|
|
(21), (22) Заявка: 2003127093/28, 09.09.2003
(24) Дата начала отсчета срока действия патента:
09.09.2003
(45) Опубликовано: 10.07.2005
(56) Список документов, цитированных в отчете о поиске:
SU 440595 A1 25.08.1974. SU 1293596 A1 28.02.1987. RU 2115142 C1 10.07.1998. WO 02075346 A1 26.09.2002. US 6265872 A 24.07.2001. ЕР 0567194 А3 27.10.1993.
Адрес для переписки:
194356, Санкт-Петербург, пр-т Луначарского, 9-25, ЗАО “АЗНОРИС”
|
(72) Автор(ы):
Дудкин В.И. (RU), Плешаков И.В. (RU), Полянский В.А. (RU)
(73) Патентообладатель(и):
Закрытое акционерное общество “АЗНОРИС” (RU)
|
(54) СПОСОБ ВОЗБУЖДЕНИЯ И РЕГИСТРАЦИИ МАГНИТНОГО РЕЗОНАНСА В ВЕЩЕСТВЕ
(57) Реферат:
Изобретение относится к физическим измерениям, а именно к радиотехническим средствам, использующим магнитный резонанс для поиска, обнаружения и идентификации веществ. Способ возбуждения и регистрации магнитного резонанса в веществе в виде сигналов эха или индукции отличается тем, что на вещество подают импульсный возбуждающий сигнал с внутриимпульсной и/или фазовой модуляцией по произвольно заданному закону, запоминают принятый сигнал эха или индукции, формируют опорный сигнал, совпадающий по форме с сигналом эха или индукции, задерживают опорный сигнал относительно возбуждающего сигнала на временной интервал, значение которого выбирают в пределах от нуля до интервала наблюдения, умножают запомненный сигнал эха или индукции на задержанный опорный сигнал, совпадающий по форме с сигналом эха или индукции, соответственно, интегрируют сигнал, полученный после умножения, по времени на интервале наблюдения, а магнитный резонанс регистрируют по пику сигнала, полученного после интегрирования. Технический результат – повышение дальности обнаружения вещества. 1 ил.

Изобретение относится к физическим измерениям, а именно к радиотехническим средствам, использующим магнитный резонанс для поиска, обнаружения и идентификации веществ.
Известен наиболее близкий к заявляемому способ возбуждения и регистрации магнитного резонанса в веществе, в котором для увеличения амплитуды регистрируемого сигнала используется сжатие сигналов двухимульсного эха. В этом способе возбуждающие импульсы подвергаются внутриимпульсной частотной модуляции таким образом, что эхо оказывается сжатым по длительности излучения до значения полуширины времени излучения сигнала магнитного резонанса, соответственно – во столько же раз возрастает амплитуда сигала эха. [Тарханов В.И. Геометрическая алгебра, ЯМР и обработка информации. СПб.: Изд. СПбГПУ, 2002, 214 с.].
Однако при больших расстояниях до вещества (порядка единиц метров) или при его малой массе (единицы грамм) способ оказывается неэффективным из-за крайне низкого отношения сигнал/шум принимаемого сигнала, недостаточным для регистрации магнитного резонанса.
Задачей заявляемого технического решения является повышение дальности обнаружения вещества за счет увеличения отношения сигнал/шум принимаемого сигнала (эха или индукции) при регистрации магнитного резонанса.
Это достигается тем, что способ возбуждения и регистрации магнитного резонанса в веществе в виде сигналов эха или индукции отличается тем, что вещество облучают импульсным возбуждающим сигналом с внутриимпульсной и/или фазовой модуляцией по произвольно заданному закону, запоминают сигнал эха или индукции, формируют опорный сигнал, совпадающий по форме с сигналом эха или индукции, задерживают опорный сигнал относительно возбуждающего сигнала на временной интервал, значение которого выбирают в пределах от нуля до интервала наблюдения, до получения максимума сигнала после интегрирования, умножают запомненный сигнал эха или индукции на задержанный опорный сигнал, совпадающий по форме с сигналом эха или индукции соответственно, интегрируют сигнал, полученный после умножения, по времени на интервале наблюдения, а магнитный резонанс регистрируют по пику сигнала, полученного после интегрирования.
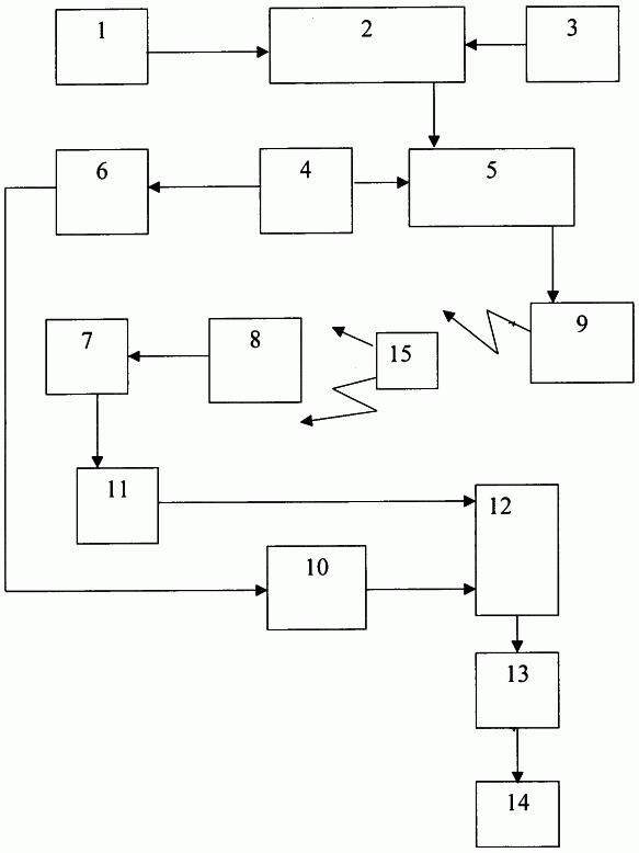
Сущность заявляемого способа поясняется на примере устройства, реализующего этот способ. Функциональная схема этого устройства представлена на чертеже.
Устройство (см. чертеж), реализующее предлагаемый способ возбуждения и регистрации магнитного резонанса в веществе, содержит блок 1 формирования последовательности пачек импульсов, блок 2 формирования радиоимпульсов, генератор 3 высокой частоты, блок 4 формирования модулирующего сигнала, блок 5 формирования модулированной последовательности пачек радиоимпульсов, блок 6 формирования опорного сигнала, усилитель 7, приемное устройство 8, излучатель 9, линию задержки 10, детектор 11, умножитель 12, интегратор 13, блок 14 регистрации сигнала магнитного резонанса в веществе, образец вещества 15.
Работает устройство следующим образом.
В блоке 1 формирования последовательности пачек импульсов вырабатывается последовательность пачек импульсов, при этом каждая пачка содержит: либо один импульс (в случае регистрации сигнала индукции), либо два импульса (в случае регистрации сигнала двухимпульсного эха), либо три импульса (в случае регистрации сигнала трехимпульсного эха). Сигнал с выхода блока 1 формирования последовательности пачек импульсов поступает на первый вход блока 2 формирования радиоимпульсов, на второй вход которого подается высокочастотный сигнал на частоте возбуждения вещества с генератора 3 высокой частоты. В блоке 2 формирования радиоимпульсов вырабатывается последовательность пачек радиоимпульсов на частоте возбуждения вещества, при этом каждая из пачек содержит либо один, либо два, либо три радиоимпульса, в зависимости от типа регистрируемого сигнала. Сигнал с выхода блока 2 формирования радиоимпульсов поступает на первый вход блока 5 формирования модулированной последовательности пачек радиоимпульсов, на второй вход которого подается сигнал с первого выхода блока 4 формирования модулирующего сигнала. В блоке 5 производится внутриимульсная частотная линейная модуляция и межпериодная модуляция последовательности пачек радиоимпульсов в соответствии с законами, задаваемыми в блоке 5. Сигнал с выхода блока 5 поступает на излучатель 9. Модулированная последовательность пачек радиоимпульсов излучается излучателем 9 и облучает вещество 15. Вещество 15 излучает сигнал s(t) магнитного резонанса (t – время), который связан с облучающим сигналом следующими соотношениями [Обработка информации в радиотехнических системах методом спинового эха. Обзоры по электронной технике, сер.1, Электроника СВЧ, Москва, ЦНИИ Электроника, 1976, вып. 10(385)]:
– в случае сигнала индукции:

где: h(t) – импульсная функция вещества;
S1(t) – радиоимпульс из пачки облучающего сигнала;
– знак математической свертки.
– в случае сигнала двухимпульсного эха:

где: S1(t) – первый радиоимпульс из пачки облучающего сигнала;
S2(t) – второй радиоимпульс из пачки облучающего сигнала;
– в случае сигнала трехимпульсного эха:

где: S1 (t) – первый радиоимпульс из пачки облучающего сигнала;
S2(t) – второй радиоимпульс из пачки облучающего сигнала;
S3(t) – третий радиоимпульс из пачки облучающего сигнала.
При этом внутренняя частотная модуляция радиоимпульсов пачки по линейному закону приведет к сжатию сигнала эха и увеличению отношения сигнал/шум за счет соответствующего увеличения амплитуды сигнала эха.
Сигнал s(t) магнитного резонанса излучается веществом 15 и принимается приемным устройством 8. С приемного устройства 8 сигнал s(t) поступает на усилитель 7, где усиливается, и с выхода усилителя 7 подается на вход детектора 11, в котором производится выделение сигнала огибающей межпериодной модуляции S(t). С выхода детектора 11 сигнал подается на первый вход умножителя 12.
Cо второго выхода блока 4 формирования модулирующего сигнала сигнал поступает на вход блока 6 формирования опорного сигнала, в котором преобразуется в опорный сигнал, совпадающий по форме с сигналом S(t) огибающей межпериодной модуляции. С выхода блока 6 опорный сигнал поступает на линию задержки 10, с выхода которой задержанный опорный сигнал поступает на второй вход умножителя 12. В умножителе 12 опорный сигнал умножается на выходной сигнал детектора 11: S(t)+n(t), где n(t) – шум части приемного устройства, включающего блоки 7, 8, 10, 11. Интервал задержки опорного сигнала выбирается в линии задержки 10 в пределах от нуля до интервала наблюдения Т. С выхода умножителя 12 сигнал подается на вход интегратора 13, где формируется сигнал u( ), равный:

Сигнал u( ) с выхода интегратора 13 поступает на вход блока 14 регистрации сигнала магнитного резонанса.
Сформированный сигнал u( ), по наличию которого в блоке 14 регистрируется сигнал магнитного резонанса, представляет собой корреляционную обработку сигнала S(t), за счет применения которой обеспечивается существенное повышение отношение сигнал-шум принимаемого сигнала.
Таким образом, при облучении вещества модулированным сигналом излучаемый веществом сигнал также будет промодулирован по известному закону, определяемому соотношениями (1), (2), (3). Это позволяет применить корреляционную обработку, за счет чего значительно повысить отношение сигнал/шум принимаемого сигнала.
Как показывают расчеты, увеличение отношения сигнал/шум по данному способу столь существенно, что при его использовании в устройствах дистанционного обнаружения вещества дальность обнаружения может возрасти до 20-25 м, что значительно превышает эти показатели известных аналогичных устройств.
Формула изобретения
Способ возбуждения и регистрации магнитного резонанса в веществе в виде сигналов эха или индукции, отличающийся тем, что вещество облучают импульсным возбуждающим сигналом с внутриимпульсной, и/или межпериодной амплитудной, и/или фазовой модуляцией по произвольно заданному закону, запоминают принятый сигнал эха или индукции, формируют опорный сигнал, совпадающий по форме с сигналом эха или индукции, задерживают опорный сигнал относительно возбуждающего сигнала на временной интервал, значение которого выбирают в пределах от нуля до интервала наблюдения, умножают запомненный сигнал эха или индукции на задержанный опорный сигнал, совпадающий по форме с сигналом эха или индукции, соответственно, интегрируют сигнал, полученный после умножения, по времени на интервале наблюдения, а магнитный резонанс регистрируют по пику сигнала, полученного после интегрирования.
РИСУНКИ
MM4A – Досрочное прекращение действия патента СССР или патента Российской Федерации на изобретение из-за неуплаты в установленный срок пошлины за поддержание патента в силе
Дата прекращения действия патента: 10.09.2007
Извещение опубликовано: 10.03.2009 БИ: 07/2009
|
|