|
|
(21), (22) Заявка: 2003134154/09, 26.11.2003
(24) Дата начала отсчета срока действия патента:
26.11.2003
(45) Опубликовано: 20.06.2005
(56) Список документов, цитированных в отчете о поиске:
RU 2054686 C1, 20.02.1996. RU 2152623 C1, 10.07.2000. US 5227715 А, 13.07.1993. ЕР 0772053 А2, 07.05.1997. ЕР 1233273 А2, 21.08.2002.
Адрес для переписки:
125368, Москва, а/я 84, пат.пов. А.А.Щитову
|
(72) Автор(ы):
Черников С.В. (RU), Нейман В.Г. (RU)
(73) Патентообладатель(и):
Тюняев Владимир Николаевич (RU)
|
(54) УСТРОЙСТВО КОНТРОЛЯ ЗАЩИТЫ ОТ ЭЛЕКТРОМАГНИТНОГО ПОЛЯ
(57) Реферат:
Изобретение относится к области измерения электрических и магнитных величин и может быть использовано для измерения степени защиты технических и биологических объектов от электромагнитного поля. Достигаемый технический результат – повышение точности измерений. Устройство контроля защиты от электромагнитного поля содержит источник электропитания, усилитель, блок индикации, генератор, датчик и стабилизатор электропитания, при этом датчик выполнен в виде двух спиралей, которые имеют кривизну эвольвенты. 5 з.п. ф-лы, 1 ил. 
Изобретение относится к области измерения электрических и магнитных величин, а именно, к области измерения характеристик электромагнитного поля, и может быть использовано в различных областях науки и техники для определения наличия и/или измерения характеристик электромагнитного поля, а также степени защиты технических и биологических объектов от электромагнитного поля.
Известен (US, патент 4023093, G 01 R 29/08, 1977) датчик электромагнитного поля, содержащий датчик в виде пары антенн, к выходам которой подключены пленочные резисторы, расположенные на диэлектрической подложке, а также термочувствительный элемент, подключенный к регистратору.
При введении антенны в электромагнитное поле в антеннах наводится электрический ток, который нагревает пленочные резисторы, причем степень нагрева, регистрируемая термочувствительным элементом, характеризует величину электромагнитного поля.
Недостатком известного датчика следует признать его невысокую точность, обусловленную несовпадением зависимости проводимости пленочных резисторов от температуры и зависимостью отклика термочувствительного элемента от температуры.
Известен также (SU, авторское свидетельство 1732294, G 01 R 29/08, 1992) измеритель электромагнитного поля, содержащий диэлектрический корпус, в котором размещен чувствительный элемент, выполненный в виде последовательно соединенных пленочных термопар, размещенных цепочками на диэлектрической подложке и подключенных к линии связи, подключенной между пленочными термопарами и индикатором.
При размещении измерителя в электромагнитном поле происходит разогрев термопар, величина которого характеризует величину электромагнитного поля.
Недостатком известного устройства следует признать его невысокую точность, обусловленную нелинейностью зависимости разогрева термопар от величины электромагнитного поля.
Наиболее близким аналогом предлагаемого устройства можно признать (RU, патент 2054686, G 01 R 29/08, 1996) устройство контроля уровня и защиты от электромагнитного поля, содержащее приемную антенну, блок усиления, выпрямитель, блок управления, блок индикации и источник питания.
При введении приемной антенны в электромагнитное поле происходит генерация сигнала, характеризующего величину электромагнитного поля, генерированный сигнал усиливают, выпрямляют и регистрируют.
Недостатком известного устройства следует признать его невысокую точность, обусловленную несовершенством формы антенны.
Техническая задача, решаемая посредством предлагаемого технического решения, состоит в разработке конструкции устройства, способного оценить степень защиты технических и биологических объектов от электромагнитного поля.
Технический результат, получаемый при реализации предложенного устройства, состоит в повышении точности измерений.
Для достижения указанного технического результата предложено использовать устройство контроля защиты от электромагнитного поля, содержащее источник питания, усилитель, блок индикации, генератор электромагнитного излучения, стабилизатор электропитания и датчик, причем датчик выполнен в виде двух незамкнутых спиралеобразных кривых в форме эвольвенты, источник питания соединен со стабилизатором, выходы которого подключены к генератору, усилителю и блоку индикации, выход генератора подключен к обеим спиралям датчика, выход датчика по обеим спиралям подключен одновременно к генератору и входу усилителя, выход усилителя подключен к блоку индикации. Предпочтительно спирали выполнены из меди или серебра, а также их сплавов. В базовом варианте генератор обычно бывает выполнен с возможностью генерирования электромагнитного излучения с частотой 30-300 МГц, а усилитель при этом выполнен на биполярном транзисторе р-n-р типа с коэффициентом усиления от 100 до 500. Обычно в качестве блока индикации используют любой стрелочный или цифровой прибор, в частности типа М68501 с током полного отклонения 200-500 микроампер.
Принцип действия предлагаемого устройства состоит в преобразовании с использованием датчика, выполненного в виде двух незамкнутых спиралеобразных кривых в форме эвольвенты, электромагнитного излучения генератора в электрическое напряжение. В основу конструкции указанного датчика положен эффект катушки Н. Тесла, причем датчик, выполненный в виде двух незамкнутых спиралеобразных кривых в форме эвольвенты, представляет собой незамкнутый контур, что позволяет создать широкополосный датчик с возможностью измерения как можно в более широком диапазоне частот. Подключение выхода датчика одновременно к генератору и к усилителю позволяет создать обратную связь для более точного и быстрого измерения параметров. Калибровку предложенного устройства производят обычным образом с использованием гостированных приборов и стандартных образцов.
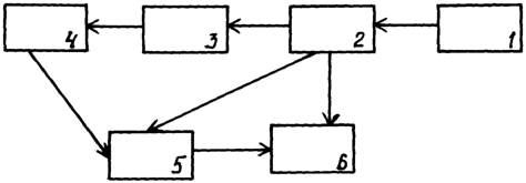
Блок-схема представлена на чертеже, при этом использованы следующие обозначения: источник электропитания 1, стабилизатор электропитания 2, генератор 3, датчик 4, усилитель 5, блок индикации 6.
Конструктивно в базовом варианте реализации устройство представляет собой корпус прямоугольной формы, в торцевой поверхности которого выполнено щелевое отверстие для введения испытуемого образца. Спирали расположены в корпусе по обе стороны от указанного отверстия. На боковой поверхности корпуса расположено средство индикации (выход стрелочного или цифрового прибора). Остальные элементы устройства также расположены в корпусе.
В базовом варианте предложенное устройство работает следующим образом. Источник питания 1 подает на вход стабилизатора 2 напряжение 9 В. От выходов стабилизатора 2 на вход генератора 3 поступает напряжение 5 В, на вход усилителя 53±1,5 В и на вход блока индикации 6 от 0 до 5 В. С выхода генератора 3 на обе спирали датчика 4 поступает электрический потенциал около 3-5 В частотой от 3 до 300 МГц. От спиралей датчика 4 на генератор 3 и усилитель 5 поступает сигнал, характеризующий электромагнитное излучение от генератора 3. Указанное значение через усилитель 5 поступает в блок индикации 6. Затем между спиралями помещают образец защитного от электромагнитного излучения материала и определяют с использованием блока индикации, на какую величину он уменьшает электромагнитное поле.
В частности, при помещении между спиралями медной сетки с размером ячеек 70×70 мкм величина электромагнитного поля, прошедшего через сетку, уменьшилась примерно на 2 порядка, а при помещении между спиралями сетки из полиэтиленовых волокон при примерно тех же размерах ячеек, покрытых гальваническим слоем меди толщиной 0,02 мкм, величина электромагнитного поля, прошедшего через подобную сетку, уменьшилась в 1,37 раза.
Предложенный прибор позволяет быстро определить эффективность материалов и устройств, предлагаемых для защиты от электромагнитного излучения.
Формула изобретения
1. Устройство контроля защиты от электромагнитного поля, содержащее источник электропитания, усилитель, блок индикации, генератор, датчик и стабилизатор электропитания, причем источник электропитания соединен со стабилизатором электропитания, отличающееся тем, что датчик выполнен в виде двух спиралей, которые имеют кривизну эвольвенты, выходы стабилизатора электропитания подключены к генератору, усилителю и блоку индикации, обе спирали подключены к выходу генератора и входу усилителя, выход которого подключен к блоку индикации, при этом с использованием датчика преобразуют электромагнитное излучение генератора в электрическое напряжение, между спиралями помещают образец защищающего от электромагнитного излучения материала и определяют с использованием блока индикации, на какую величину он уменьшает электромагнитное поле.
2. Устройство по п.1, отличающееся тем, что спирали выполнены из меди или серебра.
3. Устройство по п.1, отличающееся тем, что генератор выполнен с возможностью генерирования переменного напряжения не свыше 10 В с частотой 30-300 МГц.
4. Устройство по п.1, отличающееся тем, что усилитель выполнен на биполярном транзисторе р-n-р-типа с коэффициентом усиления от 100 до 500.
5. Устройство по п.1, отличающееся тем, что в качестве блока индикации использован прибор стрелочного типа с током полного отклонения 200-500 мкА.
6. Устройство по п.1, отличающееся тем, что в качестве блока индикации использован прибор цифрового типа с током полного отклонения 200-500 мкА.
РИСУНКИ
MM4A Досрочное прекращение действия патента Российской Федерации на изобретение из-за неуплаты в установленный срок пошлины за поддержание патента в силе
Дата прекращения действия патента: 27.11.2005
Извещение опубликовано: 27.01.2007 БИ: 03/2007
|
|