|
(21), (22) Заявка: 2003112781/09, 29.04.2003
(24) Дата начала отсчета срока действия патента:
29.04.2003
(43) Дата публикации заявки: 20.11.2004
(45) Опубликовано: 20.05.2005
(56) Список документов, цитированных в отчете о поиске:
RU 2000472 C1, 07.09.1993. RU 2185526 С1, 20.07.2002. RU 2046210 С1, 20.10.1995. RU 2184384 С1, 27.06.2002. EP 0486243 А3, 20.05.1992. GB 2337304 А, 17.11.1999.
Адрес для переписки:
410054, г.Саратов, ул. Политехническая, 77, Саратовский государственный технический университет, отдел ИТИС, патентный отдел
|
(72) Автор(ы):
Торопчин В.И. (RU), Скрипкин А.А. (RU), Денисов А.А. (RU), Захаров А.А. (RU)
(73) Патентообладатель(и):
Саратовский государственный технический университет (RU)
|
(54) СПОСОБ ПОЛУЧЕНИЯ ИЗ ГРАВИТАЦИОННОГО ПОЛЯ ЭКОЛОГИЧЕСКИ ЧИСТОЙ ЭНЕРГИИ
(57) Реферат:
Изобретение относится к области гравитационных двигателей и источников энергии с маховиками. Техническим результатом является снижение прочностных требований к материалу маховика. Используется осесимметричный замкнутый поток ионов или электронов, вращающийся внутри вакуумной оболочки генератора СВЧ колебаний магнетронного типа, обеспечивающего генерацию колебаний на частоте, при которой поток зарядов вращается с угловой скоростью, с которой начинается его раскрутка силами гравитационного поля. В цепи управления величиной анодного напряжения магнетронного генератора включено устройство, управляемое амплитудным детектором генерируемых колебаний, которое, обеспечивая неизменной частоту генерации и угловую частоту вращения облака ионов или электронов в процессе раскрутки, обеспечивает увеличение электронного коэффициента полезного действия в процессе раскрутки. 1 ил.

Изобретение относится к области гравитационных двигателей и источников энергии с маховиками.
В работе [1] обоснована возможность получения из гравитационного поля экологически чистой энергии, раскручивающей тело, путем начальной закрутки помещенного в гравитационное поле тела вокруг своей оси. При этом отсутствует информация, до какой скорости необходимо раскрутить маховик.
Наиболее близким к заявленному решению является известный способ получения из гравитационного поля экологически чистой энергии, раскручивающей тело, путем начальной закрутки помещенного в гравитационное поле тела вокруг своей оси, причем закрутку осуществляют до угловой скорости, удовлетворяющей соотношению [2]:

где mc – масса центра вращения тела, (г); b’ – радиус вращения тела, (см); 1,19 – коэффициент для гравитационного поля Земли.
Для осуществления указанного способа измеряют радиус вращения b’ материального объекта, например маховика, определяют положение оси вращения и массу его центра вращения mc, с помощью указанного соотношения вычисляют скорость 3 самораскручивания объекта, при которой этот объект сам начинает набирать обороты, становясь генератором энергии вращения за счет энергии гравитационного поля Земли.
Недостатком известного способа является то, что он предъявляет очень высокие требования к прочности материалов маховика, не достигаемые для ныне существующих материалов, поскольку линейная скорость на ободе маховика из-за высокой угловой скорости его вращения должна быть близка скорости света [3, с.116-119, с.278-284]. Однако рекордная линейная скорость на ободе маховика-гироаккумулятора в мире, полученная с использованием новых композитных материалов, ионных преобразователей тока и магнитных подшипников в Окриджской национальной лаборатории (США), составляет для маховика диаметром около 70 см при частоте вращения около 650 об/с величину порядка 1400 м/с [4]. Задачей изобретения является снижение прочностных требований к материалу маховика.
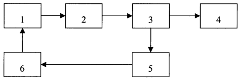
Поставленная задача решается тем, что вместо традиционного твердого маховика используется осесимметричный замкнутый поток зарядов (электронов или ионов), вращающийся внутри вакуумной оболочки генератора СВЧ колебаний магнетронного типа. “Жесткость” этого потока обеспечивается благодаря фокусирующим свойствам магнитного поля, вектор индукции В которого нормален вектору напряженности электрического поля Е. Предлагаемый способ может быть реализован, например, с помощью устройства со следующей функциональной схемой (см. чертеж). На функциональной схеме устройства цифрами обозначено: 1 – блок питания анодным напряжением магнетронного генератора; 2 – магнетронный генератор СВЧ колебаний частоты, электрически перестраиваемый в полосе шириной до 1%; 3 – направленный ответвитель; 4 – нагрузка; 5 – амплитудный детектор; 6 – блок выработки управляющего сигнала.
Устройство функционирует следующим образом. Резонансная и электронно-оптическая системы генератора 2 должны обеспечивать генерацию требуемой мощности при начальных значениях анодных напряжения Uo и тока Io на частоте fo:

где N – число резонаторов колебательной системы магнетронного генератора [5], 3 – угловая частота вращения потока зарядов, при которой начинается самораскрутка.
При включении магнетронного генератора и подаче на анод напряжения Uo синхронизм электромагнитной волны и потока заряженных частиц на частоте fo обеспечивается за счет поддержания постоянным величины отношения Uo/Во, при котором частота генерируемых колебаний составляет fo. Здесь Во – индукция магнитного поля магнетронного генератора. При этом замкнутый поток зарядов вращается с угловой скоростью 3. С этого момента начинается его раскрутка за счет сил гравитационного поля. Этот фактор приводит к увеличению угловой скорости замкнутого потока зарядов и некоторому изменению выходной мощности Рвых и частоты f генерируемых колебаний. Для ограничения их и управления ими в цепь питания анода магнетронного генератора последовательно с источником анодного напряжения Ua 1 включен дополнительный электрически управляемый источник напряжения 6. В последнем сравниваются величины сигналов, снимаемых с амплитудного детектора 5 на частотах fo и f, и вырабатывается сигнал, величина которого пропорциональна изменению мощности генерации dP = Рвых-Рвых о. Здесь Рвых о – выходная мощность в режиме собственного синхронизма. Входной сигнал детектора 5 снимается с плеча направленного ответвителя 3. В устройстве 6 по соответствующей программе вырабатывается корректирующий сигнал, подаваемый в соответствующей фазе на анод магнетронного генератора и уменьшающий величину Ua до значения (меньшего Uo), при котором восстанавливается заданный управляющей программой уровень выходной мощности. При этом частота генерируемых колебаний лежит в полосе рабочих частот магнетронного генератора. В ходе дальнейшей раскрутки, при условии сохранения величины анодного тока Iа, величина выходной мощности Рвых будет незначительно изменяться при более интенсивном уменьшении величины подводимой мощности Р=Ua Ia. При определенном уровне выходной мощности наступит баланс между величинами работы гравитационной силы и дополнительной энергии, отдаваемой в нагрузку. При этом электронный коэффициент полезного действия (кпд) устройства

будет существенно больше электронного кпд магнетронного генератора, работающего без раскрутки облака зарядов гравитационными силами.
Энергия СВЧ колебаний нагревает жидкость, протекающую через экранированную нагрузку 4.
Список использованных источников
1. Гулиа И.В. Маховичные двигатели. М.: Машиностроение, 1976.
2. Патент РФ №2000472, БИ №33-36, 1993 г., МКИ F 03 G 3/08. Талалаевский Г.В.
3. Пришельцы рядом. Альманах научной фантастики. /А. Мягченков, Г. Талалаевский и др. М.: АО “Яконто”, 1992. – 285 с.
4. Экологически чистые источники энергии на основе военных технологий. БИНТИ – 1, №8, 22.02.1994 г., с.15…19.
5. Жеребцов И.П. Основы электроники. М.: Энергия, 1974.
Формула изобретения
Способ получения из гравитационного поля экологически чистой энергии, раскручивающей тело, помещенное в гравитационное поле, путем начальной закрутки тела вокруг своей оси вращения до угловой скорости

где mc – масса центра вращения тела, (г);
b’ – радиус вращения тела, (см);
1,19 – коэффициент для гравитационного поля Земли,
отличающийся тем, что в качестве раскручиваемого тела используют замкнутый осесимметричный поток электронов или ионов, вращающийся в пространстве взаимодействия магнетронного генератора СВЧ-колебаний частоты

где N – число резонаторов колебательной системы магнетронного генератора,
в цепь управления величиной анодного напряжения которого подается сигнал обратной связи, управляемый амплитудным детектором генерируемых колебаний, обеспечивающий постоянство угловой частоты вращения замкнутого потока ионов или электронов в процессе раскрутки.
РИСУНКИ
MM4A – Досрочное прекращение действия патента СССР или патента Российской Федерации на изобретение из-за неуплаты в установленный срок пошлины за поддержание патента в силе
Дата прекращения действия патента: 30.04.2006
Извещение опубликовано: 27.04.2007 БИ: 12/2007
MM4A – Досрочное прекращение действия патента СССР или патента Российской Федерации на изобретение из-за неуплаты в установленный срок пошлины за поддержание патента в силе
Дата прекращения действия патента: 30.04.2006
Извещение опубликовано: 20.06.2007 БИ: 17/2007
|