Патент на изобретение №2153517
|
||||||||||||||||||||||||||
(54) ГЕРМЕТИЗИРУЮЩАЯ КОМПОЗИЦИЯ
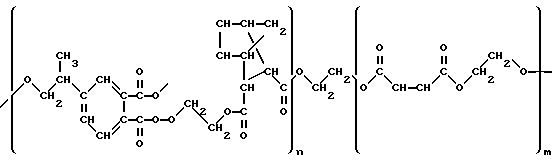
(57) Реферат: Описывается новая герметизирующая композиция, содержащая полисульфидный олигомер, наполнитель, диоксид марганца, пластификатор, стеариновую кислоту, аэросил, дифенилгуанидин и модифицирующую добавку. В качестве модифицирующей добавки она содержит ненасыщенную полиэфирную смолу, полученную поликонденсацией смеси ангидрида норборнендикарбоновой кислоты и малеинового или фталевого ангидрида при их мольном соотношении 4 : 6 со смесью этиленгликоля или пропиленгликоля и диэтиленгликоля, при их мольном соотношении 3 : 7, при мольном соотношении ангидридов кислот и гликолей 1 : 1, при следующем соотношении компонентов, мас.ч.: полисульфидный олигомер 100, наполнитель 83,43 – 142, диоксид марганца 6,2 – 10, пластификатор 7,19 – 15, стеариновая кислота 0,13 – 0,7, аэросил 0,55 – 4,34, дифенилгуанидин 0,2 – 1,5, указанная модифицирующая добавка 0,5 – 5. Технический результат – повышение адгезии герметика на основе заявляемой герметизирующей композиции к стеклу и дюралю при сохранении физико-механических свойств. 2 табл. Изобретение относится к композициям на основе полисульфидных олигомеров (жидких тиоколов) и может быть использовано в строительстве для герметизации стеклопакетов. Известна герметизирующая композиция, содержащая полисульфидный олигомер, технический углерод, вулканизующий агент – смесь диметиламинометилфенол и ускоритель вулканизации олигодиэтиленмалеинат при следующем соотношении компонентов, мас.ч.: полисульфидный олигомер – 100 технический углерод – 30-50 олигодиэтиленмалеинат – 20-30 смесь диметиламинометилфенол – 1 – 2, (см. RU Патент 2101316, кл. C 09 K 3/10, 1996). Недостатком известной композиции является то, что она не обладает достаточной адгезией к стеклу и дюралю. Наиболее близкой по технической сущности является герметизирующая композиция, содержащая: полисульфидный олигомер; наполнитель – сажу; диоксид марганца; пластификатор – дибутилфталат; стеариновую кислоту; аэросил; дифенилгуанидин; модифицирующую добавку – , – метакрилбиспентаэритритадипинат, при следующем соотношении, мас.ч.:полисульфидный олигомер – 72-82 сажа – 18-28 диоксид марганца – 4.999-6.666 дибутилфталат – 3.829-5.101 стеариновая кислота – 0.02 – 0.028 аэросил – 0.149-0.199 дифенилгуанидин – 0.6-1.0 , – метакрил-бис-пентаэритритадипинат – 3.0 – 7.5,(см. Авторское свидетельство СССР 584027, кл. C 09 J 3/12, C 09 K 3/10, 1976). Недостатком данной герметизирующей композиции является невозможность достижения адгезии к стеклу и дюралю, обеспечивающей необходимые эксплуатационные свойства. Задачей изобретения является повышение адгезии герметика на основе заявляемой герметизирующей композиции к стеклу и дюралю при сохранении физико-механических свойств. Техническая задача решается тем, что герметизирующая композиция, содержащая полисульфидный олигомер, наполнитель, диоксид марганца, пластификатор, стеариновую кислоту, аэросил, дифенилгуанидин и модифицирующую добавку, в качестве модифицирующей добавки она содержит ненасыщенную полиэфирную смолу, полученную поликонденсацией смеси ангидрида норборнендикарбоновой кислоты и малеинового или фталевого ангидрида при их мольном соотношении 4:6 со смесью этиленгликоля или пропиленгликоля и диэтиленгликоля, при их мольном соотношении 3:7, при мольном соотношении ангидридов кислот и гликолей 1: 1, при следующем соотношении компонентов композиции, мас.ч.: полисульфидный олигомер – 100 наполнитель – 83.43-142 диоксид марганца – 6.2-10 пластификатор – 7.19 – 15 стеариновая кислота – 0.13 – 0.7 аэросил – 0.55 – 4.34 дифенилгуанидин – 0.2 – 1.5 указанная модифицирующая добавка – 0.5 – 5 Техническое решение позволяет увеличить адгезию к дюралю и к стеклу в 2 раза. Характеристика веществ, используемых в герметизирующей композиции: – ненасыщенный полиэфир но стандарту предприятия (СТП) СТП 38. 1503 97: бесцветная малоподвижная масса с температурой начала текучести 45 – 50oC, без запаха. Ненасыщенный полиэфир получают поликонденсацией смеси ангидрида норборнендикарбоновой кислоты и малеинового или фталевого ангидрида при их мольном соотношении 4:6 со смесью этиленгликоля или пропиленгликоля и диэтиленгликоля при температуре 150-220oC и остаточном давлении до 50 мм рт.ст. и их мольном соотношении 3:7, при мольном соотношении ангидридов кислот и гликолей 1:1 соответственно. Соотношение компонентов и состав ненасыщенного полиэфира соответствует стандарту, СТП 38.1503-97. Структурная формула ненасыщенного полиэфира представлена в следующем виде: ![]() где n = 1-10, m = 1-12. – полисульфидный олигомер – содержание SH-групп от 2,6 до 4%, ТУ – 38.50309 – 93; – в качестве наполнителя композиция содержит: технический углерод по ГОСТ 7885-86; двуокись титана по ТУ-6-34-5762326-10-91; каолин по ГОСТ 19608-84; мел: гидрофобный по ТУ 21-020350-06-92; химически осажденный по ТУ 6-18-11-78, ГОСТ 8253 – 79; – в качестве вулканизующего агента композиция содержит: диоксид марганца по ГОСТ 4470-79 – в качестве пластификатора композиция может содержать: дибутилфталат по ГОСТ 8728 – 88 полидиэтиленгликольадипинат по ТУ 38.303-04-09-90 хлорпарафин по ТУ 6-01-16-90 – стеариновую кислоту по ГОСТ 6484-96 – аэросил по ГОСТ 14922-77, ТУ 6-18-222-76 – дифенилгуанидин (гуанид – Ф) по ГОСТ 40 – 80, ТУ 6-14-22-269-90 Изобретение иллюстрируется следующими примерами конкретного выполнения: Пример 1. В фарфоровую ступку помещают, мас.ч.: полисульфидный олигомер (жидкий тиокол) с концевыми SH-группами в количестве 2,6% – 100 наполнитель – мел гидрофобный – 80 технический углерод – 1,43 ненасыщенный полиэфир (при n равно 10, m равно 1) – 1 тщательно перемешивают, получают герметизирующую пасту. После тщательного перемешивания отверждающую пасту, которая содержит, мас.ч.: диоксид марганца – 6,2 технический углерод – 2,0 пластификатор – дибутилфталат – 6,85, полидиэтиленгликольадипинат – 0,34 стеариновая кислота – 0,34 дифенилгуанидин – 1 аэросил – 4,34 вводят в герметизирующую пасту и вновь тщательно перемешивают. Пример 2. В фарфоровую ступку помещают, мас.ч.: полисульфидный олигомер (жидкий тиокол) с концевыми SH-группами в количестве 3,0% – 100 наполнитель – мел гидрофобный – 140, технический углерод – 1,63 аэросил – 0,9 ненасыщенный полиэфир (при n равно 8, m равно 2) – 5 тщательно перемешивают, получают герметизирующую пасту. После тщательного перемешивания отверждающую пасту, которая содержит, мас.ч.: диоксид марганца – 8,13 пластификатор – хлорпарафин – 12,2 полидиэтиленгликольадипинат – 0,81 стеариновая кислота – 0,4 дифенилгуанидин – 1,22 аэросил – 0,34 вводят в герметизирующую пасту и вновь тщательно перемешивают. Пример 3. В фарфоровую ступку помещают, мас. ч.: полисульфидный олигомер (жидкий тиокол) с концевыми SH-группами в количестве 2,6% – 100 наполнитель – мел гидрофобный – 110 каолин – 20 диоксид титана – 10 аэросил – 1,5 ненасыщенный полиэфир (при n равно 10, m равно 12) – 2,5 тщательно перемешивают, получают герметизирующую пасту. После тщательного перемешивания отверждающую пасту, которая содержит, мас.ч.: диоксид марганца – 10 технический углерод – 2 пластификатор – хлорпарафин – 6,5, дибутилфталат – 1,35, полидиэтиленгликольадипинат – 1,3 стеариновая кислота – 0,7 дифенилгуанидин – 1,5 аэросил – 0,34 вводят в герметизирующую пасту и вновь тщательно перемешивают. Пример 4. В фарфоровую ступку помещают, мас.ч.: полисульфидный олигомер (жидкий тиокол) с концевыми SH-группами в количестве 3,0% – 100 наполнитель – мел химически осажденный – 40 каолин – 60 аэросил – 0,55 ненасыщенный полиэфир (при n равно 10, m равно 1) – 1 тщательно перемешивают, получают герметизирующую пасту. После тщательного перемешивания отверждающую пасту, которая содержит, мас.ч.: диоксид марганца – 7,5 пластификатор – дибутилфталат – 7,5 полидиэтиленгликольадипинат – 0,5 стеариновая кислота – 0,5 дифенилгуанидин – 1,0 вводят в герметизирующую пасту и вновь тщательно перемешивают. Пример 5. В фарфоровую ступку помещают, мас.ч.: полисульфидный олигомер (жидкий тиокол) с концевыми SH-группами в количестве 4,0% – 100 наполнитель – мел гидрофобный – 100, диоксид титана – 30 технический углерод – 0,32 аэросил – 1,32 ненасыщенный полиэфир (при n равно 1, m равно 12) – 2 тщательно перемешивают, получают герметизирующую пасту. После тщательного перемешивания отверждающую пасту, которая содержит, мас.ч.: диоксид марганца – 7,7 пластификатор – дибутилфталат – 3,2 хлорпарафин – 6,4 полидиэтиленгликольадипинат – 0,2 стеариновая кислота – 0,13 дифенилгуанидин – 0,2 вводят в герметизирующую пасту и вновь тщательно перемешивают. Пример 6. В фарфоровую ступку помещают, мас.ч.: полисульфидный олигомер (жидкий тиокол) с концевыми SH-группами в количестве 3,0% – 100 наполнитель – мел гидрофобный – 100 каолин – 20 технический углерод – 1 аэросил – 3 ненасыщенный полиэфир (при n равно 4, m равно 11) – 0,5 тщательно перемешивают, получают герметизирующую пасту. После тщательного перемешивания отверждающую пасту, которая содержит, мас.ч.: диоксид марганца – 10 пластификатор – хлорпарафин – 14 полидиэтиленгликольадипинат – 1,0 стеариновая кислота – 0,5 дифенилгуанидин – 0,5 вводят в герметизирующую пасту и вновь тщательно перемешивают. Данные по примерам 1-6 приведены в таблице 1. По достижении равномерного распределения компонентов герметизирующую композицию выдерживают при температуре 20oC в течение 7 суток или при температуре 70oC в течение 24 часов. Физико-механические свойства определяют в соответствии с ТУ 2513 – 005 – 0015200 – 96 “Герметик ТГС – 06”, данные приведены в таблице 2. Как видно из примеров конкретного выполнения, заявляемая герметизирующая композиция обладает повышенной адгезией к стеклу и дюралю, которая в 2 раза выше по сравнению с прототипом. К тому же композиция обладает большей прочностью и твердостью и меньшей жизнеспособностью, последнее способствует увеличению объемов производства. Формула изобретения
Полисульфидный олигомер – 100 Наполнитель – 83,43 – 142 Диоксид марганца – 6,2 – 10 Пластификатор – 7,19 – 15 Стеариновая кислота – 0,13 – 0,7 Аэросил – 0,55 – 4,34 Дифенилгуанидин – 0,2 – 1,5 Указанная модифицирующая добавка – 0,5 – 5 РИСУНКИ
MM4A Досрочное прекращение действия патента Российской Федерации на изобретение из-за неуплаты в установленный срок пошлины за поддержание патента в силе
Дата прекращения действия патента: 18.07.2002
Номер и год публикации бюллетеня: 13-2004
Извещение опубликовано: 10.05.2004
|
||||||||||||||||||||||||||

,
– метакрилбиспентаэритритадипинат, при следующем соотношении, мас.ч.: