|
(21), (22) Заявка: 2003113522/11, 13.05.2003
(24) Дата начала отсчета срока действия патента:
13.05.2003
(43) Дата публикации заявки: 27.11.2004
(45) Опубликовано: 20.05.2005
(56) Список документов, цитированных в отчете о поиске:
US 2873931 A, 17.02.1959. RU 2163555 С1, 27.02.2001. RU 2147786 C1, 20.04.2000. US 6109565 A, 29.08.2000.
Адрес для переписки:
141070, Московская обл., г. Королев, пр-кт Космонавтов, 39А, кв.51, В.П. Гордееву
|
(72) Автор(ы):
Гордеев В.П. (RU)
(73) Патентообладатель(и):
Гордеев Вениамин Павлович (RU)
|
(54) СПОСОБ ПОЛЕТА И УСТРОЙСТВО ДЛЯ ЕГО ОСУЩЕСТВЛЕНИЯ
(57) Реферат:
Изобретение относится к области авиации. Способ полета основан на создании потока тяговыми винтами для циркуляционного безотрывного обтекания потоком крыла. Поток отклоняют в вертикальной плоскости наклоном винтов. Часть потока из зоны торможения отбирают в полость крыла, выполненного с плавным контуром поперечного сечения, и выводят наружу в круговом направлении вдоль контура крыла через продольные тангенциальные щели по всему размаху крыла. Винтовой самолет содержит крыло, винты и силовую установку для винтов. Силовая установка снабжена топливным бункером и газогенератором, состоящим из камеры пиролиза, топки, испарителя и конденсатора. Крыло и лопасти винтов выполнены с плавным типа цилиндра объемным контуром поперечного сечения, с проемом для забора воздуха из зоны торможения потока во внутреннюю полость и с продольными выходными тангенциальными щелями по контуру на всей длине. Винты сообщены с газогенератором трубопроводами. Топка размещена в топливном бункере. Технический результат – расширение диапазона изменения скорости полета. 2 н.п.ф-лы, 2 ил.

Изобретение относится к области авиации как способ полета и основанное на нем воздушное транспортное, дозорное и спасательное средство.
Предлагаемый способ полета основан на создании безотрывного циркуляционного обтекания крыла, при котором возникает тяга крыла (равнодействующая сил давления), нормальная к направлению относительного обтекающего потока. На этом же принципе основан полет известных самолетов (прототип, Сергель О.С. Прикладная газодинамика. М.: Машиностроение, 1981) и вертолетов (аналог).
Относительный обтекающий крыло известных самолетов поток создается поступательным перемещением крыла вместе с самолетом относительно неподвижной атмосферы тяговыми аэродинамическими винтами (или реактивными двигателями). В вертолетах относительный обтекающий крыло поток создается за счет вращения крыла (винта). Циркуляционная составляющая скорости обтекающего потока в известных способах создается за счет вязкого обтекания при больших поперечных градиентах скорости задней острой кромки крыла. Тяга вертолета (сила в направлении полета) создается путем наклона его в вертикальной плоскости полета, при этом возникает составляющая тяги крыла на направление полета.
Известен эффект возникновения поперечной силы при полете вращающихся тел (эффект Магнуса). Циркуляционная составляющая скорости обтекающего потока в этом случае возникает за счет закрутки пристеночного слоя потока силами вязкости.
В любом случае возникновение циркуляции и тяги крыла обусловлено вязкостью газа потока. В потоке невязкого газа циркуляция не возникает и, соответственно, не возникает тяга крыла. Вязкость изменяет идеальное (бесциркуляционное) течение, циркуляция и, соответственно, тяга крыла принимают конечные значения.
Циркуляция и тяга крыла с острой задней кромкой пропорциональны углу наклона плоскости крыла к направлению траектории (углу атаки). Допустимый угол атаки ограничен явлением отрыва пограничного слоя обтекающего потока на верхней поверхности крыла из-за положительного градиента давления. При отрыве потока течение становится аналогичным обтеканию крыла невязкой (идеальной) жидкостью, когда циркуляция потока вокруг крыла равна нулю, отсутствует тяга крыла и ее вертикальная составляющая (подъемная сила). Для поддержания самолета в воздухе (компенсации силы тяжести) необходима большая скорость полета, опасная при взлете и посадке.
В некоторых случаях, когда часть крыла обдувается потоком, ускоренным винтами, скорость движения самолета, необходимая для взлета, несколько уменьшена. Но этот эффект незначителен, поскольку ускоренный поток охватывает небольшую часть крыла.
Диапазон скорости полета ограничен сверху и снизу утяжелением самолета механизмами изменения шага винта, устройствами механизации крыла и мощными колесными шасси. К тому же эти устройства сложны конструктивно и недостаточно надежны. Из-за малого момента инерции сечения на изгиб тяжелы плоские крылья и лопасти винтов.
Авиационные силовые установки с двигателями внутреннего сгорания чрезвычайно сложны, недостаточно надежны, утяжелены редукторами согласования оборотов двигателя с потребными оборотами винта и теряют мощность с высотой полета. На каждый винт требуется автономная установка. Установки работают на дорогом опасном дефицитном жидком топливе.
Невозможность вертикального взлета и посадки делает самолет опасным в применении и привязанным к аэродромам (неавтономным), малопригодным для проведения спасательных работ и несения дозорной службы на малоосвоенных территориях. Самолет привязан также к топливозаправочным станциям.
Вертолет малопригоден для горизонтального полета из-за периодического изменения относительной скорости обдува крыла (лопасти винта). Потребная мощность силовой установки во много раз больше, чем у самолета.
Предлагаемый способ полета и устройство для его осуществления свободны от перечисленных недостатков. Самолет отличается от известных (назначение изобретения) управляемостью скорости полета и широким диапазоном ее изменения; безопасностью применения; простотой, надежностью и легкостью конструкции; экономичностью в производстве и эксплуатации; автономностью эксплуатации; универсальностью применения; экологической чистотой, бесшумностью, простотой управления и эксплуатации.
В предлагаемом способе потоком, ускоренным винтами, обтекается все крыло, что позволяет осуществлять вертикальный взлет и вертикальную посадку, вертикальный полет и режим висения. При этом тяга винтов компенсируется горизонтальной составляющей тяги крыла (отрицательной). В общем случае скорость полета регулируется отклонением обдувающего крыло потока от направления полета за счет наклона винтов в вертикальной плоскости, например, вместе со всей машиной. Тяга крыла дает составляющую на направление полета (дополнительно к тяге винтов), поскольку она направлена нормально не к направлению полета, а к отличному от него направлению обдува крыла. (В отношении создания тяги самолета за счет тяги крыла путем изменения направления относительного обдувающего крыло потока предлагаемый способ полета аналогичен естественному способу полета птиц. Горизонтальная составляющая тяги крыла птицы создается периодическим движением крыла вниз. Тяга обычного самолета создается исключительно винтами.)
Для осуществления предлагаемого способа полета обычное крыло с острой задней кромкой малопригодно. Из-за малого рабочего диапазона углов мало допустимое отклонение потока от направления полета, а из-за большого размаха крыла технически трудно обеспечить обдув его потоком от винтов по всей длине. Поэтому крыло предлагается выполнять с гладким контуром без острой задней кромки, например, в виде заглушенного по торцам цилиндра с проемом для забора воздуха из зоны торможения обдувающего крыло потока в полость крыла и с выходными продольными тангенциальными щелями, расположенными по контуру сечения крыла на всем протяжении крыла (будем условно называть такое крыло круглым, а обычное крыло плоским). Воздух, поступающий в полость круглого крыла, истекает из нее через щелевые каналы по касательной к контуру и создает циркуляционную составляющую скорости обтекающего крыло потока. Безотрывность обтекания крыла достигается сдувом пограничного слоя на поверхности крыла щелевыми потоками и означает, что круглое крыло не создает потоку сопротивления давления.
Величина тяги осесимметричного круглого крыла не зависит от направления обдува и во много раз (примерно в 2 ) превышает тягу обычного плоского крыла той же площади в плане, что позволяет выполнять его компактным, обходиться для его обдува обычным количеством винтов, осуществлять безопасный вертикальный взлет и вертикальную посадку без механизации крыла и снизить скорость полета при посадке с неработающим двигателем (аварийный случай).
Лопасти винтов выполняются аналогично крылу, например, в виде полого цилиндра с продольными тангенциальными щелями. Лопасти заглушены с концевого торца. Поток во внутреннюю полость поступает через открытый корневой торец. Осесимметричная лопасть обтекается безотрывно при любом направлении потока, что делает ненужными механизмы изменения шага винта.
Отклонение обдувающего крыло потока от направления полета создается наклоном винтов, например, вместе со всей машиной с помощью рулей, размещенных в зоне потока от винтов.
Возможность вертикального взлета (без разгона) делает ненужными аэродромы. Не требуется оборудовать самолет мощными колесными шасси. Для обеспечения остойчивости машины достаточно дополнить кабину легкими боковыми опорами. Для обеспечения безопасности пользования самолетом в естественных природных условиях и мобильности на воде, его следует выполнять в плавучем варианте. Для этого следует кабину выполнять герметичной снизу, а боковые опоры – в виде поплавков. Общее водоизмещение должно обеспечивать возможность посадки также на болота.
Самолет вертикального взлета выгодно выполнять в паросиловом варианте на древесном топливе. В этом случае он более автономен: не зависит не только от аэродромов, но и от заправочных станций, поскольку древесина имеется повсеместно. Возможно использование любого другого горючего материала растительного и животного происхождения.
Круглое крыло, интенсивно обдуваемое снаружи и изнутри потоком от винтов, в паросиловом варианте самолета может служить одновременно конденсатором отработавшего пара. Для этого достаточно его шпангоуты выполнять трубчатыми, как охлаждающие элементы. Оболочка крыла как оребрение интенсифицирует теплообмен, а ее прогрев исключает обледенение крыла при низкой температуре воздуха. Специальный конденсатор не требуется.
Паросиловая установка самолета имеет преимущества перед силовой установкой с двигателем внутреннего сгорания. Она проста и надежна, допускает глубокое регулирование оборотов без потери мощности, малочувствительна к высоте, не требуются редукторы оборотов. Использование круглого крыла одновременно в качестве конденсатора отработавшего пара позволяет значительно снизить вес самолета в целом. Не требуется оборудовать каждый винт автономной силовой установкой или применять тяжелые и сложные механические трансмиссии. Автономные движители винтов подключаются к общему парогенератору и к общему конденсатору простыми и легкими паропроводами. Сами движители могут выполняться простыми и легкими по типу объемных роторных шиберных. В обеспечение надежности в работе таких движителей их шиберы предлагается выполнять в форме цилиндра вместо обычных плоских.
Проблема полноты сгорания древесного топлива решается размещением топки в сообщающемся с ней топливном бункере, который в этом случае служит пиролизной камерой (газогенератором).
Низкий коэффициент полезного действия термодинамического процесса паровой машины компенсируется доступностью и экологической чистотой древесного топлива.
Пример выполнения самолета показан на фиг.1. Здесь 1 – парогенератор, 2 – турбины, 3 – крыло, 4 – кабина. Парогенератор включает топку, испаритель, пиролизную камеру и регулирующую задвижку подачи воздуха в топку и пиролизную камеру. Турбина состоит из аэродинамического винта 5 и движителя 6 винта, кабина включает поплавки 7 и рули 8.
Крыло выполнено в виде полого, заглушенного по торцам, цилиндра с продольными тангенциальными щелями. Оболочка крыла набрана из дуговых профилей 9, соединенных между собой внахлестку с зазором трубчатыми шпангоутами 10 и торцовыми заглушками 11.
Лопасти винта выполнены в виде полого цилиндра с продольными тангенциальными щелями и заглушены с концевых торцов обечайкой. Корневые торцы лопастей открыты. Винты расположены вплотную друг к другу.
Рули установлены на V-образной державке в ускоряемой винтами части потока (граничные и нулевая линия тока ускоренного потока на чертеже показаны штриховыми линиями). Привод рулей ручной, непосредственно ручками управления 12.
В обеспечение автономности самолета топка парогенератора рассчитана на использование древесного топлива. В обеспечение стабильности горения и полноты сгорания топлива она дополнена пиролизной камерой. Полости топки и пиролизной камеры сообщаются между собой через систему отверстий в нижней части. Воздух поступает в топку через регулирующую задвижку 13, зазор между стенкой пиролизной камеры и наружной стенкой парогенератора и систему отверстий в нижней части топки.
Тяга топки создается эжектированием топочного газа потоком воздуха от винтов через выходные щели дымоходов. Для исключения тепловых потерь в трубопроводах пара высокого давления последние проложены в дымоходах в потоке топочного газа.
Материал парогенератора – сталь типа 12Х18Н10Т.
Движители 6 выполнены по типу наиболее простых объемных роторных шиберных. Известные шиберные движители выполняются с шиберами в виде пластин.
В применении к самолету они недостаточно надежны из-за заклинивания шиберов-пластин в пазах ротора и не обладают достаточным ресурсом работы из-за фрикционного изнашивания. Поэтому приняты шиберы 14 в форме цилиндра (будем условно называть их круглыми) из фторопласта. Такие шиберы как клапаны закрываются под действием давления, а не только центробежной силы инерции. Поэтому движители с круглыми шиберами, в отличие от обычных, могут эффективно работать также на малых оборотах, создавать крутящий момент на месте и выполняться с наружным ротором. Движитель с наружным ротором как привод лопастей винта удобен конструктивно. Центробежная сила инерции шибера компенсирует излишнее усилие на эксцентрик статора в зоне высокого давления. Под ее действием в зоне выхлопа клапаны автоматически открываются, что позволяет упростить выхлопные каналы.
Крыло рассчитано на использование его одновременно в качестве конденсатора отработавшего пара. Его шпангоуты трубчатые и соединены параллельно коллектором 15 отработавшего пара и коллектором 16 конденсата. Коллектор 16 соединен с испарителем через обратный клапан.
При обдуве крыла часть набегающего потока из зоны торможения поступает во внутреннюю полость крыла, истекает тангенциально через щелевые зазоры и течет далее снова спутно с остальной частью обтекающего потока, при этом местные скорости потоков одинаковы, поскольку у них одинаковы давления и давления торможения. Такое течение можно рассматривать как результат наложения и взаимодействия двух независимых течений:
Первое. В неподвижной среде течет поток со скоростью V. Поток поступает во внутреннюю полость крыла без потерь давления торможения и далее в межпрофильные зазоры, где разгоняется и истекает тангенциально вдоль контура крыла. Скорость истечения равна V, поскольку не изменилось наружное давление. Циркуляция потока вокруг крыла Г=СV, где С – длина контура крыла.
Второе течение – бесциркуляционное обтекание цилиндра потоком со скоростью V.
Следовательно, тяга крыла длиной L
T= VГL= V2CL= V2S,
где S – площадь поверхности крыла, – плотность воздуха.
Аналогично, тяга винтов (сумма проекций тяг лопастей на ось винта)

где , – скорость потока в плоскости винтов, – угловая скорость лопасти, l – длина лопасти, s – суммарная площадь поверхности лопастей.
При совместной работе винтов и крыла


где s’ – площадь, сметаемая винтами, V0 – скорость полета (вдоль траектории).
Обтекание крыла кругового поперечного сечения соответствует теоретическому обтеканию кругового цилиндра поступательным потоком невязкой жидкости со скоростью на бесконечности V с наложенной циркуляцией Г=2 r0V, где r0 – радиус крыла. Радиальная и окружная скорости


где r и – координаты точки потока (см., например, Сергель О.С. Прикладная газодинамика. М.: Машиностроение, 1981).
На поверхности цилиндра (r=r0, Vr=0) распределение скорости
Vu=V(2sin +1),
и тяга крыла

Уравнения линий тока

На фиг.1 штриховыми линиями показаны нулевая и граничные линии тока ускоренного винтами потока.
Вертикальная составляющая тяги крыла (подъемная сила) ТY=Tcos , где – угол наклона тяги, всегда равна весу Mg самолета, поэтому потребная скорость обдува круглого крыла

В силу малости угла приближенно

не зависит от скорости полета и тяги винтов и определяется отношением полетного веса самолета к площади поверхности крыла и плотностью атмосферного воздуха (высотой полета).
Наибольшая скорость V0 полета равна скорости V обдува крыла и достигается в планирующем полете. Тяга винтов не влияет на величину предельной скорости полета, а только изменяет наклон траектории.
Наклон машины в вертикальной плоскости полета достигается согласованным поворотом обоих рулей. Рассогласование положения рулей создает боковое усилие и поворот машины в горизонтальной плоскости.
Под действием тепла, поступающего от стенки топки, древесное топливо в пиролизной камере разлагается на газовую фазу и пылеобразный кокс. Образующаяся горючая смесь поступает в топку и сгорает в потоке атмосферного воздуха. Расход воздуха и, соответственно, мощность топки регулируются задвижкой 8.
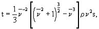
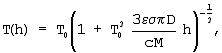
Распределение температуры топочного газа по каналу топки

где Т0 – температура сгорания топлива. М – расход топочного газа, D – диаметр топки.
По мере выработки конденсата в испарителе он накапливается в конденсаторе, площадь поверхности конденсации сокращается. При большом заполнении охлаждающих элементов конденсатом пар конденсируется не полностью, создается противодавление на выхлопе турбин, их мощность падает. Для поддержания заданного режима полета увеличивают подачу воздуха в топку, но при этом горючая смесь обедняется, падает температура сгорания и расход пиролизного газа, что еще более обедняет смесь, пламя гаснет. Потоком холодного воздуха испаритель охлаждается, давление в нем резко снижается и выравнивается с давлением в конденсаторе, конденсат перетекает из конденсатора через обратный клапан в испаритель. Происходит дозаправка испарителя конденсатом. При этом самолет находится в режиме планирующего полета. Топка пригашена. Для розжига топки задвижка переводится в положение подачи воздуха на дутье в пиролизную камеру. Топливо разгорается, пламя выходит в топку, задвижка переводится в положение непосредственной подачи воздуха в топку.
При ходе шибера кругового сечения, равном половине его диаметра d, и шаге шиберов е отношение конечного объема пара к его начальному объему

При большой влажности пара процесс его расширения в движителе близок к изотермическому, и мощность движителя на единицу расхода газовой фазы пара равна p0 0ln , где р0 и 0 – начальное давление и соответствующий удельный объем газовой фазы.
Коэффициент полезного действия =p0 0ln /h’’, где h’’ – теплосодержание пара.
Соотношение площадей в плане круглого S и плоского S’ крыльев одинаковой тяги

т.е. потребная площадь в плане круглого крыла в 2 раз меньше, чем в случае плоского крыла.
На фиг.2 представлены расчетные характеристики самолета в частном случае (В.П.Гордеев. Винтомоторный паросиловой самолет вертикального взлета УАТТ2. Технический проект. ЦНИИМаш, 2004),
где:
М – полетная масса (кг) – 400,
t – тяга винтов (Н),
р0 – давление пара на входе в турбины (Па),
Р – мощность винтов (Bт),
mт – расход топлива (кг/c),
f – обороты винтов (1/с),
n – коэффициент полезного действия,
р’ – давление в конденсаторе (Па),
V – скорость обдува крыла-конденсатора (м/с) – 29,45,
Т – тяга крыла (Н) – 3925,
V – скорость потока в плоскости винтов (м/с),
V0 – скорость попета (м/c),
m’’ – расход пара (кг/с),
m – расход выхлопного газа (кг/с),
– концентрация выхлопного газа в потоке от винтов,
– приземная концентрация выхлопного газа при полете на высоте 1 км.
Формула изобретения
1. Способ полета самолета, основанный на создании потока тяговыми винтами для циркуляционного безотрывного обтекания потоком крыла, отличающийся тем, что отклоняют поток в вертикальной плоскости наклоном винтов, часть потока из зоны торможения отбирают в полость крыла, выполненного с плавным контуром поперечного сечения, и выводят наружу в круговом направлении вдоль контура крыла через продольные тангенциальные щели по всему размаху крыла.
2. Винтовой самолет, содержащий крыло, винты и силовую установку для винтов, отличающийся тем, что силовая установка снабжена топливным бункером и газогенератором, состоящим из камеры пиролиза, топки, испарителя и конденсатора, крыло и лопасти винтов выполнены с плавным типа цилиндра объемным контуром поперечного сечения, с проемом для забора воздуха из зоны торможения потока во внутреннюю полость и с продольными выходными тангенциальными щелями по контуру на всей длине, винты сообщены с газогенератором трубопроводами, топка размещена в топливном бункере.
РИСУНКИ
|