|
|
(21), (22) Заявка: 2003130909/14, 20.10.2003
(24) Дата начала отсчета срока действия патента:
20.10.2003
(45) Опубликовано: 20.07.2005
(56) Список документов, цитированных в отчете о поиске:
RU 2008796 С1, 15.03.1994. Микрокомпьютерные медицинские системы/ Под ред. У.Томпкинса. М.: Мир, 1983, с.342.
Адрес для переписки:
440026, г.Пенза, ул. Красная, 40, Пензенский Государственный Университет
|
(72) Автор(ы):
Бодин О.Н. (RU), Бартош Л.Ф. (RU), Бартош Ф.Л. (RU), Бурукина И.П. (RU)
(73) Патентообладатель(и):
Пензенский Государственный Университет (RU)
|
(54) УСТРОЙСТВО ДЛЯ РЕГИСТРАЦИИ ЭЛЕКТРОКАРДИОСИГНАЛОВ
(57) Реферат:
Устройство относится к медицине, в частности к кардиологии. Устройство для регистрации электрокардиосигналов содержит усилитель, аналого-цифровой преобразователь с мультиплексором, арифметическое устройство, блок памяти, цифровой модем, анализатор кодов приращения, счетчик номеров кода приращения, блок переключения и блок управления, а также второй блок памяти, блок цифровой фильтрации и блок децимации. Устройство обеспечивает расширение функциональных возможностей при регистрации электрокардиосигнала. Регистрация электрокардиосигнала осуществляется в частотно-временной области, при этом обеспечивается увеличение объема диагностической информации за счет временной локализации спектральных компонент электрокардиосигнала. Анализ временной локализации спектральных компонент электрокардиосигнала позволит повысить точность постановки диагноза и эффективность лечения. 6 ил.

Изобретение относится к медицине, может быть использовано для регистрации, анализа и передачи электрокардиосигнала (ЭКС).
Известно устройство для передачи ЭКС [1], содержащее последовательно соединенные усилитель, мультиплексор с аналого-цифровым преобразователем, арифметическое устройство, буферную память, цифровой модем, реализующее способ передачи с запоминанием поступающей информации и передачей ее в автономном режиме со скоростью, соответствующей характеристикам канала связи.
К недостаткам известного устройства относится то, что требуется большое время занятости канала связи для передачи информации и большая буферная память устройства из-за необходимости запоминания на передающем конце и последующей передачи большого объема информации, а также отсутствие возможности регистрации и анализа частотно-временных характеристик ЭКС.
Известно выбранное в качестве прототипа устройство для регистрации электрокардиосигналов [2], содержащее последовательно соединенные усилитель и аналого-цифровой преобразователь с мультиплексором, а также арифметическое устройство, блок памяти, цифровой модем, анализатор кодов приращения, счетчик номеров кода приращения, блок переключения и блок управления, причем вход анализатора кодов приращения соединен с выходом арифметического устройства, первый выход анализатора кодов приращения соединен с первым входом блока переключения, второй – с первым входом блока памяти, а управляющий выход – с первым входом счетчика номера кода приращения, второй вход которого соединен с первым выходом блока управления, второй и третий выходы последнего соединены соответственно с управляющим входом блока переключения и вторым входом аналого-цифрового преобразователя, при этом выход счетчика номеров кода приращения соединен со вторым входом блока памяти, выход которого соединен со вторым входом блока переключения, а выход блока переключения – с входом модема.
К недостаткам известного устройства относится то, что при регистрации ЭКС не фиксируются характерные, локально расположенные и не видимые “на взгляд”, особенности ЭКС, без учета которых невозможна современная кардиодиагностика.
Классические способы регистрации и анализа ЭКС уже давно исчерпали свои ресурсы и поэтому ведутся поиски повышения диагностических возможностей с помощью новых методов отображения и анализа ЭКС.
В известном устройстве ЭКС представлен совокупностью кодовых отсчетов во временной области. Из описания известного устройства следует, что “Арифметическое устройство формирует для каждого отведения разность текущего и предыдущего временного отсчета” (здесь и далее в цитатах курсив авторов предлагаемого изобретения). По мнению авторов предлагаемого изобретения, это является принципиальной отличительной особенностью известного устройства. Сформированная арифметическим устройством разность представлена в виде 9-разрядного кода: первые восемь разрядов являются информационными, а последний девятый – знаковым. Затем согласно описанию известного устройства “в анализаторе кодов приращения происходит разделение кода приращения на две части: два младших разряда кода приращения и его знаковый разряд (всего 3 разряда) через вход блока переключения поступают непосредственно на цифровой модем и далее – в канал связи и передаются на приемный конец. Значения оставшихся шести старших разрядов кода приращения анализируются и при отличии от нуля хотя бы одного разряда через вход блока анализатора кодов приращений эти 6 разрядов поступают на вход блока памяти, где запоминаются. Одновременно при выполнении условия отличия от нуля блок анализатора кодов приращений вырабатывает команду записи временной координаты, поступающую с анализатора на вход счетчика номера кода приращения, где определяется номер текущего кода приращения (временная координата).
Если все 6 старших разрядов поступающего кода приращения равны нулю, то два младших и знаковый разряд кода приращения, как и ранее, поступают в линию для передачи, и анализатор кода приращений ждет прихода следующего кода приращения.
Описанная процедура происходит до тех пор, пока не кончится заданное время регистрации ЭКГ, которое определяется длительностью временного интервала, отрабатываемого блоком управления.
Как следует из приведенной цитаты из описания известного устройства, сигнал ЭКГ регистрируется только во временной области. По мнению авторов, с точки зрения представления диагностической информации, этого явно недостаточно.
Очевидно, что регистрация сигнала ЭКГ не является конечной целью в кардиологии. Процесс обработки кардиологической информации, помимо регистрации, включает в себя этапы анализа и постановки диагноза. Сигнал ЭКГ является первичным носителем диагностической информации, и фиксация при регистрации как можно большего объема этой информации предоставит больше возможностей для анализа и позволит значительно повысить точность постановки диагноза.
По мнению авторов предлагаемого изобретения, необходимо при регистрации сигнала ЭКГ расширить область представления диагностической информации.
Анализ электрокардиологической информации является необходимым условием при планировании курса лечения, принятии решений в постановке диагноза, поиске путей повышения эффективности лечения и поэтому исследование сигнала ЭКГ в более удобном для изучения и интерпретации виде является предпочтительнее.
Изобретение направлено на расширение функциональных возможностей электрокардиологического исследования путем регистрации временной локализации спектральных компонент электрокардиосигнала.
Это достигается тем, что в устройство для регистрации электрокардиосигналов, содержащее последовательно соединенные усилитель и аналого-цифровой преобразователь с мультиплексором, а также арифметическое устройство, блок памяти, цифровой модем, анализатор кодов приращения, счетчик номеров кода приращения, блок переключения и блок управления, причем вход анализатора кодов приращения соединен с выходом арифметического устройства, первый выход анализатора кодов приращения соединен с первым входом блока переключения, второй – с первым входом блока памяти, а управляющий выход – с первым входом счетчика номера кода приращения, второй вход которого соединен с первым выходом блока управления, второй и третий выходы последнего соединены соответственно с управляющим входом блока переключения и вторым входом аналого-цифрового преобразователя, при этом выход счетчика номеров кода приращения соединен со вторым входом блока памяти, выход которого соединен со вторым входом блока переключения, а выход блока переключения – с входом модема, введены второй блок памяти, блок цифровой фильтрации и блок децимации, причем последовательно соединены аналого-цифровой преобразователь, блок цифровой фильтрации, блок децимации и арифметическое устройство, при этом вход второго блока памяти соединен с четвертым выходом блока управления, пятый выход последнего соединен со вторым входом блока цифровой фильтрации, а выход второго блока памяти и второй выход блока децимации соединены соответственно с третьим и четвертым входами блока цифровой фильтрации.
Введенные блоки с их связями проявляют новые свойства, которые позволяют увеличить при регистрации объем диагностической информации за счет регистрации временной локализации спектральных компонент электрокардиосигнала.
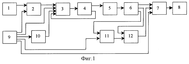
Блок-схема устройства для регистрации электрокардиосигналов приведена на фиг.1. Устройство содержит: 1 – усилитель, 2 – аналого-цифровой преобразователь, 3 – блок цифровой фильтрации, 4 – блок децимации, 5 – арифметическое устройство, 6 – анализатор кодов приращения, 7 – блок переключения, 8 – цифровой модем, 9 – блок управления, 10 – второй блок памяти, 11 – счетчик номера, 12 – первый блок памяти.
Последовательно соединены усилитель 1 и аналого-цифровой преобразователь 2 с мультиплексором, блок цифровой фильтрации 3, блок децимации 4, арифметическое устройство 5, анализатор кодов приращения 6, блок переключения 7 и цифровой модем 8. Выходы блока управления 9 соединены соответственно с входами аналого-цифрового преобразователя 2 с мультиплексором, блока цифровой фильтрации 3, блока переключения 7, второго блока памяти 10 и счетчика номера приращений 11. Выход второго блока памяти 10 соединен с третьим входом блока цифровой фильтрации 3, четвертый вход которого соединен со вторым выходом блока децимации 4. Второй и третий выходы анализатора кодов приращения 6 соединены соответственно со вторыми входами счетчика номера приращений 11 и первого блока памяти 12, выход которого соединен с третьим входом блока переключения 7.
Усилитель 1 предназначен для усиления сигналов отведений. Аналого-цифровой преобразователь с мультиплексором 2 предназначен для преобразования сигналов отведений из аналогового вида в цифровой вид. Блок цифровой фильтрации 3 предназначен для разделения спектра сигналов отведений на две составляющие: высокочастотную и низкочастотную. Блок децимации 4 предназначен для прореживания в 2 раза по частоте высокочастотной и низкочастотной составляющих сигналов отведений. Арифметическое устройство 5 предназначено для формирования для каждого отведения разности текущего и предыдущего кодовых отсчетов. Анализатор кодов приращений 6 предназначен для, во-первых, разделения поступившего кода приращения на две части: первая часть состоит из двух младших разряда кода приращения и его знакового разряда (всего 3 разряда), вторая часть – из оставшихся шести старших разрядов кода приращения, и, во-вторых, для анализа второй части поступившего кода приращения. Блок переключения 7 предназначен для подключения выхода либо анализатора кодов приращений 6, либо первого блока памяти 12 к входу цифрового модема 8. Цифровой модем 8 предназначен для передачи информации по каналам связи. Блок управления 9 предназначен для синхронизации и управления работой блоков устройства. Второй блок памяти 10 предназначен для хранения коэффициентов высокочастотного и низкочастотного фильтров. Счетчик номера кода приращения 11 предназначен для определения номера текущего кода приращения. Первый блок памяти 12 предназначен для хранения значений второй части кода приращения при условии отличия от нуля хотя бы одного разряда.
Предлагается регистрировать сигнал ЭКГ в частотно-временной области, сформировать соответствующие кодовые отсчеты и передавать их на приемный конец для последующей обработки. Сформированные в предлагаемом устройстве кодовые отсчеты позволяют изменить качество регистрируемой информации по сравнению с регистрируемой информацией в известном устройстве. При этом сохраняются достоинства известного устройства по исходной точности измерения сигнала ЭКГ, по уменьшению требуемого объема буферной памяти и времени занятости канала связи.
Также к достоинствам предлагаемого решения следует отнести более наглядное представление зарегистрированного сигнала ЭКГ. Известно, что графическую информацию (рисунки, схемы, графики) человек воспринимает лучше, поэтому в предлагаемом устройстве сигнал ЭКГ регистрируется не во временной области в виде одномерной функции, а в виде спектральной поверхности в частотно-временной области.
Предлагается осуществлять регистрацию сигнала ЭКГ с использованием вейвлет-преобразования [3].
Вейвлетом называется некоторая функция (закономерность), хорошо локализованная (т.е. сосредоточенная в небольшой окрестности некоторой точки и резко убывающая до нуля по мере удаления от нее) как во временной, так и в частотной области. К вейвлету можно применить две операции:
– сдвиг, т.е. перемещение области его локализации во времени;
– масштабирование (растяжение или сжатие), т.е. перемещение области его локализации по частоте.
Использование этих операций, с учетом свойства локальности вейвлета в частотно-временной области, позволяет регистрировать и анализировать данные сигнала ЭКГ на различных масштабах и точно определять положение их характерных особенностей во времени. Идея вейвлет-преобразования заключается в вычислении скалярного произведения (величины, показывающей степень “похожести” двух закономерностей) регистрируемых данных с различными сдвигами некоторого вейвлета на разных масштабах. В результате получается набор коэффициентов, показывающих, насколько поведение процесса в данной точке похоже на “поведение” вейвлета на данном масштабе. Чем ближе вид регистрируемой зависимости в окрестности данной точки к виду вейвлета, тем большую абсолютную величину имеет соответствующий коэффициент. Отрицательные коэффициенты показывают, что зависимость похожа на “зеркальное отражение” вейвлета.
Процесс конструирования вейвлетов достаточно сложен для пользователя. Математиками уже создано множество вейвлетов, что вполне достаточно для анализа ЭКГ. Важной практической задачей является выбор из множества базовых вейвлетов наиболее подходящего. Умело подобранный вейвлет позволит полнее и нагляднее отразить характерные особенности ЭКГ.
Для ортогональных вейвлетов существует быстрое вейвлет-преобразование (Fast Wavelet Transform), называемое также алгоритмом Малла (Mallat algorithm). Оно реализует основанный на фильтрации итерационный алгоритм, причем число итераций N может быть произвольным.
Первый шаг алгоритма Малла поясняется следующей диаграммой вейвлет-декомпозиции сигнала:

Сигнал ЭКГ s подается на фильтры декомпозиции низких и высоких частот, после чего с помощью операции децимации 2 (уменьшения числа частотных составляющих вдвое) можно получить коэффициенты аппроксимации на выходе фильтра низких частот и детализирующие коэффициенты на выходе фильтра высоких частот. Далее этот алгоритм может быть продолжен по схеме, представленной на фиг.2.
В результате (как видно из фиг.2) получается полный набор аппроксимирующих (обозначенных, как А) и детализирующих (обозначенных, как D) коэффициентов, вплоть до уровня декомпозиции j+1. Цифры указывают на уровень декомпозиции. Это и есть кодовые отсчеты сигнала ЭКГ, которые регистрируются в предлагаемом устройстве. По этому набору коэффициентов строится 3-D вейвлет-спектрограмма сигнала ЭКГ.
Сигнал ЭКГ s представляется выражением:

где а – коэффициенты аппроксимации для заданных j и k, d – коэффициенты детализации для заданных j и k, (t) – масштабирующая функция, (t) – вейвлет-функция.
Аппроксимирующие и детализирующие коэффициенты вычисляются по формулам:
и 
при

где hm и gm – коэффициенты фильтрации низкочастотного и высокочастотного фильтров соответственно.
На приемном конце зарегистрированные кодовые отсчеты подвергаются вейвлет-реконструкции. Используя операцию, обратную децимации, 2 (увеличение вдвое числа составляющих путем добавления нулевых компонентов вперемежку с имеющимися компонентами), можно получить диаграмму понижения уровня коэффициентов аппроксимации:

Смысл операции , обратной децимации, поясняет фиг.3. Понижение уровня коэффициентов аппроксимации означает постепенное приближение к исходному сигналу ЭКГ. Процесс декомпозиции-реконструкции можно представить общей диаграммой вейвлет-преобразований:

На фиг.4 представлена более наглядная диаграмма реализации быстрого многошагового алгоритма Малла на основе вейвлет-фильтрации. Для наглядности сигнал представлен в виде 1000 отсчетов. Внутри прямоугольников схематично показаны АЧХ фильтров. Из этой диаграммы легко проследить за процессом декомпозиции вейвлет-фильтров и сигналов и затем за процессом реконструкции сигнала ЭКГ. ВЧ-фильтры обозначены как Н, а НЧ – фильтры как L.
Итак, в результате процесса регистрации исходный сигнал ЭКГ s раскладывается на вейвлет-коэффициенты вплоть до заданного уровня декомпозиции, после чего, в ходе реконструкции, восстанавливается до приближенного сигнала se s. Степень приближения зависит от уровня декомпозиции и реконструкции. Нулевой уровень соответствует точному восстановлению сигнала (se=s).
Благодаря предлагаемому подходу появляется возможность регистрации таких важных аналитических показателей сигнала ЭКГ, как периодичность, тренд, локальные особенности.
Одним из важнейших показателей сигнала ЭКГ является его периодичность и вариабельность, т.е. повторяемость через определенные промежутки времени. Вариабельность сердечного ритма (ВСР) – одно из фундаментальных физиологических свойств сердца.
Наличие информации о периодических составляющих сигнала ЭКГ и глубине их колебаний позволяет оценить состояние сердечно-сосудистой системы. Однако комбинация нескольких различных колебаний может иметь настолько сложную форму, что выявить их наличие “на взгляд” не представляется возможным. Если посмотреть на сигнал ЭКГ, то можно убедиться, что он ограничен как во времени, так и по величине. Из курса математического анализа известно, что такой сигнал может быть представлен в виде суммы гармонических колебаний различной частоты и интенсивности (амплитуды). При этом колебания, имеющие низкую частоту, отвечают за медленные, плавные, крупномасштабные изменения описываемой величины, а высокочастотные – за короткие, мелкомасштабные изменения. Чем сильнее изменяется описываемая данной закономерностью величина на данном масштабе, тем большую амплитуду имеют составляющие на соответствующей частоте. Таким образом, любой сигнал ЭКГ можно рассматривать как во временной области (т.е. развитие процесса во времени), так и в частотной области (т.е. в плане масштаба изменений исследуемой величины). Сформированное таким образом изображение сигнала ЭКГ является 3-D вейвлет-спектрограммой ЭКГ. При этом горизонтальная плоскость спектрограммы построена по осям масштаба и времени. Высота задается значениями вейвлет-коэффициентов.
На 3-D вейвлет-спектрограмме ЭКГ видны все характерные особенности ЭКГ: масштаб и интенсивность периодических изменений, направление и величина трендов, наличие, расположение и длительность скачков – то есть все факторы, необходимые для анализа кардиоинформации. Пример 3-D вейвлет-спектрограммы нормального сигнала ЭКГ и сигнала ЭКГ с инфарктом миокарда приведен соответственно на фиг.5 и 6. Проведена оценка форм поверхностей 3-D вейвлет-спектрограмм с различными инфарктами миокарда, полученных с использованием основных базовых вейвлетов и выявлены их особенности.
По мнению авторов предлагаемого изобретения, в предлагаемом устройстве при регистрации сигнала ЭКГ информативность и наглядность кардиоданных представлены в большей степени по сравнению с известным устройством.
Предлагаемое устройство для регистрации сигнала ЭКГ работает следующим образом.
Предварительно пользователь определяет тип базового вейвлета, с помощью которого будет осуществляться вейвлет-фильтрация сигнала ЭКГ. Затем блоком управления 9 формируются управляющие и адресные сигналы, которые поступают на соответствующие входы второго блока памяти 10. Содержимым ячеек второго блока памяти 10, к которым происходит обращение, являются коэффициенты высокочастотного и низкочастотного фильтров блока цифровой фильтрации 3. Таким образом осуществляется настройка блока цифровой фильтрации 3 на вейвлет-преобразование сигнала ЭКГ с помощью одного из основных вейвлетов. Декомпозиция сигнала ЭКГ при вейвлет-преобразовании типа фильтрации заключается в фильтрации сигнала ЭКГ двумя фильтрами: высокочастотным и низкочастотным. Каждый из фильтров представляет пару наборов коэффициентов разного уровня: детализирующих gm и аппроксимирующих hm. Затем тактовые импульсы с выхода блока управления 9 поступают на вход блока 2 и запускают АЦП и мультиплексор, так что на выходе АЦП 2 и соответственно на входе блока цифровой фильтрации 3 появляются коды амплитуд ЭКС последовательно в каждом отведении. Блок цифровой фильтрации 3 совместно с блоком децимации 4 формируют для ЭКС каждого отведения совокупность аппроксимирующих а и детализирующих d компонент, которые являются ни чем иным, как вейвлет-коэффициентами ЭКС данного отведения, и представлены в виде кодовых отсчетов.
Арифметическое устройство 5 формирует для каждого из этих кодовых отсчетов разность текущего и предыдущего отсчета, и, таким образом, на вход анализатора кодов приращения 6 поступает 8-й разрядный код приращения сигнала со знаком (9-й разряд) последовательно по каждому отведению. Одновременно с выхода блока управления 9 тактовые импульсы поступают на счетный вход счетчика номера кода приращения 11, в результате чего на выходе счетчика 11 формируется код номера вычисляемого приращения сигнала, т.е. его временная координата.
В анализаторе кодов приращений 6 происходит разделение поступившего кода приращения на две части; два младших разряда кода приращения и его знаковый разряд (всего 3 разряда) через вход блока переключения 7 поступают непосредственно на цифровой модем 8 и далее – в канал связи и передаются на приемный конец. Значения оставшихся шести старших разрядов кода приращения анализируются и при отличии от нуля хотя бы одного разряда через выход блока 6 анализатора кодов приращений эти 6 разрядов поступают на вход первого блока памяти 12, где запоминаются. Одновременно при выполнении условия отличия от нуля блок анализатора кодов приращений 6 вырабатывает команду записи временной координаты, поступающую с анализатора 6 на вход счетчика номера кода приращения 11, где определяется номер текущего кода приращения (временная координата).
Если все 6 старших разрядов поступающего кода приращения равны нулю, то два младших и знаковый разряд кода приращения, как и ранее, поступают в линию для передачи, и анализатор кода приращений 6 ждет прихода следующего кода приращения.
Описанная процедура происходит до тех пор, пока не кончится заданное время регистрации ЭКС, которое определяется длительностью временного интервала, отрабатываемого блоком управления 9. По окончании интервала регистрации блок управления 9 прекращает подачу тактовых импульсов на входы блоков 2, 3, 11, завершая их работу, а затем подает команду на вход блока переключения 7, подключая вход модема 8 к выходу первого блока памяти 12 и начиная передачу содержимого памяти, т.е. запомненных старших разрядов кодов приращения и их временных координат.
Таким образом, предлагаемые регистрация и представление сигнала ЭКГ в частотно-временной области:
– расширяют функциональные возможности известного устройства, сохраняя его достоинства по исходной точности измерения сигнала ЭКГ, по уменьшению требуемого объема буферной памяти и времени занятости канала связи;
– позволяют повысить информативность и наглядность;
– обуславливают необходимость построения методики анализа 3-D вейвлет-спектрограмм, и служат основой для разработки новых методов классификации, базирующихся на анализе признаков 3-D вейвлет-спектрограммы.
Литература
1. Микрокомпьютерные медицинские системы. / Под ред. У.Томпкинса, М.: Мир, 1983, с.342.
2. Баум О.В., Костов Г.К., Попов Л.А. Устройство для регистрации электрокардио-сигналов. Патент RU №2008796 С1, МКИ 5 А 61 В 5/0402, 1994.
3. Дьяконов В.П. Вейвлеты. От теории к практике. – М.: СОЛОН – Р, – 2002, с.448.
Формула изобретения
Устройство для регистрации электрокардиосигналов, содержащее последовательно соединенные усилитель и аналого-цифровой преобразователь с мультиплексором, а также арифметическое устройство, первый блок памяти, цифровой модем, анализатор кодов приращения, счетчик номеров кода приращения, блок переключения и блок управления, причем вход анализатора кодов приращения соединен с выходом арифметического устройства, первый выход анализатора кодов приращения соединен с первым входом блока переключения, второй – с первым входом первого блока памяти, а управляющий выход – с первым входом счетчика номера кода приращения, второй вход которого соединен с первым выходом блока управления, второй и третий выходы последнего соединены соответственно с управляющим входом блока переключения и вторым входом аналого-цифрового преобразователя, при этом выход счетчика номеров кода приращения соединен со вторым входом первого блока памяти, выход которого соединен со вторым входом блока переключения, а выход блока переключения – с входом модема, отличающееся тем, что в него введены второй блок памяти, блок цифровой фильтрации и блок децимации, причем последовательно соединены аналого-цифровой преобразователь, блок цифровой фильтрации, блок децимации и арифметическое устройство, при этом вход второго блока памяти соединен с четвертым выходом блока управления, пятый выход последнего соединен со вторым входом блока цифровой фильтрации, а выход второго блока памяти и второй выход блока децимации соединены соответственно с третьим и четвертым входами блока цифровой фильтрации.
РИСУНКИ
MM4A – Досрочное прекращение действия патента СССР или патента Российской Федерации на изобретение из-за неуплаты в установленный срок пошлины за поддержание патента в силе
Дата прекращения действия патента: 21.10.2007
Извещение опубликовано: 20.06.2009 БИ: 17/2009
|
|