Патент на изобретение №2153695
|
||||||||||||||||||||||||||
(54) СПОСОБ ПЕРЕКЛЮЧЕНИЯ, УПРАВЛЕНИЯ, УСИЛЕНИЯ И МОДУЛЯЦИИ ОПТИЧЕСКИХ ИЗЛУЧЕНИЙ В КВАДРАТИЧНО-НЕЛИНЕЙНЫХ ТУННЕЛЬНО-СВЯЗАННЫХ ВОЛНОВОДАХ (ВАРИАНТЫ)
(57) Реферат: Сущность изобретения: в способе на вход туннельно-связанных оптических волноводов, обладающих квадратичной нелинейностью, подают оптическое излучение, в частности, в виде солитонов или близких к ним импульсов, на частотах и 2 . Переключение оптических излучений осуществляют изменением амплитуды или фазы излучения по крайней мере одной частоты, причем амплитуды волн на входе связаны соотношением. Технический результат: повышение скорости переключения и эффективности управления оптическим излучением. 2 с. и 18 з.п. ф-лы, 10 ил.
Изобретение относится к области нелинейной волоконной и интегральной оптики, а точнее к области полностью оптических переключателей и оптических транзисторов. Известен способ переключения, управления, усиления и модуляции однонаправленных распределенно-связанных волн (ОРСВ) [1,2]. Способ заключается в резком изменении соотношения интенсивностей (и фаз) волн на выходе туннельно-связанных оптических волноводов (ТСОВ) за счет малого изменения входных интенсивностей или фаз этих волн на входе системы. На основе данного способа был предложен ранее неизвестный класс оптических транзисторов. Важное достоинство волоконного оптического транзистора – удобство его соединения с оптическими волоконными линиями связи. Явление самопереключения сопровождается автосинхронизацией волн, т.е. выравниванием фаз волн на выходе в так называемой средней точке самопереключения [3,4]. В качестве одного из перспективных вариантов оптического транзистора был предложен дискретный оптический транзистор [5], где в качестве накачки используется последовательность сверхкоротких импульсов. Если в волоконных световодах существенна дисперсия, что имеет место в длинных волоконных световодах, то оптимальной формой импульсов является солитонная. Известно, что распространяясь по волоконному световоду даже на большие расстояния, солитонные импульсы не расплываются, сохраняя свою форму, ибо для них нелинейное сжатие компенсируется дисперсионным расплыванием. Поэтому солитоны и перспективны для передачи рекордно больших объемов информации. Еще более важно то, что солитоны могут переключаться целиком, как единое целое, обеспечивая тем самым полное самопереключение, т.е. большой эффективный коэффициент усиления дискретного оптического транзистора [5]. Это объясняется тем, что солитон, распространяясь вдоль волоконного световода, сохраняет однородный фазовый временной профиль, т.е. во всех точках солитона его фаза – почти одна и та же и зависит только от продольной координаты z. Самопереключение происходит вблизи средней точки самопереключения M, соответствующей единичному модулю эллиптической функции. В этой точке выходные интенсивности и фазы волн на выходе нулевого и первого волноводов равны, а крутизна характеристики (т. е. чувствительность к малым изменениям входных интенсивностей и фаз) максимальна. Наиболее близким к одному варианту предложенного способа является способ переключения, управления, усиления и модуляции импульсов, близких к солитонам второго порядка, когда a002 =3.63, a102 =0, с использованием кубично-нелинейных ТСОВ [6]. Наиболее близким к другому варианту предложенного способа является способ переключения, управления, усиления и модуляции ОРСВ в кубично-нелинейных ТСОВ [1]. Недостатком указанных способов, описанных [1] и [6] является то, что быстродействие оптических переключателей и дискретных оптических транзисторов на основе кубично-нелинейных ТСОВ принципиально ниже, чем быстродействие дискретных оптических транзисторов, использующих самопереключение солитонов в квадратично-нелинейных ТСОВ. Это объясняется тем, что время установления квадратичной нелинейности еще меньше, чем время установления кубичной нелинейности. Квадратично-нелинейные солитоны оказываются более короткими и обладают большей пиковой мощностью, т.е. в принципе позволяют обрабатывать и переключать большие объемы информации, чем солитоны в кубично-нелинейных ТСОВ. Увеличение объемов обрабатываемой информации связано не только с большим быстродействием переключателя (модулятора, усилителя и т.д.) на основе квадратично-нелинейных ТСОВ, но и с меньшей длительностью солитонов в таких ТСОВ. Кроме того, недостатком способа, описанного в [1], является недостаточная резкость переключения, т.е. недостаточно высокий дифференциальный коэффициент усиления входной мощности и недостаточно высокая глубина переключения. Технической задачей изобретения является повышение скорости переключения, обеспечение возможности обработки больших объемов информации в единицу времени, а также повышение контрастности (глубины) переключения солитонов, коэффициента усиления, глубины модуляции информационных сигналов и эффективности управления оптическим излучением. В первом варианте способа поставленная задача решается тем, что в способе переключения, управления, усиления и модуляции оптических излучений в виде импульсов в нелинейных туннельно-связанных оптических волноводах, на вход туннельно-связанных оптических волноводов, обладающих оптической нелинейностью, подают оптическое излучение в виде импульсов, переключение импульсов из одного волновода в другой осуществляют путем изменения одного параметра излучения, при этом туннельно-связанные оптические волноводы обладают квадратичной нелинейностью, импульсы подают одновременно на частотах и 2 на вход одного из туннельно-связанных оптических волноводов или на вход разных волноводов, причем нормированные амплитуды волн на входе соответствуют формуламAjk(z=0) = ajkexp(i jk)/cosh (t/ p)или Ajk(z=0) = ajkexp(i jk)exp(-t /![]() p)где 1,5 2,5,k = 0,1- номер волновода, jk – входные фазы волн на частотах соответственно и 2 , ajk – нормированные действительные амплитуды импульсов на входе на частотах соответственно и 2 , удовлетворяющие неравенствам ajk 2,где j = 1 соответствует частоте ,j = 2 соответствует частоте 2 ,t – время, p – длительность входных импульсов,при этом переключение из одного волновода в другой осуществляют изменением амплитуды a10, и/или a11, и/или a20, и/или a21 или фазы 10, и/или 11, и/или 20, и/или 21 излучения по крайней мере одной частоты.
В частном случае = 2, т.е. импульс имеет форму солитона.
В частности, нормированные действительные амплитуды импульсов на входе на частотах соответственно и 2 , удовлетворяют неравенствам ![]() При этом, как правило, изменение амплитуды ajk, вызывающее переключение импульсов из одного волновода в другой, не превышает 0,2 от максимальной из величин амплитуд ajk, либо изменение фазы jk, вызывающее переключение импульсов из одного волновода в другой, не превышает 0,2 .При этом длина туннельной связи волноводов больше или равна половине минимальной из длин перекачки излучений на частотах и 2 , в линейном режиме.
В частных случаях туннельно-связанные оптические волноводы выполнены в виде двужильного волоконного световода, или на основе кристалла КТР, или на основе полупроводниковой квантово-размерной структуры, или на основе однокристаллических волокон из ферроорганических материалов с большой квадратичной нелинейностью.
Кроме того, как правило, выполнено условие синхронизма.
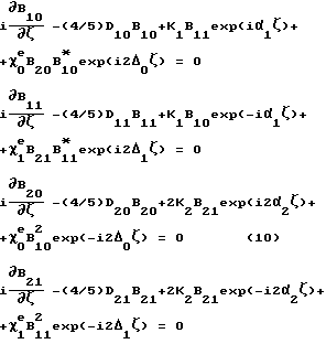
Для эффективного осуществления способа переключения, управления, усиления и модуляции, а также сохранения формы импульса при наличии дисперсии второго порядка, как правило, должны быть выполнены неравенства: ![]() где = ( o+ 1)/2, k= 2k– 1k – разность эффективных показателей преломления на частотах 2 и в k – м волноводе, j= j1– jo – разность эффективных показателей преломления волноводов “0” и “1” на частоте j , K1 – коэффициент туннельной связи на частоте , Djk – коэффициент дисперсии второго порядка k-го волновода на частоте квадратично-нелинейный коэффициент k-го волновода.
Во втором варианте способа поставленная задача решается тем, что в способе переключения, управления, усиления и модуляции оптических излучений в туннельно-связанных оптических волноводах на вход туннельно-связанных оптических волноводов, обладающих нелинейностью, подают излучение, переключение излучений из одного волновода в другой осуществляют путем изменения одного параметра излучения, при этом туннельно-связанные оптические волноводы обладают квадратичной нелинейностью, излучение подают одновременно на частотах и 2 на вход одного из туннельно-связанных оптических волноводов или на вход разных волноводов, причем нормированные действительные амплитуды волн jk на входе jk(z = 0) удовлетворяют неравенствам jk(z = 0) 2,где k = 0, 1 – номер волновода, j = 1 соответствует частоте ,j = 2 соответствует частоте 2 ,при этом переключение осуществляют изменением амплитуды 10, и/или 11, и/или 20, и/или 21 или фазы 10, и/или 11, и/или 20/ , и/или 21 излучения по крайней мере одной частоты.
В частности, нормированные действительные амплитуды импульсов на входе на частотах соответственно и 2 , удовлетворяют неравенствам ![]() При этом, как правило, изменение амплитуды jk, вызывающее переключение оптических излучений из одного волновода в другой, не превышает 0,2 от максимальной из величин амплитуд jk, либо изменение фазы jk, вызывающее переключение оптических излучений из одного волновода в другой, не превышает 0,2 .При этом длина туннельной связи волноводов больше или равна половине минимальной из длин перекачки излучений на частотах и 2 в линейном режиме.
В частных случаях туннельно-связанные оптические волноводы выполнены в виде двужильного волоконного световода, или на основе кристалла КТР, или на основе полупроводниковой квантоворазмерной структуры, или на основе однокристаллических волокон из ферроорганических материалов с большой квадратичной нелинейностью.
Кроме того, как правило, выполнено условие синхронизма.
Для осуществления эффективного переключения где K1 – коэффициент туннельной связи на частоте квадратично-нелинейный коэффициент k-го волновода,Фиг. 1. Временные профили солитонов (на частотах и 2 в волноводах “0” и “1”) и энергии (внизу, сплошные линии) в волноводах “0” и “1” при различных значениях продольной координаты z. Ajk(z=0)=ajkexp(i jk)/cosh2(t/ p)Самопереключение солитонов при параметрах D2k=2D1k =2, K1 =1, K2 =1/4; 0= 1= 0, aj= 0, jk= 0, j0=0, a20=4, Длина ТСОВ l = 6. Пунктиром показан результат решения обыкновенных дифференциальных уравнений (10-11), эквивалентных уравнениям (4).
Фиг.2. См. подпись к фиг. 1. K1=1, K2=1/2, a20=5; l = 3.6.
Фиг. 3 См. подпись к фиг. 1. K1 = 1, K2= 0= 1= 1/2; l=6; a20=5; ![]() Фиг. 4. См. подпись к фиг. 1. K1 =1, K2= 1/2, 0= 1= 1, l = 3.79, a20 = 5, ![]() Фиг.5. K1 = 1, K2 = 1/2, 0= 1= 2, a20 = 5, l=3.
Фиг.6. K1=1, K2=1/2, 0= 1= 0, a20=5, l=3.8, D2k=D1k=1.
Фиг. 7. K1 = 1, K2=1/2, 0= 1= 0, a20 = 5, l=3.3, D2k=1, D1k=2.
Фиг. 8 Ajk(z=0)=ajkexp(i jk)exp(-t2/ 2p), a20= 4, a10=8.0 (a), a10=8.6 (б), Djk=1.
Фиг. 9. Переключение из одного волновода в другой “обычного излучения” (не обязательно солитонов) в квазистационарном случае: D2k = D1k = 0, точка M0 (a); точка M1 (б); точка М (в); 20= 4 0.73675; г – линейный случай: k= 0.Фиг. 10. Распределение энергии между волноводами (вдоль длины) на частотах и 2 в линейном режиме: k= 0; K1 = 1, K2= 1/4 (а, в); K1 = 1, K2 = 1/2 (б, г).
Возможность существования пространственных солитонов в среде с квадратичной нелинейностью при K1 = K2 = 0 была показана еще более двадцати лет назад [7].
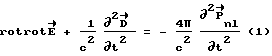
Самопереключение солитоноподобных импульсов в квадратично-нелинейных ТСОВ из одного волновода в другой осуществляется за счет малого изменения входной амплитуды или фазы одного из солитонов. Это переключение является весьма контрастным (глубоким) с большим коэффициентом усиления, причем импульсы хорошо сохраняют солитонную форму, переключаясь полностью как единое целое, хотя ТСОВ обладают лишь квадратичной, но не кубичной нелинейностью. Как известно, электрическое поле в квадратично-нелинейной среде удовлетворяет волновому уравнению![]() квадратично-нелинейная поляризация среды, тензор третьего ранга квадратичной восприимчивости.
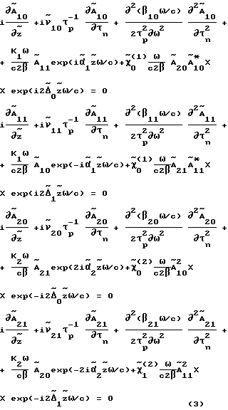
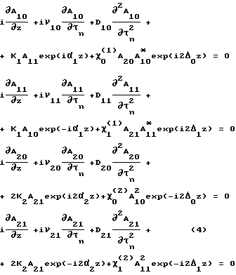
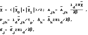
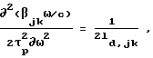
Электрическое поле в системе двух туннельно-связанных квадратично-нелинейных оптических волноводов можно представить в виде![]() jk – эффективный показатель преломления k-го волновода на частоте j ,Ejk(x,y) – профиль поля в k-м волноводе на частоте j , медленно меняющаяся амплитуда поля в k-м волноводе на частоте j .Подставляя (2) в уравнения (1), умножая на Ejk*(x,y), интегрируя по поперечному сечению и проводя процедуру укорочения (аналогично тому, как это делалось в наших предыдущих работах [1,2]), получим систему уравнений для амплитуд полей ![]() которые представляют обобщение уравнений [1,2] на случай диспергирующих волноводов, расстройка обратной групповой скорости ujk-1 волны на частоте j в k-м волноводе от u-1, u – средняя групповая скорость Величина где ld,jk= 2p/[ 2( jk /c)/![]() 2] – дисперсионная длина на частоте j в k-м волноводе; (kj) – квадратично-нелинейный коэффициент k-го волновода, пропорциональный свертке соответствующего тензора: и учитывающий профили полей Ejk(x,y), т. е. распределение поля по поперечным координатам x и y в каждом волноводе на каждой частоте, а также перекрытие профилей взаимодействующих полей на различных частотах [1,2] ; множитель 4 включаем в величину нелинейности. Обозначим Как правило ![]() Запишем эти уравнения в солитонной нормировке: ![]() где продольная координата нормирована на дисперсионную длину ld= 2max{ 2p/[ 2( jk /c)/![]() 2]}, в качестве которой мы возьмем наибольшую из дисперсионных длин ld,jk, умноженную на два: ld =2max{ld,jk}; Djk – нормированная дисперсия второго порядка; при выбранной нормировке B (4) введены нормированные нелинейные коэффициенты ![]() где ![]() как правило (k1)= (k2)= k, где Если волноводы идентичны, то 0= 1, 1= 1, j= 0.Начальные условия имеют вид Ajk(z=0)=ajkexp(i jk)/cosh2(t/ p), (5.1)или Ajk(z=0)=ajkexp(i jk)exp(-t2/ 2p) (5.2)В дальнейшем численный эксперимент показал, что полученные результаты качественно справедливы и при небольшом различии коэффициентов 0, 1.В бесконечности поле равно нулю: ![]() Один из вариантов предлагаемого способа основан на выявленной возможности резкого и контрастного самопереключения временных солитонов в квадратично-нелинейных ТСОВ из одного волновода в другой. Причем в условиях этого самопереключения солитоны сохраняют свою форму, т.е. временной профиль, и поэтому переключаются практически полностью; это является одной из причин высокой контрастности их самопереключения. Подчеркнем, что в данном изобретении речь идет о переключении излучения из одного волновода в другой волновод (а не с одной частоты на другую, как в [9]). Именно в этом случае удается добиться сохранения солитонной формы импульсов, так как образованию солитонов в квадратично-нелинейной среде способствует не только определенная входная амплитуда импульса на частоте , но и определенное соотношение амплитуд волн на частотах и 2 на входе; в данном случае – на входе нулевого волновода. Оно, как правило, не совпадает с соотношением входных амплитуд волн, при котором происходит их самопереключение с одной частоты на другую.
Переключение может вызываться малым изменением как интенсивности, так и фазы одного из этих входных излучений. Постоянные по интенсивности составляющие излучений с амплитудами a1k и a2k можно условно рассматривать как оптические излучения накачки на частотах и 2 , а малую переменную составляющую одного из этих излучений – как управляющий оптический сигнал. Переменная составляющая может быть вызвана или малой модуляцией одного из подаваемых на вход мощных излучений (вблизи значений a1k и a2k) или подачей реального малого переменного (либо по интенсивности либо по фазе) оптического сигнала на вход того же волновода с той же частотой, что и накачка.
В общем случае самопереключение солитонов может вызываться изменением как интенсивности, так и фазы одного из четырех входных излучений A10(t), A11(t), A20(t), A21(t). Например, в случае, когда излучения накачки на частотах и 2 c мощностями выше пороговой подаются на вход нулевого волновода, самопереключение солитонов может вызываться: 1) малым изменением мощности накачки на частоте (фиг. 1); 2) малым изменением мощности накачки на частоте 2 ; 3) малым изменением фазы накачки на частоте (фиг. 1); 4) малым изменением фазы накачки на частоте 2 , 5) подачей или прекращением подачи слабого сигнала на частоте на вход первого волновода, и/или изменением его интенсивности или фазы этого сигнала; 6) подачей или прекращением подачи слабого сигнала на частоте 2 на вход первого волновода, и/или изменением его интенсивности или фазы этого сигнала. Оно может быть вызвано также одновременным изменением указанных параметров.
При определенном выборе интенсивностей и фаз волн на входе, начиная с некоторого расстояния от входа, оптическая энергия делится между волноводами почти поровну и перекачка энергии как бы прекращается, точнее ее период резко возрастает, и система как бы “зависает” в средней точке самопереключения M (фиг. 1,2 в), так что малое изменение входных параметров вблизи этой точки приводит к переключению энергии на выходе либо в нулевой либо в первый волновод. Эта ситуация аналогична ситуации в средней точке самопереключения M в кубично-нелинейных ТСОВ [1,2].
Переключение может происходить при различных соотношениях коэффициентов туннельной связи волноводов на основной и удвоенной частотах, в частности – при соотношениях K1 = 2K2, K1 = 4K2.
Для этого нужно подобрать соответствующие амплитуды волн на входе (на частотах и 2 .). Соотношение амплитуд волн на входе ТСОВ в средней точке самопереключения M зависит от соотношения K1 и K2.
Рассмотрим несколько ситуаций, выявленных на основе численного решения уравнений (4) с начальными условиями (5).
Предположим, для простоты, что условие синхронизма 0= 1= 0 выполнено одним из известных способов, например, за счет периодической модуляции квадратично-нелинейного коэффициента волноводов, которую можно достигнуть периодическим изменением знака квадратичной нелинейности. Другие параметры имеют вид D2k= 2D1k= 2, jk = 0, j= 0. Пусть K1=1, K2=1/4 (обычно K2 существенно меньше K1) и в нулевой волновод вводятся солитоны (5.1) с a20 = 4, причем a11 = a21 = 0, 10= 20= 0, а длина ТСОВ l = 6. Тогда на выходе мощность солитонов сосредоточена в первом волноводе (фиг. 1а). Если слегка увеличить входную амплитуду основной волны, задав то вся мощность солитонов переключится на выход нулевого волновода (фиг. 1б). При изменении фазы этого сигнала на 10= /105 (без изменения остальных параметров) мощность солитонов вернется на выход первого волновода и график распределения мощности вдоль ТСОВ почти совпадет с графиком на фиг. 1а. Таким образом, можно почти полностью переключать солитоны с выхода одного волновода на выход другого очень малым изменением входной фазы одного из излучений, например, основной частоты.
Параметры a20=4, a11=a21=0, соответствуют средней точке самопереключения M (фиг. 1 в), когда мощность, начиная с некоторого расстояния от входа, делится пополам.
Пусть K1 = 1, K2 = 1/2 и в нулевой волновод вводятся солитоны с a20= 5.0, причем a11 = a21 = 0, 10= 20= 0, а длина ТСОВ l = 3.6. Тогда солитоны выходят из первого волновода (фиг. 2а). Увеличив входную амплитуду основной волны до значения переключим солитоны на выход нулевого волновода (фиг. 2б). Малое увеличение входной фазы 10 до значения 10= /18 (без изменения остальных параметров) возвращает мощность солитонов на выход первого волновода, при этом распределение мощности вдоль ТСОВ почти совпадает с графиком на фиг.2а.
Параметры a20 = 5.0, a11 = a21 = 0, соответствуют средней точке самопереключения M (фиг. 2в), когда мощность, начиная с некоторого расстояния от входа, делится пополам между волноводами. Та же средняя точка M достигается также при параметрах a20= 5.248, a11 = a21 = 0, 10= 20= 11= 0, причем графики распределения мощности вдоль ТСОВ почти совпадают.
Предположим, что K1 = K2 = 1 (такое соотношение трудно реализуемо, но в принципе возможно), длина ТСОВ l = 4.4 и на вход нулевого волновода подаются солитоны (5.1) на частотах и 2 , причем a20=6, a11 = a21 = 0, 10= 20= 11= 0. Тогда на выходе мощность солитонов сосредоточена в первом волноводе. Если теперь на вход первого волновода подать слабый оптический сигнал с a11 = 0.012, то вся мощность солитонов переключится на выход нулевого волновода. При изменении фазы этого сигнала на 11= 0.3 (без изменения остальных параметров) мощность солитонов вернется на выход первого волновода. Если не подавать сигнал в первый волновод (a11 = a21 =0), но слегка увеличить амплитуду a10 до значения то вся мощность солитонов также переключиться на выход нулевого волновода. Если же теперь задать 10= /250, то солитоны вновь переключатся на выход первого волновода. Те же результаты (и почти те же графики) можно получить, варьируя a20 или 20 при неизменных других параметрах. Так, при a20 = 6.025 и солитоны выходятиз нулевого волновода, а при тех же a20 = 6.025 и но 20= – /130 – уже из первого.
Выше предполагалось, что 0= 1= 0. Однако самопереключение солитонов может происходить и при 0 0, 1 0, если достигается (за счет туннельной связи) “синхронизм связанных волн” [9] (фиг. 3). Для фиг. 3 K2= 0= 1= 1/2.В общем случае “синхронизм связанных волн” [9] соответствует выполнению соотношений p 1-q 2= , где ![]() Выше предполагалось, что выполнено условие синхронизма. Однако переключение может происходить и при отстройке от синхронизма (фиг.4, 5). При достаточно большой отстройке от синхронизма ( 0= 1= 2) происходит дополнительное укорочение длительности солитонов (фиг. 5). При еще больших отстройках ( 0= 1 3) солитоны начинают расплываться (особенно на частоте 2 ), а глубина и резкость переключения снижаются. При еще большей отстройке от синхронизма ( 0= 1 4) переключение нарушается; нарушается и режим солитонного распространения.
Весьма благоприятно и то обстоятельство, что переключение из волновода в волновод происходит не только для основной частоты, но и одновременно и практически синхронно и для удвоенной частоты (несмотря на различие K1 и K2), причем обмен энергией между волнами различных частот незначителен. Поэтому можно регистрировать и измерять суммарную на двух частотах мощность, как на выходе нулевого так и на выходе первого волновода (фиг. 1,2). Переключение оптической энергии происходит между двумя четко выраженными состояниями: “0” и “1”. В состоянии “0” (точка M0) почти вся энергия (суммарная на обеих частотах) сосредоточена на выходе нулевого волновода, а в состоянии “1” (точка M1) она сосредоточена на выходе первого волновода. Разумеется, можно переобозначить эти состояния и наоборот.
Изложенные результаты весьма важны для практики. Дело в том, что быстродействие оптических переключателей и дискретных оптических транзисторов на основе квадратично-нелинейных ТСОВ принципиально выше, чем у дискретных оптических транзисторов, использующих самопереключение солитонов в кубично-нелинейных ТСОВ, поскольку устанавливается квадратичная нелинейность быстрее, чем кубичная нелинейность. Кроме того, “квадратично-нелинейные” солитоны короче и обладают большей пиковой мощностью, т.е. в принципе позволяют обрабатывать и переключать большие объемы информации, чем солитоны в кубично-нелинейных ТСОВ.
Варианты способа, касающиеся переключения, управления, модуляции и усиления непрерывных во времени излучений, основаны на аналогичных явлениях, происходящих в квадратично-нелинейных ТСОВ при изменении амплитуды или фазы одного из поступающих на вход ТСОВ излучений.
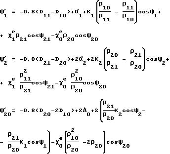
В квазистационарном приближении, когда дисперсиями второго порядка и расстройками групповых скоростей можно пренебречь, уравнения (3) для амплитуд волн имеют вид [2,9]:![]() В нормированных переменных эти уравнения примут вид ![]() где будем считать, что K1 = 1, а K2 измеряется в долях K1. Это предполагает, что продольная координата нормирована на длину перекачки мощности на частоте в линейном режиме при 1= 0, т.е. на длину lc, на которой происходит перекачка мощности (первоначально введенной в нулевой волновод) в первый волновод (фиг. 10). В качестве нормировки положим причем и для идентичных ТСОВ 0= 1, 1= 1. Такая нормировка предполагает, что длина “линейной” перекачки мощности на частоте .Представив амплитуды в виде Bjk(z) = jk(z)exp[i jk(z)], (8)для модулей амплитуд и фаз волн получим систему уравнений ![]() ![]() 21= 20+ 2-2 1,где ![]() Расчеты подтвердили возможность переключения любых когерентных импульсных или непрерывных оптических излучений (а не только солитонов) в квадратично-нелинейных ТСОВ из одного волновода в другой и выявили область параметров, когда такое переключение возможно. Если предположить, что форма солитонов почти не меняется, сохраняя начальный вид (5), то действуя аналогично [2] , представим поля в виде Ajk(z, ) = jk(z)exp[i jk(z)]/cosh2( n). Домножив обе части всех уравнений (4) на профиль солитона cosh-2( n), и, проинтегрировав по n/от – до + , получим систему обыкновенных дифференциальных уравнений:![]() ![]() Представив амплитуды в виде Bjk(z) = jk(z)exp[i jk(z)],для модулей амплитуд и фаз волн получим систему уравнений ![]() ![]() 21= 20+ 2-2 1,где j= j1– j0+ j , 2k= 2k-2 1k+2 k , k = 0,1,штрих обозначает производную по ![]() Система (4) в первом приближении эквивалентна системе обыкновенных дифференциальных уравнений (11), в которую входят эффективные нелинейные коэффициенты e0 и e1 и эффективные значения ej = j-0.8(Dj1-Dj0). Для наиболее типичного случая 0= 1= имеем e0 = e1 = e. Из аналитических расчетов, упомянутых выше, получаем ek = 0.8 k= 0.8 . Фактически учтено, что![]() В действительности e несколько меньше (из-за малого отличия формы импульсов в ТСОВ от начальной) и для параметров, соответствующих фиг. 1, равен 0.73675 , а для фиг.2 e= 0.741 . Расчеты подтвердили правомерность этого подхода (фиг. 1,2). Тем самым расчеты дополнительно подтвердили возможность переключения любых когерентных импульсных или непрерывных оптических излучений (а не только солитонов) в квадратично-нелинейных ТСОВ из одного волновода в другой и выявили область параметров, когда такое переключение возможно.
Литература1. Майер А.А. – УФН 1995, т. 165, N 9, с. 1037-1075. 2. Майер А.А. – УФН 1996, т. 166, N 11, с. 1171-1196. 3. Майер А.А. Изв. АН СССР, сер. физ., 1984, т.48, с. 1441-1446. 4. Майер А.А. Препринт ИОФАН N 236, Москва, 1984; Квант, электрон. 1985, т. 12, N 7, с. 1537-1540. 5. Майер А.А. Препринт ИОФАН N 334 (20). – Москва, 1985; Квант. электрон. 1987, т. 14, 1596-1603. 6. Trillo S, Wabnitz S., Wright E.M., Stegeman G.I. Optics Lett. 1988, т. 13, p.672-674. 7. Ю.Н.Карамзин, А.П.Сухоруков. Письма в ЖЭТФ 20, С. 734, 1974. 8. Майер А.А. О синхронном преобразовании частоты в связанных волноводах. – Квант. электрон. 1982, т. 9, N 12, С. 2544-2546. 9. Майер А.А., Ситарский К.Ю. Переключение частоты в квадратично-нелинейных туннельно-связанных оптических волноводах. Препринт ИОФРАН N 27, М., 1995. Формула изобретения
и 2 на вход одного из туннельно-связанных оптических волноводов или на вход разных волноводов, причем нормированные амплитуды волн на входе соответствуют формуламAjk(z=0) = ajkexp(i jk)/cosh (t/ p),или Ajk(z=0) = ajkexp(i jk)exp(-t /![]() p),где 1,5 2,5;k = 0,1 – номер волновода; jk – входные фазы волн на частотах соответственно и 2 ;ajk – нормированные действительные амплитуды импульсов на входе на частотах соответственно и 2 , удовлетворяющие неравенствам ajk 2,где j = 1 соответствует частоте ;j = 2 соответствует частоте 2 ;t – время; p – длительность входных импульсов,при этом переключение импульсов из одного волновода в другой осуществляют изменением амплитуды a10, и/или a11, и/или a20, и/или a21, или фазы 10, и/или 11, и/или 20, и/или 21 излучения по крайней мере одной частоты.
2. Способ переключения, управления, усиления и модуляции оптических излучений в виде импульсов по п.1, отличающийся тем, что = 2.
3. Способ переключения, управления, усиления и модуляции оптических излучений в виде импульсов по п.1 или 2, отличающийся тем, что нормированные действительные амплитуды импульсов на входе на частотах соответственно и 2 , удовлетворяют неравенствам ![]() 4. Способ переключения, управления, усиления и модуляции оптических излучений в виде импульсов по любому из пп.1 – 3, отличающийся тем, что изменение амплитуды ajk, вызывающее переключение импульсов из одного волновода в другой, не превышает 0,2 от максимальной из величин амплитуд ajk. 5. Способ переключения, управления, усиления и модуляции оптических излучений в виде импульсов по любому из пп.1 – 4, отличающийся тем, что изменение фазы jk, вызывающее переключение импульсов из одного волновода в другой, не превышает 0,2 .6. Способ переключения, управления, усиления и модуляции оптических излучений в виде импульсов по любому из пп.1 – 5, отличающийся тем, что длина туннельной связи волноводов больше или равна половине минимальной из длин перекачки излучений на частотах и 2 в линейном режиме.
7. Способ переключения, управления, усиления и модуляции оптических излучений в виде импульсов по любому из пп.1 – 6, отличающийся тем, что туннельно-связанные оптические волноводы выполнены в виде двужильного волоконного световода, или на основе кристалла КТР, или на основе полупроводниковой квантово-размерной структуры, или на основе одно-кристаллических волокон из ферроорганических материалов с большой квадратичной нелинейностью.
8. Способ переключения, управления, усиления и модуляции оптических излучений в виде импульсов по любому из пп.1 – 7, отличающийся тем, что выполнено условие синхронизма.
9. Способ переключения, управления, усиления и модуляции оптических излучений в виде импульсов по любому из пп.1 – 7, отличающийся тем, что где = ( o+ 1)/2, k= 2k– 1k – разность эффективных показателей преломления на частотах 2 и в k-м волноводе, K1 – коэффициент туннельной связи на частоте .10. Способ переключения, управления, усиления и модуляции оптических излучений в виде импульсов по любому из пп.1 – 9, отличающийся тем, что где j= j1– jo – разность эффективных показателей преломления волноводов на частоте j .11. Способ переключения, управления, усиления и модуляции оптических излучений в виде импульсов по любому из пп.1 – 10, отличающийся тем, что где квадратично-нелинейный коэффициент k-го волновода.
12. Способ переключения, управления, усиления и модуляции оптических излучений в виде импульсов по любому из пп.1 – 11, отличающийся тем, что где Djk – коэффициент дисперсии второго порядка k-го волновода на частоте j .13. Способ переключения, управления, усиления и модуляции оптических излучений в туннельно-связанных оптических волноводах, заключающийся в том, что на вход туннельно-связанных оптических волноводов, обладающих нелинейностью, подают оптическое излучение, переключение излучений из одного волновода в другой осуществляют путем изменения одного параметра излучения, отличающийся тем, что туннельно-связанные оптические волноводы обладают квадратичной нелинейностью, излучение подают одновременно на частотах и 2 на вход одного из туннельно-связанных оптических волноводов или на вход разных волноводов, причем нормированные действительные амплитуды волн jk на входе jk(z=0) удовлетворяют неравенствам: jk(z=0) 2, где k = 0,1 – номер волновода, j = 1 соответствует частоте , j = 2 соответствует частоте 2 , при этом переключение осуществляют изменением амплитуды 10, и/или 11, и/или 20, и/или 21 или фазы 10, и/или 11, и/или 20, и/или 21 излучения по крайней мере одной частоты.
14. Способ переключения, управления, усиления и модуляции оптических излучений в виде импульсов по п.13, отличающийся тем, что нормированные действительные амплитуды импульсов на входе на частотах соответственно и 2 , удовлетворяют неравенствам ![]() 15. Способ переключения, управления, усиления и модуляции оптических излучений по п. 13 или 14, отличающийся тем, что изменение амплитуды jk, вызывающее переключение оптических излучений из одного волновода в другой, не превышает 0,2 от максимальной из величин амплитуд jk.16. Способ переключения, управления, усиления и модуляции оптических излучений по любому из пп.13 – 15, отличающийся тем, что изменение фазы jk, вызывающее переключение оптических излучений из одного волновода в другой, не превышает 0,2 .17. Способ переключения, управления, усиления и модуляции оптических излучений по любому из пп.13 – 16, отличающийся тем, что длина туннельной связи волноводов больше или равна половине минимальной из длин перекачки излучений на частотах и 2 в линейном режиме.
18. Способ переключения, управления, усиления и модуляции оптических излучений по любому из пп.13 – 17, отличающийся тем, что туннельно-связанные оптические волноводы выполнены в виде двужильного волоконного световода, или на основе кристалла КТР, или на основе полупроводниковой квантоворазмерной структуры, или на основе одно-кристаллических волокон из ферроорганических материалов с большой квадратичной нелинейностью.
19. Способ переключения, управления, усиления и модуляции оптических излучений по любому из пп.13 – 18, отличающийся тем, что выполнено условие синхронизма.
20. Способ переключения, управления, усиления и модуляции оптических излучений по любому из пп.13 – 19, отличающийся тем, что где K1 – коэффициент туннельной связи на частоте квадратично-нелинейный коэффициент k-го волновода.
РИСУНКИ
|
||||||||||||||||||||||||||

и 2
jk)/cosh
(t/
p)
2,
.
= (
2k–
j=
квадратично-нелинейный коэффициент k-го волновода.
Во втором варианте способа поставленная задача решается тем, что в способе переключения, управления, усиления и модуляции оптических излучений в туннельно-связанных оптических волноводах на вход туннельно-связанных оптических волноводов, обладающих нелинейностью, подают излучение, переключение излучений из одного волновода в другой осуществляют путем изменения одного параметра излучения, при этом туннельно-связанные оптические волноводы обладают квадратичной нелинейностью, излучение подают одновременно на частотах
jk на входе 
где K1 – коэффициент туннельной связи на частоте
квадратично-нелинейный коэффициент k-го волновода,
jk= 0,
Длина ТСОВ l = 6. Пунктиром показан результат решения обыкновенных дифференциальных уравнений (10-11), эквивалентных уравнениям (4).
Фиг.2. См. подпись к фиг. 1. K1=1, K2=1/2, a20=5;
l = 3.6.
Фиг. 3 См. подпись к фиг. 1. K1 = 1, K2= 

l=3.
Фиг.6. K1=1, K2=1/2,
l=3.8, D2k=D1k=1.
Фиг. 7. K1 = 1, K2=1/2,
l=3.3, D2k=1, D1k=2.
Фиг. 8 Ajk(z=0)=ajkexp(i
точка M0 (a);
точка M1 (б);
точка М (в);
0.73675; г – линейный случай:
k= 0.
квадратично-нелинейная поляризация среды,
тензор третьего ранга квадратичной восприимчивости.
Электрическое поле в системе двух туннельно-связанных квадратично-нелинейных оптических волноводов можно представить в виде
медленно меняющаяся амплитуда поля в k-м волноводе на частоте j
расстройка обратной групповой скорости ujk-1 волны на частоте j
Величина
где ld,jk=
2(
и учитывающий профили полей Ejk(x,y), т. е. распределение поля по поперечным координатам x и y в каждом волноводе на каждой частоте, а также перекрытие профилей взаимодействующих полей на различных частотах [1,2] ; множитель 4
Как правило 

нормирована на дисперсионную длину ld= 2max{
B (4) введены нормированные нелинейные коэффициенты 

Если волноводы идентичны, то 
a20 = 4, причем a11 = a21 = 0,
то вся мощность солитонов переключится на выход нулевого волновода (фиг. 1б). При изменении фазы этого сигнала на
a20=4, a11=a21=0, соответствуют средней точке самопереключения M (фиг. 1 в), когда мощность, начиная с некоторого расстояния от входа, делится пополам.
Пусть K1 = 1, K2 = 1/2 и в нулевой волновод вводятся солитоны с
a20= 5.0, причем a11 = a21 = 0,
переключим солитоны на выход нулевого волновода (фиг. 2б). Малое увеличение входной фазы
a20 = 5.0, a11 = a21 = 0,
соответствуют средней точке самопереключения M (фиг. 2в), когда мощность, начиная с некоторого расстояния от входа, делится пополам между волноводами. Та же средняя точка M достигается также при параметрах
a20= 5.248, a11 = a21 = 0,
a20=6, a11 = a21 = 0,
то вся мощность солитонов также переключиться на выход нулевого волновода. Если же теперь задать
солитоны выходят
но
0,
1-q
3) солитоны начинают расплываться (особенно на частоте 2
имеют вид [2,9]:

нормирована на длину перекачки мощности на частоте
причем
и для идентичных ТСОВ
длина “линейной” перекачки мощности на частоте 

21= 
до +



, 


где
где
где
квадратично-нелинейный коэффициент k-го волновода.
12. Способ переключения, управления, усиления и модуляции оптических излучений в виде импульсов по любому из пп.1 – 11, отличающийся тем, что
где Djk – коэффициент дисперсии второго порядка k-го волновода на частоте j
где K1 – коэффициент туннельной связи на частоте
квадратично-нелинейный коэффициент k-го волновода.