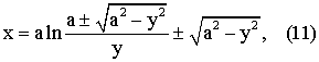
|
(21), (22) Заявка: 2003136433/28, 09.12.2003
(24) Дата начала отсчета срока действия патента:
09.12.2003
(45) Опубликовано: 20.05.2005
(56) Список документов, цитированных в отчете о поиске:
ИЗМЕРЕНИЕ МАССЫ, ПЛОТНОСТИ И ВЯЗКОСТИ, ПОД РЕД.Ю.В.ТАРБЕЕВА, М., ИЗДАТЕЛЬСТВО СТАНДАРТОВ, 1988, Гл.5, МЕТОДЫ И СРЕДСТВА ИЗМЕРЕНИЙ НАТУРЫ ЗЕРНА. С.И. ГАУЗНЕР И ДР., ИЗМЕРЕНИЕ МАССЫ, ОБЪЕМА, ПЛОТНОСТИ, М.: СТАНДАРТЫ, 1982. ГОСТ 30046-93, ОПРЕДЕЛЕНИЕ НАСЫПНОЙ ПЛОТНОСТИ ЗЕРНА, НАЗЫВАЕМОЙ “МАССА ГЕКТОЛИТРА”. SU 14784 A, 19.03.1929. SU 18971 A, 23.11.1929.
Адрес для переписки:
198005, Санкт-Петербург, Московский пр., 19, ООО “Технологический центр ВНИИМ”
|
(72) Автор(ы):
Антонов С.Я. (RU), Грачев Ю.С. (RU), Хажуев К.В. (RU), Шолин Ю.А. (RU)
(73) Патентообладатель(и):
ООО “Технологический центр “Всероссийского научно-исследовательского института метрологии им. Д.И. Менделеева” (RU)
|
(54) СПОСОБ ОПРЕДЕЛЕНИЯ ПЛОТНОСТИ ЗЕРНА (ВАРИАНТЫ) И МЕРНАЯ ЕМКОСТЬ УСТРОЙСТВА ДЛЯ ОСУЩЕСТВЛЕНИЯ СПОСОБА
(57) Реферат:
Изобретение относится к области измерительной техники, связанной с определением плотности сельскохозяйственных зерновых культур, а именно натурной и насыпной плотности зерна. Изобретение направлено на повышение точности, достоверности, сходимости и воспроизводимости результатов измерения натуры и насыпной плотности зерна. Этот результат обеспечивается за счет того, что при определении натурной и насыпной плотности зерна использует измерительную информацию о его массе и объеме. При этом в отградуированную по вместимости мерную емкость в виде псевдосферы засыпают установленную массу зерна, накладывают на емкость вынужденные механические колебания до установления стабильного объема, занимаемого зерном, измеряют величину этого объема и по значениям известной массы и измеренного объема зерна определяют его натурную плотность. Для определения насыпной плотности зерна в отградуированную по вместимости мерную емкость в виде псевдосферы из идентичной ей емкости засыпают уплотненную в ней свободно истекающую установленную массу зерна, измеряют занятый зерном объем и по значениям известной массы и измеренного объема зерна определяют его насыпную плотность. Мерная емкость устройства для определения плотности зерна характерна тем, что ее внутренняя полость выполнена в виде псевдосферы, при этом верхняя горловина псевдосферы отградуирована в откалиброванных значениях единиц вместимости, а нижняя горловина – снабжена заслонкой. 3 н.п. ф-лы, 15 ил., 1 табл.

(56) (продолжение):
CLASS=”b560m”GB 2182779 A, 20.05.1987. US 4487278 A, 11.12.1984. DE 3034215 A1, 29.04.1982. EP 0046130 A1, 17.02.1982.
Группа изобретений относится к области измерительной техники, связанной со способами и устройствами измерения плотности сыпучих сред, более точно к способу определения плотности зерновых сельскохозяйственных культур, имеющей свое устоявшееся характерное название – натура зерна и его насыпная плотность.
Зерно – сырье для мукомольной, крупяной, пивоваренной, крахмально-паточной, спиртовой и комбикормовой промышленностей. Социально-экономический показатель благополучия стандартного человека связан с годовой нормой потребления зерновых (продовольственных и фуражных) порядка 1000 кг в год. Численность землян в настоящее время превышает 6 млрд.
Дефиницией понятия натурной массы или натуры зерна является масса зерна в определенном объеме, по форме совпадающая с размерностью плотности, [ML-3], но не сводимая однозначно к определению плотности, принятой в физике.
Стандартным выражением натуры зерна является масса одного литра зерна, выраженная в граммах на литр (г/л), а при экспортно-импортных операциях натура определяется как насыпная плотность зерна, приведенная к гектолитру и называемая “массой гектолитра”, (кг/гл) [1, 2, 3].
Стандартами устанавливаются методы проведения измерений натуры и насыпной плотности и правила перехода от меньшего размера величины (г/л), к большему (кг/гл), то есть в них оговариваются применяемые средства измерения (инструмент, устройства) и процедура последовательных операций осуществления измерений (методики).
Следует заметить, что мировой масштаб ежегодного производства товарного зерна исчисляется во многих тысячах миллионов тонн, закупочноторговый оборот в денежном выражении составляет сотни миллиардов долларов; погрузоразгрузочные операции, перевозки и складирование зерна осуществляется с привлечением огромного числа различных специализированных транспортных средств и спецхранилищ (суда, вагоны, автотранспорт, контейнеры, элеваторы, терминалы и т.п.). Перевозки и складирование требуют знание масс и объемов, а следовательно, знание насыпной плотности.
Закупочные цены на зерно устанавливаются в прямой зависимости от его качества. Причем, как правило, чем выше натура, тем более качественное зерно содержит больше эндоспермы, тем более высоко ценится такое зерно.
В достоверности, правильности установления натуры в равной мере заинтересованы как производители-поставщики, так и покупатели зерна: первые не желают продешевить из-за ошибочного занижения качества, вторые не желают переплачивать из-за ошибочно определенных высоких показателей натуры.
Известно, что в нашей стране для зерна, продаваемого государству, устанавливаются базисные кондиции по натуре в зависимости от районов возделывания зерновых злаков. Базисные заготовительные кондиции для зерна пшеницы составляют 730-770 г/л.
В свое время в СССР за каждые 10 г натурного веса пшеницы, ржи, ячменя и овса выше базисных кондиций выплачивалась надбавка в размере 0.1% к цене, и за каждые 10 г натурного веса ниже нормы устанавливалась скидка, равная 0,1% цены. Отклонение натуры от базисных кондиций менее 5 г во внимание не принималось, а отклонение 5 г и более принимались за целые 10 г.
В силу вышеизложенного точность, достоверность, воспроизводимость, согласованность результатов измерения натуры зерна, выраженная в значениях (г/л), так и в значениях (кг/гл), весьма существенны и значимы, а следовательно, актуальны показатели качества применяемых средств измерений и методик измерения, предопределяющие надежность получаемых результатов измерений.
Однако известные способы [4, 5] определения натуры зерна, по мнению заявителей, не соответствуют техническим возможностям сегодняшнего дня и не обеспечивают надежное качество измерений натуры зерна.
Ниже будет изложена сущность известных способов измерений натуры зерна (г/л) и насыпной плотности (кг/гл), отмечены недостатки и указаны причины их несовершенства как в части, касающейся их инструментальной базы, так и в части ошибочных методических приемов измерения. Но для этого следует, хотя бы вкратце изложить существующие, узаконенные ГОСТами [1, 2, 3, 6, 7], способы измерений натуры зерна и применяемые процедуры согласования размеров от значений (г/л) к значениям (кг/гл).
Эти решения, по сведениям заявителя, являются единственными средствами определения натурной и насыпной плотности зерна.
В ГОСТах для определения массы зерна в объеме 1 л служит пурка с падающим грузом [2, 6, 7] и устанавливается процедура ее использования для определения плотности зерна в размере (г/л), изложенная в [2].
Для пояснения принципа ее работы и методики проведения измерения на фиг.1 приведен общий вид пурки, а на фиг.2 – основные узлы ее устройства и далее приведен алгоритм ее использования.
Пурка с падающим грузом состоит (см. фиг.2) из мерки 17, объемом 1 л, ножа 18, падающего груза 19, цилиндра наполнителя 20, цилиндра с конусной воронкой 22 с заслонкой 21 на конусе, установочного башмака 24 на деке укладочного футляра 25 и весов (последние изображены на фиг.1). В цилиндр с воронкой 22 засыпано зерно 23 (см. фиг.2).
Сущность способа измерения натуры заключается в заполнении мерной емкости – мерки 17, имеющей номинальную вместимость 1 литр, зерном 23. Определение массы этого зерна, способом взвешивания на весах, при условии исключения из результата взвешивания массы пустой мерки 17 (с находящимся в ней грузом 19, но без ножа 18), то есть вычитание массы пустой тары. Вот практически и все.
Алгоритм проведения измерений для определения натуры зерна реализуется следующим образом (см. фиг.1[7]):
– Футляр 25 пурки устанавливают на ровную поверхность стола и вынимают из него все части прибора.
– Собирают весы: ввинчивают в гнездо штатив 27, на него подвешивают коромысло 26, на левую часть коромысла – чашку для гирь. С правой стороны на призму подвешивают сережку, к которой присоединяют мерку 17 с падающим грузом 19 (без ножа 18). Проверяют уравновешивают ли они друг друга. Если равновесия нет, необходимо отвинтить винт в нижней части чашки и через отверстие насыпать или изъять мелкую дробь до уравновешивания весов. (Это в наше-то время, при наличии электронных весов, программно осуществляющих компенсацию массы тары!).
– Мерку 17 (см. фиг.2) снимают и устанавливают на деку 25 ящика (фиг.1) в специальное гнездо-башмак 24, предварительно вынув груз 19. В щель мерки 17 вставляют нож 18, на него кладут падающий груз 19, затем на мерку 17 ставят наполнитель 20.
– В цилиндр с воронкой 22, с закрытой заслонкой 21 на его конусе ровной струей засыпают зерно 23 почти доверху, ставят его на наполнитель 20 и открывают затвор заслонки 21. (Отбор и подготовка пробы зерна для определения натуры регламентируется требованиями ГОСТ 13586.3-86).
– Зерно 23 пересыпается в цилиндр наполнителя 20. Затем правой рукой быстрым движением (но без сотрясения прибора) вынимают нож 18 из прорези мерки 17 и груз 19 с зерном 23 падает в мерку 17.
– После этого нож 18 снова осторожно, чтобы не вызвать уплотнение зерновой массы, вставляют в прорезь мерки 17 до полного выхода его на противоположную сторону.
– Мерку 17 с надетым цилиндром наполнителем 20 вынимают из гнезда башмака 24. Избыток зерна над ножом 18 ссыпают в остаток образца, взятого на анализ.
– Наполнитель 20 снимают, удаляют оставшееся на ноже 18 зерно 23 и вынимают нож 18.
– Мерку 17, в которой содержится точно 1 л зерна, подвешивают на коромысле 26 (фиг.1) весов и взвешивают с точностью до 0,5 г.
– Определение натурной массы проводят в двукратной повторности из разных порций зерна.
– Расхождение между параллельными определениями допускается не более 5 г, а для овса 10 г. Точность выражения результатов до 1 г.
Такова в настоящем методика измерения натуры, и уровень достигаемой точности. По мнению заявителя, и то и другое может быть существенно улучшено.
Известно [5], что показания пурки зависят от различных факторов, в числе которых наиболее существенными считаются следующие (цитируем по приведенному источнику): “Скорость вдвигания и выдвигания ножа в щели, а также скольжение ножа в щели, определяющие степень вибрации пурки, а следовательно, степень уплотнения зерна в цилиндре мерки.
Дрожание ножа увеличивается, если щель значительно шире толщины ножа или при некоторых нажимах на нож с толчками, если ширина щели близка к толщине ножа.
При ручном вдвигании и выдвигании ножа в щели малейшее отклонение от единообразия движений наблюдателя приводит к различным сотрясениям наполнителя с меркой, что вызывает различную плотность заполнения мерки зерном.
Дальнейшее повышение точности измерений натуры зерна с помощью литровых пурок невозможно без осуществления механической подачи ножа в щель”.
Далее отмечено: “В цилиндре насыпки (наполнителя 20) недалеко от верхнего отверстия на внутренней полости наносится круговая метка, до которой должно насыпаться зерно, насыпка зерна ниже или выше круговой метки влияет на показания пурки. Эти изменения могут значительно превышать допустимый разброс результатов измерений”. “Не менее важное влияние при измерении натуры зерна пуркой имеет установка мерки, наполнителя и цилиндра в строго вертикальном положении: отклонение от вертикали до 6,5° уже заметно сказывается”.
“Еще большее влияние на показания пурки оказывают размеры и допуски на изготовление основных узлов и деталей пурки, например, таких как толщина и ширина ножа; диаметр и масса падающего груза; диаметр отверстия и длина образующей конической части воронки в цилиндре засыпки; размер площади отверстия в дне мерки; высота мерки относительно башмака, закрепленного на крышке укладочного ящика и др.”
Приведенные (цитированные) выше замечания о воспроизводимости и точности показаний пурки сделаны весьма компетентными метрологами ВНИИ Метрологии им. Д.И.Менделеева на основании многолетних работ по аттестации и сличению пурок 1-го разряда с образцовыми пурками, находящимися в распоряжении ФГУП ВНИИМ им. Д.И.Менделеева.
Таким образом, метрологам известно, что известному решению свойственна низкая точность измерений (~1 г); плохая воспроизводимость результатов (~5 г); наличие методических погрешностей (от действий оператора, типа: возникновение дрожаний, вибраций при перемещениях ножа; “малейших отклонений от единообразия движений” и т.п.), то есть наблюдаемая ненадежность измерений.
Следует добавить, что погрешность измерений, в основном, возникает как следствие неправильно выбранного технического решения самого способа измерения. Проводятся измерения изменчивой, вариабельной массы сыпучего материала, заполняющего единичный объем (близкий к номиналу 1000 см3), в предположении, что динамика заполнения этого объема сыпучей массой всегда в должной мере самовоспроизводится. Предполагается, априори, что заполнение мерки зерном, вроде бы должно осуществляться естественным путем единообразно, для чего собственно и используется свободное падение груза с присоединенным объемом сыпучей массы зерна в пустующую цилиндрическую полость мерки,
Но это ошибочное предположение. Это только, на первый взгляд, кажущееся единообразие заполнения мерной емкости сыпучим материалом. Свободное падение груза 19, с приобщенным с ним зерном 23, вовсе не является гарантией развития однотипности процесса уплотнения сыпучих фрагментов (зерен), со стохастическим воспроизведением постоянства межзерновой пористости, а отсюда, как следствие, низкая воспроизводимость показаний.
С точки зрения заявителя, плохая воспроизводимость и разброс показаний пурки обусловлен следующими факторами:
– Метод поэтапной пересыпки зерна 23 и последовательное заполнение им каждой из трех сопряженных цилиндрических емкостей (поз. 22 поз. 20 поз. 17, см. фиг.2) с целью, в конечном счете, нормировать воспроизводимость состояния плотности засыпки сыпучего материала (обеспечить воспроизводимость объемной структуризованности, рыхлости, пористости зерновой массы) нельзя признать достаточно удачным решением.
Действительно, при наполнении цилиндров насыпной массой зерна 23 неизбежно возникают силы давления зерна на внутреннюю поверхность цилиндров (распирающие усилия) в зависимости от высоты насыпки. На фиг.3 представлен вид расчетной модели для определения сил нормального и распирающего давлений, возникающих в слое зерна, засыпанного в цилиндрическую емкость. Считая, что распирающее давление зерна на боковую поверхность цилиндра находится в линейной зависимости от нормального давления, то есть Ps=kPn, где k – коэффициент пропорциональности при удельном весе зерна; с учетом коэффициента трения зерна (для пшеницы =0,44, k=0,4) и при параметрах цилиндрической емкости: R – радиус, Н – высота, S – площадь поверхности, П – периметр, получаем выражение для нормального и распирающего давлений:


где =m· g, m – масса зерна, g – ускорение свободного падения, м· с-2, h – текущее значение высоты Н, м.
На фиг.4 представлены эпюры нормальных Рn и распирающих Ps давлений в зависимости от высоты h насыпки зерна. В процессе опорожнения цилиндров (ссыпки зерновой массы в нижний цилиндр) возникают пристеночные силы трения, направленные вверх, против направления смещения зерна, которые влияют на распределение скоростей и значение расхода потока зерна от периферии цилиндра к его центральной аксиальной зоне.
Неравномерность эпюры скоростей потока, естественно не устраняется и при использовании падающего груза 19 при перемещении зерна 23 из наполнителя 20 в мерку 17. Скорость потока зерна на периферии меньше, чем по оси цилиндра, поэтому различны по сечению потока кинетические силы и силы инерции: зерна, падающие по периферии, проходят меньший путь с меньшей скоростью, они как бы осаждаются в псевдоожиженном слое.
– Спорадически при сериях измерений возможно возникновение фрикционных контактов падающего груза 19 с образующей мерного цилиндра 17. Это может возникать как от начальных перекосов – не ортогональности оси симметрии сборки цилиндров 17 и 20 (см. фиг.2) по отношению к плоскостям ножа 18, так и в случае невыполнения требования плоскопараллельности его плоскостей и плоскостей груза 19. А также при наличии погрешности по зазору прорези под нож в мерке 17 и ее неортогональности к оси цилиндров. Возможны ситуации случайного неполного засорения кольцевого зазора между цилиндром 17 и падающим грузом 19, изменяющим динамику процесса падения зерновой массы.
– Скорость падения массы (груза 19 и зерновой массы 23) демпфируется воздушным столбом, заполняющим мерный цилиндр 17. Воздух случайным образом вытесняется (истекает) через отверстие (диафрагму) в дне мерного цилиндра 17 и башмака 24, а также частично проникает через случайно распределенные щели по кольцевому зазору между грузом 19 и цилиндром 17. Значение скорости и количество движения m несколько варьируются.
– Параметры импульса неупругого удара, возникающие в конце падения груза 19 и зерновой массы 23 на дно мерки 17, случайным образом воздействуют на сыпучую зерновую массу, варьируясь в зависимости от характеристик жесткости сборки элементов пурки. Параметры удара, по существу, невоспроизводимы, так как совершенно неизвестны и случайным образом распределены координаты центра удара, упругие свойства взаимодействующих тел, коэффициенты восстановления и тому подобное. Однако именно они существенно влияют на уровень возникающей плотности зерновой массы в объеме мерки, на случайное распределение пористости сыпучей зерновой массы, то есть на значение плотности массы в объеме заполнения.
Таким образом, пурка с падающим грузом как конструктивно-техническое изделие, выполняющее функцию воспроизведения и измерения плотности зернового материала (при условии заполнения ее мерки зерном одной выборочной партии со статистически стабильным зерновым полидисперсным составом) имеет низкую точность измерений натуры. Она имеет невысокую воспроизводимость результатов измерений, не полностью гарантирует достоверность результатов измерений. Технически несовершенно как изделие, а методы ее использования во многом воспринимаются как анахронизм.
Однолитровую пурку применяют, как уже упоминалось, для определения натуры зерна внутри нашей страны.
При экспортно-импортных операциях с зерном репрезентативность результатов измерений, выполненных ею, считают недостаточной из-за малости объема ее мерки, вследствие чего применяют 20-ти литровую пурку [3] и производят пересчет результатов измерения натуры на ней на 100 литровый объем.
Для обеспечения единства измерений массы гектолитра зерна при международной торговле зерном Международной организации по законодательной метрологии (МОЗМ) была разработана рекомендация МОЗМ №15 “Приборы для измерения массы гектолитра зерна”.
ГОСТ 30046-93, “Зерновые. Определения насыпной плотности зерна, называемой “масса гектолитра”, подготовлен методом прямого применения международного стандарта ИСО 7971-86. Полностью соответствует ему и Рекомендации 150YMZ и устанавливает определение насыпной плотности зерна, называемой “масса гектолитра”, оговаривает состав и технические характеристики устройства (20-ти литровой пурки) для измерения гектолитра, способа его регулировки и калибровки.
На фиг.5 представлен вид 20-ти литровой пурки, который соответствует чертежам и спецификациям ГОСТ 30046-93 и включает в свой состав: измерительный сосуд 28 (мерку, вместимостью 20 л); наполнитель 29, состоящий из загрузочной воронки с запирающей заслонкой 30 и центрального узла распределителя 31 выхода зерна; приспособление, включающее в свой узел выравнивающий нож 32, для выравнивания зерна в уровень с верхним краем измерительного сосуда 28, связанное с противовесом 33. Устройство должно быть укомплектовано средством взвешивания (равноплечие весы с разновесом) и вспомогательным сосудом вместимостью 24 л для пробы зерна (на фиг.5 не показаны).
Общая связь узлов изделия такова [3, 5]: в наполнитель 29, из вспомогательного сосуда емкостью 24 л, засыпают зерно, подлежащее измерению его насыпной плотности, отобранное и подготовленное согласно требованиям ГОСТ 13586.3-83.
Наполнитель 29 выполнен в форме воронки, имеющей усеченный конус с верхним цилиндрическим краем, заканчивается внизу цилиндрической трубкой для высыпания, которая закрывается заслонкой 30.
Распределитель 31 выхода зерна имеет форму вертикального стержня, расположенного по оси воронки наполнителя 29, и заканчивается снизу элементом, напоминающим форму шляпки гриба, позволяющим распределять и направлять выход зерна в измерительную мерку 28.
Распределитель 31 может перемещаться вверх и вниз по вертикали, обеспечивая перемещение грибовидного элемента. Опускание распределителя 31 увеличивает скорость потока зерна и плотность его усадки по насыпному слою в мерке 28. Подъем распределителя 31 снижает скорость потока зерна и снижает значение плотности зернового слоя в мерке 28.
Приспособление для выравнивания 32 состоит из режущего ножа – плоской, тонкой, но гибкой стальной пластины, заостренной спереди. Режущий край ножа имеет форму входящего прямого угла, заточен так, что острие находится посередине между верхней и нижней плоскостями ножа. Нож передвигается по двум направляющим, закрепленным на раме. Движение ножа по направляющим для обеспечения плавности происходит на роликах, укрепленных на бортовой окантовке ножа. Нижняя плоскость ножа при движении скользит непосредственно по верхнему краю мерки. Движение лезвия должно быть непрывным без резких толчков. В своем движении лезвие ножа выравнивает зерно до уровня мерки 28, обеспечивая тем самым устанавливаемый объем.
Массу гектолитра зерна с помощью 20-литровой пурки измеряют следующим образом: вдвигают приспособление 32 с ножом в щель между меркой 28 и верхней манжетой, занимающей пространство между загрузочной воронкой наполнителя 29 и меркой 28, и этим движением закрывают заслонку 30 на воронке 29. После чего приспособление 32 с выравнивающим ножом отдают обратно до крайнего положения, в котором оно задерживается, защелкивается собачкой. Мерку 28 на тележке подводят под загрузочную воронку наполнителя 29. Поворотом рукоятки открывают заслонку 30 и зерно из наполнителя 29 начинает высыпаться в мерку 28. После того как зерно высыпалось из наполнителя 29 в мерку 28, оттягивают фиксатор с собачкой, вследствие чего приспособление 32 с ножом освобождается, и с помощью груза противовеса 33, автоматически срезает избыток зерна, расположенного выше верхнего края мерки 28. Затем выдвигают тележку с меркой 28 из-под наполнителя 29 и передвигают ее к правой подвеске коромысла весов и взвешивают мерку с зерном.
Зерно, находящееся в мерке 28, взвешивается с учетом компенсации массы пустой мерки. Масса гектолитра, выраженная в килограммах на гектолитр равна: m=m1/0,2=5m1; где m1 – масса зерна, содержащегося в мерке, вместимостью 20 дм3. Результат выражают до второго десятичного знака.
Метрология измерения величин требует соблюдения единства проведения измерений, сохранения и передачи единицы измерений (г/л) менее точным нижестоящим средствам измерения, входящим в поверочную схему (см. фиг 6), в том числе и с расширенным диапазоном измерения (кг/гл).
Единство измерений натуры зерна в РФ обеспечивается узакониванием определенной конструкции литровых образцовых и рабочих пурок и методом поверки рабочих пурок по образцовым пуркам [5, 6]. Поверка пурок осуществляется по схеме, изображенной на фиг.6. Методы и средства поверки пурок регламентированы МИ 2022-89 “Пурки литровые образцовые. Методы поверки”. Методическими указаниями № 274 “По поверке 20-литровых пурок”.
Согласно упомянутой рекомендации МОЗМ № 15 национальные эталонные приборы на 20-литров вместимости должны соответствовать, чертежам и спецификациям, указанным в рекомендации и в ГОСТ 30046-93.
Национальные эталоны стран поверяют и аттестуют без перемещения путем ключевого сличения с международным эталоном сравнения при помощи переносного (разъездного) эталона. В качестве международного эталона сравнения с общего согласия всех государств-членов МОЗМ (более 60 членов), выбран национальный измерительный прибор, находящийся в Физико-техническом бюро (ПТБ, Брауншвейг, ФРГ).
Допускается проверять 20-литровые пурки по образцовым литровым пуркам методами, обеспечивающими указанные в поверочной схеме метрологические параметры. Для эталонных, образцовых и рабочих приборов в поверочной схеме приведены показатели:
– предельная допускаемая погрешность показаний пурки , равная разнице между среднеарифметическим из нескольких измерений, произведенных на поверяемой пурке и среднеарифметическим, произведенным на эталонной или образцовой пурке;
– наибольшее допускаемое отклонение результата одного измерения от среднеарифметического результата ;
– наибольшая допускаемая погрешность весов , используемых для измерения массы зерна. Эта погрешность представляет собой наибольшую допускаемою разницу между результатом взвешивания и действительной массой взвешиваемого груза.
Значение предельных допускаемых погрешностей для средств измерения натуры зерна приведены в табл.1, [5].
| Таблица 1 |
| Устройство |
Наибольшая допускаемая погрешность, % |
max |
max |
max |
| Национальная эталонная 20-литровая пурка |
±0,1 |
±0,1 |
±0,02 |
| Разъездная 20-литровая пурка 1 разряда |
±0,1 |
±0,1 |
±0,02 |
| Образцовая литровая пурка 1 разряда |
±0,1 |
±0,1 |
±0,02 |
| Образцовая литровая пурка 2 разряда |
±0,1 |
±0,2 |
±0,02 |
| Рабочая литровая пурка |
±0,2 |
±0,4 |
±0,1 |
| Рабочая 20-литровая пурка |
±0,5 |
±0,2 |
±0,1 |
Даже при непредвзятом подходе к инструменту и методу, обеспечивающему переход от измерений натуры в малых размерах (г/л) к большему (кг/гл), нетрудно обнаружить, что недостатки, присущие литровой пурке, при измерениях натуры в 20-литровой пурке лишь усугубились.
Если сравнить недостатки литровой пурки, влияющие на точность измерения натуры, с инструментом и методикой, предлагаемой для 20-литровой пурки, то можно понять, что точность измерения может только понизиться.
Во-первых, движение выравнивающего ножа 32 вдоль всей линии резания 300 мм не может быть равномерным, – оно имеет несколько фаз движения. Движение скорее всего равноускоренное, так как вызывается падением противовеса 33 массой 5 кг. Конец фазы движения не может завершаться без импульсного толчка, встряхивания.
Во-вторых, нельзя отделить избыток насыпного слоя (прорезать насыпной слой), прилагая на режущую кромку ножа усилие меньше, чем силы структурного сцепления сыпучего материала на линии резания, которая определяется высотой слоя избыточной насыпки. Она же определяет и силу трения ножа о зерно.
Именно поэтому кинетическая энергия лезвия ножа (в устройстве выравнивания 32) и развиваемое им давление на режущей кромке существенно выше адгезии зерен в слое избыточной насыпки, масса которой и отделяется его плоскостью от переполненного объема мерки 28. Плоскость ножа “подминает” структуру насыпки (на половину толщины лезвия ~1,5 мм), плотность которой была сформирована избыточной высотой насыпки. Напомним (см. фиг.2), что в литровой пурке наполнитель 20 имел круговую метку, отвечающую за номинальный уровень его заполнения зерном, и осуществлялся нормализованный процесс его заполнения с цилиндра засыпки 22. В 20-литровой пурке таких мер не предусмотрено. В-третьих, массоперенос, осуществляемый потоком зерна и связанная с ним эпюра его начальных скоростей, на выходе загрузочной воронки 29 зависит от расположения (координаты) распределителя 31 зернового потока по высоте воронки 29 и координаты места грибовидного элемента. (В конечном счете, это характеризует скорость переноса энергии с верхнего уровня загрузочной воронки 29 на текущий уровень заполнения зернового слоя в мерке 28 и степень достигаемого уплотнения, путь начального движения ~990 мм).
Воспроизводимость и устойчивость зернового потока во многом зависит (помимо уровня начальной зерновой загрузки воронки 29), от факторов конструктивного и технического выполнения сборочных узлов изделия: степени имеющейся несоосности, эксцентриситета, не коаксиальности поперечных сечений по высоте тела распределителя 31 и воронки 29. Изготовить изделие без изъянов трудно, еще труднее их устранить, или учесть, но тогда трудно обеспечить воспроизводимость его характеристик по потоку, расходу, скоростям и формируемой ими плотности заполнения мерки 28 зерном.
В требованиях ГОСТ 30046-93, оговаривающих габариты и размерные параметры элементов, деталей и узлов устройства 20-литровой пурки, полностью отсутствуют требования по конструктивным материалам; по характеристикам требуемой поверхностной твердости, шероховатости, коррозионной устойчивости, износостойкости покрытий, соприкасающихся с зерновым потоком. Хотя очевидно, что силы трения, воздействующие на движущуюся массу сыпучей среды, определяют ее динамику, и опосредованно, параметры плотности.
Требования ГОСТа, связанные с регулировкой устройства по отношению истинной вертикали места, лишь обозначены, но не имеют четко оговоренных значений, хотя понятно, что движение ножа, вытекание и засыпка сыпучей среды в контейнеры зависят от соблюдения постоянства положения изделия относительно горизонта и вертикали и сказываются на конечном результате измерений плотности зерна.
Существенным недостатком двух рассмотренных решений, обеспечивающих переход от малого размера величины (г/л) к кратному большему (кг/гл), является не соблюдение известных положений теории подобия:
– Отсутствие геометрического подобия пурок (нарушение требования изоморфности мерок и цилиндров засыпки).
– Отсутствие динамического и временного подобия течения процессов (подобия параметров истечение зернового потока в мернике). Методическое и техническое игнорирование изохронности процессов, которые обеспечивают характеристики воспроизводимой плотности засыпок в мерные емкости.
Вышеизложенные недостатки методик и устройств измерения натуры зерна порождены, вообще говоря, его характерной структурой: полидисперсной зернистостью материала и обусловленной ею явлениями “сыпучести”, “текучести”, а также проявлениями усадочной слеживаемости насыпных масс.
При заполнении объемов конкретной формы сыпучим материалом (зерном) насыпные слои, рассматриваемые, по вертикальному сечению, образуют структуры разной степени плотности. В них частицы материала (зерна) чередуются с пустотами, называемыми обычно порами слоя. Соединяясь между собой, поры слоя образуют поровые каналы, заполненные воздухом. От формы, размеров и количества таких каналов в единице объема слоя будет зависеть плотность (удельный вес, удельный объем) зернистого материала.
Под пористостью слоя понимается относительная доля свободного объема воздуха в зерновом слое размерностью [L3/L3],

где Vв – объем воздуха при среднем значении его плотности в=1,25 кг/м3,
Vзс=Vз+Vв – единичный объем зернового слоя; Vз – объем собственно зерна (твердой фазы) в слое.
При плотности содержимого твердой фазы зерна з~1,2· 103 кг/м3 и при значении массы единичного объема зернового слоя mзс, объем собственно зерна в слое Vз будет

Коэффициент абсолютной пористости:

естественно, что > . А так как з>> в, то масса зернового слоя mзс mз, так как, содержащейся массой воздуха в порах можно пренебречь.
Насыпную плотность можно представить как

Из уравнений (3) и (5) следует:



Согласно определению (7) пористость слоя не зависит от диаметра зерен, образующих его. Однако это справедливо только для слоев, состоящих из монодисперсных частиц (зерен). Пористость в таких слоях определяется характером укладки частиц в слое. На фиг.7, для примера, показаны два типа укладки (упаковки) монодисперсных шаров. В первом случае каждый шар контактирует с 6-тью своими соседями, во втором – с 12-тью; пористость слоя первого типа составляет 0,48, второго – 0,26, а пористость монодисперсных частиц при хаотической укладке – примерно 0,6, в этом случае не все зерна одного горизонтального ряда контактируют с другими рядами – возникают дефекты регулярной упаковки.
Изменение пористости слоя во времени, а также вследствие изменения характера распределенной нагрузки может происходить самопроизвольно путем перехода его из одного типа упаковки в другой. Такое изменение упаковки слоя известно как свойство слеживаемости зернистой массы, оно протекает с изменением плотности слоев.
В полидисперсных слоях пористость зависит от коэффициента неоднородности и с увеличением его уменьшается. Это происходит в результате расположения мелких зерен в пространстве между крупными зернами.
Со временем (или в силу наложения внешних механических силовых полей) структура таких слоев подвергается самоуплотнению, так как возникающие вследствие флуктуаций силовых полей случайное перемещение зерен слоя непременно ведет к накоплению мелких зерен в пространстве между крупными зернами. Поэтому полидисперсные слои самоуплотняются (слеживаются) быстрее, чем монодисперсные, и чем больше полидисперсность, тем больше вероятность уплотнения.
С другой стороны, полидисперсный, изоморфный зернистый материал не может самоуплотняться больше, чем это дозволяет его структурно-связанная пористость, так как подразумевается отсутствие усилий, приводящих к разрушению его зерен. Таким образом, можно говорить о “дефектах” самоупаковки, о “вакансиях” и избыточной пористости в структуре слоев насыпки зернистой массы. Такие избыточные поровые дефекты неустойчивы и устраняются из слоев насыпки при возбуждении в них импульсов встряхивания, ударов, толчков, вибраций.
Следовательно, характерные для сыпучего материала начальные стадии усадки насыпного слоя, связаны с самоликвидацией, выборкой неустойчивых дефектов стохастической упаковки сыпучего материала, порожденных случайными факторами при процессе его засыпки в любой вид емкости.
Можно показать, что если в объем с фиксированной вместимостью V, поместить массу сыпучего материала в пределах (m± m), то m будет зависеть от ряда случайных факторов, сопутствующих процессу насыпки и зависящих от характеристик вмещающей емкости (геометрии объема, свойств конструкционного материала, коррозионного состояния, окисленности и шероховатости внутренней поверхности); наличия и уровня механических воздействий, приложенных к объему.
Причем измеряемый разброс насыпной плотности ( min< нс рmах) будет прежде всего зависеть от фактически достигнутого состояния пористости сыпучей массы (а не от точности взвешивания массы) и в какой-то степени от точности измерения значения фиксированного объема. (Размерность объема V ~ [L3]=[L2L], где [L2]~Si отражает площади i-ых последовательных сечений объема, a L~H отражает линейный размер образующих объема, например высоту цилиндра, то есть V~SiH).
Абсолютная погрешность измерения площади сечения Si~2L L> H~ L, т.е. погрешность инструментальных измерений площади сечений, существенно зависит от наличия в них наибольшего размера: большие сечения измеряются с большей погрешностью, и поэтому калибровку вместимости объема (проводимую обычно методом жидкостного заполнения) предпочтительно проводить на сечениях малых размеров.
Изменчивость, вариабельность плотности самоупаковки (стохастической самоукладки), структурной самоупорядоченности сыпучей массы в объеме вместимости V зависит от геометрической формы, свойств конструктивного материала емкости и от состояния внутренней поверхности объема (проще говоря, зависят от значения коэффициента трения зерна о поверхность вместимости).
Внутренние объемы тел вращения, используемые для вместимости, образованные линейно-гладкими функциями, без наличия на границах их связанности резких переходов, создают меньше дефектов в структурах самоукладки насыпной зерновой массы. Используемые в практике измерений натуры зерна мерники, в виде прямых круговых цилиндров с плоским дном и плоской надвигаемой крышкой, не отвечают вышеуказанным условиям (см. фиг.2, 5, 8).
Большие коэффициенты трения между граничной поверхностью и зерновой массой являются возможными источниками появления объемов пустотных вакансий Vвп и нерегулярности в укладке зерновых слоев (см. фиг.8).
Дефекты в самоупаковке сыпучего материала (вакантные пустоты) возникают, как правило, на поверхностях соприкосновения зерна с емкостью, а также на свободных поверхностях. Поэтому целесообразно принимать меры по снижению площади контактных поверхностей вмещающих объемов (за счет правильного выбора формы геометрии мерников) и снижать свободную поверхность зерновой массы насыпки при точных и воспроизводимых измерениях плотности зерна.
Подводя итог сказанному, и принимая во внимание уравнения (6), (3), можно записать абсолютное значение погрешности насыпной плотности для объема V единичной вместимости.

где V=Vз+Vв – объем пурки, заполненный зерном; V – погрешность определения объема.
Первое слагаемое абсолютной погрешности плотности определяется в основном методикой заполнения объема пурки (не связано с погрешностью измерения массы путем взвешивания!), а второе (существенно менее значимое) – погрешностью измерения фиксированного объема мерки.
Задачей, на решение которой направлена группа заявляемых изобретений, является создание средств определения натурной и насыпной плотности зерна, обладающих воспроизводимостью и достоверностью результатов измерения и обеспечивающих согласованность измерений плотности зерна при различных размерных масштабов плотности: г/л, кг/гл, т/м3.
Технический результат, который может быть получен при осуществлении изобретений, заключается в использовании в качестве базового параметра при определении плотности зерна не объем, а определенную с высокой точностью его фиксированную массу, поровая структура объема которой внутри псевдосферы сформирована принудительно.
Технический результат достигается при осуществлении заявляемой группы изобретений, образующих единый изобретательский замысел и представляющих собой два варианта способа определения плотности зерна – натурной и насыпной – и конструкцию мерной емкости – основополагающего элемента устройств для осуществления каждого из вариантов способа.
Указанный технический результат при осуществлении изобретения достигается тем, что в заявляемом первом варианте способа – определения натурной плотности зерна, использующем его засыпку в мерную емкость, нормализацию плотности его упаковки и информацию об объеме и массе засыпанного зерна, в отличие от известного способа, в отградуированную по вместимости мерную емкость в виде псевдосферы засыпают установленную по соглашению массу зерна, накладывают на емкость вынужденные колебания до установления стабильного объема, занимаемого зерном, измеряют величину этого объема и по значениям известной массы и измеренного объема зерна определяют его натурную плотность.
Указанный технический результат при осуществлении изобретения в заявляемом втором варианте способа – определения насыпной плотности зерна, использующем его засыпку в мерную емкость, нормализацию плотности его упаковки и информацию об объеме и массе засыпанного зерна, в отличие от известного способа, в отградуированную по вместимости мерную емкость в виде псевдосферы из идентичной ей емкости засыпают уплотненную в ней свободно истекающую установленную массу зерна, измеряют занятый зерном объем и по значениям известной массы и измеренного объема зерна определяют его насыпную плотность.
Указанный технический результат при осуществлении изобретения достигается тем, что внутренняя полость мерной емкости в устройствах для осуществления заявляемых вариантов, в отличие от известной мерной емкости выполнена в виде псевдосферы, при этом верхняя горловина псевдосферы отградуирована в откалиброванных значениях единиц вместимости, а нижняя горловина снабжена заслонкой.
На фиг.1… 6 приведены графические изображения, поясняющие основные принципы построения и работы устройств прототипов, в том числе:
фиг.1, общий вид пурки с падающим грузом;
фиг.2, схемы взаимной сборки емкостей зерновых засыпок пурки;
фиг 3, схема для расчета давления зерна на стенки цилиндрических емкостей, используемых в пурке;
фиг.4, характер эпюр нормального и распирающего давлений, создаваемого зерном засыпки на цилиндрические поверхности стаканов пурки;
фиг.5, общий вид устройства для измерения насыпной плотности зерна, называемой “массой гектолитра”;
фиг.6, поверочная схема для пурок;
фиг.7, вид простейших упаковок (укладки) монодисперсных шаров и характер дефектов укладки;
фиг.8, наиболее вероятные области накопления дефектов упаковки насыпной зерновой массы в мерном цилиндре пурки.
На фиг.9… 15, приведены графические изображения, поясняющие принципы заявляемого метода и работы устройств (варианты возможного исполнения), реализующих этот метод, в том числе:
фиг.9, псевдосфера в стереометрическом изображении;
фиг, 10, графический вид трактрисы, как инволюты цепной линии;
фиг.11, характер разложения сил давления зерновой массы, воздействующей на внутреннюю поверхность псевдосферы;
фиг.12, схема сборки псевдосферы для определения натуры зерна;
фиг.13, верхняя горловина псевдосферы, отградуированная в единицах вместимости;
фиг.14, схемное изображение заслонки, закрывающей отверстие нижней горловины псевдосферы;
фиг.15, схема устройства определения насыпной плотности зерна.
Заявитель предлагает изменить общепринятый способ измерения натуры зерна и насыпной плотности, используя новый подход, базирующейся на использовании точного изначального значения измеряемой зерновой массы и более совершенной вмещающей мерной емкости. Основным элементом устройства, реализующего варианты заявляемого способа, является мерная емкость, выполненная в виде псевдосферы. Применение мерной емкости в виде псевдосферы позволяет изменить способ измерения натуры зерна и насыпной плотности, используя более эффективный алгоритм его проведения, гарантирующий повышение точности и достоверности результатов измерения. Причем вмещающие емкости (подобные по своей геометрии), используются для проведения измерений натуры и насыпной плотности как в случае малых размеров плотности (г/л), так и для больших размеров плотности (кг/гл).
В заявляемом решении предлагается сначала установить постоянный (стандартный) размер массы зерна, натуру и насыпную плотность которого надлежит измерить.
Размер массы зерна mi для малых проб должен не выходить за границы интервала 0,5i<1 кг и может быть, по соглашению, любой его точкой: mi=const (0,5… 1,0) кг; для большего размера проб выбираться из диапазона 10 mj 50 кг, и также, по взаимному соглашению, быть одной из точек mj (10… 50) кг.
Для масс mi, mj максимальная допускаемая абсолютная основная погрешность взвешивания не должна превышать: mi=±0.03 г и mj=±0,5 г.
Пробы зерна, подлежащие измерению натуры и насыпной плотности, взвешиванием подгоняются под установленную согласованную нормативами массу (m± m)i,j=const. Далее, эта масса зерна помещается (засыпается) внутрь псевдосферы (см. фиг.12), которая выполнена в виде технического изделия. Псевдосфера, как объем точной вместимости должна быть откалибрована (по своей горловине, см. фиг.13) в единицах вместимости (мл или см3), что позволяет измерить объем Vi,j, засыпанной в нее массы зерна mij.
Измерение объема зерна проводится в двух основных вариантах его состояния:
– значение объема зерна, измеренное по горловине псевдосферы, которое предварительно прошло принудительное уплотнений в режиме вибраций в объеме псевдосферы, равное Vi,j уп,
– значение объема зерна свободной засыпки, измеренного по псевдосфере, равное V(i,j) сз; засыпка которого осуществлена с идентичной псевдосферы, масса зерна которой было предварительно уплотнено,
– соответственно с этим определяются плотности уплотненной засыпки уп и плотности свободной засыпки сз, причем уп через поправочный коэффициент ( ) может сводиться к стандартной плотности натуры ( сп):

имеем: уп> сп> сз.
Таким образом, измеренные значения плотности сз и уз, могут приводиться к привычным стандартным размерностям величин [г/л] и [кг/гл].
Измерение массы в диапазонах от 0,5 до 1 кг с основной погрешностью, не превышающей ±0,03 г, не может вызвать затруднений, также как и измерение массы в диапазоне от 10 до 50 кг с погрешностью ±0,5 г [4, 5, 8]. Современные электронные весы обеспечивают при взвешивании компенсацию тары, используемой для вместимости массы, так что точную подгонку массы до (m± m)i,j взвешиванием можно проводить прямо в объеме псевдосферы.
Основным элементом устройства, реализующего варианты заявляемого способа, является мерная емкость, внутренняя полость которой выполнена в виде псевдосферы.
Такая форма геометрии мерной емкости обеспечивает появление новых полезных свойств и качеств, не свойственных традиционным цилиндрическим формам мерных емкостей, и гарантирует повышение точности, воспроизводимости измерений плотности сыпучей массы.
Форма псевдосферы получается путем вращения кривой, называемой трактрисой, вокруг ее асимптоты – оси ОХ (см. фиг.10). Аналитическое уравнение трактрисы, связанное с координатами цепной линии, инволютой которой является трактриса, имеет вид [9, 10]:

или

точка возврата имеет координаты А (0,а).
Псевдосфера – поверхность постоянной отрицательной кривизны К<0. Изображенная на фиг.9 поверхность всюду гладкая, за исключением ребра. Это обстоятельство не случайно: можно показать, что в трехмерном пространстве не существует неограниченно продолжимой гладкой поверхности, имеющей постоянную отрицательную кривизну. Внутренняя геометрия псевдосферы отлична и от обычной планиметрии и от геометрии на сфере, она совпадает с так называемой геометрией Лобачевского [11, 12].
Вверх и вниз от ребра (особенной границы) поверхность удаляется в бесконечность, причем круги широт безгранично уменьшаются. Это-свойство позволяет провести градуировку вместимости псевдосферы с возрастающей точностью и разрешением по участку ее горловины с нанесением шкалы (как это делается на химических пипетках).
Точность измерения объема вместимости, осуществляемая по таким малым поперечным сечениям, выше, чем по большим сечениям, характерным в геометрии прототипов.
Меридианы псевдосферы, служащие также линиями кривизны поверхности, представляют геодезические линии, так как плоскости, проходящие через ось вращения (симметрии) пересекают поверхность под прямым углом. Геодезические линии обладают важными свойствами, которые выделяют их из всех других кривых на поверхности: они могут быть определены как кратчайшие линии, как фронтальные линии, как прямейшие линии [13].
Геодезическая линия на поверхности играет роль прямой линии:
– если материальная точка вынуждена оставаться на поверхности, то при отсутствии других внешних сил она движется на поверхности по геодезической линии;
– упругая нить, натянутая на поверхности, принимает форму геодезической линии;
– линия кратчайшего расстояния между двумя точками на поверхности является геодезической.
Геодезические линии имеют большое значение для процессов физики. Известно, что материальная точка, свободная от действия сил, но вынужденная оставаться на поверхности, всегда движется по геодезической линии поверхности.
Каждое из приведенных определений геодезической линии дает основание для законов механики материальной точки; так определение геодезической линии как кратчайшей – соответствует принципу Якоби в механике; определение геодезической как прямейшей проявляется в принципе наименьшего принуждения Гаусса-Герца; положение соприкасающейся плоскости геодезической линии находит выражение в уравнениях Лагранжа первого рода.
Итак, псевдосфера представляет собой поверхность, полная гауссова кривизна, которая в каждой точке имеет одно и то же отрицательное значение К<0, и такая поверхность может быть получена вращением трактрисы

вокруг ее асимптоты
Геометрия на поверхности постоянной кривизны при К<0 – гиперболическая. Поверхности постоянной гауссовой кривизны изометричны (теорема Миндинга).
Из инвариантности полной кривизны при изгибаниях следует, что две поверхности постоянной кривизны наложимы друг на друга только тогда, когда их кривизны равны. Можно показать, что верно и обратное: две поверхности одной и той же постоянной кривизны наложимы друг на друга.
Таким образом, на поверхность псевдосферы нельзя наложить поверхность тел сферической эллипсоидной, овоидных форм, поэтому они образуют с поверхностью псевдосферы кинематические пары высшего порядка (контактирующие с поверхностью в одной точке). Это позволяет им иметь высокую степень подвижности при относительных движениях и возможных виртуальных перемещениях по геодезическим линиям к низким уровням потенциальной энергии в системе.
Другим полезным свойством, вытекающим из геометрии псевдосферы, является равенство значений нормальной составляющей силы давления по нагружаемой ею поверхности (см. фиг.11), свойство это, как известно, используется в технике для обеспечения равномерного меридиального снашивания опорного подшипника в, так называемой “антифрикционной” пяте Шиле [14].
Это свойство обеспечивает постоянство значения силы трения, которое пропорционально нормальному давлению, и как следствие, обеспечивает одинаковый уровень износа материала физической поверхности изделия, имеющего форму псевдосферы. Поскольку в процессе эксплуатации поверхность будет равномерно стираться, не меняя своей формы, то это гарантирует длительно устойчивую динамику течений зерновой массы (сохранение характера эпюры скоростей течений по сечениям псевдосферы, это, в конечном счете, обеспечивает воспроизводимость плотностей укладки зерновой массы, а также обеспечивает устойчивость мгновенного массового расхода (m) из псевдосферы).
Следует отметить также полезную особенность геометрии горловин псевдосферы, которые одновременно сочетают свойства форм коноидальности и конфузорности, и тем самым обеспечивают высокие показатели истечения зерновой массы (высокий коэффициент сжатия, низкий коэффициент сопротивления отверстия, высокий коэффициент скорости и расхода [15]).
Зерно, истекающее под действием силы тяжести, приближается к отверстию горловины из всего прилежащего объема; оно движется ускорено по различным геодезическим плавным траекториям, упорядочивается за счет наличия степеней свобод, позволяющих осуществлять относительные вращательные и поступательные движения с малыми потерями на сопротивление, претерпевая преимущественную ориентацию зерен вдоль своей главной оси.
Поскольку значение давления, побуждающее истечение зерна через нижнюю горловину псевдосферы не велико [рассчитанное по формулам (1, 2) давление Р 120 Па], а основная масса зерна размещается в мидельной части псевдосферы, то в интервале установившегося процесса истечения давление изменяется мало и зерно истекает с постоянным расходом.
Итак, геометрия поверхности псевдосферы имеет специфические свойства, характеризующие ее как динамически гладкую поверхность обуславливающую определенное поведение сыпучих материалов, засыпанных в нее, таких как возникновение перемещений и движения частиц по геодезическим линиям в сторону снижения потенциальной энергии системы; общий для всех материальных частиц (зерен), вид связи с поверхностью в виде высших кинематических пар, приводящий к преимущественной кооперативной ориентации эллипсоидальных частиц по главной оси в направлении движения, наличие регулярности и самоупорядоченности самоукладки изоморфных дисперсных сред.
Наличие устойчивого и воспроизводимого режима истечения сыпучих масс, под действием собственного веса, позволяет говорить о псевдосфере, не просто как об одном из вариантов вмещающей емкости, а скорее, как о характерном преобразователе свободного истечения сыпучих сред. (Аналогично тому, как это имеет место для преобразователей потоков с избыточным давлением среды, образованных ограничивающими поверхностями: труб Вентури, Витошинского, сопла Ловаля и т.п.).
При проектировании устройств на основе псевдосферы вначале необходимо установить требуемый объем для вместимости зерновой массы m, при условии, что возможное значение ее плотности находится в диапазоне (для пшеницы 720 850 г/л), тогда значения максимального и минимального объемов определяется

при этом разность объемов V=Vmax-Vmin должна быть представлена отградуированной в единицах вместимости сужающимся участком горловины псевдосферы.
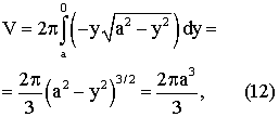
Объем псевдосферы можно вычислить, интегрируя половину ее объема согласно известной формуле:

тогда после преобразований

то есть объем псевдосферы совпадает с удвоенным объемом конуса, у которого радиус основания равен его высоте (т.е. конусу наибольшего объема).
Однако псевдосфера как конструктивное изделие всегда ограничена по своей длине двумя плоскостями сечения, перпендикулярными к оси ее симметрии (оси ОХ). В общем случае сечения могут быть несимметричными относительно оси ОУ, то есть одна из горловин может иметь меньшую длину и большее входное отверстие, чем другая. Радиус г отверстий горловин (из конструктивных и эксплуатационных соображений) составляет десятые и сотые доли от радиуса ребра (а), (см. фиг.9, 10):
; 0.05 0.2
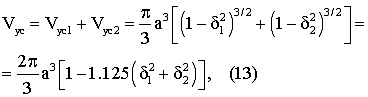
Тогда объем усеченной псевдосферы, состоящей из усеченных половин, будет:

искомый параметр для ребра можно вычислить по формуле:

Например, для пурки, выполненной в виде усеченной псевдосферы, вмещающей зерновую массу m=1 кг и радиусами отверстий горловин r1=0,1a и r2=0,2а радиус ребра будет аr=8,85 см. Длины участков от ребра до среза горловин будут:

так, что полная длина усеченной псевдосферы x1+x2 29,18 см.
Для больших пурок, вместимостью m=10 кг, с радиусами отверстий горловин R1=0,1A и R2=0,2А, радиус ребра Аr=19,5 см, и соответственно длины участков x1 38,22 см, x2=24,95 см и полная длина x1+x2=63,17 см.
При рассмотрении аналогов указывалось, что к недостаткам их методик и устройств, не позволяющих обеспечить должную сходимость и воспроизводимость результатов измерений, следует отнести полное отсутствие требований по соблюдению условий подобия между разномасштабными устройствами.
Чтобы проверить соблюдение геометрического подобия между пуркой (m=1 кг) и большой пуркой (m=10 кг), выполненных по геометрии псевдосферы, необходимо, установить, что все соответственные размеры малой пурки должны быть в одинаковое число раз уменьшены по сравнению с размерами большой пурки, т.е. должно быть выдержано отношение:

где Lб – некоторый линейный размер большой пурки, например, ее длина Lб=63,17 см,
Lм – соответствующий размер малой пурки, Lм=29,18 см,
1 – коэффициент пропорциональности или линейный масштаб малой пурки.
Из этой формулы следуют также условия для отношения площадей и объемов большой и малой пурок


Однако в общем случае, одного геометрического подобия недостаточно для того, чтобы малая пурка правильно отражала работу большой и наоборот. Необходимо выполнить условие динамического подобия: все силы, вызывающие рассматриваемое движение среды в малой пурке, должны быть уменьшены по сравнению с аналогичными силами в большой пурке в одно и тоже число раз.
Для динамического подобия необходимо соблюдение соотношения

где б,м – плотность среды (для одной и той же пробы зерновой массы б= м);
– размерность сечений (площадей) большой и малой пурки;
– квадраты скоростей движения (“течений”) среды в выбранных сечениях,
или где 
В качестве примера, численно проверим это соотношение по сечению на уровне ребра псевдосферы пурки, исходя из известного выражения для скорости, .

Условие (18) представляет собой математическое выражение общего закона динамического подобия, сформулированное еще Ньютоном и носит название критерия Ньютона:

т.е. в динамически подобных потоках безразмерное число Ньютона имеет одно и то же значение.
В теории подобия доказывается, что при соблюдении геометрического и динамического подобия будет иметь место также и кинематическое подобие (скорости, ускорения, перемещения зерновой массы в малой пурке будут соответственно в одних и тех же отношениях уменьшены по сравнению с этими величинами в большой пурке), то есть:

где скорости; W(б,м) – ускорения; T(б,м) – временные интервалы для любой пары сходственных точек;
, w, т – множители, постоянные для любой пары сходственных точек.
Таким образом, все кинематические элементы можно выразить через масштабы L и Т, которые являются основными.
Основной силой, определяющей процесс движения зерновой массы в пурках и из них, является сила тяжести (объемная сила), поскольку она определяет истечение зерна из горловин пурок. В этом случае в основное уравнение динамического подобия Ньютона (19), вносят силы тяжести, которые представляют в виде
F=mg= · L2· (g, где g=9,81 м/с2.
Уравнение (19) получает при этом вид

или после сокращений

Безразмерная величина , называется критерием Фруда. Последнее уравнение можно поэтому записать в виде:
Frб=Frм. (20)
Нетрудно убедиться, что оно выполняется. Важнее другое: достижение динамического подобия при превалирующем значении сил тяжести требует равенства чисел Фруда для разномасштабных пурок. Из (20) следует:
и если g=1, то 
Таким образом, скорости в изделиях (мерках пурки) уменьшаются прямо пропорционально корню квадратному из линейного масштаба, а масштаб зависит от значения масс, выбираемых из диапазонов (0.5-1) кг или (10-50) кг по соглашению.
Выполнение условий подобия измерительных мерок, обеспечивающих проведение разномасштабных измерений, позволит устранить имеющуюся в настоящий момент неадекватность ГОСТских методов и устройств, определения натуры и насыпной плотности зерна.
Следствием этого будет снижение вероятности возникновения систематических и случайных погрешностей при передаче единицы измерения плотности зерна нижестоящим средствам измерений согласно поверочной схеме (фиг.6).
Таким образом, предлагаемое решение повысит правильность и точность измерения плотности, обеспечат воспроизводимость динамических процессов засыпки и опорожнения.
Псевдосферу с загруженным в нее зерном приводят в состояние вынужденных колебаний. Параметры колебательного режима (интенсивность, частота, длительность) устанавливаются и поддерживаются в определенных рамках [17, 18]. Выбор параметров колебаний (форма сигнала, амплитуда, частота), вообще говоря, зависит от массы устройств и от вида зерновых злаков, их формы (пшеница, бобовые, рожь, овес, и т.п.). Предпочтительно проводить уплотнение сыпучей среды в низкочастотном диапазоне (10 200) Гц, задавая и измеряя параметры моногармонического режима [18].
Конечной задачей процесса вынужденных колебаний (вибрации) является повышение степени уплотнения свободно осуществленной насыпки зерновой массы, доведение сыпучей среды до некоторого устойчивого состояния, при котором дальнейшее повышение ее плотности не происходит, как за счет увеличения длительности воздействующего процесса ( + ) с, так и в случае малых вариаций параметров его интенсивности, относительно заданных режимов.
Предложение использовать режим наложения вынужденных колебаний с целью проведения уплотнения сыпучего материала основывается на следующих физических посылках:
– возможности достижения конечного значения плотности упаковки в ограниченном объеме пространства для монодисперсных частиц правильной формы (шаров, эллипсоидов, овоидов);
– движение материальных частиц консервативной системы под действием силовой функции происходит в направлении минимума потенциальной энергии и общее (интегральное) уплотнение сыпучего материала достигается за счет снижения потенциальной энергии системы – снижения высоты положения ее центра тяжести.
Процессы уплотнения сыпучей среды под вибрационным воздействием происходит быстро и эффективно: перестраиваются и разрушаются стохастические связи в сыпучем материале, среда приобретает псевдоожиженную подвижность, текучесть.
Этот простой прием стабилизации плотности сыпучей среды однако, при всей его очевидности, не мог быть применен в устройствах прототипов, по-видимому по той причине, что хорошего оперативного приема измерения вновь установившегося объема сыпучей среды не удавалось найти. Цилиндрический объем, имеющий значительное поперечное сечение (диаметр 20-литровой мерки – 295 мм), не позволяет установить точное значение нового уровня засыпки, поскольку поверхность зерновой засыпки не является плоской, гладкой, она “диффузна” и не является плоскостью, которая нормальна к образующей цилиндра.
Поэтому достоинства псевдосферы как объема вместимости с асимптотически сужающейся горловиной очевидно: изменение объема засыпки на узкой части горловины фиксируется хорошо и точно.
Параметры режимов возбужденных колебаний (вибраций), прикладываемых к разномасштабным псевдосферам, должны соответствовать условиям динамического подобия по критериям Ньютона.
В серии периодических измерений одна и та же проба зерна массы m, заполняющая полость псевдосферы и подвергаемая затем уплотнению при одном и том же режиме вынужденных и контролируемых по параметрам колебаний, будет иметь существенно более воспроизводимую характеристику занимаемого ею объема (и следовательно, воспроизводимую характеристику плотности), чем это может иметь место в сериях измерений натуры зерна, проводимых на пурке с падающем грузом при наличии манипуляций, совершаемых оператором.
Единообразие процесса уплотнения насыпной массы зерна достигается путем установления, по соглашению, единых нормированных параметров возбуждения колебаний и применение стандартных методов объективного аппаратурного контроля за процессом.
Таким образом, по известной массе засыпанного в мерную емкость – псевдосферу и измеренному по отградуированной шкале вместимости на ее горловине объему определяют натурную плотность (натуру) зерна.
Воспроизводимость результатов измерений является следствием действия факторов объективного характера (ограничениями, связанными со структурами самоупорядовачивания полидисперсной среды под действием вынужденных колебаний, и погрешностями инструментального происхождения, например, погрешностью градуировки шкал вместимости), а не порождаемая субъективными факторами – навыками и умением оператора, проводящего измерительный эксперимент, результат которого в некотором смысле оспорим.
Реализация второго варианта заявляемого способа – определение насыпной плотности зерна осуществляется следующим образом:
Засыпанное в псевдосферу зерно известной массы после его уплотнения свободно истекающей струей пересыпают в идентичную псевдосферу, измеряют занятый зерном объем и по значениям известной массы и измеренного объема зерна определяют его насыпную плотность.
Для изготовления псевдосферы могут быть использованы технические материалы, относящиеся к износостойким и прозрачным видам пластмасс и стекол (предпочтительно для изготовления использовать ситаллы).
Конструктивным модулем изделия, на наш взгляд, должна стать половина усеченной псевдосферы. Под нее может быть изготовлена достаточна простая пресс-форма.
Фрагмент усеченной псевдосферы можно изготовить с высокой степенью прецизионности и с высоким классом чистоты ее внутренней поверхности, используя методы и технологии центробежного литья, или литья под давлением.
Псевдосфера 1 (см. фиг.12) как изделие, должна представлять собой сборку двух идентичных (усеченных по горловинам) фрагментов 2 и 3, осуществляемую путем их состыковки и механического стягивания по периметру ребра.
На верхнюю горловину псевдосферы необходимо нанести шкалу (см. фиг.13), отградуированную в единицах вместимости, вплоть до уровня ее торцевого среза, который должен быть отшлифован; плоскости торцевых срезов должны быть выполнены перпендикулярно оси симметрии псевдосферы.
Оконечности горловин должны быть приспособлены для подсоединения дополнительных внешних комплектующих узлов, обеспечивающих полное перекрытие их отверстия, препятствующих высыпанию через отверстия горловин сыпучего материала. Для выполнения этого требования на оконечностях горловин предлагается предусмотреть либо формирование конусных участков (конусов Морзе) для внешних конусных насадок, содержащих механизм управляемой заслонки; либо предусмотреть формирование достаточно узких зон цилиндрических приливов – оконечных бобышек. В теле бобышек должен быть прорезан паз байонетного соединения, что обеспечило бы внешнее подсоединение насадки, содержащей механизм управляемой заслонки.
Узел соединителя 7 играет роль малогабаритного кольцеобразного замка – втулки, включающего в свою обойму механизм управляемой заслонки, обеспечивающей перекрытие выходного отверстия горловины.
По излагаемой конструктивной версии, соединитель с обоих своих торцов по внутренней стороне втулки снабжен байонетными выступами, входящими в паз бобышек, что позволяет ему осуществлять перекрытие среза горловины плоскостью заслонки, расположенной в его серединном сечении.
Узел соединителя 7 позволяет:
– закрыть, изолировать объем псевдосферы по срезу ее нижней горловины 3 управляемой заслонкой 8;
– осуществить быструю и надежную сборку двух псевдосфер вдоль их общей оси симметрии (см. фиг.15).
Управляемая заслонка (см. фиг.14), по предлагаемой версии, находящаяся в миддельном сечении соединителя, представляет собой два плоских полукруглых сегмента 10, лежащих в одной плоскости и находящихся под натягом разводящей их упругой плоской пружиной. Причем принудительное стягивание сегментов в единый круг осуществляется в ручную, причем одновременно выполняется операция постановки их на удерживающий зуб электромагнитной защелки.
При гашении зуба электромагнитной защелки натяжение с пружины снимается за счет быстрого разведения сегментов в противоположные стороны.
Первый вариант способа определения натурной плотности зерна иллюстрируется фиг.12 и осуществляется следующим образом.
1. Собирают псевдосферу 1 согласно изображению фиг.12, для чего обе ее половины 2 и 3 состыковывают и плотно стягивают между собой по периметру ребра при помощи оправного обода 4 и внутреннего резьбового кольца 5.
На нижнюю часть горловины 6 надевают и радиальным поворотом (по часовой стрелке) плотно завинчивают соединитель 7, в обойме кольцевой втулки которого встроена дистанционно управляемая заслонка (диафрагма) 8 с механизмом ее установки в состояние ожидания срабатывания, осуществляемого от электромагнитного реле 9, включенного в цепь фототранзистора, управление которым осуществляется дистанционно.
Пара плоских полукруглых сегментов – створки 10 заслонки 8 вручную совместно сводятся в единое целое, образуя плоскость заслонки 8, причем происходит самофиксация этого состояния за счет зацепления (установки) их на зуб электромагнитной защелки, обеспечивая, таким образом, перекрытие выходного отверстия горловины 6.
2. Подготавливают зерно к измерениям натуры и насыпной плотности, согласно ГОСТ 13586.3-86.
3. Взвешивают, установленную по соглашению для данного масштаба измерения плотности, массу зерна m1, (m2) с требуемой точностью [для примера, допустим, что для малой пурки это масса m1=(1× 103± 0,03) г, а для большой пурки – m2=(10±0,5× 10-2) кг].
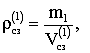
Взвешивание массы зерна 11 можно произвести непосредственно в объеме псевдосферы, исключив из результата взвешивания ее массу, как массу тары, поскольку такая операция предусмотрена в режимах работы современных электронных весов. Взвешивание конечно можно осуществить и в объеме любой другой вместимости, при условии аккуратной последующей пересыпки точно установленной массы в объем псевдосферы.
4. Псевдосфера 1 с соответствующей ей насыпанной массой зерна в размере m1 г, (или m2 кг), устанавливается и закрепляется на виброустановке, после чего подвергается вынужденным колебаниям, уплотняющим структуру засыпки.
5. Измеряют установившейся после наложения колебательного процесса объем зерна V1 в см3 (V2 в см3), считываемый по горловине псевдосферы и вычисляют плотность, уплотненной вибрацией зерновой массы:
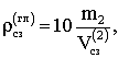
(г/л; 1 л=103 см3)
и соответственно,
(кг/дл;=1 дл4/см3),
причем плотность гектолитра, определяется как
(кг/гл, 1 гл=10 дл=105 см3).
6. Псевдосфера 1 снимается с виброустановки (вибростенда) и подготавливается к режиму измерения плотности зерна свободной засыпки.
Второй вариант способа определения насыпной плотности зерна иллюстрируется фиг.15 и осуществляется следующим образом.
В паз бобышки верхней горловины 2 заводится и радиальным поворотом (по часовой стрелке) плотно затягивается байонетный захват 12 подвески 13, который связан с универсальным шарниром Гука 14 (кардановым подвесом).
Псевдосфера 1, подвешенная за кольцо 15 подвески 13, располагается отвесно, вывешивается по истинной вертикали места. К ее нижней горловине 6, посредством использования второй секции байонетного гнезда соединителя 7, пристыковывается точно такая же, но пустая псевдосфера 16. Выжидают наступления успокоения колебаний системы, вызванной совместной сборкой псевдосфер 1 и 16. После чего (неконтактно, дистанционно) при помощи срабатывания реле 9 открывается заслонка 8. Зерно 11 свободной струей под действием силы тяжести начинается пересыпаться в нижнюю псевдосферу 16.
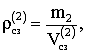
7. По завершению процесса свободной пересыпки зерна в нижнюю псевдосферу снимается показание со шкалы верхней горловины псевдосферы 16 и определяется объем ее заполнения. Таким образом, устанавливаются значения объемов Vсз (1) Vсз (2) свободной засыпки зерновых масс m1, (m2) соответственно.
Плотность свободной засыпки определяется соотношением
, г/л,
и соответственно для массы m2 как
кг/дл,
причем плотность гектолитра, определяется как
кг/гл.
Изложенная процедура по существу и есть методика использования псевдосфер для измерения натуры и насыпной плотности зерна для двух основных размеров (г/л и кг/гл).
Относительную погрешность измерения плотности можно найти как

где , – абсолютные средние погрешности массы и объема в сериях измерений. Метод в должной мере предусматривает выполнение нижеприведенных соотношений плотности для проб зерна, взятых в размерах (г/л, кг/дл) и рассчитанных для размера (кг/гл), причем как для случая уплотнения зерновой массы вибрацией, так и для случая ее свободной засыпки, соответственно:

При этом, чем полнее выполняются требования по критериям подобия для разномасштабных псевдосфер, тем строже выполняются указанные соотношения.
Заявляемый способ (в перспективе развития этого вида измерения) позволяет:
– осуществить техническую организацию измерений большего масштаба: имеется возможность перехода от размера (кг/гл) к размеру (т/м3), если только возникнет такая практическая необходимость;
– объективно оценивать возможную усадку зерновой массы, засыпаемой в хранилища или в транспортные средства, исходя из коэффициента уплотнения = уп/ сз >1, или по коэффициенту взрыхленности =1/ <1.
Коэффициенты и характеризуют также полидисперсный состав зерновой массы: чем ближе значения коэффициентов к единице, тем изоморфнее и однороднее по размерам зерно.
Основными отличиями, достоинствами и новыми положительными качествами заявляемого решения являются:
1. Изначальный выбор и принятие конкретно оговоренных значений масс зерна, подлежащих измерению, при функционально подчиненном этому решению обоснованию выбора формы вместимости в виде геометрии псевдосферы. Поскольку известно, что только масса является мерой сил инерции и гравитации. Для прототипов же изначально, с физических позиций не обосновано, установлен ряд конкретных значений объемов вместимости, выполненных по форме в виде усеченных прямых цилиндров, подлежащих заполнению зерном.
Предложенное решение правильно по существу, поскольку, реальное значение плотности в слое сыпучего вещества зависит от инерциальных сил, сопутствующих актам засыпки и вынужденных колебаний, а также является функцией силы статического давления, связанной с уровнем превышения зерновой массы над этим слоем. Причем силы давления слоев и связанная поровая структура засыпки зависят также и от геометрии формы вместимости.
Фиксированное значение массы (m=const) зерна и конструктивно обусловленное постоянство уровня (Н) пересыпки его из одной псевдосферы в другую обеспечивают воспроизводимость сил инерции и сил давления, и вследствие этого, обеспечивается воспроизводимость плотности зерновой засыпки.
2. Достигается существенное повышение точности определения плотности зерна вследствие более точного измерения его массы и занимаемого им объема.
3. Предельно упрощена конструктивная структура вмещающей емкости – псевдосферы, основного узла изделия. Из него полностью исключены вспомогательные и функционально дополняющие звенья, кинематика которых вносила бы погрешность в результат измерения, что обеспечивает повышение стабильности и точности.
Псевдосфера осуществляет функцию преобразования вариабельного объема сыпучей массы в геометрический образ своего внутреннего объема, а также формирует устойчивые параметры зернового потока, истекающего из ее горловины.
Повышение точности результатов измерения достигается здесь тем, что псевдосфера обладает стабильностью параметров статических характеристик преобразования сыпучей массы в соответствующий этой массе объем, что является следствием характерных свойств ее геометрии. При открытии нижнего отверстия горловины она порождает стабильно воспроизводимые параметры зернового потока, а в случае приема такого потока внутрь псевдосферы обеспечивает воспроизводимое значение объема, занимаемого сыпучей средой. (То есть она косвенным образом обеспечивает воспроизводимость плотности упаковки сыпучей массы m=const ).
Стабилизация статической характеристики преобразования псевдосферы [V= m] обеспечивается путем проведения определенных конструктивно-технологических мероприятий, включающих:
– точное геометрическое изготовление внутренней полости псевдосферы, согласно аналитической форме ее задания, из стабильных материалов, например, из семейства ситаллов, отличающихся исключительно высокой износостойкостью; малым коэффициентом трения; ничтожно малым влагопоглощением; оптической прозрачностью и, в частности, в ИК-области излучения; достаточно высокими физико-механическими характеристиками;
– применением совершенной технологии изготовления (например, для получения изделий из ситалла использовать преимущественно стекольную и керамическую технологии).
В своей совокупности эти мероприятия позволяют снизить источники систематических погрешностей измерения, повысить качество результата измерения – обеспечить его правильность.
Главную роль в снижении систематической составляющей погрешности играет геометрия псевдосферы, способствующая снижению вероятности возникновения дефектов в упаковке зерновой засыпки по ее внутренней поверхности, контактирующей с зерном. Это достигается как вследствие уменьшения размера площади поверхности (при условии соблюдения равнообъемной вместимости псевдосферы и цилиндра, минимизируемая площадь поверхности последнего больше чем у псевдосферы), так и вследствие геодезических свойств поверхности псевдосферы: ее динамически гладкая поверхность, способствует стохастическому процессу самоорганизации регулярной упаковки сыпучей массы.
Снижение систематической погрешности происходит и вследствие использования в качестве конструктивного материала ситалла, имеющего существенно меньший ТКЛР, чем ТКЛР металлов, используемых в прототипах, а также за счет низкого коэффициента трения ситалла, малого износа поверхности, то есть факторов, ответственных за стабильность объема вместимости, отклонение которого порождает систематическую погрешность.
4. Отличительной чертой предлагаемого конструктивного решения является простота исполнения основного преобразователя – псевдосферы, осуществляющей функцию преобразования сыпучей зерновой массы в эквивалентный ей объем. В преобразователе отсутствует структурная избыточность и тем самым минимизированы факторы, влияющие на статическую характеристику преобразователя, устранены источники возникновения случайных погрешностей, тем самым обеспечивается сходимость и повышение точности результатов измерений.
С другой стороны повышение точности результата измерения достигается путем введения структурной и временной избыточности в процесс измерения через функционально-логическую и схемотехническую организацию (архитектуру) измерительных устройств массы и виброметрии.
В известном смысле, избыточность присутствует и в структуре подвеса псевдосферы (см. фиг.15) и в сенсорном устройстве (ИК-засветки, на фиг.15 оно не представлено) для дистанционного управления заслонкой 8, перекрывающей отверстие горловины 6.
Вводимый таким путем структурный метод повышения точности измерений, расчленяет весь процесс измерения на временные фазы. Это позволяет использовать простое и надежное звено преобразования – псевдосферу для точного определения значения объема, загружаемого в нее зерна, известной массы, при условии соблюдения временной очередности (поэтапности) появлений двух ее стационарных состояний: вначале – по завершению акта виброуплотнения, а затем – после завершения акта свободной пересыпки зерна в другую конгруэнтную псевдосферу. Требуемая же точность измерения плотности достигается обработкой дополнительной информации по специальным алгоритмам, которые сопровождают операции точного взвешивания и режимы нормируемых и контролируемых вынужденных колебаний, обеспечивающих уплотнение начальных засыпок.
При современном уровне развития виброметрии и весоизмерительной техники, включение этих вспомогательных преобразований и вычислительных операций в измерение рентабельно, и более эффективно и экономично, чем решение задачи совершенствования прототипов (в части их конструкций и технологии производства) с целью повышения и улучшения их метрологических характеристик.
5. Точность измерений достигается за счет принятого нормирования и контроля размера массы и воздействующих на нее ускорений (вибрационного и ускорения свободного падения), порождающих поле объемных сил. Результирующие силы которых, с учетом внутренней геометрии псевдосферы, приводятся к главным эквивалентным векторам силы вынужденного давления и силы тяжести, расположенным на оси ее симметрии, коллинеарность и компланарность которых обеспечивается конструктивным способом (шарниром Гука) по линии истинной вертикали места. Эти мероприятия обеспечивают сходимость измерений и динамическую воспроизводимость процесса измерения.
6. Предлагаемый способ измерения плотности (несмотря на включение в него дополнительного оборудования, связанного с виброуплотнением) более прост и совершенен по сравнению с прототипами, так как не требует от оператора ни специальной подготовки, ни наличие навыков работы, и гарантирует высокую воспроизводимость и сходимость измерений в каждой серии одной и той же зерновой пробы.
7. Пооперационная идентичность методик измерения плотности в случае малых и больших значений фиксированных масс зерна при условии выполнения установленных требований теории подобия для соответствующих им псевдосфер обеспечивает правильность и точность (сходимость) результатов измерения плотности с учетом принятых для нее кратности размеров (г/л, кг/дл, кг/гл).
8. Наличие строго установленной, постоянной массы зерна, заполняющей псевдосферу в начальной и завершающей стадиях процесса измерения, обеспечивает воспроизводимую устойчивость временных динамических процессов, формирующих плотность зерновой засыпки, как обусловленных контролируемым режимом вынужденных колебаний, так и актом последующего свободного гравитационного истечения зерна в конгруэнтную (тождественно подобную) псевдосферу.
9. В развитие предлагаемого способа с целью дальнейшего совершенствования (улучшения) обеспечения единства измерений плотности зерновых культур можно ввести нормативно единый метод калибровки СИ на основе стандартизируемой композиции из сбалансированных зерновых фракций. Такие композиции могут приготовляться с помощью методов ситового анализа. Можно также, что выглядит более перспективным, регламентировать использование наборов сыпучих сред, изготовленных гранулированием из полимерных, изоморфных, полидисперсных (известного состава) материалов, имитирующих нормируемые диапазоны плотности. Иначе говоря, ввести в обращение образцовые калибрующие сыпучие вещества с гарантированной плотностью, определяемой по предложенному способу.
10. Имеется еще одно неоспоримое достоинство псевдосферы, выполненной из ситалла: ее конструкция и физико-химические свойства ИК-прозрачных ситаллов позволяют относительно просто осуществить измерение влажности зерна, заполняющего ее полость. Влажность зерна информативно значимый параметр, качественно дополняющий измерение плотностных характеристик зерна.
Таким образом, использование заявляемого решения позволит:
1. Повысить репрезентативность результата измерения, так как предлагается более точно и объективно оценивать качество зерна по совокупности двух его граничных показателей плотности уп и сз так, что другие менее точно выполняемые оценки натуры зерна и насыпной плотности всегда будут лежать внутри диапазона уп> сп> сз.
2. Обеспечить действительное методическое и инструментальное единство измерений плотности зерна (как в части касающейся натуры зерна, так и насыпной плотности).
3. Улучшить правильность результата измерений, существенно понизив вклад систематических составляющих погрешности измерения плотности за счет предложенного метода, характера его осуществления.
То есть улучшить качество измерений, так как, чем меньше систематические погрешности, тем правильнее измерение (заявителями системно правильно выбраны: модель объекта измерения – масса; метод и средства измерения – точное взвешивание и точное определение объема по псевдосфере; измерительные процедуры -уплотнение, свободное заполнение в стационарных стадиях; помехоподавляющие алгоритмы вычислительных операций и т.д.).
4. Улучшить сходимость результатов измерения за счет уменьшения составляющих случайных погрешностей, т.е. повысить качество измерений, отражающее близость друг к другу результатов измерений, выполненных в одинаковых условиях.
5. По совокупности осуществляемых мероприятий повысить точность, достоверность, воспроизводимость и статистическую надежность измерения плотности зерновых проб.
Литература
1. ГОСТ 10940-64, Зерно. Методы определения типового состава.
2. ТУ 25-7713 0027-90 (вместо ГОСТ 7861-74, Пурка с падающим грузом).
3. ГОСТ 30046-93, Зерновые. Определение насыпной плотности зерна, называемой “масса гектолитра”.
4. Измерение массы, объема, плотности. С.И.Гаузнер, С.С.Кивилис, А.П.Осокина, А.Н.Павловский, М.: Стандарты, 1982, 490 с.
5. Измерение массы, плотности и вязкости. Под ред. Ю.В.Тарбеева, М.: Издательство Стандартов, 1988, 176с. (в гл. 5, Методы и средства измерений натуры зерна).
6. МИ 2022-89. Пурки литровые образцовые и рабочие. Методы поверки.
7. www, triticum.ru, info@.triticum. ru.
8. Мир измерений, № 2, 2001 (тема журнала – масса и ее измерение).
9. Справочник по математике для инженеров и учащихся ВТУЗов. И.Н.Бронштейн и К.А.Семендяев. Гос.изд-во Технико-теоритической лит-ры, М.
10. Справочник по математике для научных работников и инженеров. Г. Корн, Т. Корн, М.: издательство “Наука”, 1968.
11. Краткий курс дифференциальной геометрии. А.П.Норден, Физматгиз, 1958.
12. Дифференциальная геометрия. П.К.Рашевский, Физматгиз, 1958.
13. Наглядная геометрия. Д.Гильберт, С. Кон-Фоссен.
14. Математика для инженеров. Г.М.Фихтенгольц, ч. II, вып.2, М.: Технико-теоретическое изд-во, 1933.
15. Справочник по гидравлическим сопротивлениям. И.Е. Идельчик, М.: Машиностроение, 1960.
16. Гидравлика, гидравлические машины и гидравлические привода Т.М.Башта, М.: Машиностроение, 1970.
17. Вибрация в технике. Под ред. М.Д.Генкина, М.: Машиностроение, 1981, т. 5, 496 с.
18. Приборы и системы для измерения вибрации, шума и удара. Справочник, под ред. В.В.Клюева, М.: Машиностроение, 1978, т. 1, 447 с., т. 2, 439 с.
Формула изобретения
1. Способ определения натурной плотности зерна, использующий его засыпку в мерную емкость, нормализацию плотности его упаковки и информацию об объеме и массе засыпанного зерна, отличающийся тем, что в отградуированную по вместимости мерную емкость в виде псевдосферы засыпают установленную массу зерна, накладывают на емкость вынужденные колебания до установления стабильного объема, занимаемого зерном, измеряют величину этого объема и по значениям известной массы и измеренного объема зерна определяют его натурную плотность.
2. Способ определения насыпной плотности зерна, использующий его засыпку в мерную емкость и информацию об объеме и массе засыпанного зерна, отличающийся тем, что в отградуированную по вместимости мерную емкость в виде псевдосферы из идентичной ей емкости засыпают уплотненную в ней, свободно истекающую установленную массу зерна, измеряют занятый зерном объем и по значениям известной массы и измеренного объема зерна определяют его насыпную плотность.
3. Мерная емкость устройства для определения плотности зерна, отличающаяся тем, что внутренняя полость емкости выполнена в виде псевдосферы, при этом верхняя горловина псевдосферы отградуирована в откалиброванных значениях единиц вместимости, а нижняя горловина снабжена заслонкой.
РИСУНКИ
MM4A Досрочное прекращение действия патента Российской Федерации на изобретение из-за неуплаты в установленный срок пошлины за поддержание патента в силе
Дата прекращения действия патента: 10.12.2005
Извещение опубликовано: 27.01.2007 БИ: 03/2007
Изменения:
Публикацию о досрочном прекращении действия патента на изобретение считать недействительной.
Номер и год публикации бюллетеня: 3-2007
Извещение опубликовано: 20.02.2007 БИ: 05/2007
|