|
|
(21), (22) Заявка: 2003132676/09, 11.11.2003
(24) Дата начала отсчета срока действия патента:
11.11.2003
(45) Опубликовано: 27.06.2005
(56) Список документов, цитированных в отчете о поиске:
БАНКЕТ В.Л, ДОРОФЕЕВ В.М. Цифровые методы в спутниковой связи. – М.: Радио и связь, 1988, с.39-40. RU 2003215 C1, 15.11.1993. US 4229715, 21.10.1980. US 3778718, 11.12.1973. ЕР 0935339 А1, 11.08.1999.
Адрес для переписки:
141008, Московская обл., г. Мытищи, ул. Колпакова, 34, корп.2, кв.59, В.И. Прахову
|
(72) Автор(ы):
Прахов В.И. (RU)
(73) Патентообладатель(и):
Прахов Виктор Иванович (RU)
|
(54) ЧАСТОТНЫЙ МОДУЛЯТОР С ЦЕЛОЧИСЛЕННЫМ ИНДЕКСОМ МОДУЛЯЦИИ
(57) Реферат:
Изобретение относится к области радиосвязи и может быть использовано в цифровых системах подвижной радиосвязи. Достигаемый технический результат – получение двухчастотной модуляции без разрыва фазы с любым целочисленным индексом модуляции. Частотный модулятор с целочисленным индексом модуляции содержит генератор несущей, фазовращатель, два амплитудно-фазовых модулятора, сумматор, генератор, два ключа и элемент НЕ. 1 з.п. ф-лы, 9 ил.

Изобретение относится к области радиосвязи и может быть использовано в цифровых системах, в частности в системах спутниковой и наземной подвижной радиосвязи для создания колебаний с угловой модуляцией с компактным спектром.
Аналогами заявляемого устройства являются частотные модуляторы, использующие квадратурные схемы формирования модулированного сигнала, к которым относятся модуляторы /4-DQPSK и CQPSK (Овчинников М.А., Воробьев С.В., Сергеев С.И. Открытые стандарты цифровой транкинговой радиосвязи. Серия изданий “Связь и бизнес”, М.: МЦНТИ, OOO “Мобильные коммуникации”, 2000, – 166 с., см. с.73 и 158). Эти модуляторы выполнены по одинаковым структурным схемам (рис.9.1 на с.74 и 8.10 на с.159). Блок “Таблица перекодировки”, представленный на рис.8.10, на рис.9.1 представлен более подробно. Различаются модуляторы /4-DQPSK и CQPSK только фильтрами и скоростью передачи информации (с.160). Эти модуляторы включат в себя устройство перекодировки, два фильтра нижних частот (фильтры Найквиста), два амплитудных модулятора и сумматор, причем два выхода устройства перекодировки соединяются, соответственно, с входами фильтров нижних частот (ФНЧ), выходы ФНЧ соединяются с входами амплитудных модуляторов, выходы этих модуляторов соединяются с входами сумматора, выход которого является выходом частотного модулятора. Недостатком этих частотных модуляторов является наличие сопутствующей амплитудной модуляции выходного сигнала. Вследствие этого усилитель мощности передатчика такого сигнала должен работать в линейном режиме, что исключает возможность использования высокоэффективных режимов работы передатчика с высоким КПД (с.80, с.160). Причина появления сопутствующей AM заключается в используемом методе формирования модулирующих напряжений для модуляторов в квадратурных каналах (использование реакции фильтров нижних частот (фильтров Найквиста) при действии на их нижних частот (фильтров Найквиста) при действии на их входах коротких импульсов возбуждения).
Наиболее близким по технической сущности является модулятор, осуществляющий частотную модуляцию без разрыва фазы Minimum Shift Keying (MSK) или модуляцию минимальным частотным сдвигом (ММС) (см. книгу: Банкет В.Л., Дорофеев В.М. Цифровые методы в спутниковой связи. – М.: Радио и связь, 1988. – 240 с.: ил., с 39-40, рис.2.16, 2.2).
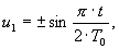
Этот модулятор содержит переключатель посылок на два квадратурных канала (четные – в один канал, нечетные – в другой), генератор сглаживающих напряжений, два перемножителя, генератор несущей, фазовращатель, два фазовых модулятора и сумматор. Поочередное переключение посылок входного модулирующего сигнала на два канала обеспечивает увеличение в два раза длительности посылок в каждом канале. Сглаживание прямоугольных посылок длительностью 2Т0 по законам

в каждом канале, соответственно, обеспечивает форму огибающих в.ч. напряжений на выходах фазовых модуляторов в соответствии с напряжениями u1 и u2, вследствие чего осуществляется плавное изменение фазы в.ч. колебаний на выходе сумматора за время Т0 на + /2 или – /2 в зависимости от посылки входного модулирующего сигнала (0 или 1). Такое изменение фазы соответствует индексу частотной манипуляции выходного сигнала m=0,5. Выбранная форма напряжений u1 и u2 на входах квадратурных фазовых модуляторов обеспечивает отсутствие сопутствующей AM выходного сигнала, т.е. в данном модуляторе отсутствует основной недостаток модуляторов CQPSK и /4-DQPSK. Кроме того, данный модулятор благодаря увеличению в два раза длительности посылок в каналах, плавному повороту фазы, отсутствию скачков фазы на границах посылок, формирует на выходе модулированное по частоте напряжение с компактным спектром. В этом модуляторе нет прямого воздействия на генератор несущей, благодаря чему сохраняется высокая стабильность несущего колебания и возможность оперативной смены несущей частоты, что важно для систем со скачкообразным изменением частоты.
Возможность получения только одного значения индекса частотной модуляции (m=0,5) является недостатком модулятора ММС, поскольку выигрыш в помехоустойчивости, которые дает частотная модуляция, увеличивается с увеличением индекса частотной модуляции, и вполне реальными являются условия, когда требуется обеспечить высокое качество и помехоустойчивость приема сигналов и имеется возможность увеличить занимаемую полосу частот. Указанный недостаток модулятора ММС обусловлен, во-первых, выбранной формой сглаживающего напряжения, во-вторых, структурой построения модулятора. Ни структура модулятора, ни форма сглаживающего напряжения в модуляторе ММС не позволяют получить другой индекс модуляции, кроме 0,5.
В заявляемом изобретении решается задача плавного поворота в заданном направлении вектора несущего колебания за время модулирующей посылки на угол, кратный . Основным техническим результатом этого является получение 2-частотной модуляции без разрыва фазы с любым целочисленным индексом модуляции. Такой технический результат расширяет функциональные возможности частотного модулятора и позволяет применять его в адаптивных системах связи, в том числе в сотовых.
Решение этой задачи достигается тем, что в частотный модулятор, содержащий генератор несущего колебания, фазовращатель, два амплитудно-фазовых модулятора и сумматор, причем выход генератора несущей соединяется с первым входом первого амплитудно-фазового модулятора и с входом фазовращателя, выход фазовращателя соединяется с первым входом второго амплитудно-фазового модулятора, выход первого амплитудно-фазового модулятора соединяется с первым входом сумматора, выход второго амплитудно-фазового модулятора соединяется со вторым входом сумматора, а выход сумматора является выходом частотного модулятора, дополнительно включаются генератор, два ключа и элемент НЕ, причем первый выход генератора соединяется с сигнальным входом первого ключа, второй выход генератора соединяется с сигнальным входом второго ключа, выходы ключей соединяются со вторым входом первого амплитудно-фазового модулятора, третий выход генератора соединяется со вторым входом второго амплитудно-фазового модулятора, вход элемента НЕ соединяется с управляющим входом первого ключа и является входом частотного модулятора, а выход элемента НЕ соединяется с управляющим входом второго ключа, причем выходные напряжения генератора имеют частоту =m· /Т0, определяющуюся необходимым целочисленным индексом модуляции m при длительности посылок Т0.
Генератор содержит задающий генератор, блок предустановки, три делителя частоты на два, два формирователя напряжения пилообразной формы и два формирователя напряжения синусоидальной формы, причем выход задающего генератора соединяется с первым входом первого делителя частоты на два, прямой и инверсный выходы которого соединяются соответственно с первыми входами второго и третьего делителей частоты на два, выходы которых соединяются соответственно с входами первого и второго формирователей напряжения пилообразной формы, первый выход блока предустановки соединяется со вторым входом первого делителя частоты на два, второй выход блока предустановки соединяется со вторыми входами второго и третьего делителей частоты на два, выходы формирователей напряжения пилообразной формы соединяются соответственно с входами формирователей напряжения синусоидальной формы, а два выхода первого формирователя напряжения синусоидальной формы и один выход второго формирователя напряжения синусоидальной формы являются выходами генератора.
Совокупность признаков, характеризующих в целом частотный модулятор с целочисленным индексом модуляции, обеспечивает получение технического результата во всех случаях, на которые испрашивается объем правовой защиты, а признаки, относящиеся к генератору, характеризуют его лишь в конкретной форме выполнения.
Все существенные признаки заявляемого изобретения находятся в причинно-следственной связи с достигаемым техническим результатом. Генератор формирует гармонические напряжения необходимой частоты, два из которых являются взаимно противофазными и осуществляют сглаживание модулирующих прямоугольных посылок, третье напряжение с выхода генератора совместно с напряжением, полученным на выходах ключей, осуществляют амплитудную и фазовую модуляцию высокочастотного напряжения в амплитудно-фазовых модуляторах. При сложении в сумматоре напряжений с выходов амплитудно-фазовых модуляторов на выходе частотного модулятора получается частотно-модулированный сигнал без разрыва фазы с целочисленным индексом модуляции m.
Данный частотный модулятор наряду с обеспечением любого целочисленного индекса модуляции обеспечивает и другие виды технического результата: формируемый модулированный сигнал не имеет сопутствующей AM, не имеет разрывов фазы и обладает компактным спектром, а в процессе модуляции не происходит воздействия модулирующего сигнала на генератор несущего колебания, что обеспечивает сохранение стабильности его частоты.
На фиг.1 представлена структурная схема частотного модулятора с целочисленным индексом модуляции, на фиг.2 – структурная схема генератора, на фиг.3 – схема задающего генератора, на фиг.4 – схема блока предустановки, на фиг.5 – схема делителя частоты на два, на фиг.6 – схема формирователя напряжения пилообразной формы, на фиг.7 – схема формирователя напряжения синусоидальной формы, на фиг.8 – временные диаграммы напряжений в генераторе, на фиг.9 – временные диаграммы напряжений, поясняющие принцип работы частотного модулятора.
Частотный модулятор с целочисленным индексом модуляции (фиг.1) содержит генератор 1, элемент 2 НЕ, ключи 3 и 4, первый амплитудно-фазовый модулятор (АФМ) 5, второй амплитудно-фазовый модулятор (АФМ) 6, фазовращатель 7, генератор несущей 8 и сумматор 9, причем первый выход генератора 1 соединяется с сигнальным входом ключа 3, второй выход генератора 1 соединяется с сигнальным входом ключа 4, выходы ключей соединяются со вторым входом амплитудно-фазового модулятора 5, третий выход генератора 1 соединяется со вторым входом амплитудно-фазового модулятора 6, вход элемента 2 НЕ соединяется с управляющим входом ключа 3 и является входом частотного модулятора, выход элемента 2 НЕ соединяется с управляющим входом ключа 4, выход генератора 8 несущей соединяется с первым входом амплитудно-фазового модулятора 5 и с входом фазовращателя 7, выход фазовращателя 7 соединяется с первым входом амплитудно-фазового модулятора 6, выход амплитудно-фазового модулятора 5 соединяется с первым входом сумматора 9, выход амплитудно-фазового модулятора 6 соединяется со вторым входом сумматора 9, выход которого является выходом частотного модулятора с целочисленным индексом модуляции.
Генератор 1 (фиг.2) содержит задающий генератор 10, блок предустановки 11, делители 12, 13 и 14 частоты на два, формирователи 15 и 16 напряжения пилообразной формы (ФНП), формирователи 17 и 18 напряжения синусоидальной формы (ФНС), причем выход задающего генератора 10 соединяется с первым входом делителя 12 частоты на два, прямой и инверсный выходы которого соединяются соответственно с первыми входами делителей 13 и 14 частоты на два, выходы которых соединяются соответственно с входами формирователей 15 и 16 напряжения пилообразной формы, первый выход блока 11 предустановки соединяется со вторым входом делителя 12 частоты на два, второй выход блока 11 предустановки соединяется со вторыми входами делителей 13 и 14 частоты на два, выходы формирователей 15 и 16 напряжения пилообразной формы соединяются соответственно с входами формирователей 17 и 18 напряжения синусоидальной формы, а два выхода формирователя 17 напряжения синусоидальной формы и один выход формирователя 18 напряжения синусоидальной формы являются выходами генератора.
Первым выходом генератора 1, который соединяется с сигнальным входом ключа 3, является прямой выход формирователя 17 напряжения синусоидальной формы. Вторым выходом генератора 1, который соединяется с сигнальным входом ключа 4, является инверсный выход формирователя 17 напряжения синусоидальной формы. Третьим выходом генератора 1, который соединяется со вторым входом амплитудно-фазового модулятора 6, является прямой выход формирователя 18 напряжения синусоидальной формы.
Большинство функциональных узлов отличительной части частотного модулятора выполняются на ИМС: элемент 2 НЕ – КР1533ЛН1, ключи 3 и 4 – КР590КН6, задающий генератор 10 может быть выполнен на ИМС КР531ГГ1 по схеме, представленной на фиг.3 (см. книгу: Бириков С.А. Применение интегральных микросхем серий ТТЛ. – М.: “Патриот”, МП “Символ-Р”, “Радио”, 1992. – 120 с. (Приложение к журналу “Радио”), с. 116); блок 11 предустановки может быть выполнен по схеме фиг.4 на транзисторах КТ3102Г; делители 12, 13 и 14 частоты на два могут быть выполнены на D-триггерах К1533ТМ2 по схеме фиг.5; формирователь напряжения пилообразной формы (ФНП) выполняется на интегрирующей RC-цепи с буферным каскадом на операционном усилителе, например, КР140УД8 по схеме фиг.6; формирователь напряжения синусоидальной формы (ФНС) выполняется по схеме фиг.7, в основу которой положена схема, представленная в книге: Граф Р. Электронные схемы: 1300 примеров: Пер. с англ. – М.: Мир, 1989, 688 с., ил., с.618.
Работа частотного модулятора осуществляется следующим образом.
При включении напряжения питания генератор 1 формирует на своих выходах три напряжения синусоидальной формы одинаковой частоты =m /Т0, но с взаимным сдвигом по фазе на /2. Процесс формирования этих напряжений для случая m=1 поясняется осциллограммами фиг.8. Задающий генератор 10 формирует на своем выходе напряжение в виде меандра (осциллограмма u10) с тактовым периодом Т0/4m, где Т0 – длительность посылок входного модулирующего сигнала, m – целое число, равное желаемому индексу частотной модуляции. На выходах делителя 12 частоты на два получаются последовательности с тактовым периодом Т0/2m (осциллограммы u12-1 и u12-2), из которых делители 13 и 14 частоты на два формируют меандры с тактовым периодом Т0/m (осциллограммы u13 и u14).
Блок предустановки, схема которого показана на фиг.4, предварительно устанавливает все делители частоты на два в нулевое исходное состояние и вместе с делителем 12 частоты на два обеспечивает первоначальное срабатывание делителей 13 и 14 частоты на 2 от соседних положительных фронтов сигналов на их входах, вследствие чего создаются необходимые фазовые соотношения трех напряжений на выходах генератора. Это обеспечивается следующим образом. При включении питания заряжаются конденсаторы в базовых цепях транзисторов (фиг.4). Постоянная времени цепи заряда второго конденсатора меньше, чем первого, и заданный уровень положительного напряжения на выходе второго транзистора появляется раньше, чем первого. Напряжение с выхода второго транзистора поступает на входы R триггеров в делителях 13 и 14 частоты на 2 и устанавливает эти триггеры в одинаковое (нулевое) исходное состояние. После этого заданный уровень выходного напряжения появляется на выходе первого транзистора, это напряжение подается на вход R делителя 12 частоты на два и обеспечивает его рабочий режим (режим деления частоты). Первые положительные перепады напряжения на выходах этого делителя обеспечат переключение триггеров в делителях 13 и 14 частоты, т.е. синхронизм работы этих делителей и, следовательно, синхронизм выходных напряжений генератора.
Формирователи напряжений пилообразной формы (ФНП) (фиг.6) из прямоугольных посылок на их входах образуют напряжения, форма которых показана на осциллограммах u15 и u16 (фиг.8). Симметрия этих напряжений относительно оси времени обеспечивается потенциометром “Установка нуля” в цепи инвертирующего входа операционного усилителя (фиг.6). Из этих напряжений формирователи напряжений синусоидальной формы (ФНС) создают выходные напряжения генератора: на прямом и инверсном выходах ФНС 17 (u17-1 и u17-2) – взаимно противофазные сигналы, а на прямом выходе ФНС 18 (u18) – напряжение, сдвинутое по фазе на – /2 относительно напряжения u17-1. Симметрия этих напряжений относительно оси времени устанавливается потенциометрами “Симметрия” на входах ФНС (фиг.7).
Работа частотного модулятора в целом поясняется с помощью временных диаграмм фиг.9, построенных для двух значений индекса модуляции: m=1 и m=2. Ключи 3, 4 с элементом 2 НЕ образуют управляемый инвертор. Управление осуществляется входным модулирующим сигналом, тактовые моменты которого синхронизированы с моментами перехода через нуль синусоидальных напряжений на выходах генератора (осциллограмма uвx). Если приходит посылка уровнем 1, то открывается ключ 3, и на вход амплитудно-фазового модулятора 5 проходит напряжение с первого выхода генератора (u1-1), фаза которого принимается за нулевую. Если приходит посылка с уровнем 0, то через инвертор 2 откроется ключ 4 и на вход амплитудно-фазового модулятора 5 проходит напряжение со второго выхода генератора (u1-2), имеющее фазу . На вход амплитудно-фазового модулятора 6 поступает напряжение с третьего выхода генератора (u1-3), которое в процессе работы модулятора не изменяется. В результате на входы амплитудно-фазовых модуляторов 5 и 6 действуют синусоидальные напряжения u3-4 и u1-3 с взаимным сдвигом по фазе на /2 (осциллограммы “u3-4” и “u1-3” фиг.9):
u3-4=±а·sin(m· ·t/T0), u1-3=а·cos(m· ·t/T0)
или
u3-4=±а·cos(m· ·t/T0), u1-3=а·sin(m· ·t/T0).
Эти напряжения изменяют амплитуду и фазу в.ч. колебаний на выходах амплитудно-фазовых модуляторов. При этом амплитуда колебаний изменяется во времени по законам изменения напряжений u3-4 и u1-3, а фаза может принимать только два значения в зависимости от знака этих напряжений. Фаза посылок на выходе амплитудно-фазового модулятора 5 принимает значения 0 и , а фаза посылок на выходе амплитудно-фазового модулятора 6 благодаря фазовращателю 7 принимает значения /2 и 3 /2. Напряжения u5 и u6 на выходах амплитудно-фазовых модуляторов 5 и 6 можно записать в следующем виде:
u5=±а·sin(m· ·t/T0)·sin 0t, u6=а·cos(m· ·t/T0)·cos 0t.
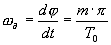
При сложении этих колебаний в сумматоре 9 получим результирующее колебание с амплитудой U(t) и фазой (t), причем


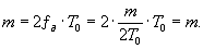
Первое из этих равенств показывает, что амплитуда выходного напряжения частотного модулятора постоянна во времени, т.е. выходной сигнал не имеет амплитудной модуляции. Из второго равенства следует, что фаза посылок выходного сигнала за время каждой посылки линейно увеличивается или уменьшается на m· . Изменение фазы во времени показано на осциллограмме “ ” фиг.9. Такому изменению фазы соответствует девиация частоты
или 
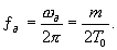
Индекс частотной модуляции, соответствующий такой девиации частоты, определится:

Выбор любого целочисленного значения m обеспечивается выбором частоты синусоидальных напряжений, формируемых генератором 1. Закон изменения частоты выходного напряжения модулятора, определенный для индексов модуляции m=1 и m=2, показан на осциллограммах “fi” фиг.9. Из этих осциллограмм видно, что частотный модулятор по схеме фиг.1 при соответствующем выборе частоты синусоидального напряжения генератора обеспечивает заданный целочисленный индекс частотной модуляции. При этом выходное напряжение не имеет разрывов фазы и, следовательно, обладает компактным спектром.
Формула изобретения
1. Частотный модулятор с целочисленным индексом модуляции, содержащий генератор несущей, фазовращатель, два амплитудно-фазовых модулятора и сумматор, причем выход генератора несущей соединяется с первым входом первого амплитудно-фазового модулятора и с входом фазовращателя, выход фазовращателя соединяется с первым входом второго амплитудно-фазового модулятора, выход первого амплитудно-фазового модулятора соединяется с первым входом сумматора, выход второго амплитудно-фазового модулятора соединяется со вторым входом сумматора, а выход сумматора является выходом частотного модулятора с целочисленным индексом модуляции, отличающийся тем, что в него включаются генератор, два ключа и элемент НЕ, причем первый выход генератора соединяется с сигнальным входом первого ключа, второй выход генератора соединяется с сигнальным входом второго ключа, выходы ключей соединяются со вторым входом первого амплитудно-фазового модулятора, третий выход генератора соединяется со вторым входом второго амплитудно-фазового модулятора, вход элемента НЕ соединяется с управляющим входом первого ключа и является входом частотного модулятора с целочисленным индексом модуляции, а выход элемента НЕ соединяется с управляющим входом второго ключа, причем выходные напряжения генератора имеют частоту =m· /To, определяющуюся необходимым целочисленным индексом модуляции m при длительности посылок Тo.
2. Частотный модулятор с целочисленным индексом модуляции по п.1, отличающийся тем, что генератор содержит задающий генератор, блок предустановки, три делителя частоты на два, два формирователя напряжения пилообразной формы и два формирователя напряжения синусоидальной формы, причем выход задающего генератора соединяется с первым входом первого делителя частоты на два, прямой и инверсный выходы которого соединяются соответственно с первыми входами второго и третьего делителей частоты на два, выходы которых соединяются соответственно с входами первого и второго формирователей напряжения пилообразной формы, первый выход блока предустановки соединяется со вторым входом первого делителя частоты на два, второй выход блока предустановки соединяется со вторыми входами второго и третьего делителей частоты на два, выходы формирователей напряжения пилообразной формы соединяются соответственно с входами формирователей напряжения синусоидальной формы, а два выхода первого формирователя напряжения синусоидальной формы и один выход второго формирователя напряжения синусоидальной формы являются выходами генератора.
РИСУНКИ
|
|