вещество и ингибирующее фосфолипазы А2 вещество используют в форме соли.
6. Способ по п.5, отличающийся тем, что соль получают из производного ингибирующего NO-синтазы вещества, содержащего по меньшей мере одну основную группу, и производного ингибирующего фосфолипазы А2 вещества, содержащего по меньшей мере одну кислотную группу.
7. Способ по любому из пп.1-6, отличающийся тем, что ингибитор или ингибиторы NO-синтаз выбирают из группы, состоящей из
– соединения общей формулы (IA)

в которой R1 означает один или несколько заместителей, выбираемых среди атома водорода и нитрогруппы, атома галогена, алкила или алкоксила;
или фармацевтически приемлемой соли этого соединения;
– соединения общей формулы (IIA)

в которой R1, и R2 означают независимо атом водорода или атом галогена, гидроксил, аминогруппу, алкил или алкоксил; или R1, и R2 связаны вместе и образуют фенил, конденсированный с имидазольным циклом, причем вышеуказанный фенил возможно замещен одним или несколькими заместителями, выбираемыми среди гидроксила, трифторметила, атома галогена, карбоксила, алкила, алкоксила или алкенила;
R3 означает атом водорода или алкил, аминогруппу, алкиламиногруппу или фенил, причем фенил возможно замещен одним или несколькими заместителями, выбираемыми среди гидроксила, трифторметила, атома галогена, карбоксила, алкила, низшего алкоксила или алкенила; и
R4 означает атом водорода или алкил, аминогруппу или алкиламиногруппу;
или фармацевтически приемлемой соли этого соединения;
– соединения общей формулы (IIIA)

в которой R0 означает Н или алкил;
А означает радикал

в котором R1, и R2 означают независимо атом водорода, атом галогена, группу ОН, линейный или разветвленный алкил с 1-6 атомами углерода, линейный или разветвленный алкоксил с 1-6 атомами углерода; и
R3 означает атом водорода, линейный или разветвленный алкил с 1-6 атомами углерода или радикал -COR4, где R4 означает алкил с 1-6 атомами углерода;
или радикал

в котором R3 означает атом водорода, линейный или разветвленный алкил с 1-6 атомами углерода или радикал -COR4, где R4 означает алкил с 1-6 атомами углерода;
В означает линейный или разветвленный алкил с 1-6 атомами углерода, фенил, пиридинил или пятичленный гетероцикл с 1-4 гетероатомами, выбираемыми среди О, S, N, и в частности: тиофен, фуран, пиррол или тиазол, атомы углерода которого возможно замещены одной или несколькими группами, выбираемыми среди линейного или разветвленного алкила с 1-6 атомами углерода, алкоксила с 1-6 атомами углерода или атома галогена;
Х означает -CO-N (R3)-Х’-, -NH-CO-X’-, -СH=, -СО- или связь, причем X’ означает -(СН2)n-, где n означает целое число от 0 до 6;
Y означает –Y’-, -CO-NH-Y’-, -Y-NH-CO-, -CO-Y’, –Y’-CO-, -N(R3)-Y’-, -Y’-N(R3)-, -Y’-СН2-N(R3)-СО-, -O-Y’-, -Y’-O-, -S-Y’-, -Y’-S-, -Y’-O-Y’-, -Y’-N(R3)–Y’- или связь, причем Y’ означает -(СН2)n-, где n означает целое число от 0 до 6;
Het означает гетероцикл с 1-5 гетероатомами, выбираемыми среди О, N, S, который может быть замещен одним или несколькими заместителями Х’-OR3, X’-NR3, Х’-S-R3 и такой, как, например: оксетан, пиррол, пирролидин, фуран, тетрагидрофуран, тиофен, тетрагидротиофен, сульфолан, пиперазин, гомопиперазин, 4-аминопиперидинимидазол, имидазолин, дигидроимидазол-2-он, дигидроимидазол-2-тион, оксазол, изоксазол, оксазолин, изоксазолин, оксазолидин, оксазолидинон, тиазол, тиазолин, тиазолидин, тиазолидинон, гидантоин, 1,2,4-триазол, 1,3,4-оксадиазол, 1,3,4-тиадиазол, 1,1-диоксид-1,2,5-тиадиазолидин, 1,2,4-триазол-3-он, тетразол, тетрагидропиридин, азетидин;
или фармацевтически приемлемой соли этого соединения;
ингибитор или ингибиторы фосфолипаз А2 выбирают из группы, состоящей из мепакрина, аристолоховой кислоты и их аналогов, а также фармацевтически приемлемых солей этих соединений.
8. Способ по любому из пп.1-6, отличающийся тем, что ингибитор или ингибиторы фосфолипаз А2 выбирают из группы, состоящей из соединений общей формулы (IB) или (I’B)

в которых R1 означает группу -Yl-Ar-Y2-Y3, в которой Y1 и Y2 означают независимо (C1-C12)-алкил, (C1-C12)-алкенил, (C1-C12)-алкоксил или (C2-C12)-алкенилоксигруппу, причем радикалы Y1 и Y2, в случае необходимости, могут быть прерваны одним или несколькими атомами кислорода; Аr означает арил, возможно замещенный одно- трехкратно заместителями, выбираемыми независимо среди групп R6, R7 и R8, и Y3 означает радикал -COOR17, -CONR17R17, -CONHCOR19, -CONHS(О)2R19, -CONHNHS(O)2R19 или Тz;
R2 означает -COOR17, -Y4-COOR17, -CONR17R17, -Y4-CONR17R17, CONHCOR19, -Y4-CONHCOR19, -CONHS(O)2R19, -Y4-CONHS(О)2R19, -CONHNHS(O)2R19, -Y4-CONHNHS(O)2R19, Tz или -CONHNHS(О)2R19, -Y4-CONHNHS(О)2R19, Tz или -Y4-Tz, причем Y4 означает (C1-C8)-алкил, (C1-C8)-алкенил, и причем радикал Y4, в случае необходимости, может быть прерван одним или несколькими атомами кислорода;
R3 означает радикал -CO-R9, в котором R9 означает радикал -Y5, арил или -Y5-арил, причем Y5 означает (C1-C19)-алкил, (C2-C19)-алкенил или (C2-C19)-алкинил, и причем радикал Y5, в случае необходимости, может быть прерван одним или несколькими атомами кислорода, а арил из значения радикала R9 может быть замещен одно- трехкратно заместителями, выбираемыми независимо среди групп R10, R11 и R12;
каждый радикал R4 означает независимо атом водорода, атом галогена, -СF3 -Y6, арил или -Y6-арил, причем Y6 означает (С1-С8)-алкил, (С2-С8)-алкенил или (С1-С8)-алкинил, и причем радикал Y6 в случае необходимости может быть прерван одним или несколькими атомами кислорода, а арил из значения радикала R4 может быть замещен одно-трехкратно заместителями, выбираемыми независимо среди групп R13, R14 и R15; и причем два соседних алкильных радикала Y6 вместе с атомами углерода, с которыми они связаны, могут образовывать 5-8-членный цикл, который сам в случае необходимости может быть замещен одним или двумя (С1-С4)-алкильными радикалами;
n означает число 2; и
m означает число 4;
Tz означает 1Н- или 2Н-тетразол-5-ил;
радикалы R6, R7, R8, R10, R11, R12, R13, R14, R15 и R16 выбирают независимо из группы, состоящей из (С1-С20)-алкила, (С2-С20) -алкенила или (С2-С20)-алкинила, возможно прерываемых одним или несколькими атомами кислорода; атома галогена, -СF3, -CN, -NO2 или -COCH2OH и пергалоген-(C1-С6)-алкенила, -OR17, -SR17, -COOR17, -COR18, -NHCOR17, -NR17R17, -NHS(O)2R17, -SOR17, -S(O)2R17, -CONR17R17, -S(O)2NR17R17, -OOCR18, -OOCNR17R17, -OOCOR17, -(CH2)rOR23, -(CH2)rSR23, -(CH2)rNHR23 или (СН2)sR20;
R17 означает независимо в каждом случае, когда он имеется, радикал -(СН2)tR20 или один из (C1-C20)-алкила, (С2-С20)-алкенила или (С2-С20) -алкинила, возможно прерываемых одним или несколькими атомами кислорода;
R18 означает, независимо, в каждом случае, когда он имеется, радикал R17, -СF3, -(СН2)uСООН или – (СН2)uCOOR21;
R19 означает независимо в каждом случае, когда он имеется, радикал R17 или СF3;
R20 означает независимо в каждом случае, когда он имеется, арил, замещенный одной или двумя группами R22;
R21 означает независимо в каждом случае, когда он имеется, (C1-С6)-алкил, бензил или фенил;
R22 означает независимо в каждом случае, когда он имеется, атом водорода, атом галогена, (C1-C12)-алкил, (C1-C12)-алкоксил, (C1-C12)-алкилтиогруппу, (C1-C12)-алкилсульфонил, (C1-C12)-алкилкарбонил, -СF3, -CN или -NO2;
R23 означает независимо в каждом случае, когда он имеется, атом водорода или радикал -COR21;
r означает целое число от 1 до 20;
s и t означают, независимо, целые числа от 0 до 12; и
u означает целое число от 0 до 4;
соединений общей формулы (IIB)

в которой обе группы Х означают атомы кислорода;
R1 выбирают из группы, состоящей из радикалов

в которых R10 выбирают, независимо, среди атома галогена и (C1-C10)-алкила, (C1-C10)-алкоксила, (C1-C10)алкилтиогруппы и (C1-C10)-галогеналкила и
t означает целое число от 0 до 5;
R2 выбирают среди атома галогена и циклопропила, метила, этила или пропила;
R4 и R5 выбирают независимо среди атома водорода, не интерферирующего заместителя или (кислотной) группы -La– (кислотная группа), при условии, что -La– в случае радикала R4 выбирают среди -O-СН2-, -S-CH2, -NH-CH2-, -СН2-СН2-, -О-СН(СН3)- и -О-СH(СН2-СН2-Рh)-, причем Ph означает фенил, и -La– в случае радикала R5 выбирают среди радикалов

в которых R84 и R85 выбирают независимо среди атома водорода, атома галогена и (С1-С10)-алкила, арила, (C1-C10)-алкиларила, арил-(C1-C10)-алкила, карбоксила или карбалкоксила;
при условии, что по меньшей мере один из R4 и R5 должен означать группу -La– (кислотная группа) и что (кислотную группу) в радикалах R4 и R5 выбирают среди -СО2Н, -SO3Н и -Р(O)(ОН)2;
R6 и R7 выбирают, независимо, среди атома водорода и не интерферирующего заместителя;
причем не интерферирующие заместители выбирают независимо из группы, состоящей из (C1-C6)-алкила, (C2-C6)-алкенила, (C2-C6)-алкинила, (C7-C18)-аралкила, (С7-С18)-алкиларила, (С3-С8)-циклоалкила, (С3-C8)-циклоалкенила, фенила, толуила, ксиленила, фенилметила, (C1-C6)-алкоксила, (С2-С6)-алкенилоксигруппы, (С2-С6)-алкинилоксигруппы, (С2-C12)-алкоксиалкила, (C2-C12)-алкоксиалкилоксигруппы, (C2-C12)-алкилкарбониламиногруппы, (C2-C12)-алкоксиаминогруппы, (C2-C12)-алкоксиаминокарбонила, (C2-C12)-алкиламиногруппы, (C1-C6)-алкилтиогруппы, (C2-C12)-алкилтиокарбонила, (C1-C6)-алкилсульфинила, (C1-C6)-алкилсульфонила, (С2-С6)-галогеналкоксила, (С2-С6)-галогеналкилсульфонила, (С2-С6)-галогеналкила, (C1-C6)-гидроксиалкила, -С(O)O((C1-C6)-алкила), -(СН2)n-O-((C1-C6)-алкила), бензилоксигруппы, феноксигруппы, фенилтиогруппы, -СНО, аминогруппы, амидиногруппы, атома брома, карбамоила, карбоксила, карбалкоксила, -(СН2)n-СО2Н, атома хлора, цианогруппы, цианогуанидинила, атома фтора, гуанидиногруппы, гидразидной группы, гидразиногруппы, гидразидогруппы, гидроксила, гидроксиаминогруппы, атома йода, нитрогруппы, фосфоногруппы, -SO3H, тиоацетальной группы, тиокарбонила и (C1-C6)-алкилкарбонила, причем
n означает целое число от 1 до 8;
соединений общей формулы (IIIB)

в которой R1 выбирают из групп (а), (b) и (с):
(а) означает (С7-С20)-алкил, (С7-С20)-галогеналкил, (С7-С20)-алкенил или (С7-С20)-алкинил, насыщенный или ненасыщенный 5-14-членный карбоцикл, возможно замещенный заместителем или заместителями, выбираемыми среди не интерферирующих заместителей, или (а) означает 5-14-членный гетероцикл с 1-3 гетероатомами, причем вышеуказанный гетероцикл является насыщенным или ненасыщенным и возможно замещен заместителем или заместителями, выбираемыми среди не интерферирующих заместителей;
(b) означает один из радикалов (а), замещенный одним или несколькими заместителями, выбираемыми среди не интерферирующих заместителей;
(c) означает группу -(L1)-R11, в которой – (L1) – означает группу, выбираемую среди групп, представленных формулами

в которых Q1 означает связь или одну из групп -СН2-, -О-, -S-, -NH- и -СО-, и каждая из групп R10 означает независимо атом водорода или (C1-C8)-алкил, (C1-C8)-галогеналкил или (C1-C8)-алкоксил; и
R11 означает группу, выбираемую среди групп (а) и (b);
R2 означает атом водорода, атом галогена или (C1-C4)-алкил, (C1-C4)-алкенил, -О- (C1-C3)-алкил, -S-(C1-C3)-алкил, (C1-C4)-циклоалкил, -СF3, -NO2, -CN или -SO3;
R3 означает – (L3) -Z, где
– (L3) – означает группу с двухвалентной связью, выбираемую среди связи и групп -СН2-, -О-, -S-, -NH- и -СО-;
и
Z выбирают среди ацетамидной, тиоацетамидной, глиоксиламидной, тиоглиоксиламидной, гидразидной или тиогидразидной групп, представленных общими формулами

в которых R31 и R32 выбирают независимо среди атома водорода и (C1-C8)-алкила, (C1-C8)-галогеналкила или (С3-С4)-циклоалкила; и
Х означает, независимо, в каждом случае, когда он имеется, атом кислорода или серы;
R4 и R5 выбирают, независимо, среди атома водорода, не интерферирующего заместителя или группы – (La) -(ацилсульфонамидная группа), в которой
– (La) – в случае радикала R4 означает группу, представленную формулой

в которой Q2 выбирают среди -СН3-, -О-, -NH-, -С (О)- и -S-;
и каждую из групп R40 выбирают независимо среди атома водорода, атома галогена и (C1-C8)-алкила, арила, (C1-C8)-алкиларила, (C1-C8)-алкоксила и аралкила;
– (La)- в случае радикала R5 выбирают среди групп, представленных формулами

в которых R54, R55, R56 и R57 выбирают независимо из группы, состоящей из атома водорода, атома галогена и (C1-C8)-алкила, (C1-C8)-алкоксила, (C1-C8)-галогеналкила и арила;
(ацилсульфонамидная) группа представляет собой группу формулы -CO-NH-SO2-R81, в которой R81 выбирают из группы, состоящей из -СF3, (C1-C8)-алкила, (C1-C8)-алкоксила, (C1-C8)-алкилтиогруппы, (C1-C8)-алкиламиногруппы, (C1-C8)-галогеналкила, арил-(C1-C14)-алкила, (C1-C14)-алкиларила, арила, тиоарила, (С3-С14)-циклоалкила и 3-14-членного гетероцикла, причем вышеуказанный гетероцикл включает 1-3 гетероатома и является насыщенным или ненасыщенным;
при условии, что по меньшей мере один из R4 и R5 означает группу – (La) -(ацилсульфонамидная группа);
R6 и R7 означают независимо атом водорода, не интерферирующий заместитель, насыщенный или ненасыщенный 5-14-членный карбоцикл, возможно замещенный заместителем или заместителями, выбираемыми среди не интерферирующих заместителей, или 5-14-членный гетероцикл с 1-3 гетероатомами, причем вышеуказанный гетероцикл является насыщенным или ненасыщенным и возможно замещен заместителем или заместителями, выбираемыми среди не интерферирующих заместителей;
причем не интерферирующие заместители выбирают, независимо, из группы, состоящей из (C1-C8)-алкила, (C2-C8)-алкенила, (C2-C8)-алкинила, (C7-C12)-аралкила, (C7-C12)-алкарила, (C3-C8)-циклоалкила, (C3-C8)-циклоалкенила, фенила, толуила, ксиленила, бифенила, (C1-C8)-алкоксила, (C2-C8)-алкенилоксигруппы, (C2-C8)-алкинилоксигруппы, (C2-C12)-алкоксиалкила, (C2-C12)-алкоксиалкилоксигруппы, (C2-C12)алкилкарбонила, (C2-C12)-алкилкарбониламиногруппы, (C2-C12)алкоксиаминогруппы, (C2-C12)-алкоксиаминокарбонила, (C1-C12)-алкиламиногруппы, (C1-C6)-алкилтиогруппы, (C2-C12)-алкилтиокарбонила, (C1-C8)-алкилсульфинила, (C1-C8)-алкилсульфонила, (C2-C8)-галогеналкоксила, (C1-C8)-галогеналкилсульфонила, (C2-C8)-галогеналкила, (C1-C8)-гидроксиалкила, -С(О)О((C1-C8)-алкила), -(CH2)n-O-((C1-C8)-алкила), бензилоксигруппы, феноксигруппы, фенилтиогруппы, -CONHSO2R, -СНО, аминогруппы, амидиногруппы, атома брома, карбамоила, карбоксила, карбалкоксила, -(СН2)n-СO2Н, атома хлора, цианогруппы, цианогуанидинила, атома фтора, гуанидиногруппы, гидразидной группы, гидразиногруппы, гидразидогруппы, гидроксила, гидроксиаминогруппы, атома йода, нитрогруппы, фосфоногруппы, -SO3H, тиоацетальной группы, тиокарбонила, причем
n означает целое число от 1 до 8; и
R означает (C1-C8)-алкил;
соединений общей формулы (IVB)

в которой R1 выбирают из группы, состоящей из атома галогена и (C1-C6)-алкила или (C1-C6)-алкоксила;
R2 выбирают из группы, состоящей из одного из фенильного или бензильного радикалов, возможно замещенных в ароматическом цикле атомом галогена или (C1-C6)-алкилом, (C1-C6)-алкоксилом, аминогруппой, алкиламиногруппой, диалкиламиногруппой, карбоксилом, карбамоилом, (C1-C8)-ацилом, сульфонилом, тиольной группой или алкилтиогруппой; и (С3-С7)-циклоалкила, причем вышеуказанный (С3-С7)-циклоалкил может быть конденсирован с бензольным циклом или гетероциклом и может быть замещен атомом галогена или (C1-C6)-алкилом;
R3 выбирают из группы, состоящей из атома галогена и (C1-C6)-алкила; и
R4 выбирают из группы, состоящей из -Н, -ОН, -N3 и -NHCOCH3;
и фармацевтически приемлемых солей соединений общей формулы (IB), (IIB), (IIIB) или (IVB).
9. Способ по п.1, отличающийся тем, что ингибитор или ингибиторы NO-синтаз выбирают из группы, состоящей из L-нитроаргинина (LNA), метилового эфира L-нитроаргинина (LNAME), L-N-монометиларгинина (LNMMA), аминогуанидина, агматина, 2-амино-1-(метиламино)-бензимидазола, 5-нитроиндазола, 6-нитроиндазола, 7-нитроандазола, 1,2-(трифторметилфенил) имидазола (TRIM), 2-амино-4-метил-6-(2-аминоэтил)пиридина, 2-имино-пиперидина, 2-иминогомопиперидина, 2-имино-5,6-дигидро-1,3-тиазина, 2-имино-5,6-дигидро-1,3-оксазина, N-фенил-2-тиофенкарбоксимидамида, 2-иминотетрагидропиримидина, S-этилизотиомочевины, S-метил-L-тиоцитруллина, 3-этил-L-тиоцитруллина, (S)-N-{4-[4-[(3,4-дигидро-6-гидрокси-2,5,7,8-тетраметил-2Н-1-бензопиран-2-ил)карбонил]-1-пиперазинил]фенил}-2-тиофенкарбоксимидамида и 4-[3,5-бис(1,1-диметилэтил)-4-гидроксифенил]-N-{4-[(имино(2-тиенил)метил)амино]фенил}-N-метил-2-тиазолметанамина, а также фармацевтически приемлемых солей этих соединений; и ингибитор или ингибиторы фосфолипаз А2 выбирают из группы, состоящей из мепакрина и аристолоховой кислоты и их аналогов, а также фармацевтически приемлемых солей этих соединений.
10. Способ по п.9, отличающийся тем, что ингибитор или ингибиторы NO-синтаз выбирают из группы, состоящей из аминогуанидина, 7-нитроиндазола и 4-[3,5-бис(1,1-диметилэтил)-4-гидроксифенил]-N-{4-[(имино(2-тиенил)метил)амино] фенил}-N-метил-2-тиазолметанамина, а также фармацевтически приемлемых солей вышеуказанных соединений; и ингибитор или ингибиторы фосфолипаз А2 выбирают из группы, состоящей из мепакрина и аристолоховой кислоты и их аналогов, а также фармацевтически приемлемых солей этих соединений.
11. Способ по любому из пп.1-10, отличающийся тем, что патологии или нарушения выбирают среди воспалительных заболеваний, таких как гломерулонефрит, псориаз, ревматоидный артрит и воспаления желудочно-кишечной системы или легочной системы и дыхательных путей.
12. Комбинация, включающая по меньшей мере одно вещество, ингибирующее NO-синтазы, и по меньшей мере одно вещество, ингибирующее фосфолипазы А2, для использования в способе по п.1.
13. Комбинация по п.12, отличающаяся тем, что ингибирующим NO-синтазы веществом является ингибирующее нейрональную форму NO-синтаз вещество.
14. Комбинация по п.12, отличающаяся тем, что ингибирующим NO-синтазы веществом является ингибирующее индуцируемую форму NO-синтаз вещество.
15. Комбинация по любому из пп.12-14, отличающаяся тем, что ингибирующее NO-синтазы вещество и ингибирующее фосфолипазы А2 вещество используют в отдельной форме.
16. Комбинация по любому из пп.12-14, отличающаяся тем, что ингибирующее NO-синтазы вещество и ингибирующее фосфолипазы А2 вещество используют в форме соли.
17. Комбинация по п.16, отличающаяся тем, что соль получают из производного ингибирующего NO-синтазы вещества, содержащего по меньшей мере одну основную группу, и производного ингибирующего фосфолипазы А2 вещества, содержащего по меньшей мере одну кислотную группу.
18. Комбинация по любому из пп.12-17, отличающаяся тем, что ингибитор или ингибиторы NO-синтаз выбирают из группы, состоящей из
– соединения общей формулы (IA)

в которой R1, означает один или несколько заместителей, выбираемых среди атома водорода и нитрогруппы, атома галогена, алкила или алкоксила;
или фармацевтически приемлемой соли этого соединения;
– соединения общей формулы (IIA)

в которой R1, и R2 означают независимо атом водорода или атом галогена, гидроксил, аминогруппу, алкил или алкоксил; или R1, и R2 связаны вместе и образуют фенил, конденсированный с имидазольным циклом, причем вышеуказанный фенил возможно замещен одним или несколькими заместителями, выбираемыми среди гидроксила, трифторметила, атома галогена, карбоксила, алкила, алкоксила или алкенила;
R3 означает атом водорода или алкил, аминогруппу, алкиламиногруппу или фенил, причем фенил возможно замещен одним или несколькими заместителями, выбираемыми среди гидроксила, трифторметила, атома галогена, карбоксила, алкила, низшего алкоксила или алкенила; и
R4 означает атом водорода или алкил, аминогруппу или алкиламиногруппу;
или фармацевтически приемлемой соли этого соединения;
– соединения общей формулы (IIIA)

в которой R0 означает Н или алкил;
А означает радикал

в котором R1, и R2 означают независимо атом водорода, атом галогена, группу ОН, линейный или разветвленный алкил с 1-6 атомами углерода, линейный или разветвленный алкоксил с 1-6 атомами углерода; и
R3 означает атом водорода, линейный или разветвленный алкил с 1-6 атомами углерода или радикал -COR4, где R4 означает алкил с 1-6 атомами углерода;
или радикал

в котором R3 означает атом водорода, линейный или разветвленный алкил с 1-6 атомами углерода или радикал -COR4, где R4 означает алкил с 1-6 атомами углерода;
В означает линейный или разветвленный алкил с 1-6 атомами углерода, фенил, пиридинил или пятичленный гетероцикл с 1-4 гетероатомами, выбираемыми среди О, S, N, и в частности: тиофен, фуран, пиррол или тиазол, атомы углерода которого возможно замещены одной или несколькими группами, выбираемыми среди линейного или разветвленного алкила с 1-6 атомами углерода, алкоксила с 1-6 атомами углерода или атома галогена;
Х означает -CO-N(R3)-Х’-, -NH-CO-X’-, -СН=, -СО- или связь, причем X’ означает -(СН2)n-, где n означает целое число от 0 до 6;
Y означает –Y’-, -CO-NH-Y’-, -Y-NH-CO-, -CO-Y’-, -Y’-CO-, -N(R3)-Y’-, -Y’-N(R3)-, -Y’-СН2-N(R3)-СО-, -O-Y’-, -Y’-O-, -S-Y’-, -Y’-S-, -Y’-O-Y’, –Y’-N (R3)-Y’- или связь, причем Y’ означает -(СН2)n-, где n означает целое число от 0 до 6;
Het означает гетероцикл с 1-5 гетероатомами, выбираемыми среди О, N, S, который может быть замещен одним или несколькими заместителями Х’-OR3, X’-NR3, Х’-S-R3 и такой, как, например: оксетан, пиррол, пирролидин, фуран, тетрагидрофуран, тиофен, тетрагидротиофен, сульфолан, пиперазин, гомопиперазин, 4-аминопиперидинимидазол, имидазолин, дигидроимидазол-2-он, дигидроимидазол-2-тион, оксазол, изоксазол, оксазолин, изоксазолин, оксазолидин, оксазолидинон, тиазол, тиазолин, тиазолидин, тиазолидинон, гидантоин, 1,2,4-триазол, 1,3,4-оксадиазол, 1,3,4-тиадиазол, 1,1-диоксид-1,2,5-тиадиазолидин, 1,2,4-триазол-3-он, тетразол, тетрагидропиридин, азетидин;
или фармацевтически приемлемой соли этого соединения;
ингибитор или ингибиторы фосфолипаз А2 выбирают из группы, состоящей из мепакрина, аристолоховой кислоты и их аналогов, а также фармацевтически приемлемых солей этих соединений.
19. Комбинация по любому из пп.12-17, отличающаяся тем, что ингибитор или ингибиторы фосфолипаз А2 выбирают из группы, состоящей из
соединений общей формулы (IB) или (I’B)

в которых R1 означает группу -Y1-Ar-Y2-Y3, в которой Y1 и Y2 означают, независимо, (C1-C12)-алкил, (C1-C12)-алкенил, (C1-C12)-алкоксил или (C1-C12)-алкенилоксигруппу, причем радикалы Y1 и Y2, в случае необходимости, могут быть прерваны одним или несколькими атомами кислорода; Аr означает арил, возможно замещенный одно- трехкратно заместителями, выбираемыми независимо среди групп R6, R7 и R8, и Y3 означает радикал -COOR17, -CONR17R17, -CONHCOR19, -CONHS(О)2R19, -CONHNHS(O)2R19 или Tz;
R2 означает -COOR17, -Y4-COOR17, -CONR17R17, -Y4-CONR17R17, CONHCOR19, -Y4-CONHCOR19, -CONHS(O)2R19, -Y4-CONHS(О)2R19, -CONHNHS(О)2R19, -Y4-CONHNHS(О)2R19, Тr или -CONHNHS(О)2R19, -Y4-CONHNHS(О)2R19, Tz или -Y4-Tz, причем Y4 означает (C1-C8)-алкил, (C2-C8)-алкенил, и причем радикал Y4, в случае необходимости, может быть прерван одним или несколькими атомами кислорода;
R3 означает радикал -CO-R9, в котором R9 означает радикал -Y5, арил или -Y5-арил, причем Y5 означает (C1-C19)-алкил, (C2-C19)-алкенил или (С2-C19)-алкинил, и причем радикал Y5, в случае необходимости, может быть прерван одним или несколькими атомами кислорода, а арил из значения радикала R9 может быть замещен одно- трехкратно заместителями, выбираемыми независимо среди групп R10, R11 и R12;
каждый радикал R4 означает, независимо, атом водорода, атом галогена, -СF3 -Y6, арил или -Y6-арил, причем Y6 означает (C1-C8)-алкил, (C2-C8)-алкенил или (C1-C8)-алкинил, и причем радикал Y6, в случае необходимости, может быть прерван одним или несколькими атомами кислорода, а арил из значения радикала R4 может быть замещен одно-трехкратно заместителями, выбираемыми независимо среди групп R13, R14 и R15; и причем два соседних алкильных радикала Y6 вместе с атомами углерода, с которыми они связаны, могут образовывать 5-8-членный цикл, который сам в случае необходимости может быть замещен одним или двумя (C1-C4)-алкильными радикалами;
n означает число 2; и
m означает число 4;
Tz означает 1Н- или 2Н-тетразол-5-ил;
радикалы R6, R7, R8, R10, R11, R12, R13, R14, R15 и R16 выбирают независимо из группы, состоящей из (C1-C20)-алкила, (C2-C20)-алкенила или (C2-C20)-алкинила, возможно прерываемых одним или несколькими атомами кислорода; атома галогена, -СF3, -CN, -NO2 или -СОСН2OН и пергалоген-(C1-С6) -алкенила, -OR17, -SR17, -COOR17, -COR18, -NHCOR17, -NR17R17, -NHS(O)2R17, -SOR17, -S(O)2R17, -CONR17R17, -S(O)2NR17R17, -OOCR18, -OOCNR17R17, -OOCOR17, -(CH2)rOR23, -(CH2)rSR23, – (CH2)rNHR23 или (CH2)sR20;
R17 означает независимо в каждом случае, когда он имеется, радикал -(СН2)tR20 или один из (C1-C20)-алкила, (C2-C20)-алкенила или (C2-C20)-алкинила, возможно прерываемых одним или несколькими атомами кислорода;
R18 означает независимо в каждом случае, когда он имеется, радикал R17, -СF3, -(CH2)uCOOH или – (CH2)uCOOR21;
R19 означает независимо в каждом случае, когда он имеется, радикал R17 или СF3;
R20 означает независимо в каждом случае, когда он имеется, арил, замещенный одной или двумя группами R22;
R21 означает независимо в каждом случае, когда он имеется, (C1-C6)-алкил, бензил или фенил;
R22 означает независимо в каждом случае, когда он имеется, атом водорода, атом галогена, (C1-C12)-алкил, (C1-C12)-алкоксил, (C1-C12)-алкилтиогруппу, (C1-C12)-алкилсульфонил, (C1-C12)-алкилкарбонил, -СF3, -CN или -NO2;
R23 означает независимо в каждом случае, когда он имеется, атом водорода или радикал -COR21;
r означает целое число от 1 до 20;
s и t означают, независимо, целые числа от 0 до 12; и
u означает целое число от 0 до 4;
соединений общей формулы (IIB)

в которой обе группы Х означают атомы кислорода;
R1 выбирают из группы, состоящей из радикалов

и в которых R10 выбирают независимо среди атома галогена и (C1-C10)-алкила, (C1-C10)-алкоксила, (C1-C10)алкилтиогруппы и (C1-C10)-галогеналкила и
t означает целое число от 0 до 5;
R2 выбирают среди атома галогена и циклопропила, метила, этила или пропила;
R4 и R5 выбирают независимо среди атома водорода, не интерферирующего заместителя или (кислотной) группы -La– (кислотная группа), при условии, что -La– в случае радикала R4 выбирают среди -O-СН2-, -S-CH2-, -NH-СН2-, -СН2-СН2-, -О-СН(СН3)- и -О-СH(CH2-CH2-Рh)-, причем Ph означает фенил, и -La– в случае радикала R5 выбирают среди радикалов

в которых R84 и R85 выбирают независимо среди атома водорода, атома галогена и (C1-C10)-алкила, арила, (C1-C10)-алкиларила, арил-(C1-C10)-алкила, карбоксила или карбалкоксила;
при условии, что по меньшей мере один из R4 и R5 должен означать группу -La– (кислотная группа) и что (кислотную группу) в радикалах R4 и R5 выбирают среди -СO2Н, -SO3Н и -Р(O)(ОН)2;
R6 и R7 выбирают независимо среди атома водорода и не интерферирующего заместителя;
причем не интерферирующие заместители выбирают независимо из группы, состоящей из (C1-C6)-алкила, (C2-C6)-алкенила, (C2-C6)-алкинила, (C7-C18)-аралкила, (С7-С18)-алкиларила, (С3-С8)-циклоалкила, (С3-C8)-циклоалкенила, фенила, толуила, ксиленила, фенилметила, (C1-C6)-алкоксила, (С2-С6)-алкенилоксигруппы, (С2-С6)-алкинилоксигруппы, (С2-С12)-алкоксиалкила, (C2-C12)-алкоксиалкилоксигруппы, (C2-C12)-алкилкарбониламиногруппы, (C2-C12)-алкоксиаминогруппы, (C2-C12)-алкоксиаминокарбонила, (C2-C12)-алкиламиногруппы, (C1-C6)алкилтиогруппы, (C2-C12)-алкилтиокарбонила, (C1-C6)-алкилсульфинила, (C1-C6)-алкилсульфонила, (С2-С6)-галогеналкоксила, (С2-С6)-галогеналкилсульфонила, (С2-С6)-галогеналкила, (C1-C6)-гидроксиалкила, -С(O)O((C1-C6)-алкила), -(СН2)n-O-((C1-C6)-алкила), бензилоксигруппы, феноксигруппы, фенилтиогруппы, -СНО, аминогруппы, амидиногруппы, атома брома, карбамоила, карбоксила, карбалкоксила, -(СН2)n-СО2Н, атома хлора, цианогруппы, цианогуанидинила, атома фтора, гуанидиногруппы, гидразидной группы, гидразиногруппы, гидразидогруппы, гидроксила, гидроксиаминогруппы, атома йода, нитрогруппы, фосфоногруппы, -SO3Н, тиоацетальной группы, тиокарбонила и (C1-C6)-алкилкарбонила, причем
n означает целое число от 1 до 8;
соединений общей формулы (IIIB)

в которой R1 выбирают из групп (а), (b) и (с):
(а) означает (С7-С30)-алкил, (С7-С30)-галогеналкил, (С7-С20)-алкенил или (С7-С20)-алкинил, насыщенный или ненасыщенный 5-14-членный карбоцикл, возможно замещенный заместителем или заместителями, выбираемыми среди не интерферирующих заместителей, или (а) означает 5-14-членный гетероцикл с 1-3 гетероатомами, причем вышеуказанный гетероцикл является насыщенным или ненасыщенным и возможно замещен заместителем или заместителями, выбираемыми среди не интерферирующих заместителей;
(b) означает один из радикалов (а), замещенный одним или несколькими заместителями, выбираемыми среди не интерферирующих заместителей;
(c) означает группу -(L1)-R11, в которой – (L1) – означает группу, выбираемую среди групп, представленных формулами

в которых Q1 означает связь или одну из групп -СН2-, -О-, -S-, -NH- и -СО-, и каждая из групп R10 означает независимо атом водорода или (C1-C8)-алкил, (C1-C8)-галогеналкил или (C1-C8)-алкоксил; и
R11 означает группу, выбираемую среди групп (а) и (b);
R2 означает атом водорода, атом галогена или (C1-C4)-алкил, (C1-C4)-алкенил, -О- (C1-C3)-алкил, -S-(C1-C3)-алкил, (C1-C4)-циклоалкил, -СF3, -NO2, -CN или -SO3;
R3 означает – (L3) -Z, где
(L3) – означает группу с двухвалентной связью, выбираемую среди связи и групп -CH2-, -О-, -S-, -NH- и -СО-; и
Z выбирают среди ацетамидной, тиоацетамидной, глиоксиламидной, тиоглиоксиламидной, гидразидной или тиогидразидной групп, представленных общими формулами

в которых R31 и R32 выбирают независимо среди атома водорода и (C1-C8)-алкила, (C1-C8)-галогеналкила или (С3-С4)-циклоалкила; и
Х означает независимо в каждом случае, когда он имеется, атом кислорода или серы;
R4 и R5 выбирают независимо среди атома водорода, не интерферирующего заместителя или группы – (La) -(ацилсульфонамидная группа), в которой
– (La) – в случае радикала R4 означает группу, представленную формулой

в которой Q2 выбирают среди -СН3-, -О-, -NH-, -С(О)- и -S-;
и каждую из групп R40 выбирают независимо среди атома водорода, атома галогена и (C1-C8)-алкила, арила, (C1-C8)-алкиларила, (C1-C8)-алкоксила и аралкила;
– (La)- в случае радикала R5 выбирают среди групп, представленных формулами

в которых R54, R55, R56 и R57 выбирают независимо из группы, состоящей из атома водорода, атома галогена и (C1-C8)-алкила, (C1-C8)-алкоксила, (C1-C8)-галогеналкила и арила;
(ацилсульфонамидная) группа представляет собой группу формулы -CO-NH-SO2-R81, в которой R81 выбирают из группы, состоящей из –СF3 (C1-C8)-алкила, (C1-C8)-алкоксила, (C1-C8)-алкилтиогруппы, (C1-C8)-алкиламиногруппы, (C1-C8)-галогеналкила, арил-(C1-C14) -алкила, (C1-C14)-алкиларила, арила, тиоарила, (C3-C14)-циклоалкила и 3-14-членного гетероцикла, причем вышеуказанный гетероцикл включает 1-3 гетероатома и является насыщенным или ненасыщенным;
при условии, что по меньшей мере один из R4 и R5 означает группу – (La) -(ацилсульфонамидная группа);
R6 и R7 означают независимо атом водорода, не интерферирующий заместитель, насыщенный или ненасыщенный 5-14-членный карбоцикл, возможно замещенный заместителем или заместителями, выбираемыми среди не интерферирующих заместителей, или 5-14-членный гетероцикл с 1-3 гетероатомами, причем вышеуказанный гетероцикл является насыщенным или ненасыщенным и возможно замещен заместителем или заместителями, выбираемыми среди не интерферирующих заместителей;
причем не интерферирующие заместители выбирают независимо из группы, состоящей из (C1-C8)-алкила, (C2-C8)-алкенила, (С2-С8)-алкинила, (С7-С12)-аралкила, (C7-C12)-алкарила, (С3-С8)-циклоалкила, (С3-C8)-циклоалкенила, фенила, толуила, ксиленила, бифенила, (C1-C8)-алкоксила, (C2-C8)-алкенилоксигруппы, (С2-С8)-алкинилоксигруппы, (C2-C8)-алкоксиалкила, (C2-C12)-алкоксиалкилоксигруппы, (С2-С12)алкилкарбонила, (C2-C12)-алкилкарбониламиногруппы, (C2-C12)алкоксиаминогруппы, (C2-C12)-алкоксиаминокарбонила, (С2-C12)алкиламиногруппы, (С1-С6)-алкилтиогруппы, (C2-C12)-алкилтиокарбонила, (C1-C8)-алкилсульфинила, (C1-C8)-алкилсульфонила, (C2-C8)-галогеналкоксила, (C1-C8)-галогеналкилсульфонила, (С2-С8)-галогеналкила, (C1-C8)-гидроксиалкила, -С(О)О((C1-C8)-алкила), -(CH2)n-O-((C1-C8)-алкила), бензилоксигруппы, феноксигруппы, фенилтиогруппы, -CONHSO2R, -СНО, аминогруппы, амидиногруппы, атома брома, карбамоила, карбоксила, карбалкоксила, – (СН2)n-СO2Н, атома хлора, цианогруппы, цианогуанидинила, атома фтора, гуанидиногруппы, гидразидной группы, гидразиногруппы, гидразидогруппы, гидроксила, гидроксиаминогруппы, атома йода, нитрогруппы, фосфоногруппы, -SO3Н, тиоацетальной группы, тиокарбонила, причем
n означает целое число от 1 до 8; и
R означает (C1-C8)-алкил;
соединений общей формулы (IVB)

в которой R1 выбирают из группы, состоящей из атома галогена и (C1-C6)-алкила или (C1-C6)-алкоксила;
R2 выбирают из группы, состоящей из одного из фенильного или бензильного радикалов, возможно замещенных в ароматическом цикле атомом галогена или (C1-C6)-алкилом, (C1-C6)-алкоксилом, аминогруппой, алкиламиногруппой, диалкиламиногруппой, карбоксилом, карбамоилом, (C1-C8)-ацилом, сульфонилом, тиольной группой или алкилтиогруппой; и (С3-С7)-циклоалкила, причем вышеуказанный (С3-С7)-циклоалкил может быть конденсирован с бензольным циклом или гетероциклом и может быть замещен атомом галогена или (C1-C6)-алкилом;
R3 выбирают из группы, состоящей из атома галогена и (C1-C6)-алкила; и
R4 выбирают из группы, состоящей из -Н, -ОН, -N3 и -NНСОСН3;
и фармацевтически приемлемых солей соединений общей формулы (IB), (IIB), (IIIB) или (IVB).
20. Комбинация по п.12, отличающаяся тем, что
– ингибитор или ингибиторы NO-синтаз выбирают из группы, состоящей из L-нитроаргинина (LNA), метилового эфира L-нитроаргинина (LNAME), L-N-монометиларгинина (LNMMA), аминогуанидина, агматина, 2-амино-1-(метиламино)-бензимидазола, 5-нитроиндазола, 6-нитроиндазола, 7-нитроандазола, 1,2-(трифторметилфенил) имидазола (TRIM), 2-амино-4-метил-6-(2-аминоэтил)пиридина, 2-имино-пиперидина, 2-иминогомопиперидина, 2-имино-5,6-дигидро-1,3-тиазина, 2-имино-5,6-дигидро-1,3-оксазина, N-фенил-2-тиофенкарбоксимидамида, 2-иминотетрагидропиримидина, S-этилизотиомочевины, S-метил-L-тиоцитруллина, S-этил-L-тиоцитруллина, (S)-N-{4-[4-[(3,4-дигидро-6-гидрокси-2,5,7,8-тетраметил-2Н-1-бензопиран-2-ил)карбонил]-1-пиперазинил]фенил}-2-тиофенкарбоксимидамида и 4-[3,5 -бис(1,1-диметилэтил)-4-гидроксифенил]-N-{4-[(имино(2-тиенил)метил)амино]фенил}-N-метил-2-тиазолметанамина, а также фармацевтически приемлемых солей этих соединений; и
– ингибитор или ингибиторы фосфолипаз А2 выбирают из группы, состоящей из мепакрина и аристолоховой кислоты и их аналогов, а также фармацевтически приемлемых солей этих соединений.
21. Комбинация по п.20, отличающаяся тем, что ингибитор или ингибиторы NO-синтаз выбирают из группы, состоящей из аминогуанидина, 7-нитроиндазола и 4-[3,5-бис(1,1-диметилэтил)-4-гидроксифенил]-N-{4-[(имино(2-тиенил)метил)амино]фенил}-N-метил-2-тиазолметанамина, а также фармацевтически приемлемых солей вышеуказанных соединений; и ингибитор или ингибиторы фосфолипаз А2 выбирают из группы, состоящей из мепакрина и аристолоховой кислоты и их аналогов, а также фармацевтически приемлемых солей этих соединений.
PD4A – Изменение наименования обладателя патента Российской Федерации на изобретение
(73) Новое наименование патентообладателя:
ИПСЕН ФАРМА С.А.С. (FR)
Адрес для переписки:
129090, Москва, ул. Б. Спасская, 25, стр. 3, ООО “Юридическая фирма Городисский и Партнеры”
Извещение опубликовано: 27.04.2010 БИ: 12/2010
|
|