|
|
(21), (22) Заявка: 2004112725/03, 26.04.2004
(24) Дата начала отсчета срока действия патента:
26.04.2004
(45) Опубликовано: 20.06.2005
(56) Список документов, цитированных в отчете о поиске:
ВАСИЛЬЕВ Н.И. и др. Бурение глубокой скважины на станции Восток. Тезисы докладов симпозиума «Горное оборудование, переработка минерального сырья, новые технологии». СПб, 1996, с. 40-41. SU 126088 A, 10.01.1964. SU 950918 A, 17.08.1982. SU 1126698 A, 30.11.1984. SU 1527375 A1, 07.12.1989.
Адрес для переписки:
199106, Санкт-Петербург, В.О., 21 линия, 2, СПГГИ (ТУ), патентный отдел
|
(72) Автор(ы):
Горшков Л.К. (RU), Гореликов В.Г. (RU), Кононова Н.С. (RU), Слюсарев Н.И. (RU)
(73) Патентообладатель(и):
Государственное образовательное учреждение высшего профессионального образования Санкт-Петербургский государственный горный институт им. Г.В. Плеханова (технический университет) (RU)
|
(54) СПОСОБ КРЕПЛЕНИЯ СТВОЛА СКВАЖИНЫ ПРИ БУРЕНИИ ВО ЛЬДАХ
(57) Реферат:
Изобретение относится к горному делу, конкретно к бурению скважин в ледовых толщах. Способ крепления ствола скважины при бурении ледовых толщ включает заливку в скважину низкотемпературной жидкости заданной плотности. Перед заливкой жидкости в скважину для данной глубины Н измеряют начальный диаметр D скважины, скважину выдерживают заданное время tз, повторно измеряют диаметр d скважины на глубине Н, после чего производят расчет необходимой высоты Н0 заливки низкотемпературной жидкости. Благодаря такому решению достигается повышение эффективности крепления ствола скважины при бурении ледовых толщ. 1 ил., 1 табл. 
Изобретение относится к области горного дела, конкретно, к бурению скважин в сложных геолого-технических условиях, например ледовых отложениях Антарктиды.
При проходке глубоких скважин в толще мощных ледовых отложений значительные затруднения вызывает поддержание открытого ствола скважины в силу проявления специфических вязкопластичных свойств льда. При этом проявляются реологические свойства льда, определяющие зависимость между необратимыми деформациями (течением) и вызвавшими их напряжениями. Скважины бурятся снарядами на кабеле без традиционной промывки. При этом скважина может долгое время оставаться с открытыми стенками, что способствует проявлению реологических свойств льда.
Известен способ изоляции зон поглощения и трещин гидроразрыва при цементировании колонн (патент РФ №2172810, кл. Е 21 В 33/13). Способ включает подачу в скважину расчетного объема тампонажного раствора с наполнителем, определяемого по формуле где V2 – объем затрубного пространства с учетом кавернозности, м3; Р – удельное давление, учитывающее зависимость раскрытия трещин гидроразрыва или поглощения от давления в скважине, МПа; D – диаметр скважины с учетом кавернозности, м; L – длина скважины в зоне наименьшего градиента гидроразрыва, м; – градиент гидроразрыва пород слабого пласта, МПа/м.
Предлагаемый способ обеспечивает подъем тампонажного раствора на необходимую (запланированную) высоту.
К недостаткам способа следует отнести тот факт, что он не может быть использован при бурении скважин во льдах.
Горное оборудование, переработка минерального сырья, новые технологии, экология . -СПб.: 1996. -С. 40-41).
Этот способ является более эффективным и надежным. Для заполнения скважины используется низкотемпературная (незамерзающая) жидкость, так как температура стенок скважины в ледовых отложениях достаточно низкая, например температура льда на станции Восток (Антарктида) имеет значение до минус 55-57°С на глубине 20-50 м, а на глубине 3500 м и более – минус 5-10°С. Такие жидкости, как правило, формируются на основе экологически чистых гликолевых смесей и имеют плотность 0,95-0,96 г/см3.
Недостатком способа является его невысокая эффективность.
Задачей изобретения является повышение эффективности крепления ствола скважины при бурении во льдах.
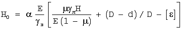
Поставленная задача решается тем, что в способе крепления ствола скважины при бурении во льдах, включающем заливку низкотемпературной жидкости заданной плотности в скважину, согласно предлагаемого изобретения, перед заливкой жидкости в скважину для данной глубины Н измеряют начальный диаметр D скважины, скважину выдерживают заданное время tз, повторно измеряют диаметр d скважины на глубине Н, после чего производят расчет необходимой высоты Н0 заливки низкотемпературной жидкости по формуле

где – коэффициент, характеризующий ускорение сужения ствола скважины при росте температуры, уменьшении диаметра скважины и ее отклонения от вертикали; Е – модуль Юнга для льда, МПа; – коэффициент Пуассона для льда; з – удельный вес заливочной жидкости, МН/м3; л – удельный вес льда, МН/м3; Н – глубина скважины, м; D – начальный диаметр скважины на глубине Н, м; d – диаметр скважины на глубине Н через время tз, м; tз – заданное время, за которое происходит изменение диаметра скважины от значения D до значения d, ч; [ ] – допустимая величина деформации контура ствола скважины, при которой возможен свободный спуск бурового снаряда в скважину.
Успешная проводка скважин в таких условиях зависит от определения необходимой высоты Н0 и заполнения скважины жидкостью на эту высоту во избежание появления упругих деформаций и ползучести льда, способствующих сужению (заплыванию) ствола скважины и прекращению спуска бурового снаряда по ранее пробуренной ее части.
Способ поясняется чертежом, на котором представлен разрез скважины. На чертеже приняты следующие обозначения: 1 – эпюра напряжений 2, возникающих по высоте ствола скважины без заливки в него незамерзающей жидкости, 2 – эпюра допустимых значений деформации [ ] льда в боковом направлении по высоте ствола скважины; Н – глубина скважины, м; Н0 – необходимая высота заливки незамерзающей жидкости в скважину; 1 – осевое главное напряжение (давление ледника).
Величину горного давления в скважине определяет толщина ледника в соответствии с известной зависимостью
1= лН,
где 1 – осевое напряжение, МПа; л – удельный вес льда, МН/м3; Н – глубина скважины, м.
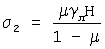
На проявление реологических свойств (ползучести, в первую очередь) основное влияние оказывает боковое напряжение

где – коэффициент Пуассона для льда; – коэффициент бокового обжатия.
Тогда относительная упругая деформация (упругая составляющая общей деформации льда в боковом направлении при сужении ствола скважины) будет равна

где Е – модуль упругости льда, МПа.
Относительная деформация ползучести при этом составит
п=2tзVП/D, (2)
где П – деформация ползучести; VП – скорость ползучести льда, м/ч; tз – заданное время, за которое происходит изменение диаметра D скважины, ч.
Таким образом, при принятой схеме нагружения общее расчетное уравнение для максимальной деформации примет вид
max= у+ П [ ], (3)
где [ ] – допустимая величина деформации контура ствола скважины, при которой возможен свободный спуск бурового снаряда в скважину.
В формуле (3) за величину П целесообразно принять деформацию равномерной (установившейся) ползучести за время tз, определяемую согласно правой части выражения (2).
Тогда с учетом выражений (1)-(3), будем иметь

где Рз – давление столба заливочной жидкости в скважине, равное
Рз= зН0,
где з – удельный вес заливочной жидкости, МН/м3.
Введя в выражение (4) значения и Pз= зН0, окончательно получим

Из выражения (5) можно определить высоту столба жидкости, которую необходимо залить в скважину с целью крепления ее открытого ствола, и тем самым предупреждать сужение ствола скважины

где – коэффициент, характеризующий ускорение сужения скважины при росте температуры, уменьшении диаметра скважины и ее отклонения от вертикали; по данным практического бурения =1,4-1,6.
Скорость ползучести льда определяется по результатам измерения диаметра скважины на глубине Н. Измерения выполняют, например, каверномером в следующем порядке. Фиксируют начальный диаметр D на глубине скважины Н. Затем скважину выдерживают заданное время tз, необходимое для изменения диаметра скважины. Это время зависит от глубины скважины и может составлять от суток до нескольких суток. Учитывая, что простои в процессе бурения нежелательны, это время можно принять, как минимум, равным 24 ч (по данным экспериментов, см. таблицу) и корректировать его с увеличением глубины скважины. Далее на глубине скважины Н измеряют новое значение диаметра d скважины и по результатам измерений определяют отношение (D-d)/2tз, которое представляет скорость ползучести льда. Тогда формула 6 примет вид

Так как высота Н0 заливки жидкости будет меняться в зависимости от углубки скважины, то операцию расчета высоты Н0 заливки и заливку жидкости предлагается выполнять периодически по мере углубки скважины.
Примерный расчет по формуле (7) приведен в таблице.
Таблица Экспериментальные данные при бурении глубоких скважин на станции Восток (Антарктида) |
| №№скважин |
Глубина скважины (Н), м |
Диаметр скважины, мм* |
[ ]·10-5 |
Скорость ползучести (D-d)/2tз, ч-1·10-6 |
Заданное время, tз, ч |
Округленно высота столба жидкости (Н0), м |
| начальный (D) |
конечный (d) |
|
|
| 1 г-2бис |
952 |
183 |
175 |
16,4 |
0,162 |
63 |
800 |
| 3 г |
2200 |
152 |
102 |
15,9 |
0,291 |
35 |
1700 |
| 5 г |
2500 |
139 |
86 |
15,0 |
0,432 |
24 |
2000 |
| 5 г |
3500 |
137 |
60 |
14,6 |
0,528 |
19 |
3000 |
| * – при отсутствии заливки. |
Успешная проводка скважин в таких условиях зависит от определения необходимой высоты Н0 и заполнения скважины жидкостью на эту высоту во избежание появления упругих деформаций и ползучести льда, способствующих сужению (заплыванию) ствола скважины и прекращению спуска бурового снаряда по ранее пробуренной ее части.
При расчетах (см. табл.) использовались следующие константы для льда: Е=0,9·104 МПа (при t=-5°С и ниже); =0,36; удельный вес 9,2·10-3 МН/м3.
Указанные отличительные признаки: измерение диаметра скважины на глубине Н, определение значения скорости ползучести льда, расчет необходимой высоты Н0 заливки жидкости в скважину по формуле (7), периодический пересчет высоты Н0 и периодическая заливка жидкости по мере углубки скважины придают способу новое качество, заключающееся в повышении эффективности крепления ствола скважины при бурении во льдах.
Формула изобретения
Способ крепления ствола скважины при бурении во льдах, включающий заливку в скважину низкотемпературной жидкости заданной плотности, отличающийся тем, что перед заливкой жидкости в скважину для данной глубины Н измеряют начальный диаметр D скважины, скважину выдерживают заданное время tз, повторно измеряют диаметр d скважины на глубине Н, после чего производят расчет необходимой высоты Н0 заливки низкотемпературной жидкости по формуле

где – коэффициент, характеризующий ускорение сужения ствола скважины при росте температуры, уменьшении диаметра скважины и ее отклонения от вертикали;
Е – модуль Юнга для льда, МПа;
– коэффициент Пуассона для льда;
з – удельный вес заливочной жидкости, МН/м3;
л – удельный вес льда, МН/м3;
Н – глубина скважины, м;
tз – заданное время, за которое происходит изменение диаметра скважины ч;
[ ] – допустимая величина деформации поперечного сечения ствола скважины, при которой возможен свободный спуск бурового снаряда в скважину,
причем расчет высоты Н0 и заливку низкотемпературной жидкости в скважину на эту высоту выполняют периодически по мере углубки скважины.
РИСУНКИ
MM4A – Досрочное прекращение действия патента СССР или патента Российской Федерации на изобретение из-за неуплаты в установленный срок пошлины за поддержание патента в силе
Дата прекращения действия патента: 27.04.2006
Извещение опубликовано: 20.12.2007 БИ: 35/2007
|
|