|
|
(21), (22) Заявка: 2003132677/09, 11.11.2003
(24) Дата начала отсчета срока действия патента:
11.11.2003
(45) Опубликовано: 27.06.2005
(56) Список документов, цитированных в отчете о поиске:
БАНКЕТ В.Л., ДОРОФЕЕВ В.М., Цифровые методы в спутниковой связи. Радио и связь. – М., 1988, с.39-40. RU 2101848 C1, 10.01.1998. US 5111163 А, 05.05.1992. US 5355101 A, 11.10.1994. ЕР 0630135 А2, 21.12.1994.
Адрес для переписки:
141008, Московская обл., г. Мытищи, ул. Колпакова, 34, корп.2, кв.59, В.И. Прахову
|
(72) Автор(ы):
Прахов В.И. (RU)
(73) Патентообладатель(и):
Прахов Виктор Иванович (RU)
|
(54) ЧАСТОТНЫЙ МОДУЛЯТОР С РАЗДЕЛЕНИЕМ СПЕКТРА
(57) Реферат:
Изобретение относится к области радиосвязи и может быть использовано в цифровых системах связи. Достигаемый технический результат – возможность использования частотно-модулированных (ЧМ) сигналов с большими индексами модуляции в системах связи с ограниченным частотным ресурсом, повышение помехоустойчивости систем связи. Частотный модулятор с разделением спектра содержит два перемножителя, два фазовращателя, генератор сглаживающего напряжения, два амплитудно-фазовых модулятора, генератор несущей, сумматор и блок управления частотным сдвигом. 2 з.п. ф-лы, 15 ил.

Изобретение относится к области радиосвязи и может быть использовано в цифровых системах связи, в частности в системах спутниковой и наземной подвижной радиосвязи для формирования ЧМ сигналов с эффективным использованием радиочастотного спектра.
Аналогами заявляемого устройства являются частотные модуляторы, использующие квадратурные схемы формирования модулированного сигнала, к которым относятся, например, модуляторы /4-DQPSK и CQPSK (Овчинников М.А., Воробьев С.В., Сергеев С.И. Открытые стандарты цифровой транкинговой радиосвязи. Серия изданий “Связь и бизнес”, М: МЦНТИ, OOO “Мобильные коммуникации”, 2000, – 166 с. См. с.73 и 158). Эти модуляторы выполнены по одинаковым структурным схемам (рис.9.1 и 8.10). Различаются они только фильтрами и скоростью передачи информации (с.160). Указанные модуляторы включают в себя устройство перекодировки, два фильтра нижних частот (фильтры Найквиста), два амплитудных модулятора и сумматор, причем два выхода устройства перекодировки соединяются соответственно с входами фильтров нижних частот, выходы фильтров нижних частот соединяются с входами амплитудных модуляторов, выходы этих модуляторов соединяются с входами сумматора, выход которого является выходом частотного модулятора. Недостатком этих частотных модуляторов является использование только минимального индекса частотной манипуляции, что не позволяет использовать достоинства сигналов с большими индексами модуляции.
Наиболее близким по технической сущности является модулятор, осуществляющий частотную модуляцию без разрыва фазы – Minimum Shift Keying (MSK) или, что то же самое, модуляцию минимальным частотным сдвигом (ММС) (см. Банкет В.Л., Дорофеев В.М. Цифровые методы в спутниковой связи. – М.: Радио и связь, 1988, – 240 с., ил., с.39-40, рис.2.1б).
Этот модулятор содержит переключатель посылок на два канала (четные посылки – в один канал, нечетные – в другой), генератор сглаживающих напряжений, два перемножителя, генератор несущей, фазовращатель, два амплитудно-фазовых модулятора и сумматор. Поочередное переключение посылок входного модулирующего сигнала на два канала обеспечивает увеличение в два раза длительности посылок в каждом канале. Сглаживание прямоугольных посылок длительностью 2Т0 по законам

в каждом канале соответственно обеспечивает форму огибающих в.ч. напряжений на выходах амплитудно-фазовых модуляторов, соответствующую форме напряжений u1 и u2. Вследствие этого осуществляется плавное (линейное) изменение фазы в.ч. колебаний на выходе сумматора за время Т0 на + /2 или – /2 в зависимости от посылки входного модулирующего сигнала (0 или 1). Такое изменение фазы соответствует индексу частотной модуляции выходного сигнала m=0,5. Данный модулятор, благодаря линейному изменению фазы за время посылки, отсутствию скачков фазы на границах посылок формирует на выходе модулированное по частоте напряжение с компактным спектром. Реальная ширина спектра модулированного таким образом сигнала составляет 1,18·V, где V – скорость передачи, бит/с. Применение в модуляторе ММС фильтра Гаусса дает дополнительные возможности уменьшения занимаемой полосы частот (модуляция GMSK, см., например, Ратынский М.В. Основы сотовой связи/ Под ред. Д.Б.Зимина. – М.: Радио и связь, 1998. – 248 с., ил., с.121-126). Кроме того, в данном модуляторе нет прямого воздействия модулирующего сигнала на генератор несущей, благодаря чему обеспечивается высокая стабильность несущего колебания и возможность оперативной смены несущей частоты, что важно для широкополосных систем со скачкообразным изменением частоты.
Вместе с тем, требования к помехоустойчивости и качеству приема постоянно растут, а возможности модулятора ММС не соответствуют этим требованиям, поскольку этот модулятор обеспечивает только минимальный индекс модуляции m=0,5.
Известно, что если в системе связи с ЧМ на входе демодулятора приемника обеспечивается достаточно высокое отношение сигнал/шум, то оказывается целесообразной работа с большими индексами модуляции, т.к. в таком режиме увеличиваются не только уровень сигнала и отношение сигнал/шум на выходе приемника, но и выигрыш в отношении сигнал/шум. Такой режим желателен в случаях, когда необходимо обеспечить высокое качество передаваемых сигналов. Однако чем больше индекс модуляции, тем больше занимаемая сигналом полоса частот, и это обстоятельство ограничивает практическую возможность использования больших индексов модуляции.
В заявляемом изобретении решается задача формирования ЧМ сигнала без разрыва фазы, энергетический спектр которого состоит из двух отдельных частей, симметрично расположенных относительно несущей частоты, сдвиг по частоте между которыми изменяется пропорционально индексу частотной манипуляции при сохранении их формы; при этом ширина полосы частот, занимаемой сигналом, не изменяется при изменении индекса частотной манипуляции.
Техническим результатом является возможность использования ЧМ сигналов с большими индексами модуляции в системах связи с ограниченным частотным ресурсом и как следствие – повышение помехоустойчивости систем связи и качества приема сигналов, получение выигрыша в отношении сигнал/помеха, пропорционального индексу частотной манипуляции.
Решение этой задачи достигается тем, что в частотный модулятор, содержащий два перемножителя, два фазовращателя, генератор сглаживающего напряжения, два амплитудно-фазовых модулятора, генератор несущей и сумматор, причем выход генератора сглаживающего напряжения соединяется с первым входом первого перемножителя и через первый фазовращатель – с первым входом второго перемножителя, выход первого перемножителя соединяется с первым входом первого амплитудно-фазового модулятора, выход второго перемножителя соединяется с первым входом второго амплитудно-фазового модулятора, выход генератора несущей соединяется со вторым входом первого амплитудно-фазового модулятора и через второй фазовращатель – со вторым входом второго амплитудно-фазового модулятора, выходы первого и второго амплитудно-фазовых модуляторов соединяются соответственно с первым и вторым входами сумматора, выход которого является выходом частотного модулятора с разделением спектра, включается блок управления частотным сдвигом, вход которого является входом частотного модулятора с разделением спектра, первый выход блока управления частотным сдвигом соединяется со вторым входом первого перемножителя, а второй выход блока управления частотным сдвигом соединяется со вторым входом второго перемножителя.
Блок управления частотным сдвигом содержит два элемента “Исключающее ИЛИ”, два D-триггера, четыре ключа и генератор, причем первые входы элементов “Исключающее ИЛИ” соединяются между собой и являются входом блока управления частотным сдвигом, выход первого элемента “Исключающее ИЛИ” соединяется с первым входом первого D-триггера, выход второго элемента “Исключающее ИЛИ” соединяется с первым входом второго D-триггера, вторые входы первого и второго D-триггеров соединяются соответственно с третьим и четвертым выходом генератора, первый выход первого D-триггера соединяется с первым входом первого ключа и со вторым входом второго элемента “Исключающее ИЛИ”, второй выход первого D-триггера соединяется с первым входом второго ключа, первый выход второго D-триггера соединяется с первым входом третьего ключа, второй выход второго D-триггера соединяется с первым входом четвертого ключа и со вторым входом первого элемента “Исключающее ИЛИ”, первый и второй выходы генератора соединяются соответственно со вторым входом первого ключа и вторым входом второго ключа, 5-й и 6-й выходы генератора соединяются соответственно со вторым входом третьего ключа и вторым входом четвертого ключа, выходы первого и второго ключей соединяются между собой и образуют первый выход блока управления частотным сдвигом, выходы третьего и четвертого ключей соединяются между собой и образуют второй выход блока управления частотным сдвигом.
Генератор содержит задающий генератор, блок предустановки, делитель частоты на два, делитель частоты на 2m (где m – индекс частотной манипуляции), два счетчика Джонсона, два элемента “Исключающее ИЛИ”, четыре дифференцирующие цепи с ограничением по минимуму, два формирователя напряжения пилообразной формы, два элемента ИЛИ и два формирователя напряжения синусоидальной формы, причем выход задающего генератора соединяется с входом делителя частоты на два, первый выход делителя частоты на два соединяется с первым входом первого счетчика Джонсона, второй выход делителя частоты на два соединяется с первым входом делителя частоты на 2m, выход которого соединяется с первым входом второго счетчика Джонсона, первый выход блока предустановки соединяется со вторым входом делителя частоты на два, второй выход блока предустановки соединяется со вторыми входами делителя частоты на 2m и обоих счетчиков Джонсона, первый выход первого счетчика Джонсона соединяется с первым входом первого элемента “Исключающее ИЛИ”, второй выход первого счетчика Джонсона соединяется с первым входом второго элемента “Исключающее ИЛИ”, первый выход второго счетчика Джонсона соединяется со вторым входом первого элемента “Исключающее ИЛИ” и с входом первой дифференцирующей цепи с ограничением по минимуму, второй выход второго счетчика Джонсона соединяется с входом второй дифференцирующей цепи, третий выход второго счетчика Джонсона соединяется со вторым входом второго элемента “Исключающее ИЛИ” и с входом третьей дифференцирующей цепи с ограничением по минимуму, четвертый выход второго счетчика Джонсона соединяется с входом четвертой дифференцирующей цепи с ограничением по минимуму, выход первого элемента “Исключающее ИЛИ” соединяется с входом первого формирователя напряжения пилообразной формы, выход второго элемента “Исключающее ИЛИ” соединяется с входом второго формирователя напряжения пилообразной формы, выход первого формирователя напряжения пилообразной формы соединяется с входом первого формирователя напряжения синусоидальной формы, два выхода которого являются первым и вторым выходами генератора, выход второго формирователя напряжения пилообразной формы соединяется с входом второго формирователя напряжения синусоидальной формы, два выхода которого являются пятым и шестым выходами генератора, выходы первой и второй дифференцирующей цепи с ограничением по минимуму соединяются с входами первого элемента ИЛИ, выход которого является третьим выходом генератора, выходы третьей и четвертой дифференцирующей цепи с ограничением по минимуму соединяются с входами второго элемента ИЛИ, выход которого является четвертым выходом генератора.
Совокупность признаков, характеризующих частотный модулятор с разделением спектра, обеспечивает получение технического результата во всех случаях, на которые испрашивается объем правовой защиты, а признаки, относящиеся к блоку управления частотным сдвигом и к генератору, характеризуют его лишь в конкретной форме выполнения.
Все существенные признаки заявляемого изобретения находятся в причинно-следственной связи с достигаемым техническим результатом. Блок управления частотным сдвигом преобразует входные двоичные посылки модулирующего сигнала в знакопеременные гармонические напряжения длительностью 2Т0, действующие на выходах этого блока и на длительности посылок определяющиеся равенствами:

В этих равенствах m – индекс частотной манипуляции, который необходимо обеспечить;
Т0 – длительность посылок входного модулирующего сигнала,
t – текущее время.
Индекс частотной манипуляции должен удовлетворять равенству m=n-0,5, где n – целое положительное число. Частота напряжений u1 и u2 равна m /Т0. Выбором частоты напряжений u1 и u2 обеспечивается необходимый индекс манипуляции. Первый и второй перемножители сглаживают огибающие посылок напряжений u1 и u2 по закону синусоидальной полуволны, что необходимо для уменьшения реальной ширины каждой из частей спектра выходного сигнала и придания им формы, как в сигнале MSK. Напряжения с выходов перемножителей воздействуют на амплитудно-фазовые модуляторы, в которых происходит изменение амплитуды и фазы в.ч. колебания, поступающего от генератора несущей. Сложение этих колебаний дает ЧМ напряжение без разрыва фазы с индексом модуляции m, который может быть установлен достаточно большим. При m 1,5 спектр этого напряжения разделен на две половины.
На фиг.1 представлена структурная схема частотного модулятора с разделением спектра, на фиг.2 – структурная схема блока управления частотным сдвигом, на фиг.3 – структурная схема генератора, на фиг.4 – схема задающего генератора, на фиг.5 – схема блока предустановки, на фиг.6 – схема делителя частоты на 2, на фиг.7 – схема делителя частоты на 2m, на фиг.8 – схема счетчика Джонсона, на фиг.9 – схема дифференцирующей цепи с ограничением по минимуму, на фиг.10 – схема формирователя напряжения пилообразной формы, на фиг.11 – схема формирователя напряжения синусоидальной формы, на фиг.12 – временные диаграммы напряжений в генераторе, на фиг.13 – временные диаграммы напряжений в блоке управления частотным сдвигом, на фиг.14 – временные диаграммы сигналов в частотном модуляторе с разделением спектра, на фиг.15 – спектральная характеристика сигнала на выходе частотного модулятора с разделением спектра.
Частотный модулятор с разделением спектра (см. фиг.1) содержит блок 1 управления частотным сдвигом, первый перемножитель 2, первый фазовращатель 3, второй перемножитель 4, генератор 5 сглаживающего напряжения, первый амплитудно-фазовый модулятор 6, второй фазовращатель 7, второй амплитудно-фазовый модулятор 8, генератор 9 несущей и сумматор 10, причем вход блока 1 управления частотным сдвигом является входом частотного модулятора с разделением спектра, первый выход блока 1 управления частотным сдвигом соединяется со вторым входом первого перемножителя 2, а второй выход соединяется со вторым входом второго перемножителя 4, выход генератора 5 сглаживающего напряжения соединяется с первым входом первого перемножителя 2 и через первый фазовращатель 3 – с первым входом второго перемножителя 4, выход первого перемножителя 2 соединяется с первым входом первого амплитудно-фазового модулятора 6, выход второго перемножителя 4 соединяется с первым входом второго амплитудно-фазового модулятора 8, выход генератора 9 несущей соединяется со вторым входом первого амплитудно-фазового модулятора 6 и через фазовращатель 7 – со вторым входом второго амплитудно-фазового модулятора 8, выходы амплитудно-фазовых модуляторов 6 и 8 соединяются соответственно с первым и вторым входами сумматора 10, выход которого является выходом частотного модулятора с разделением спектра.
Блок 1 управления частотным сдвигом (см. фиг.2) содержит первый элемент 11 “Исключающее ИЛИ”, второй элемент 12 “Исключающее ИЛИ”, первый D-триггер 13, второй D-триггер 14, первый ключ 15, второй ключ 16, третий ключ 17, четвертый ключ 18 и генератор 19, причем первые входы элементов 11 и 12 “Исключающее ИЛИ” соединяются между собой и являются входом блока 1 управления частотным сдвигом, выход элемента 11 “Исключающее ИЛИ” соединяется с первым входом D-триггера 13, выход элемента 12 “Исключающее ИЛИ” соединяется с первым входом D-триггера 14, вторые входы D-триггеров 13 и 14 соединяются соответственно с третьим и четвертым выходом генератора 19, первый выход первого D-триггера 13 соединяется с первым входом первого ключа 15 и со вторым входом второго элемента 12 “Исключающее ИЛИ”, второй выход первого D-триггера 13 соединяется с первым входом второго ключа 16, первый выход второго D-триггера 14 соединяется с первым входом третьего ключа 17, второй выход второго D-триггера 14 соединяется с первым входом четвертого ключа 18 и со вторым входом первого элемента 11 “Исключающее ИЛИ”, первый и второй выходы генератора 19 соединяются соответственно со вторым входом первого ключа 15 и вторым входом второго ключа 16, 5-й и 6-й выходы генератора соединяются соответственно со вторым входом третьего ключа 17 и вторым входом четвертого ключа 18, выходы ключей 15 и 16 соединяются между собой и образуют первый выход блока 1 управления частотным сдвигом, выходы ключей 17 и 18 соединяются между собой и образуют второй выход блока 1 управления частотным сдвигом.
Генератор 19 (см. фиг.3) содержит задающий генератор 20, блок 21 предустановки, делитель 22 частоты на два, делитель 23 частоты на 2m, первый счетчик 24 Джонсона, второй счетчик 25 Джонсона, первый элемент 26 “Исключающее ИЛИ”, второй элемент 27 “Исключающее ИЛИ”, первую дифференцирующую цепь 28 с ограничением по минимуму, вторую дифференцирующую цепь 29 с ограничением по минимуму, третью дифференцирующую цепь 30 с ограничением по минимуму, четвертую дифференцирующую цепь 31 с ограничением по минимуму, первый формирователь 32 напряжения пилообразной формы, второй формирователь 33 напряжения пилообразной формы, первый элемент 34 ИЛИ, второй элемент 35 ИЛИ, первый формирователь 36 напряжения синусоидальной формы и второй формирователь 37 напряжения синусоидальной формы, причем выход задающего генератора 20 соединяется с входом делителя 22 частоты на два, первый выход делителя 22 частоты на два соединяется с первым входом первого счетчика 24 Джонсона, второй выход делителя 22 частоты на два соединяется с первым входом делителя 23 частоты на 2m, выход которого соединяется с первым входом второго счетчика 25 Джонсона, первый выход блока 21 предустановки соединяется со вторым входом делителя 22 частоты на два, второй выход блока 21 предустановки соединяется со вторыми входами делителя частоты 23 на 2m и счетчиков 24 и 25 Джонсона, первый выход первого счетчика 24 Джонсона соединяется с первым входом первого элемента 26 “Исключающее ИЛИ”, второй выход первого счетчика 24 Джонсона соединяется с первым входом второго элемента 27 “Исключающее ИЛИ”, первый выход второго счетчика 25 Джонсона соединяется со вторым входом первого элемента 26 “Исключающее ИЛИ” и с входом первой дифференцирующей цепи 28 с ограничением по минимуму, второй выход второго счетчика 25 Джонсона соединяется с входом второй дифференцирующей цепи 29, третий выход второго счетчика 25 Джонсона соединяется со вторым входом второго элемента 27 “Исключающее ИЛИ” и с входом третьей дифференцирующей цепи 30 с ограничением по минимуму, четвертый выход второго счетчика 25 Джонсона соединяется с входом четвертой дифференцирующей цепи 31 с ограничением по минимуму, выход первого элемента 26 “Исключающее ИЛИ” соединяется с входом первого формирователя 32 напряжения пилообразной формы, выход второго элемента 27 “Исключающее ИЛИ” соединяется с входом второго формирователя 33 напряжения пилообразной формы, выход первого формирователя 32 напряжения пилообразной формы соединяется с входом первого формирователя 36 напряжения синусоидальной формы, два выхода которого являются первым и вторым выходами генератора 19, выход второго формирователя 33 напряжения пилообразной формы соединяется с входом второго формирователя 37 напряжения синусоидальной формы, два выхода которого являются пятым и шестым выходами генератора 19, выходы первой и второй дифференцирующих цепей 28 и 29 с ограничением по минимуму соединяются с входами первого элемента 34 ИЛИ, выход которого является третьим выходом генератора 19, выходы третьей и четвертой дифференцирующих цепей 30 и 31 с ограничением по минимуму соединяются с входами второго элемента 35 ИЛИ, выход которого является четвертым выходом генератора 19.
В блоке 1 управления частотным сдвигом (см. фиг.2) соединенные между собой первые входы элементов 11 и 12 “Исключающее ИЛИ” являются входом частотного модулятора, на который подается входной модулирующий двоичный сигнал. Выходы ключей 15 и 16, соединенные между собой, являются первым выходом блока 1 управления частотным сдвигом, который соединяется со вторым входом первого перемножителя 2. Выходы ключей 17 и 18, соединенные между собой, являются вторым выходом блока 1 управления частотным сдвигом, который соединяется со вторым входом второго перемножителя 4. Шесть выходов генератора 19 соединяются с входами функциональных узлов блока 1 управления частотным сдвигом. При этом первый выход формирователя 36 напряжения синусоидальной формы соединяется со вторым входом ключа 15, второй выход формирователя 36 синусоидальной формы соединяется со вторым входом ключа 16, первый выход формирователя 37 напряжения синусоидальной формы соединяется со вторым входом ключа 18, второй выход формирователя 37 напряжения синусоидальной формы соединяется со вторым входом ключа 17, выход элемента 34 ИЛИ соединяется со вторым входом D-триггера 13, выход элемента 35 ИЛИ соединяется со вторым входом D-триггера 14.
Большинство функциональных узлов частотного модулятора с разделением спектра выполняются на ИМС: элементы 11, 12, 26 и 27 “Исключающее ИЛИ” – К155ЛП5, D-триггеры 13 и 14 – КР1533ТМ2, ключи 15…18 – КР590КН6, задающий генератор 20 – КР531ГГ1 по схеме фиг.4, блок 21 предустановки может быть выполнен по схеме фиг.5 на транзисторах КТ3102Г, делитель 22 частоты на два может быть выполнены на RSD-триггерах К1533ТМ2 по схеме фиг.6. Делитель частоты на 2m (где m – необходимый индекс частотной модуляции) может быть выполнен по схеме, представленной на рис.4.25-в в книге: Вениаминов В.Н., Лебедев О.Н., Мирошниченко А.И. Микросхемы и их применение: Справ, пособие. – 3-е изд., перераб и доп. – М.: Радио и связь, 1989. 240 с., ил. Для случая m=5,5 схема делителя частоты на 2m представлена на фиг.7; входящие в эту схему элементы выполняются на ИМС: 4-разрядный счетчик СТ2 – К561ИЕ5, 3-входовой элемент И – К555ЛИ3, RS-триггер – К555ТР2. Схемы и работа этих элементов представлены в книге: Шило В.Л. Популярные цифровые микросхемы: Справочник. 2.-е изд., испр. – Челябинск: Металлургия, Челябинское отд., 1989. – 352 с.: ил. на рис.1.23 (с.40), на рис.1.53 (с.73) и рис.1.66 (с.88). Счетчик Джонсона выполняется на основе регистра сдвига с перекрестной связью. Принцип работы этих счетчиков и схема на основе 5-разрядного регистра представлены на с.134 и на рис.4.26 вышеприведенной книги Вениаминова В.Н. и др. Схема счетчика Джонсона на основе 2-разрядного счетчика, который используется в частотном модуляторе с m=5,5, представлена на фиг.8. В счетчике Джонсона 24 выходные сигналы снимаются с выходов Q1 и Q2, а в счетчике Джонсона 25 – с выходов Q1, Q2, Q3 и Q4. Дифференцирующие цепи 28…31 с ограничением по минимуму можно выполнить на RC-цепях с элементами И К1533ЛИ1 в качестве ограничителей по минимуму, устраняющих отрицательные импульсы на выходах дифференцирующих цепей (фиг.9). Двухвходовые элементы 34 и 35 ИЛИ – КР1533ЛЛ1. Схема формирователя напряжения пилообразной формы (ФНП) представлена на фиг.10; это устройство выполняется на интегрирующей RC-цепи с буферным усилителем на операционном усилителе, например, КР140УД8. Формирователь напряжения синусоидальной формы (ФНС) выполняется на основе схемы, представленной в книге: Граф Р. Электронные схемы: 1300 примеров: Пер. с англ. – M.: Мир, 1989, 688 с., ил., с.618. Схема формирователя напряжения синусоидальной формы представлена на фиг.11; с выходов усилителей, входящих в состав формирователя, снимаются прямой и инверсный сигналы (S1 и S3 или S2 и S4).
Работа частотного модулятора с разделением спектра осуществляется следующим образом. Генератор 19 (фиг.3) формирует четыре последовательности отрезков синусоиды частотой m /Т0 с взаимным фазовым сдвигом /4 и две последовательности тактовых импульсов, определенным образом сфазированных относительно этих отрезков синусоиды. Временные диаграммы сигналов в генераторе 19 представлены на фиг.12. Диаграммы построены для случая, когда обеспечивается индекс частотной манипуляции m=5,5. Задающий генератор 20 формирует сигнал в форме меандра, частота которого связана с длительностью Т0 посылок модулирующего сигнала соотношением: fг=4m/T0. Из этого сигнала делитель 22 частоты на два формирует меандр частотой f:2=2m/T0. Форма этого напряжения показана на фиг.12 (u22). Делитель 23 частоты на 2m срабатывает от отрицательных фронтов входного меандра, и для обеспечения синфазности срабатывания счетчиков 24 и 25 Джонсона сигнал на вход делителя 23 частоты подается с инверсного выхода делителя 22. Форма сигнала на выходе делителя 23 частоты на 2m=11 показана на фиг.12 (u23). Частота следования этих импульсов равна (2m/T0)/2m=1/T0.
На выходах счетчика 24 Джонсона получаются сигналы частотой m/(2Т0), имеющие взаимный фазовый сдвиг /2 (см. фиг.12, U24-1 и u24-2), а на выходах счетчика 25 Джонсона – сигналы частотой 1/4Т0. Длительность посылок на выходах счетчика 25 Джонсона равна 2Т0.
Напряжения с выходов элементов 26 и 27 “Исключающее ИЛИ” подаются на формирователи 32 и 33 напряжения пилообразной формы. Полученные на выходах этих формирователей напряжения имеют форму, показанную на диаграммах u32 и u33 фиг.12. После сглаживания этих напряжений в формирователях 36 и 37 напряжения синусоидальной формы получаются напряжения, форма которых показана на диаграммах u36-1, u36-2, u37-1 и u37-2 фиг.12. Эти напряжения представляют собой периодические последовательности отрезков синусоиды длительностью 2Т0, на которых размещаются 2m полупериодов колебаний частотой m /Т0. Эти колебания имеют взаимный фазовый сдвиг /2.
Путем дифференцирования сигналов с выходов счетчика 25 Джонсона и сложения полученных импульсов в элементах 34 и 35 ИЛИ получаются две последовательности тактовых импульсов (диаграммы ТИ1 и ТИ2), имеющих необходимое временное положение относительно сигналов на выходах формирователей напряжения синусоидальной формы.
Блок 21 предустановки, схема которого показана на фиг.5, вместе с делителем 22 частоты на два обеспечивают синхронизацию первоначального срабатывание делителя 23 частоты и счетчиков 24 и 25 Джонсона и необходимое взаимное расположение выходных сигналов генератора на оси времени в процессе работы. Это обеспечивается следующим образом. При включении питания заряжаются конденсаторы в базовых цепях транзисторов (фиг.5). Постоянная времени цепи заряда второго конденсатора меньше, чем первого, и заданный уровень положительного напряжения на выходе второго транзистора появляется раньше, чем первого. Напряжение с выхода второго транзистора поступает на входы R триггеров в делителе 23 частоты и в счетчиках Джонсона и устанавливает эти триггеры в одинаковое (нулевое) исходное состояние. После этого заданный уровень выходного напряжения появляется на выходе первого транзистора, это напряжение подается на вход R делителя 22 частоты на два и обеспечивает его рабочий режим (режим деления частоты). Первые же положительные перепады напряжения на выходах этого делителя обеспечат переключение триггеров в делителе 23 частоты и в счетчиках 24 и 25 Джонсона, т.е. синхронизм работы этих устройств.
Блок 1 управления частотным сдвигом (фиг.2), на вход которого поступает модулирующий сигнал (осциллограмма uвх на фиг.13), формирует на своих выходах последовательности отрезков синусоиды частотой m /Т0, где m – необходимый индекс модуляции, Т0 – длительность посылок модулирующего сигнала (осциллограммы u15-16 и u17-18 на фиг.13). Рассмотрим принцип формирования этих напряжений, пользуясь временными диаграммами фиг.13. Для этого предположим, что в первый тактовый момент времени начинает действовать первая (единичная) посылка модулирующего сигнала и от генератора поступает тактовый импульс ТИ1 (фиг.13). В момент действия тактового импульса ТИ1 изменяется состояние D-триггера 13. В этот момент времени триггер устанавливается в состояние, определяющееся напряжением u11 на выходе элемента 11 “Исключающее ИЛИ”, а это напряжение, в свою очередь, определяется входным сигналом и напряжением u14-2, действующим на инверсном выходе триггера 14. Предположим, что напряжение u14-2 на интервале первой посылки было нулевым (фиг.13). При этом на входах элемента 11 действуют различные посылки (нулевая и единичная), следовательно, на выходе этого элемента сформируется единичная посылка. Это единичное напряжение в момент действия первого импульса ТИ1 перепишется на первый выход триггера 13 и откроет ключ 15. Напряжение S1, действующее на входе ключа, поступит на его выход, т.е. на первый выход блока управления (осциллограмма u15-16 фиг.13). При нулевом состоянии второго (инверсного) выхода D-триггера 14 первый (прямой) выход этого триггера находится в единичном состоянии, т.е. u14-1=1. Это напряжение действует на первый вход ключа 15. Этот ключ открывается, и сигнал 82 с выхода генератора поступает на вход ключа. Таким образом, в первый тактовый интервал на первом выходе блока 1 управления частотным сдвигом действует сигнал S1, а на втором выходе – сигнал S2.
Во второй тактовый момент действует импульс ТИ2. Этот импульс действует на D-триггер 14 и обновляет его состояние; состояние D-триггера 13 во втором тактовом интервале остается таким же, как и в первом интервале, т.е. единичное состояние. Таким образом, на входах элемента 14 “Исключающее ИЛИ” действуют единичные напряжения: на первом входе – входная посылка, на втором входе – с первого выхода D-триггера 13. Следовательно, на выходе элемента 12 будет действовать нулевая посылка. Во второй тактовый момент эта посылка перепишется на первый выход D-триггера 14. При этом u14-1=0, u14-2=1. Единичным напряжением u14-2 откроется ключ 18, через который от генератора 19 на второй выход блока 1 поступит напряжение S4. На первом выходе блока 1 будет продолжать действовать сигнал S1.
В начале третьего тактового интервала импульсом ТИ1 изменится состояние первого выхода блока 1 управления частотным сдвигом; состояние второго выхода блока 1 не изменится – здесь по-прежнему будет действовать сигнал S4. При этом в 3-м интервале на первом входе элемента 11 действует нулевая посылка модулирующего сигнала, на втором входе – единичная посылка u14-2, на выходе элемента 11 образуется единичное напряжение, в 3-й тактовый момент оно перепишется на первый выход D-триггера 13, этим напряжением откроется ключ 15, и на первый выход блока 1 управления частотным сдвигом поступит сигнал S1.
Продолжая аналогичные рассуждения, получим форму напряжений на выходах функциональных узлов блока 1, соответствующую осциллограммам на фиг.13. Анализ показывает, что состояние выходов блока 1 не зависит от первоначального состояния D-триггеров 13 и 14.
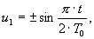
Посылки сигналов на выходах блока 1 управления частотным сдвигом имеют длительность 2Т0 и взаимно смещены на Т0 – так же, как в модуляторе MSK. Фазы этих синусоид могут изменяться на в зависимости от посылки (0 или 1), действующей на входе модулятора, однако фазовый сдвиг между этими колебаниями в любой момент времени составляет ± /2. Учитывая первоначальный фазовый сдвиг между напряжениями частотой m /Т0 на выходах блока 1 управления частотным сдвигом, равный /2, фазы напряжения на первом выходе блока управления принимают в процессе модуляции значения 0 или , а фазы напряжения на втором выходе – значения /2 или 3 /2. Таким образом, напряжения на выходах блока управления частотным сдвигом можно записать следующим образом:
u1=±asin(m t/T0), u2=±acos(m t/T0).
В отличие от модулятора MSK данный модулятор формирует посылки синусоидальной формы, имеющие не один, а 2m полупериодов на интервале их длительности. Это преобразование прямоугольных входных посылок в синусоидальные посылки обеспечивает необходимый (сколь угодно большой) индекс модуляции выходного сигнала модулятора. Кроме того, блок 1 управления частотным сдвигом обеспечивает прямое соответствие между напряжением входной модулирующей посылки и частотой выходного напряжения модулятора. Это наглядно демонстрируют временные диаграммы сигналов на фиг.13.
Если сигналы с первого и второго выходов блока 1 управления частотным сдвигом подать на амплитудно-фазовые модуляторы (АФМ) соответственно 6 и 8 (минуя перемножители 2 и 4), то получим высокочастотные сигналы с амплитудной и фазовой модуляцией, показанные на временных диаграммах u6 и u8 фиг.13. Посылки этих сигналов можно представить следующим образом:

где 0 – частота несущего колебания, поступающего от генератора 9.
Фаза в.ч. посылок напряжения u6 принимает значения 0 или к в зависимости от знака полуволны напряжения на первом входе амплитудно-фазового модулятора 6, а фаза напряжения u8 принимает значения /2 или 3 /2 в зависимости от знака полуволны напряжения на первом входе амплитудно-фазового модулятора 8. Такое различие фаз напряжений определяется сдвигом фазы на /2 несущего колебания, поступающего от генератора 9, в фазовращателе 7.
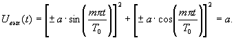
При сложении сигналов u6 и u8 в сумматоре 10 получим выходное напряжение модулятора:

Амплитуда Uвых(t) выходного напряжения модулятора постоянна (отсутствует AM), т.к.

Переменная составляющая фазы  выходного напряжения, обусловленная модуляцией, определится:

Из этого равенства видно, что на интервале посылки фаза выходного напряжения линейно изменяется во времени (увеличивается или уменьшается). На интервале посылки (t=Т0) изменение фазы составит ±m . Переменная составляющая фазы выходного напряжения модулятора представлена на фиг.13 (временная диаграмма  ). На этой временной диаграмме расстояние между соседними горизонтальными линиями соответствует изменению фазы  = /2.
Переменная составляющая частоты  (t) или f(t) выходного сигнала определится:

Таким образом, отклонение частоты от значения 0 на интервале посылки не зависит от времени. Это значит, что девиация частоты выходного напряжения составляет: fд=m/2Т0.
Такая девиация частоты действительно соответствует индексу модуляции, равному m:

Форма переменной составляющей частоты выходного сигнала модулятора для частного случая, когда не учитывается работа перемножителей 2 и 4, показана на фиг.13 (временная диаграмма fвых).
При достаточно больших индексах модуляции спектр сигнала состоит из двух частей, симметрично расположенных на оси частот относительно несущей частоты 0. Однако спектр каждой части содержит боковые лепестки, число которых увеличивается по мере увеличения индекса модуляции. Это приводит к расширению занимаемой сигналом полосы частот.
Для уменьшения полосы частот, занимаемой выходным сигналом, используются перемножители 2 и 4 (фиг.1). В этих перемножителях осуществляется умножение сигналов u15-16 и u17-18 на сглаживающие напряжения, формируемые генератором 5 и фазовращателем 3. Эти напряжения имеют форму периодической последовательности положительных полуволн синусоиды частотой /2Т0. Длительность этих полуволн равна 2Т0, причем полуволны напряжений, поступающих на первые входы перемножителей 2 и 4, взаимно смещены на Т0. Границы полуволн совпадают с границами посылок, поступающих на вторые входы перемножителей 2 и 4. В результате перемножения форма огибающих посылок сигналов в синфазном и квадратурном каналах соответствует полуволнам синусоиды. На фиг.14 показана форма напряжений на выходах блока 1 управления частотным сдвигом (u15-16 и u17-18, осциллограммы 1 и 2 сверху), на выходах перемножителей 2 и 4 (u2 и u4, осциллограммы 3 и 4 сверху) и на выходах амплитудно-фазовых модуляторов 6 и 8 (u6 и u8, осциллограммы 5 и 6 сверху); осциллограммы рассчитаны с помощью MathCad. На этих временных диаграммах по оси абсцисс отложена величина х=t/T0 – нормированное время.
Временная функция выходного напряжения модулятора определяется уравнением:

Входящие в эту формулу величины были определены выше.
Благодаря действию перемножителей 2 и 4 боковые лепестки на спектральной характеристике выходного сигнала модулятора отсутствуют, каждая часть спектра приобретает форму такую же, как форма спектра сигнала MSK. Следует, однако, отметить, что перемножение сигнала и сглаживающих напряжений в перемножтелях 2 и 4 дает и нежелательный эффект: появляется сопутствующая амплитудная модуляция и искажается форма сигнала fвых, показанного на фиг.13. Спектральные характеристики выходных ЧМ сигналов с индексами модуляции m=0,5, m=5,5 и m=10,5, рассчитанные с помощью MathCad, показаны на фиг.15. На этих характеристиках по оси абсцисс отложены значения k:
k=F·T0=F/V,
где k – нормированная частотная расстройка относительно несущей частоты;
F – абсолютная частотная расстройка относительно несущей частоты;
Т0 – длительность посылки входного модулирующего сигнала;
V – скорость передачи сигнала.
Из фиг.15 видно, что спектр сигнала при m=5,5 и m=10,5 разделен на две одинаковые части, симметрично расположенные относительно несущей частоты, причем при m=10,5 расстояние между этими частями спектра больше, чем при m=5,5. Таким образом, по мере увеличения или уменьшения индекса модуляции расстояние между частями спектра соответственно увеличивается или уменьшается, однако форма этих частей спектральной характеристики выходного сигнала не изменяется. Соответственно не изменяется ширина полосы частот, занимаемая сигналом. Общая ширина полосы частот, занимаемая выходным сигналом модулятора при индексах модуляции m 1,5, равна удвоенной ширине спектра сигнала ММС.
Формула изобретения
1. Частотный модулятор с разделением спектра, содержащий два перемножителя, два фазовращателя, генератор слаживающего напряжения, два амплитудно-фазовых модулятора, генератор несущей и сумматор, причем выход генератора сглаживающего напряжения соединяется с первым входом первого перемножителя и через первый фазовращатель – с первым входом второго перемножителя, выход первого перемножителя соединяется с первым входом первого амплитудно-фазового модулятора, выход второго перемножителя соединяется с первым входом второго амплитудно-фазового модулятора, выход генератора несущей соединяется со вторым входом первого амплитудно-фазового модулятора и через второй фазовращатель – со вторым входом второго амплитудно-фазового модулятора, выходы первого и второго амплитудно-фазовых модуляторов соединяются соответственно с первым и вторым входами сумматора, выход которого является выходом частотного модулятора с разделением спектра, отличающийся тем, что в него включается блок управления частотным сдвигом, вход которого является входом частотного модулятора с разделением спектра, первый выход блока управления частотным сдвигом соединяется со вторым входом первого перемножителя, а второй выход блока управления частотным сдвигом соединяется со вторым входом второго перемножителя.
2. Частотный модулятор по п.1, отличающийся тем, что блок управления частотным сдвигом содержит два элемента Исключающее ИЛИ, два D-триггера, четыре ключa и генератор, причем первые входы элементов Исключающее ИЛИ соединяются между собой и являются входом блока управления частотным сдвигом, выход первого элемента Исключающее ИЛИ соединяется с первым входом первого D-триггера, выход второго элемента Исключающее ИЛИ соединяется с первым входом второго D-триггера, вторые входы первого и второго D-триггеров соединяются соответственно с третьим и четвертым выходом генератора, первый выход первого D-триггера соединяется с первым входом первого ключа и с вторым входом второго элемента Исключающее ИЛИ, второй выход первого D-триггера соединяется с первым входом второго ключа, первый выход второго D-триггера соединяется с первым входом третьего ключа, второй выход второго D-триггера соединяется с первым входом четвертого ключа и с вторым входом первого элемента Исключающее ИЛИ, первый и второй выходы генератора соединяются соответственно с вторым входом первого ключа и вторым входом второго ключа, 5-й и 6-й выходы генератора соединяются соответственно с вторым входом третьего ключа и вторым входом четвертого ключа, выходы первого и второго ключей соединяются между собой и образуют первый выход блока управления частотным сдвигом, выходы третьего и четвертого ключей соединяются между собой и образуют второй выход блока управления частотным сдвигом.
3. Частотный модулятор по п.2, отличающийся тем, что генератор содержит задающий генератор, блок предустановки, делитель частоты на два, делитель частоты на 2m, два счетчика Джонсона, два элемента Исключающее ИЛИ, четыре дифференцирующие цепи с ограничением по минимуму, два формирователя напряжения пилообразной формы, два элемента ИЛИ и два формирователя напряжения синусоидальной формы, причем выход задающего генератора соединяется с входом делителя частоты на два, первый выход делителя частоты на два соединяется с первым входом первого счетчика Джонсона, второй выход делителя частоты на два соединяется с первым входом делителя частоты на 2m, выход которого соединяется с первым входом второго счетчика Джонсона, первый выход блока предустановки соединяется со вторым входом делителя частоты на два, второй выход блока предустановки соединяется со вторыми входами делителя частоты на 2m и обоих счетчиков Джонсона, первый выход первого счетчика Джонсона соединяется с первым входом первого элемента Исключающее ИЛИ, второй выход первого счетчика Джонсона соединяется с первым входом второго элемента Исключающее ИЛИ, первый выход второго счетчика Джонсона соединяется со вторым входом первого элемента Исключающее ИЛИ и с входом первой дифференцирующей цепи с ограничением по минимуму, второй выход второго счетчика Джонсона соединяется с входом второй дифференцирующей цепи, третий выход второго счетчика Джонсона соединяется со вторым входом второго элемента Исключающее ИЛИ и с входом третьей дифференцирующей цепи с ограничением по минимуму, четвертый выход второго счетчика Джонсона соединяется с входом четвертой дифференцирующей цепи с ограничением по минимуму, выход первого элемента Исключающее ИЛИ соединяется с входом первого формирователя напряжения пилообразной формы, выход второго элемента Исключающее ИЛИ соединяется с входом второго формирователя напряжения пилообразной формы, выход первого формирователя напряжения пилообразной формы соединяется с входом первого формирователя напряжения синусоидальной формы, два выхода которого являются первым и вторым выходами генератора, выход второго формирователя напряжения пилообразной формы соединяется с входом второго формирователя напряжения синусоидальной формы, два выхода которого являются пятым и шестым выходами генератора, выход первой и второй дифференцирующей цепи с ограничением по минимуму соединяются с входами первого элемента ИЛИ, выход которого является третьим выходом генератора, выход третьей и четвертой дифференцирующей цепи с ограничением по минимуму соединяются с входами второго элемента ИЛИ, выход которого является четвертым выходом генератора.
РИСУНКИ
|
|