|
|
(21), (22) Заявка: 2002123885/28, 23.02.2001
(24) Дата начала отсчета срока действия патента:
23.02.2001
(30) Конвенционный приоритет:
07.03.2000 US 09/519,688
(43) Дата публикации заявки: 27.04.2004
(45) Опубликовано: 27.04.2005
(56) Список документов, цитированных в отчете о поиске:
ЕР 0676637 А1, 11.10.1995. US 5201215 A, 13.04.1993. SU 1315885 A1, 07.06.1987. US 5233261 А, 03.08.1993.
(85) Дата перевода заявки PCT на национальную фазу:
06.11.2002
(86) Заявка PCT:
US 01/05766 (23.02.2001)
(87) Публикация PCT:
WO 01/67083 (13.09.2001)
Адрес для переписки:
129010, Москва, ул. Б.Спасская, 25, стр.3, ООО “Юридическая фирма Городисский и Партнеры”, пат.пов. Г.Б. Егоровой
|
(72) Автор(ы):
ШЕВЧЕНКО Сергей М. (US), КУЗНЕЦОВ Дмитрий Л. (US), ДУГГИРАЛА Прасад Й. (US)
(73) Патентообладатель(и):
НАЛКО КЕМИКАЛ КОМПАНИ (US)
|
(54) СПОСОБ И УСТРОЙСТВО ДЛЯ ИЗМЕРЕНИЯ ОБРАЗОВАНИЯ НАКИПИ ОКСАЛАТА КАЛЬЦИЯ
(57) Реферат:
Изобретение относится к измерительной технике. Способ включает в себя измерение скорости осаждения накипи оксалата кальция из раствора на микродатчике массы на основе кристалла кварца, имеющем верхнюю сторону и вторую, нижнюю, сторону, изолированную от раствора, где значение рН раствора вблизи от микродатчика массы измеряется с использованием модуля для измерения рН и контролируется электрохимически в пределах от около 3,5 до около 9. В устройстве рабочий электрод покрыт электропроводящим материалом или изготавливается из электропроводящего материала, на котором интенсивное выделение газообразного водорода происходит при потенциалах, более отрицательных, чем те, которые необходимы для достижения значений рН 3,5-9 вблизи микродатчика массы. 4 н. и 18 з.п. ф-лы, 8 ил.

Область изобретения
Настоящее изобретение относится к способу и устройству для измерения склонности флюидов к образованию накипи оксалата кальция и эффективности ингибиторов образования накипи оксалата кальция. Более конкретно настоящее изобретение относится к способу измерения скорости осаждения накипи оксалата кальция на поверхности пьезоэлектрического микродатчика массы, погруженного во флюид, где осаждение накипи осуществляется с помощью электрохимически контролируемого изменения рН вблизи микродатчика массы.
Уровень техники
Накипь оксалата кальция представляет собой серьезную проблему для множества промышленных процессов, в которых участвует вода, таких как отбеливание древесной пульпы и производство сахара. Накипь оксалата кальция может оставаться суспендированной в воде или формировать твердые осадки, которые аккумулируются на поверхности любого материала, который соприкасается с водой. Эта аккумуляция затрудняет эффективный теплоперенос, вмешивается в течение флюида, облегчает коррозийные процессы и собирает бактерии.
Первым отрицательным воздействием, ассоциирующимся с образованием и осаждением накипи, является уменьшение емкости или отверстий резервуаров и проходов, используемых для хранения и переноса воды. В случае проходов, используемых для переноса загрязненной накипью воды, повышение сопротивления потоку является очевидным следствием происходящего в результате осаждения осадка.
Однако целый ряд таких же проблем возникает из-за использования воды, загрязненной накипью. Например, осадок накипи на поверхностях емкостей для хранения и транспортных труб для промышленной воды может разрушаться, быть захваченным и переноситься в промышленной воде, повреждая и закупоривая оборудование, через которое проходит вода, например трубы, клапаны, фильтры и сетки. Кроме того, эти осадки могут появляться и выделяться из конечного продукта, получаемого в данном процессе, такого как бумага, получаемая из водной суспензии пульпы.
Кроме того, когда загрязненная накипью вода участвует в теплообменном процессе, либо как “горячая”, либо как “холодная” среда, накипь будет формироваться на поверхностях теплообмена, соприкасающихся с водой. Такое образование накипи образует изолирующий или осложняющий теплоперенос барьер, который уменьшает эффективность теплопереноса, а также повышает сопротивление потоку через систему. Таким образом, образование накипи представляет собой проблему, требующую значительных средств для своего решения, во многих системах с промышленной водой, вызывая задержки в работе и дополнительные расходы, являющиеся результатом выключений для чистки и удаления осадков.
Накипь оксалата кальция в биологических флюидах представляет собой другую значительную проблему. В частности, камни в почках образуются из оксалата кальция, и анализ мочи на осаждение оксалата кальция используется для оценки подверженности пациента образованию камней в почках и для мониторинга и скрининга фармацевтических средств.
Соответственно, существует постоянно возрастающая потребность в разработке новых агентов, которые предотвращают или ингибируют образование накипи оксалата кальция во флюидах, а также в удобных способах измерения эффективности этих ингибиторов. Кроме того, поскольку природные ингибиторы могут изначально присутствовать в растворах, представляющих интерес, существует необходимость в эффективных способах характеризации тенденции промышленных и биологических растворов, самих по себе, к формированию осадков из оксалата кальция.
Эффективность этих ингибиторов образования накипи оксалата кальция проявляется с помощью их способности к подавлению роста кристаллов путем блокировки активных позиций потенциальных центров кристаллизации и предотвращения агломерации растущих кристаллов.
Общим для указанных выше процессов является то, что они происходят на границе раздела жидкость – твердое тело. Следовательно, измерение in situ скорости роста кристаллов в присутствии ингибиторов образования накипи из оксалата кальция на границе раздела твердое тело – жидкость представляет особый интерес. Традиционные измерения относятся, по большей части, к изменению объемных свойств исследуемого раствора, таких как растворимость, электропроводность, мутность и тому подобное, вследствие образования кристаллов. Существует только несколько способов для измерения скорости роста кристаллов, и еще меньше способов для осуществления измерений in situ на границе раздела твердое тело – жидкость.
Способы для измерения скорости роста кристаллов на поверхности раздела твердое тело – жидкость, которые используют пьезоэлектрический микродатчик массы, описаны в патенте США №5201215, в заявке на патент США №09/338,699 и в заявке на Европейский патент №676637А1. Принцип пьезоэлектрического измерения массы основывается на свойстве кварцевого резонатора изменять его механическую резонансную частоту f0 пропорционально массе и вязкоупругим свойствам осажденного материала. Изменение частоты выражается следующим образом:

где f0 представляет собой невозмущенную резонансную частоту кварцевого кристалла; N представляет собой номер гармоники; представляет собой сдвиговую жесткость кварца, q представляет собой плотность кварца; s представляет собой поверхностную плотность массы осадка (масса/площадь), представляет собой плотность среды, соприкасающейся с резонатором, и представляет собой вязкость среды, соприкасающейся с резонатором.
Там, где вязкоупругие свойства системы могут не учитываться или оставаться постоянными во время измерений, поверхностная плотность массы может быть измерена с использованием упрощенного выражения, которое может быть использовано для нагрузки, вызывающей изменение резонансной частоты, не превышающее 5% (примерно 4,5 мг/см2):
s=-C f0
где величина С определяется с помощью калибровки и, как правило, равна 1,77×10-5 мг/(сек см2 Гц) для 5 МГц кварцевого кристалла.
Однако, как здесь обсуждалось, пьезоэлектрический микродатчик массы, описанный в обсуждавшихся ранее ссылках, является неприспособленным для исследования растворов оксалата кальция, поскольку он не предоставляет условий, необходимых для кристаллов оксалата кальция для их осаждения на поверхности микродатчика массы. Как следствие этого, продолжает существовать потребность в способах измерения тенденций к формированию накипи оксалата кальция в растворах при таких условиях, в которых способность оксалата кальция к образованию накипи ингибируется.
Сущность изобретения
Авторы обнаружили, что микродатчик массы на основе кварцевого кристалла с металлическим покрытием может быть использован для создания условий, необходимых для осаждения кристаллов оксалат кальция на поверхности микродатчика массы, в частности, с помощью контроля значения рН раствора вблизи поверхности микродатчика массы путем приложения соответствующей электрической поляризации к поверхности металла (рабочего электрода).
Однако не любой материал может быть использован для покрытия микродатчика массы на основе кристалла кварца. Таким образом, традиционные пьезоэлектрические микродатчики массы, использующие традиционные кристаллы с золотым покрытием не могут быть использованы для исследования ингибиторов образования накипи оксалата кальция, поскольку при том потенциале, который обеспечивает необходимое для образования оксалатной накипи значение рН вблизи поверхности, наблюдается интенсивное выделение водорода. Это выделение водорода отрицательно воздействует на осаждение накипи оксалата кальция на микродатчике массы, а часто делает его совершенно невозможным.
Кроме того, исследуемый раствор должен иметь соответствующее значение рН и концентрацию оксалата кальция. Значение рН раствора должно быть достаточно низким для того, чтобы обеспечить полную растворимость составляющих. Однако значения рН, меньшие, чем 2, могут быть слишком низкими для электрохимической поляризации с целью получения роста значения рН на кварцевом микродатчике массы, достаточного для осаждения оксалата кальция из раствора, при этом без выделения пузырьков водорода. С другой стороны, значения рН, более высокие, чем 3, могут не обеспечивать концентрацию ионов кальция и оксалата в объеме раствора, достаточную для разумной скорости осаждения и быстрого завершения исследования.
Кроме того, поверхностные активности ингибиторов, а также адсорбционные свойства поверхности осаждения зависят от значения рН. Для поддержания одних и тех же условий скрининга различных растворов требуется реальная информация о значении рН вблизи рабочего электрода микродатчика массы.
Авторы разработали способ и устройство для исследования потенциальных ингибиторов образования накипи оксалата кальция и способности промышленных и биологических растворов к формированию осадков оксалата кальция, которые используют контролируемое изменение рН в насыщенном кислородом кислом исследуемом растворе вблизи подложки для осаждения, которая представляет собой рабочий электрод микродатчика массы на основе кристалла кварца (от англ. quartz crystal microbalance, QCM).
Соответственно этому, в своем главном воплощении настоящее изобретение направлено на способ измерения склонности к образованию накипи оксалата кальция из непрерывно текущего раствора, имеющего значение рН от около 2 до около 3, включающий в себя измерение скорости осаждения накипи оксалата кальция из раствора на микродатчике массы на основе кристалла кварца, имеющем верхнюю сторону, содержащую рабочий электрод в контакте с раствором, и вторую, нижнюю, сторону, изолированную от раствора, где рН раствора вблизи микродатчика массы контролируют электрохимически на уровне от около 3,5 до около 9 и где рабочий электрод покрыт электропроводящим материалом или изготовлен из электропроводящего материала, на котором интенсивное выделение газообразного водорода происходит при потенциалах, более отрицательных, чем это необходимо для достижения значений рН 3,5-9 вблизи микродатчика массы.
В другом аспекте настоящее изобретение направлено на способ измерения эффективности ингибиторов образования накипи из оксалата кальция, включающий в себя:
a) измерение склонности к образованию накипи оксалата кальция из непрерывно текущего раствора, имеющего значение рН от около 2 до около 3, включая измерение скорости осаждения накипи оксалата кальция из раствора на микродатчике массы на основе кристалла кварца, имеющем верхнюю сторону, содержащую рабочий электрод в контакте с раствором, и вторую, нижнюю, сторону, изолированную от раствора, где значение рН раствора вблизи микродатчика массы контролируют электрохимически на уровне около 3,5 до около 9 и где рабочий электрод покрыт электропроводящим материалом или изготовлен из электропроводящего материала, на котором интенсивное выделение газообразного водорода происходит при потенциалах, более отрицательных, чем это необходимо для достижения значения рН 3,5-9 вблизи микродатчика массы;
b) добавление ингибитора образования накипи оксалата кальция к раствору; и
c) повторное измерение скорости осаждения накипи оксалата кальция из раствора на микродатчике массы на основе кристалла кварца.
В другом аспекте настоящее изобретение направлено на устройство для измерения склонности к образованию накипи оксалата кальция из непрерывно текущего раствора, имеющего значение рН от около 2 до около 3, содержащее микродатчик массы на основе кристалла кварца, имеющий верхнюю сторону, содержащую рабочий электрод для соприкосновения с раствором, и нижнюю сторону, изолированную от раствора, где значение рН вблизи микродатчика массы контролируется электрохимически на уровне от около 3,5 до около 9 и где рабочий электрод покрыт электропроводящим материалом или изготовлен из электропроводящего материала, на котором интенсивное выделение газообразного водорода происходит при потенциалах, более отрицательных, чем это необходимо для достижения значения рН 3,5-9 вблизи микродатчика массы.
В другом аспекте настоящее изобретение направлено на устройство для измерения склонности к образованию накипи оксалата кальция из непрерывно текущего раствора, имеющего значение рН от около 2 до около 3, содержащее измерительную ячейку с перемешивающим средством и установленные в измерительной ячейке:
a) микродатчик массы на основе кристалла кварца, имеющий верхнюю сторону, содержащую рабочий электрод для соприкосновения с раствором, и нижнюю сторону, изолированную от раствора;
b) модуль для измерения значения рН поверхности, предназначенной для соприкосновения с раствором, причем узел электрода для измерения значения рН содержит сеточный электрод, расположенный поверх рН-электрода, где сетка изготовлена из такого же материала, как и рабочий электрод микродатчика массы;
c) два электрода сравнения для соприкосновения с раствором; и
d) два измерительных электрода для соприкосновения с раствором, где микродатчик массы на основе кристалла кварца и модуль для измерения значения рН поверхности расположены горизонтально и ориентированы в разные стороны, два измерительных электрода установлены вертикально и каждый из них расположен на одинаковом расстоянии ниже по потоку от микродатчика массы на основе кристалла кварца и модуля для измерения значения рН поверхности, электроды сравнения установлены вертикально и каждый из них расположен на одинаковом расстоянии ниже по потоку от каждого из измерительных электродов и где рабочие электроды модуля для измерения значения рН поверхности и микродатчика массы на основе кристалла кварца покрыты электропроводящим материалом или изготовлены из электропроводящего материала, на котором интенсивное выделение газообразного водорода происходит при потенциалах, более отрицательных, чем это необходимо для достижения значения рН 3,5-9 вблизи микродатчика массы.
Способ по настоящему изобретению моделирует образование накипи оксалата кальция из растворов, содержащих ионы кальция и оксалата, при таких условиях, когда значение рН раствора увеличивается выше предела растворимости соли, при этом химия (химические свойства) раствора обеспечивает характерную скорость осаждения. Увеличение рН раствора создают электрохимически и контролируют in situ вблизи микродатчика массы на основе кристалла кварца с металлическим покрытием, который служит в качестве поверхности зародышеобразования для кристаллов накипи.
Способ и устройство по настоящему изобретению являются пригодными для использования при работе с настольным лабораторным устройством или, в портативной форме, для контроля процесса в нужном месте. Этот способ делает возможным надежное и простое исследование потенциальных ингибиторов образования накипи оксалата кальция как в модельных, так и в реальных растворах. Он является воспроизводимым, чувствительным и имеет более широкую область применения, чем известные методики, которые страдают от вмешательства дополнительных компонентов, присутствующих в промышленных растворах. Этот способ делает возможным конкретную характеризацию способности ингибиторов образования накипи к предотвращению роста кристаллов оксалата кальция, а в случае, когда он используется в сочетании с обычными химическими исследованиями, делает возможным всестороннюю характеризацию свойств ингибиторов образования накипи оксалата кальция.
В дополнение к исследованию промышленных растворов этот способ может быть применен к биологическим растворам для характеризации их тенденции к образованию осадков оксалата кальция. Он обладает большим потенциалом для медицинских применений, таких как исследование мочи на подверженность (восприимчивость к) образованию камней в почках, и мониторинг и скрининг потенциальных фармацевтических препаратов.
Способ и устройство по настоящему изобретению также могут быть использованы для измерения склонности к образованию неорганической накипи у любого водного раствора, где растворимость накипи зависит от значения рН, включая карбонат кальция; кальциевые соли органических кислот; гидроксид магния; и тому подобное.
Краткое описание чертежей
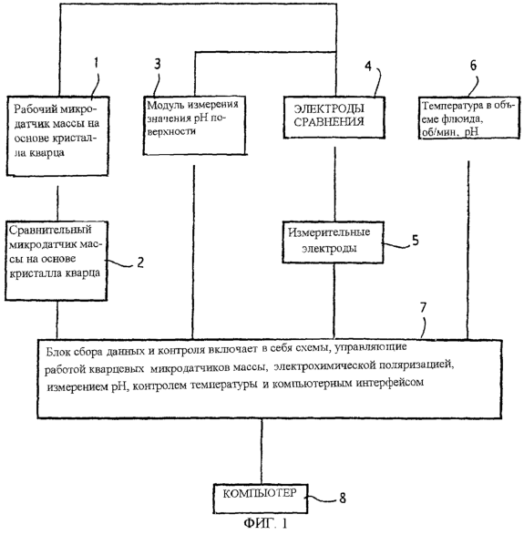
Фигура 1 представляет собой блок-схему устройства по настоящему изобретению для измерения скорости роста накипи оксалата кальция в растворе, которое содержит рабочий микродатчик (1) массы на основе кристалла кварца, сравнительный микродатчик (2) массы на основе кристалла кварца (2), модуль (3) измерения значения рН поверхности, электроды (4) сравнения и измерительные электроды (5), средство (6) для контроля и измерения температуры в объеме раствора, рН и потока раствора, блок (7) сбора данных и контроля, соединенный с внешним компьютером (8).
Фигура 2 представляет собой вид с частичным вырывом устройства по настоящему изобретению, конфигурированного в периодическом режиме.
Фигура 3 представляет собой блок-схему устройства по настоящему изобретению, конфигурированного как система с непрерывным потоком.
Фигура 4 представляет собой общий вид сверху кварцевого сенсора микродатчика (1) массы на основе кристалла кварца.
Фигура 5 представляет собой общий вид снизу кварцевого сенсора микродатчика (1) массы на основе кристалла кварца.
Фигура 6 представляет собой вид в разрезе узла (36) микродатчика массы на основе кристалла кварца.
Фигура 7 представляет собой общий вид сверху модуля (3) для измерения значения рН поверхности.
Фигура 8 представляет собой вид в разрезе модуля (3) для измерения значения рН поверхности.
Подробное описание изобретения
Настоящий способ использует осаждение оксалата кальция из кислотных растворов, содержащих ионы кальция и оксалата в том случае, когда значение рН растворов возрастает. Скорость осаждения измеряется с помощью чувствительного микродатчика массы на основе кристалла кварца, вблизи которого электрохимически генерируется и контролируется увеличение рН. Этот способ использует электрохимическое устройство с ячейкой, в которой устанавливается непрерывный (постоянный для данной серии экспериментов) поток исследуемого раствора по отношению к поверхности микродатчика массы на основе кристалла кварца, где исследуемый раствор имеет значение рН, достаточно высокое для электрохимической поляризации с целью получения осаждения оксалата кальция и достаточно низкое для растворения оксалатной соли в растворе.
Микродатчик массы на основе кристалла кварца представляет собой пьезоэлектрический резонатор, присоединенный к измерительной и возбуждающей схеме (цепи). Резонатор представляет собой пластину из кристалла кварца с полученными осаждением из паровой фазы электродами на ее сторонах, используемыми для соединений (электрических контактов). Одна из сторон резонатора (верхняя сторона или сторона флюида) со своим электродом (рабочим электродом) погружена в исследуемый раствор, а другая сторона (нижняя или контактная сторона) остается в воздухе, чтобы предотвратить шунтирование резонатора раствором. Когда отрицательная (катодная) электрическая поляризация прикладывается к рабочему электроду, вода и растворенный кислород в растворе вблизи рабочего электрода восстанавливаются с одновременным образованием ионов гидроксила, что приводит к локальному повышению рН и осаждению оксалата кальция.
Достаточный катодный потенциал также приводит к восстановлению ионов водорода до газообразного водорода и к образованию пузырьков водорода. При низких значениях рН в объеме электрохимический потенциал реакции с участием водорода является достаточно положительным для выделения водорода и для эффективного замедления осаждения оксалата кальция с помощью пузырьков, частично блокирующих рабочий электрод и перемешивающих раствор вблизи электрода, предотвращая тем самым необходимое увеличение рН. Следовательно, рабочий электрод микродатчика массы должен быть изготовлен из или покрыт электропроводящим материалом, на котором интенсивное выделение пузырьков водорода происходит при потенциалах, более отрицательных, чем те, которые необходимы для осаждения оксалата кальция.
Скорость выделения водорода при данном потенциале в основном зависит от используемого материала электрода. Следовательно, должны быть использованы материалы электрода с наибольшими возможными превышениями потенциала (перенапряжениями) выделения водорода над потенциалом осаждения, для которых интенсивное выделение водорода происходит при наивысшей возможной катодной поляризации.
Другие соображения при выборе материала электрода включают в себя простоту обращения, низкую стоимость и устойчивость к растворению в кислой среде. Репрезентативные материалы, имеющие высокое превышение потенциала (перенапряжения) выделения водорода, включают в себя серебро; свинец; кадмий; электроды из алмазоподобных тонких пленок с имплантированными ионами или без них, силициды титана, ниобия и тантала; свинцово-селеновые сплавы; ртутные амальгамы (например, амальгамированную медь); и тому подобное. Серебро является особенно предпочтительным материалом электрода.
Другим условием является то, что исследуемый раствор должен иметь соответствующее значение рН и концентрацию оксалата кальция. Значение рН раствора должно быть достаточно низким, чтобы обеспечить полную растворимость составляющих. Однако значения рН, более низкие, чем 2, могут приводить к электрохимической индукции, вызывающей малое увеличение рН вблизи кварцевого микродатчика массы, недостаточное для того, чтобы приводить к осаждению оксалата кальция из раствора. С другой стороны, значения рН, более высокие, чем 3, могут не обеспечивать концентрации ионов кальция и оксалата в объеме раствора, достаточные для разумной скорости осаждения и быстрого завершения исследования. Следовательно, для исследуемого раствора является предпочтительным диапазон значений рН от около 2 до около 3. Осаждение накипи оксалата кальция на поверхности кварцевого микродатчика массы осуществляется, когда значение рН раствора вблизи кварцевого микродатчик массы (локальное значение рН) является более высоким, чем примерно 3,5. Локальное значение рН от около 3,5 до около 9 является предпочтительным.
В одном из воплощений настоящего изобретения измерение рН осуществляется с использованием вспомогательного модуля (3) для измерения значения рН поверхности (от англ. surface рН, SPH), содержащего сеточный электрод (32), расположенный поверх рН-электрода (35) с плоским торцом, как представлено на фигурах 7 и 8. Сетка должна быть настолько тонкой и плотной, насколько это возможно, и изготавливаться из того же самого материала, что и рабочий электрод микродатчика массы. После помещения в такие же условия исследований сеточный электрод позволяет аппроксимировать поверхностные рН-условия вблизи поверхности микродатчика массы. В принципе могут быть использованы и другие устройства для измерения рН, включая, но, не ограничиваясь ими, полученные путем напыления из паровой фазы электроды из металла/оксида металла, торцевых комбинированных микроэлектродов и так далее.
В другом воплощении измерение рН осуществляется с использованием торцевых комбинированных микроэлектродов, например таких, которые производятся Microelectrodes, Inc., Bedford, NH. Торцевой комбинированный микроэлектрод представляет собой миниатюризированный обычный рН-электрод на основе селективной диффузии протонов через стекло, чувствительное к ионам водорода, и определение потенциалов между внутренним электролитом и электродом сравнения из серебра/хлорида серебра.
В другом воплощении измерение значения рН поверхности осуществляется с помощью использования рН-электрода, осажденного из паровой фазы на поверхности рабочего микродатчика (1) массы на основе кристалла кварца. Рабочий электрод (23) микродатчика (1) массы имеет определенные размеры. Геометрия электрохимического диффузионного слоя вблизи края этого электрода предполагает, что электрохимически индуцированное изменение рН осуществляется не только в непосредственной близости сверху от электрода, но также и вблизи края электрода в горизонтальном (боковом) направлении в той же самой плоскости. Следовательно, если сенсор рН малого размера размещен вблизи края и в той же самой плоскости, что и рабочий электрод микродатчика массы, является возможным измерение значения рН вблизи электрода.
Тонкопленочные электроды на основе оксидов металлов являются предпочтительными для таких измерений рН. Эти материалы приготавливаются путем химического напыления металлов, выбранных из группы, включающей в себя металлические мишени из вольфрама, платины, палладия, рутения и иридия, в аргон-кислородных атмосферах с целью получения тонкой пленки толщиной несколько микрон непосредственно на подложке (22) из кристалла кварца.
Как описано выше, диапазон значений рН вблизи электрода от около 3,5 до 9 является предпочтительным для измерений осаждения. Это предпочтительное значение рН достигается в растворе вблизи рабочего электрода в то время, как контролируется его электрохимическая поляризация. Такой контроль осуществляется с использованием модуля для измерения значения рН поверхности. Модуль служит для установления зависимости значения рН вблизи электрода от приложенной электрохимической поляризации при заданных условиях исследования. Может быть использован контроль либо потенциала электрохимической поляризации, либо тока. Рассмотренная выше зависимость получается при медленном изменении потенциала или тока, происходящем от низкой до высокой катодной поляризации. Контроль тока может быть более выгодным с точки зрения приборного обеспечения, поскольку он не требует электродов сравнения и компенсации сопротивления раствора.
Эта зависимость, как правило, имеет две области роста рН, где скорость осаждения оксалата кальция является пропорциональной скорости образования ионов гидроксила. Первая область соответствует восстановлению кислорода, контролируемому массопереносом. Другая область расположена в более катодном диапазоне значений и соответствует восстановлению воды до водорода. Область восстановления кислорода и, таким образом, центр соответствующей области значений рН на оси поляризации является предпочтительным для измерений осаждения, поскольку она приводит к получению наиболее целостного остатка. Во второй, более катодной водородной области, могут различаться две части. В начальной части водородной области выделяются только очень маленькие пузырьки водорода, которые легко уносятся прочь потоком раствора. Эта часть характеризуется более высокими скоростями образования гидроксила, чем в кислородной области, и может также быть использована в том случае, если требуется более быстрое завершение исследования. Использование этой части, однако, требует более тщательного контроля зависимости рН от поляризации, чтобы предотвратить соскальзывание (т.е. переход) в более катодный диапазон, где могут образовываться пузырьки газообразного водорода большего размера, что приводит к потере электрического контакта и к разрушению осадка.
Следующие процедуры могут быть использованы для выбора соответствующих условий контроля из зависимости значения рН вблизи электрода от приложенной электрохимической поляризации. В случае контроля тока медленное (сканирующее) изменение тока от примерно нулевого значения до достаточно большого катодного тока (как правило, около 10 мА/см2) используется для определения диапазонов тока, дающих предпочтительный диапазон значений рН от 3,5 до 9 в кислородной области или в начале водородной области. Впоследствии ток контролируется в этом диапазоне во время осаждения накипи. Предпочтительно, к рабочему электроду прикладывается ток от -0,05 до около -10 мА/см2.
В случае контроля потенциала медленное сканирующее изменение потенциала от потенциала разорванной цепи до достаточно большого катодного потенциала (как правило, 3 вольта по отношению к электроду Аg/АgСl) используется для определения диапазонов потенциалов электрода, дающих предпочтительный диапазон значений рН от 3,5 до 9 в кислородной области или в начале водородной области. Впоследствии, во время осаждения накипи, потенциал контролируется в этом диапазоне значений. Если используется отдельный модуль для измерения значения рН поверхности в схеме с контролем потенциала, то является необходимым, чтобы сопротивление раствора между электродами сравнения и рабочими электродами модуля для измерения значения рН поверхности и микродатчика массы было одним и тем же или компенсировалось. Одинаковое сопротивление является предпочтительным, поскольку в этом случае информация об относительном положении потенциала на зависимости значения рН от поляризации является достаточной для установления требуемого диапазона значений рН в растворе вблизи электрода. Предпочтительно, к рабочему электроду прикладывается потенциал от около -0,5 до около -2 В, более предпочтительно от около -0,9 до около -1,5 В по отношению к электроду сравнения серебро – хлорид серебра.
В любом из способов контроля либо потенциала, либо тока, описанных выше, если и микродатчик массы, и модуль для измерения значения рН поверхности используются одновременно, является возможным предварительное установление желаемого значения рН с использованием “ручки” контроля в начале исследования.
Воплощения устройства по настоящему изобретению иллюстрируются на фигурах 1-3.
Блок-схема воплощения устройства по настоящему изобретению представлена на фиг.1. Устройство состоит из рабочего микродатчика (1) массы на основе кристалла кварца при необходимости, сравнительного микродатчика (2) массы на основе кристалла кварца, модуля (3) измерения значения рН поверхности, электродов (4) сравнения и измерительных электродов (5), средства (6) для контроля и измерения температуры в объеме раствора, потока раствора и рН, и блока (7) сбора данных и контроля, соединенного с внешним компьютером (8).
Осаждение оксалата кальция происходит на рабочем микродатчике (1) массы, когда поляризация достигает уровня генерации требуемых значений рН в слое раствора вблизи электрода. Объемные параметры раствора, такие как вязкость, электропроводность и значение рН в объеме, могут изменяться во время эксперимента. Сравнительный микродатчик (2) массы используется для устранения воздействия таких возможных изменений на результаты экспериментов. Сравнительный микродатчик (2) массы не поляризован, и, следовательно, оксалат кальция не осаждается на его поверхности. Поскольку сравнительный микродатчик (2) и рабочий микродатчик (1) массы погружены в один и тот же раствор, изменение резонансной частоты кристалла из-за аккумуляции осадка может быть легко выделено.
Блок (7) сбора данных и контроля осуществляет экспериментальные процедуры и передает данные эксперимента внешнему компьютеру (8). Программное обеспечение компьютера контролирует экспериментальную установку и сбор данных, а также обрабатывает данные и строит графики. Программируемыми параметрами являются: электрохимическая поляризация (или, в одном из возможных воплощений, требуемое значение рН поверхности), компенсация сопротивления раствора, температура и поток раствора (скорость потока в системе с непрерывным потоком или скорость вращения в периодической системе). Внешний компьютер обрабатывает и хранит данные экспериментов, при этом демонстрируя на дисплее параметры исследования и графики осаждения (количество и скорость осаждения) в реальном времени.
Измерительная ячейка (19) имеет трехэлектродную конфигурацию (расположение) с использованием рабочего электрода (23) микродатчика (1) массы на основе кристалла кварца, электродов (4) сравнения и измерительных электродов (5). Измерительные электроды (5) электролитически соединены с объемом флюида и способны прикладывать однородное электрическое поле к стороне электрода (23) рабочего микродатчика (1) массы, находящейся во флюиде, и к модулю (3) измерения значения рН поверхности. Измерительные электроды (5) изготавливаются из графита или из других устойчивых материалов, что легко понятно для специалистов в данной области техники, таких как платина, нержавеющая сталь и тому подобное.
Электроды (4) сравнения измеряют потенциалы рабочих поверхностей микродатчика (1) массы на основе кристалла кварца и модуля (3) для измерения рН поверхности. Предпочтительными являются электроды сравнения серебро – хлорид серебра. Электроды (4) сравнения располагаются во флюиде, предпочтительно, настолько близко, насколько это возможно, к рабочему электроду (23) микродатчика (1) массы на основе кристалла кварца или модуля (3) для измерения значения рН поверхности. Однако электроды сравнения могут не быть необходимыми для работы в режиме контроля тока (гальваностатическом). Если электрохимическая система может компенсировать падение потенциала на сопротивлении раствора между рабочими электродами и электродами сравнения, расстояние между ними может быть увеличено.
В принципе, устройство по настоящему изобретению может использовать любой электрический источник, способный снабжать рабочий электрод поляризацией соответствующей величины, полярности и стабильности. Электрические условия, устанавливаемые в цепях, могут контролироваться и измеряться с использованием оборудования, повсеместно используемого специалистами в данной области техники.
Устройство по настоящему изобретению также включает в себя средство (6) для измерения и контроля температуры в объеме флюида, значения рН и потока исследуемого раствора.
Стационарный поток объема жидкости, проходящий рабочий (1) и сравнительный (2) кристаллы кварца и модуль (3) для измерения значения рН поверхности, создается в периодической системе с использованием соответствующего перемешивающего устройства, такого как крыльчатка, механическая лопастная мешалка или магнитная мешалка, или с помощью водяного насоса, – в системе с непрерывным потоком. Под “стационарным” подразумевается относительно постоянный поток. Этот поток может быть либо ламинарным, либо турбулентным, при этом динамика потока поддерживается оптимальной для осаждения, оксалата кальция и настолько близкой, насколько это возможно, к динамике моделируемой системы.
Температура флюида контролируется с использованием любых соответствующих средств регулировки температуры, включая, но не ограничиваясь ими, охладитель или нагреватель, расположенный в объеме жидкости. Температура объема жидкости измеряется с помощью термопары, соединенной с контроллером. Температура объема жидкости, измеренная с помощью термопары, может поддерживаться постоянной или изменяться настолько, насколько это необходимо для моделирования желаемой системы.
Устройство по настоящему изобретению может работать в качестве периодической системы, как представлено на фиг.2, или в качестве системы с непрерывным потоком, как представлено на фиг.3. Как периодическая система, так и система с непрерывным потоком используют одни и те же рабочий микродатчик (1) массы и модуль (3) для измерения значения рН поверхности, представленные на фигурах 5-8. Измерительные ячейки изготавливаются из химически устойчивого твердого пластика (например, ПВХ или/и акрила).
В установке с периодической системой, представленной на фиг.2, ячейка содержит рабочий (1) и сравнительный (2) микродатчики массы, модуль (3) для измерения рН поверхности с его рабочим электродом (32), два электрода (4) сравнения (один из электродов сравнения не показан на чертеже из-за разреза, два измерительных электрода (5), покрытый тефлоном картридж нагревателя (12), сенсор температуры (не показан) и мешалку (11). Ячейка помещается на столике прецизионно регулируемого магнитного перемешивающего устройства (9). Блок (7) сбора данных и контроля включает в себя схемы, управляющие работой микродатчиков массы на основе кристаллов кварца, электрохимической поляризацией, измерением рН, контролем температуры и интерфейсом к компьютеру (8).
В периодической системе модуль (3) для измерения значения рН поверхности и рабочий микродатчик (1) массы используются либо последовательно, либо одновременно. В последнем случае является возможным установка поляризации непосредственно в ходе процесса (on-line) для достижения нужного значения рН на поверхности микродатчика массы.
Измерительная ячейка (19) снабжена двумя узлами микродатчиков массы: рабочий микродатчик (1) массы используется для измерений осаждения, а сравнительный микродатчик (2) массы (поляризация не прикладывается) используется для вычитания фонового значения в случае, если свойства раствора, такие как вязкость и плотность, изменяются во время эксперимента. Эта конструкция является также полезной, когда раствор является осаждаемым сам по себе, например, когда присутствуют взвешенные волокна или частицы.
В системе с непрерывным потоком, представленной на фиг.2, исследуемый раствор хранится и термически кондиционируется в стеклянной или пластиковой воронке (14). Насос (15) доставляет раствор из воронки (14) через клапан (16), контролирующий поток, и измеритель (17) потока, и далее, через входной канал (18) в измерительную ячейку (19). Раствор покидает ячейку через трубку (21). В системе с непрерывным потоком могут быть сделаны изменения, чтобы использовать внешний ввод исследуемого раствора, например, из отведенного потока промышленного процесса.
Номер (20) на фиг.3 представляет собой позицию в измерительной ячейке (19), в которой либо модуль (3) измерения значения рН поверхности, либо узел (36) микродатчика массы на основе кристалла кварца, могут быть прикреплены к измерительной ячейке (19).
Измерительная ячейка (19) содержит электрод (4) сравнения и измерительный электрод (5). Соединения между измерительной ячейкой (19), насосом (15) и воронкой (14) предпочтительно изготавливаются из пластиковых трубок. Рабочий микродатчик (1) массы, электрод (4) сравнения и вспомогательный электрод (5) соединяются с блоком (7) сбора данных и контроля, который включает в себя схемы для управления работой рабочего микродатчика (1) массы, модуля (3) для измерения значения рН поверхности, одним или несколькими электрохимическими потенциостатами и компьютером (8).
Сначала с помощью установленного модуля (3) для измерения значения рН поверхности определяются оптимальные условия относительно рН. Затем устанавливается узел (36) кварцевого микродатчика массы для измерения способности к образованию накипи. В первом случае сеточный электрод (32) модуля (3) для измерения значения рН поверхности присоединяется к той же электрохимической системе и подвергается действию таких же условий исследования, как и рабочий электрод (23) микродатчика (1) массы. Как поверхностное, так и объемное значения рН в системе измеряются с использованием модуля (3) для измерения значения рН поверхности, соединенного со схемой считывания значений рН в блоке (7) сбора данных и контроля.
В другом аспекте настоящего изобретения ячейка с непрерывным потоком, представленная на фиг.3, модифицируется путем установки рабочего микродатчика (1) массы, модуля (3) для измерения значения рН поверхности и разветвленного входа (18) в измерительной ячейке (19), чтобы сделать возможным установление поляризации непосредственно в ходе процесса (on-line), с достижением целевого значения рН на поверхности микродатчика (1) массы, как это описано выше для периодической системы,
Предпочтительные конфигурации микродатчика (1) массы на основе кристалла кварца и узла (36) микродатчика массы на основе кристалла кварца представлены на фигурах 4 и 5. В этом воплощении чувствительным к массе элементом пьезоэлектрического микродатчика массы является кристалл (22) кварца, вырезанный в направлении AT (т.е. под углом 35,15° к оси Y кристалла при вращении его вокруг оси X) с осажденными из паровой фазы электродами (23), (24) и (25). Электрод (23) представляет собой рабочий электрод, поскольку он погружается в исследуемый флюид во время измерений.
Рабочий электрод (23) огибает край верхней или погружаемой во флюид стороны кристалла (22), продолжаясь до ее нижней стороны, образуя контакт (24), как представлено на фигуре 5. Нижняя сторона кристалла (22) кварца также включает в себя второй возбуждающий электрод (24) с контактом (25). Контакты (24) и (25) обеспечивают электрические соединения со схемой, управляющей работой микродатчика массы, в блоке (7) сбора данных и контроля посредством соединительных проводов.
Узел (36) микродатчика массы на основе кристалла кварца представлен на фиг.6. Кристалл (22) кварца герметично устанавливается в отверстии ячейки с постоянным потоком или стационарной ячейки. Фиксирующее кольцо (26) и, по меньшей мере, одно кольцевое уплотнение (27) обеспечивают то, что только верхняя сторона кристалла (22) кварца соприкасается с исследуемой жидкостью, а нижняя сторона кристалла соприкасается только с воздухом. Пружинные контакты (28) соединяют в рабочем состоянии соединительные провода (30) и (31) соответственно с электродами (23) и (25) кристалла. Затем провода соединяются со схемой, управляющей работой микродатчика массы, в блоке (7) сбора данных и контроля.
Верхняя сторона или сторона флюида предпочтительного модуля (3) для измерения значения рН поверхности по настоящему изобретению представлена на фигурах 7 и 8. В этом воплощении комбинированный, перевернутый верхней стороной вниз рН-электрод (35) с плоским дном фиксируется коаксиально в пластиковом цилиндре (33) таким образом, что плоская сенсорная поверхность электрода находится в непосредственном контакте с сеткой (32), изготовленной из такого же материала, как и электрод (23) микродатчика массы, и прикрепляется к верхней части пластикового цилиндра.
Максимальное увеличение количества отверстий на дюйм в сетке (32) приводит к лучшему моделированию рабочего электрода микродатчика массы. Вариация этого параметра может быть достигнута путем использования сетки настолько тонкой и плотной, насколько это практически возможно. В предпочтительном воплощении сетка изготавливается из двухслойной (с поворотом на 45°) серебряной (металлической тканой) сетки 50-меш из 0,0764-мм проволоки, сплющенной в 25000 кг прессе.
Как показано на фиг.8, плоская сетка (32) соединяется с электрохимической схемой в блоке (7) сбора данных и контроля с использованием проволоки (13), проходящей через эксцентрический канал (34) в пластиковом цилиндре (33). Как проволока (13), так и рН-электрод (3) плотно герметизируются в соответствующих каналах цилиндра (33). рН-электрод (35) соединяется со схемами считывания значений рН в блоке сбора данных и контроля. При толщине сетки (32), меньшей, чем электрохимический диффузионный слой, устройство делает возможным измерение рН вблизи поверхности поляризованного электрода, таким образом моделируя окружающую среду вблизи поверхности рабочего кварцевого микродатчика массы. Во время измерений рН модуль (3) для измерения значения рН поверхности либо используется одновременно с рабочим микродатчиком (1) массы, как представлено на фиг.2, либо устанавливается вместо рабочего микродатчика (1) массы, как представлено на фиг.3. Одна и та же поляризация прикладывается к сеточному электроду (32) модуля (3) для измерения значения рН поверхности и к рабочему электроду кварцевого микродатчика (1) массы.
Как обсуждалось здесь, наилучшие результаты при использовании способа по настоящему изобретению достигаются, когда значение рН в объеме раствора составляет от около 2 до около 3, и раствор содержит оптимизированную концентрацию ионов кальция и оксалата, предпочтительно, объединенную концентрацию, которая больше, чем около 20 мг/л. Следовательно, эффективность процесса исследования может быть увеличена путем использования модельных растворов, имеющих соответствующие значения рН и концентрации ионов кальция и оксалата, причем модельные растворы приготавливаются перед введением в измерительную ячейку устройства. Эти модельные растворы могут быть приготовлены путем установления значения рН и концентрации ионов кальция и оксалата исследуемой воды или путем приготовления свежих растворов путем смешивания воды, водного раствора кислоты, например, водного раствора НСl, и источников ионов кальция и оксалата, таких как оксалат натрия и дигидрат хлорида кальция. Для скрининга ингибиторов образования накипи оксалата кальция к модельному раствору может быть добавлено заданное количество одного или нескольких ингибиторов.
Соответственно, в другом аспекте настоящее изобретение направлено на модельный раствор, приготавливаемый путем добавления кислоты и ионов кальция и оксалата к исследуемой воде таким образом, чтобы значение рН раствора составляло от около 2 до около 3, и объединенная концентрация ионов кальция и оксалата была большей, чем 20 мг/л.
В другом аспекте настоящее изобретение направлено на модельный раствор, приготавливаемый путем смешивания воды, кислоты и ионов кальция и оксалата таким образом, чтобы значение рН раствора составляло от около 2 до около 3, и объединенная концентрация ионов кальция и оксалата была большей, чем 20 мг/л.
Рассматриваемое выше описание может быть понято лучше с помощью ссылок на следующие далее примеры, которые представлены для целей иллюстрации и не предназначаются для ограничения сущности настоящего изобретения.
Пример 1
Использование способа и устройства по настоящему изобретению для измерения эффективности ингибиторов образования накипи оксалата кальция в установках Крафта для отбеливания пульпы описывается ниже. Понятно, что то, что следует далее, представляет собой иллюстрацию только одного применения настоящего изобретения и не направлено на его ограничение.
Пульпа, производимая с помощью процесса Крафта, как правило, отбеливается в последовательности из нескольких технологических операций для получения желаемой степени белизны и прочности. Главными целями отбеливания пульпы являются увеличение степени белизны пульпы и доведения ее до состояния, пригодного для производства печатной (писчей) и технической бумаги, путем удаления или модификации лигнина и продуктов его деградации из неотбеленной пульпы. Отбеливание химической пульпы достигается с помощью ряда обработок, использующих двуокись хлора, каустическую соду, перекись водорода и другие отбеливающие агенты. Отбеливание химической пульпы, как правило, начинается с первой стадии с использованием двуокиси хлора. Отбеливание пульпы происходит путем химических взаимодействий отбеливающих агентов с лигнином и окрашенным материалом пульпы в условиях различных температуры/ времени, концентрации и рН.
Оксалат кальция представляет собой трудную для контроля проблему, которая может уменьшить производительность массопроводов, промывочных фильтров, танков с фильтратом, тарелок рефинера и теплообменников. Образование этих осадков является результатом относительно высокой концентрации оксалата кальция в промышленном оборудовании, работающем в диапазоне значений рН 2-8. Удаление этого материала является сложным и приводит к дорогостоящим перерывам в работе.
Источником оксалата кальция в операциях отбеливания пульпы, в конечном счете, является дерево. Кальций вводится в целлюлозную установку в основном из дерева, хотя некоторое количество кальция может также быть введено в процесс из свежей воды в целлюлозной установке и варочного раствора (гидроксид натрия и сульфид натрия). Щавелевая кислота образуется во время получения пульпы и ее отбеливания, но присутствует также и в природном дереве. Осаждение оксалата кальция сильно зависит от изменений температуры и рН.
А. Устройство
Скорости образования накипи оксалата кальция из воды в целлюлозной установке в присутствии различных коммерчески доступных ингибиторов измеряются с использованием либо периодической системы, как представлено на фиг.2, либо системы с непрерывным потоком, как представлено на фиг.3.
Состав воды в целлюлозной установке изменяется во время различных стадий процесса. Поэтому для каждого образца воды из целлюлозной установки используется эксперимент по динамической поляризации с использованием данных микродатчика массы и измерений значений рН поверхности, для определения оптимальных для осаждения значений рН и поляризации. Скорость потока исследуемого раствора подбирается таким образом, чтобы получить условия стационарного гидродинамического потока, которые обеспечивают баланс между подачей кислорода к поверхностям электродов и зародышеобразованием и ростом осадка из оксалата кальция.
В настоящем примере модуль для измерения значений рН поверхности используется для определения изменения рН вблизи поверхности металла в том случае, когда прикладывается поляризация, для серии различных напряжений поляризации, находящихся, как правило, в диапазоне от 0 до -2 вольт по отношению к электроду сравнения серебро – хлорид серебра. Значение рН вблизи электрода измеряется при потенциодинамическом сканировании со скоростью 2 мВ/сек, начиная от потенциала разорванной цепи и продвигаясь в катодном направлении. Соответствующая зависимость значений рН от поляризации, как правило, демонстрирует две области увеличения рН. Первая область соответствует максимальной скорости восстановления кислорода, контролируемого массопереносом. Вторая область располагается при более катодных потенциалах и соответствует восстановлению воды с выделением водорода. Область восстановления кислорода и, таким образом, поляризация, соответствующая центру области увеличения рН, рассматривается как предпочтительная для измерений осаждения. Эта поляризация затем используется во всех последующих экспериментах с использованием микродатчика массы на основе кристалла кварца в качестве устройства для измерения параметров осадка.
Используемые кварцевые микродатчики массы представляют собой 5 МГц, покрытые серебром, полированные кристаллы кварца (Maxtek, Inc., Torrance, CA).
Модуль для измерения значения рН поверхности представляет собой ПВХ пластиковый цилиндр 50×35 мм с каналом диаметром 15 мм, просверленным коаксиально, и каналом диаметром 2 мм, просверленным эксцентрично. Двухслойная (слои расположены под углом 45° по отношению друг к другу) серебряная металлическая тканая сетка 50 меш с размерами 15×15 мм из 0,0764 мм проволоки (Alfa-Aesar, Ward Hill, MA) сплющивается в 25000 кг прессе и прикрепляется к верхней части пластикового цилиндра с помощью эпоксидного клея. Сеточный электрод соединяется с электрохимическим потенциостатом в блоке сбора данных и контроля с использованием проволоки, проходящей через эксцентричный канал.
Комбинированный, перевернутый верхней стороной вниз рН-электрод с плоским дном диаметром 15 мм (Sensorex, Stanton, CA) вставляется в коаксиальный канал таким образом, что его чувствительная к значению рН поверхность является доступной для флюида через серебряную сетку. Эксцентричный и коаксиальный каналы водонепроницаемо герметизируются в ПВХ цилиндре. Во время измерений значения рН поверхности серебряная сетка подвергается такой же электрохимической поляризации, как и рабочий электрод кварцевого микродатчика массы.
Периодическая система и система с непрерывным потоком конфигурированы следующим образом.
В периодической системе рабочий микродатчик массы и модуль для измерения значения рН поверхности устанавливаются друг напротив друга. Каждый из двух измерительных электродов устанавливается на равном расстоянии от рабочего микродатчика массы и модуля для измерения значения рН поверхности. Длина измерительных электродов является такой, что они проходят сквозь ячейку сверху вниз, но при этом оставляют возможным вращение мешалки. Раствор вращается по часовой стрелке. Каждый электрод сравнения устанавливается слева от рабочих электродов микродатчика массы и модулей для измерения значения рН поверхности на расстоянии 1 см от их центральной оси. Используются однопереходные электроды сравнения на основе системы серебро хлорид серебра в эпоксидном корпусе вместе с заполненной гелем сравнительной частью (Sensorex, Stanton, CA) и графитовые измерительные электроды высокой плотности (Perkin-Elmer, Oak Ridge, TN).
Периодические системы и системы с непрерывным потоком конструируются для использования с 1 л образцами. Измерительная ячейка изготавливается из плексигласа (периодическая система) и поливинилхлорида (ПВХ) (система с непрерывным потоком). В периодической системе используется устройство для перемешивания 400S Stirrer с цифровым контролем и покрытая тефлоном 62-мм магнитная мешалка Spinstar (VWR, Chicago, IL). В системе с непрерывным потоком гибкие ПВХ трубки внутренним диаметром 1 см используются для соединения блока с центробежным водяным насосом, измерителем потока и стеклянной воронкой, в которой хранится исследуемый раствор. Системы соединены с блоком сбора данных и контроля.
Блок сбора данных и контроля представляет собой контролируемый микропроцессором электронный инструмент, который включает в себя схемы, управляющие работой микродатчиков массы на основе кристалла кварца, модуля для измерений значения рН поверхности и двух электрохимических потенциостатов (один для рабочего микродатчика массы и один для модуля для измерений значения рН поверхности). Блок соединяется с внешним IBM-совместимым компьютером. Программное обеспечение компьютера управляет экспериментальной установкой и сбором данных, а также обрабатывает данные и представляет их в виде графиков. Программируемыми параметрами являются: электрохимическая поляризация (или, в одном из возможных воплощений, требуемое значение рН поверхности), температура и поток раствора (скорость потока в системе с непрерывным потоком, или скорость вращения в периодической системе). Программное обеспечение компьютера обрабатывает и сохраняет данные экспериментов, при этом демонстрируя на дисплее параметры исследования и графики осаждения (количество осадка и скорость осаждения) в реальном времени.
Альтернативно, блок сбора данных и контроля, описанный выше, может быть заменен электрохимической системой, такой как CMS 100 (Gamry, PA), картой сбора данных CYDAS-1602 (Cyber Research, MA), установленной в персональном компьютере, выполняющем программное обеспечение для сбора данных, такое как DASYLab (DasyTec, NH).
Измерения осуществляются при 25°С и объемном значении рН 2,5-2,7 на растворах, содержащих (модельные растворы) 1 мМ оксалата кальция, или на растворах, куда это количество введено (вода из целлюлозной установки с отбеливанием). В периодической системе поддерживается скорость вращения мешалки 400 об/мин. В системе с непрерывным потоком поддерживается скорость потока 0,5 л/мин.
В. Скрининг ингибиторов образования накипи оксалата кальция с использованием модельных растворов
1 мМ (128 миллионных долей, м.д.) исследуемый раствор оксалата кальция приготавливается следующим образом. Оксалат натрия (0,268 г) и дигидрат хлорида кальция (0,294 г) по отдельности растворяют в 35 мл 0,1 н. НСl. Растворы разбавляются до 100 мл каждый с помощью деионизованной воды, смешиваются в условиях интенсивного перемешивания, и смешанный раствор разбавляется до объема 2 л, при этом деионизованная вода с 0,1 н. НСl добавляется по потребности для доведения рН до 2,6. Этот раствор используется в качестве контроля. При исследованиях добавляется потенциальный ингибитор. Образцы растворов по 700-900 мл используют вместе со свежими порциями, используемыми для каждого анализа.
С. Скрининг ингибиторов образования накипи оксалата кальция с использованием воды из целлюлозной установки
Исследуемые растворы содержат 1 мМ (128 м.д.) добавленного оксалата кальция. Оксалат натрия (0,107 г) и дигидрат хлорид кальция (0,118 г) по отдельности растворяют в 400 мл воды из целлюлозной установки. 0,1 н. НСl добавляют к образцам для поддержания рН примерно при значении 2,5. Растворы смешивают и используют в качестве контроля, без ингибитора, или с ингибиторами, для скрининга. Необходимо отметить, что реальная вода из целлюлозной установки, как правило, характеризуется присутствием разнообразных органических материалов, которые могут действовать в качестве природных ингибиторов образования накипи. Настоящая вода из целлюлозной установки также содержит видимые мелкие частицы целлюлозы. Эксперименты повторяют с использованием воды из целлюлозной установки, отфильтрованной с помощью вакуума через стеклянный фильтр для удаления мелких частиц целлюлозы. Результаты хорошо согласуются с теми, которые получены ранее с использованием исходной нефильтрованной воды из целлюлозной установки.
Систему промывают деионизованной водой непосредственно после анализа. После каждого анализа модельного раствора или воды из целлюлозной установки поверхность кристалла очищается от осадка с помощью 0,1 н. НСl (5-10 мин) и промывается деионизованной водой.
Р. Скрининг ингибиторов образования накипи оксалата кальция с использованием периодической системы и системы с непрерывным потоком.
Разнообразные ингибиторы образования накипи оксалата кальция подвергаются скринингу с использованием способа и устройства по настоящему изобретению. Исследования осуществляются при объемном значении рН 2,4-2,7 на нефильтрованной воде из целлюлозной установки (стоки от отбелки), в которую вбрасывают 1 мМ оксалата кальция. Никакого осаждения оксалата кальция из исходной воды из целлюлозной установки не наблюдается, а оксалат вводится в систему перед экспериментами.
Поведение исходной воды из целлюлозной установки и воды из целлюлозной установки, дополнительно пропущенной через стеклянный фильтр, является одинаковым. Диспергированные мелкие волокна, видимо, не царапают поверхность пьезоэлектрического кристалла, что является особенно важным для использования настоящего изобретения при анализе промышленных жидкостей.
Способность раствора к образованию накипи оценивается по скорости осаждения, наблюдаемой в заданных интервалах времени, а также по общему осадку, аккумулируемому в конце исследования. Процент ингибирования вычисляется следующим образом:
% Ингибирования = 100% × (общее количество осадка без ингибитора – общее количество осадка с ингибитором)/общее количество осадка без ингибитора.
Экспериментальные данные, приведенные ниже, позволяют ясно различать более и менее эффективные композиции ингибиторов. Так, композиция А резко уменьшает скорость осаждения и является наиболее эффективной как в воде из измельчителя, так и в модельных растворах. Результаты представлены в таблицах 1-2 (периодическая система) и таблицах 3, 4 (система с непрерывным потоком).
В таблицах 1-4 образец А представляет собой терполимерную (тройной сополитер) органическую кислоту. Образец В представляет собой щелочной раствор акрилового полимера с малым количеством содержащих серу неорганических солей. Образец С представляет собой смесь акрилового полимера с неорганической солью фосфора. Композиция D представляет собой ингибитор на основе углеводородов. Композиции A-D являются доступными от Nalco Chemical Company, Naperville, IL.




Е. Скрининг способности к образованию накипи оксалата кальция реальных образцов воды из целлюлозной установки, полученных из различных стадий процесса Hardwood DO.
Результаты использования периодической системы для скринига способности к образованию накипи оксалата реальных образцов воды из целлюлозной установки от различных стадий процесса D0 приведены в таблице 5. Два набора образцов воды из целлюлозной установки, отобранных перед изменением в рабочей процедуре в целлюлозной установке и после него, подвергаются анализу. Исследования производятся на исходных растворах и на тех же растворах, куда вбрасывается 1 мМ оксалата кальция.

Формула изобретения
1. Способ измерения склонности к образованию накипи оксалата кальция из непрерывно текущего раствора, имеющего значение рН от 2 до 3, отличающийся тем, что включает в себя измерение скорости осаждения накипи оксалата кальция из раствора на микродатчике массы на основе кристалла кварца, имеющем верхнюю сторону, содержащую рабочий электрод в контакте с раствором, и вторую, нижнюю сторону, изолированную от раствора, где значение рН раствора вблизи микродатчика массы контролируют электрохимически на уровне от 3,5 до 9 и где рабочий электрод покрыт электропроводящим материалом или изготовлен из электропроводящего материала, на котором интенсивное выделение газообразного водорода происходит при потенциалах более отрицательных, чем это необходимо для достижения значения рН от 3,5 до 9 вблизи микродатчика массы.
2. Способ по п.1, отличающийся тем, что рабочий электрод изготовлен или покрыт одним или несколькими электропроводящими материалами, выбранными из серебра, свинца, кадмия; электродов из алмазоподобных тонких пленок с имплантированными ионами или без них; силицидов титана, ниобия и тантала; свинцово-селеновых сплавов; ртутных амальгам.
3. Способ по п.1, отличающийся тем, что рабочий электрод изготовлен из серебра.
4. Способ по п.3, отличающийся тем, что рабочий электрод изготовлен из титана, покрытого серебром.
5. Способ по п.1, отличающийся тем, что значение рН раствора вблизи поверхности микродатчика массы контролируют с помощью приложения к рабочему электроду потенциала от -0,5 до -2,0 В по отношению к электроду сравнения серебро – хлорид серебра.
6. Способ по п.1, отличающийся тем, что значение рН раствора вблизи поверхности микродатчика массы контролируют с помощью приложения к рабочему электроду катодного тока величиной от -0,05 до -10 мА/см2.
7. Способ по п.1, отличающийся тем, что значение рН раствора вблизи поверхности микродатчика массы измеряют с использованием модуля для измерения значения рН поверхности, содержащего сеточный электрод, расположенный поверх рН-электрода, и отличающийся тем, что сетка изготовлена из такого же материала, как и рабочий электрод.
8. Способ по п.1, отличающийся тем, что значение рН раствора вблизи поверхности микродатчика массы измеряют с использованием устройства для измерения значения рН, выбранного из торцевого рН-микроэлектрода и рН-электрода, осажденного из паровой фазы на поверхности микродатчика массы на основе кристалла кварца.
9. Способ по п.1, отличающийся тем, что раствор со значением рН от 2 до 3 имеет объединенную концентрацию ионов кальция и оксалата, большую, чем 20 миллиграмм на литр.
10. Способ по п.9, отличающийся тем, что раствор представляет собой модельный раствор, приготовленный путем добавления кислоты и ионов кальция и оксалата к исследуемой воде таким образом, что значение рН раствора составляет от 2 до 3, а объединенная концентрация ионов кальция и оксалата является более высокой, чем 20 миллиграмм на литр.
11. Способ по п.9, отличающийся тем, что раствор представляет собой модельный раствор, приготовленный путем смешивания воды, кислоты и ионов кальция и оксалата таким образом, что значение рН раствора составляет от 2 до 3, а объединенная концентрация ионов кальция и оксалата является более высокой, чем 20 миллиграмм на литр.
12. Способ измерения эффективности ингибиторов образования накипи оксалата кальция, включающий в себя этапы, на которых:
a) измеряют склонность к образованию накипи оксалата кальция из непрерывно текущего раствора, имеющего значение рН от 2 до 3, включая измерение скорости осаждения накипи оксалата кальция из раствора на микродатчике массы на основе кристалла кварца, имеющем верхнюю сторону, содержащую рабочий электрод в контакте с раствором, и вторую, нижнюю сторону, изолированную от раствора, где значение рН раствора вблизи микродатчика массы контролируют электрохимически на уровне от 3,5 до 9 и где рабочий электрод покрыт электропроводящим материалом или изготовлен из электропроводящего материала, на котором интенсивное выделение газообразного водорода происходит при потенциалах более отрицательных, чем это необходимо для достижения значения рН от 3,5 до 9 вблизи микродатчика массы;
b) добавляют ингибитор образования накипи оксалата кальция к раствору;
c) повторно измеряют скорость осаждения накипи оксалата кальция из раствора на микродатчике массы на основе кристалла кварца.
13. Устройство для измерения склонности к образованию накипи оксалата кальция из непрерывно текущего раствора, имеющего значение рН от 2 до 3, отличающееся тем, что содержит микродатчик массы на основе кристалла кварца, имеющий верхнюю сторону, содержащую рабочий электрод для соприкосновения с раствором, и нижнюю сторону, изолированную от раствора, где значение рН вблизи микродатчика массы контролируется электрохимически на уровне от 3,5 до 9 и где рабочий электрод покрыт электропроводящим материалом или изготовлен из электропроводящего материала, на котором интенсивное выделение газообразного водорода происходит при потенциалах более отрицательных, чем это необходимо для достижения значения рН от 3,5 до 9 вблизи микродатчика массы.
14. Устройство по п.13, отличающееся тем, что рабочий электрод изготовлен или покрыт одним или несколькими электропроводящими материалами, выбранными из серебра, свинца, кадмия; электродов из алмазоподобных тонких пленок с имплантированными ионами или без них; силицидов титана, ниобия и тантала; свинцово-селеновых сплавов; ртутных амальгам.
15. Устройство по п.13, отличающееся тем, что рабочий электрод изготовлен из серебра.
16. Устройство по п.15, отличающееся тем, что рабочий электрод изготовлен из титана, покрытого серебром.
17. Устройство по п.13, отличающееся тем, что содержит модуль для измерения значения рН поверхности, предназначенный для контакта с раствором, причем узел электрода для измерения значения рН содержит сеточный электрод, расположенный поверх рН-электрода, где сетка изготовлена из такого же материала, как и рабочий электрод.
18. Устройство для измерения склонности к образованию накипи оксалата кальция из непрерывно текущего раствора, имеющего значение рН от 2 до 3, отличающееся тем, что содержит измерительную ячейку с перемешивающим средством и установленные в измерительной ячейке
a) микродатчик массы на основе кристалла кварца, имеющий верхнюю сторону, содержащую рабочий электрод для соприкосновения с раствором, и нижнюю сторону, изолированную от раствора;
b) модуль для измерения значения рН поверхности, предназначенный для соприкосновения с раствором, причем узел электрода для измерения значения рН содержит сеточный электрод, расположенный поверх рН-электрода, где сетка изготовлена из такого же материала, как и рабочий электрод микродатчика массы;
c) два электрода сравнения для соприкосновения с раствором;
d) два измерительных электрода для соприкосновения с раствором, где микродатчик массы на основе кристалла кварца и модуль для измерения значения рН поверхности установлены горизонтально и ориентированы в противоположных направлениях, два измерительных электрода установлены вертикально и каждый из них расположен на одинаковом расстоянии ниже по потоку от микродатчика массы на основе кристалла кварца и модуля для измерения значения рН поверхности, электроды сравнения установлены вертикально и каждый из них расположен на одинаковом расстоянии ниже по потоку от каждого из измерительных электродов, и где рабочие электроды модуля для измерения значения рН поверхности и микродатчика массы на основе кристалла кварца покрыты электропроводящим материалом или изготовлены из электропроводящего материала, на котором интенсивное выделение газообразного водорода происходит при потенциалах более отрицательных, чем это необходимо для достижения значения рН от 3,5 до 9 вблизи микродатчика массы.
19. Устройство по п.18, отличающееся тем, что перемешивающее средство выбрано из крыльчатки, механической лопастной мешалки и магнитной мешалки с перемешивающим магнитом.
20. Устройство по п.19, отличающееся тем, что рабочие электроды модуля для измерения значения рН поверхности и микродатчика массы на основе кристалла кварца изготовлены или покрыты одним или несколькими электропроводящими материалами, выбранными из серебра, свинца, кадмия; электродов из алмазоподобных тонких пленок с имплантированными ионами или без них; силицидов титана, ниобия и тантала; свинцово-селеновых сплавов; ртутных амальгам.
21. Устройство по п.19, отличающееся тем, что рабочие электроды модуля для измерения значения рН поверхности и микродатчика массы на основе кристалла кварца изготовлены из серебра.
22. Устройство по п.21, отличающееся тем, что рабочие электроды модуля для измерения значения рН поверхности и микродатчика массы на основе кристалла кварца изготовлены из титана, покрытого серебром.
РИСУНКИ
MM4A – Досрочное прекращение действия патента СССР или патента Российской Федерации на изобретение из-за неуплаты в установленный срок пошлины за поддержание патента в силе
Дата прекращения действия патента: 24.02.2007
Извещение опубликовано: 10.08.2010 БИ: 22/2010
|
|