|
|
(21), (22) Заявка: 2003132410/14, 06.11.2003
(24) Дата начала отсчета срока действия патента:
06.11.2003
(45) Опубликовано: 27.05.2005
(56) Список документов, цитированных в отчете о поиске:
Б.М.Сагалович “Слуховое восприятие ультразвука”, М., Наука, 1988, с.30-33. RU 2008800 С1, 15.03.1994. SU 1792646 А1, 26.07.1990. RU 2110953 С1, 20.05.1998. Аудиометр автоматизированный “ЭРГОТЕСТ-АУДИО”, Каталог “Радиопромышленность – медицина. М., Издание 5, 1997, с.124.
Адрес для переписки:
117556, Москва, ул. Болотниковская, 9, корп.2, кв.47, Леушину В.Ю.
|
(72) Автор(ы):
Гудков А.Г. (RU), Леушин В.Ю. (RU), Лучкин Г.В. (RU), Терешин С.Н. (RU)
(73) Патентообладатель(и):
Общество с ограниченной ответственностью “Научно-производственная инновационная фирма “Гиперион” (RU)
|
(54) АУДИОТЕСТЕР УЛЬТРАЗВУКОВОЙ
(57) Реферат:
Изобретение относится к области медицинского оборудования. Аудиотестер ультразвуковой предназначен для диагностики различных поражений слуха и может использоваться в больницах и клиниках, а также в научно-исследовательских медицинских учреждениях. Аудиотестер ультразвуковой содержит генератор колебаний ультразвуковой частоты и генератор тактовых импульсов, соединенные с электронным ключом, усилитель мощности и пьезоэлектрический излучатель, панель управления с кнопками увеличения мощности излучения, уменьшения мощности излучения, кнопкой изменения скорости регулирования мощности и цифровыми сегментными индикаторами, дополнительный генератор тактовых импульсов, блок коммутации, полосовой фильтр, блок управления, счетчик импульсов, дешифратор, усилитель с дискретно регулируемым коэффициентом усиления и блок контроля наличия мощности на излучателе. Кнопка изменения скорости регулирования мощности подсоединена к управляющему входу блока коммутации, к первому входу которого подсоединен второй выход генератора тактовых импульсов, ко второму входу – выход дополнительного генератора тактовых импульсов, выход блока коммутации, также как кнопки увеличения и уменьшения мощности излучения, подсоединен к блоку управления, выход которого подсоединен к счетчику импульсов, первый выход которого подключен через дешифратор к цифровым индикаторам, а второй – к управляющему входу усилителя с дискретно регулируемым коэффициентом усиления, к входу которого через полосовой фильтр подсоединен выход электронного ключа, выход усилителя с дискретно регулируемым коэффициентом усиления подсоединен ко входу усилителя мощности, а выход усилителя мощности через блок контроля наличия мощности на излучателе подключен к пьезоэлектрическому излучателю. Использование изобретения позволяет обеспечить повышение достоверности диагностики различных поражений слуха за счет добавления или сопоставления результатов исследования восприятия пациентом ультразвука. 2 з.п. ф-лы, 1 ил.

Изобретение относится к области медицинского оборудования. Аудиотестер ультразвуковой предназначен для диагностики различных поражений слуха и может использоваться в больницах и клиниках, а также в научно-исследовательских медицинских учреждениях.
Известны приборы для проведения объективной аудиометрии, работающие в звуковом диапазоне частот (см. Аудиометр автоматизированный “ЭРГОТЕСТ – АУДИО”, Каталог “Радиопромышленность медицине”, Издание 5, М., 1997, с.124). Прибор позволяет провести оценку слухового анализатора пациента методом аудиометрии при воздушном звукопроведении и предназначен для определения слуховой чувствительности на отдельных звуковых частотах от 125 до 16000 Гц.
Недостатком этих устройств является ограниченная область применения в связи с использованием только звукового диапазона частот.
В последнее время было установлено, что для повышения достоверности диагностики различных поражений слуха к результатам анализа определения слуховой чувствительности, проведенного в звуковом диапазоне частот, необходимо добавлять (или сопоставлять) результаты исследования восприятия пациентом ультразвука (см. “Тугоухость”, ред. Н.А.Преображенский, М., Медицина, 1978, с.79-85). Для проведения комплексного аудиологического исследования ультразвуки воспроизводили с помощью звукового генератора частот широкого спектра – ГЗ-7А и преобразователя из пластин титаната – цирконата бария.
Наиболее близким к данному техническому решению является аудиотестер ультразвуковой (см. Б.М.Сагалович. “Слуховое восприятие ультразвука”, М., Наука, 1988, с.30-33, рис.2), содержащий генератор колебаний ультразвуковой частоты (генератор ультразвуковых сигналов 1), генератор тактовых импульсов (осциллятор), электронный ключ (ключ 3), усилитель мощности 5, соединенный с пьезоэлектрическим излучателем.
Указанный аудиотестер ультразвуковой выполнен в составе комплексной установки, предназначенной для проведения исследования, в частности, измерения дифференциальных порогов восприятия ультразвуков при фиксированных уровнях излучения ультразвука 6 и 20 дБ и сопоставления их с дифференциальными порогами восприятия силы звуков обычно слышимого диапазона частот.
Недостатком указанного устройства является недостаточная точность определения дифференциальных порогов восприятия ультразвуков. Величина дифференциальных порогов восприятия силы звука находится в зависимости от исходного надпорогового уровня акустической стимуляции (см. Б.М.Сагалович, стр.30), что приводит к неоднозначности результатов обследования.
Другим недостатком указанного устройства является наличие побочных отрицательных воздействий на человека вследствие облучения ультразвуком надпороговой интенсивности в течение всего времени обследования. Измерение дифференциальных порогов восприятия силы звука проводится по показателю восприятия глубины амплитудной модуляции при неизменном достаточно высоком подпороговом уровне акустической стимуляции. Однако воздействие на человека ультразвуков подпороговой интенсивности может привести к возникновению ощущений в виде звона в ушах, тяжести в голове или даже легкого пошатывания (см. Б.М.Сагалович, стр.32).
Технический результат, на достижение которого направлено изобретение, заключается в устранении вышеуказанных недостатков и создании простого, надежного и дешевого устройства, которое можно использовать в ЛОР-кабинетах поликлиник и в ЛОР-отделениях больниц для обеспечения раннего выявления нейросенсорной тугоухости.
Указанный технический результат достигается тем, что аудиотестер ультразвуковой, содержащий генератор колебаний ультразвуковой частоты и генератор тактовых импульсов, соединенные с электронным ключом, усилитель мощности и пьезоэлектрический излучатель, содержит панель управления с кнопками увеличения мощности излучения, уменьшения мощности излучения, кнопкой изменения скорости регулирования мощности и цифровыми сегментными индикаторами, дополнительный генератор тактовых импульсов, блок коммутации, полосовой фильтр, блок управления, счетчик импульсов, дешифратор, усилитель с дискретно регулируемым коэффициентом усиления и блок контроля наличия мощности на излучателе, причем кнопка изменения скорости регулирования мощности подсоединена к управляющему входу блока коммутации, к первому входу которого подсоединен второй выход генератора тактовых импульсов, ко второму входу – выход дополнительного генератора тактовых импульсов, выход блока коммутации, также как кнопки увеличения и уменьшения мощности излучения, подсоединен к блоку управления, выход которого подсоединен к счетчику импульсов, первый выход которого подключен через дешифратор к цифровым индикаторам, а второй – к управляющему входу усилителя с дискретно регулируемым коэффициентом усиления, к входу которого через полосовой фильтр подсоединен выход электронного ключа, выход усилителя с дискретно регулируемым коэффициентом усиления подсоединен ко входу усилителя мощности, а выход усилителя мощности через блок контроля наличия мощности на излучателе подключен к пьезоэлектрическому излучателю.
Указанный технический результат достигается также тем, что блок контроля наличия мощности на излучателе содержит датчик тока, соединенный через преобразователь тока в напряжение с индикатором наличия мощности на излучателе.
Указанный технический результат достигается также тем, что индикатор наличия мощности на излучателе расположен на пьезоэлектрическом излучателе
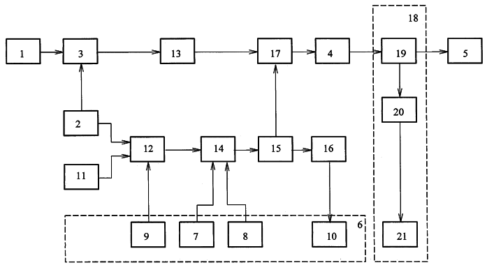
На чертеже представлена принципиальная схема аудиотестера ультразвукового.
На чертеже приведены следующие обозначения:
1 – генератор колебаний ультразвуковой частоты;
2 – генератор тактовых импульсов;
3 – электронный ключ;
4 – усилитель мощности;
5 – пьезоэлектрический излучатель;
6 – панель управления;
7 – кнопка увеличения мощности излучения;
8 – кнопка уменьшения мощности излучения;
9 – кнопка изменения скорости регулирования мощности;
10 – цифровые сегментные индикаторы;
11 – дополнительный генератор тактовых импульсов;
12 – блок коммутации;
13 – полосовой фильтр;
14 – блок управления;
15 – счетчик импульсов;
16 – дешифратор;
17 – усилитель с дискретно регулируемым коэффициентом усиления;
18 – блок контроля мощности;
19 – датчик тока;
20 – преобразователь тока в напряжение;
21 – индикатор наличия мощности на излучателе.
Аудиотестер ультразвуковой содержит генератор ультразвуковых сигналов 1 и генератор тактовых импульсов 2, соединенные с электронным ключом 3, усилитель мощности 4 и пьезоэлектрический излучатель 5, панель управления 6 с кнопками увеличения мощности излучения 7, уменьшения мощности излучения 8 и кнопкой изменения скорости регулирования мощности 9, цифровые сегментные индикаторы 10, дополнительный генератор тактовых импульсов 11, блок коммутации 12, полосовой фильтр 13, блок управления 14, счетчик импульсов 15, дешифратор 16, усилитель с дискретно регулируемым коэффициентом 17 и блок контроля мощности на пьезоэлектрическом излучателе 18. Последний может быть выполнен в виде датчика тока 19, соединенного через преобразователь тока в напряжение 20 с индикатором наличия мощности на излучателе 21.
При этом кнопка изменения скорости регулирования мощности 9 подсоединена к управляющему входу блока коммутации 12, к первому входу которого подсоединен второй выход генератора тактовых импульсов 2, ко второму входу – выход дополнительного генератора тактовых импульсов 11, выход блока коммутации 12, также как кнопки увеличения и уменьшения мощности излучения 7 и 8, подсоединен к блоку управления 14, выход которого подсоединен к счетчику импульсов 15, первый выход которого подключен через дешифратор 16 к цифровым индикаторам 10, а второй – к управляющему входу усилителя с дискретно регулируемым коэффициентом усиления 17, к входу которого через полосовой фильтр 13 подсоединен выход электронного ключа 3, выход усилителя с дискретно регулируемым коэффициентом усиления подсоединен ко входу усилителя мощности 4, а выход усилителя мощности через блок контроля наличия мощности на излучателе 19 подключен к пьезоэлектрическому излучателю 5.
Блок контроля наличия мощности на излучателе может содержать датчик тока 19, соединенный через преобразователь тока в напряжение 20 с индикатором наличия мощности на излучателе 21. В качестве индикатора наличия мощности на излучателе может использоваться светодиод, расположенный на панели управления или закрепленный непосредственно на излучателе.
Работа аудиотестера ультразвукового осуществляется следующим образом.
Напряжение с генератора колебаний ультразвуковой частоты 100 кГц подается на электронный ключ. На управляющий вход электронного ключа с первого выхода генератора тактовых импульсов подается напряжение в форме меандра с частотой 0,6 Гц. С выхода электронного ключа модулированный ультразвуковой сигнал поступает на вход полосового фильтра, который подавляет паразитные гармоники и комбинационные составляющие, возникающие при модуляции ультразвукового сигнала с помощью электронного ключа. С выхода полосового фильтра модулированный ультразвуковой сигнал поступает на вход усилителя с дискретно регулируемым коэффициентом усиления.
С выхода усилителя с дискретно регулируемым коэффициентом усиления модулированный ультразвуковой сигнал поступает на усилитель мощности, обеспечивающий необходимую мощность на пьезоэлектрическом излучателе, который преобразует электрический ультразвуковой сигнал в механические колебания.
Между выходом усилителя мощности и излучателем последовательно включен датчик тока, входящий в состав блока контроля наличия мощности на излучателе. В состав блока контроля наличия мощности на излучателе входят также преобразователь тока в напряжение и индикатор наличия мощности на излучателе, причем преобразователь тока в напряжение включен между выходом датчика тока и индикатором наличия мощности на излучателе. Необходимость использования в устройстве блока контроля наличия мощности на излучателе обусловлена тем, что ультразвуковой сигнал, поступающий на излучатель неслышим оператором, который при проведении обследования пациента должен быть уверен в наличии ультразвукового сигнала на излучателе. Индикатор наличия мощности на излучателе вырабатывает световые и/или звуковые сигналы, которые воспринимает оператор.
Управление аудиотестером осуществляется с панели управления, на которой располагаются кнопки увеличения и уменьшения мощности излучения, кнопки изменения скорости регулирования мощности и цифровые сегментные индикаторы. Кнопки увеличения и уменьшения мощности излучения подключены к блоку управления. На блок управления поступает напряжение в форме меандра со второго выхода генератора тактовых импульсов.
При подаче электропитания на аудиотестер блок управления вырабатывает заданное количество импульсов, соответствующее минимальной мощности ультразвукового сигнала (уровень 0 дБ). При кратковременном нажатии кнопки увеличения мощности излучения блок управления вырабатывает сигнал – определенное число импульсов, соответствующих увеличению мощности на одну ступень (например, 1 дБ). При непрерывном нажатии кнопки увеличения мощности блок управления вырабатывает последовательности импульсов, соответствующие увеличению мощности ультразвука от минимального до максимального значения (32 дБ), со скоростью, определяемой частотой генератора тактовых импульсов. Аналогично осуществляется процесс формирования сигналов, соответствующих уменьшению или увеличения уровня мощности излучения, с помощью кнопки уменьшения или увеличения мощности излучения. В зависимости от нажатой кнопки блок управления задает счетчику направление счета, соответствующее увеличению или уменьшению мощности излучения, он также вырабатывает сигнал запрета работы счетчика при достижении верхнего или нижнего пределов уровня мощности излучения.
При необходимости быстрого изменения уровня мощности излучения (в случае уточнения порога восприятия ультразвука) нажимают кнопку изменения скорости регулирования мощности, которая вырабатывает команду на блок коммутации, переключающий выходы основного и дополнительного генераторов тактовых импульсов. Дополнительный генератор тактовых импульсов работает на частоте 1,6 Гц. Частота генератора тактовых импульсов при этом увеличивается в несколько раз и соответственно увеличивается скорость формирования последовательностей импульсов, соответствующих увеличению или уменьшению уровня мощности излучения.
Последовательности импульсов с блока управления поступают на счетчик импульсов, с первого выхода которого сигнал в двоичном коде, подается на управляющий вход усилителя с дискретно регулируемым коэффициентом усиления. Сигнал со второго выхода счетчика импульсов поступает на дешифратор, который формирует соответствующие напряжения, подаваемые на цифровые сегментные индикаторы, с помощью которых индицируется цифровое значение уровня выходной мощности.
Введение ультразвука пациенту оператором осуществляется посредством пьезоэлектрического излучателя, поверхность которого прижимается к заушной или лобовой части головы через тонкую пленку вазелинового масла. Воздействие ультразвука воспринимается пациентом благодаря наличию костной проводимости.
При постепенном увеличении интенсивности ультразвука достигается значение мощности излучения, при котором пациент начинает воспринимать ультразвук как слышимый сигнал. Это позволяет определить дифференциальный порог восприятия ультразвука и соответственно определить степень атрофии слухового нерва, т.е. диагностировать степень потери нейросенсорной чувствительности.
При этом надпороговый уровень ультразвука не используется и отрицательные воздействия ультразвука на человека практически исключаются.
Блок управления и блок коммутации выполнены на логических элементах “2И-НЕ”, “3И-НЕ” и Д-триггерах. Схемы блоков собраны на стандартных микросхемах серий 533, 561 или 564.
В качестве счетчика может применяться любой реверсивный двоичный четырехразрядный счетчик серии 533 или 1533.
В качестве дешифратора двоичного кода используется стандартный дешифратор серии 514.
Усилитель с дискретно регулируемым коэффициентом усиления собран на операционных усилителях и содержит резистивные цепочки, которые коммутируются с помощью электронных ключей, управляемых кодами состояния счетчика импульсов.
Изобретение позволяет создать простое, надежное и дешевое устройство, позволяющее обеспечить повышение достоверности диагностики различных поражений слуха за счет добавления или сопоставления результатов исследования восприятия пациентом ультразвука. В предлагаемом устройстве используется 100% модуляция звука, при этом при определении дифференциальных порогов восприятия силы звука мощность ультразвука изменяется от нуля до порогового значения, что существенно уменьшает опасность побочных отрицательных воздействий на пациента.
Формула изобретения
1. Аудиотестер ультразвуковой, содержащий генератор колебаний ультразвуковой частоты и генератор тактовых импульсов, соединенные с электронным ключом, усилитель мощности и пьезоэлектрический излучатель, отличающийся тем, что содержит панель управления с кнопками увеличения мощности излучения, уменьшения мощности излучения, кнопкой изменения скорости регулирования мощности и цифровыми сегментными индикаторами, дополнительный генератор тактовых импульсов, блок коммутации, полосовой фильтр, блок управления, счетчик импульсов, дешифратор, усилитель с дискретно регулируемым коэффициентом усиления и блок контроля наличия мощности на излучателе, причем кнопка изменения скорости регулирования мощности подсоединена к управляющему входу блока коммутации, к первому входу которого подсоединен второй выход генератора тактовых импульсов, ко второму входу – выход дополнительного генератора тактовых импульсов, выход блока коммутации так же как, кнопки увеличения и уменьшения мощности излучения, подсоединен к блоку управления, выход которого подсоединен к счетчику импульсов, первый выход которого подключен через дешифратор к цифровым индикаторам, а второй – к управляющему входу усилителя с дискретно регулируемым коэффициентом усиления, к входу которого через полосовой фильтр подсоединен выход электронного ключа, выход усилителя с дискретно регулируемым коэффициентом усиления подсоединен ко входу усилителя мощности, а выход усилителя мощности через блок контроля наличия мощности на излучателе подключен к пьезоэлектрическому излучателю.
2. Аудиотестер ультразвуковой по п.1, отличающийся тем, что блок контроля наличия мощности на излучателе содержит датчик тока, соединенный через преобразователь тока в напряжение с индикатором наличия мощности на излучателе.
3. Аудиотестер ультразвуковой по п.2, отличающийся тем, что индикатор наличия мощности на излучателе расположен на пьезоэлектрическом излучателе.
РИСУНКИ
|
|