|
|
(21), (22) Заявка: 2004106109/12, 01.03.2004
(24) Дата начала отсчета срока действия патента:
01.03.2004
(45) Опубликовано: 10.07.2005
(56) Список документов, цитированных в отчете о поиске:
SU 1254385 A1, 30.08.1986. SU 741156 A1, 15.06.1980. EP 1154272 A2, 14.11.2001. DE 1238224 A, 06.04.1967.
Адрес для переписки:
153000, г.Иваново, пр. Ф. Энгельса, 21, ИГТА, комн.359, патентный отдел
|
(72) Автор(ы):
Сташева М.А. (RU), Гладков С.В. (RU), Гусев Б.Н. (RU), Коробов Н.А. (RU)
(73) Патентообладатель(и):
Государственное образовательное учреждение высшего профессионального образования “Ивановская государственная текстильная академия” (RU)
|
(54) СПОСОБ ОПРЕДЕЛЕНИЯ ПОКАЗАТЕЛЕЙ ВОРСИСТОСТИ ТКАНЫХ ПОЛОТЕН ПО КОМПЬЮТЕРНОМУ ИЗОБРАЖЕНИЮ
(57) Реферат:
Изобретение относится к текстильной промышленности, может быть использовано при анализе поверхности ткани, и обладает расширенными функциональными возможностями в сравнении с известными способами. Для определения показателей ворсистости ткань перегибают вдоль одной из систем нитей и получают изображение линии перегиба ткани с ворсом. Затем полученное изображение сканируют в направлении, перпендикулярном этой линии, получают матрицу значений яркости пикселей. По столбцам матрицы суммируют указанные значения, строят профиль яркости в виде кривой линии, на ее участке, соответствующем светлым пикселям, определяют уровень грунта ткани путем усреднения значений яркости этих пикселей. Аналогичным образом определяют уровень фона, на участке, соответствующем темным пикселям, выделяют точку на кривой в середине промежутка между уровнями грунта ткани и фона. Зону ворса определяют путем построения через эту точку касательной к кривой и проведения вертикальных линий через точки пересечения касательной с уровнями грунта ткани и фона, о высоте ворса судят по количеству пикселей между этими линиями, а густоту ворса измеряют суммированием яркости пикселей. Изобретение повышает точность измерения высоты и густоты ворса путем автоматизации определения границ зоны ворса. 5 ил. 3 табл.

Изобретение относится к текстильной промышленности и может быть использовано при бесконтактном анализе структуры ткани для исследования показателей ворсистости в лабораториях испытаний ткани.
Известен способ контроля качества пряжи, в частности, по длине ворса и распределению его по длине пряжи, заключающийся в сканировании поверхности пряжи посредством телекамеры и источника излучения, в регистрации изображения поверхности пряжи на заданной длине, в сравнении зарегистрированного изображения, преобразованного в цифровую форму, с цифровым сигналом, пропорциональным количеству ворсинок на заданной длине [1].
Данный способ позволяет оценить количество ворсинок на поверхности пряжи, при этом желательно, чтобы ворсинки были расположены отдельно друг от друга. Для измерения показателей ворсистости ткани, а именно высоты густоты ворса, этот способ не пригоден.
Наиболее близким способом к предлагаемому является способ, реализованный в устройстве для контроля ворсистости ткани [2], заключающийся в перегибе ткани вдоль одной из систем нитей, получении изображения линии перегиба ткани с ворсом, сканировании этого изображения, получении цифровых значений, соответствующих яркости изображения, суммировании этих значений и сравнении полученной величины с заданным значением.
Такой способ позволяет получить по изображению линии перегиба ткани количественную оценку площади, занятую изображением ворса. По полученным данным судят о густоте ворса. Хотя измерение значений высоты ворса этим способом не предусмотрено, оценить высоту можно по увеличенному изображению пробы ткани непосредственно на экране монитора. Этот способ не обеспечивает высокую точность измерения, так как он не предусматривает автоматизированного определения границ зоны ворса. Измеренные таким способом значения высоты и густоты ворса могут содержать составляющие о грунте ткани и безворсовом пространстве.
Техническим результатом заявляемого изобретения является повышение точности измерения высоты и густоты ворса путем автоматизации определения границ зоны ворса.
Указанный технический результат достигается тем, что в способе определения показателей ворсистости тканых полотен по компьютерному изображению, заключающемся в перегибе ткани вдоль одной из систем нитей, получении изображения линии перегиба ткани с ворсом, сканировании этого изображения, получении цифровых значений, соответствующих яркости изображения, суммировании этих значений и сравнении полученной величины с заданным значением, согласно изобретению сканирование изображения линии перегиба ткани с ворсом осуществляют в направлении, перпендикулярном этой линии, производят разделение изображения на пиксели, получают матрицу значений яркости пикселей, суммируют эти значения по столбцам матрицы, строят профиль яркости в виде кривой линии, на ее участке, соответствующем светлым пикселям, определяют уровень грунта ткани путем усреднения значений яркости этих пикселей, уровень фона определяют аналогичным образом на участке, соответствующем темным пикселям, выделяют точку на кривой в середине промежутка между уровнями грунта ткани и фона, зону ворса определяют путем построения через эту точку касательной к кривой и проведения вертикальных линий через точки пересечения касательной с уровнями грунта ткани и фона, о высоте ворса судят по количеству пикселей между этими линиями, а густоту ворса измеряют суммированием яркости пикселей в зоне ворса.
На фиг.1 показана исходная проба ткани с ворсом. Для удобства восприятия показано негативное изображение пробы.
На фиг.2 показан профиль яркости вдоль линии перегиба ткани.
На фиг.3 показано увеличенное изображение зоны ворса.
На фиг.4 показана диаграмма распределения количества пикселей по строкам матрицы, поясняющая измерение высоты ворса.
На фиг.5 показана диаграмма распределения суммарной яркости пикселей по строкам матрицы, поясняющая измерение густоты ворса.
Пример осуществления способа.
Пробу тканого полотна размером 5 × 5 см складывают вдвое таким образом, чтобы линия перегиба была параллельна одной из систем нитей, например основы. В указанном виде пробу устанавливают на рабочей поверхности оптического сканера на фоне контрастной подложки и сканируют для получения графической информации. При этом размещают пробу таким образом, чтобы процесс построчного сканирования происходил перпендикулярно линии перегиба пробы (фиг.1). Сканирование пробы производят в отраженном свете с разрешающей способностью 1200 пикселей на дюйм, а далее полученное графическое изображение пробы поворачивают на дисплее на определенный угол (1…2°), чтобы нити основы пробы совпадали со столбцами дисплея. Данная операция необходима для устранения погрешности, вызванной неточным расположением пробы в сканирующем устройстве. Затем изображение пробы ткани разделяют на части (равные одному пикселю), каждая из которых обладает определенной яркостью в интервале от 0 (соответствует черному цвету) до 255 (соответствует белому цвету), измеряют яркость в каждой части и формируют матрицу значений яркости (в дальнейшем – матрица). Путем суммирования этих значений по столбцам изображения строят профиль яркости в виде кривой линии (фиг.2). Затем выделяют на этой линии следующие участки: участок, соответствующий светлым пикселям (с высокими значениями яркости) и участок, соответствующий темным пикселям (с низкими значениями яркости). Далее на первом из указанных участков кривой определяют уровень грунта ткани путем усреднения значений яркости светлых пикселей. Уровень фона определяют на втором из указанных участков кривой путем усреднения значений яркости темных пикселей. Затем на кривой выделяют точку (пиксель), соответствующую середине промежутка между уровнями грунта ткани и фона. Далее через выделенную точку строят касательную к кривой. После этого проводят вертикальную линию (линия 1) через точку пересечения касательной с уровнем грунта ткани и вертикальную линию (линия 2) через точку пересечения касательной с уровнем фона. В итоге получают зону ворса, ограниченную линией 1, уровнем грунта ткани, линией 2 и уровнем фона (фиг.3). В дальнейшем измерения показателей ворсистости проводят в пределах этой зоны.
О высоте ворса судят по количеству пикселей между линиями 1 и 2. Для этого сначала определяют номера столбцов матрицы, соответствующих линии 1 и линии 2. Затем определяют значение разности между этими номерами, которое соответствует высоте изображения ворса. Пересчет измеренного значения в реальную величину высоты ворса осуществляют путем пересчета через масштабный коэффициент.
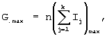
Густоту ворса определяют следующим образом. В матрице выделяют пиксели, принадлежащие зоне ворса. Путем суммирования значений яркостей этих пикселей получают величину

где G – величина, соответствующая густоте ворса;
Iij – текущее значение яркости пикселя;
n – количество строк матрицы изображения зоны ворса;
k – количество столбцов матрицы изображения зоны ворса.
После этого определяют максимально возможное суммарное значение яркости в зоне ворса

где – максимальное суммарное значение яркости в строках матрицы изображения зоны ворса
Густоту ворса Sв определяют отношением

Предлагаемый способ позволяет дополнительно измерять значения неравномерности высоты и густоты ворса.
Неравномерность высоты ворса измеряют следующим образом. В матрице выделяют столбец, соответствующий линии высоты ворса. Затем определяют среднее значение яркости пикселей этого столбца (пороговое значение Inop). Далее определяют в каждой строке матрицы количество пикселей m, значение яркости которых превышает Inop (фиг.4). Затем полученным значения сравнивают с количеством пикселей, соответствующих высоте ворса.
Неравномерность густоты ворса измеряют в зоне ворса путем определения суммарного значения яркости пикселей в каждой строке матрицы и сравнения полученных сумм с их средним значением (фиг.5).
При этом используются стандартные методы математической статистики.
Основные структурные характеристики объектов исследования приведены в таблице 1.
| Таблица 1 |
| № образца |
Наименование ткани |
Состав, % |
Ширина, см |
Поверхностная плотность, г/м2 |
Число нитей на 10 см |
Линейная плотность пряжи, текс |
| по основе |
по утку |
по основе |
по утку |
| 1 |
Сорочечная |
Вискоза |
150 |
110 |
410 |
310 |
15.6 |
15.1 |
| |
|
-50 |
|
|
|
|
|
|
| |
|
Полиэфир |
|
|
|
|
|
|
| |
|
-50 |
|
|
|
|
|
|
| 2 |
Фланель |
Хлопок |
75 |
180 |
300 |
198 |
25 |
50 |
| |
гладко |
-80 |
|
|
|
|
|
|
| |
крашеная |
Вискоза |
|
|
|
|
|
|
| |
|
-20 |
|
|
|
|
|
|
| 3 |
Байка |
Хлопок |
90 |
360 |
293 |
297 |
25 |
84 |
| |
суровая |
-100 |
|
|
|
|
|
|
| 4 |
Сукно |
Шерсть |
152 |
408 |
230 |
149 |
88 |
88 |
| |
|
-100 |
|
|
|
|
|
|
Сопоставление показателей высоты и густоты ворса проводилось по отношению к прототипу.
Результаты измерения высоты ворса предлагаемым способом сравнивали со значениями высоты ворса, измеренными с помощью метрической линейки на экране монитора по увеличенному изображению пробы ткани. При этом пересчет в реальные линейные единицы осуществляли через масштабный коэффициент. Результаты экспериментальных исследований представлены в таблице 2.
| Таблица 2 |
| № образца |
Высота ворса (мм), измеренная |
Относительный показатель |
| способом по прототипу |
предлагаемым способом |
неравномерности высоты ворса, % |
| способом по прототипу |
предлагаемым способом |
| 1 |
0,19 |
0,18 |
– |
10,14 |
| 2 |
0,58 |
0,56 |
– |
12,04 |
| 3 |
0,94 |
0,91 |
– |
14,23 |
| 4 |
2,30 |
2,25 |
– |
9,76 |
Анализ результатов измерений для образцов 1…4 говорит о незначительном уменьшении значений высоты ворса в заявляемом способе по сравнению с аналогом, что объясняется отсчетом высоты ворса от линии опорной поверхности, что с материаловедческой точки зрения является более объективным. В прототипе линия отсчета высоты ворса расположена ближе к грунту ткани, чем линия опорной поверхности.
Проверку осуществления предлагаемого способа для измерения густоты ворса осуществляли путем сравнения полученных результатов со значениями густоты, измеренными по прототипу (таблица 3).
| Таблица 3 |
| № образца |
Густота ворса (%), измеренная |
Относительный показатель |
| способом по прототипу |
предлагаемым способом |
неравномерности густоты ворса, % |
| способом по прототипу |
предлагаемым способом |
| 1 |
67,23 |
73,18 |
– |
13,51 |
| 2 |
61,72 |
66,47 |
– |
16,38 |
| 3 |
56,34 |
63,14 |
– |
17,37 |
| 4 |
73,92 |
81,76 |
– |
11,04 |
Анализ результатов измерений говорит о некотором увеличении значений густоты ворса в заявляемом способе по сравнению с прототипом. Это объясняется тем, что в заявляемом способе значения густоты ворса измеряют в зоне ворса, а в прототипе эта зона не ограничена линией высоты ворса и охватывает часть безворсового пространства.
Источники информации
1. Заявка Японии №53-98454, кл. D 01 H 13/32, 1978.
2. Авторское свидетельство СССР №1254385, кл. G 01 N 33/36. 1984. Устройство для контроля ворсистости ткани.
Формула изобретения
Способ определения показателей ворсистости тканых полотен по компьютерному изображению, заключающийся в перегибе ткани вдоль одной из систем нитей, получении изображения линии перегиба ткани с ворсом, сканировании указанного изображения, получении цифровых значений, соответствующих яркости изображения, суммировании этих значений и сравнении полученной величины с заданным значением, отличающийся тем, что сканирование изображения линии перегиба ткани с ворсом осуществляют в направлении, перпендикулярном этой линии, производят разделение изображения на пиксели, получают матрицу значений яркости пикселей, суммируют эти значения по столбцам матрицы, строят профиль яркости в виде кривой линии на ее участке, соответствующем светлым пикселям, определяют уровень грунта ткани путем усреднения значений яркости этих пикселей, уровень фона определяют аналогичным образом на участке, соответствующем темным пикселям, выделяют точку на кривой в середине промежутка между уровнями грунта ткани и фона, зону ворса определяют путем построения через эту точку касательной к кривой и проведения вертикальных линий через точки пересечения касательной с уровнями грунта ткани и фона, о высоте ворса судят по количеству пикселей между этими линиями, а густоту ворса измеряют суммированием яркости пикселей в зоне ворса.
РИСУНКИ
MM4A – Досрочное прекращение действия патента СССР или патента Российской Федерации на изобретение из-за неуплаты в установленный срок пошлины за поддержание патента в силе
Дата прекращения действия патента: 02.03.2006
Извещение опубликовано: 20.02.2007 БИ: 05/2007
|
|