|
(21), (22) Заявка: 2003131116/28, 22.10.2003
(24) Дата начала отсчета срока действия патента:
22.10.2003
(45) Опубликовано: 20.05.2005
(56) Список документов, цитированных в отчете о поиске:
ГОСТ 13109-97. Нормы качества электрической энергии в системах электроснабжения общего пользования. – Минск: Межгосударственный совет по стандартизации, метрологии и сертификации, 1998. US 5319534 A, 07.06.1994. US 6112136 А, 29.08.2000. US 5390106 А, 14.02.1995. US 5943246 А, 24.08.1999. US 5832414 А, 03.11.1998. US 4951170 А, 21.08.1990. US 5691626 A, 25.11.1997. US 6005759 А, 21.12.1999. SU 657520 А, 19.04.1979.
Адрес для переписки:
665728, Иркутская обл., г. Братск, ул. Макаренко, 40, ГОУ ВПО “Братский государственный технический университет”, Патентная служба
|
(72) Автор(ы):
Большанин Г.А. (RU)
(73) Патентообладатель(и):
Государственное образовательное учреждение высшего профессионального образования “Братский государственный технический университет” (RU)
|
(54) СПОСОБ АВТОМАТИЗИРОВАННОГО АКТИВНОГО КОНТРОЛЯ ПРОВАЛОВ НАПРЯЖЕНИЯ И ТОКА
(57) Реферат:
Способ может быть использован в системах автоматизированного контроля показателей качества электрической энергии. По совокупности дискретных величин напряжения и тока определяют действующие значения напряжения и тока за каждую половину периода изменения основной гармонической составляющей. В результате сравнения фактических действующих значений напряжения и тока с номинальными величинами выявляют факт критического уменьшения этих величин, а также после определения фактического фронта такого уменьшения – факт наличия провалов напряжения и тока. В случае выявления несоответствия длительностей провалов напряжения и тока нормативным требованиям формируется сигнал для управления корректирующими устройствами, предназначенными для уменьшения глубины и длительности провалов напряжения и тока. 2 ил.

Изобретение относится к электротехнике и может быть использовано в процессе эксплуатации электроэнергетических систем, которые отличаются электрической энергией, имеющей тенденцию к снижению своего качества, а также может быть использовано как составная часть автоматизированного активного контроля всех показателей качества электрической энергии.
Действующим межгосударственным стандартом ГОСТ 13109-09 “Нормы качества электрической энергии в системах электроснабжения общего пользования” [1] определено, что провал напряжения есть внезапное понижение напряжения в точке электрической сети ниже 90% от номинального (0,9 Uном), за которым следует восстановление напряжения до первоначального или близкого к нему уровня через промежуток времени от десяти миллисекунд до нескольких десятков секунд. Впредь уменьшение напряжения ниже 90% от своего номинального значения уместно называть критическим.
Упомянутым здесь ГОСТом регламентируется длительность провала напряжения.
Длительность провала напряжения есть интервал времени между начальным моментом провала напряжения и моментом восстановления напряжения до первоначального или близкого к нему уровня [1]: где tн и tk – начальные и конечные моменты времени провала.
Нормируемая длительность провала напряжения достигает нескольких десятков секунд и даже минуты. Этот факт позволяет для регистрации провалов напряжения использовать безынерционные или малоинерционные вольтметры. Но тем не менее точное определение времени провала напряжения здесь маловероятно. Тем более здесь необходимо оценивание действующего значения напряжения за половину периода его изменения, для этого нужны специализированные электроизмерительные приборы.
Такое положение вопроса о контроле провала напряжения, в принципе, соответствует требованиям действующего стандарта, который рекомендует продолжительный период наблюдения (до одного года) за этими показателями качества электрической энергии. Затем полученные результаты наблюдений обычно подвергаются статистической обработке, методики выполнения которой в достаточной мере разработаны, например [2], и лишь после этого возможны какие-либо выводы относительно создавшегося положения. Естественно, ни о каком оперативном контроле, а тем более об активном оперативном воздействии на такой показатель качества электрической энергии, каким является длительность провала напряжения, и быть не может.
Кроме того, оценивание провала лишь напряжения, только одной из характеристик электрической энергии особенно в современных электроэнергетических системах, отличающихся нелинейностью, не дает объективной оценки о качестве электрической энергии, а именно объективной оценки соответствующего показателя.
Задачей изобретения является формирование алгоритма автоматизированного активного контроля провалов напряжения и тока.
Технический результат достигается тем, что исходными данными для алгоритма активного контроля провалов напряжения и тока являются аналоговые величины этих характеристик электрической энергии, преобразованные в аналого-цифровом преобразователе в совокупность дискретных значений, из которых определяются действующие значения напряжения и тока за половину периода изменения их величин на частоте основной гармонической составляющей, необходимые для получения сведений о глубине и длительности провалов напряжения и тока. При нарушении нормативных значений длительности провалов напряжений и токов формируется сигнал управления соответствующими корректирующими устройствами. Ими могут быть сглаживающие и иные устройства. Автоматизация активного контроля провалов напряжения и тока обеспечивается средствами вычислительной техники.
Сигнал управления соответствующими корректирующими устройствами будет вырабатываться при нарушении равенства:

где ktu – допустимое максимальное значение длительности провала напряжения.
Длительность спада напряжения при этом должна быть не менее 10 (десяти) миллисекунд.
При определении величин, характеризующих провал напряжения, речь может идти лишь о действующих значениях напряжения. А поскольку провал напряжения по своей сути есть разновидность оценки уровня колебания этого напряжения, то действующие значения соответствующих величин должны определятся за полупериодный интервал времени:

где Т0 – величина фактического периода изменения основной гармонической составляющей; N0 – число квантований за период изменения основной гармонической составляющей анализируемого напряжения; up – величина напряжения при р-ом квантовании; t – величина одного квантования, определяемая по формуле

Для всестороннего оценивания качества электрической энергии часто вычисляют глубину провала напряжения:

где Uном и Umin – номинальное и минимальное действующие значения напряжения за фиксированный отрезок времени.
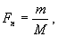
Иногда для этой же цели определяют частность появления провалов напряжения, величина которой не нормируется действующим межгосударственным стандартом: где m – число провалов напряжения глубиной Un и длительностью tn за интервал наблюдения Т, величина которого устанавливается исследователем; М – суммарное число провалов напряжения за этот же интервал наблюдения Т.
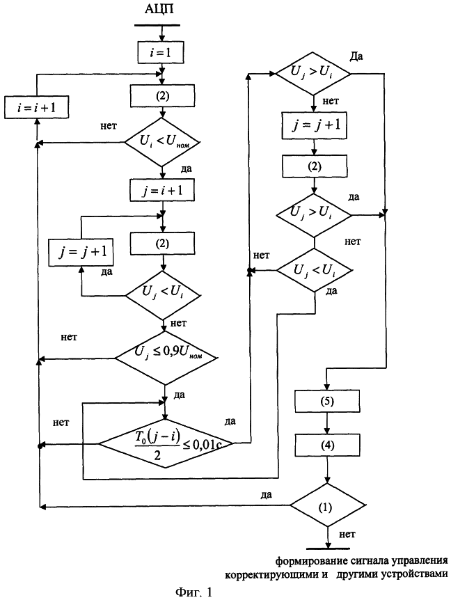
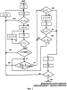
На фиг.1 представлена структурная схема предлагаемого алгоритма автоматизированного активного контроля провала напряжения, а на фиг.2 – структурная схема алгоритма автоматизированного активного контроля провала тока.
Здесь для определения глубины провала напряжения предлагается несколько отличная от (3) математическая формулировка:

где Ui – действующее значение напряжения i-го полупериода.
Длительность провала здесь предлагается определять по формуле:

где j и i – порядковые номера текущих полупериодов.
Предлагаемый здесь алгоритм оценивания провала напряжения ни в малейшей степени не противоречит известным методикам определения этого показателя качества.
Несложно заметить, что при анализе периодически изменяющихся с частотой порядка 50 Гц величин допустимый временной интервал спада напряжения (10 ms) не превышает половины периода основной гармонической составляющей. А меньший интервал времени при условиях, оговоренных действующим межгосударственным стандартом [1], и быть не может. Поэтому при увеличении периода изменения анализируемой величины, что неизбежно, например, при отклонении частоты в большую сторону составляющих, условие требует ослабления. Иначе провалы напряжения просто-напросто не будут зарегистрированы.
Следует отметить, что алгоритм, представленный на фиг.1, предполагает непрерывный контроль величины провалов напряжения. Хотя, в принципе, не составляет особого труда при достижении, например, некоторого придельного интервала времени предусмотреть завершение действия этого алгоритма.
Оценка качества электрической энергии не была бы полной и достаточно объективной без анализа тока подобными методами.
Подобно провалу напряжения провалом тока удобно называть внезапное понижение тока в точке электрической сети ниже 90% от номинального (0,9Iном), за которым следует восстановление тока до первоначального или близкого к нему уровня через промежуток времени от десяти миллисекунд до нескольких десятков секунд. Далее уменьшение тока ниже 90% от своего номинального значения уместно называть критическим.
На фиг.2 представлена структурная схема алгоритма оценки провала тока. Этот алгоритм, в принципе, аналогичен алгоритму провала напряжения (фиг.1).
Длительность провала тока здесь определяется так же, как и длительность провала напряжения, то есть по формуле (5).
Глубину провала тока здесь предлагается здесь определять по формуле

где Iном – номинальное значение тока; Ii – действующее значение тока i-го полупериода, определяемое по формуле

где ip – величина тока при р-м квантовании.
Оценивание этого показателя качества электрической энергии есть смысл выполнять по тому же критерию, что и провал напряжения, а именно по степени соответствия длительности провала тока своему нормативному значению, о чем будет свидетельствовать выполнение неравенства, подобного неравенству

где kti – допустимое максимальное значение длительности провала тока.
Конечно, перед этой процедурой следует определиться с самим нормативным значением.
Так, с помощью средств вычислительной техники может быть реализован способ автоматизированного активного контроля провалов напряжения и тока.
Источники информации
1. Нормы качества электрической энергии в системах электроснабжения общего назначения: ГОСТ 13109-97. – Минск: Межгосударственный Совет по стандартизации, метрологии и сертификации, 1998. – 31 с.
2. Шидловский А.К., Куренный Э.Г. Введение в статистическую динамику систем электроснабжения. – Киев: Наукова думка, 1984. – 273 с.
Формула изобретения
Способ автоматизированного активного контроля провалов напряжения и тока, заключающийся в сравнении фактических длительностей провалов напряжения и тока, определяемых на основании глубин провалов напряжения и тока, рассчитываемых из действующих значений этих величин за половину периода изменения основной гармонической составляющей, со своими нормативными значениями, отличающийся тем, что исходные данные о фактических напряжении и токе формируются в аналого-цифровом преобразователе, где аналоговые напряжение и ток преобразуются в совокупности дискретных величин, из которых определяются действующие значения напряжения и тока за каждую половину периода изменения основной гармонической составляющей, а затем на основании сопоставления фактических действующих значений напряжения и тока со своими номинальными величинами выясняется факт критического уменьшения этих величин, а после определения фактического фронта такого уменьшения выясняется факт наличия провалов напряжения и тока и их глубины, определяются их длительности, при превышении которыми своих нормативных значений формируется сигнал управления устройствами, уменьшающими глубины и длительности провалов напряжения и тока.
РИСУНКИ
MM4A – Досрочное прекращение действия патента СССР или патента Российской Федерации на изобретение из-за неуплаты в установленный срок пошлины за поддержание патента в силе
Дата прекращения действия патента: 23.10.2005
Извещение опубликовано: 20.03.2007 БИ: 08/2007
|