|
|
(21), (22) Заявка: 2004100287/09, 12.01.2004
(24) Дата начала отсчета срока действия патента:
12.01.2004
(45) Опубликовано: 10.07.2005
(56) Список документов, цитированных в отчете о поиске:
RU 2168844 С1,10.06.2001. RU 2207710 С2, 27.06.2003. US 5568818 А, 15.10.1996. US 6127899 А, 03.10.2000. ЕР 0556819 A3, 25.08.1993. DE 3109464 А1, 23.09.1982.
Адрес для переписки:
347900, Ростовская обл., г. Таганрог, пер. Антона Глушко, 2А, кв.4, В.Г. Прокопенко
|
(72) Автор(ы):
Прокопенко В.Г. (RU)
(73) Патентообладатель(и):
Прокопенко Вадим Георгиевич (RU)
|
(54) ГЕНЕРАТОР ХАОТИЧЕСКИХ КОЛЕБАНИЙ
(57) Реферат:
Изобретение относится к радиотехнике и может быть использовано в качестве источника хаотических электромагнитных колебаний. Достигаемый технический результат – содержание минимального количества схемных элементов. Генератор хаотических колебаний содержит нелинейное устройство с отрицательным сопротивлением, конденсатор, два индуктивных элемента, резистор, при этом вольт-амперная характеристика устройства с отрицательным сопротивлением такова, что напряжение на выводах этого устройства является однозначной функцией протекающего через него тока. 1 з.п. ф-лы, 5 ил.

Предполагаемое изобретение относится к радиотехнике и может быть использовано в качестве источника хаотических электромагнитных колебаний.
Также известен генератор хаотических колебаний (Т.Мацумото. Хаос в электрических схемах. ТИИЭР, 1987, Т.75, №8, С.67-68, рис.1 и рис.6), содержащий устройство с отрицательным сопротивлением, параллельно с которым включен первый конденсатор, первый вывод которого соединен с первым выводом резистора, второй вывод которого соединен с первыми выводами индуктивного элемента и второго конденсатора, вторые выводы которых соединены со вторым выводом первого конденсатора.
Однако эти генераторы в своей исходной конфигурации, соответствующей минимальному количеству схемных элементов, содержат идеальные резонансные контуры без потерь, что предполагает изменение их электрической схемы при практической реализации.
Наиболее близким по технической сущности к заявляемому устройству является генератор хаотических колебаний (Прокопенко В.Г. Генератор хаотических колебаний. Пат.2174283 РФ. Опубл. 27.09.2001. БИПМ №27), содержащий первый индуктивный элемент, первый вывод которого соединен с первым выводом устройства с отрицательным сопротивлением, второй вывод которого соединен с первым выводом резистора, второй вывод которого соединен с первым выводом второго индуктивного элемента, второй вывод которого соединен с первым выводом конденсатора.
Недостатком этого генератора хаотических колебаний является то, что в случае минимального числа схемных элементов он содержит идеальный резонансный контур, в составе которого нет элементов, учитывающих диссипацию энергии, что предполагает усложнение его эквивалентной электрической схемы при практической реализации.
Целью изобретения является разработка генератора хаотических колебаний, содержащего минимальное количество схемных элементов, эквивалентная электрическая схема которого не нуждается в усложнении при его практической реализации.
Цель изобретения достигается тем, что в генераторе хаотических колебаний, содержащем первый индуктивный элемент, первый вывод которого соединен с первым выводом устройства с отрицательным сопротивлением, второй вывод которого соединен с первым выводом резистора, второй вывод которого соединен с первым выводом второго индуктивного элемента, второй вывод которого соединен с первым выводом конденсатора, первый и второй выводы конденсатора соединены соответствеено со вторым выводом первого индуктивного элемента и первым выводом резистора, причем вольт-амперная характеристика устройства с отрицательным сопротивлением такова, что напряжение на выводах этого устройства является однозначной функцией протекающего через него тока.
С целью получения повышеной температурной стабильности устройство с отрицательным сопротивлением содержит первый транзистор, эмиттер которого, являющийся первым выводом устройства с отрицательным сопротивлением, соединен с выходом первого генератора тока, коллектор соединен с эмиттером второго транзистора и базой третьего транзистора, коллектор которого соединен с базой первого транзистора и эмиттером четвертого транзистора, база и коллектор второго транзистора соединены с первым выводом первого резистора, второй вывод которого соединен с общей шиной и первым выводом второго резистора, второй вывод которого соединен с базой и коллектором четвертого транзистора, эмиттер третьего транзистора соединен с выходом второго генератора тока, первым выводом третьего резистора и эмиттером пятого транзистора, коллектор которого соединен с эмиттером шестого транзистора и базой седьмого транзистора, коллектор которого соединен с базой пятого транзистора и эмиттером восьмого транзистора, база и коллектор которого соединены с базой и коллектором шестого транзистора и выходом третьего генератора тока, эмиттер седьмого транзистора, являющийся вторым выводом устройства с отрицательным сопротивлением, соединен с выходом четвертого генератора тока и вторым выводом третьего резистора, общая шина третьего генератора тока соединена с первой шиной питания, общие шины первого, второго и четвертого генераторов тока соединены со второй шиной питания.
Заявляемый генератор хаотических колебаний поясняется фиг.1, на которой изображена его схема электрическая принципиальная; фиг.2, на которой показано распределение токов и напряжений в схеме генератора при его работе; фиг.3, на которой приведена электрическая схема практической реализации генератора хаотических колебаний; фиг.4, на которой приведен пример проекции безразмерного странного аттрактора на плоскость (х,у); фиг.5, на которой показан пример зависимости безразмерной переменной х от времени.
Генератор хаотических колебаний содержит устройство с отрицательным сопротивлением 1, конденсатор 2, первый 3 и второй 4 индуктивные элементы и резистор 5, причем устройство с отрицательным сопротивлением содержит первый 6, второй 7, третий 8, четвертый 9, пятый 10, шестой 11, седьмой 12 и восьмой 13 транзисторы, первый 14, второй 15 и третий 16 резисторы, первый 17, второй 18, третий 19 и четвертый 20 генераторы тока.
Запишем уравнения, описывающие динамику данного генератора (см. фиг.2):

где L1 и L2 – индуктивности индуктивных элементов 3 и 4; С – емкость конденсатора 2; iL1 и iL2 – переменные токи, протекающие соответственно в индуктивных элементах 3 и 4; uc – переменное напряжение на конденсаторе; u(iL1) – динамическая вольт-амперная характеристика устройства с отрицательным сопротивлением.
Разрешив уравнения (1) относительно получим следующую систему дифференциальных уравнений:

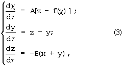
Вводя безразмерные переменные и безразмерное время , представим полученные уравнения в безразмерном виде:

где – безразмерная динамическая вольт-амперная характеристика устройства с отрицательным сопротивлением;
.
Устройство с отрицательным сопротивлением в схеме на фиг.3 имеет вольт-амперную характеристику;

где u – напряжение, возникающее между выводами устройства с отрицательным сопротивлением под действием протекающего через них тока iL1, R – сопротивление резистора, I0 – граничный ток между средним, проходящий через начало координат, и боковыми участками вольт-амперной характеристики, a=-2R1/R и b=(R2-2R1)/R.
При этом выходные токи I1, I2, I3, I4 соответственно первого, второго, третьего и четвертого генераторов тока имеют следующие значения I3=2I0, I4=I0, I2=I0+I1, I1>>I0.
Соответствующая ей безразмерная вольт-амперная характеристика в уравнениях (3) имеет вид:

При а<-1, b<0 в системе (3), (5) существуют нерегулярные автоколебания, характеризующиеся положительными значениями старшего характеристического показателя Ляпунова. Например, при а=-1.3, b=-0.7, А=1, В 0.6… 0.7 этот показатель равен 0.08… 0.01, в частности при а=-1.3, b=-0.7, А=1, В=0.63 он близок к 0.08; при а=-1.1, b=-0.9, А=1, В=0.6… 0.69 старший характеристический показатель Ляпунова лежит в пределах от 0.06 до 0.01.
Следовательно, при данных значениях коэффициентов а, b, А, В в генераторе на фиг.1 наблюдаются хаотические колебания.
Пусть R=200 Ом, С=5нФ. Тогда в случае А=1, В=0.63, a=-1.3, b=-0.7 хаотические колебания в схеме на фиг.3 наблюдаются при R1 130 Ом, R2 120 Ом, L1=L2 126 мкГн. Положив I0=200мкА, I1=2мА, получим, что выходные токи второго, третьего и четвертого генераторов тока равны соответственно I2=2.2мА, I3=0.4мА, 14=0.2мА.
Соответствующие этим значениям параметров генератора примеры безразмерного странного аттрактора и зависимости безразмерной переменной х от времени приведены на фиг.4 и 5.
Эквивалентная электрическая схема генератора хаотических колебаний не нуждается в корректировке при практической реализации, так как потери в первом индуктивном элементе легко учесть соответствующим изменением параметров вольт-амперной характеристики включенного последовательно с ними устройства с отрицательным сопротивлением, а потери во втором индуктивном элементе и конденсаторе – соответствующим изменением сопротивления резистора.
Повышенная температурная стабильность устройства с отрицательным сопротивлением обусловлена тем, что его вольт-амперная характеристика практически не зависит от параметров транзисторов вследствие взаимной компенсации эмиттерных сопротивлений транзисторов 6 и 7, 8 и 9, 10 и 11, 12 и 13.
Формула изобретения
1. Генератор хаотических колебаний, содержащий первый индуктивный элемент, первый вывод которого соединен с первым выводом устройства с отрицательным сопротивлением, второй вывод которого соединен с первым выводом резистора, второй вывод которого соединен с первым выводом второго индуктивного элемента, второй вывод которого соединен с первым выводом конденсатора, отличающийся тем, что первый и второй выводы конденсатора соединены соответственно с вторым выводом первого индуктивного элемента и первым выводом резистора, причем вольт-амперная характеристика устройства с отрицательным сопротивлением такова, что напряжение на выводах этого устройства является однозначной функцией протекающего через него тока.
2. Генератор хаотических колебаний по п.1, отличающийся тем, что устройство с отрицательным сопротивлением содержит первый транзистор, эмиттер которого, являющийся первым выводом устройства с отрицательным сопротивлением, соединен с выходом первого генератора тока, коллектор соединен с эмиттером второго транзистора и базой третьего транзистора, коллектор которого соединен с базой первого транзистора и эмиттером четвертого транзистора, база и коллектор второго транзистора соединены с первым выводом первого резистора, второй вывод которого соединен с общей шиной и первым выводом второго резистора, второй вывод которого соединен с базой и коллектором четвертого транзистора, эмиттер третьего транзистора соединен с выходом второго генератора тока, первым выводом третьего резистора и эмиттером пятого транзистора, коллектор которого соединен с эмиттером шестого транзистора и базой седьмого транзистора, коллектор которого соединен с базой пятого транзистора и эмиттером восьмого транзистора, база и коллектор которого соединены с базой и коллектором шестого транзистора и выходом третьего генератора тока, эмиттер седьмого транзистора, являющийся вторым выводом устройства с отрицательным сопротивлением, соединен с выходом четвертого генератора тока и вторым выводом третьего резистора, общая шина третьего генератора тока соединена с первой шиной питания, общие шины первого, второго и четвертого генераторов тока соединены со второй шиной питания.
РИСУНКИ
MM4A – Досрочное прекращение действия патента СССР или патента Российской Федерации на изобретение из-за неуплаты в установленный срок пошлины за поддержание патента в силе
Дата прекращения действия патента: 13.01.2008
Извещение опубликовано: 10.11.2009 БИ: 31/2009
|
|