Патент на изобретение №2153501
|
||||||||||||||||||||||||||
(54) СПОСОБЫ ПОЛУЧЕНИЯ N-ГИДРОКСИАЛКИЛАМИНОМЕТИЛФОСФОНОВОЙ КИСЛОТЫ, N-ФОСФОНОМЕТИЛАМИНОКАРБОНОВОЙ КИСЛОТЫ И N-ФОСФОНОМЕТИЛГЛИЦИНА ИЛИ ИХ СОЛЕЙ
(57) Реферат: Изобретение относится к способам получения N – гидроксиалкиламинометилфосфоновой кислоты формулы (I), где n = 2 – 6, N-фосфонометаминокарбоновой кислоты формулы (II) и N-фосфонометилглицина формулы (III) или их солей. Соединения ф-лы (I) являются полупродуктами для получения соединений (II) и (III), которые являются высокоэффективными гербицидами и используются в сельском хозяйстве для борьбы с сорняками. Соединения (I) получают взаимодействием алканоламина с формальдегидом и триалкилфосфитом при 50-150°С с последующим гидролизом образующейся реакционной смеси. Соединение (II) получают каталитическим окислением соединения (I) путем их контактирования с гидроксидом щелочного металла в присутствии медного катализатора Ренея, содержащего дополнительно элемент, выбранный из хрома, титана, ниобия, тантала, циркония и др. Соединение (III) получают взаимодействием этаноламина, формальдегида и триалкилфосфита при 50-150°С с последующим последовательным гидролизом и каталитическим окислением образующейся реакционной смеси. 5 с. и 32 з.п. ф-лы, 4 табл.
Изобретение относится к способу получения N – гидроксиалкиламинометилфосфоновой кислоты или ее солей. В одном аспекте настоящее изобретение касается нового и полезного способа получения N-гидроксиалкиламинометилфосфоновой кислоты или ее солей из алканоламина, формальдегида и триалкилфосфита. В другом аспекте настоящее изобретение касается способа получения N-фосфонометиламинокарбоновой кислоты или ее солей путем каталитического окисления N-гидроксиалкиламинометилфосфоновой кислоты или ее солей. И в еще одном аспекте изобретение касается способа получения N-фосфонометилглицина, полезного в качестве гербицида. N-гидроксиалкиламинометилфосфоновая кислота или ее соли полезны в качестве исходного материала для получения сельскохозяйственных химических продуктов. N-фосфонометиламинокарбоновые кислоты или их соли полезны в качестве сельскохозяйственных химикалиев. В частности, N-фосфонометилглицин, известный также под его распространенным названием глифозат, является высокоэффективным и коммерчески важным фитотоксикантом, полезным в борьбе с самыми разнообразными сорняками и культурами. Его наносят на листву очень широкого спектра многолетних и однолетних злаковых растений и широколистных растений для достижения желаемого контроля. Области промышленного применения включают борьбу с сорняками по обочинам шоссейных дорог, в водных путях, вдоль линий передачи, в зонах хранения и в других местах несельскохозяйственного характера. Обычно глифозат вводят в состав гербицидных композиций в виде различных его солей, которые сохраняют анионную форму глифозата в растворе, предпочтительно в воде. Реакция первичного амина с альдегидом и сложным фосфитным диэфиром раскрыта в Fields, “The Synthesis of Esters of Substituted Amino Phosphonic Asids”, J. Am. Chem. Soc., Vol. 74, pp. 1528- 31 (1952). Однако продукт реакции содержит значительные количества нежелательного бис-фосфонометилированного продукта. Аналогичным образом, реакция первичного амина с формальдегидом и фосфористой кислотой описана в Moedritzer and Irani,”The Direct Synthesis of -Aminomethylphosphonic Acids. Mannich-Type Reaction with Orthophosphorous Acids” J. Org, Chem., Vol, 31, pp. 1603-1607 (1966). Как и у Fields, продуктом реакции является преимущественно бис-фосфонометилированный продукт.
Barsukov et al. , “Synthesis of New Complexons and Nheir Derivatives”, Zhurnal Obshchei Khimii, Vol.53, N 6, pp.1243-49 (1983) и Barsukov et al., “Synthesis of New Complexonsof Aliphatic Series and Investigation of Mechanism of Acidic Dissociation”, Zhurnal Obshchei Khimii, Vol.55 N 7, pp. 1594-1600 (1985) раскрыли реакцию этаноламина с параформальдегидом и диметилгидрофосфитом с молярным отношением амин/фосфит 1,0 и молярным отношением формальдегид/фосфит 1,0. Хотя в этих статьях сказано, что продукт является моно-фосфонометилированным соединением, но воспроизведение реакции, раскрытой в экспериментальной части, привело к получению не моно- фосфонометилированного продукта, т.е. 31P-ЯМР-спектр материала, полученного при воспроизведении примера по Барсукову, показал 0% выхода N-(2-гидроксиэтил)аминометилфосфоновой кислоты (см. пример 5 в данном описании). Таким образом, способ, описанный в статьях Барсукова и др. не способен обеспечить получение N-гидроксиалкиламинометилфосфоновой кислоты в промышленном масштабе.
Способ получения N-гидроксиалкиламинометилфосфоновой кислоты или ее солей, который экономичен, коммерчески жизнеспособен и может дать, по существу, только моно-фосфонометилированный продукт, является весьма желательным.
Задачей настоящего изобретения является создание эффективного и экономичного способа получения N-гидроксиалкиламинометилфосфоновой кислоты или ее солей, который был бы коммерчески жизнеспособен. Другой задачей настоящего изобретения является создание способа получения N-гидроксиалкиламинометилфосфоновой кислоты или ее солей для применения в производстве N- фосфонометиламинокарбоновой кислоты или ее солей. Еще одной задачей настоящего изобретения является создание эффективного и экономичного способа получения N-фосфонометиламинокарбоновой кислоты или ее солей для применения в качестве сельскохозяйственных химических продуктов. И еще одной задачей настоящего изобретения является создание эффективного и экономичного способа получения N-фосфонометилглицина, который был бы коммерчески жизнеспособным.
В соответствии с настоящим изобретением предлагается способ получения N-гидроксиалкиламинометилфосфоновой кислоты или ее солей, включающий контактирование алканоламина, формальдегида и триалкилфосфита при подходящих условиях реакции для получения реакционной смеси, и гидролизование реакционной смеси в условиях нейтральной, кислой или щелочной среды. В одном из вариантов N- гидроксиалкиламинометилфосфоновую кислоту или ее соли каталитически окисляют с получением N-фосфонометиламинокарбоновой кислоты или ее солей.
Далее в соответствии с настоящим изобретением предлагается способ получения N- гидроксиалкиламинометилфосфоновой кислоты или ее солей, включающий контактирование алканоламина, формальдегида и триалкилфосфита в присутствии спирта при подходящих условиях реакции для получения реакционной смеси, и гидролизование реакционной смеси в условиях нейтральной, кислотной или щелочной среды. В одном из вариантов N-гидроксиалкиламинометилфосфоновую кислоту или ее соли каталитически окисляют с получением N-фосфонометиламинокарбоновой кислоты или ее солей.
И еще в соответствии с настоящим изобретением предлагается способ получения N-фосфонометилглицина или его солей, включающий контактирование этаноламина, формальдегида и триалкилфосфита при подходящих условиях реакции для получения реакционной смеси, гидролизование реакционной смеси в условиях нейтральной, кислой или щелочной среды с получением N- гидроксиэтиламинометилфосфоновой кислоты или ее солей и каталитическое окисление N-гидроксиэтиламинометилфосфоновой кислоты или ее солей.
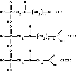
Настоящее изобретение относится к способу получения N- гидроксиалкиламинометилфосфоновой кислоты, представленной формулой![]() или ее солей, включающему (а) контактирование алканоламина, представленного формулой ![]() где n находится в пределах от 2 до 6, формальдегида и триалкилфосфита при подходящих условиях времени и температуры для получения реакционной смеси, где молярное отношение алканоламина к фосфиту находится в пределах от примерно 1: 1 до примерно 15:1, и (b) гидролизование реакционной смеси в условиях нейтральной, кислотной или щелочной среды. Настоящее изобретение относится также к способу получения N-гидроксиалкиламинометилфосфоновой кислоты, представленной формулой ![]() или ее солей, включающему (а) контактирование алканоламина, представленного формулой ![]() где n находится в пределах от 2 до 6, формальдегида и триалкилфосфита в присутствии спирта, представленного формулой R(ОН)m, где R представляет алкильную группу, имеющую от 1 до примерно 18 углеродных атомов, и m находится в пределах от 1 до 3, при подходящих условиях времени и температуры для получения реакционной смеси, где молярное отношение алканоламина к фосфиту составляет от 1:1 до примерно 5:1, и (b) гидролизование реакционной смеси в условиях нейтральной, кислой или щелочной среды. Для получения N-фосфонометиламинокарбоновой кислоты, представленной формулой ![]() или ее солей способы по настоящему изобретению дополнительно включают (с) каталитическое окисление N-гидроксиалкиламинометилфосфоновой кислоты или ее солей. Далее настоящее изобретение относится к способу получения N-фосфонометилглицина или его солей, включающему (а) контактирование этаноламина, формальдегида и триалкилфосфита при подходящих условиях времени и температуры для получения реакционной смеси, где молярное отношение этаноламина к фосфиту составляет от примерно 1:1 до примерно 15:1, (b) гидролизование реакционной смеси в условиях нейтральной, кислой или щелочной среды с получением N-гидроксиэтиламиноме- тилфосфоновой кислоты или ее солей и (с) каталитическое окисление N-(2-гидроксиэтил)аминометилфосфоновой кислоты или ее солей. Используемый в данном описании термин “соли N- гидроксиалкиламинометилфосфоновой кислоты” означает соли щелочных или щелочноземельных металлов N-гидроксиалкиламинометилфосфоновой кислоты, а термин “соли N-фосфонометиламинокарбоновой кислоты” означает соли щелочных или щелочноземельных металлов N- фосфонометиламинокарбоновой кислоты. Таким образом, продукты реакций гидролиза и окисления могут включать кислоту, ее соли или любые их сочетания, в зависимости от конкретной реакции и выбранных условий реакции. Алканоламины, которые могут быть использованы в соответствии с настоящим изобретением, представлены формулой ![]() где n находится в пределах от 2 до 6. Примеры алканоламинов включают этаноламин, 3-амино-1-пропанол, 4-амино-1-бутанол, 5-амино-1-пентанол, 6-амино-1-гексанол и их смеси. Предпочтительным в настоящий момент алканоламином является этаноламин вследствие его легкой доступности и коммерческой значимости продукта, полученного с использованием этаноламина в качестве исходного материала. Формальдегид может быть использован в соответствии с настоящим изобретением в виде параформальдегида или в виде водного раствора формальдегида. Водный формальдегид коммерчески доступен в виде 37-50%-ных (по массе) водных растворов, которые могут содержать метанол, этанол или н-бутанол. Триалкилфосфиты, пригодные для способа по настоящему изобретению, коммерчески доступны или могут быть легко приготовлены традиционными способами, такими как получение путем взаимодействия PCl3, со спиртом, включая полиолы. При использовании полиола в качестве реагента фосфитный продукт может иметь циклическую структуру, т.е. циклический сложный фосфитный эфир. См., например, Ford-Moore et al., Org.Syn., Coll. Vol IV, p 955 и Cook et al., J.Chem. Soc., 635 (1949) о методах с использованием PCl3. Триалкилфосфиты могут быть представлены формулой P(OR’)3, где R’ представляет алкильную группу. Алкильные группы триалкилфосфитов представляют собой неразветвленные или разветвленные алкильные группы, имеющие от 1 до 18 углеродных атомов, и необязательно замещенные группами -ОН. Предпочтительными алкильными группами являются разветвленные или стерически затрудненные группы или группы, замещенные группой -ОН. Наиболее предпочтительными алкильными группами являются группы, имеющие 2-6, в частности, 3-4, углеродных атома. Предпочтительным триалкилфосфитом является триизопропилфосфит. Триалкилфосфиты являются предпочтительными в сравнении с диалкилфосфитами из-за неожиданно более высоких выходов, достигаемых при использовании триалкилфосфитов. Примеры подходящих триалкилфосфитов включают, но не ограничиваются ими, трибутилфосфит, триизопропилфосфит, триметилфосфит, триэтилфосфит, тридецилфосфит, триизодецилфосфит, триизооктилфосфит, трилаурилфосфит, 1-метил-4-фосфа-3,5,8- триоксабицикло[2,2,2] октан, 5-фосфа-4,6,9-триоксабицикло – [3,3,1] -ионан и их смеси. Количество алканоламина, используемого в способе по настоящему изобретению, может быть выражено в виде молярного отношения исходного алканоламина к исходному фосфиту. В широких пределах молярное отношение алканоамина к фосфиту составляет от примерно 1:1 до примерно 15:1. Когда число углеродных атомов в алкильной группе триалкилфосфита составляет 2-6, то молярное отношение алканоламина к фосфиту составляет предпочтительно от примерно 1,2: 1 до примерно 8:1, а наиболее предпочтительно от примерно 1,5: 1 до примерно 2,5:1. Когда число углеродных атомов в алкильной группе триалкилфосфита равно 1 или превышает 6, то молярное отношение алканоламина к фосфиту составляет предпочтительно от примерно 1:1 до примерно 10:1, а наиболее предпочтительно от примерно 1,5:1 до примерно 8:1. Избыточный алканоламин, присутствующий при осуществлении способа по настоящему изобретению, служит также в качестве реакционного растворителя. Количество формальдегида, используемого в способе по настоящему изобретению, может быть выражено в виде молярного отношения исходного формальдегида к исходному фосфиту. В широких пределах молярное отношение формальдегида к фосфиту составляет от 1:1 до примерно 5:1, предпочтительно от 1:1 до примерно 2:1 и наиболее предпочтительно от 1:1 до примерно 1,5:1. Реакцию алканоламина, формальдегида и фосфита проводят при подходящей температуре, которая может изменяться в широких пределах. Температура реакции находится в пределах обычно от примерно 50oC до примерно 150oC, предпочтительно от примерно 60oC до примерно 120oC и наиболее предпочтительно от примерно 70oC до примерно 110oC. Реакцию алканоламина, формальдегида и фосфита проводят в течение подходящего времени, которое может изменяться в широких пределах в зависимости от различных параметров, например температуры реакции. Время реакции находится обычно в пределах от времени, необходимого для расходования фосфита, до примерно 16 часов, предпочтительно от примерно 2 часов до примерно 16 часов и наиболее предпочтительно от примерно 4 часов до примерно 6 часов. Реакция алканоламина, формальдегида и фосфита может быть необязательно проведена в присутствии спиртового растворителя, где спирт представлен формулой R(ОН)m где R представляет алкильную группу, имеющую от 1 до примерно 18 углеродных атомов, и m представляет 1-3. Алкильная группа R может быть неразветвленной или разветвленной и предпочтительно является такой же алкильной группой, как используемые в триалкилфосфитном исходном материале. Примеры подходящих спиртов включают, но не ограничиваются ими, метанол, этанол, изопропанол, н-бутанол, 2-бутанол, изооктанол, дециловый спирт, изодециловый спирт, лауриловый спирт, этиленгликоль, 1,2-пропиленгликоль, 1,3-пропиленгликоль, глицерин, 2-гидроксиметил-2-метил-1,3-пропандиол, 1,3,5-тригидроксициклогексан и их смеси. Когда реакцию алканоламина, формальдегида и фосфита проводят в присутствии спиртового растворителя, молярное отношение исходного алканоламина к исходному фосфиту составляет от 1:1 до примерно 5:1, предпочтительно от 1,2: 1 до примерно 3:1 и наиболее предпочтительно от примерно 1,5:1 до примерно 2:1. Реакция гидролиза может быть проведена в условиях нейтральной, кислой или щелочной среды любым из нескольких традиционных способов, известных специалистам в данной области техники. Когда реакцию гидролиза проводят в условиях кислой среды, то предпочтительный способ заключается в удалении избыточного алканоламина из реакционной смеси вместе с любым необязательно присутствующим спиртовым сорастворителем с последующим гидролизом реакционной смеси в хлористоводородной кислоте. Концентрация хлористоводородной кислоты предпочтительно находится в пределах от 6N.CHl до 12N.HCl (концентрированная HCl). Температура реакции кислотного гидролиза находится обычно в пределах от температуры кипения HCl до примерно 250oC, предпочтительно от 80oC до 120oC. Время реакции находится обычно в пределах от времени, необходимого для осуществления гидролиза, до примерно 24 часов, предпочтительно от примерно 2 часов до примерно 16 часов. До окончания реакции гидролиза N-гидроксиалкиламинометилфосфоновая кислота может быть извлечена любым традиционным способом, известным специалистам в данной области техники, таким, как способ, использованный в примере 1. Когда реакцию гидролиза проводят в условиях щелочной среды, то предпочтительный способ заключается в контактировании реакционной смеси с гидроксидом щелочного металла или гидроксидом щелочноземельного металла, предпочтительно с гидроксидом щелочного металла. Концентрация гидроксида щелочного металла или гидроксида щелочноземельного металла находится в пределах обычно от примерно 15 мас.% до примерно 90 мас.% предпочтительно от примерно 40 до примерно 60 мас.% и наиболее предпочтительно составляет примерно 50 мас.%. Количество гидроксида щелочного металла или гидроксида щелочноземельного металла, используемого в реакции гидролиза, может быть выражено как отношение эквивалентов гидроксида к молям исходного фосфита. Отношение составляет обычно от примерно 2:1 до примерно 5:1, предпочтительно от примерно 2,5:1 до примерно 4:1 и наиболее предпочтительно 3:1. В предпочтительном варианте осуществления гидролиза, проводимого в условиях щелочной среды, спирт, образовавшийся во время гидролиза, т.е. спирт, соответствующий алкильным группам в триалкилфосфите, удаляют из реакционной смеси во время гидролиза путем, например, отгонки. Например, когда в способе используют триизопропилфосфит, то удаляют во время гидролиза изопропиловый спирт. Проведение гидролиза при этих условиях приводит к неожиданно более высокому выходу N-гидроксиалкиламинометилфосфоновой кислоты по сравнению с проведением гидролиза без удаления образовавшегося спирта. Гидроксиды щелочных металлов для использования в способе по настоящему изобретению включают гидроксид лития, гидроксид натрия, гидроксид калия, гидроксид рубидия и гидроксид цезия. Вследствие их легкой доступности и легкости обращения с ними предпочтительными являются гидроксид натрия и гидроксид калия и особо предпочтителен гидроксид натрия. Гидроксиды щелочноземельных металлов для использования в способе по настоящему изобретению включают гидроксид бериллия, гидроксид магния, гидроксид кальция, гидроксид стронция и гидроксид бария. Из-за его легкой доступности предпочтительным в настоящее время является гидроксид кальция. Температура для реакции щелочного гидролиза находится обычно в пределах от примерно 80oC до примерно 250oC, предпочтительно от примерно 80oC до примерно 180oC и наиболее предпочтительно от примерно 120oC до примерно 150oC. Время реакции находится обычно в пределах от времени, необходимого для осуществления гидролиза, до примерно 48 часов, предпочтительно от примерно 2 часов до примерно 24 часов и наиболее предпочтительно от примерно 2 часов до примерно 16 часов. После окончания реакции гидролиза N-гидроксиалкиламинометилфосфоновую кислоту или ее соли можно извлечь любым традиционным способом, известным специалистам в данной области техники, таким как способ, использованный в примере 1. Когда реакцию гидролиза проводят в условиях нейтральной среды, то предпочтительный способ заключается в осуществлении контактирования реакционной смеси с водой. Концентрация гидролизуемых реагентов, т.е. промежуточных сложных эфиров N-гидроксиалкиламинометилфосфоновой кислоты, в воде находится в пределах обычно от примерно 40 мас.% до примерно 50 мас.%, предпочтительно от примерно 30мас.% до примерно 15 мас.%. Температура для реакции гидролиза в нейтральной среде находится обычно в пределах от примерно 120oC до примерно 320oC, предпочтительно от примерно 180oC до примерно 260oC. Время реакции находится обычно в пределах от времени, необходимого для осуществления гидролиза, до примерно 24 часов, предпочтительно от примерно 5 часов до примерно 15 часов. По окончании реакции гидролиза N-гидроксиалкиламинометилфосфоновую кислоту или ее соли можно извлечь любым традиционным способом, известным специалистам в данной области техники. Окисление N-гидроксиалкиламинометилфосфоновой кислоты или ее солей проводят в присутствии катализатора. Специалистам в данной области техники хорошо известны подходящие катализаторы окисления, такие как медь Ренея и катализаторы, описанные в патентах США N 4810426 и N 5292936, которые включены в данное описание в качестве ссылки. В патенте США N 4810426 окисление N-(2-гидроксиэтил) амино- метилфосфоновой кислоты проводят гидроксидом щелочного металла в присутствии воды и подходящего катализатора, выбранного из кадмия, цинка, меди, палладия и платины и соответствующих их оксидов, гидроксидов и солей. Реакцию окисления проводят при температуре 200-300oC. В патенте США N 5292936 окисление N-(2-гидроксиэтил) аминометилфосфоновой кислоты проводят гидроксидом щелочного металла в присутствии эффективного количества катализатора из меди Ренея, содержащего от примерно 50 частей на миллион до примерно 10000 частей на миллион элемента, выбранного из группы, состоящей из хрома, титана, ниобия, тантала, циркония, ванадия, молибдена, марганца, вольфрама, кобальта, никеля и их смесей. Из указанных элементов предпочтительными являются хром, молибден и смеси хрома и молибдена. Реакцию окисления проводят при температуре примерно 120-220oC. Другим особо приемлемым типом катализаторов окисления являются смешанные металлические катализаторы на носителе, такие как описанные в заявке серийный N 08/269722 на патент США и в ее последующем частичном продолжении – заявке N 08/407723, которые включены в данное описание в качестве ссылки. Смешанные металлические катализаторы на носителе по настоящему изобретению получают путем осаждения от примерно 1 мас.% до примерно 50 мас.%, от общей массы катализатора, элемента, выбранного из группы, состоящей из меди, кобальта, никеля, кадмия и их смесей, на стойком к гидроксидам носителе, содержащем от примерно 0,05 мас.% до примерно 10 мас.% связывающего (закрепляющего) металла, выбранного из группы, состоящей из платины, палладия, рутения, серебра, золота и их смесей. Подходящие стойкие к гидроксидам носители включают оксид титана, оксид циркония и уголь. Уголь предпочтителен. Еще более предпочтительным является активированный уголь. Связывающим металлом в виде частиц, нанесенным на стойкий к гидроксидам носитель, может быть благородный металл. Благородный металл означает золото, серебро, платину, палладий, рутений или их смеси. Предпочтительны платина или палладий. Наиболее предпочтительна платина. Количество связывающего металла, осаждаемого на стойком к гидроксидам носителе, может колебаться в пределах от примерно 0,05 мас.% до примерно 10 мас.% от общей массы катализатора. При осаждении на указанный носитель менее, чем примерно 0,05 мас.% связывающего металла, это количество будет недостаточным для создания вместе с медью, кобальтом, никелем и/или кадмием удовлетворительного катализатора. С другой стороны, когда на носитель осаждают более чем примерно 10 мас.%, от общей массы катализатора, связывающего металла, то возникает тенденция к увеличению размеров кристаллитов нанесенного металла. Увеличенные размеры кристаллов нанесенного элементарного металла иногда приводят к сниженным эксплуатационным качествам катализатора. Является предпочтительным использовать от примерно 0,1 мас.% до примерно 5 мас.%, от общей массы катализатора, связывающего металла. Предпочтительным в настоящее время смешанным металлическим катализатором на носителе является нанесенная на уголь смесь меди и платины или палладия. Подходящие стойкие к гидроксидам носители, содержащие подходящий связывающий материал, могут быть получены в промышленном масштабе. Количество осажденного металла (т.е. меди, кобальта, никеля и/или кадмия) должно быть достаточным, чтобы покрыть по крайней мере некоторую часть внедренных частиц связывающего металла. Кроме покрытых частиц могут присутствовать по крайней мере некоторые частицы наносимого металла, внедренные в носитель, но не сцепленные со связывающим металлом. Для измерения относительной концентрации поверхностных атомов в катализаторе может быть использован метод рентгено-фотоэлектронной спектроскопии (XPS). При использовании этого метода было обнаружено, что в катализаторах по настоящему изобретению поверхностное атомное отношение осажденного металла к связывающему металлу предпочтительно превышает 2,0, а более предпочтительно поверхностное атомное отношение, определенное XPS, превышает соответствующее атомное отношение в объеме. Для осаждения связывающего металла на стойкий к щелочи субстрат и для осаждения меди, кобальта, никеля и/или кадмия на связывающий металл могут быть использованы самые разные методы. Но является предпочтительным использовать осаждение металла без использования электрической энергии. К безэлектрическому осаждению металла относится химическое осаждение вязкого металлического покрытия на подходящий субстрат в отсутствие внешнего источника электрической энергии. Независимо от метода осаждения связывающего (закрепляющего) металла на субстрат размер частиц металла является критическим параметром, поскольку он определяет размер кристаллов осаждаемых меди, кобальта, никеля и кадмия. Размер кристаллитов меди, кобальта, никеля и кадмия. Размер кристаллитов меди, кобальта, никеля и кадмия должен быть менее чем примерно 500 ангстрем, а в случае меди является предпочтительным, чтобы он был менее чем примерно 300 ангстрем. Хотя заявители не хотели бы быть связанными никакой конкретной теорией, предполагается, что равномерное распределение связывающего металла наиболее благоприятно для достижения высоких выходов реакции, но не обязательно ускоряет реакцию. Кроме того, предполагается, что важно иметь маленькие, хорошо измельченные высокодисперсные частицы связывающего металла. На практике субстрат, содержащий связывающий металл, вводят в воду и суспендируют в ней. Затем готовят раствор для нанесения покрытия, например раствор для нанесения меди, путем смешения этого раствора в соответствующих пропорциях, а суспензию субстрата и воды осторожно перемешивают при температуре от примерно 0oC до 30oC или выше в открытом сосуде. К суспензии добавляют небольшими порциями раствор для нанесения покрытия, содержащий комплексообразующий агент и восстановитель, контролируя pH при каждом добавлении. Через соответствующий период времени медленно добавляют следующую порцию суспензии. Количество добавляемого раствора для нанесения покрытия зависит от требуемого массового процентного содержания каталитического металла на связывающем металле в катализаторе. По окончании осаждения каталитического металла получают по существу бесцветный фильтрат. Далее, готовый катализатор отфильтровывают и промывают дистиллированной водой. Фильтрование следует производить в нейтральной атмосфере, такой как атмосфера азота, чтобы избежать воздействия воздуха на катализатор. Промывка катализатора обеспечивает удаление непрореагировавших компонентов, таких как миллионные доли примесей и непрореагировавший восстановитель, такой как формальдегид. Было установлено, что на катализаторе остается от примерно 0,5 до 1,5 мас. % щелочного металла, который обычно не приносит вреда. Катализатор нужно хранить так, чтобы избежать воздействия на него кислорода, предпочтительно его держат под водой. Предпочтительными в настоящее время катализаторами окисления для применения в способе по настоящему изобретению являются катализаторы, описанные в патенте США N 5292936, и смешанные металлические катализаторы на носителе, причем особо предпочтительными являются смешанные металлические катализаторы на носителе. Реакции по настоящему изобретению могут быть проведены при атмосферном давлении или в закрытом реакторе под давлением. Когда реакции проводят в реакторе под давлением, то обычно давление представляет собой давление паров реакционной смеси в условиях осуществления реакций. ПРИМЕРЫ Общие процедуры; Триалкил- и диалкилфосфиты поставлялись ф. “Aldrich Chemical”, если имелись. Фосфиты, которых не было в продаже, были синтезированы из PCl3 и соответствующего спирта методом Ford-Moore et al., Org. Syn. , Coll. Vol. IV p. 955 или методом Cook et al., Chem. Soc., 635 (1949). Формальдегид поставлялся ф. “Aldrich Chemical” в виде 37%-ного раствора в воде. Параформальдегид (91-93%) получали от ф. “Hoechst Celanese Corporation”. Выход N-гидроксиалкиламинометилфосфоновых кислот или их солей определяли путем 31Р-ЯМР-анализа в D2О с использованием метилендифосфоновой кислоты в качестве внутреннего стандарта. Обычно пробы для ЯМР готовили в D2O, содержавшем концентрированную HCl, с получением образца с pH 0,7. ЯМР-спектр получали на спектрометрах Varian VXR-300 или Varian VXR-400. Качественный и количественные масс-спектры получали на спектрометрах Finnigan MAT90, Finnigan 4500 и VG40-250T. Пример 1 Этот пример иллюстрирует синтез N-(2-гидроксиэтил)амино метилфосфоната натрия с использованием триэтилфосфита. В круглодонную колбу, снабженную магнитной мешалкой и обратным холодильником (дефлегматором), загружали триэтилфосфит (16,6 г, 0,1 ммоль), параформальдегид (3,0 г, 0,1 ммоль) и этаноламин (48,8 г, 0,8 ммоль). Реакционную смесь нагревали до 100oC в течение 16 часов. Путем добавления 2 эквивалентов NaOH (16 г 50%-ного раствора) и нагревания до 120oC в течение 16 часов обеспечивали щелочной гидролиз промежуточных сложных эфиров. Давали реакционной смеси остыть и концентрировали ее под вакуумом. Добавляли метанол (100 мл), после чего опять удаляли под вакуумом растворитель. Это повторяли несколько раз до тех пор, пока в колбе не образовалось белое твердое вещество. Твердое вещество, представлявшее собой смесь неорганических солей и N-(2- гидроксиэтил)аминометилфосфоната натрия, отфильтровывали и сушили под вакуумом, получив в результате 56%-ный выход N- гидроксиэтиламинометилфосфоната натрия. 31P-ЯМР-спектр, полученный в D2O, содержавшем концентрированную HCl (проба имела pH 0,7) : = 10,8 ppm (м.д.), FAB-МС-спектр, полученный в матрице глутатион/ HCl : М+H = 156.
Можно также гидролизовать промежуточные сложные эфиры в условиях кислой среды. При использовании этого метода сначала удаляют под вакуумом избыточный этаноламин с получением желтого масла. Добавляли концентрированную HCl (50 мл) и реакционную смесь нагревали с обратным холодильником в течение 16 часов. Давали раствору остыть и концентрировали его под вакуумом. Добавляли гидроксид натрия (2 эквив. в виде 10%-ного раствора) и удаляли под вакуумом воду с получением масла янтарного цвета. Добавляли метанол (100 мл) и сразу же удаляли его путем выпаривания. Это повторяли три раза, в результате чего выпало в осадок белое твердое вещество. Твердое вещество, которое представляло собой смесь неорганических солей и N-(2-гидроксиэтил)аминометилфосфоната натрия, собирали путем фильтрования, промывали эфиром и сушили под вакуумом, получив в результате 36% N-(2-гидроксиэтил)аминометилфосфоната натрия.
В таблице 1 объединены результаты реакции с различными мольными соотношениями триэтилфосфита, формальдегида и этаноламина при различных условиях реакции. Все реакции, представленные в таблице 1, выполняли в соответствии с описанной выше методикой. Выходы N-(2-гидроксиэтил)аминометилфосфоновой кислоты определяли путем 31P-ЯМР.
Пример 2Этот пример иллюстрирует применение триизопропилфосфита в синтезе N-(2-гидроксиэтил)аминометилфосфоновой кислоты. В круглодонную колбу, снабженную магнитной мешалкой и обратным холодильником (дефлегматором), загружали триизопропилфосфит (20,8 г, 0,1 ммоль), параформальдегид (3,6 г, 0,12 ммоль) и этаноламин (48,8 г, 0,8 ммоль). Реакционную смесь нагревали до 100oC в течение 16 часов. Путем добавления 2 эквивалентов NaOH (16 г 50%-ного раствора) и нагревания до 120oC в течение 16 часов обеспечивали щелочной гидролиз промежуточных сложных эфиров. Давали реакционной смеси остыть и концентрировали ее под вакуумом. Добавляли к реакционной смеси воду (30 мл) и брали пробу для 31P-ЯМР-анализа. Выход (85%) N-(2-гидроксиэтил)аминометилфосфоновой кислоты был основан на молях загруженного фосфита. В таблице 2 суммированы результаты серии реакций, проведенных по экспериментальной методике, аналогичной описанной выше, но с разными триалкилфосфитами и разными соотношениями реагентов. Пример 3 Этот сравнительный пример иллюстрирует применение различных диалкилфосфитов в синтезе N-(2-гидроксиэтил)аминометилфосфоновой кислоты. В круглодонную колбу, снабженную магнитной мешалкой и обратным холодильником (дефлегматором), загружали диизопропилфосфит (17 г, 0,1 ммоль), параформальдегид (3,6 г, 0,12 ммоль) и этаноламин (48,8 г, 0,8 ммоль). Реакционную смесь нагревали до 100oC в течение 16 часов. Путем добавления 2 эквивалентов NaOH (16 г 50%-ного раствора) и нагревания до 120oC в течение 16 часов обеспечивали щелочной гидролиз промежуточных сложных эфиров. Давали реакционной смеси остыть и концентрировали ее под вакуумом. Добавляли к реакционной смеси воду (30 мл) и брали пробу для 31P-ЯМР-анализа. Выход (13%) N-(2-гидроксиэтил)аминометилфосфоновой кислоты был основан на молях загруженного фосфита. В таблице 3 объединены результаты серии реакций, проведенных по экспериментальной методике, аналогичной описанной выше, но с разными диалкилфосфитами и разными соотношениями реагентов. Сравнение результатов в таблицах 1 и 2 с результатами в таблице 3 ясно показывает неожиданное повышение выходов, достигаемых при использовании триалкилфосфитов в способе по настоящему изобретению. Пример 4 Этот пример иллюстрирует получение N-(2-гидроксиэтил)- аминометилфосфоновой кислоты путем гидролиза промежуточных сложных эфиров фосфоновой кислоты с NaOH с использованием спирта в качестве растворителя. Раствор параформальдегида (4 г, 0,13 моль), этаноламина (48,8 г, 0,8 ммоль) и триизопропилфосфита (20,8 г, 0,1 ммоль) перемешивали при 100oC в течение 16 часов. Давали реакционной смеси остыть до комнатной температуры и добавляли к ней 8 мл 50%-ного (масса/масса) гидроксида натрия и 100 мл изопропанола. Смесь нагревали с обратным холодильником в течение 48 часов. Раствор концентрировали под вакуумом и добавляли 25 мл дистиллированной воды для гомогенизации смеси. Реакционную смесь анализировали путем 31P-ЯМР в D2O при pH 0,7. Получили N-(2- гидроксиэтил)аминометилфосфоновую кислоту с выходом 80%. Пример 5 Этот сравнительный пример, который иллюстрирует методику, предложенную Барсуковым и др., “Синтез новых комплексонов и их производных”. Журнал общей химии, т. 53, N 6, стр. 12243-49 (1983) для получения N-(2-гидроксиэтил)аминометилфосфоновой кислоты с использованием диметилфосфита. К перемешиваемому раствору параформальдегида (9,8 г, 0,32 моль) и этаноламина (20 г, 0,32 моль) при температуре ниже 20oC под азотом добавляли по каплям в течение 1 часа диметилфосфит (36 г, 0,3227 моль). Раствор нагревали до 80oC в течение 1 часа и затем охлаждали до комнатной температуры. Экстрагировали раствор 350 мл бензола, как описано в статье. Затем бензольный раствор пропускали через колонку, содержавшую 1 кг оксида алюминия и колонку элюировали 1 литром бензола. Бензольный раствор концентрировали под вакуумом досуха и добавляли 250 мл концентрированной HCl. Раствор нагревали до 110oC в течение 6 часов. Анализ реакционной смеси путем 31P-ЯМР показал 0% выхода N-(2-гидроксиэтил)аминометилфосфоновой кислоты. Это пример демонстрирует то, что в противоположность описанному в ссылке Барсукова и др. способ, предложенный в ссылке Барсукова и др., не дает N-(2-гидроксиэтил) аминометилфосфоновой кислоты. Пример 6 Этот пример иллюстрирует применение спиртового растворителя для получения N-(2-гидроксиэтил) аминометилфосфоновой кислоты с использованием триалкилфосфита. Раствор параформальдегида (4,0 г, 0,122 моль), этаноламина (12 г, 0,2 моль), триизопропилфосфита (20,9 г, 0,1 моль) и 50 мл изопропанола перемешивали при 90oC в течение 16 часов. Удаляли под вакуумом изопропанол и добавляли одной порцией 50 мл концентрированной HCl. Раствор нагревали с обратным холодильником в течение 6 часов, после чего анализировали путем 31P-ЯМР. Была получена N-(2-гидроксиэтил)аминометилфосфоновая кислота с выходом 78%. Пример 7 Этот пример иллюстрирует применение медного катализатора Ренея, содержащего хром по патенту США N 5292936, для превращения N-(2-гидроксиэтил)аминометилфосфоновой кислоты в N- фосфонометилглицин. В снабженный мешалкой никелевый автоклав емкостью 160 мл загружали N-(2-гидроксиэтил)аминометилфосфоновую кислоту (16,84 г, 0,11 моль), воду (11,3 мл) и 45 мас.% гидроксида калия (48,7 г, 0,39 моль), а также медный катализатор Ренея, содержавший 943 части на миллион хрома (3,53 г). Автоклав герметически закрывали и нагревали до 160oC под давлением 9,5 кг/см2 с перемешиванием жидкой фазы в автоклаве. Через 1,85 часа выделение водорода прекращалось. Выход N-фосфонометилглицина в виде его калиевой соли составлял 98,5%. Пример 8 Этот пример иллюстрирует приготовление смешанного металлического катализатора на носителе, предложенного в настоящем изобретении. В однолитровый стеклянный химический стакан, снабженный покрытой тефлоном магнитный перемешивающий стержень длиною 5 сантиметров на магнитной перемешивающей пластине, вводили дистиллированную воду (169 мл) и влажную 5%-ную платину на активированном угле в виде порошка, поставленную Degussa Corporation of Ridgefield Park, NJ, которая соответствовала 13,37 г сухой массы. В отдельном однолитровом химическом стакане готовили медный раствор для покрытия путем добавления следующих компонентов, большинство из которых поставляется MacDermid, Inc. of Waterbury, СT, с перемешиванием в следующем порядке: (1) 687 мл деионизированной воды; (2) 90 мл MACuPlex Ultra Dep 1000B*; (3) 54 мл MACuPlex Ultra Dep 1000А*; (4) 18 мл MACuPlex Ultra Dep 1000D*; (5) 5 мл 37%-ного (масса-масса) формальдегида, (*собственнические (патентованные) продукты MacDermid) ОБЩИЙ ОБЪЕМ 854 мл Согласно описанию продукта с кодовым N 17970 ф. “МасDermid” полученный в результате водный раствор содержит следующие активные компоненты, г/л: Сульфат меди – 4,0 Формальдегид – 6,0 Гидроксид натрия – 9,0 Избыточный хелант ЭДТА – 0,06-молярный. Полученный раствор для покрытия фильтровали и затем добавляли к суспензии 5%-ной платины на активированном угле путем добавления порций по 122 миллилитра каждые 3 минуты при 40oC. Чтобы проверить степень осуществления реакции, контролировали pH. Когда выделение газов было слишком бурным, увеличивали время между добавлениями. После окончания добавления раствора для покрытия катализатор извлекали путем фильтрования с использованием 4- литровой вакуумной колбы, воронки со стеклянным фильтром грубой очистки емкостью 350 мл и стеклянного колпака с азотом поверх воронки. После фильтрования твердый материал промывали три-четыре раза 250 миллилитровыми порциями деионизированной воды. Выход по сухой массе при этом составлял 18,4 грамма. Микроанализ катализатора показал элементный состав: 13,4 мас.% меди и 3,4 мас.% платины (от общей массы катализатора). Средний размер кристаллов меди, определенный по уширению линий дифракции рентгеновских лучей (XRD), составлял 157 ангстрем. Пример 9 Этот пример демонстрирует другое приготовление смешанного металлического катализатора на носителе, предложенного в настоящем изобретении. В двухлитровый стеклянный химический стакан, снабженный покрытой тефлоном магнитным перемешивающим стержнем длиною 2,5 сантиметра на магнитной перемешивающей пластине, вводили дистиллированную воду (190 мл) и затем 5 мас.% платины на активированном угле, поставляемую Degussa Corporation, которая соответствовала 16,42 г сухой массы. В 4-литровом химическом стакане готовили водный раствор меди для покрытия путем добавления следующих компонентов с перемешиванием: (1) 500 мл деионизированной воды; (2) NaKC4H4O6 4H2O (тартрат) [29,99 г, 0,106 моль]; перемешивание до растворения (3) В отдельном химическом стакане растворяли 11,79 г CuSO4 5H2O (3 г Cu), (0,047 моль) в 400 мл деионизированной воды; (4) к полученному раствору тартрата (2) добавляли раствор (3) меди; (5) Добавляли 13,60 г 50%-ной (мас. ) NaOH [0,17 моль]; (6) 11,35 мл 37%-ного (мас.) формальдегида [0,15 моль]ОБЩИЙ ОБЪЕМ 1125 мл Полученный раствор для покрытия добавляли к суспензии 5 мас.% платины на угле в общем примерно двенадцатью порциями по 79 миллилитров по одной каждые 2,5 минуты. Чтобы проверить степень осуществления реакции, контролировали pH, а когда выделение газов было слишком бурным, задерживали на время добавление порций. После добавления раствора для покрытия суспензии, катализатор извлекали путем фильтрования, как в примере 8. Выход по сухой массе при этом составлял 20,03 грамма. Анализ состава показал элементный состав: 14,5% меди и 3,8% платины (от общей массы катализатора). Средний размер кристаллов меди составлял 119 ангстрем. Пример 10 Этот пример иллюстрирует применение различных триалкилфосфитов в синтезе N-(2-гидроксиэтил)аминометилфосфоновой кислоты с использованием низкого молярного отношения этаноламина к фосфиту и удалением спирта во время гидролиза путем отгонки и неожиданно высокие выход и избирательность при использовании триалкилфосфитов с алкильными группами, имеющими 3-4 углеродных атомов, в частности триизопропилфосфита. Раствор 37%-ного водного формальдегида (8,2 г, 0,1 моль) и этаноламина (9,0 г, 0,15 моль) перемешивали при комнатной температуре в течение 1 часа с последующим добавлением триизопропилфосфита (22 г, 0,1 моль). Реакционный раствор нагревали при 80oC в течение 3 часов. К реакционному раствору добавляли воду (50 мл) и 16 мл 50%-ной NaOH и смесь перегоняли в аппарате Дина-Старка в течение 3 часов при 150oC, чтобы гидролизовать промежуточные сложные эфиры с одновременным удалением воды, изопропанола и этаноламина. Образовавшийся белый осадок растворяли добавочными 50 мл воды. Анализ реакционной смеси путем 31P-ЯМР показал 98%-ный выход N-(2-гидроксиэтил)аминометилфосфоновой кислоты и 2%-ный выход бис-N-(2-гидроксиэтил)-аминометилфосфоновой кислоты. В таблице 4 объединены результаты реакций, проведенных в соответствии с описанной выше экспериментальной методикой, но с различными триалкилфосфитами. Пример 11 Этот пример иллюстрирует получение N-(2-гидроксиэтил)- аминометилфосфоновой кислоты при использовании в реакции 1,2 эквивалента этаноламина. Раствор 37%-ного водного формальдегида (8,2% г, 0,1 моль) и этаноламина (7,2 г, 0,12 моль) перемешивали при комнатной температуре в течение 2 часов с последующим добавлением триизопропилфосфита (22 г, 0,1 моль). Реакционный раствор нагревали при 80oC в течение 3 часов. К реакционному раствору добавляли воду (50 мл) и 17 мл 50%-ной NaOH и смесь перегоняли в аппарате Дина-Старка в течение 3 часов при 150oC, чтобы гидролизовать промежуточные сложные эфиры с одновременным удалением воды, изопропанола и этаноламина (в общем 70 мл). Образовавшийся белый осадок растворяли добавочными 50 мл воды. Анализ реакционной смеси путем 31-ЯМР показал 90%-ный выход N-(2-гидроксиэтил)аминометилфосфоновой кислоты и 4%-ный выход бис-N-(2-гидроксиэтил)аминометилфосфоновой кислоты. Пример 12 Этот сравнительный пример иллюстрирует получение N-(2- гидроксиэтил)аминометилфосфоновой кислоты с использованием диизопропилфосфита. Раствор 37%-ного водного формальдегида (8,2 г, 0,1 моль) и этаноламина (9 г, 0,15 моль) перемешивали при комнатной температуре в течение 1-2 часов с последующим добавлением диизопропилфосфита (17 г, 0,1 моль). Реакционный раствор нагревали при 80oC в течение 3 часов. К реакционному раствору добавляли воду (50 мл) и 16 мл 50%-ной NaOH и смесь перегоняли в аппарате Дина-Старка в течение 3 часов при 150oC, чтобы гидролизовать промежуточные сложные эфиры с одновременным удалением воды, изопропанола и этаноламина (общий удаленный объем составлял 80-100 мл). Образовавшийся белый осадок растворяли добавочными 50 мл воды. Анализ реакционной смеси путем 31P-ЯМР показал 49%-ный выход N-(2-гидроксиэтил)аминометилфосфоновой кислоты и 6%-ный выход бис-N-(2-гидроксиэтил)аминометилфосфоновой кислоты. Сравнение результатов в этом примере с результатами при использовании триизопропилфосфита в примере 10 ясно показало неожиданное повышение выхода, достигаемого при использовании триалкилфосфита в способе по настоящему изобретению. Пример 13 Этот пример иллюстрирует водный гидролиз промежуточных сложных эфиров N-гидроксиэтиламинометилфосфоновой кислоты. Реакцию проводили в условиях, идентичных описанным в примере 11 с использованием триизопропилфосфита, за исключением того, что после трех часов осуществления реакции реакционную смесь концентрировали под вакуумом с получением желтого масла. Часть масла (4,2 г) переносили в стальной реактор высокого давления и добавляли 20 мл дистиллированной воды. Реактор герметично закрывали и нагревали до 220oC в течение 10 часов. Анализ реакционной смеси путем 31P-ЯМР показал частичный гидролиз (50%) до N- гидроксиэтиламинометилфосфоновой кислоты. Формула изобретения
![]() или ее солей, включающий: (а) контактирование алканоламина формулы ![]() где n = 2 – 6, формальдегида и триалкилфосфита при 50 – 150oC для получения реакционной смеси, где молярное соотношение алканоламина и фосфита составляет от примерно 1 : 1 до примерно 15 : 1, и (b) гидролиз указанной реакционной смеси в условиях нейтральной, кислой или щелочной среды. 2. Способ по п.1, в котором реакцию (а) проводят в присутствии спирта. 3. Способ по п.1, в котором молярное соотношение формальдегида и фосфита составляет от 1 : 1 до примерно 5 : 1. 4. Способ по п.1, в котором триалкилфосфитом является триизопропилфосфит. 5. Способ по п.1, в котором молярное соотношение алканоламина и фосфита составляет от примерно 1,2 : 1 до примерно 8 : 1 и число углеродных атомов в алкильной группе триалкилфосфита составляет 2 – 6. 6. Способ по п.5, в котором триалкилфосфитом является триизопропилфосфит. 7. Способ по п.1, в котором молярное отношение алканоламина и фосфита составляет от примерно 1 : 1 до примерно 10 : 1 и число углеродных атомов в алкильной группе триалкилфосфита равно 1 или превышает 6. 8. Способ по п.1, в котором гидролиз проводят в условиях щелочной среды. 9. Способ по п.8, в котором гидролиз проводят в присутствии гидроксида щелочного металла или гидроксида щелочноземельного металла. 10. Способ по п.8, в котором спирт, образовавшийся во время гидролиза, удаляют во время гидролиза. 11. Способ по п.1, в котором n = 2. 12. Способ по п. 1, в котором температура реакции (а) составляет 70 – 110oC. 13. Способ получения N-фосфонометиламинокарбоновой кислоты формулы ![]() где n = 2 – 6, или ее солей, включающий каталитическое окисление N-гидроксиалкиламинометилфосфоновой кислоты или ее солей, полученных согласно способу по п.1. 14. Способ по п.13, в котором окисление проводят путем контактирования N-гидроксиалкиламинометилфосфоновой кислоты или ее солей с гидроксидом щелочного металла в присутствии эффективного количества медного катализатора Ренея, содержащего от примерно 50 до примерно 10000 млн-1 элемента, выбранного из группы, состоящей из хрома, титана, ниобия, тантала, циркония, ванадия, молибдена, марганца, вольфрама, кобальта, никеля и их смесей. 15. Способ по п.13, в котором окисление проводят в присутствии эффективного количества смешанного металлического катализатора, нанесенного на уголь. 16. Способ по п.15, в котором катализатор представляет собой нанесенную на уголь смесь Cu и Pt или Pd. 17. Способ получения N-фосфонометилглицина или его солей, включающий: (а) контактирование этаноламина, формальдегида и триалкилфосфита при 50 – 150oC для получения реакционной смеси, где молярное соотношение этаноламина и фосфита составляет от примерно 1 : 1 до примерно 15 : 1, (b) гидролиз реакционной смеси в условиях нейтральной, кислотной или щелочной среды с получение N-гидроксиэтиламинометилфосфоновой кислоты или ее солей и (с) каталитическое окисление N-гидроксиэтиламино-метилфосфоновой кислоты или ее солей. 18. Способ по п.17, в котором триалкилфосфитом является триизопропилфосфит. 19. Способ по п.17, в котором окисление проводят путем контактирования N-гидроксиэтиламинометилфосфоновой кислоты или ее солей с гидроксидом щелочного металла в присутствии эффективного количества медного катализатора Ренея, содержащего от примерно 50 до примерно 10000 млн-1 элемента, выбранного из группы, состоящей из хрома, титана, ниобия, тантала, циркония, ванадия, молибдена, марганца, вольфрама, кобальта, никеля и их смесей. 20. Способ по п.17, в котором окисление проводят в присутствии эффективного количества смешанного металлического катализатора, нанесенного на уголь. 21. Способ по п.17, в котором гидролиз проводят в условиях щелочных среды. 22. Способ по п.21, в котором гидролиз проводят в присутствии гидроксида щелочного металла или гидроксида щелочно-земельного металла. 23. Способ по п.21, в котором спирт, образовавшийся во время гидролиза, удаляют во время гидролиза. 24. Способ по п.17, в котором реакцию (а) проводят в присутствии спирта. 25. Способ по п.17, в котором молярное соотношение этаноламина и фосфита составляет от примерно 1,2 : 1 до примерно 8 : 1 и число углеродных атомов в алкильной группе триалкилфосфита составляет 2 – 6. 26. Способ по п.25, в котором триалкилфосфитом является триизопропилфосфит. 27. Способ по п.17, в котором молярное соотношение алканоламина и фосфита составляет от примерно 1 : 1 до примерно 10 : 1 и число углеродных атомов в алкильной группе триалкилфосфита равно 1 или превышает 6. 28. Способ по п.17, в котором молярное соотношение формальдегида и фосфита составляет от 1 : 1 до примерно 5 : 1. 29. Способ получения N-гидроксиалкиламинометилфосфоновой кислоты формулы ![]() или ее солей, включающий: (а) контактирование алканоламина формулы ![]() где n = 2 – 6, формальдегида и триалкилфосфита в присутствии спирта формулы R(OH)m, где R – алкильная группа, имеющая от 1 до примерно 18 углеродных атомов; m = 1 – 3, при 50 – 150oC для получения реакционной смеси, где молярное соотношение алканоламина и фосфита составляет от примерно 1 : 1 до примерно 5 : 1, и (b) гидролиз реакционной смеси в условиях нейтральной, кислой или щелочной среды. 30. Способ по п.29, в котором триалкилфосфитом является триизопропилфосфит. 31. Способ по п.29, в котором n = 2. 32. Способ по п.29, в котором молярное соотношение алканоламина и фосфита составляет от 1 : 1 до примерно 2 : 1. 33. Способ получения N-фосфонометиламинокарбоновой кислоты формулы ![]() где n = 2 – 6, или ее солей, включающий каталитическое окисление N-гидроксиалкиламинометилфосфоновой кислоты или ее солей, полученных согласно способу по п.29. 34. Способ по п.33, в котором окисление проводят путем контактирования N-гидроксиалкиламинометилфосфоновой кислоты или ее солей с гидроксидом щелочного металла в присутствии эффективного количества медного катализатора Ренея, содержащего от примерно 50 до примерно 10000 млн-1 элемента, выбранного из группы, состоящей из хрома, титана, ниобия, тантала, циркония, ванадия, молибдена, марганца, вольфрама, кобальта, никеля и их смесей. 35. Способ по п.33, в котором окисление проводят в присутствии эффективного количества смешанного металлического катализатора, нанесенного на уголь. 36. Способ по п. 29, в котором гидролиз проводят в условиях щелочной среды. 37. Способ по п.36, в котором спирт, образовавшийся во время гидролиза, удаляют во время гидролиза. РИСУНКИ
MM4A Досрочное прекращение действия патента Российской Федерации на изобретение из-за неуплаты в установленный срок пошлины за поддержание патента в силе
Дата прекращения действия патента: 27.05.2003
Извещение опубликовано: 20.11.2004 БИ: 32/2004
|
||||||||||||||||||||||||||

-Aminomethylphosphonic Acids. Mannich-Type Reaction with Orthophosphorous Acids” J. Org, Chem., Vol, 31, pp. 1603-1607 (1966). Как и у Fields, продуктом реакции является преимущественно бис-фосфонометилированный продукт.
Barsukov et al. , “Synthesis of New Complexons and Nheir Derivatives”, Zhurnal Obshchei Khimii, Vol.53, N 6, pp.1243-49 (1983) и Barsukov et al., “Synthesis of New Complexonsof Aliphatic Series and Investigation of Mechanism of Acidic Dissociation”, Zhurnal Obshchei Khimii, Vol.55 N 7, pp. 1594-1600 (1985) раскрыли реакцию этаноламина с параформальдегидом и диметилгидрофосфитом с молярным отношением амин/фосфит 1,0 и молярным отношением формальдегид/фосфит 1,0. Хотя в этих статьях сказано, что продукт является моно-фосфонометилированным соединением, но воспроизведение реакции, раскрытой в экспериментальной части, привело к получению не моно- фосфонометилированного продукта, т.е. 31P-ЯМР-спектр материала, полученного при воспроизведении примера по Барсукову, показал 0% выхода N-(2-гидроксиэтил)аминометилфосфоновой кислоты (см. пример 5 в данном описании). Таким образом, способ, описанный в статьях Барсукова и др. не способен обеспечить получение N-гидроксиалкиламинометилфосфоновой кислоты в промышленном масштабе.
Способ получения N-гидроксиалкиламинометилфосфоновой кислоты или ее солей, который экономичен, коммерчески жизнеспособен и может дать, по существу, только моно-фосфонометилированный продукт, является весьма желательным.
Задачей настоящего изобретения является создание эффективного и экономичного способа получения N-гидроксиалкиламинометилфосфоновой кислоты или ее солей, который был бы коммерчески жизнеспособен. Другой задачей настоящего изобретения является создание способа получения N-гидроксиалкиламинометилфосфоновой кислоты или ее солей для применения в производстве N- фосфонометиламинокарбоновой кислоты или ее солей. Еще одной задачей настоящего изобретения является создание эффективного и экономичного способа получения N-фосфонометиламинокарбоновой кислоты или ее солей для применения в качестве сельскохозяйственных химических продуктов. И еще одной задачей настоящего изобретения является создание эффективного и экономичного способа получения N-фосфонометилглицина, который был бы коммерчески жизнеспособным.
В соответствии с настоящим изобретением предлагается способ получения N-гидроксиалкиламинометилфосфоновой кислоты или ее солей, включающий контактирование алканоламина, формальдегида и триалкилфосфита при подходящих условиях реакции для получения реакционной смеси, и гидролизование реакционной смеси в условиях нейтральной, кислой или щелочной среды. В одном из вариантов N- гидроксиалкиламинометилфосфоновую кислоту или ее соли каталитически окисляют с получением N-фосфонометиламинокарбоновой кислоты или ее солей.
Далее в соответствии с настоящим изобретением предлагается способ получения N- гидроксиалкиламинометилфосфоновой кислоты или ее солей, включающий контактирование алканоламина, формальдегида и триалкилфосфита в присутствии спирта при подходящих условиях реакции для получения реакционной смеси, и гидролизование реакционной смеси в условиях нейтральной, кислотной или щелочной среды. В одном из вариантов N-гидроксиалкиламинометилфосфоновую кислоту или ее соли каталитически окисляют с получением N-фосфонометиламинокарбоновой кислоты или ее солей.
И еще в соответствии с настоящим изобретением предлагается способ получения N-фосфонометилглицина или его солей, включающий контактирование этаноламина, формальдегида и триалкилфосфита при подходящих условиях реакции для получения реакционной смеси, гидролизование реакционной смеси в условиях нейтральной, кислой или щелочной среды с получением N- гидроксиэтиламинометилфосфоновой кислоты или ее солей и каталитическое окисление N-гидроксиэтиламинометилфосфоновой кислоты или ее солей.
Настоящее изобретение относится к способу получения N- гидроксиалкиламинометилфосфоновой кислоты, представленной формулой





= 10,8 ppm (м.д.), FAB-МС-спектр, полученный в матрице глутатион/ HCl : М+H = 156.
Можно также гидролизовать промежуточные сложные эфиры в условиях кислой среды. При использовании этого метода сначала удаляют под вакуумом избыточный этаноламин с получением желтого масла. Добавляли концентрированную HCl (50 мл) и реакционную смесь нагревали с обратным холодильником в течение 16 часов. Давали раствору остыть и концентрировали его под вакуумом. Добавляли гидроксид натрия (2 эквив. в виде 10%-ного раствора) и удаляли под вакуумом воду с получением масла янтарного цвета. Добавляли метанол (100 мл) и сразу же удаляли его путем выпаривания. Это повторяли три раза, в результате чего выпало в осадок белое твердое вещество. Твердое вещество, которое представляло собой смесь неорганических солей и N-(2-гидроксиэтил)аминометилфосфоната натрия, собирали путем фильтрования, промывали эфиром и сушили под вакуумом, получив в результате 36% N-(2-гидроксиэтил)аминометилфосфоната натрия.
В таблице 1 объединены результаты реакции с различными мольными соотношениями триэтилфосфита, формальдегида и этаноламина при различных условиях реакции. Все реакции, представленные в таблице 1, выполняли в соответствии с описанной выше методикой. Выходы N-(2-гидроксиэтил)аминометилфосфоновой кислоты определяли путем 31P-ЯМР.
Пример 2
4H2O (тартрат) [29,99 г, 0,106 моль]; перемешивание до растворения (3) В отдельном химическом стакане растворяли 11,79 г CuSO4 




