|
(21), (22) Заявка: 2003127503/28, 12.09.2003
(24) Дата начала отсчета срока действия патента:
12.09.2003
(43) Дата публикации заявки: 10.03.2005
(45) Опубликовано: 10.07.2005
(56) Список документов, цитированных в отчете о поиске:
Геодезия и картография. № 7, 1994, с.54. RU 2090940 С1, 20.09.1997. RU 2206111 C1, 10.06.2003. US 5737219 A, 07.04.1998.
Адрес для переписки:
394055, г.Воронеж, ул. Черняховского, 1, кв.68, Ю.Е. Ващенко
|
(72) Автор(ы):
Ващенко Ю.Е. (RU), Попело А.В. (RU), Попело В.Д. (RU), Русинов П.С. (RU)
(73) Патентообладатель(и):
Индивидуальный предприниматель без образования юридического лица (ИПБОЮЛ) Ващенко Юрий Ефимович (RU)
|
(54) СПОСОБ ОПРЕДЕЛЕНИЯ ГЕОМЕТРИЧЕСКОГО ЦЕНТРА УЧАСТКА ТЕРРИТОРИИ И/ИЛИ НАСЕЛЕННОГО ПУНКТА
(57) Реферат:
Изобретение относится к геодезии и может быть использовано при определении геометрического центра участка территории и/или населенного пункта. Согласно заявленному способу по картографическим материалам и/или по данным натурных геодезических измерений определяют координаты точек границы рассматриваемого участка территории и/или населенного пункта. Математически описывают линию границы в виде таблицы значений широты и долготы точек границы рассматриваемого участка территории и/или населенного пункта или аналитической зависимости долготы данных точек от их широты. По полученным данным вычисляют в дополнительной системе координат площадь рассматриваемого участка территории и/или населенного пункта. Определяют координаты геометрического центра участка территории и/или населенного пункта как единственной точки, принадлежащей любой прямой, соединяющей две противоположные точки границы и делящей площадь участка территории и/или населенного пункта на две равные части. Пересчитывают координаты геометрического центра из дополнительной в основную систему координат. Единственную точку, соответствующую геометрическому центру участка территории и/или населенного пункта, известными геодезическими приемами выносят на местность и закрепляют знаковым сооружением. Технический результат: повышение точности при определении геометрического центра участка территории и/или населенного пункта. 7 з.п. ф-лы, 2 ил.

Изобретение относится к области землеустройства, определения центра и координат площадных объектов на поверхности Земли, в том числе картографирования и обустройства территории республик, регионов (областей), районов, населенных пунктов.
Каждый регион имеет определенную компактность, оконтуренность границами сопредельных регионов, что и обуславливает его территориальность. Каждый регион и каждый населенный пункт, как обособленная хозяйствующая самостоятельная единица должны характеризоваться не только границами и площадью, но и центром географической привязки. Крупные физико-географические области (Европа, Азия, Африка), а также ряд государств имеют закрепленный на местности географический центр.
Закрепление на местности географического центра самостоятельной хозяйствующей единицы имеет общественный, политический, культурный, познавательный и практический смысл. Географический центр каждой крупной самостоятельной хозяйствующей единицы, являясь своеобразным символом ее целостности, утверждает стабильность ее границ и закрепляет ее место на поверхности планеты Земля. Географический центр региона или крупного населенного пункта может быть использован в качестве собственного астрономо-геодезического пункта со своим положением на поверхности геоида. “Равноудаленность” географического центра от границ участка территории и/или населенного пункта обуславливает целесообразность размещения в данной точке базовой станции для точного местоопределения и позиционирования объектов с использованием спутниковых систем радионавигации. Включаясь, таким образом, в геодезические сети региона, географический центр может служить для закрепления начала координат местной координатной системы, иметь практическую значимость для координатной привязки создаваемых планов и карт, проведения работ по межеванию земель, инженерных изысканий и решения других практических задач. Наличие закрепленного на местности географического центра повышает привлекательность регионов и населенных пунктов с позиции рекреационного (туристического) использования.
Географический центр участка территории и/или населенного пункта – важное в теоретическом и в познавательном плане понятие до настоящего времени не имеет общепринятого определения. Однако в настоящее время уже делаются попытки определения, создания и использования географического центра участка территории и/или населенного пункта. При этом в каждом конкретном случае различные специалисты ищут компромисс между интуитивной обоснованностью принятого подхода к определению географического центра, простотой вычислений его координат, практической возможностью его закрепления в расчетной точке, другими местными условиями, особенностями, обстоятельствами.
Этимология слова “центр” восходит к латинскому centrum – середина круга. Отличием центра от других точек является неизменная связь этой точки с фигурой (телом) и единственность этой точки в том смысле, что она обладает свойствами, присущими только ей. Для круга уникальное свойство центра заключено в его равноудаленности от всех точек граничной окружности. В физике уникальное свойство центра масс тела заключено в сбалансированности относительно этой точки массы тела.
Поэтому далее под географическим центром участка территории земной поверхности и/или населенного пункта будем понимать единственную точку участка территории и/или населенного пункта, в которой достигается баланс характеристик геометрической относимости частей участка территории и/или населенного пункта, соответственно оборудованную необходимыми атрибутами и техническими средствами.
Таким образом, известный способ не позволяет правильно учитывать конфигурацию рассматриваемого участка территории и/или населенного пункта и правильно определять местонахождение их географического центра как единственной принадлежащей им точки.
Известен способ создания географического центра участка территории (государства), основанный на определении координат характерных (поворотных) точек границы по картографическим материалам или результатам наземных геодезических измерений, путем разбиения рассматриваемого участка территории и/или населенного пункта на систему ячеек, границы которых совпадают с координатной сеткой, расчета суммы расстояний до поворотных точек границы участка территории и/или населенного пункта, определения координат их геометрического центра в той из узловых точек системы ячеек, для которой достигается минимум значения этой суммы, то есть выполнения условия:

где – Сi – расстояние от некоторой точки внутри территории (узловой точки сформированной системы ячеек) до характерных (поворотных) точек границы;
Недостатком известного способа является то, что для ряда ситуаций (например, когда граничные точки и анализируемые узловые точки сформированной системы ячеек лежат на одной прямой) сумма расстояний от любой узловой точки до граничных будет неизменной, что не обеспечивает однозначного определения положения геометрического центра, то есть выполнение вышеуказанного условия не обеспечивает единственности географического центра. Из этого следует, что известный способ не позволяет во всех случаях получить единственное решение и тем самым однозначно определить координатное положение географического (геометрического) центра участка рассматриваемого участка территории и/или населенного пункта.
Целью предложенного изобретения является устранение перечисленных недостатков, то есть создание географического центра участка рассматриваемой территории и/или населенного пункта с учетом конфигурации его границ как особой точки внутри их, в которой достигается баланс характеристик геометрической относимости их частей.
Поставленная цель достигается тем, что в предложенном способе, включающем определение геометрического центра участка рассматриваемой территории и/или населенного пункта, по картографическим материалам и/или по данным натурных геодезических измерений определяют координаты поворотных точек границы рассматриваемого участка территории и/или населенного пункта, математически описывают линию границы в виде таблицы значений широты и долготы поворотных точек или аналитической зависимости долготы поворотных точек границы от широты, по полученным данным, вычисляют в дополнительной системе координат площадь рассматриваемого участка территории и/или населенного пункта, координаты его геометрического центра как единственной точки, принадлежащей любой прямой, соединяющей две противоположные точки границы и делящей площадь участка территории и/или населенного пункта на две равные части, пересчитывают координаты геометрического центра из дополнительной в основную систему координат, после чего полученную единственную точку известными геодезическими приемами выносят на местность, закрепляют знаковым сооружением и обустраивают соответствующими атрибутами и техническими принадлежностями, и используют как географический центр рассматриваемого участка территории и/или населенного пункта.
Совокупность существенных признаков предложенного способа проявляет новые свойства, заключающиеся в том, что обеспечивают определение координат геометрического центра участка рассматриваемой территории и/или населенного пункта как единственной особой точки внутри участка, в которой достигается баланс характеристик геометрической относимости частей участка территории и/или населенного пункта, характеризующийся равенством площадей любых двух частей участка территории, получаемых путем проведения прямой линии, проходящей через эту точку и соединяющей две противоположные точки на границе участка территории и/или населенного пункта.
Таким образом, предложенное техническое решение соответствует критериям “изобретательский уровень” и “новизна”.
Создание географического центра участка территории и/или населенного пункта по предложенному способу производят следующим образом.
В начале по картографическим материалам и/или данным натурных геодезических измерений (например, с использованием спутниковых систем радионавигации и точного позиционирования) определяют координаты поворотных точек границы рассматриваемого участка территории и/или населенного пункта. После этого производят построение математического описания линии границы в виде таблицы широты (координаты Y) каждой поворотной точки от долготы (координаты X) или аналитического описания линии границы в виде функциональной зависимости у=f(x), то есть долготы (координаты Y) точек границы от их широты (координаты X). При этом аналитическое описание линии границы участка территории и/или населенного пункта осуществляют известными способами с помощью математических методов аппроксимации, например, метода сближения-наведения (Э.А.И. Аиду. Статья “Сближение и наведение. Алгоритм среднеквадратичного приближения линии”. В кн. “Алгоритмы обработки экспериментальных данных. – М.: “Наука”, 1986, стр. 23-30).
После этого, для упрощения дальнейших расчетов координат геометрического центра строят на карте рассматриваемого участка территории и/или населенного пункта дополнительную прямоугольную систему координат, таким образом, чтобы ось Х дополнительной системы координат проходила через крайние западную и восточную точки границы участка территории и/или населенного пункта, а ось Y была перпендикулярна оси X. Таким образом, рассматриваемый участок территории и/или населенный пункт будет располагаться в первом и четвертом квадрантах дополнительной системы координат (фиг.1). Дальнейшие вычисления площади рассматриваемого участка территории и/или населенного пункта и координат его геометрического центра производят в построенной специально для этого дополнительной системе координат. Полученные результаты вычислений переводят затем из дополнительной в основную систему координат по формулам:

где – x’, у’ – координаты поворотных точек границы участка территории и/или населенного пункта в основной системе координат;
– х, у – координаты поворотных точек границы участка территории и/или населенного пункта в дополнительной системе координат;
– x0, y0 – координаты начала дополнительной системы координат участка территории и/или населенного пункта в основной системе координат;
– – угол поворота осей дополнительной системы координат относительно основной системы координат участка территории и/или населенного пункта.
Определение координат геометрического центра территории и/или населенного пункта в случае математического описания линии границы в виде таблицы широты (координаты Y’) каждой поворотной точки от долготы (координаты X’) производят следующим образом.
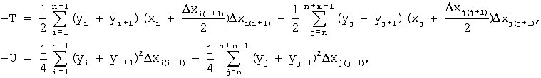
Строят систему трапеций, опуская перпендикуляры из каждой поворотной точки границы участка территории и/или населенного пункта на ось Х в дополнительной системе координат (фиг.1).
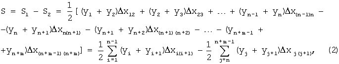
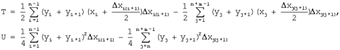
После этого определяют площадь S участка территории и/или населенного пункта в дополнительной системе координат по формуле:

– S – площадь рассматриваемого участка территории и/или населенного пункта;
– S1 – суммарная площадь трапеций, ограниченных сверху отрезками границ между соответствующими поворотными точками ветви границы AVB (см. фиг.1);
– S2 – суммарная площадь трапеций, ограниченных сверху отрезками границы между соответствующими поворотными точками ветви границы ANB (см. фиг.1);
– уi – ордината i-ой поворотной точки границы территории и/или населенного пункта;
– хi – абсцисса i-ой поворотной точки границы территории и/или населенного пункта;
– n – число поворотных точек на верхней ветви границы AVB (см. фиг.1);
– m – число поворотных точек на нижней ветви границы ANB (см. фиг.1);
– xi(i+1) – расстояние между абсциссами соседних поворотных точек границы с номерами i и i+1.
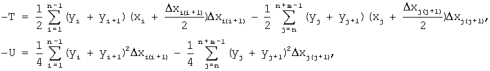
Координаты геометрического центра рассматриваемого участка территории и/или населенного пункта вычисляют в дополнительной системе координат в виде средних значений по площади абсциссы Х и ординаты Y по формулам:

где – хc – абсцисса геометрического центра участка территории и/или населенного пункта в дополнительной системе координат;
– yc – ордината геометрического центра участка территории и/или населенного пункта в дополнительной системе координат;
– S – площадь участка территории и/или населенного пункта;
Полученные таким образом значения координат геометрического центра рассматриваемого участка территории и/или населенного пункта пересчитывают из дополнительной в основную систему координат по формулам (1).
Определение координат геометрического центра рассматриваемого участка территории и/или населенного пункта в случае математического описания линии границы, например, в виде функциональной зависимости у’=f(x’), то есть зависимости долготы (координаты Y’) точек границы от их широты (координаты X’) производят следующим образом.
Строят на карте рассматриваемого участка территории и/или населенного пункта дополнительную прямоугольную систему координат, таким образом, чтобы ось Х дополнительной системы координат проходила через крайние западную и восточные точки границы участка территории и/или населенного пункта, а ось Y была перпендикулярной оси X.
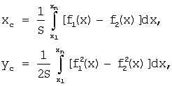
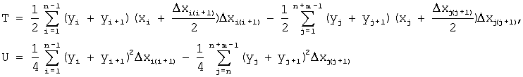
Используя дополнительную систему координат, вычисляют площадь участка территории и/или населенного пункта по формуле:

– S – площадь рассматриваемого участка территории и/или населенного пункта;
– f1(x), f2(х) – уравнения, соответственно, верхней (AVB) части и нижней (ANB) части границы участка территории и/или населенного пункта в дополнительной системе координат (см. фиг.2);
– x1, xn – абсциссы крайней западной и крайней восточной точек границы участка территории и/или населенного пункта в дополнительной системе координат.
Координаты геометрического центра территории и/или населенного пункта в дополнительной системе координат определяют (в виде средних значений по площади абсциссы Х и ординаты Y) пo формулам:

где – хc – абсцисса геометрического центра участка территории и/или населенного пункта в дополнительной системе координат;
– yc – ордината геометрического центра участка территории и/или населенного пункта в дополнительной системе координат;
– S – площадь рассматриваемого участка территории и/или населенного пункта;
– f1(x), f2(x) – уравнения, соответственно, верхней (AVB) части и нижней (ANB) части границы рассматриваемого участка территории и/или населенного пункта в дополнительной системе координат (см. фиг.2);
– x1, xn – абсциссы крайней западной и крайней восточной точек границы рассматриваемого участка территории и/или населенного пункта в дополнительной системе координат.
Полученные таким образом значения координат геометрического центра рассматриваемого участка территории и/или населенного пункта пересчитывают затем из дополнительной в основную систему координат по формулам (1).
Вынос в натуру (на местность) геометрического центра рассматриваемого участка территории и/или населенного пункта производят в ходе разбивочных работ, включающими геодезические измерения с использованием методов полярных координат, прямой угловой засечки с двух геодезических пунктов, линейной засечки с двух геодезических пунктов, например, описанными в книге Гладкий В.И., “Кадастровые работы в городах”, Новосибирск, Наука, 1998, с.73-79. В случаях, когда плотность геодезической сети не позволяет использовать вышеуказанный способ разбивочных работ, вынос в натуру (на местность) геометрического центра участка территории и/или населенного пункта осуществляют путем проложения полигонометрического хода (например, по методике, изложенной в книге Неумывакин Ю.К., Перский М.И. “Геодезическое обеспечение землеустроительных и кадастровых работ”, М.: Картцентр – Геоиздат, 1996, с.264-267).
Вынесенную на местность точку геометрического центра закрепляют специальным знаковым сооружением, которое обустраивают необходимыми атрибутами и техническими принадлежностями. Установку знакового сооружения производят различными методами, например, обносят или редуцируют центр знака, по методике, описанной в книге Гладкий В.И., “Кадастровые работы в городах”, Новосибирск, Наука, 1998, с.75, 76. Закрепленный и обустроенный таким образом на местности геометрический центр используют как географический центр участка территории и/или населенного пункта.
Применение предложенного способа позволяет более правильно определить геометрический центр участка территории и/или населенного пункта и создать на его базе их географический центр.
Технология предложенного способа апробирована при создании географических центров нескольких городов – районных центров Воронежской области.
Формула изобретения
1. Способ определения геометрического центра участка территории и/или населенного пункта, отличающийся тем, что по картографическим материалам и/или по данным натурных геодезических измерений определяют координаты точек границы рассматриваемого участка территории и/или населенного пункта, математически описывают линию границы в виде таблицы значений широты и долготы точек границы рассматриваемого участка территории и/или населенного пункта или аналитической зависимости долготы данных точек от их широты, по полученным данным вычисляют в дополнительной системе координат площадь рассматриваемого участка территории и/или населенного пункта, определяют координаты геометрического центра участка территории и/или населенного пункта как единственной точки, принадлежащей любой прямой, соединяющей две противоположные точки границы и делящей площадь участка территории и/или населенного пункта на две равные части, пересчитывают координаты геометрического центра из дополнительной в основную систему координат, после чего единственную точку, соответствующую геометрическому центру участка территории и/или населенного пункта, известными геодезическими приемами выносят на местность и закрепляют знаковым сооружением.
2. Способ по п.1, отличающийся тем, что дополнительную систему координат, в которой вычисляют площадь участка территории и/или населенного пункта и координаты его геометрического центра, строят таким образом, чтобы ее ось Х проходила через крайние западную и восточную точки границы участка территории и/или населенного пункта, ось Y была перпендикулярна оси X, а участок территории и/или населенный пункт полностью располагался в первом и в четвертом квадрантах дополнительной системы координат.
3. Способ по п.1, отличающийся тем, что в случае математического описания линии границы участка территории и/или населенного пункта в виде таблицы широты и долготы каждой поворотной точки, площадь участка территории и/или населенного пункта в дополнительной системе координат вычисляют по формуле

где S – площадь участка территории и/Или населенного пункта;
уi – ордината i-й точки границы территории и/или населенного пункта;
хi – абсцисса i-й точки границы территории и/или населенного пункта;
n – число точек на верхней ветви границы;
m – число точек на нижней ветви границы;
xi(i+1) – расстояние между абсциссами соседних точек границы с номерами i и i+1.
4. Способ по п.1, отличающийся тем, что в случае математического описания линии границы участка территории и/или населенного пункта в виде таблицы широты и долготы каждой поворотной точки, координаты геометрического центра участка территории и/или населенного пункта в дополнительной системе координат вычисляют по формулам

где xс – абсцисса геометрического центра участка территории и/или населенного пункта в дополнительной системе координат;
yc – ордината геометрического центра участка территории и/или населенного пункта в дополнительной системе координат;
S – площадь территории и/или населенного пункта;

5. Способ по п.1, отличающийся тем, что в случае математического описания линии границы в виде функциональной зависимости долготы точек границы от широты, площадь участка территории и/или населенного пункта в дополнительной системе координат вычисляют по формуле

где S – площадь участка территории и/или населенного пункта, ограниченная выровненной границей;
f1(x), f2(х) – уравнения, соответственно, верхней и нижней части границы участка территории и/или населенного пункта;
x1, xn – абсциссы крайней западной и крайней восточной точек границы участка территории и/или населенного пункта.
6. Способ по п.1, отличающийся тем, что в случае математического описания линии границы в виде функциональной зависимости долготы точек границы от широты, координаты геометрического центра участка территории и/или населенного пункта в дополнительной системе координат вычисляют по формулам

где xc – абсцисса геометрического центра участка территории и/или населенного пункта в дополнительной системе координат;
yс – ордината геометрического центра участка территории и/или населенного пункта в дополнительной системе координат;
S – площадь участка территории и/или населенного пункта;
f1(x), f2(х) – уравнения, соответственно, верхней и нижней части выровненной границы участка территории и/или населенного пункта;
x1, xn – абсциссы крайней западной и крайней восточной точек выровненной границы участка территории и/или населенного пункта.
7. Способ по п.1, отличающийся тем, что координаты геометрического центра участка территории и/или населенного пункта переводят из дополнительной в основную систему координат по формуле

где х’, у’ – координаты геометрического центра в основной системе координат;
х, у – координаты геометрического центра в дополнительной системе координат;
x0, у0 – координаты начала дополнительной системы координат в основной системе координат;
– – угол поворота осей дополнительной системы координат относительно основной системы координат.
8. Способ по п.1, отличающийся тем, что вынос на местность геометрического центра участка территории и/или населенного пункта осуществляют в процессе разбивочных работ, включающих геодезические измерения с использованием методов полярных координат, прямой угловой засечки с двух геодезических пунктов, линейной засечки с двух геодезических пунктов.
РИСУНКИ
MM4A – Досрочное прекращение действия патента СССР или патента Российской Федерации на изобретение из-за неуплаты в установленный срок пошлины за поддержание патента в силе
Дата прекращения действия патента: 13.09.2006
Извещение опубликовано: 20.08.2007 БИ: 23/2007
|