|
|
(21), (22) Заявка: 2004105065/09, 19.02.2004
(24) Дата начала отсчета срока действия патента:
19.02.2004
(45) Опубликовано: 27.06.2005
(56) Список документов, цитированных в отчете о поиске:
RU 2 213 421 C1, 27.09.2003. RU 2 149 464 C1, 20.05.2000. US 4 557 552, 10.12.1985. US 4 976 518, 11.11.1990. US 4 128 759, 05.12.1978.
Адрес для переписки:
346500, Ростовская обл., г. Шахты, ул. Шевченко, 147, ЮРГУЭС, патентный отдел
|
(72) Автор(ы):
Румянцев К.Е. (RU), Горбунов А.В. (RU)
(73) Патентообладатель(и):
Южно-Российский государственный университет экономики и сервиса (RU)
|
(54) ДИНАМИЧЕСКОЕ ЗАПОМИНАЮЩЕЕ УСТРОЙСТВО РАДИОСИГНАЛОВ С ПОСЛЕДОВАТЕЛЬНОЙ БИНАРНОЙ ВОЛОКОННО-ОПТИЧЕСКОЙ СТРУКТУРОЙ
(57) Реферат:
Изобретение относится к технике формирования и обработки радиосигналов. Его применение позволяет получить технический результат в виде повышения идентичности формирования копий при сохранении возможности управления процессом тиражирования входного радиосигнала и низкого расхода волоконного световода. Этот результат достигается благодаря тому, что в устройство введены (N-1) волоконно-оптических четырехполюсников, причем каждый волоконно-оптический четырехполюсник содержит внутренние суммирующий и разделительный направленные волоконно-оптические ответвители Y-типа. 20 ил.

Предлагаемое изобретение относится к технике формирования и обработки радиосигналов.
Известно устройство для формирования копий радиосигнала (патент 4128759 США, МКИ Н 04 В 009/00), содержащее передающий оптический модуль (ПОМ), N волоконно-оптических линий задержки (ВОЛЗ) в виде отрезков волоконного световода (ВС) различных длин и фотодетектор (ФД). Оптический сигнал с оптического выхода ПОМ, электрический вход которого является входом устройства, поступает на жгут, образованный входными торцами N ВОЛЗ, с выходных торцов которых оптическое излучение подается на оптический вход фотодетектора, электрический выход которого является выходом устройства. Формирование копий осуществляется за счет задержки частей оптического излучения на различное время в различных ВОЛЗ и их последующего суммирования в фотодетекторе.
Признаками аналога, совпадающими с признаками заявляемого технического решения, являются ПОМ, N ВОЛЗ, фотодетектор.
Недостатками устройства являются невозможность управления последовательностью формируемых копий, а также высокие потери на ввод оптического излучения из ПОМ во входные торцы световодов ВОЛЗ.
Причинами, препятствующими достижению требуемого технического результата, являются отсутствие средств для управления процессом тиражирования входного сигнала, а также то, что для формирования М копий входного сигнала с периодом следования зад необходимо использование М световодов общей длиной порядка 0,5· М2· L, что в М/2 раз превышает длину используемого ВС в заявляемом объекте (где L – длина ВС, обеспечивающего задержку зад).
Известен ряд рециркуляционных запоминающих устройств на основе ВОЛЗ, в которых формирование копий сигнала осуществляется за счет ответвления части оптического излучения в петлю рециркуляции, представляющую собой отрезок волоконного световода заданной длины.
В патенте 4473270 США, МКИ G 02 B 005/172 описано устройство, содержащее ПОМ, направленный волоконный ответвитель (НВО) Х-типа, ВОЛЗ в виде отрезка ВС и фото детектор. Оптический выход ПОМ, электрический вход которого является входом устройства, соединен с первым входным портом НВО Х-типа, третий выходной порт которого через ВОЛЗ с временем задержки зад соединен со вторым входным портом НВО Х-типа. Четвертый выходной порт НВО соединен с оптическим входом фотодетектора, электрический выход которого является выходом устройства.
Признаками аналога, совпадающими с признаками заявляемого технического решения, являются ПОМ, ВОЛЗ, фотодетектор.
Недостатками такого устройства являются невозможность управления последовательностью формируемых копий, высокая неидентичность копий за счет затухания сигнала в ВС от копии к копии и в связи с последовательным выводом части оптического излучения из процесса рециркуляции, а также накопление шумов при рециркуляции сигнала.
Причинами, препятствующими достижению требуемого технического результата, являются отсутствие средств для управления процессом тиражирования входного сигнала, а также затухание сигнала от копии к копии в связи с последовательным выводом части энергии оптического излучения из процесса циркуляции. В результате при постоянном уровне шумов фотоприемника отношение сигнал-шум копий на выходе устройства и их уровень быстро снижаются, что в конечном итоге и обуславливает малое время хранения информации и высокую неидентичность копий.
Известны устройства динамической памяти на основе многоотводных ВОЛЗ, в которых формирование копий осуществляется за счет ответвления части оптического излучения через определенные расстояния с помощью специальных отводов.
В патенте 4558920 США, МКИ G 02 B 005/172 описано устройство, содержащее ПОМ, многоотводную ВОЛЗ в виде намотанного на барабан ВС, оптический стержень и фотодетектор. Входом устройства является электрический вход ПОМ, оптический выход которого соединен с входом ВОЛЗ, причем излучения с отводов ВС, намотанного на барабан, проецируются в сращенный с основным волокном путем удаления оболочки на его части оптический стержень, с выхода которого поступают на оптический вход фотодетектора, электрический выход которого является выходом устройства.
Признаками аналогов, совпадающими с признаками заявляемого технического решения, являются ПОМ, ВОЛЗ, фотодетектор.
Недостатками известного устройства являются невозможность управления последовательностью формируемых копий, малое время хранения информации, а также сложность изготовления, большой расход волоконного световода и неравномерность уровня копий сигнала на выходе.
Причинами, препятствующими достижению требуемого технического результата, являются отсутствие средств для управления процессом тиражирования входного сигнала, а также то, что из технологических соображений коэффициенты ответвления оптического излучения с отводов волоконного световода выполняются одинаковыми. В этом случае благодаря последовательному ответвлению части оптического сигнала амплитуда выходных сигналов устройства с ростом числа копий уменьшается и тем заметнее, чем больше коэффициент ответвления.
В устройстве, описанном в патенте 4557552 США, МКИ G 02 B 005/172, применены ПОМ, многоотводная ВОЛЗ в виде намотанного на барабан ВС, две линзы и фотодетектор. Входом устройства является электрический вход ПОМ, оптический выход которого соединен с входом ВОЛЗ, причем оптическое излучение может частично выходить из ВС на специально выполненных изгибах, которое затем фокусируется с помощью первой и второй линз и подается на оптический вход фотодетектора, электрический выход которого является выходом устройства.
Признаками аналогов, совпадающими с признаками заявляемого технического решения, являются ПОМ, ВОЛЗ, фотодетектор.
Недостатками такого устройства являются невозможность управления последовательностью формируемых копий, высокая неидентичность копий за счет затухания сигнала в ВС от копии к копии и в связи с выводом оптического излучения из ВС, а также сложность изготовления.
Причинами, препятствующими достижению требуемого технического результата, являются отсутствие средств для управления процессом тиражирования входного сигнала, а также то, что из технологических соображений коэффициенты ответвления оптического излучения с отводов волоконного световода выполняются одинаковыми. В этом случае благодаря последовательному ответвлению части оптического сигнала амплитуда выходных сигналов устройства с ростом числа копий уменьшается и тем заметнее, чем больше коэффициент ответвления. Стремление обеспечить равномерность уровня копий сигнала на выходе устройства за счет последовательного увеличения коэффициентов ответвления предполагает использование уникального технологического оборудования и контрольно-измерительной аппаратуры, а также усложнение конструкции и габаритов устройства.
Из известных технических решений наиболее близким по технической сущности является динамическое запоминающее устройство радиосигналов с управляемой бинарной волоконно-оптической структурой (патент 2213421 RU, МПК7 Н 04 В 10/00, G 02 В 6/00, G 01 S 7/40).
Динамическое запоминающее устройство с управляемой бинарной волоконно-оптической структурой содержит широкополосный усилитель ШУ, делитель мощности ДМ, передающий оптический модуль ПОМ, волоконно-оптический усилитель ВОУ, фотодетектор ФД, блок управления БУ, а также разделительный НВО Y-типа, 2N волоконно-оптических ключей BOK1… BOK2N, N волоконно-оптических линий задержки ВОЛЗ1… ВОЛЗN, (N-1) НВО Х-типа HBO1… HBON-1 и суммирующий НВО Y-типа.
Входом устройства является вход широкополосного усилителя ШУ, выход которого подключен к входу делителя мощности ДМ, первый выход которого соединен с электрическим входом ПОМ, оптический выход которого подключен к оптическому входу волоконно-оптического усилителя ВОУ, оптический выход которого соединен с входным портом разделительного НВО Y-типа, первый выходной порт которого подключен к оптическому входу BOK1, оптический выход которого подключен к первому входному порту первого НВО Х-типа HBO1, третий выходной порт которого подключен к оптическому входу ВОК2, оптический выход которого подключен к первому входному порту второго НВО Х-типа НВО2 и т.д. Третий выходной порт последнего (N-1)-го НВО Х-типа НВОN-1 соединен с оптическим входом ВОКN, оптический выход которого соединен с первым входным портом суммирующего НВО Y-типа, выходной порт которого соединен с оптическим входом фотодетектора ФД, выход которого является выходом устройства. Второй выходной порт разделительного НВО Y-типа подключен к оптическому входу BOKn+1, оптический выход которого через BOЛЗ1 подключен ко второму входному порту первого НВО Х-типа hbo1, четвертый выходной порт которого подключен к оптическому входу BOKN+2, оптический выход которого через ВОЛЗ2 соединен со вторым входным портом второго НВО Х-типа НВО2 и т.д. Четвертый выходной порт последнего (N-1)-го НВО Х-типа HBOn-1 подключен к оптическому входу BOK2N, оптический выход которого через ВОЛЗN подключен ко второму входному порту суммирующего НВО Y-типа. Второй выход делителя мощности ДМ соединен с входом блока управления БУ, выходы 1, 2,… , 2N которого соответственно подключены к управляющим входам волоконно-оптических ключей BOK1… BOK2N.
Принцип работы устройства заключается в следующем. Входной радиосигнал усиливается в широкополосном усилителе ШУ до необходимого уровня и через делитель мощности ДМ подается на передающий оптический модуль НОМ, который преобразует радиосигнал в модулированное излучение оптического диапазона. Далее оптической сигнал через волоконно-оптический усилитель ВОУ подается на входной порт разделительного НВО Y-типа. Дальнейший путь распространения оптического излучения и, соответственно, время его задержки зависит от состояния всех волоконно-оптических ключей BOK1… BOK2N. Принцип формирования копий в случае, когда отсутствует управление копиями (все ВОК замкнуты), заключается в следующем. Нулевая копия входного радиосигнала соответствует прямой передаче оптического излучения с входного порта разделительного НВО Y-типа на выходной порт суммирующего НВО Y-типа, минуя все ВОЛЗ. Первая копия радиосигнала формируется благодаря ответвлению в разделительном НВО Y-типа части оптического сигнала в BOЛЗ1 (через замкнутый ВОКN+1) со временем задержки зад. С выхода BOЛЗ1 излучение поступает во второй входной порт первого НВО Х-типа HBO1 и далее без задержки на выходной порт суммирующего НВО Y-типа. При формировании второй копии оптический сигнал задерживается только в ВОЛЗ2. Третья копия сигнала генерируется благодаря задержке промодулированного оптического излучения как в BOЛЗ1, так и в ВОЛЗ2. Наконец, последняя, М-я копия входного радиосигнала проходит через все ВОЛЗ с общим временем задержки М зад=(2N-1) зад. Управление состояниями BOK1… BOK2N с помощью блока управления БУ позволяет включать в общий путь прохождения оптического излучения те или иные ВОЛЗ и тем самым формировать копии входного сигнала с различными временами задержки. Минимальное время задержки получается, когда волоконно-оптические переключатели находятся в таком состоянии, что оптический сигнал не проходит ни через одну ВОЛЗ, а максимальное время задержки – когда оптическое излучение задерживается во всех ВОЛЗ. С выхода суммирующего НВО Y-типа оптический сигнал поступает на вход фотодетектора, который осуществляет обратное преобразование модулированного излучения оптического диапазона в радиосигнал, который поступает на выход устройства.
Признаками прототипа, совпадающими с признаками заявляемого технического решения, являются широкополосный усилитель, делитель мощности, ПОМ, ВОУ, разделительный НВО Y-типа, 2N ВОК, N ВОЛЗ, суммирующий НВО Y-типа, фотодетектор и блок управления, причем входом устройства является вход широкополосного усилителя, выход которого соединен с входом делителя мощности, первый выход которого подключен к электрическому входу ПОМ, оптический выход которого через ВОУ соединен с входным портом разделительного НВО Y-типа, первый выходной порт которого подключен к оптическому входу первого BOK1, а второй выходной порт подключен к оптическому входу (N+1)-го BOKn+1, выходной порт которого соединен с входным портом первой ВОЛЗj, причем выходной порт (N+1)-го ВОКN+1 соединен с входным портом j-й ВОЛЗ1, причем выходной порт последнего 2N-гo ВОК2N соединен с входным портом последней N-й ВОЛЗN, выходной порт которой подключен к второму входному порту суммирующего НВО Y-типа, первый входной порт которого соединен с выходным портом N-го ВОКN, а выходной порт подключен к оптическому входу фотодетектора, электрический выход которого является выходом устройства, причем второй выход делителя мощности подключен к входу блока управления, первый, второй, … , 2N-й выхода которого подключены к управляющим входам соответственно первого, второго, … , 2N-го волоконно-оптических ключей ВОК1, BOK2, … , ВОК2N.
Недостатком данного устройства является низкая идентичность формируемых копий при больших временах задержки.
Причиной, препятствующей достижению требуемого технического результата, является использование направленных волоконных ответвителей Х-типа, с помощью которых невозможно добиться компенсации потерь оптического излучения в волоконно-оптических линиях задержки.
Задача, на решение которой направлено изобретение, заключается в повышении идентичности формирования копий в динамическом запоминающем устройстве с последовательной бинарной волоконно-оптической структурой.
Технический результат заключается в повышении идентичности формирования копий при сохранении возможности управления процессом тиражирования входного радиосигнала и низкого расхода волоконного световода.
В предлагаемом изобретении вместо каждого направленного волоконного ответвителя Х-типа используются волоконно-оптические четырехполюсники (ВОЧП), каждый из которых представляет собой последовательно соединенные внутренние суммирующий НВО Y-типа и разделительный НВО Y-типа, за счет чего появляется возможность компенсации потерь оптического излучения в волоконно-оптических линиях задержки путем изменения коэффициента ответвления внутренних разделительных НВО Y-типа, входящих в состав ВОЧП, при сохранении возможности управления процессом формирования копий и малом расходе волоконного световода.
Технический результат достигается тем, что в динамическое запоминающее устройство радиосигналов с последовательной бинарной волоконно-оптической структурой, содержащее широкополосный усилитель, делитель мощности, передающий оптический модуль, волоконно-оптический усилитель, разделительный направленный волоконно-оптический ответвитель Y-типа, 2N волоконно-оптических ключей, N волоконно-оптических линий задержки, суммирующий направленный волоконно-оптический ответвитель Y-типа, фотодетектор и блок управления, причем входом устройства является вход широкополосного усилителя, выход которого соединен с входом делителя мощности, первый выход которого соединен с электрическим входом передающего оптического модуля, оптический выход которого через волоконно-оптический усилитель соединен с входным портом разделительного направленного волоконного ответвителя Y-типа, первый выходной порт которого подключен к оптическому входу первого волоконно-оптического ключа, а второй выходной порт подключен к оптическому входу (N+1)-го волоконно-оптического ключа, выходной порт которого соединен с входным портом первой волоконно-оптической линии задержки, причем выходной порт (N+2)-го волоконно-оптического ключа соединен с входным портом второй волоконно-оптической линии задержки, причем выходной порт (N+j)-го волоконно-оптического ключа соединен со входным портом j-й волоконно-оптической линии задержки, выходной порт последнего 2N-го волоконно-оптического ключа соединен со входным портом последней N-й волоконно-оптической линии задержки, выходной порт которой подключен ко второму входному порту суммирующего направленного волоконного ответвителя Y-типа, первый входной порт которого соединен с выходным портом N-го волоконно-оптического ключа, а выходной порт соединен с оптическим входом фотодетектора, электрический выход которого является выходом устройства, причем второй выход делителя мощности соединен с входом блока управления, выходы 1, 2,… , 2N которого подключены к управляющим входам соответственно первого, второго, … , 2N-го волоконно-оптических ключей, отличающееся тем, что в него дополнительно введены (N-1) волоконно-оптических четырехполюсников, причем первый входной порт j-го волоконно-оптического четырехполюсника подключен к выходному порту j-го волоконно-оптического ключа, второй входной порт j-го волоконно-оптического четырехполюсника подключен к выходному порту j-й волоконно-оптической линии задержки, первый выходной порт j-го волоконно-оптического четырехполюсника подключен к оптическому входу (j+1)-го волоконно-оптического ключа, второй выходной порт j-го волоконно-оптического четырехполюсника подключен к оптическому входу (N+j+1)-го волоконно-оптического ключа, причем каждый волоконно-оптический четырехполюсник содержит внутренние суммирующий и разделительный направленные волоконно-оптические ответвители Y-типа, причем первый входной порт внутреннего суммирующего направленного волоконно-оптического ответвителя Y-типа является первым входным портом волоконно-оптического четырехполюсника, второй входной порт внутреннего суммирующего направленного волоконно-оптического ответвителя Y-типа является вторым входным портом волоконно-оптического четырехполюсника, первый выходной порт внутреннего разделительного направленного волоконно-оптического ответвителя Y-типа является первым выходным портом волоконно-оптического четырехполюсника, второй выходной порт внутреннего разделительного направленного волоконно-оптического ответвителя Y-типа является вторым выходным волоконно-оптического четырехполюсника, выходной порт внутреннего суммирующего направленного волоконно-оптического ответвителя Y-типа соединен с входным портом внутреннего разделительного направленного волоконно-оптического ответвителя Y-типа.
Анализ существенных признаков аналогов, прототипа и заявляемого объекта выявил следующие существенные признаки для заявляемого объекта:
– введены (N-1) волоконно-оптических четырехполюсников, благодаря которым появляется возможность компенсировать потери оптического излучения в волоконно-оптических линиях задержки путем применения соответствующих коэффициентов ответвления интенсивности оптического сигнала внутренних разделительных направленных волоконных ответвителей Y-типа, входящих в состав волоконно-оптических четырехполюсников.
Таким образом, благодаря введению в динамическое запоминающее устройство волоконно-оптических четырехполюсников, каждый из которых представляет собой последовательно соединенные внутренние суммирующий и разделительный НВО Y-типа, удается повысить идентичность формируемых копий радиосигнала за счет компенсации потерь оптического излучения в волоконно-оптических линиях задержки путем изменения коэффициента ответвления внутренних разделительных НВО Y-типа, входящих в состав ВОЧП, при сохранении возможностей по управлению процессом формирования копий и малого расхода волоконного световода.
Доказательство наличия причинно-следственной связи между заявляемой совокупностью признаков и достигаемым техническим результатом приводится далее.
Сущность предлагаемого технического решения поясняется чертежами.
На фиг.1 представлена структурная схема динамического запоминающего устройства с последовательной бинарной волоконно-оптической структурой, а на фиг.2 – эпюры, поясняющие принцип работы устройства.
На фиг.3 показана структурная схема блока управления, а на фиг.4 – эпюры, поясняющие принцип его работы.
На фиг.5 приведена структурная схема динамического запоминающего устройства с последовательной бинарной волоконно-оптической структурой в случае невозможности определения в блоке управления информации о моменте прихода и длительности входного радиосигнала.
На фиг.6 приведена структурная схема динамического запоминающего устройства с последовательной бинарной волоконно-оптической структурой в случае невозможности определения в блоке управления информации о моменте прихода и длительности входного радиосигнала и при отсутствии необходимости управления процессом формирования копий сигнала.
На фиг.7 представлены результаты расчета неидентичности формируемых копий при использовании в последовательной бинарной БОС 3-х децибелльных НВО.
На фиг.8 показаны структура направленного волоконного ответвителя Х-типа (фиг.8а) и структура волоконно-оптического четырехполюсника (фиг.8б), а также выражения, поясняющие особенности их функционирования.
На фиг.9 представлены результаты расчетов требуемых коэффициентов ответвления разделительных НВО Y-типа, входящих в состав ВОЧП, необходимых для абсолютно точной компенсации потерь оптического излучения в ВОЛЗ.
На фиг.10 показан увеличенный вид формируемой последовательности копий входного сигнала в случае использования 5-и ВОЛЗ при выполнении всех разделительных НВО Y-типа, входящих в состав ВОЧП, с коэффициентами ответвления 0,5 (копии сигнала условно показаны закрашенными прямоугольниками).
На фиг.11 представлены последовательности копий на выходе последовательной бинарной ВОС с 5-ю ВОЛЗ при компенсации потерь оптического излучения в ВОЛЗ соответствующих каскадов: при компенсации потерь в 5-м каскаде (фиг.11a), при компенсации потерь в 4-м и 5-м каскадах (фиг.11б), в 3-м, 4-м и 5-м каскадах (фиг.11в) и вид последовательности копий на выходе бинарной ВОС с 5-ю ВОЛЗ при компенсации потерь во всех каскадах (фиг.11г).
На фиг.12 представлены результаты расчетов неидентичности формируемых копий при изготовлении разделительных НВО Y-типа, входящих в состав ВОЧП, с коэффициентами ответвления, выполненными с точностью 0,1; 0,01 и 0,001.
На фиг.13 показана зависимость неидентичности формируемых копий при различной точности выполнения коэффициентов ответвления разделительных НВО Y-типа, входящих в состав ВОЧП, от числа используемых ВОЛЗ N.
На фиг.14 показаны результаты расчетов количества вариантов получаемых копий при управлении процессом тиражирования сигнала для различного числа используемых ВОЛЗ.
На фиг.15 приведены все возможные варианты формируемых копий для ДЗУ с последовательной бинарной ВОС и управлением процессом тиражирования при использовании трех ВОЛЗ (справа от каждой последовательности указаны номера разомкнутых ВОК, причем номеру j’ соответствует (N+j)-й ВОК).
На фиг.16 приведена структурная схема устройства для формирования копий радиосигнала (патент 4128759 США, МКИ Н 04 В 009/00), где приняты следующие обозначения: ПОМ – передающий оптический модуль, ВС – волоконный световод, ФД – фотодетектор.
На фиг.17 приведена структурная схема рециркуляционного запоминающего устройства (патент 4473270 США, МКИ G 02 B 005/172), где приняты следующие обозначения: НОМ – передающий оптический модуль, НВО – направленный волоконный ответвитель Х-типа, ВОЛЗ – волоконно-оптическая линия задержки с временем задержки зад, ФД – фотодетектор.
На фиг.18 приведена структурная схема устройства динамической памяти на основе многоотводной ВОЛЗ (патент 4558920 США, МКИ G 02 B 005/172), где приняты следующие обозначения: ПОМ – передающий оптический модуль, ВС – волоконный световод, ОС – оптический стержень, ФД – фотодетектор.
На фиг.19 приведена структурная схема запоминающего устройства на основе многоотводной ВОЛЗ (патент 4557552 США, МКИ G 02 B 005/172), где приняты следующие обозначения: ПОМ – передающий оптический модуль, ВС – волоконный световод, Л1 и Л2 – линзы, ФД – фотодетектор.
На фиг.20 приведена структурная схема динамического запоминающего устройства (патент 2213421 RU, МПК7 Н 04 В 10/00, G 02 В 6/00, G 01 S 7/40), где приняты следующие обозначения: ШУ – широкополосный усилитель, ДМ – делитель мощности, ПОМ – передающий оптический модуль, ВОУ – волоконно-оптический усилитель, НВО – направленный волоконный ответвитель, ВОК – волоконно-оптический ключ, ВОЛЗ – волоконно-оптическая линия задержки, ФД – фотодетектор, БУ – блок управления.
Динамическое запоминающее устройство с последовательной бинарной волоконно-оптической структурой содержит (см. фиг.1) широкополосный усилитель ШУ 1, делитель мощности ДМ 2, передающий оптический модуль ПОМ 3, волоконно-оптический усилитель ВОУ 4, фотодетектор ФД 5, блок управления БУ 6, разделительный НВО Y-типа 7, 2N волоконно-оптических ключей ВОК 8-1,… , 8-2N, N ВОЛЗ 9-1,… , 9-N, (N-1) волоконно-оптических четрыхполюсников ВОЧП 10-1,… , 10-(N-1) и суммирующий НВО Y-типа 11.
Входом устройства является вход широкополосного усилителя ШУ 1, выход которого подключен к входу делителя мощности ДМ 2, первый выход которого соединен с электрическим входом ПОМ 3, оптический выход которого подключен к оптическому входу волоконно-оптического усилителя ВОУ 4, оптический выход которого соединен с входным портом разделительного НВО Y-типа 7, первый выходной порт которого через первый ВОК 8-1 подключен к первому входному порту первого ВОЧП 10-1, первый выходной порт которого через второй ВОК 8-2 подключен к первому входному порту второго ВОЧП 10-2. Первый входной пopт j-го ВОЧП 10-j соединен с выходным портом j-го ВОК 8-j, а первый выходной порт через (1+1)-й ВОК 8-(j+1) подключен к первому входному порту (j+1)-го ВОЧП 10-(j+1). Первый выходной порт последнего ВОЧП 10-(N-1) через N-й ВОК 8-N соединен с первым входным портом суммирующего НВО Y-типа 11, выходной порт которого соединен с оптическим входом фотодетектора ФД 5, выход которого является выходом устройства.
Второй выходной порт разделительного НВО Y-типа 7 подключен к оптическому входу (N+1)-го ВОК 8-(N+1), выходной порт которого через первую ВОЛЗ 9-1 подключен ко второму входному порту первого ВОЧП 10-1, второй выходной порт которого подключен к оптическому входу (N+2)-го ВОК 8-(N+2), выходной порт которого через вторую ВОЛЗ 9-2 подключен ко второму входному порту второго ВОЧП 10-2. Второй входной порт j-го ВОЧП 10-j подключен к выходному порту j-й ВОЛЗ 9-j, а второй выходной порт подключен к оптическому входу (N+j+1)-го ВОК 8-(N+j+1), выходной порт которого через (j+1)-ю ВОЛЗ 9-(j+1) подключен к второму входному порту (j+1)-го ВОЧП 10-(j+1). Выходной порт последнего (N-1)-го ВОЧП 10-(N-1) подключен к оптическому входу последнего 2N-го ВОК 8-2N, выходной порт которого через последнюю N-ю ВОЛЗ 9-N подключен ко второму входному порту суммирующего НВО Y-типа 11.
Второй выход делителя мощности ДМ 2 соединен с входом блока управления БУ 7, выходы 1, 2… , 2N которого подключены к управляющим входам первого, второго, … , 2N-гo волоконно-оптических ключей ВОК 8-1, 8-2,… , 8-2N.
Блок управления БУ 6 (см. фиг.3) содержит последовательно соединенные широкополосный усилитель ШУ 12, вход которого является входом блока управления, и формирователь импульсов ФИ 13, выход которого подключен к синхронизирующему входу устройства управления ключами УУК 14, на параллельный информационный вход которого подается в цифровом виде информация для управления последовательностью формируемых копий. Первый выход устройства управления ключами УУК 14 подключен ко второму входу первого логического элемента “И” ЛИ1 15, к первому входу которого подключен выход формирователя импульсов ФИ 13, а (N+1)-й выход устройства управления ключами УУК 14 подключен ко второму входу второго логического элемента “И” ЛИ2 16, к первому входу которого подключен выход формирователя импульсов ФИ 13. Выход первого логического элемента “И” ЛИ1 15 является первым выходом блока управления БУ 6, а выход второго логического элемента “И” ЛИ2 16 является (N+1)-м выходом блока управления БУ 6. Второй, третий,… , N-й, (N+2)-й, (N+3)-й,… , 2N-й выходы устройства управления ключами УУК 14 являются вторым, третьим,… , N-м, (N+2)-м, (N+3)-м,… , 2N-м выходом блока управления БУ 6.
Если в блоке управления БУ 6 невозможно определить информацию о моменте прихода радиосигнала и его длительности, то при этом необходимость в делителе мощности ДМ 2 и некоторых элементах блока управления БУ 6 (широкополосном усилителе ШУ 12, формирователе импульсов ФИ 13, логических элементах “И” ЛИ1 15 и ЛИ2 16) отпадает, а структурная схема динамического запоминающего устройства с последовательной бинарной волоконно-оптической структурой приобретет вид, показанный на фиг.5.
Если в блоке управления БУ 6 невозможно определить информацию о моменте прихода радиосигнала и его длительности и отсутствует необходимость в управлении процессом формирования копий сигнала, то при этом также отпадает необходимость и в ВОК 8-1,… , 8-2N, а структурная схема динамического запоминающего устройства с последовательной бинарной волоконно-оптической структурой приобретет вид, показанный на фиг.6.
Работает динамическое запоминающее устройство (ДЗУ) с последовательной бинарной волоконно-оптической структурой (ВОС) следующим образом (см. фиг.1 и 2).
Динамические запоминающие устройства предназначены для формирования временной последовательности из М+1 копии

сложного радиосигнала длительностью и

Параметр KiUc определяет амплитуду i-й копии широкополосного СВЧ-радиосигнала с амплитудной mc(t) и/или угловой Фc(t) модуляцией. Выбор периода следования (времени задержки) копий зад> и исключает возможность временного перекрытия отдельных копий.
Вариант i=0 в формуле (1) соответствует прямой передаче входного радиосигнала (2) на выход ДЗУ без временной задержки. В этом случае говорят о формировании в ДЗУ нулевой копии входного радиосигнала.
Принцип формирования копий входного радиосигнала в ДЗУ с бинарной ВОС в случае, когда отсутствует управление копиями (все ВОК замкнуты) заключается в следующем (см. фиг.1). Нулевая копия входного радиосигнала соответствует прямой передаче оптического излучения с входного порта разделительного НВО Y-типа 7 на выходной порт суммирующего НВО Y-типа 11, минуя все ВОЛЗ. Первая копия радиосигнала формируется благодаря ответвлению в разделительном НВО Y-типа 7 части оптического сигнала в первую ВОЛЗ 9-1 (через замкнутый (N+1)-й ВОК 8-(N+1)) со временем задержки зад. С выхода первой ВОЛЗ 9-1 излучение поступает на второй входной порт первого ВОЧП 10-1, первый выходной порт первого ВОЧП 10-1 и далее без задержки на выходной порт суммирующего НВО Y-типа 11.
При формировании второй копии излучаемый ПОМ 3 сигнал передается по цепи входной порт разделительного НВО Y-типа 7 – первый выходной порт разделительного НВО Y-типа 7 – замкнутый первый ВОК 8-1 – первый входной порт первого ВОЧП 10-1 – второй выходной порт первого ВОЧП 10-1 – замкнутый (N+2)-й ВОК 8-(N+2) – вторая ВОЛЗ 9-2 – второй входной порт второго ВОЧП 10-2 – первый выходной порт второго ВОЧП 10-2 и далее без задержки выходной порт суммирующего НВО Y-типа 11. Третья копия сигнала генерируется благодаря задержке промодулированного оптического излучения как в первой ВОЛЗ 9-1 так и во второй ВОЛЗ 9-2. Наконец, последняя, М-я копия входного радиосигнала проходит через все ВОЛЗ с общим временем задержки М зад=(2N-1) зад.
Таким образом, если все ВОК замкнуты, то на выходе ДЗУ с N ВОЛЗ формируется последовательность из 2N копий (с учетом нулевой) входного радиосигнала (генеральная последовательность).
Волоконно-оптический усилитель ВОУ 4, установленный на выходе передающего оптического модуля ПОМ 3, необходим для компенсации потерь оптического излучения в последовательной бинарной ВОС и получения заданного коэффициента передачи устройства.
Блок управления БУ 6 работает следующим образом (см. фиг.3 и 4). На вход блока управления со второго выхода делителя мощности ДМ 2 поступает входной сигнал uвх.БУ(t) длительностью и, который усиливается в широкополосном усилителе ШУ 12. С выхода усилителя усиленный радиосигнал uвх.ФИ(t) подается на вход формирователя импульсов ФИ 13, на выходе которого в момент прихода радиосигнала формируется видеоимпульс uвых.ФИ(t) длительностью и. В качестве формирователя импульсов ФИ 13 может выступать пороговое устройство, срабатывающее при превышении входным сигналом некоторого уровня. Сформированный в формирователе импульсов ФИ 13 видеоимпульс поступает на первые входы логических элементов “И” ЛИ1 15 и ЛИ2 16.
Сигнал с выхода формирователя импульсов ФИ 13 также поступает на синхронизирующий вход устройства управления ключами УУК 14, на информационный вход которого поступает цифровой код управления последовательностью формируемых копий. Цифровой код управления может задаваться как с помощью 2N электрических ключей, каждый из которых будет управлять соответствующим ВОК, так и с помощью более сложных средств, например компьютера. В этом случае информация о моменте прихода и длительности входного сигнала передается устройству управления ключами УУК 14 с помощью сигнала с выхода формирователя импульсов ФИ 13.
Цифровой код управления преобразуется в устройстве управления ключами УУК 14 в сигналы управления каждым ВОК в отдельности и подается в виде управляющих сигналов для ВОК на второй, третий, … , N-й, (N+2)-й, (N+3)-й,… , 2N-й выходы блока управления БУ 6 непосредственно, а на первый и (N+1)-й выходы блока управления БУ 6 через логические элементы “И” ЛИ1 15 и ЛИ2 16. В логических элементах “И” ЛИ1 15 и ЛИ2 16 происходит объединение сигналов с выхода формирователе импульсов ФИ 13 и первого и (N+1)-го выхода устройства управления ключами УУК 14, причем соответствующий ВОК будет открыт только в том случае, когда на обоих входах соответствующего логического элемента “И” будут присутствовать сигналы на открытие ВОК.
Использование логических элементов “И” ЛИ1 15 и ЛИ2 16 необходимо для того, чтобы первый ВОК 8-1 и (N+1)-й ВОК 8-(N+1) даже при отсутствии управления копиями открывались только в момент прихода сигнала и только на время его длительности (под воздействием управляющих сигналы u1(t) и uN+1(t) на фиг.2), благодаря чему не будет допускаться прохождение шумов входных каскадов устройства на его выход и накопление шумов в бинарной ВОС во время формирования копий входного радиосигнала.
Преимуществом ДЗУ с бинарной ВОС над ДЗУ других видов является то, что все копии сигнала проходят через одинаковое количество портов НВО и соединений волоконного световода, обеспечивая тем самым равные потери оптического излучения для всех копий. Неидентичность сформированных копий определяется только потерями, обусловленными различной длиной световодов, используемых в ВОЛЗ.
Собственные потери оптического излучения в световодах обусловлены технологией производства и указываются в технических характеристиках. Минимальными собственными потерями интенсивности оптического излучения обладают одномодовые волоконные световоды типа кварц-кварц, рабочая длина волны которых составляет =1,55 мкм. Типичное значение погонного ослабления (потерь) оптического излучения для данного типа волоконных световодов отечественного производства составляет Гвс=0,2 дБ/км.
Отрезок ВС для j-й ВОЛЗ будет обладать потерями
вc.j[дБ]=Lj[км]· Гвс[дБ/км]=2j-1 · L1[км]· Гвс[дБ/км],
где Lj=2j-1· l1 – длина ВС для j-й ВОЛЗ;
– длина волоконного световода, обеспечивающего задержку оптического излучения на требуемое время задержки зад (отрезок волоконного световода для первой ВОЛЗ);
с=3× 108 м/с – скорость света в вакууме;
nc=1,465 – показатель преломления сердцевины волоконного световода.
Конструктивные требования к ВОЛЗ предполагают наматывание световода на катушку диаметром Dкат. При этом кольцевой изгиб волокна вызывает дополнительные потери интенсивности оптического излучения.
Если потери на один виток составляют виток, то потери интенсивности оптического излучения в катушке j-й ВОЛЗ составят

где – количество витков волоконного световода длиной L1 (первая ВОЛЗ), намотанного на катушку диаметром Dкат.
Таким образом, суммарные потери в j-й ВОЛЗ составят:
волз.j[дб]= вс.j[дБ]+ кат.j[дБ] 2j-1 · (L1[км]· Гвс[дБ/км]+В1 виток[дБ])
Максимальная неидентичность формируемых копий Р, характеризующая разность мощностей копии с максимальной амплитудой Рmах и копии с минимальной амплитудой Рmin определяется суммой потерь оптического излучения во всех N ВОЛЗ:

Множитель 2 перед знаком суммы в данном выражении показывает, что электрическая мощность радиосигнала пропорциональна квадрату интенсивности оптического излучения.
Результаты расчета неидентичности формируемых копий в ДЗУ с бинарной ВОС для различного числа ВОЛЗ N представлены на фиг.7. Расчеты проводились для случая, когда зад=0,1 мкс (L1 0,02 км), Гвс=0,2 дБ/км, виток=0,0001 дБ, Dкат=250 мм (B1 25). При проведении расчетов также предполагалось, что в рассматриваемом устройстве используются так называемые 3-децибелльные НВО, коэффициенты передачи которых равны между собой и равны 0,5 ( -3 дБ).
В случае формирования последовательности из 16-и копий с периодом задержки зад=100 нс разница в мощностях первой и последней копий составляет всего 0,201 дБ. Но следует отметить, что с увеличением числа формируемых копий это различие резко возрастает. Так, при 128-и копиях при том же времени задержки зад=100 нс неидентичность формируемых копий составит уже 1,703 дБ, а при 1024-х – 13,71 дБ.
В заявляемом техническом решении можно добиться гораздо более высокой идентичности формируемых копий радиосигнала, если потери в j-й ВОЛЗ, подключенной через (N+j)-й ВОК к 2-му выходному порту (j-1)-го ВОЧП, компенсировать тем, что в волоконный световод данной ВОЛЗ ответвлять часть оптических излучений, поступающих на входные порты ВОЧП.
Для обеспечения выполнения данного требования в заявляемом техническом решении изменена структура бинарной ВОС: каждый НВО Х-типа, используемый в прототипе (см.фиг.20), в заявляемом техническом решении заменен волоконно-оптическим четырехполюсником, каждый из которых представляет собой последовательно соединенные внутренние суммирующий и разделительный НВО Y-типа (см.фиг.1).
Направленный волоконный ответвитель Х-типа (фиг.8а) характеризуется коэффициентом ответвления k<1, под которым понимают коэффициент передачи оптического излучения с 1-го входного порта на 2-й выходной порт К21 или равный ему коэффициент передачи оптического излучения с 2-го входного порта на 1-й выходной порт K12
К21=К12=k.
Коэффициент передачи оптического излучения с 1-го входного порта на 1-й выходной порт или коэффициент передачи оптического излучения с 2-го входного порта на 2-й выходной порт для НВО Х-типа будут равны
K11=K22-(1-k).
Таким образом, в НВО Х-типа для увеличения доли оптического излучения, ответвляемого с 1-го входного порта на 2-й выходной порт, к которому подключена ВОЛЗ, необходимо было бы увеличить коэффициент k. Однако это привело бы к соответственному уменьшению коэффициента передачи оптического излучения с 2-го входного порта на тот же 2-й выходной порт (1-k), что противоречит ранее выдвинутому требованию о компенсации потерь в ВОЛЗ.
Выполнения данного требования можно достичь в случае замены каждого ответвителя Х-типа волоконно-оптическим четырехполюсником, представляющим собой последовательное соединение суммирующего и разделительного ответвителей Y-типа (фиг.8б).
В этом случае в суммирующем НВО Y-типа, входящем в состав ВОЧП, происходит объединение оптических излучений с 1-го и 2-го входных портов суммирующего НВО Y-типа (1-го и 2-го входных портов ВОЧП), а затем уже полученная сумма делится между 1-ми 2-м выходными портами входящего в состав ВОЧП разделительного НВО Y-типа (1-ми 2-м выходными портами ВОЧП) с заданным соотношением. Увеличение коэффициента ответвления k (см. фиг.8б) приведет к увеличению доли оптического излучения, поступающего на 2-й выходной порт ВОЧП как с 1-го так и со 2-го входного порта ВОЧП и соответствующему уменьшению доли оптического излучения, поступающего со входных портов ВОЧП на 1-й выходной порт ВОЧП.
Следует отметить, что в реальных ответвителях всегда присутствуют потери световой энергии, которые выражаются в том, что суммарная интенсивность излучения на выходных портах НВО не совпадает с интенсивностью входного излучения. Указанные потери обычно учитываются параметром нво и составляют порядка 0,1 дБ.
Для полной компенсации потерь в j-й ВОЛЗ необходимо, чтобы интенсивность оптического излучения J(j-1).выx.2 на 2-м выходном порту (j-1)-го ВОЧП превосходила интенсивность оптического излучения j(j-1).вых.1 на 1-м выходном порту того же ВОЧП на величину потерь в j-й ВОЛЗ волз.j

При этом коэффициент ответвления k(j-1) внутреннего разделительного НВО Y-типа, входящего в состав (j-1)-го ВОЧП должен удовлетворять условию

В этом случае будет обеспечиваться полная идентичность формируемых копий.
Следует отметить, что выражения (4), (5) справедливы для случая j>1. Для компенсации потерь в первой ВОЛЗ (этому соответствует случай j=1) необходимо изменять коэффициент ответвления разделительного НВО Y-типа 7, установленного на входе последовательной бинарной ВОС (см. фиг.1).
Коэффициент ответвления разделительного НВО Y-типа 7, установленного на входе последовательной бинарной ВОС, при котором будет происходить компенсация потерь оптического излучения в первой ВОЛЗ, должен удовлетворять следующему условию:

В данном выражении для упрощения записи коэффициент ответвления разделительного НВО Y-типа 7 обозначен как k0.
В настоящее время разработано несколько типов НВО и способов их изготовления на основе волоконной, микропланарной и планарной технологий.
Для изготовления НВО на основе волоконных световодов широко применяются сплавление, прецизионная механическая обработка и химическое травление с последующим восстановлением оболочки. Например, при химическом методе изготовления ответвителей волоконные световоды очищают от защитных оболочек, переплетают очищенные участки и осуществляют травление отражающих оболочек. После достижения заданных коэффициентов передачи, контролируемых по выходному сигналу непосредственно в процессе травления, волокна промывают и осуществляют восстановление оболочек.
Все методы изготовления НВО на основе волоконных световодов обеспечивают малые оптические потери порядка 0,1 дБ и заданные коэффициенты передачи.
Следует отметить, что замена каждого НВО Х-типа на волоконно-оптический четырехполюсник, состоящий из двух НВО Y-типа приведет к некоторому увеличению потерь в бинарной ВОС за счет дополнительного соединения выходного порта суммирующего НВО и входного порта разделительного НВО, входящих в состав каждого ВОЧП, а также дополнительных потерь на прохождение двух НВО Y-типа вместо одного НВО Х-типа. Данное увеличение потерь незначительно и составит около 0,2… 0,4 дБ на каждый каскад.
Для абсолютно точного выполнения условий (4) и (5) необходимо изготавливать НВО с очень высокой степенью точности (фиг.9), что может оказаться недостижимым на практике (случай j=1 соответствует расчету требуемого коэффициента ответвления k0 разделительного НВО Y-типа 7, установленного на входе последовательно бинарной ВОС).
Однако значительного повышения идентичности формируемых копий можно достичь и при не столь жестких ограничениях. Как показывают расчеты, при выполнении коэффициентов отклонения НВО с точностью 0,001 для бинарной ВОС с 5-ю ВОЛЗ неидентичность формируемых копий составит всего 0,0462 дБ (при выполнении коэффициентов отклонения всех НВО равными 0,5 неидентичность копий будет равна 0,416 дБ).
Необходимо учитывать, что при изменении коэффициентов ответвления НВО определение неидентичности сформированной последовательности копий по формуле (3) невозможно. Для нахождения неидентичности в этом случае необходимо выделить в сигнале на выходе бинарной ВОС копии с максимальной и минимальной амплитудами (это уже не обязательно будут нулевая и последняя копии соответственно) и найти их отношение

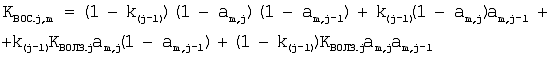
Для ДЗУ с N-каскадной бинарной ВОС амплитуда интенсивности оптического излучения m-й копии на выходе ВОС может быть найдена по формуле

где Jc – интенсивность оптического излучения на входе бинарной ВОС;
– коэффициент, характеризующий потери оптического излучения в каждом из используемых НВО (потери на рассеивание излучения в окружающее пространство нво и потери на соединениях волоконного световода с портами НВО нво).
Коэффициент передачи j-го каскада последовательной бинарной ВОС

зависит от пути прохождения оптического сигнала через бинарную ВОС (от номера формируемой копии m). Здесь – коэффициент передачи j-й ВОЛЗ, а k(j-1) -коэффициент ответвления разделительного ПВО Y-типа, входящего в (j-1)-й ВОЧП для j>1 или коэффициент ответвления k0 разделительного НВО Y-типа 7, установленного на входе последовательной бинарной ВОС, для j=1.
Параметр

определяет, проходит ли оптический сигнал через j-ю ВОЛЗ при формировании m-й копии сигнала (если аm,j=0, то оптический сигнал не проходит через j-ю ВОЛЗ; если аm,j=1, то, наоборот, при формировании m-й копии оптический сигнал должен задерживаться в ВОЛЗ j-го каскада). Функция trunc(x) обозначает ближайшее целое число, не превышающее х.
На фиг.10 показан увеличенный вид формируемой на выходе последовательной бинарной ВОС последовательности копий входного сигнала в случае использования 5-и ВОЛЗ при выполнении всех НВО с коэффициентами отклонения 0,5 (копии сигнала условно показаны закрашенными прямоугольниками). Для повышения наглядности на рисунке проведены линии максимальной и минимальной амплитуд копий. На рисунке по оси ординат показана амплитуда интенсивности оптического излучения копий, нормированная относительно интенсивности оптического излучения на входе бинарной ВОС (Jm/Jc).
Как видно из рисунка, максимальную амплитуду имеет нулевая копия (J0=0,011354Jc), минимальную амплитуду – последняя копия (J31=0,010823Jc). Неидентичность копий Р в данном случае составляет 0,416 дБ.
Наибольшее влияние на идентичность копий оказывают потери в последней, 5-й, ВОЛЗ (0,1072 дБ), так как она имеет наибольшую длину волоконного световода. Для компенсации данных потерь необходимо, чтобы коэффициент ответвления входящего в состав четвертого ВОЧП разделительного НВО Y-типа был равен k4=0,5061739 (или при выполнении НВО с точностью 0,001 – k4 0,506). В этом случае в 5-ю ВОЛЗ будет ответвляться бульшая часть оптического излучения, что приведет к некоторому увеличению амплитуд копий, при формировании которых они задерживаются в 5-й ВОЛЗ, то есть копий с номерами 16… 31 (фиг.11a).
При этом происходит уменьшение максимальной амплитуды копий (Jmax=J0=0,011210 Jc) и увеличение минимальной амплитуды копий (Jmin=J31=0,010946Jc), что приводит к уменьшению неидентичности до Р=0,2071 дБ.
Для компенсации потерь в 4-й ВОЛЗ необходимо коэффициент ответвления разделительного НВО Y-типа, входящего в состав 3-го ВОЧП, выполнить равным k3 0,503. Это вызовет увеличение амплитуд копий с номерами 8… 15, 24… 31 и уменьшение амплитуд остальных копий, что также приведет к некоторому повышению идентичности формируемых копий (фиг.11б).
При этом происходит дальнейшее уменьшение максимальной амплитуды копий (JmахJ0=0,011143Jc) и увеличение минимальной амплитуды копий (Jmin=J31=0,011016Jc). Неидентичность копий в этом случае составит Р=0,1029 дБ.
Если выполнить коэффициент ответвления разделительного НВО Y-типа, входящего в состав 2-го ВОЧП приблизительно равным k2 0,502, то произойдет компенсация потерь оптического излучения в 3-й ВОЛЗ, что также скажется на виде формируемой последовательности копий: амплитуда тех копий, которые задерживаются в 3-й ВОЛЗ (4… 7, 12… 15, 20… 23 и 28… 31) возрастет, остальных – снизится (фиг.11в).
Следует отметить, что в этом случае максимальную амплитуду имеет уже не нулевая, а 4-я копия (Jmax=J4=0,011119Jc), минимальную амплитуду – не последняя, а 27-я копия (Jmin=J27=0,011036Jс). Неидентичность сформированных копий при этом составляет уже Р=0,0651 дБ.
Наконец, при компенсации потерь во всех каскадах (выполнения коэффициентов ответвления, входящих в состав ВОЧП разделительных НВО Y-типа согласно фиг.9 с точностью 0,001) разница между максимальной и минимальной амплитудами копий станет еще менее существенной (Jmах=J6=0,011106Jс и Jmin=J25=0,11047Jc). Вид сформированной последовательности копий на выходе бинарной ВОС для этого случая показан на фиг.11г.
Неидентичность сформированной последовательности копий при этом составит Р=0,0462 дБ, то есть максимальная амплитуда копий превышает минимальную амплитуду всего в 1,005337 раз.
На фиг.12 приведены результаты расчетов неидентичности формируемых копий радиосигнала при изготовлении НВО с коэффициентами передачи, выполненными с точностью 0,1; 0,01 и 0,001. В графическом виде зависимость неидентичности формируемых копий при различной точности выполнения коэффициентов ответвления НВО от числа используемых ВОЛЗ N представлена на фиг.13.
Предлагаемые меры по повышению идентичности формируемых копий в ДЗУ на основе бинарной ВОС позволяют существенно улучшить условия тиражирования входного сигнала. Так, например, в рассматриваемом устройстве будет возможно формирование 4096 копий с неидентичностью, не превышающей 0,2 дБ (при отсутствии таких мер неидентичность копий, не превышающую 0,2 дБ, можно было получить только при 16-и копиях).
Необходимо признать, что предлагаемые меры действенны при количестве ВОЛЗ, не превышающем 10… 13 (в зависимости от точности изготовления НВО). При бульшем числе ВОЛЗ потери в волоконном световоде достигают значений, которые не удается скомпенсировать изменением коэффициентов ответвления НВО. Добиться повышения идентичности копий в этом случае можно путем установки последовательно с такими ВОЛЗ оптических усилителей с необходимым для компенсации потерь коэффициентом усиления.
Таким образом, результаты проведенных исследований показывают, что в заявляемом техническом решении за счет замены НВО Х-типа на последовательно соединенные суммирующий и разделительный НВО Y-типа и изменения коэффициентов ответвления разделительных НВО Y-типа можно значительно повысить идентичность формируемых копий при заданном числе копий или увеличить количество копий при требуемой неидентичности по сравнению с прототипом (патент 2213421 RU, МПК7 Н 04 В 10/00, G 02 В6/00, G 01 S 7/40). Это доказывает наличие причинно-следственной связи между заявляемой совокупностью признаков и техническим результатом в части повышения идентичности формируемых копий.
Для доказательства сохранения возможности управления процессом формирования копий рассмотрим процесс тиражирования входного сигнала в динамическом запоминающем устройств с последовательно бинарной волоконно-оптической структурой.
Рассмотрим сначала процесс управления последовательностью формируемых устройством копий при использовании для этих целей только первых N ВОК 8-1,… , 8-N.
При размыкании j-го волоконно-оптического ключа ВОК 8-j из генеральной последовательности копий исчезнут первые 2j-1 копий. Последующие 2j-1 копий свободно пройдут на выход ДЗУ и т.д. Таким образом, если обозначить наличие копии на выходе устройства через “1”, а отсутствие – через “0”, то формируемую частную последовательность копий при размыкании только j-го волоконно-оптического ключа BOKj можно представить в виде двоичного слова Sj длиной в 2N разрядов

Так, при размыкании только первого волоконно-оптического ключа ВОК 8-1 из генеральной последовательности копий останутся только копии с нечетными N порядковыми номерами: 1, 3, 5,… , 2N-1, то есть с временем задержки копий зад, 3 зад, 5 зад,… , (2N-1) зад соответственно. Аналогично, при размыкании только второго ВОК 8-2 из всей последовательности копий останутся только копии с временами задержки 2 зад, 3 зад; 6 зад, 7 зад;… ; (2N-2) зад, (2N-1) зад. Наконец, при размыкании только N-го ключа ВОК 8-N частная последовательность формируемых копий будет содержать копии с временами задержки (2N-1) зад, (2N-1+1) зад,… , (2N-1) зад.
При одновременном размыкании двух и более ключей в бинарной ВОС вид формируемой частной последовательности легко можно получить путем поразрядного умножения двоичных слов, соответствующих размыканию каждого рассматриваемого ключа в отдельности.
Управление копиями в ДЗУ с N ВОЛЗ и бинарной ВОС при использовании для управления только первых N ВОК 8-1,… , 8-N, позволяет:
1) увеличивать период следования копий в 2, 4, 8,… , 2N-1 раза;
2) формировать пакеты копий в количестве 2, 4, 8,… , 2N-1 импульсов;
3) изменять паузы между формируемыми копиями и пакетами копий (паузы эквивалентны временам формирования 2, 4, 8,… , 2N-1 импульсов);
4) формировать только одну копию с временем задержки (2N-1)· зад.
Число копий Xk, получаемых при одновременном размыкании k ключей (при использовании N ВОЛЗ), определяется выражением
Xk=XN-k.
Количество вариантов сочетаний Xk,N одновременно разомкнутых ключей числом k при их общем числе N можно определить по формуле

Общее количество возможных сочетаний разомкнутых ключей при использовании для управления только первых N ВОК 8-1, (8-N и, следовательно, вариантов последовательностей копий XN будет равно

В случае управления процессом формирования копий при использовании для управления только последних N ВОК 8-(N+1),… , 8-2N, выражение (8), соответствующее двоичному слову для разомкнутого (N+j)-го волоконно-оптического ключа BOKN+J, примет вид

Значительно более широкие возможности по управлению последовательностью формируемых копий будут получены, если использовать для этих целей все ВОК 8-1,… , 8-2N.
В этом случае заявляемое техническое решение позволяет:
1) за счет изменения сочетаний разомкнутых ВОК появляется возможность изменения относительного местоположения во времени (изменения номеров) формируемых копий сигнала при сохранении одного вида последовательности;
2) при одновременном размыкании j-го ВОК 8-j и (N+j)-го ВОК 8-(N+j), формирование копий невозможно (происходит “выключение” ДЗУ без изменения режимов работы всех его основных модулей).
Различные сочетания разомкнутых ключей позволяют изменять относительные местоположения формируемых копий при одном и том же виде их последовательности. Интерес представляет изменение местоположения в случае формирования только одной копии – различные сочетания разомкнутых ключей позволяют получить копию с любым порядковым номером.
Количество различных вариантов относительных местоположений формируемых последовательностей копий при k разомкнутых ключах с заданными номерами равно
Yk=2k.
Общее число возможных вариантов получения различных последовательностей копий (с учетом различных местоположений) для ДЗУ с N ВОЛЗ определяется выражением

На фиг.14 показаны результаты проведенных по формулам (9) и (10) расчетов вариантов получаемых копий.
Например, для ДЗУ с управляемой бинарной ВОС при использовании трех ВОЛЗ (N=3) возможно формирование 27 различных последовательностей копий. Все данные варианты последовательностей представлены на фиг.15.
Таким образом, заявляемое техническое решение позволяет формировать временную последовательность из 2N копий входного радиосигнала с периодом следования зад, а также за счет возможности управления процессом тиражирования:
1) увеличивать период следования копий в 2, 4, 8,… , 2N-1 раза;
2) формировать пакеты копий в количестве 2, 4, 8,… , 2N-1 импульсов;
3) изменять паузы между формируемыми копиями и пакетами копий (паузы эквивалентны временам формирования 2, 4, 8,… , 2N-1 импульсов);
4) изменять относительное местоположения во времени (изменять номера) формируемых копий сигнала при сохранении одного и того же вида последовательности;
5) формировать одну копию с любым номером (временем задержки 0,… , зад; 2 зад,… , (2N-1)· зад).
Доказательство сохранения малого расхода волоконного световода в заявляемом объекте приводится ниже.
Для формирования М копий входного сигнала с периодом следования зад в устройстве, описанном в патенте 4128759 США, МКИ Н 04 В 009/00 (см. фиг.16), необходимо использование М световодов общей длиной порядка 0,5· М2· L, что в М/2 раз превышает длину используемого ВС в заявляемом объекте (где L – длина ВС, обеспечивающего задержку зад).
Рециркуляционные устройства волоконно-оптической памяти, описанные в патентах 4473270 США, МКИ G 02 B 005/172 (см. фиг.17), обладают наименьшим расходом волоконного световода, определяемым периодом следования копий. Однако данные устройства характеризуются высоким затуханием сигнала от копии к копии в связи с последовательным выводом части энергии оптического излучения из процесса циркуляции. В результате при постоянном уровне шумов фотоприемника отношение сигнал-шум копий на выходе таких устройств быстро снижается, что в конечном итоге и обуславливает малое время хранения информации и высокую неидентичность копий.
Общая длина используемого световода в динамических устройствах памяти на основе многоотводных ВОЛЗ, описанных в патентах 4558920 США, МКИ G 02 B 005/172 (см. фиг.18) и 4557552 США, МКИ G 02 B 005/172 (см. фиг.19), как и в заявляемом объекте пропорциональна количеству формируемых копий.
Динамическое запоминающее устройство с бинарной ВОС (патент 2213421 RU, МПК7 Н 04 В 10/00, G 02 В 6/00, G 01 S 7/40) (см. фиг.20) характеризуется такими же факторами, влияющими на расход ВС, что и заявляемый объект.
Проведенный анализ доказывает наличие причинно-следственной связи между заявляемой совокупностью признаков и достигаемым техническим результатом в части сохранения малого расхода волоконного световода.
Функциональные элементы динамического запоминающего устройства с управляемой бинарной волоконно-оптической структурой и устройство в целом (см.фиг.1) удовлетворяют критерию промышленного применения.
Применительно к элементам схемы ДЗУ 1-5, 7-11 (см. фиг.1) можно отметить следующее. Промышленность освоила и серийно выпускает довольно широкий класс полупроводниковых лазерных излучателей и передающих оптических модулей на длину волны (1,3-1,55) мкм, способных работать в одномодовом режиме при комнатной температуре и обладающих приемлемыми потребительскими характеристиками. В частности, передающий оптический модуль ПОМ-13М имеет следующие основные данные (Стручева О.Ф., Безбородова Т.М. Изделия волоконно-оптической техники: Каталог. – М.: Экос, 1993. – 142 с.): длина волны излучения 1,3… 1,55 мкм, мощность излучения 1 мВт, ширина огибающей спектра 0,01 нм, скорость передачи информации 5 Гбит/с, одночастотный режим генерации.
Среди отечественных волоконно-оптических усилителей можно отметить ОА-850 и ОА-1300 с коэффициентами усиления Квоу, равными 6 и 10 дБ при уровне входного сигнала 20… 100 мкВт (изготовитель НИИ “Волга” НПО “Рефлектор”) и одномодовый волоконно-оптический усилитель на длину волны 1,53… 1,55 мкм (кооператив “Файбероптик”). Фирма “Пирелли КАВИ СПА” (Италия) предлагает оптический усилитель “AMPLIPHOS” на эрбиевом волокне, работающий в оптическом диапазоне =1530… 1560 нм и обеспечивающий оптимальное усиление Швоу=22… 30 дБ, а коэффициент шума Квоу не превышает 4 дБ.
В настоящее время существуют различные типы волоконно-оптических ключей. Механические ВОК характеризуются низким уровнем оптических потерь (0,5… 1 дБ), потребляемой мощностью в несколько милливатт и недостаточно высоким быстродействием (10… 50 мс), что и является их основным недостатком. Волоконно-оптические переключатели на жидких кристаллах не имеют движущихся частей и потенциально надежнее механических. Оптические потери у данного типа ВОК составляют 1… 2 дБ, потребляемая мощность 30… 50 мкВт и скорость переключения 5… 50 мс. Акусто- и магнитооптические ВОК на объемных элементах обеспечивают скорость переключения около 10-6 с-1 имеют уровень оптических потерь 2… 3 дБ. Электрооптические переключатели на одномодовых полосковых световодах, имеют оптические потери, включая потери на соединение с волоконными световодами, порядка 2… 3 дБ, скорость переключения до 6 ГГц и управляющие напряжения 4… 10 В.
В настоящее время разработано несколько типов НВО и способов их изготовления на основе волоконной, микропланарной и планарной технологий. Для изготовления НВО на основе волоконных световодов широко применяются сплавление, прецизионная механическая обработка и химическое травление с последующим восстановлением оболочки. Например, при химическом методе изготовления ответвителей волоконные световоды очищают от защитных оболочек, переплетают очищенные участки и осуществляют травление отражающих оболочек. После достижения заданных коэффициентов передачи, контролируемых по выходному сигналу непосредственно в процессе травления, волокна промывают и осуществляют восстановление оболочек. Все методы изготовления НВО на основе волоконных световодов обеспечивают малые оптические потери порядка 0,1 дБ и заданные коэффициенты передачи.
Фотоприемные устройства обычно представляют собой сочетание фотодиода и каскада предварительного усиления сигнала фотоответа. Максимальная полоса детектируемых сигналов серийных фотодиодов достигает 5… 10 ГГц при чувствительности по интенсивности оптического излучения порядка – 30 дБм, динамическом диапазоне 20… 25 дБ и крутизне характеристик детектирования 0,5… 0,8 А/Вт по току (Стручева О.Ф., Безбородова Т.М. Изделия волоконно-оптической техники: Каталог. – М.: Экос, 1993. – 142 с.)
В качестве широкополосных усилителей в настоящее время наиболее широко используются транзисторные усилители, работающие в диапазоне частот 0,1… 25 ГГц и имеющие полосу усиления 4… 80%, коэффициент усиления на каскад 5… 30 дБ, коэффициент шума 2… 6 дБ и динамический диапазон входного сигнала 80… 90 дБ (Микроэлектронные устройства СВЧ / Под ред. Г.И.Веселова. – М.: Высшая школа, 1988. – с.78-86, 225).
Все элементы БУ 6 также удовлетворяют критерию промышленного применения. Формирователи импульсов легко реализуются на основе, например, последовательного соединения дифференцирующей цепи, усилителя-ограничителя и (при необходимости) инвертора.
Формула изобретения
Динамическое запоминающее устройство радиосигналов с последовательной бинарной волоконно-оптической структурой, содержащее широкополосный усилитель, делитель мощности, передающий оптический модуль, волоконно-оптический усилитель, разделительный направленный волоконно-оптический ответвитель Y-типа, 2N волоконно-оптических ключей, N волоконно-оптических линий задержки, суммирующий направленный волоконно-оптический ответвитель Y-типа, фотодетектор и блок управления, причем входом устройства является вход широкополосного усилителя, выход которого соединен с входом делителя мощности, первый выход которого соединен с электрическим входом передающего оптического модуля, оптический выход которого через волоконно-оптический усилитель соединен с входным портом разделительного направленного волоконного ответвителя Y-типа, первый выходной порт которого подключен к оптическому входу первого волоконно-оптического ключа, а второй выходной порт подключен к оптическому входу (N+1)-го волоконно-оптического ключа, выходной порт которого соединен с входным портом первой волоконно-оптической линии задержки, причем выходной порт (N+2)-го волоконно-оптического ключа соединен с входным портом второй волоконно-оптической линии задержки, причем выходной порт (N+j)-го волоконно-оптического ключа соединен со входным портом j-й волоконно-оптической линии задержки, выходной порт последнего 2N-го волоконно-оптического ключа соединен со входным портом последней N-й волоконно-оптической линии задержки, выходной порт которой подключен ко второму входному порту суммирующего направленного волоконного ответвителя Y-типа, первый входной порт которого соединен с выходным портом N-го волоконно-оптического ключа, а выходной порт соединен с оптическим входом фотодетектора, электрический выход которого является выходом устройства, причем второй выход делителя мощности соединен с входом блока управления, выходы 1, 2, … 2N которого подключены к управляющим входам соответственно первого, второго, …, 2N-го волоконно-оптических ключей, отличающееся тем, что в него дополнительно введены (N-1) волоконно-оптических четырехполюсников, причем первый входной порт j-го волоконно-оптического четырехполюсника подключен к выходному порту j-го волоконно-оптического ключа, второй входной порт j-го волоконно-оптического четырехполюсника подключен к выходному порту j-й волоконно-оптической линии задержки, первый выходной порт j-го волоконно-оптического четырехполюсника подключен к оптическому входу (j+1)-го волоконно-оптического ключа, второй выходной порт j-го волоконно-оптического четырехполюсника подключен к оптическому входу (N+j+1)-го волоконно-оптического ключа, причем каждый волоконно-оптический четырехполюсник содержит внутренние суммирующий и разделительный направленные волоконно-оптические ответвители Y-типа, причем первый входной порт внутреннего суммирующего направленного волоконно-оптического ответвителя Y-типа является первым входным портом волоконно-оптического четырехполюсника, второй входной порт внутреннего суммирующего направленного волоконно-оптического ответвителя Y-типа является вторым входным портом волоконно-оптического четырехполюсника, первый выходной порт внутреннего разделительного направленного волоконно-оптического ответвителя Y-типа является первым выходным портом волоконно-оптического четырехполюсника, второй выходной порт внутреннего разделительного направленного волоконно-оптического ответвителя Y-типа является вторым выходным волоконно-оптического четырехполюсника, выходной порт внутреннего суммирующего направленного волоконно-оптического ответвителя Y-типа соединен с входным портом внутреннего разделительного направленного волоконно-оптического ответвителя Y-типа.
РИСУНКИ
MM4A – Досрочное прекращение действия патента СССР или патента Российской Федерации на изобретение из-за неуплаты в установленный срок пошлины за поддержание патента в силе
Дата прекращения действия патента: 20.02.2006
Извещение опубликовано: 20.02.2007 БИ: 05/2007
|
|