|
|
(21), (22) Заявка: 2004109202/15, 29.03.2004
(24) Дата начала отсчета срока действия патента:
29.03.2004
(45) Опубликовано: 10.07.2005
(56) Список документов, цитированных в отчете о поиске:
СЕРОВ В.Н. и др. Руководство по практическому акушерству. М.: Медицинское информационное агентство, 1997, с. 106-112. САВЕЛЬЕВА Г.М. и др. Современны проблемы этиологии, патогенеза, терапии и профилактики гестозов. Акушерство и гинекология, 1998, №5, с. 6-9. СТРИЖАКОВ А.Н. и др. Системные нарушения гемодинамики при гестозах: патогенез, диагностика
Адрес для переписки:
170642, г.Тверь, ул. Советская, 4, ТГМА, патентный отдел
|
(72) Автор(ы):
Стольникова И.И. (RU), Шпак Л.В. (RU)
(73) Патентообладатель(и):
Государственное образовательное учреждение высшего профессионального образования “Тверская государственная медицинская академия Министерства здравоохранения Российской Федерации” (ГОУ ВПО Тверская ГМА Минздрава России) (RU)
|
(54) СПОСОБ ПРОГНОЗИРОВАНИЯ ОПГ-ГЕСТОЗОВ У БЕРЕМЕННЫХ С ЭССЕНЦИАЛЬНОЙ ГИПЕРТЕНЗИЕЙ
(57) Реферат:
Изобретение относится к медицине, а именно к акушерству и гинекологии. Сущность способа: у беременных с эссенциальной гипертензией в 1 триместре определяют усредненный профиль MMPI, направленность вегетативной регуляции, тип центральной гемодинамики и уровень простагландинов в сыворотке крови. При повышении усредненного профиля MMPI, усилении симпатической направленности вегетативной регуляции, гипокинетическом типе кровообращения и уменьшении содержания простациклинов при увеличении тромбоксана прогнозируют возникновение ОПГ-гестозов. Способ позволяет в ранние сроки прогнозировать риск развития ОПГ-гестозов у беременных с эссенциальной гипертензией и своевременно определять направленность профилактических мероприятий. 4 ил., 3 табл.

(56) (продолжение):
CLASS=”b560m”и акушерская тактика. Акушерство и гинекология, 1998, №5, с. 13-18. ЕЛЮТИН Д.В. и др. Сравнительная оценка аутоиммунного статуса здоровых беременных и страдающих гестозом. Эфферентная терапия, 2001, т. 7, №1, с. 14-18. RU 2217054 С1 27.11.2003. RU 2152201 С1 10.07.2000. RU 2107916 С1 27.03.1998. RU 98103570 А 10.11.1999.
Изобретение относится к медицине, а именно к акушерству и гинекологии.
Токсикоз беременных (гестоз – с 1972 года) является синдромом полиорганной функциональной недостаточности, который развивается в результате беременности или обостряется в связи с беременностью. В классификацию гестозов входят отеки беременных, протеинурия, артериальная гипертензия, преэклампсия и эклампсия. За последние годы у беременных наблюдается значительный рост ОПГ-гестозов, а рост ОПГ-гестозов на фоне ЭГ увеличился с 36 до 86.2%. Поэтому разработка комплексного подхода к прогнозированию и профилактике ОПГ-гестозов, тяжелых форм ОПГ-гестозов у беременных с эссенциальной гипертензией является актуальной проблемой в современном акушерстве и гинекологии.
В настоящее время клиническое течение гестоза характеризует стертость течения, увеличение числа малосимптомных, атипичных форм заболевания. Диагноз заболевания должен быть основан на комплексной и дорогостоящей оценке изменений сердечно-сосудистой системы, функции печени, почек, легких, нервной системы и оценки состояния плода.
В качестве аналога авторы предлагают способ оценки тяжести гестоза по шкале Виттлингера, которая позволяет объективизировать некоторые клинические признаки. Оценка степени тяжести гестоза осушествляется в баллах. Так, сумма баллов от 2 до 10 свидетельствует о легкой степени гестоза, от 10 до 20 – о средней степени тяжести, сумма баллов – более 20 свидетельствует об особо тяжелой степени гестоза /В.П.Серов, А.И. Стрижаков, С.А.Маркин. “Руководство по практическому акушерству”, М., 1997, Медицинское информационное агентство, стр.107-108/.
Однако предложенным способом возможно оценить только поздний гестоз беременных, его степень, в то время как необходимо прогнозировать возникновение гестоза до появления клинических признаков.
В качестве прототипа заявляемого способа авторы предлагают комплексный способ выявления преклинических проявлений гестоза-претоксикоза – по выявлению мобильности сосудистого тонуса и патологическую прибавку массы тела /В.Н.Серов, А.Н.Стрижаков, С.А.Маркин. “Руководство по практическому акушерству”, М., 1997, Медицинское информационное агентство, стр.106-112/.
Предложены функциональные пробы для выявления мобильности сосудистого тонуса. Артериальное давление определяется у беременной через 5 и 15 минут в положении лежа на левом боку, затем ее просят лечь на спину и определяют артериальное давление немедленно и через 5 минут после изменения положения тела (проба с поворотом). Подъем диастолического давления на 20 мм рт.ст. позволяет отнести беременную в группу риска развития гестоза.
К явлениям претоксикоза и высоком риске развития гестоза свидетельствует патологическая прибавка массы тела после 20 нед. беременности при отсутствии видимых отеков.
Однако предлагаемый комплексный способ обладает, на взгляд авторов, определенным недостатком: эти прогностические признаки носят собирательный характер, несут на себе, прежде всего, функцию неблагоприятного прогноза, так как претоксикоз может и не реализоваться в развернутую клинику гестоза.
Авторы предлагают комплексный способ прогнозирования и профилактики ОПГ-гестозов у беременных на фоне эссенциальной гипертензии. Способ включает определение усредненного профиля MMPI, функциональное состояние вегетативной нервной системы, состояние центральной гемодинамики, определение содержания простогландинов в сыворотке крови.
Вначале, начиная с 1-ого триместра беременности, наряду с клиническими данными, оценивалось эмоциональное состояние пациенток /”Многостороннее исследование личности “ (MMPI) в модификации Б. Березина и соавторов/.
Клинические наблюдения проводили у 161 беременной женщины с ЭГ (использовалась классификация ВОЗ/МОАГ, 1999 г.), начиная с 1-1-ого триместра беременности и до родоразрешения.
1-ую группу составили 90 соматически здоровых беременных с оптимальным и нормальным артериальным давлением.
2-ая группа включала 106 женщин с неосложненным течением беременности, причем у 63 – была I-ая мягкая стадия ЭГ, у 43 – II-ая умеренная стадия ЭГ.
3-ю группу составили 55 женщин с ОПГ-гестозом, причем у 40 из них была I-ая стадия ЭГ, а у 15 – II-ая стадия ЭГ.
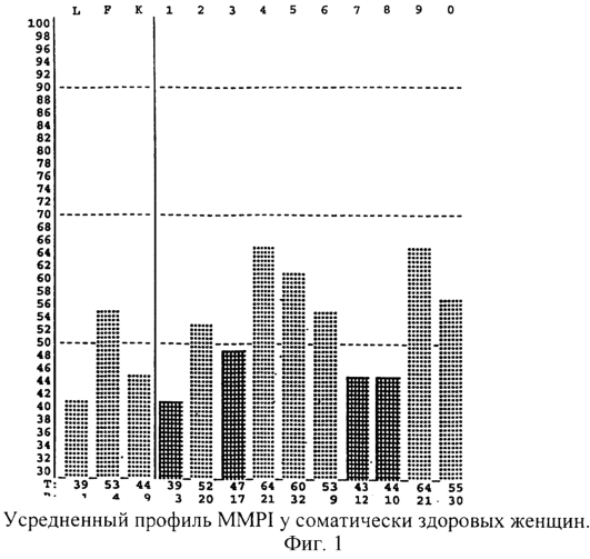
Как показали результаты исследования, у пациенток первой группы – нервно-психическое состояние характеризовалось низким уровнем тревожности и эмоциональной уравновешенностью, а усредненный профиль MMPI отражал определенную внутреннюю напряженность (умеренное повышение шкал F и 4), адаптированное беспокойство, при сохраняющемся контроле внешнего проявления эмоций (относительное повышение значения 1-ой и 3-ей шкалы) и реалистической оценке жизненной ситуации (некоторый подъем 9-ой шкалы).
Во 2-ой группе профиль MMPI относительно повышался на F,2,4,6 шкалах при снижении на 3 и 5 авторы наблюдали субклинически выраженную тревожность, эмоциональное напряжение и сенситивность, однако без снижения общего фона настроения (средний уровень 9 шкалы).
В 3-ей группе – профиль MMPI располагался наиболее высоко – носил дезадаптивный невротический характер, превышая 79 Т-баллов на 2,4,6 и 8 шкалах при относительном повышении на 5,9 и 0 шкалах, что указывало на тревожно-депрессивные расстройства с нарушением интеграции поведения и регидностью аффекта, направленного на формирование труднокорригируемых концепций о соматическом состоянии и актуальной жизненной ситуации.
Нормальный усредненный уровень MMPI находится между значениями 50 и 70 (фиг.1 и 2).
На фиг.1 (усредненный профиль MMPI у соматически здоровых беременных) и фиг.2 (усредненный профиль MMPI у беременных с гестозом) четко заметна разница между усредненным профилем у здоровых беременных и беременных с гестозом.
Одновременно авторы исследовали функциональное состояние вегетативной нервной системы (глазо-сердечный рефлекс, ортостатический рефлекс, ортостатическое ускорение, клиностатический рефлекс, клиностатическое замедление).
У пациенток 1-ой группы – глазо-сердечный рефлекс – нормальный (-8 +0.04 в 1 мин) у 64 пациенток, усиленный или ваготонический (-16+ 0.07 в 1 мин) – у 36 и ослабленный (-1+0.03 в 1 мин) – у 8 пациенток. Ортостатический рефлекс был нормальный (+10+0.04 в 1 мин) у 72 больных, усиленный или симпатикотонический (+28+0.6 в 1 мин) у 28 беременных, ослабленный или отрицательный не определялся. Ортостатическое ускорение (ОУ) составило (25+0.6) в 1 мин. Клиностатический рефлекс был нормальный (-5+0.59 в 1 мин) у 67, усиленный или ваготонический (-18+0.42 в 1 мин) – у 33 и отрицательный или извращенный – не определялся. Клиностатическое замедление (КЗ) составило (-18+ 0.42 в 1 мин), ортоклиностатическая разница (ОКР) – (-7+ 0.27 в 1 мин.)
Сопоставление полученных данных с аналогичными показателями у беременных 2-ой группы существенных различий в характере вегетативных рефлексов положения у пациенток с ЭГ и неосложненным течением беременности не выявлено (р 0.05).
У беременных 3-ей группы глазо-сердечный рефлекс реже был нормальным (26 человек) или ваготоническим (2), но в подавляющем большинстве случаев – ослабленным (72 пациентки). Ортостатический рефлекс был нормален у 35, усилен – 62 и ослаблен у 4 беременных. ОУ составило 17.5+0.9 в 1 мин. Нормальный клиностатический рефлекс отмечался у 30 пациенток, усиленный – у 68 и отрицательный – у 2. КЗ составило 12.5+ 0.5 в 1 мин.
Таким образом, у здоровых беременных и при неосложненной ЭГ вегетативные рефлексы (глазо-сердечный и положения) носят нормальный (физиологический) или вагусный характер, у больных с ЭГ и ОПГ-гестозом частота нормальных и ваготонических рефлексов уменьшается в сторону ослабленных, что в сочетании с ортостатическим усилением указывает на усиление симпатической направленности вегетативной регуляции.
У всех пациенток оценивалось состояние центральной гемодинамики. Исследованиями установлено, что у пациенток 1-ой группы был эукинетический (70 человек) и гиперкинетический тип кровообращения (30); во 2-ой группе – гиперкинетический (42 беременных), эукинетический (40) и гипокинетический (18). В 3-ей группе у 68 пациенток был гипокинетический тип кровообращения, у 28 – гиперкинетический и у 5 – эукинетический вариант кровообращения.
Как выяснилось, частота гипокинетического типа кровообращения нарастает при ЭГ и, особенно, при сочетании ЭГ и ОПГ-гестоза, в связи с увеличивающимся периферическим сосудистым сопротивлением.
С помощью усредненных показателей центральной гемодинамики установлено, что у соматически здоровых женщин уже к 20 неделям беременности снижается общее удельное периферическое сопротивление сосудов (ОУПСС) и возрастает насосная функция сердца, у больных с ЭГ и неосложненным течением беременности – насосная функция сердца снижается, но увеличивается ОУПСС.
Это свидетельствует о том, что механизмы, обуславливающие гипертензию при ОПГ-гестозе, формируются в ранние сроки беременности и изменение варианта кровообращения можно расценивать как предиктор развития гестоза.
Таким образом, психопатологические нарушения в сочетании с измененной вегетативной реактивностью, формирование устойчивого гипокинетического типа кровообращения опережают клинически выраженные признаки развития ОПГ-гестоза у беременных с ЭГ, а появление их уже в начале беременности авторы расценивают как прогностический фактор риска развития осложнений беременности.
Параллельно авторы оценивали содержание простагландинов (простациклинов и тромбоксана) с помощью радиоиммунологического метода (ПГ-2 и ТхА-2) в сыворотке крови. Установлено, что в 1-ой группе содержание ПГ-2 и ТхА-2 было 1112.4 26.5 нг/мл и 1035.6 12.2 нг/мл, во 2-ой группе – 918.2 12.3 и 1149.6 24.4 нг/мл соответственно, в 3-ей группе – 830.3 14.0 и 1186.3 34.6 нг/мл. Полученные данные свидетельствуют об уменьшении содержания в крови беременных с ЭГ простациклинов и увеличении тромбоксана.
Изменение содержания простангландинов в сыворотке крови коррелирует с нарушениями центральной гемодинамики.
Полученные данные дополняют патогенетические представления о формировании ОПГ-гестозов при ЭГ системными изменениями на уровне психосоциальной сферы и вегетативно-гуморальной регуляции, своевременное выявление которых может определить направленность профилактических мероприятий.
Прогностическое значение результатов исследования подтверждают полученные данные.
У пациенток 1-ой группы осложненных родов и перинатальной смертности не было. Все дети при рождении имели массу от 3200 до 3400 г и оценку по шкале Apgar от 7 до 9 баллов. Во 2-ой группе роды в срок произошли у 87 женщин, преждевременно родоразрешились – 13, в 3-ей – соответственно 58 и 42 пациентки. Перинатальная смертность во 2-ой группе составила 16%, в 3-ей – 75% при 1-ой стадии ЭГ и 400% при 2-ой стадии ЭГ.
Таким образом, беременные с ЭГ относятся к группе высокого риска по возможному патологическому течению беременности и родов с неблагоприятным исходом для матери и плода. Прямая связь между стадией ЭГ, развитием ОПГ-гестоза и направленность показателей перинатальной и материнской смертности способствовала разработке профилактических мер по предупреждению возникновения ОПГ-гестозов.
Преимуществами предлагаемого способа прогнозирования и профилактики ОПГ-гестозов на фоне эссенциальной гипертензии являются:
– необходимость планирования беременности с подбором комплекса лечебных средств и гипотензивных препаратов;
– у беременных женщин с эссенциальной гипертензией наличие комплекса прогностических показателей указывает на необходимость профилактической терапии в 1 триместре беременности;
– назначение гипотензивных препаратов становится возможным подбирать соответственно типу гемодинамики беременной;
– назначение, при необходимости, пролонгированной седативной терапии;
– при сочетании психопатологических сдвигов с измененной вегетативной реактивностью и гемодинамическими особенностями кровообращения с целью профилактики фетоплацентарной недостаточности целесообразно назначение ангиопротекторов.
Клиническое наблюдение 1.
Больная К., 36 лет. Диагноз: Первые быстрые роды при беременности 39-40 недель. ЭАГ II стадия. Отягощенный акушерско-гинекологический анамнез. Перинеотомия. Перинеорафия.
Анамнестически установлено, что отец страдал гипертонической болезнью и умер в возрасте 46 лет от инфаркта миокарда. С 24 лет отмечает периодические подъемы АД до 150/100 мм рт.ст. В возрасте 32 лет при обследовании в кардиологическом диспансере была выявлена ЭАГ II стадии (колебания АД 155/100-160/110 мм рт.ст.). Менструальная функция – без патологии. Половая жизнь с 17 лет, в настоящее время во втором браке. Первые 3 беременности в 1990, 1992 и 1997 году закончились 4 искусственными абортами. Настоящая беременность – 4-я. При обследовании выявлено: профиль MMPI (фиг.3) располагался нормально (в пределах 50-70 Т баллов) и по структуре отражал адаптированный характер эмоций с умеренно выраженной тревожностью, соответствующей актуальной ситуации (преобладание 2-й шкалы над средним уровнем профиля). Вегетативная регуляция по рефлексам положения и глазо-сердечному рефлексу (табл.1) характеризуется равновесием: ортостатическое ускорение (ОУ) – +8 в 1 мин; клиностатическое замедление (КЗ) – минус 12 в 1 мин; ортоклиностатическая разница (ОКСР) – минус 4 в 1 мин; глазо-сердечный рефлекс – минус 3 на третьей минуте. Тип гемодинамики – эукинетический (табл.2): УИ, СИ, ОПСС соответственно – 48,9 мл/м2, 3,9 л/мин/м2, 924,5 дин.см.-5.с Концентрация в крови простациклина (ПГ-2) – 1112,3 нг/мл; тромбоксана (ТхА-2) – 1035,6 нг/мл (табл.3).
Таким образом, по результатам обследования в пользу низкой вероятности развития гестоза свидетельствуют адекватное психоэмоциональное реагирование, вегетативное равновесие, эукинетический тип гемодинамики и физиологическое повышение уровня тромбоксана при нормальном содержании простациклина. Во время беременности проводилась коррекция АД, рекомендовалась диета с пониженным содержанием соли. Беременность протекала без осложнений. Родоразрешена в срок, через естественные родовые пути доношенной девочкой массой 3100 г с оценкой по шкале Апгар – 7-8 баллов.
Клиническое наблюдение 2.
Больная Л., 33 лет. Диагноз: Вторые роды при беременности 39-40 недель. ЭАГ II стадия. Отягощенный акушерский анамнез. Отеки, вызванные беременностью. Болезнь оперированной матки. Кесарево сечение. Гипотоническое кровотечение. Из анамнеза: выявлена отягощенная наследственность (у матери и бабушки по материнской линии гипертоническая болезнь). Бабушка умерла в возрасте 57 лет от инсульта. С 18 лет отмечает периодические подъемы АД до 150/100 мм рт.ст. До беременности по поводу повышения АД специально не обследовалась и не лечилась. Менструальная функция – без патологии. Половая жизнь с 24 лет в первом браке. Первая беременность в 1999 году. В ранние сроки беременности отмечено повышение АД до 170/110 мм рт.ст., обследована в кардиологическом отделении, где диагностирована ЭАГ II стадии. С 20 недель течение беременности осложнилось тяжелым поздним гестозом с эклампсией. Родоразрешена операцией малого кесаревого сечения. Вторая настоящая беременность – в 2003 году. Обследована в 1-м триместре: профиль MMPI (фиг.3) отражает психоэмоциональную дезадаптацию депрессивно-ипохондрического типа с тревожными и фобическими реакциями, а также продуктивной симптоматикой, обусловленной актуальной ситуацией и беспокойством за соматическим состоянием. Вегетативное обеспечение рефлексов положения носит гиперсимпатикотонический характер (табл.1), глазо-сердечный рефлекс – отрицательный. Кровообращение – динамическая смена гиперкинетического варианта на гипокинетический (табл.2): УИ, СИ, ОПСС соответственно – 27,0 мл/м2, 2,1 л/мин/м2, 1595,2 дин.см.-5.с. Уровень ПГ-2 – ниже (830,6 нг/мл), а ТхА-2 – выше (1186,3 нг/мл), чем у пациенток с ЭАГ и неосложненным течением беременности. На высокую вероятность развития гестоза указывают психоэмоциональная дезадаптация тревожно-ипохондрического типа, гиперсимпатикотония, гипокинетический вариант гемодинамики и повышение (табл.3) ТхА-2 при снижении ПГ-2. С начала беременности проводилась седативная терапия, коррекция АД ( -адреноблокаторы, антагонисты кальция), назначались препараты, улучшающие реологические свойства крови (дезагреганты и антикоагулянты). Беременность протекала с транзиторной протеинурией, периодическими отеками нижних конечностей. Родоразрешена в сроке 39-40 недель беременности кесаревым сечением живым плодом мужского пола, весом 2950 г с оценкой по шкале Апгар – 6-7 баллов.
Клиническое наблюдение 3.
Больная Т., 29 лет. Диагноз: Первые роды при беременности 38-39 недель. ЭАГ I стадия. Отягощенный гинекологический анамнез (бесплодие I). Амниотомия. Перинеотомия. Перинеорафия. Из анамнеза установлено, что наследственность не отягощена. С 23 лет отмечает периодические подъемы АД до 140/100 мм рт. ст. В возрасте 24 и 27 лет обследована в кардиологическом отделении, где выявлена ЭАГ I стадии (АД 145/90-150/100 мм рт.ст.). Менструальная функция – без патологии. Половая жизнь с 20 лет, в настоящее время в первом браке 2 года. Настоящая беременность – 1-я. Обследование, проведенное в 1-ом триместре, выявило эмоциональные расстройства субклинического уровня в виде тревожно фобических реакций с умеренным повышением профиля MMPI (фиг.3) на F, 2 и 7-й шкалах, без снижения общего фона настроения (средний уровень 9-й шкалы). Вегетативная направленность (табл.1) – парасимпатическая (ОУ – +4 в 1 мин; КЗ – минус 16 в 1 мин; ОКСР – минус 12 в 1 мин); глазо-сердечный рефлекс – резко положительный (минус 9 в 1 мин). Гемодинамика гипокинетического типа (табл.2): УИ, СИ, ОПСС соответственно – 29,0 мл/м2, 2,3 л/мин/м2, 1576,5 дин·см·-5·с. Уровень ПГ-2 и ТхА-2 (табл.3) – 852,7 и 1179,4 нг/мл соответственно.
Таким образом, результаты обследования центральной гемодинамики и уровня простагландинов указывают на высокую вероятность развития гестоза, а показатели вегетативной направленности и исследование психоэмоционального статуса – на его отсутствие, что предполагает характер комплексной, но менее однозначной терапии: коррекция АД, диета с пониженным содержанием соли, седативные средства. Беременность протекала без осложнений. Родоразрешена в срок, через естественные родовые пути, доношенной девочкой массой 3300 г с оценкой по шкале Апгар – 7-8 баллов.
Следовательно, для более точного прогноза развития осложнений в период беременности у больных с ЭАГ необходимо учитывать не только тип гемодинамики и концентрацию вазоактивных гормонов, но и показатели психоэмоциональной и вегетативной регуляции.
Таблица 1 Изменения показателей ортоклиностатической пробы при ЭАГ в случаях осложненного и неосложненного течения беременности |
| Показатели |
Клинические примеры |
| |
1-й |
2-й |
3-й |
| Ортостатическое ускорение в 1 мин |
+8 |
+20 |
+4 |
| Клиностатическое замедление в 1 мин |
-12 |
-18 |
-16 |
| Ортоклиностатическая разница в 1 мин |
-4 |
+2 |
-12 |
Таблица 2 Показатели центральной гемодинамики у беременных с ЭАГ с осложненным и неосложненным течением беременности |
| Показатели |
Клинические примеры |
| |
1-й |
2-й |
3-й |
УИ мл/м2 |
48,9 |
27,0 |
29,0 |
СИ л/ мин/м2 |
3,9 |
2,1 |
2,3 |
ОУПСС (дин. см.- 5. с) |
924,5 |
1595,2 |
1576,5 |
Таблица 3 Динамика изменения содержания ПГ-2 и ТХА-2 в крови пациенток с ЭАГ в случаях осложненного и неосложненного течения беременности |
| Показатели |
Клинические примеры |
| |
1-й |
2-й |
3-й |
| ПГ-2 нг/мл |
1112,3 |
830,6 |
852,7 |
| ТХА-2 нг/мл |
1035,6 |
1186,3 |
1179,4 |
Формула изобретения
Способ прогнозирования ОПГ-гестозов у беременных на фоне эссенциальной гипертензии, включающий определение сосудистого тонуса, отличающийся тем, что у беременных с эссенциальной гипертензией в 1 триместре определяют усредненный профиль MMPI, направленность вегетативной регуляции, тип центральной гемодинамики и уровень простагландинов в сыворотке крови и при повышении усредненного профиля MMPI, усилении симпатической направленности вегетативной регуляции, гипокинетическом типе кровообращения и уменьшении содержания простациклинов при увеличении тромбоксана прогнозируют возникновение ОПГ-гестозов.
РИСУНКИ
MM4A – Досрочное прекращение действия патента СССР или патента Российской Федерации на изобретение из-за неуплаты в установленный срок пошлины за поддержание патента в силе
Дата прекращения действия патента: 30.03.2008
Извещение опубликовано: 27.03.2010 БИ: 09/2010
|
|