|
|
(21), (22) Заявка: 2002115639/04, 26.10.2000
(24) Дата начала отсчета срока действия патента:
26.10.2000
(30) Конвенционный приоритет:
08.11.1999 (пп.1-5) DE 19953546.9
(43) Дата публикации заявки: 27.12.2003
(45) Опубликовано: 20.06.2005
(56) Список документов, цитированных в отчете о поиске:
WO 99/19063 А1, 22.04.1999. WO 98/16310 А1, 23.04.1998. SU 340175 А, 29.06.1972.
(85) Дата перевода заявки PCT на национальную фазу:
10.06.2002
(86) Заявка PCT:
EP 00/10550 (26.10.2000)
(87) Публикация PCT:
WO 01/34297 (17.05.2001)
Адрес для переписки:
103064, Москва, ул. Казакова,16, НИИР Канцелярия “Патентные поверенные Квашнин, Сапельников и партнеры”, Квашнину В.П.
|
(72) Автор(ы):
ООМС Питер (DE), ХОФМАНН Йорг (DE), ШТАЙНЛАЙН Кристиан (DE), ЭЛЕРС Штефан (DE)
(73) Патентообладатель(и):
БАЙЕР АКЦИЕНГЕЗЕЛЛЬШАФТ (DE)
|
(54) КАТАЛИЗАТОРЫ НА ОСНОВЕ ДВОЙНЫХ МЕТАЛЛОЦИАНИДОВ ДЛЯ ПОЛУЧЕНИЯ ПОЛИЭФИРПОЛИОЛОВ
(57) Реферат:
Катализатор на основе двойного металлоцианида (ДМЦ-катализатор) для получения полиэфирполиолов, содержащий (a) двойное металлоцианидное соединение, (b) органический комплексный лиганд, отличный от (с), (c) два, отличных от b), комплексообразующих компонента, выбранных из группы, включающей простые или сложные полиэфиры, простые глицидиловые эфиры, сложные эфиры карбоновых кислот и многоатомных спиртов, желчные кислоты, соли желчных кислот, сложные эфиры желчных кислот, амиды желчных кислот или фосфорные соединения, при условии, что выбранные комплексообразующие компоненты с) относятся к разным группам. Катализаторы согласно изобретению обладают чрезвычайно высокой активностью при получении полиэфирполиолов, 4 з.п. ф-лы, 1 табл.
Изобретение касается новых катализаторов на основе двойных металлоцианидов (ДМЦ-катализаторов) для получения полиэфирполиолов путем полиприсоединения алкиленоксидов к исходным соединениям с активными атомами водорода.
Известны ДМЦ-катализаторы для полиприсоединения алкиленоксидов к исходным соединениям с активными атомами водорода (смотри, например, патенты США US-A 3404109, US-A 3829505, US-A 3941849 и US-A 5158922). Использование этих катализаторов для получения полиэфирполиолов способствует, в частности, снижению доли монофункциональных полиэфиров с концевыми двойными связями, так называемых моноолов, по сравнению с обычным получением полиэфирполиолов в присутствии основных катализаторов, например гидроксидов щелочных металлов. Полученные таким образом полиэфирполиолы могут быть переработаны в высококачественные полиуретаны (например, эластомеры, пенопласты, покрытия). ДМЦ-катализаторы обычно получают путем взаимодействия водного раствора соли металла с водным раствором соли металлоцианида в присутствии органического комплексного лиганда, например простого эфира. Типичным примером получения ДМЦ-катализатора является смешивание избыточного количества водного раствора хлорида цинка с водным раствором гексацианокобальтата калия и последующее добавление диметоксиэтана (глима) к образовавшейся суспензии. После фильтрования и промывки катализатора водным раствором глима получают активный катализатор общей формулы
Zn3[Co(CN)6]2xZnCl2 у H2O z (Глим)
(смотри, например, европейскую заявку на патент ЕР-А 700 949).
Из японской заявки на патент JP-A 4145123, патента США US-A 5470813, европейских заявок на патент ЕР-А 700949, ЕР-А 743093, ЕР-А 761708 и международной заявки WO 97/40086 известны ДМЦ-катализаторы, которые благодаря введению в их состав трет-бутанола (одного или в сочетании со простым полиэфиром) в качестве органического комплексного лиганда (европейские заявки на патент ЕР-А 700949, ЕР-А 761708, международная заявка WO 97/40086) обеспечивают дополнительное уменьшение доли монофункциональных полиэфиров с концевыми двойными связями при получении полиэфирполиолов. Наряду с этим при использовании таких ДМЦ-катализаторов сокращается индукционный период реакции полиприсоединения алкиленоксидов к исходным соединениям и возрастает активность катализатора.
В основу настоящего изобретения была положена задача создания дополнительно усовершенствованных ДМЦ-катализаторов для полиприсоединения алкиленоксидов к соответствующим исходным соединениям, которые обладают более высокой каталитической активностью по сравнению с известными до сих пор типами катализаторов и обеспечивают более высокую экономичность процесса получения полиэфирполиолов за счет сокращения продолжительности стадии алкоксилирования. В идеальном случае благодаря повышенной активности такие катализаторы могут использоваться в настолько низких концентрациях (25 частей на миллион и менее), что отпадет необходимость в их весьма дорогостоящем выделении из продуктов реакции полиприсоединения, которые можно использовать для непосредственного синтеза полиуретанов.
Неожиданно оказалось, что ДМЦ-катализаторы, содержащие три или более разных комлексообразующих компонента, при получении полиэфирполиолов проявляют гораздо более высокую активность по сравнению с катализаторами, содержащими только один комплексообразующий компонент.
Объектом настоящего изобретения, таким образом, является катализатор на основе двойных металлоцианидов (ДМЦ-катализатор), содержащий:
a) одно или несколько, предпочтительно одно, двойное металлоцианидное соединение,
b) один или несколько, предпочтительно один, отличающийся от с) органический комплексный лиганд, и
c) два или более, предпочтительно два, отличающихся от b) комплексообразующих компонента, выбранных из следующих классов полимеров с функциональными группами: простые или сложные полиэфиры, поликарбонаты, сложные эфиры полиалкиленгликольсорбитанов, простые полиалкиленгликольглицидиловые эфиры, полиакриламид, сополимеры акриламида с акриловой кислотой, полиакриловая кислота, сополимеры акриловой и малеиновой кислот, полиакрилонитрил, полиалкилакрилаты, полиалкилметакрилаты, простой поливинилметиловый эфир, простой поливинилэтиловый эфир, поливинилацетат, поливиниловый спирт, поли-N-винилпирролидон, сополимеры N-винилпирролидона с акриловой кислотой, поливинилметилкетон, поли-4-винилфенол, сополимеры акриловой кислоты со стиролом, полимеры оксазолина, полиалкиленимины, сополимеры малеиновой кислоты и малеинового ангидрида, оксиэтилцеллюлоза и полиацетали, или простые глицидиловые эфиры, гликозиды, сложные эфиры карбоновых кислот и многоатомных спиртов, желчные кислоты или их соли, сложные эфиры или амиды, циклодекстрины, фосфорные соединения, сложные эфиры , -ненасыщенных карбоновых кислот или ионогенные поверхностно-активные вещества или ионогенные поверхностно-активные вещества на границе раздела фаз.
В состав катализатора согласно изобретению при необходимости могут входить d) вода предпочтительно в количестве 1-10% масс. и/или е) одна или несколько водорастворимых солей металла формулы (I) М(Х)n, используемых для получения двойных металлоцианидных соединений а), предпочтительно в количестве 5-25 % масс. В формуле (I) «M» выбирают из следующей группы металлов: цинк(II), железо(II), никель(II), марганец(II), кобальт(II), олово(II), свинец(II), железо(III), молибден(VI), молибден(VI), алюминий(III), ванадий(V), ванадий(IV), стронций(II), вольфрам(IV), вольфрам(VI), медь(II) и хром(III). Особенно предпочтительны цинк(II), железо(II), кобальт(II) и никель(II). Анионы «X» являются одинаковыми или разными, предпочтительно одинаковыми, и их предпочтительно выбирают из группы галогенидов, гидроксидов, сульфатов, карбонатов, цианатов, тиоцианатов, изоцианатов, изотиоцианатов, карбоксилатов, оксалатов или нитратов; «n» означает 1, 2 или 3.
Двойные металлоцианидные соединения а), входящие в состав катализаторов согласно изобретению, являются продуктами взаимодействия водорастворимых солей металла и водорастворимых солей металлоцианида.
Водорастворимые соли металла, пригодные для получения двойных металлоцианидных соединений а), предпочтительно обладают общей формулой (I) М(Х)n, причем «М» выбирают из следующей группы металлов: цинк(II), железо(II), никель(II), марганец(II), кобальт(II), олово(II), свинец(II), железо(III), молибден(IV), молибден(VI), алюминий(III), ванадий(V), ванадий(IV), стронций(II), вольфрам(IV), вольфрам(VI), медь(II) и хром(III). Особенно предпочтительны цинк(II), железо(II), кобальт(II) и никель(II). Анионы «X» являются одинаковыми или разными, предпочтительно одинаковыми, и их предпочтительно выбирают из группы галогенидов, гидроксидов, сульфатов, карбонатов, цианатов, тиоцианатов, изоцианатов, изотиоцианатов, карбоксилатов, оксалатов или нитратов; «n» означает 1, 2 или 3.
Примерами пригодных водорастворимых солей металла являются хлорид, бромид, ацетат, ацетилацетонат, бензоат или нитрат цинка, сульфат, бромид или хлорид железа(II), хлорид кобальта(II), тиоцианат кобальта(II), хлорид никеля(II) и нитрат никеля(II). Могут использоваться также смеси различных водорастворимых солей металла.
Водорастворимые соли металлоцианида, пригодные для получения двойных металлоцианидных соединений а), предпочтительно обладают общей формулой (II): (Y)aM'(CN)b(A)c, причем М’ выбирают из следующей группы металлов: железо(II), железо(III), кобальт(II), кобальт(III), хром(II), хром(III), марганец(II), марганец(III), иридий(III), никель(II), родий(III), рутений(II), ванадий(IV) и ванадий(V). Особенно предпочтителен выбор М’ из следующей группы металлов: кобальт(II), кобальт(III), железо(II), железо(III), хром(III), иридий(III) и никель(II). Водорастворимая соль металлоцианида может содержать один или несколько атомов этих металлов. Катионы «Y» являются одинаковыми или разными, предпочтительно одинаковыми, и их выбирают из группы щелочных и щелочно-земельных металлов. Анионы «А» являются одинаковыми или разными, предпочтительно одинаковыми, и их выбирают из группы галогенидов, гидроксидов, сульфатов, карбонатов, цианатов, тиоцианатов, изоцианатов, изотиоцианатов, карбоксилатов, оксалатов или нитратов. Индексам «а», «b» и «с» соответствуют целочисленные значения, выбранные таким образом, чтобы соблюдалась электронейтральность соли металлоцианида. Индексу «а» предпочтительно соответствуют значения 1,2,3 или 4, «b» – 4,5 или 6, «с» – 0. Примерами пригодных водорастворимых солей металлоцианида являются гексацианокобальтат(III), гексацианоферрат(II) или гексацианоферрат(III) калия, гексацианокобальтат(III) кальция и гексацианокобальтат(III) лития.
Предпочтительными двойными металлоцианидными соединениями а), входящими в состав катализаторов согласно изобретению, являются соединения общей формулы (III)
МхM’x‘(CN)y]z,
в которых М означает то же, что в формуле (I),
М’ означает то же, что в формуле (II),
х, х’, у и z имеют целочисленные значения, выбранные таким образом, чтобы была соблюдена электронейтральность двойного металлоцианидного соединения.
Предпочтительны следующие значения:
х равно 3, х’ равно 1, у равно 6 и z равно 2,
М означает цинк(II), железо(II), кобальт(II) или никель(II),
М’ означает кобальт(III), железо(III), хром(III) или иридий(III).
Примерами пригодных двойных металлоцианидных соединений а) являются гексацианокобальтат(III), гексацианоиридат(III) или гексацианоферрат(III) цинка и гексацианокобальтат(III) кобальта(II). Другие примеры пригодных двойных металлоцианидных соединений представлены, например, в патенте США 5158922. Особенно предпочтительно использование гексацианокобальтата(III) цинка.
Органические комплексные лиганды b), входящие в состав ДМЦ-катализаторов согласно изобретению, в принципе известны и подробно описаны в патентной литературе, соответствующей уровню техники (например, в патентах США US-A 5158922, US-A 3404109, US-A 3829505, US-A 3941849, европейских заявках на патент ЕР-А 700949, ЕР-А 761708, японской заявке на патент JP-A 4145123, патенте США US-A 5470813, европейской заявке на патент ЕР-А 743093 и международной заявке WO 97/40086). Предпочтительными органическими комплексными лигандами являются водорастворимые органические соединения, содержащие такие гетероатомы, как кислород, азот, фосфор или серу, способные образовывать комплексы с двойным металлоцианидным соедиинением а). Пригодными органическими комплексными лигандами являются, например, спирты, альдегиды, кетоны, простые и сложные эфиры, амиды, карбамиды, нитрилы, сульфиды и смеси этих соединений. Предпочтительными органическими комплексными лигандами являются такие водорастворимые алифатические спирты, как этанол, изопропанол, н-бутанол, изобутанол, втор-бутанол и трет-бутанол. Особенно предпочтителен трет-бутанол.
Органический комплексный лиганд добавляют либо в процессе приготовления катализатора, либо непосредственно после выпадения двойного металлоцианидного соединения а) в осадок. Обычно используют избыток органического комплексного лиганда.
ДМЦ-катализаторы согласно изобретению содержат двойные металлоцианидные соединения а) в количестве от 20 до 90% масс., предпочтительно от 25 до 80% масс., относительно количества готового катализатора и органические комплексные лиганды b) в количестве от 0,5 до 30% масс., предпочтительно от 1 до 25% масс., относительно количества готового катализатора. ДМЦ-катализаторы согласно изобретению содержат обычно от 1 до 79,5% масс., предпочтительно от 1 до 50% масс., относительно количества готового катализатора смеси комплексообразующих компонентов с).
Комплексообразующими компонентами с), пригодными для получения катализаторов согласно изобретению, являются вышеперечисленные полимеры с функциональными группами, простые глицидгловые эфиры, гликозиды, сложные эфиры карбоновых кислот и многоатомных спиртов, желчные кислоты или их соли, сложные эфиры или амиды, циклодекстрины, фосфорные соединения, сложные эфиры , -ненасыщенных карбоновых кислот или ионогенные поверхностно-активные вещества или ионогенные поверхностно-активные вещества на границе раздела фаз.
Полимеры с функциональными группами, пригодные для получения катализаторов согласно изобретению, в принципе известны и подробно описаны в европейской заявке на патент ЕР-А 700949, международных заявках WO 97/40086, WO 98/16310 и немецких заявках на патент 19745120.9, 19757574.9, 19810269.0, 19834573.9 и 19842382.9. Пригодными полимерами с функциональными группами являются, например, простые и сложные полиэфиры, поликарбонаты, сложные эфиры полиалкиленгликольсорбитанов, простые полиалкиленгликольглицидиловые эфиры, полиакриламид, сополимеры акриламида с акриловой кислотой, полиакриловая кислота, сополимеры акриловой и малеиновой кислот, полиакрилонитрил, полиалкилакрилаты, полиалкилметакрилаты, простой поливинилметиловый эфир, простой поливинилэтиловый эфир, поливинилацетат, поливиниловый спирт, поли-N-винилпирролидон, сополимеры N-винилпирролидона с акриловой кислотой, поливинилметилкетон, поли-4-винилфенол, сополимеры акриловой кислоты со стиролом, полимеры оксазолина, полиалкиленимины, сополимеры малеиновой кислоты и малеинового ангидрида, оксиэтилцеллюлоза и полиацетали.
Предпочтительно используемыми полимерами с функциональными группами являются простые и сложные полиэфиры, поликарбонаты, сложные эфиры полиалкиленгликольсорбитанов и простые полиалкиленгликольглицидиловые эфиры.
Предпочтительно используемыми простыми полиэфирами являются полиэфирполиолы, содержащие от 1 до 8, особенно предпочтительно от 1 до 3 гидроксильных групп и обладающие среднечисленной молекулярной массой от 150 до 107, особенно предпочтительно от 200 до 5·104. Полиэфирполиолы как правило получают полимеризацией эпоксидов с раскрытием цикла в присутствии соответствующих исходных соединений с активными атомами водорода и основных, кислотных или координационно-ионных катализаторов (например, ДМЦ-катализаторов). Пригодными полиэфирполиолами являются, например, полиоксипропиленполиолы, полиоксиэтиленполиолы, имеющие этиленоксидные звенья полиоксипропиленполиолы, смеси полиоксиэтиленполиолов с полиоксипропиленполиолами, полимеры бутиленоксида, сополимеры бутиленоксида с этиленоксидом и/или пропиленоксидом, а также полиокситетраметиленгликоли.
Предпочтительно используемыми сложными полиэфирами являются линейные и частично разветвленные полиэфиры с концевыми гидроксильными группами, обладающие среднечисленной молярной массой менее 10000, которые более подробно описаны в немецкой заявке на патент 19745120.9. Особенно предпочтительно использование сложных полиэфиров со среднечисленной молярной массой от 400 до 6000 и карбоксильным числом от 28 до 300 мг КОН/г, пригодных для синтеза полиуретанов. Пригодными сложными полиэфирами являются, например, полиэтиленгликольадипинат, полидиэтиленгликольадипинат, полидипропиленгликольадипинат, полидиэтиленгликольадипинат, разветвленный посредством триметилолпропана, политетраметиленгликольадипинат или поли-2-метил-1,3-пропиленглутарат.
Предпочтительно используемыми поликарбонатами являются алифатические поликарбонаты с концевыми гидроксильными группами, обладающие среднечисленной молярной массой менее 12000, которые более подробно описаны в немецкой заявке на патент 19757574.9. Особенно предпочтительно использование диолов алифатических поликарбонатов со среднечисленной молярной массой от 400 до 6000. Пригодными диолами поликарбонатов являются, например, поли(1,6-гександиол)карбонат, поли(диэтиленгликоль)карбонат, поли(дипропиленгликоль)карбонат, поли(триэтиленгликоль)карбонат, поли(1,4-бис-гидроксиметилциклогексан)карбонат, поли(1,4-бутандиол)карбонат или поли(трипропиленгликоль)карбонат.
Предпочтительно используемыми сложными эфирами полиалкиленгликольсорбитанов являются эфиры полиэтиленгликольсорбитана (полисорбаты), более подробно описанные в немецкой заявке на патент 19842382.9. Особенно предпочтительны сложные моно-, ди- и триэфиры полиэтиленгликольсорбитана и жирных кислот с 6-18 атомами углерода, содержащие от 2 до 40 этиленоксидных звеньев.
Предпочтительно используемыми простыми полиалкиленгликольглицидиловыми эфирами являются моно- и диглицидиловые эфиры полипропиленгликоля и полиэтиленгликоля, более подробно описанные в немецкой заявке на патент 19834573.9.
Кроме того, соединениями, предпочтительно используемыми для получения катализаторов согласно изобретению в качестве компонента с), являются простые глицидиловые эфиры мономерных или полимерных (содержащих, по меньшей мере, два мономерных звена) алифатических, ароматических или арилалифатических, моно-, ди-, три-, тетра- или полифункциональных спиртов.
Предпочтительны простые глицидиловые эфиры следующих моно-, ди-, три-, тетра- или полифункциональных алифатических спиртов: бутанола, гексанола, октанола, деканола, додеканола, тетрадеканола, этандиола, 1,2-пропандиола, 1,3-пропандиола, 1,4-бутандиола, 2,2-диметил-1,3-пропандиола, 1,2,3-пропандиола, 1,6-гександиола, 1,1,1-трис-гидроксиметилэтана, 1,1,1-тpиc-гидроксиметилпропана, тетракис-гидроксиметилметана, сорбита, полиэтиленгликоля и полипропиленгликоля, причем могут использоваться как моно-, ди-, три- и тетраглицидиловые, так и полиглицидиловые эфиры.
Особенно предпочтительно использование моно- или диглицидиловых эфиров бутанола, гексанола, октанола, деканола, додеканола, тетрадеканола, этандиола или 1,4-бутандиола, а также полипропиленгликоля или полиэтиленгликоля, в частности, со степенью полимеризации от 2 до 1000 мономерных звеньев.
Простые глицидиловые эфиры как правило получают путем взаимодействия моно-, ди-, три-, тетра- или полифункциональных спиртов с эпихлоргидрином в присутствии кислот Льюиса, например тетрахлорида олова или трифторида бора, и последующего дегидрогалогенирования образующихся хлоргидринов основанием (например, гидроксидом натрия).
Способы получения простых глицидиловых эфиров общеизвестны и подробно описаны, например, в «Kirk-Othmer, Encyclopedia of Chemical Technology», Band 9, 4. Auflage, 1994, S. 739 ff.; «Ullmann’s Encyclopedia of Industrial Chemistry», Band A9, 5. Auflage, Weinheim/New York, 1987, S. 552.
Простой глицидиловый эфир, используемый для получения катализатора согласно изобретению, может присутствовать в составе готового катализатора в исходном или химически модифицированном, например гидролизованном, состоянии.
Гликозидами, пригодными для использования в качестве компонента с), являются соединения, состоящие из углеводов (сахаров) и несахаров (агликонов), в которых агликон соединяется посредством атома кислорода через гликозидную связь с полуацетальным углеродным атомом углевода до полного ацеталя.
В качестве углеводной составляющей (сахара) пригодны моносахариды: глюкоза, галактоза, манноза, фруктоза, арабиноза, ксилоза или рибоза, дисахариды: сахароза или мальтоза, и олиго- или полисахариды, в частности крахмал.
Что касается несахарной составляющей, речь идет об углеводородных радикалах с 1-30 атомами углерода, в частности арильных, арилалкильных и алкильных радикалах, предпочтительно ариалкильных и алкильных радикалах, особенно предпочтительно об алкильных радикалах с 1-30 атомами углерода.
Предпочтительно используемыми гликозидами являются так называемые алкилполисахариды, которые как правило получают путем взаимодействия углеводов с такими спиртами, как метанол, этанол, пропанол и бутанол, или путем переацетализации короткоцепочечных алкилгликозидов жирными спиртами с 8-20 атомами углерода в присутствии кислот.
Особенно предпочтительны алкилполикликозиды с глюкозой в качестве повторяющегося мономерного звена и 8-16 атомами углерода в алкильной цепи, обладающие средней степенью полимеризации от 1 до 2.
Способы получения гликозидов общеизвестны и подробно описаны, например, в «Kirk-Othmer, Encyclopedia of Chemical Technology», Band 4, 4. Auflage, 1992, S. 916 ff.; « Lexikon Chemie», Band 2, 10. Auflage, Stuttgart/New York, 1996, S. 1581 ff.; Angewandte Chemie 110, S. 1394-1412 (1998).
Пригодными сложными эфирами карбоновых кислот и многоатомных спиртов являются, например, эфиры карбоновых кислот с 2-30 атомами углерода и алифатических или алициклических спиртов, содержащих две или более гидроксильные группы в молекуле, к которым относятся этиленгликоль, 1,2-пропандиол, 1,3-пропандиол, диэтиленгликоль, триэтиленгликоль, 1,2,3-пропантриол (глицерин), 1,3-бутандиол, 1,4-бутандиол, бутантриол, 1,6-гександиол, 1,1,1-триметилолэтан, 1,1,1-триметиолпропан, пентаэритрит, углеводы (сахара) или такие многоатомные спирты, как сорбит или сорбитан, превращающиеся при окислении в моносахариды. В качестве сахаров пригодны моносахариды: глюкоза, галактоза, манноза, фруктоза, арабиноза, ксилоза или рибоза, дисахариды: сахароза или мальтоза, и олиго- или полисахариды, в частности крахмал.
В качестве карбоновых кислот для получения соответствующих сложных эфиров пригодны кислоты с 2-30 атомами углерода, например арил-, арилалкил- и алкилкарбоновые, предпочтительно арилалкил- и алкилкарбоновые, особенно предпочтительно алкилкарбоновые кислоты, например уксусная, масляная, изовалерьяновая, капроновая, каприловая, каприновая, лауриновая, миристиновая, пальмитиновая, стеариновая, олеиновая, линолевая или линоленовая кислота.
Предпочтительно используемыми сложными эфирами карбоновых кислот и многоатомных спиртов являются эфиры 1,2,3-пропантриола (глицерина), 1,1,1-триметилолпропана, пентаэритрита, мальтозы или сорбитана и алкилкарбоновых кислот с 2-18 атомами углерода.
Особенно предпочтительными сложными эфирами карбоновых кислот и многоатомных спиртов являются моно-, ди-, три- или тетраэфиры 1,2,3-пропантриола (глицерина), пентаэритрита или сорбитана и алкилкарбоновых кислот с 2-18 атомами углерода.
Способы получения сложных эфиров карбоновых кислот и многоатомных спиртов или их выделения из жиров общеизвестны и подробно описаны, например, в «Kirk-Othmer, Encyclopedia of Chemical Technology», Band 9, 3. Auflage, 1980, S. 795 ff.; « Lexikon Chemie», 8. Auflage, Stuttgart/New York, 1981; «Ullmann’s Encyclopedia of Industrial Chemistry», Volume A10, 5 th Edition, 1987,S. 173-218.
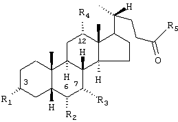
Желчными кислотами, пригодными для использования в качестве компонента с), являются стероидные карбоновые кислоты с 24 атомами углерода – продукты деструкции холестерина, в общем случае представляющие собой производные 5 -холан-24-овой кислоты, получаемые путем введения гидроксильных групп в -положение по отношению к атомам углерода 3, 6, 7 и 12 этой кислоты.
Предпочтительно используемые желчные кислоты обладают общей формулой

причем радикалы R1, R2, R3 и R4 независимо друг от друга означают атом водорода или гидроксигруппу, а радикал R5 означает гидроксигруппу, NH-СН2-СООН, NН-СН2-СН2-SO3Н, NH-(CH2)3-N+(CH3)2-CH2-CHOH-CH2-SO3 – или NН-(СН2)3-N+(CH3)2(СН2)3-SO3 –.
Пригодны свободные желчные кислоты или их соли, предпочтительно соли щелочных или щелочно-земельных металлов, а также соответствующие сложные эфиры, предпочтительно содержащие алкильные радикалы с 1-30 атомами углерода, и амиды, предпочтительно содержащие алкильные радикалы или сульфоалкильные, сульфоалкиламиноалкильные, сульфогидроксиалкиламиноалкильные и карбоксильные остатки в кислотной или солевой форме.
Примерами пригодных желчных кислот или их солей, сложных эфиров или амидов являются холевая кислота (3 ,7 ,12 -тригидрокси-5 -холан-24-овая кислота; R1=R3=R4=R5=ОН, R2=Н), натриевая соль холевой кислоты (холат натрия), холаты лития и калия, гликохолевая кислота (N-[карбоксиметил]амид 3 ,7 ,12 -тригидрокси-5 -холан-24-овой кислоты; R1 =R3=R4=ОН, R2=H, R5=NH-CH2-COOH), гликохолат натрия, таурохолевая кислота (N-[2-сульфоэтил]амид 3 ,7 ,12 -тригидрокси-5 -холан-24-овой кислоты; R1=R3=R4=ОН, R2=H, R5=NН-СН2-СН2-SO3Н); таурохолат натрия, дезоксихолевая кислота (3 ,12 -дигидрокси-5 -холан-24-овая кислота; R1=R4=R5=ОН, R2=R3=H), дезоксихолаты натрия, калия и лития, гликодезоксихолевая кислота (N-[карбоксиметил]амид 3 ,12 -дигидрокси-5 -холан-24-овой кислоты; R1=R4=ОН, R2=R3=H, R5=NH-СН2-СООН), гликодезоксихолат натрия, тауродезоксихолевая кислота (N-[2-сульфоэтил]амид 3 ,12 -дигидрокси-5 -холан-24-овой кислоты; R1=R4=ОН, R2=R3=H, R5=NН-СН2-СН2-SO3Н), тауродезоксихолат натрия, хенодезоксихолевая кислота (3 ,7 -дигидрокси-5 -холан-24-овая кислота; R1=R3=R5=ОН, R2=R4=H), хенодезоксихолат натрия, гликохенодезоксихолевая кислота (N-[карбоксиметил]амид 3 ,7 -дигидрокси-5 -холан-24-овой кислоты; R1=R3=ОН, R2=R4=H, R5=NH-CH2-COOH), гликохенодезоксихолат натрия, таурохенодезоксихолевая кислота (N-[2-сульфоэтил]амид 3 ,7 -дигидрокси-5 -холан-24-овой кислоты; R1=R3=ОН, R2=R4=H, R5=NН-СН2-СН2-SO3Н), таурохенодезоксихолат натрия, литохолевая кислота (3 -гидрокси-5 -холан-24-овая кислота; R1=R5=ОН, R2=R3=R4=H), литохолаты натрия и калия, гиохолевая кислота (3 ,6 ,7 -тригидрокси-5 -холан-24-овая кислота, R1=R2=R3=R5=ОН, R4=H), гиохолаты натрия, лития и калия, гиодезоксихолевая кислота (3 ,6 -дигидрокси-5 -холан-24-овая кислота; R1=R2=R5=ОН, R3=R4=H), гиодезоксихолаты натрия, лития и калия, метиловый и этиловый эфиры холевой кислоты, этиловый и метиловый эфиры гиохолевой кислоты.
Особенно предпочтительно использование натриевой, литиевой или калиевой соли холевой кислоты, метилового или этилового эфира холевой, гликохолевой, таурохолевой, дезоксихолевой, гликодезоксихолевой, тауродезоксихолевой, хенодезоксихолевой, гликохенодезоксихолевой, таурохенодезоксихолевой, литохолевой, гиохолевой, гиодезоксихолевой кислот или их смесей.
Кроме того, пригодны следующие желчные кислоты: урзохолевая (3 ,7 ,12 -тригидрокси-5 -холан-24-овая), урзодезоксихолевая (3 ,7 -дигидрокси-5 -холан-24-овая), 7-оксолитохолевая (3 -гидрокси-7-оксо-5 -холан-24-овая), 3-сульфатлитохолевая (3-сульфат-3 -гидрокси-5 -холан-24-овая), норхолевая и динорхолевая кислоты или их соли, сложные эфиры или амиды.
Желчные кислоты и их соли, сложные эфиры или амиды общеизвестны и подробно описаны, например, в «Nachr. Chem. Tech. Lab. 43 (1995), 1047; Setchell et al., «The Bile Acids», Bd. 4, Plenum, New York 1998; « Lexikon Naturstoffe, Stuttgart, New York 1997, S. 248 ff.
Циклодекстринами, пригодными для использования в качестве компонента с), являются, например, незамещенные циклодекстрины или их сложные эфиры, простые алкиловые, гидроксиалкиловые, алкоксикарбонилалкиловые и карбоксиалкиловые эфиры или их соли.
Циклодекстрины представляют собой циклогекса-, циклогепта- или циклооктаамилозы с 6, 7 или 8 повторяющимися фрагментами глюкозы, соединенными в 1,4-положении. Циклодекстрины, например, -, -, – или -циклодекстрин, образуются в результате деструкции крахмала в присутствиии Bacillus macerans или Bacillus circulans под влиянием циклодекстрингликозилтрансферазы.
В качестве карбоновых кислот для получения сложных эфиров циклодекстрина пригодны арил-, арилалкил- и алкилкарбоновые кислоты с 2-30, предпочтительно с 2-24, особенно предпочтительно с 2-20, атомами углерода, причем предпочтительными являются арилалкил- и алкилкарбоновые кислоты, а особенно предпочтительными алкилкарбоновые кислоты.
В качестве алкильных компонентов в составе простых алкиловых, гидроксиалкиловых, алкоксикарбонилалкиловых и карбоксиалкиловых эфиров циклодекстрина пригодны линейные или разветвленные алкильные группы с 1-30, предпочтительно с 1-24, особенно предпочтительно с 1-20, атомами углерода.
Предпочтительно используемыми циклодекстринами являются -, – и -циклодекстрины и их простые моно-, ди- и триэфиры, сложные ди- и триэфиры или сложные моноэфиры/простые диэфиры, которые как правило получают этерификацией -, – и -циклодекстринов такими алкилирующими агентами, как, например, диметилсульфат или алкилгалогениды с 1-30 атомами углерода, в частности метил-, этил-, пропил-, бутил-, пентил-, гексил-, гептил-, октилхлорид, бромиды или алкилйодиды с аналогичными алкильными заместителями, и/или этерификацией уксусной или янтарной кислотой в присутствии кислот.
Особенно предпочтительны метил- -, метил- -, метил- -, этил- -, бутил- -, бутил- -, бутил- -, 2,6-диметил- -, 2,6-диметил- -, 2,6-диметил- -, 2,6-диэтил- -, 2,6-дибутил- -, 2,3,6-триметил- -, 2,3,6-триметил- -, 2,3,6-триметил- -, 2,3,6-триоктил- -, 2,3,6-триоктил- -, 2,3,6-триацетил- -, 2,3,6-триацетил- -, 2,3,6-триацетил- -, 2-гидроксипропил- -, 2-гидроксипропил- -, 2-гидроксипропил- -циклодекстрин, частично или полностью ацетилированный или сукцинилированный -, – или -циклодекстрин, 2,6-диметил-3-ацетил- – или 2,6-дибутил-3-ацетил- -циклодекстрин.
Способы получения циклодекстринов общеизвестны и подробно описаны, например, в « Lexikon Chemie», 10. Auflage, Stuttgart/New York 1997, S. 845 ff; Chemical Reviews 98 (1998) 1743.
Фосфорными соединениями, пригодными для получения катализатора согласно изобретению в качестве компонента с), являются такие органические фосфаты, как, например, сложные моно-, ди- или триэфиры фосфорной кислоты, сложные моно-, ди-, три- или тетраэфиры пирофосфорной кислоты и сложные моно-, ди-, три-, тетра- или полиэфиры полифосфорной кислоты и спиртов с 1-30 атомами углерода.
Пригодными органическими фосфитами являются сложные моно-, ди- или триэфиры фосфористой кислоты и спиртов с 1-30 атомами углерода.
Пригодными для использования в качестве компонента с) органическими фосфонатами являются, например, сложные моно- или диэфиры фосфоновой кислоты, алкилфосфоновых, арилфосфоновых, алкоксикарбонилалкилфосфоновых, алкоксикарбонилфосфоновых, цианоалкилфосфоновых и цианофосфоновых кислот, или сложные моно-, ди-, три- или тетраэфиры алкилдифосфоновых кислот и спиртов с 1-30 атомами углерода.
Фосфонитами, пригодными в качестве компонента с), являются сложные диэфиры фосфонистой или арилфосфонистой кислоты и спиртов с 1-30 атомами углерода.
Фосфинатами, пригодными для получения катализаторов согласно изобретению в качестве компонента с), являются сложные эфиры фосфиновой кислоты, алкилфосфиновых, диалкилфосфиновых или арилфосфиновых кислот и спиртов с 1-30 атомами углерода.
Фосфинитами, пригодными для получения катализаторов согласно изобретению в качестве компонента с), являются сложные эфиры алкилфосфинистой, диалкилфосфинистой или арилфосфинистой кислоты и спиртов с 1-30 атомами углерода.
В качестве спиртовой составляющей пригодны одно- или многоатомные ароматические, арилалкиловые, алкоксиалкиловые и алкиловые спирты с 1-30, предпочтительно с 1-24, особенно предпочтительно с 1-20, атомами углерода, причем предпочтительны ароматические, алкоксиалкиловые и алкиловые, а особенно предпочтительны алкоксиалкиловые и алкиловые спирты.
Органические фосфаты, фосфиты, фосфонаты, фосфониты, фосфинаты или фосфиниты, используемые для получения катализаторов согласно изобретению, получают, как правило, путем взаимодействия фосфорной, пирофосфорной, полифосфорных, фосфоновых, алкилфосфоновых, арилфосфоновых, алкоксикарбонилалкилфосфоновых, алкоксикарбонилфосфоновых, цианоалкилфосфоновых кислот, цианофосфоновой кислоты, алкилдифосфоновых, фосфонистой, фосфористой, фосфиновой и фосфинистой кислот, или их галогенсодержащих производных, или оксидов фосфора со следующими гидроксилсодержащими соединениями с 1-30 атомами углерода: метанолом, этанолом, пропанолом, бутанолом, пентанолом, гексанолом, 2-этилгексанолом, гептанолом, октанолом, нонанолом, деканолом, додеканолом, тридеканолом, тетрадеканолом, пентадеканолом, гексадеканолом, гептадеканолом, октадеканолом, нонадеканолом, метоксиметанолом, этоксиметанолом, пропоксиметанолом, бутоксиметанолом, 2-этоксиэтанолом, 2-пропоксиэтанолом, 2-бутоксиэтанолом, фенолом, этиловым эфиром гидроксиуксусной кислоты, пропиловым эфиром гидроксиуксусной кислоты, этиловым эфиром гидроксипропионовой кислоты, пропиловым эфиром гидроксипропионовой кислоты, 1,2-этандиолом,1,2-пропандиолом, 1,2,3-тригидроксипропаном, 1,1,1-триметилолпропаном или пентаэритритом.
Предпочтительными являются триэтил-, трибутил-, триоктил-, трис-(2-этилгексил)- или трис-(2-бутоксиэтил)фосфат, дибутиловый эфир бутилфосфоновой кислоты, диоктиловый эфир фенилфосфоновой кислоты, триэтиловый эфир фосфономуравьиной кислоты, триметиловый и триэтиловый эфиры фосфоноуксусной кислоты, триметиловый, триэтиловый, трипропиловый и трибутиловый эфиры 2-фосфонопропионовой кислоты, триэтиловый эфир 3-фосфонопропионовой кислоты, трибутил-, трилаурил-, трис-(3-этилоксэтанил-3-метил)- или гептакис-(дипропиленгликоль)фосфит.
Способы получения сложных эфиров фосфорной, фосфористой, фосфоновой, фосфонистой, фосфиновой и фосфинистой кислот известны и подробно описаны в «Kirk-Othmer, Encyclopedia of Chemical Technology», Band 18, 4. Auflage, 1996, S. 737 ff., « Lexikon Chemie», Band 4, 10. Auflage, Stuttgart/New York, 1998, S. 3280 ff.; «Ullmann’s Encyclopedia of Industrial Chemistry», Band A19, 5. Auflage, 1991, S. 545 ff.; «Houben-Weyl: Methoden der organischen Chemie», Band XII/1 und XII/2, Stuttgart 1963/1964.
Сложными эфирами , -ненасыщенных карбоновых кислот, пригодными для получения катализаторов согласно изобретению в качестве компонента с), являются, например, моно-, ди-, три- или полиэфиры, образованные акриловой кислотой или алкил-, алкокси-, алкоксикарбонил- и алкоксикарбонилалкилакриловыми кислотами и спиртами с 1-30 атомами углерода или полиэфирполиолами.
В качестве спиртов пригодны одно-, двух-, трех- или многоатомные ароматические, арилалкиловые, алкоксиалкиловые и алкиловые спирты с 1-30, предпочтительно с 1-24, особенно предпочтительно с 1-20, атомами углерода, причем предпочтительными являются ароматические, алкоксиалкиловые и алкиловые спирты, а особенно предпочтительными алкоксиалкиловые и алкиловые спирты.
Кроме того, в качестве спиртов пригодны полиалкиленгликоли и простые эфиры полиалкиленгликолей, причем предпочтительными являются полипропиленголиколь, полиэтиленгликоль или соответствующие простые эфиры с молекулярной массой от 200 до 10000, предпочтительно от 300 до 9000, особенно предпочтительно от 400 до 8000.
В качестве , -ненасыщенных карбоновых кислот пригодны акриловая кислота и алкил-, алкокси- и алкоксикарбонилалкилакриловые кислоты с 1-20 атомами углерода: 2-метилакриловая (метакриловая), 3-метилакриловая (кротоновая), транс-2,3-диметилакриловая (тиглиновая), 3,3-диметилакриловая (сенециевая) или 3-метоксиакриловая кислота. Предпочтительными являются акриловая, 2-метилакриловая, 3-метилакриловая и 3-метоксиакриловая кислоты. Особенно предпочтительны акриловая и 2-метилакриловая кислоты.
Используемые для получения катализаторов согласно изобретению сложные эфиры , -ненасыщенных карбоновых кислот как правило получают путем этерификации моно-, ди-, три-, тетра- и полифункциональных гидроксилсодержащих соединений с 1-30 атомами углерода: метанола, этанола, этандиола (этиленгликоля), 1-пропанола, 2-пропанола, 1,2-пропандиола, 1,3-пропандиола, 1,2,3-пропантриола (глицерина), бутанола, 2-бутанола, изобутанола, 1,2-бутандиола, 1,3-бутандиола, 2,3-бутандиола, 1,4-бутандиола, 1,2,3-бутантриола, 1-пентанола, 1-гексанола, 1-октанола, 1-нонанола, 1-деканола, 1-додеканола, 1-тридеканола, 1-тетрадеканола, 1-гексадеканола, 1-гептадеканола, 9-октадеканола, 1,1,1-трис-(гидроксиметил)пропана, пентаэритрита, метоксиметанола, этоксиметанола, пропоксиметанола, бутоксиметанола, 2-этоксиэтанола, 2-пропоксиэтанола, 2-бутоксиэтанола, метилового, этилового и пропилового эфиров гидроксиуксусной (гликолевой) кислоты, метилового, этилового и пропилового эфиров гидроксипропионовой кислоты или полиэфирполиолов, например полиэтиленгликоля и полипропиленгликоля, осуществляемой соответствующими , -ненасыщенными карбоновыми кислотами, при необходимости, в присутствии катализаторов.
Предпочтительны сложные моно-, ди- и триэфиры акриловой и метакриловой кислот и этандиола, 1,2-пропандиола, 1,3-пропандиола, 1,4-бутандиола, 1,6-гександиола, 1,2,3-пропантриола, 1,1,1-трис-(гидроксиметил)пропана, 1,1,1 -трис-(гидроксиметил)пропанэтоксилатов, 1,1,1 -трис-(гидроксиметил)пропанпропоксилатов, полиэтиленгликоля и полипропиленгликоля.
Особенно предпочтительными сложными эфирами , -ненасыщенных карбоновых кислот являются акриловые, диакриловые, метакриловые и диметакриловые эфиры полиэтиленгликоля, акриловые, диакриловые, метакриловые и диметакриловые эфиры полипропиленгликоля, диакриловые, диметакриловые и триакриловые эфиры 1,2,3-пропантриола, диакриловый эфир 1,2,3-пропантриол-1,3-(2-гидроксипропоксилата), триакриловый эфир 1,2,3-пропантриолпропоксилата, акриловый и диметакриловый эфиры 1,4-бутандиола, диакриловый эфир 1,6-гександиола, 2-гидроксипропилметакриловый эфир, триакриловый эфир 1,1,1-трис-(гидроксиметил)пропана, триакриловый и триметакриловый эфиры 1,1,1-триc-(гидроксиметил)пропанэтоксилата или триакриловый и триметакриловый эфиры 1,1,1-трис-(гидроксиметил)пропанпропоксилата.
Способы получения сложных эфиров , -ненасыщенных карбоновых кислот общеизвестны и подробно описаны, например, в «Kirk-Othmer, Encyclopedia of Chemical Technology», Band 18, 4. Auflage, 1996, S. 737 ff.; « Lexikon Chemie», Band 4, 10. Auflage, Stuttgart/New York, 1998, S. 3286 ff.; «Ullmann’s Encyclopedia of Industrial Chemistry», Band A19, 5. Auflage, 1991, S. 545 ff.; «Houben-Weyl: Methoden der organischen Chemie», Band XII/1 und XII/2, Stuttgart 1963/1964.
Особенностью молекул ионогенных поверхностно-активных веществ или ионогенных поверхностно-активных веществ на границе раздела фаз, пригодных для получения катализаторов согласно изобретению, является амфифильная структура, то есть они содержат, по меньшей мере, одну гидрофильную ионогенную группу (или одну гидрофильную ионогенную часть молекулы) и, по меньшей мере, одну гидрофобную группу (или одну гидрофобную часть молекулы). Примеры ионогенных соединений подобного рода можно найти среди поверхностно-активных веществ, мыл, эмульгаторов, моющих средств и диспергаторов.
Гидрофильные ионогенные группы могут обладать анионной, катионной или цвиттерионной (амфотерной) природой. Например, анионными являются карбоксилатные, сульфонатные, сульфатные, тиосульфатные, фосфонатные, фосфинатные, фосфатные или дитиофосфатные группы. Примером катионных групп служат аммониевые, фосфониевые или сульфониевые группы. Примером цвиттер-ионных групп являются бетаиновые, сульфобетаиновые или аминооксидные группы.
Гидрофобными группами предпочтительно являются углеводородные (ароматические, алкилароматические и алкильные) радикалы с 2-50 атомами углерода, но пригодны также фтор-, кремний-, тио- или оксалкильные группы.
Примерами пригодных классов соединений, содержащих гидрофильные анионные группы, являются карбоксилаты, например алкилкарбоксилаты (мыла), простые эфиры карбоновых кислот (карбоксиметилэтоксилаты) и поликарбоксилаты: малонаты и сукцинаты; соли желчных кислот, например амиды желчных кислот с сульфоалкильными и карбоксиалкильными заместителями в солевой форме; производные аминокислот, например саркозиды (алканолсаркозинаты), сульфамидокарбоксилаты; сульфаты: алкилсульфаты, сульфоэфиры, например сульфоэфиры жирных спиртов, ароматические сульфоэфиры или амидосульфоэфиры, сульфатированные карбоксилаты, глицериды, сложные эфиры и амиды карбоновых кислот; сульфонаты, например, алкил-, арил- и алкиларилсульфонаты, сульфированные карбоксилаты, сложные эфиры и амиды карбоновых кислот, карбоксилэстеросульфонаты, например сложные эфиры -сульфожирных кислот, карбоксиамидосульфонаты, сложные эфиры сульфоянтарной кислоты, простые эфиры сульфокислот, тиосульфаты; фосфаты, например алкилфосфаты или глицерофосфаты, фосфонаты, фосфинаты и дитиофосфаты.
Примерами пригодных классов соединений, содержащих гидрофильные катионные группы, являются первичные, вторичные, третичные и четвертичные соли аммония с алкильными, арильными и алкиларильными заместителями, алкоксилированные соли аммония, сложные эфиры четвертичного аммониевого основания, соли бензиламмония, алканоламмония, пиридина, имидазолина, оксазолина, триазолина, аминоксида, сульфония, хинолина, изохинолина и тропилия.
Примерами пригодных классов соединений, содержащих гидрофильные цвиттер-ионные (амфотерные) группы, являются аминоксиды, производные имидазолина, например карбоксилаты имидазолина, бетаины, например алкил-, амидопропил- и сульфобетаины, аминокарбоновые кислоты и фосфолипиды, например фосфатидилхолин (лецитин).
Ионогенные поверхностно-активные вещества или ионогенные поверхностно-активные вещества на границе раздела фаз могут представлять собой смесь нескольких гидрофильных (анионных и/или катионных и/или цвиттер-ионных) групп или частей молекул.
Ионогенные поверхностно-активные вещества или ионогенные поверхностно-активные вещества на границе раздела фаз, пригодные для получения катализаторов согласно изобретению, общеизвестны и подробно описаны, например, в «Ullmann’s Encyclopedia of Industrial Chemistry», 5th Edition, Vol. A25, S. 747-817, VCH, Weinheim, 1994; «Kirk-Othmer, Encyclopedia of Chemical Technology», 4th Edition, Vol. 23, S. 477-541, John Wiley & Sons, New York, 1997; «Tensid-Taschenbuch», 2. Auflage, H. Stache (Hrsg.), Carl Hanser Verlag, 1982; «Surfactant Science Series», Vol. 1-74, M.J. Schick (Consulting Editor), Marcel Decker, New York, 1967-1998; «Methods in Enzymology», Vol. 182, M.P. Deutscher (Ed), S. 239-253, Academic Press, SanDiego, 1990.
Обычно состав катализаторов определяют методом элементарного анализа, термогравиметрии или удаления комплексообразующих компонентов экстракцией с последующим гравиметрическим определением.
Катализаторы согласно изобретению могут быть кристаллическими, частично кристаллическими или аморфными веществами. Степень их кристалличности обычно анализируют методом рентгеновской дифракции порошков.
Особенно предпочтительны катализаторы согласно изобретению, содержащие:
a) гексацианокобальтат(III) цинка,
b) трет-бутанол и
c) два или более комплексообразующих компонента вышеуказанного типа.
ДМЦ-катализаторы согласно изобретению обычно получают в водном растворе путем взаимодействия солей металлов, в частности, формулы (I) с солями металлоцианида, в частности, формулы (II), осуществляемого в присутствии органических комплексных лигандов b), которые не являются ни полимерами с функциональными группами, простыми глицидиловыми эфирами, гликозидами, сложными эфирами карбоновых кислот и многоосновных спиртов, желчными кислотами или их солями, сложными эфирами или амидами, циклодекстринами, фосфорными соединениями, сложными эфирами , -ненасыщенных карбоновых кислот, ни ионогенными поверхностно-активными веществами или ионогенными поверхностно-активными веществами на границе раздела фаз, и в присутствии двух или более комплексообразующих компонентов с).
При этом предпочтительно сначала осуществляют взаимодействие водного раствора соли металла (например, хлорида цинка, взятого в избытке к соли металлоцианида, составляющем не менее 50% мол. по сравнению со стехиометрическим соотношением) с водным раствором соли металлоцианида (например, гексацианокобальтата калия) в присутствии органического комплексного лиганда b) (например, трет-бутанола), причем образуется суспензия, которая содержит двойное металлоцианидное соединение а) (например, гексацианокобальтат цинка), воду d), избыток соли металла е) и органический комплексный лиганд b).
Причем органический комплексный лиганд b) может находиться в водном растворе соли металла и/или соли металлоцианида, или его добавляют непосредственно после выпадения суспензии полученного двойного металлоцианидного соединения а) в осадок. Оказалось выгодным интенсивное перемешивание водных растворов солей с органическим комплексным лигандом b). Образовавшуюся суспензию, в дальнейшем, обычно обрабатывают смесью из двух или более комплексообразующих компонентов с). Причем смесь из двух или более комплексообразующих компонентов предпочтительно вводят в смесь воды и органического комплексного лиганда b).
Затем выделяют катализатор из суспензии известными методами, например путем центрифугирования или фильтрования. Далее, в соответствии с предпочтительным вариантом исполнения способа выделенный катализатор промывают водным раствором органического комплексного лиганда b) (например, путем ресуспендирования и последующего повторного выделения катализатора фильтрованием или центрифугированием). Такая обработка позволяет, в частности, удалить из катализатора согласно изобретению побочные водорастворимые продукты, например хлорид калия.
Предпочтительное содержание органического комплексного лиганда b) в общем водном растворе, используемом для промывки, составляет от 40 до 80% масс. Кроме того, к этому раствору выгодно добавить небольшое количество смеси из двух или более комплексообразующих компонентов c), предпочтительное содержание которых в общем растворе составляет от 0,5 до 5% масс.
Кроме того, выгодно промыть катализатор более одного раза, для чего, например, может быть повторен первоначальный процесс промывки. Однако для повторной промывки предпочтительным является использование неводных растворов, например смеси органического комплексного лиганда b) со смесью комплексообразующих компонентов с).
Промытый катализатор, в заключение, при необходимости подвергают измельчению до превращения в порошкообразное состояние и последующей сушке при температуре, составляющей в общем случае от 20 до 100°С, и давлении, составляющем в общем случае от 0,1 мбар до нормального значения (1013 мбар).
Другим объектом настоящего изобретения является применение ДМЦ-катализаторов согласно изобретению для осуществления способа получения полиэфирполиолов путем полиприсоединения алкиленоксидов к исходным соединениям с активными атомами водорода.
Предпочтительно используемыми алкиленоксидами являются этиленоксид, пропиленоксид, бутиленоксид, а также смеси этих соединений. Полимерные цепи, образующиеся в результате алкоксилирования, могут состоять, например, только из одного эпоксида в качестве повторяющегося мономерного звена или из 2-3 разных, статистически или блочно распределенных эпоксидных звеньев. Более подробная информация по этому поводу приводится в «Ullmann’s der industriellen Chemie», Band A21, 1992, S.670f.
В качестве исходных соединений с активными атомами водорода предпочтительно используют продукты со среднечисленной молекулярной массой от 18 до 2000 и 1-8 гидроксильными группами. Такими соединениями являются, например, этиленгликоль, диэтиленгликоль, триэтиленгликоль, 1,2-пропиленгликоль, 1,4-бутандиол, гексаметиленгликоль, бисфенол А, триметилолпропан, глицерин, пентаэритрит, сорбит, тростниковый сахар (сахароза), расщепленный крахмал или вода.
Предпочтительным является использование таких исходных соединений с активными атомами водорода, которые получены, например, путем обычного основного катализа из вышеперечисленных низкомолекулярных исходных соединений и представляют собой олигомерные продукты алкоксилирования со среднечисленной молекулярной массой от 200 до 2000.
Полиприсоединение алкиленоксидов к исходным соединениям с активными атомами водорода в присутствии катализаторов согласно изобретению в общем случае происходит при температуре от 20 до 200°С, предпочтительно в интервале от 40 до 180°С, особенно предпочтительно при температуре от 50 до 150°С. Реакцию можно проводить при общем давлении от 0,0001 до 20 бар. Полиприсоединение может протекать в массе или в среде инертного органического растворителя, например толуола или тетрагидрофурана (ТГФ). Количество растворителя по отношению к количеству синтезируемого полиэфирполиола предпочтительно составляет от 10 до 30% масс.
Концентрацию катализатора подбирают таким образом, чтобы в заданных реакционных условиях оказалось возможным удобное управление реакцией полиприсоединения. Концентрация катализатора по отношению к синтезируему полиэфирполиолу в общем случае находится в интервале от 0,0005 до 1% масс., предпочтительно от 0,001 до 0,1% масс., особенно предпочтительно от 0,001 до 0,0025% масс.
Среднечисленная молекулярная масса полиэфирполиолов, полученных способом согласно изобретению, находится в интервале от 500 до 100000 г/моль, предпочтительно от 1000 до 50000 г/моль, особенно предпочтительно от 2000 до 20000 г/моль.
Полиприсоединение можно осуществлять непрерывным или прерывистым, например периодическим или полупериодическим способом.
Благодаря чрезвычайно высокой активности катализаторов согласно изобретению их можно использовать в очень низких концентрациях (25 частей на миллион и менее в расчете на количество синтезируемого полиэфирполиола). Если полиэфирполиолы, полученные в присутствии катализаторов согласно изобретению, применяют для синтеза полиуретанов (Kunststoffhandbuch, Bd. 7, Polyurethane, 3. Aufl. 1993, S. 25-32 und 57-67), можно отказаться от удаления катализатора из этих полиолов, что не приведет к ухудшению качественных показателей синтезируемых из них полиуретанов.
Примеры
Приготовление образцов катализатора
Пример А. Получение ДМЦ-катализатора, содержащего трикапронат глицерина и триэтиловый эфир 2-фосфонопропионовой кислоты (катализатор А).
К раствору 4 г (12 ммоль) гексацианокобальтата калия в 70 мл дистиллированной воды при интенсивном перемешивании (24000 об/мин) прибавляют раствор 12,5 г (91,5 ммоль) хлорида цинка в 20 мл дистиллированной воды. Непосредственно вслед за этим к образовавшейся суспензии прибавляют смесь 50 г трет-бутанола и 50 г дистиллированной воды, после чего осуществляют интенсивное перемешивание (24000 об/мин) в течение 10 минут. Затем прибавляют смесь, состоящую из 0,5 г трикапроната глицерина, 0,5 г триэтилового эфира 2-фосфонопропионовой кислоты, 1 г трет-бутанола и 100 г дистиллированной воды, и осуществляют перемешивание в течение 3 минут (1000 об/мин). Твердое вещество выделяют фильтрованием, в течение 10 минут перемешивают со смесью, состоящей из 70 г трет-бутанола, 30 г дистиллированной воды, 0,5 г трикапроната глицерина и 0,5 г триэтилового эфира 2-фосфонопропионовой кислоты (10000 об/мин), и вновь производят фильтрование. Затем в течение 10 минут осуществляют повторное перемешивание со смесью, состоящей из 100 г трет-бутанола, 0,5 г трикапроната глицерина и 0,5 г триэтилового эфира 2-фосфонопропионовой кислоты (10000 об/мин). После фильтрования катализатор сушат при 50°С и нормальном давлении до постоянства массы.
Выход сухого порошкообразного катализатора составил 5,8 г.
Результаты элементарного анализа, термогравиметрии и экстракции: кобальт =9,8% масс., цинк=23,2% масс., трет-бутанол=3,0% масс., трикапронат глицерина =11,4% масс., триэтиловый эфир 2-фосфонопропионовой кислоты =16,9% масс…
Пример В. Получение ДМЦ-катализатора, содержащего диглицидиловый эфир полипропиленгликоля и триэфир 2-фосфонопропионовой кислоты (катализатор В).
Катализатор получали способом, аналогичным описанному в примере А, однако вместо трикапроната глицерина и триэфира 2-фосфонопропионовой кислоты использовали диглицидиловый эфир полипропиленгликоля со среднечисленной молярной массой 640 и триэфир 2-фосфонопропионовой кислоты.
Выход сухого порошкообразного катализатора составил 6,8 г.
Результаты элементарного анализа, термогравиметрии и экстракции: кобальт=10,3% масс., цинк= 3,4% масс., трет-бутанол=1,3% масс., диглицидиловый эфир полипропиленгликоля = 20,5% масс., триэтиловый эфир 2-фосфонопропионовой кислоты =8,5% масс…
Пример С. Получение ДМЦ-катализатора, содержащего сложный полиэфир и натриевую соль холевой кислоты (катализатор С).
Катализатор получали способом, аналогичным описанному в примере А, однако вместо трикапроната глицерина и триэфира 2-фосфонопропионовой кислоты использовали сложный полиэфир адипиновой кислоты и диэтиленгликоля, слабо разветвленный посредством триметилолпропана, со среднечисленной молярной массой 2300 (карбоксильное число 50 мг КОН/г) и натриевую соль холевой кислоты.
Выход сухого порошкообразного катализатора составил 4,8 г.
Результаты элементарного анализа, термогравиметрии и экстракции: кобальт=12,7% масс., цинк=25,2% масс., трет-бутанол=4,2% масс., сложный полиэфир =12,8% масс., натриевая соль холевой кислоты=3,7% масс.
Пример D (сравнительный). Получение ДМЦ-катализатора, содержащего трикапронат глицерина, в отсутствие триэфира 2-фосфонопропионовой кислоты (катализатор D).
К раствору 4 г (12 ммоль) гексацианокобальтата калия в 75 мл дистиллированной воды при интенсивном перемешивании (24 000 об/мин) прибавляют раствор 12,5 г (91,5 ммоль) хлорида цинка в 20 мл дистиллированной воды. Непосредственно вслед за этим к образовавшейся суспензии прибавляют смесь 50 г трет-бутанола и 50 г дистиллированной воды, после чего осуществляют энергичное перемешивание (24000 об/мин) в течение 10 минут. Затем прибавляют смесь, состоящую из 1 г трикапроната глицерина (фирма Aldrich), 1 г трет-бутанола и 100 г дистиллированной воды, и осуществляют перемешивание в течение 3 минут (10000 об/мин). Твердое вещество выделяют фильтрованием, в течение 10 минут перемешивают со смесью, состоящей из 70 г трет-бутанола, 30 г дистиллированной воды и 1 г вышеуказанного трикапроната глицерина, и вновь производят фильтрование. Затем в течение 10 минут осуществляют повторное перемешивание со смесью 100 г трет-бутанола и 0,5 г вышеуказанного трикапроната глицерина (10000 об/мин). После фильтрования катализатор сушат при 50°С и нормальном давлении до постоянства массы.
Выход сухого порошкообразного катализатора составил 5,3 г.
Результаты элементарного анализа, термогравиметрии и экстракции: кобальт=12,3% масс., цинк=27,0% масс., трет-бутанол=7,2% масс., трикапронат глицерина=3,7% масс..
Пример Е (сравнительный). Получение ДМЦ-катализатора, содержащего триэфир 2-фосфонопропионовой кислоты, в отсутствие трикапроната глицерина (катализатор Е).
Катализатор получали способом, аналогичным описанному в примере D (сравнительном), однако вместо трикапроната глицерина использовали триэфир 2-фосфонопропионовой кислоты (фирма Fluka).
Выход сухого порошкообразного катализатора составил 5,9 г.
Результаты элементарного анализа, термогравиметрии и экстракции: кобальт=10,2% масс., цинк=23,5% масс., трет-бутанол=2,3% масс., триэтиловый эфир 2-фосфонопропионовой кислоты=26,1% масс…
Пример F (сравнительный). Получение ДМЦ-катализатора, содержащего диглицидиловый эфир полипропиленгликоля, в отсутствие триэфира 2-фосфонопропионовой кислоты (катализатор F).
Катализатор получали способом, аналогичным описанному в примере D (сравнительном), однако вместо трикапроната глицерина использовали диглицидиловый эфир полипропиленгликоля со среднечисленной молярной массой 640 (фирма Aldrich).
Выход сухого порошкообразного катализатора составил 6,0 г.
Результаты элементарного анализа, термогравиметрии и экстракции: кобальт=8,7% масс., цинк=20,2% масс., трет-бутанол=4,2% масс., диглицидиловый эфир полипропиленгликоля (лиганд)=30,5% масс.
Пример G (сравнительный). Получение ДМЦ-катализатора, содержащего сложный полиэфир, в отсутствие натриевой соли холевой кислоты (катализатор G).
Катализатор получали способом, аналогичным описанному в примере D (сравнительном), однако вместо трикапроната глицерина использовали сложный полиэфир адипиновой кислоты и диэтиленгликоля, слабо разветвленный посредством триметилолпропана и обладающий среднечисленной молярной массой 2300 (карбоксильное число 50 мг КОН/г).
Выход сухого порошкообразного катализатора составил 3,9 г.
Результаты элементарного анализа, термогравиметрии и экстракции: кобальт=12,2% масс., цинк=25,7% масс., трет-бутанол=7,1% масс., сложный полиэфир=12,3% масс.
Пример Н (сравнительный). Получение ДМЦ-катализатора, содержащего сложный полиэфир, в отсутствие натриевой соли холевой кислоты (катализатор Н).
Катализатор получали способом, аналогичным описанному в примере D (сравнительном), однако вместо трикапроната глицерина использовали натриевую соль холевой кислоты.
Выход сухого порошкообразного катализатора составил 4,2 г.
Результаты элементарного анализа, термогравиметрии и экстракции: кобальт=12,6% масс., цинк=27,3% масс., трет-бутанол=10,9% масс., натриевая соль холевой кислоты=4,3% масс. Полученные катализаторы соответствуют общей формуле
Zn3[Со(СN)6]2*aL1*bL*сZnCl2*dH2O.
Таким образом, данные катализаторы кроме указанных в примерах от А до Н ингредиентов дополнительно содержат хлорид, циано и воду. Соответствующие доли в % масс. приведены в нижеследующей таблице.
| Пример |
А |
В |
С |
D |
Е |
F |
G |
Н |
| Cl |
7,5 |
6,8 |
4,4 |
7,1 |
7,1 |
6,2 |
5,9 |
6,9 |
| CN |
26,0 |
27,3 |
33,6 |
32,6 |
27,0 |
23,1 |
32,3 |
33,4 |
| H2O |
2,2 |
1,9 |
5,4 |
10,1 |
3,8 |
7,1 |
4,5 |
4,6 |
Получение полиэфирполиолов
Общие условия проведения синтеза
В реактор объемом 500 мл, предназначенный для проведения реакций под давлением, в атмосфере инертного газа (под аргоном) загружали 50 г полипропиленгликоля со среднечисленной молекулярной массой 1000 г/моль, используемого в качестве исходного соединения, и 5 мг катализатора (концентрация 25 частей на миллион в расчете на количество синтезируемого полиэфирполиола), которые нагревали при перемешивании до 105°С. Затем единовременно вводили около 5 г пропиленоксида, в результате чего общее давление в реакторе повышалось до 2,5 бар. Дальнейшую подачу пропиленоксида производили лишь после того, как наблюдалось ускоренное падение давления в реакторе, что свидетельствовало об активировании катализатора. Непрерывное дозирование остального количества пропиленоксида (145 г) осуществляли при постоянном общем давлении 2,5 бар. По завершении введения пропиленоксида и двухчасовой выдержки реакционной смеси при 105°С отгоняли содержащиеся в ней легколетучие компоненты при температуре 90°С и давлении 1 мбар и охлаждали ее до комнатной температуры.
Для характеристики полученных полиэфирполиолов использовали результаты определения карбоксильного числа, содержания двойных связей и вязкости.
О протекании реакции судили по кинетическим кривым, построенным в координатах «время-степень превращения» (расход пропиленоксида [г] в зависимости от времени реакции [мин]). Индукционный период определяли по точке пересечения касательной, проведенной к кинетической кривой в месте ее максимальной крутизны, с продленной базисной линией этой кривой. Продолжительности пропоксилирования, определяющей активность катализатора, соответствует промежуток времени между активированием катализатора (концом индукционного периода) и завершением дозирования пропиленоксида. Общая продолжительность реакции складывается из индукционного периода и продолжительности пропоксилирования.
Пример 1. Получение полиэфирполиола в присутствии катализатора А (концентрация 25 частей на миллион).
| Индукционный период (мин.): |
100 |
| Продолжительность пропоксилирования (мин.): |
40 |
| Общая продолжительность реакции (мин.): |
140 |
Свойства полиэфирполиола:
| карбоксильное число (мг КОН/г): |
29,4 |
| содержание двойных связей (ммоль/кг): |
9 |
| вязкость при 25°С (мПа): |
845 |
Пример 2. Получение полиэфирполиола в присутствии катализатора В (концентрация 25 частей на миллион).
| Индукционный период (мин.): |
140 |
| Продолжительность пропоксилирования (мин.): |
37 |
| Общая продолжительность реакции (мин.): |
177 |
Свойства полиэфирполиола:
| карбоксильное число (мг КОН/г): |
30,0 |
| содержание двойных связей (ммоль/кг): |
7 |
| вязкость при 25°С (мПа): |
821 |
Пример 3. Получение полиэфирполиола в присутствии катализатора С (концентрация 25 частей на миллион).
| Индукционный период (мин.): |
80 |
| Продолжительность пропоксилирования (мин.): |
27 |
| Общая продолжительность реакции (мин.): |
107 |
Свойства полиэфирполиола:
| карбоксильное число (мг КОН/г): |
30,1 |
| содержание двойных связей (ммоль/кг): |
7 |
| вязкость при 25°С (мПа): |
863 |
Содержание металлов в полиоле (без удаления катализатора) составляет: цинк (Zn)=5 част на миллион, кобальт (Со)=2 частей на миллион.
Пример 4 (сравнительный). Получение полиэфирполиола в присутствии катализатора D (концентрация 25 частей на миллион).
| Индукционный период (мин.): |
166 |
| Продолжительность пропоксилирования (мин.): |
291 |
| Общая продолжительность реакции (мин.): |
457 |
Свойства полиэфирполиола:
| карбоксильное число (мг КОН/г): |
30,9 |
| содержание двойных связей (ммоль/кг): |
8 |
| вязкость при 25°С (мПа): |
874 |
Пример 5 (сравнительный). Получение полиэфирполиола в присутствии катализатора Е (концентрация 25 частей на миллион).
| Индукционный период (мин.): |
99 |
| Продолжительность пропоксилирования (мин.): |
110 |
| Общая продолжительность реакции (мин.): |
209 |
Свойства полиэфирполиола:
| карбоксильное число (мг КОН/г): |
29,9 |
| содержание двойных связей (ммоль/кг): |
10 |
| вязкость при 25°С (мПа): |
862 |
Пример 6 (сравнительный). Получение полиэфирполиола в присутствии катализатора F (концентрация 25 частей на миллион).
| Индукционный период (мин.): |
154 |
| Продолжительность пропоксилирования (мин.): |
37 |
| Общая продолжительность реакции (мин.): |
191 |
Свойства полиэфирполиола:
| карбоксильное число (мг КОН/г): |
30,7 |
| содержание двойных связей (ммоль/кг): |
7 |
| вязкость при 25°С (мПа): |
809 |
Пример 7 (сравнительный). Получение полиэфирполиола в присутствии катализатора G (концентрация 25 частей на миллион).
| Индукционный период (мин.): |
130 |
| Продолжительность пропоксилирования (мин.): |
150 |
| Общая продолжительность реакции (мин.): |
280 |
Свойства полиэфирполиола:
| карбоксильное число (мг КОН/г): |
29,5 |
| содержание двойных связей (ммоль/кг): |
5 |
| вязкость при 25°С (мПа): |
861 |
Пример 8 (сравнительный). Получение полиэфирполиола в присутствии катализатора Н (концентрация 25 частей на миллион).
| Индукционный период (мин.): |
217 |
| Продолжительность пропоксилирования (мин.): |
33 |
| Общая продолжительность реакции (мин.): |
250 |
Свойства полиэфирполиола:
| карбоксильное число (мг КОН/г): |
29,6 |
| содержание двойных связей (ммоль/кг): |
6 |
| вязкость при 25°С (мПа): |
855 |
Катализаторы А-С, содержащие наряду с трет-бутанолом два комплексообразующих компонента, в вышеописанных условиях реакции проявляют более высокую активность по сравнению с катализаторами D-H, которые кроме трет-бутанола содержат лишь один комплексный лиганд.
Так, катализатор А, содержащий в качестве комплексообразующего компонента и трикапронат глицерина, и триэтиловый эфир 2-фосфонопропионовой кислоты, обладает значительно более высокой активностью, нежели катализаторы D или Е, содержащие в качестве комплексообразующих компонентов соответственно трикапронат глицерина или триэтиловый эфир 2-фосфонопропионовой кислоты; в частности, в присутствии катализатора А сокращается продолжительность периода пропоксилирования.
Примеры 1-3 показывают, что благодаря существенно более высокой активности новые ДМЦ-катализаторы согласно изобретению могут использоваться в столь незначительных концентрациях, что можно отказаться от их выделения из синтезированных в их присутствии полиэфирполиолов.
Формула изобретения
1. Катализатор на основе двойного металлоцианида (ДМЦ-катализатор) для получения полиэфирполиолов, содержащий a) двойное металлоцианидное соединение, b) органический комплексный лиганд, отличный от с), c) два отличных от b) комплексообразующих компонента, выбранных из группы, включающей простые или сложные полиэфиры, простые глицидиловые эфиры, сложные эфиры карбоновых кислот и многоатомных спиртов, желчные кислоты, соли желчных кислот, сложные эфиры желчных кислот, амиды желчных кислот, или фосфорные соединения, при условии, что выбранные комплексообразующие компоненты с) относятся к разным группам.
2. ДМЦ-катализатор по п.1, дополнительно содержащий d) воду и/или е) водорастворимую соль металла.
3. ДМЦ-катализатор по п.1, в котором двойным металлоцианидным соединением является гексацианокобальтат (III)цинка.
4. ДМЦ-катализатор по одному из пп.1-3, в котором органическим комплексным лигандом является трет-бутанол.
5. ДМЦ-катализатор по одному из пп.1-4, в котором катализатор содержит 1-80 мас.% смеси двух комплексообразующих компонентов с).
MM4A Досрочное прекращение действия патента Российской Федерации на изобретение из-за неуплаты в установленный срок пошлины за поддержание патента в силе
Дата прекращения действия патента: 27.10.2005
Извещение опубликовано: 27.12.2006 БИ: 36/2006
|
|