Патент на изобретение №2153257
|
||||||||||||||||||||||||||
(54) ФУНГИЦИДНАЯ КОМПОЗИЦИЯ, СОДЕРЖАЩАЯ 2-ИМИДАЗОЛИН-5-ОН, И СПОСОБ БОРЬБЫ С ФИТОПАТОГЕННЫМИ ГРИБКАМИ-ПАРАЗИТАМИ КУЛЬТУРНЫХ РАСТЕНИЙ С ПОМОЩЬЮ ЭТОЙ КОМПОЗИЦИИ.
(57) Реферат: Описывается фунгицидная композиция, включающая соединение А формулы (I), в которой М обозначает атом серы; n обозначает целое число, равное 0; и одно фунгицидное соединение Б, выбираемое в группе, состоящей из манкозеба, фосэтил-AL, фосфористой кислоты и ее солей щелочных металлов, хлороталонила, флуазинама, прохлораза, эпоксиконазола, тебуконазола, цимоксанила, металаксила, оксадиксила, диметоморфа, метил -(E)-2-{2-/6-(2-цианофенокси)пиримидин-4-илокси/фенил} -3-метоксиакрилата, метил(Е)-метоксиимино/L/(О-толилокси)-о-толил/ацетата, производного фенилбензамидного типа формулы (II), в которой R1 и R2 разные, обозначают атом водорода или галогенированный алкильный радикал, R3 и R4 одинаковые или разные, обозначают алкильный радикал с 1-4 атомами углерода, причем вышеуказанная композиция содержит компоненты А и Б в массовом соотношении А:Б = 0,002 – 8. Описывается также способ борьбы с фитопатогенными грибками – паразитами культурных растений с помощью этой композиции. Технический результат состоит в расширении спектра активности и увеличении эффективности указанных соединений фунгицидного действия. 2 с. и 11 з.п. ф-лы, 29 ил., 1 табл. ![]()
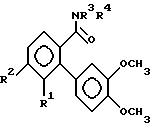
Предметом настоящего изобретения является фунгицидная композиция, содержащая 2-имидазолин-5-он, и способ защиты культур от поражения грибками с использованием указанной композиции. Известны из европейской заявки на патент 551048 рацемические производные 2-амидазолин-5-онов с фунгицидной активностью, позволяющие предотвращать рост и развитие фитопатогенных грибков, способных поражать культуры. Задачей изобретения является расширение спектра активности и увеличение эффективности указанных соединений фунгицидного действия. Речь идет о разработке фунгицидных продуктов с лечебной активностью, так как в этом случае можно уменьшить число систематических профилактических обработок, обеспечивая при этом успешную борьбу с паразитами. Кроме того, желательно располагать такими фунгицидными продуктами, которые обладали бы более устойчивой повышенной активностью, чтобы можно было бы осуществить такое число фитосанитарных обработок, необходимое для успешной борьбы с паразитами. При этом в предпочтительных случаях желательно снизить количество химических продуктов, попадающих в окружающую среду, при обеспечении эффективной защиты культур от поражения грибками. В настоящее время найдено, что указанная задача и перечисленные цели могут быть достигнуты благодаря фунгицидной композиции согласно настоящему изобретению. Следовательно, во-первых, предметом настоящего изобретения является фунгицидная композиция, включающая соединение A формулы (I): ![]() в которой М обозначает атом кислорода или серы; n обозначает целое число, равное 0 или 1; Y обозначает атом фтора или хлора, или метильный радикал; и, по меньшей мере, одно фунгицидное соединение В, выбранное в группе, содержащей: – производные дитиокарбаминовой кислоты и ее солей, например, манеб или [1,2-этандиилбис[карбамодитиоато] (2-)] манганез, манкозеб или [1,2-этандиилбис[карбамодитиоато] (2-)]манганез в смеси с [1, 2-этандиилбис[карбамодитиоато] (2-)]цинк, цинеб или [(1,2-этандиилбис[карбамодитиоато](2-)]цинк, метирам-цинк или цинк аммониат этиленбис(дитиокарбамат) поли(этилентиурамдисульфид), – производные фосфористой кислоты, например, металлические фосфиты, такие как фозетил-АЛ или этил водород фосфонат алюминия, и сама фосфористая кислота и ее соли щелочных металлов или щелочноземельных, – хлорсодержащие производные бензола, такие как хлорталонил или 2, 4, 5, 6-тетрахлор-1,3-бензолдикарбонитрил, – производные, содержащие один гетероцикл, имеющий 1-2 атома азота, такие как флуацинам или N-(3-хлор-5-трифторметил -2-пиридил) -2, 6-динитро-3-хлор-4- трифторметиланилин, флудиоксонил или 4-(2,2-дифтор-1,3-бензо- диоксол-4-ил)-1H-пиррол-3-карбонитрил, прохлорац или N-пропил-N- [2-(2,4,6-трихлор-фенокси)этил] -1H- имидазол-1-карбоксамид, – производные триазолов, такие как бромуконазол или 1-[[4- бром-2-(2,4-дихлор-фенил) тетрагидро-2-фуранил[метил]-1H-1,2,4- триазол, ципроконазол или -(4-хлорфенил)- – 1-циклопропил- этил)-1H-1,2,4-триазол-1-этанол,дифонконазол или 1-[[2-[2-хлор-4-(4-хлорфенокси)фенил]-4-метил-1,3-диоксолан-2-ил]метил]- 1H-1,2,4-триазол, диниконазол или – [(2,4-дихлорфенил)метилен] – – (1,1-диметилэтил) -( E- 1H-1,2,4-триазол-1-этанол),эпоксиконазол или 1-[[(2R,3S)-3-(2-хлорфенил)-2-(4-фторфенил) оксиранил] метил]-1H-1,2,4-триазол, фенбуконазол или – [2-(4-хлорфенил)этил] – – фенил-1H- 1,2,4-триазол-1-пропаннитрил,флусилазол или 1-[[бис(4-фторфенил)метилсилил]метил]-1H-1,2,4-триазол, флутриафол или – (2-фторфенил) – – (4-фторфенил)-1H- 1,2,4-триазол-1-этанол,гексаконазол или – бутил – – (2,4-дихлорфенил)-1H-1,2,4- триазол-1-этанол,метконазол или 5-[(4-хлорфенил)метил]-2,2-диметил-1-(1H-1,2,4-триазол- 1-илметил)циклопентанол, тебуконазол или -[2-(4-хлорфенил)этил]- -(1,1-диметилэтил)-1H-1,2,4-триазол-1-этанол,тетраконазол или 1-[2-(2,4-дихлорфенил)-3-(1,1,2,2-тетрафторэтокси) пропил-1H-1,2,4-триазол, тритиконазол или 5[1(4-хлорфенил)метилен] -2,2- диметил-1-(1Н-1,2,4-триазол-1-илметил)циклопентанол, дикарбоксимидные производные, например, каптан или N- (трихлорметил)тио] -4-циклогексан-1,2-дикарбоксимид, фолпел или 2-[(трихлорметил)тио]-1Н-изоиндол-1,3 (2H) дион, каптафол или 3а, 4,7,7а-тетрагидро-2-[(1,1,2,2-тетрахлорэтил) тио]-1Н-изоиндол-1,3 (2H)дион, ипродион или 3-(3,5-дихлорфенил)-N-(1-метилэтил)-2,4- диоксо-1-имидазолидинкарбоксамид, процимидон или 3-(3,5-дихлорфенил)-1,5-диметил-3-азабицикло [3.1.0]гексан-2,4-дион, винхлозолин или 3- (3,5-дихлорфенил) -5-этенил-5-метил-2,4-оксазолидиндион, – медь или органические или неорганические производные меди, например, оксихлорид меди или гидроксид меди, – амиды, такие как цимоксанил или 2-циано-Н-[(этиламино) карбонил]-2-(метоксиимино) ацетамид, металаксил или метиловый сложный эфир N-(2,6-диметилфенил) -N-(метоксиацетил)аланина, беналаксил или метиловый сложный эфир N-(2,6-диметилфенил)-N-(фенилацетил) аланина и оксадиксил или N-(2,6-диметилфенил)-2-метокси-N-(2-оксо- 3-оксазолидинил) ацетамид, – производные морфолина, такие как диметоморф или 4-[3-(4-хлорфенил)-3-(3,4-диметоксифенил)-1- оксо-2-профенил]морфолин, додеморф или 4-циклододецил-2,6-диметилморфолин, тридеморф или 2,6-диметил-4-тридецилморфолин, фенпропиморф или цис-4-[3-[4-(1,1-диметилэтил)фенил]-2- метилпропил]-2,6-диметилморфолин, фенпропидин или 1-[3-[4-(1,1-диметилэтил)фенил]-2-метилпропил]пиперидин, триадименол или -(4-xлopфенoкcи)- -(1,1-диметилэтил) 1H-1,2,4-триазол-1-этанол,– производные типа метоксиакрилат, такие как метил-(Е)-2-[2-[6- (2-цианофенокси) пиримидин-4-илокси] фенил]-3-метоксиакрилат, метил-(Е)-метоксимино [ – (0-толилокси)-0-толил]ацетат, иN-метил-(Е)-метоксимино [2-(2,5-диметилфеноксиметил)фенил]ацетамид, – производные гуанидина, такие как додин или моноацетат додецилгуанадина, – производное фенилбензамидного типа формулы (II): ![]() в которой R1 и R2, одинаковые или разные, обозначают атом водорода или галогена, или возможно галогенированный алкильный радикал и R3 и R4, одинаковые или разные, обозначают алкильный радикал с 1-4 атомами углерода. Фунгицидная композиция согласно изобретению предпочтительно включает компоненты А и Б в массовом соотношении А/Б 0,0005 – 50, предпочтительно 0,001 – 10. Кроме того, вышеуказанная фунгицидная композиция может включать одно соединение Б или большее количество таких соединений, например, 1, 2 или 3 соединения Б, в зависимости от используемого назначения композиции. Предпочтительной является фунгицидная композиция согласно изобретению, в которой соединением А является соединение формулы (I), в которой М обозначает атом серы и n равно 0, называемое (4-S) 4-метил-2-метилтио-4-фенил-1-фениламино-2- имидазолин-5-он. В качестве соединения Б предпочтительным является одно из следующих производных: – производное дитиокарбаминовой кислоты и ее солей, выбираемое среди манеба, манкозеба, метирам-цинка; – производное фосфористой кислоты, выбираемое среди фосэтил-AI, и сама фосфористая кислота и ее соли кальция или калия; – хлороталонил; – производное, содержащее гетероцикл с 1-2 атомами азота, выбираемое среди флуазинама, флудиоксонила, прохлораза; – производное триазола, выбираемое среди бромуконазола, дифеноконазола, эпоксиконазола, тебуконазола, тритиконазола; – дикарбоксимидное производное, выбираемое среди фолпела или ипродиона; – производное меди, выбираемое среди оксихлорида меди или гидроксида меди; – амид, выбираемый среди цимоксанила, металаксила или оксадиксила; – диметоморф; – производное фенилбензамидного типа, которое отвечает формуле (I), в которой R1 обозначает атом водорода; R2 обозначает трифторметильный радикал; R3 обозначает метильный радикал и R4 обозначает этильный радикал, иными словами производное фенилбензамидного типа, называемое N-метил-N- этил-2-(3,4-диметоксифенил)-4-трифторметилбензамид. Из наиболее предпочтительных соединений Б являются фосэтил-AI, манкозеб, цимоксанил, диметоморф, оксациксил или N-метил-N-этил-2- (3,4-диметоксифенил)-4-трифторметилбензамид. Совершенно неожиданно оказалось, что в этом случае композиция согласно изобретению улучшает в заметной степени действие активных начал, взятых по- отдельности, по отношению к некоторому числу особенно вредных для культур грибков, в особенности по отношению к винограду или пасленовым культурам. Это улучшение выражается, в частности, в снижении доз каждого из компонентов, что особенно предпочтительно для потребителя и окружающей среды. Фунгицидный продукт, таким образом, обладает синергическими свойствами, устанавливаемыми путем применения метода Таммеса, “Isoboles, a graphiс repr’esentation of synergism in pesticides” Netherlands Journal of Plant Pathology. 70 (1964), с. 73-80 – или как указано Zimpel Z.E. Schuldt P. H. и Zammont D., 1962, Proc, HEWCC 16:48-53, используя следующую формулу, называемую формулой Колби: E = X+Y-X У/100,в которой E обозначает ожидаемый процент ингибирования роста грибка смесью двух фунгицидов А и Б в определенных дозах, равных соответственно “а” и “б”; X обозначает процент ингибирования, наблюдаемый за счет фунгицида А в дозе “а”; Y обозначает процент ингибирования, наблюдаемый за счет фунгицида Б в дозе “б”. Когда наблюдаемый процент ингибирования смеси выше E, то имеет место синергизм. Предпочтительно, когда компонент Б представляет собой производное фосфористой кислоты, и особенно фосэтил-AI, соотношение А/Б составляет 0,001-2, предпочтительно 0,002-1. Предпочтительно, когда компонент Б представляет собой производное формулы (II), и в частности N-метил-N-этил-2-(3,4-диметоксифенил)-4-трифторметилбензамид, соотношение А/Б составляет 0,1-10, предпочтительно 0,2-10, более предпочтительно 0,25-4. Предпочтительно, когда компонент Б представляет собой цимоксанил, соотношение А/Б составляет 0,05-4, предпочтительно 0,2-4 и более предпочтительно 0,25-4. Предпочтительно, когда компонент Б представляет собой оксадиксил, соотношение А/Б составляет 0,5-30, предпочтительно 0,5-10. Предпочтительно, когда компонент Б представляет собой производное дитиокарбаминовой кислоты, такое как манкозеб, соотношение А/Б составляет 0,02-2, предпочтительно 0,1-1. Предпочтительно, когда компонент Б представляет собой производное морфолина и, в частности, диметоморф, соотношение А/Б составляет 0,1-2, предпочтительно 0,2-1. Соединение А описывается в европейской заявке на патент N 94420167.2, не опубликованной на день подачи настоящей заявки на патент. Соединение А формулы (I), в которой М обозначает атом серы и n равно 0, иными словами (4- S)4-метил-2-метилтио-4-фенил-1-фениламино-2-имидазолин-5-он, может быть получено следующим образом: Получение (4-S) 4-метил-2-метилтио-4-фенил-1-фениламино-2- имидазолин-5-она: Получение этого продукта осуществляют в две стадии: Первая стадия: На первой стадии сначала получают метиловый эфир (2-S)2-изотиоцианато-2-фенил-пропионовой кислоты, согласно одному из способов, описанных в Sulfur Reports, том 8 (5), с. 327-375 (1989), из соответствующего сложного амино-эфира, который сам легко получается из – аминокислоты.
Так, в реактор емкостью 20 л вносят 780 г (3,61 моль) (+)-хлоргидрата метилового эфира (2-S) 2-амино-2-фенил-пропионовой кислоты, затем 3,4 л воды. Температуру доводят до 20oC. Добавляют 3,4 л толуола, затем в течение 1 часа порциями добавляют 911 г (10,8 моль) кислого карбоната натрия. Температуру снижают до 8-9oC. В течение двух часов приливают 276 мл (3,61 моль) тиофосгена. Реакция сопровождается газовыделением и повышением температуры, которая достигает 24oC по окончании приливания. Среду выдерживают еще 2 часа при перемешивании. После декантации водную фазу экстрагируют с помощью 2 л толуола. Объединенные толуольные фазы промывают с помощью 4 л воды, затем сушат над сульфатом магния. Раствор концентрируют при пониженном давлении.
Таким образом получают 682 г (+)-метилового эфира (2-S)2-изотиоцианато-2-фенил-пропионовой кислоты в виде слегка окрашенного масла (выход = 85%).
Измеряют вращательную способность обычным методом, при использовании раствора из 0,78 г продукта в 100 мл хлороформа, которая равна +16oC ( 16,4o) при температуре 29oC.
Вторая стадия:Во второй стадии, 682 г (3,08 моль) метилового эфира (2-S) 2-фенил-2-изотиоцианато-пропионовой кислоты, полученного только что описанным образом, растворяют в 4 л безводного тетрагидрофурана, затем вносят в реактор емкостью 20 л, через который пропускают ток аргона. Содержимое охлаждают до 15oC. В течение 30 минут при поддерживании температуры в пределах 15-18oC приливают 343 г (3,08 моль) фенилгидразина, который растворен в 2 л тетрагидрофурана. Среду выдерживают при перемешивании в течение 40 минут, затем охлаждают до 0oC. В течение 1 часа и при поддерживании температуры 0oC приливают раствор 346 г (3,08 моль) трет.-бутилата калия в 4 л тетрагидрофурана. Перемешивание среды продолжают в течение 2-х часов при 0oC и наблюдают образование светло-розового осадка. В течение 15 минут и при поддерживании температуры 0-3oC приливают 218 мл (3,39 моль) метилиодида, затем при перемешивании в течение 2-х часов оставляют температуру смеси повышаться до комнатной. Реакционную смесь выливают в 5 л воды. После декантации, водную фазу экстрагируют 3 раза с помощью 3 л этилацетата. Объединенные органические фазы промывают с помощью 5 л воды, сушат над сульфатом магния, затем концентрируют при пониженном давлении. Получают 1099 г твердого вещества коричневого цвета. Его перекристаллизуют из 2 л толуола. После высушивания, получают 555 г (+) (4-S)4-метил-2-метилтио-4-фенил-1-фениламино-2-имидазолин- 5-она в виде твердого вещества белого цвета, плавящегося при 138oC (выход=58%). Измеряют вращательную способность обычным методом, при использовании раствора из 0,86 г продукта в 100 мл этанола, которая равна +61,1o ( 2,9o) при 27oC.
Путем высокоэффективной жидкостной хроматографии на хиральной фазе определяют содержание избытка энантиомера (е.е.), превышающее 98%.
Соединение А формулы (I), в которой М обозначает атом кислорода и n равно 0, получают путем введения во взаимодействие (4-S)4-метил-2-метилтио-4-фенил- 1-фениламино-2-имидазолин- 5-она с метанолом и в присутствии натрия, согласно способу, описанному в европейской заявке на патент 599749.
Соединение А формулы (I), в которой n равно 1, получают вышеуказанными способами, используя модифицированные исходные реагенты, легко осуществимые специалистом.
Структуры, соответствующие общим названиям фунгицидных действующих начал, фигурирующих в определении Б, указываются по крайней мере в одной из следующих работ:-“The pesticide manual”, изд. Charles R. Worthing и Raymond J. Hance, опубликованной British Crop Protection Council, 9-е издание; -I’Index phytosanitaire 1994, изд. I’Association de Coordination Тechnigue Agricole 30-е издание. Что касается производных метоксиакрилатного типа, то метил – – (E)-2-{ 2-[6-(2-циaнoфeнoкcи)пиpимидин-4-илoкcи]фенил}-3- метоксиакрилат описывается в международной заявке 9208703; метил–(Е)-метоксиимино [ -(о-толилокси)-о-толил] ацетат описывается в европейской заявке на патент 253213; N- метил-(Е)метоксиимино-[2-(2,5-диметил-феноксиметил) фенил] ацетамид описывается в европейской заявке на патент 398692.
Производное фенилбензамидного типа описывается в европейской заявке на патент 0578586, опубликованной 12 января 1994 г.
Фунгицидная композиция согласно изобретению в качестве действующего начала включает соединение А и по крайней мере одно соединение Б в смеси с твердыми или жидкими, приемлемыми в сельском хозяйстве носителями и также приемлемыми в сельском хозяйстве поверхностно-активными агентами. В частности, используют инертные обычные носители и обычные поверхностно- активные агенты. Эти композиции охватывают не только композиции, готовые для нанесения на обрабатываемую культуру с помощью соответствующего устройства, такого как устройство для пульверизации, но и также продажные концентрированные композиции, которые перед нанесением на культуру нужно разбавлять. По действующим началом нужно принимать сочетание соединения А по крайней мере с одним соединением Б.
Эти композиции также могут содержать любого рода другие ингредиенты, такие как, например, защитные коллоиды, адгезивы, сгустители, тиксотропные агенты, агенты пенетрации, стабилизаторы, комплексообразователи и т.д. Вообще соединения А и Б могут быть скомбинированы с любыми твердыми или жидкими добавками, соответствующими обычным способам приготовления препаративных форм.
Вообще композиции, согласно изобретению, содержат обычно 0,05-95% (масс. ) действующего начала, один или несколько твердых или жидких носителей и возможно один или несколько поверхностно-активных агентов.
Термином “носитель” в настоящем изложении обозначают органическое или минеральное, природное или синтетическое вещество, с которым действующее начало соединяют для облегчения его нанесения на надземные части растения. Этот носитель, следовательно, является обычно инертным и должен быть приемлем в сельском хозяйстве, особенно для обрабатываемого растения. Носитель может быть твердым (глины, природные или синтетические силикаты, диоксид кремния, смолы, воски, твердые удобрения и т.д.) или жидким (вода, спирты, особенно бутанол и т.д.).
Поверхностно-активным агентом может быть эмульгатор, диспергатор или смачиватель ионного или неионного типа или смесь таких поверхностно-активных агентов. Можно назвать, например, соли полиакриловых кислот, соли лигносульфокислот, соли фенолсульфокислот или нафталинсульфокислот, поликонденсаты этиленоксида с жирными спиртами или жирными кислотами или жирными аминами, замещенные фенолы (в частности, алкилфенолы или арилфенолы), соли сложных эфиров сульфоянтарных кислот, производные таурина (в частности, алкилтаураты), сложные полиоксиэтилированные эфиры фосфорной кислоты и спиртов или фенолов, сложные эфиры жирных кислот и многоатомных спиртов, производные с сульфатными, сульфонатными и фосфатными функциями вышеуказанных соединений. Присутствие по крайней мере одного поверхностно- активного агента обычно необходимо, когда действующее начало и/или инертный носитель нерастворимы в воде и когда векторным агентом нанесения является вода.
Следовательно, используемые в сельском хозяйстве композиции согласно изобретению могут содержать действующее начало в очень широких пределах, доходящих от 0,05% до 95% (масс.). Содержание в них поверхностно-активного агента предпочтительно составляет 5-40% масс.
Эти композиции согласно изобретению сами по себе находятся в довольно различных, твердых или жидких формах.
В качестве твердых форм композиций можно назвать порошки для опыливания (с содержанием действующего начала, которое может доходить до 100%) и гранулы, например, получаемые путем экструзии, уплотнения, пропитки гранулированного носителя, путем гранулирования из порошка (содержание действующего начала в этих гранулах составляет 0,5-80% в этих последних случаях), таблетки или шипучие таблетки.
Фунгицидная композиция согласно изобретению может быть использована в форме порошков для опыливания; можно также использовать композицию, содержащую 50 г действующего начала и 950 г талька; можно также использовать композицию, содержащую 20 г действующего начала, 10 г высокодисперсного диоксида кремния и 970 г талька; эти компоненты смешивают и размельчают и смесь наносят путем опыливания.
В качестве жидких форм композиций или форм, предназначенных для получения жидких композиций во время нанесения, можно назвать растворы, в частности растворимые в воде концентраты, эмульгируемые концентраты, эмульсии, концентрированные суспензии, аэрозоли, смачивающиеся порошки (или пульверизуемые порошки), пасты, гели.
Эмульгируемые или растворимые концентраты чаще всего содержат 10-80% действующего начала, причем в готовых для нанесения эмульсиях или растворах содержится 0,001-20% действующего начала.
Кроме растворителя, эмульгируемые концентраты могут содержать, когда это необходимо, 2-20% соответствующих добавок, таких как стабилизаторы, поверхностно-активные агенты, агенты пенетрации, ингибиторы коррозии, красители или адгезивы, указанные выше.
Из этих концентратов путем разбавления водой можно получать эмульсии любой желательной концентрации, которые особенно пригодны для нанесения на культуры.
В качестве примера ниже приводятся составы нескольких эмульгируемых концентратов:Пример ЭК 1 (эмульгируемый концентрат 1): – действующее начало 400 г/л – додецилбензолсульфонат щелочного металла 24 г/л – оксиэтилированный нонилфенол с 10 молекулами этиленоксида 16 г/л – циклогексанон 200 г/л – ароматический растворитель достаточное количество до 1 л Согласно другой рецептуре эмульгируемого концентрата используют: Пример ЭК 2 – действующее начало 250 г – эпоксидированное растительное масло 25 г – смесь алкиларилсульфоната с простым полигликолевым эфиром и жирными спиртами 100 г – диметилформамид 50 г – ксилол 575 г Концентрированные суспензии, также наносимые путем пульверизации, готовят так, чтобы получить жидкий (текучий), стабильный и не осаждающийся продукт, и они обычно содержат 10-75% действующего начала, 0,5-15% поверхностно-активных агентов, 0,1-10% тиксотропных агентов, 0-10% соответствующих добавок, таких как антивспениватели, ингибиторы коррозии, стабилизаторы, агенты пенетрации и адгезивы, и в качестве носителя, воду или органическую жидкость, в которой действующее начало малорастворимо или нерастворимо; некоторые твердые органические вещества или минеральные соли могут быть растворены в носителе для предотвращения седиментации или в качестве антигелей для воды. В качестве примера ниже приводится состав концентрированной суспензии: Пример КС 1 (концентрированная суспензия 1) – действующее начало 500 г – полиэтоксилированный тристирилфенолфосфат 50 г – полиэтоксилированный алкилфенол 50 г – поликарбоксилат натрия 20 г – этиленгликоль 50 г – органополисилоксановое масло (антивспениватель) 1 г – полисахарид 1,5 г вода 316,5 г Смачивающиеся порошки (или пульверизуемые порошки) обычно готовят так, что они содержат 20-95% действующего начала, и они обычно содержат, кроме твердого носителя, 0-30% смачивателя, 3-20% диспергатора, и когда это необходимо, 0,1-10% одного или нескольких стабилизаторов и/или других добавок, таких как агенты пенетрации, адгезивы или препятствующие комкованию агенты, красители и т.д. Для получения пульверизуемых порошков или смачивающихся порошков, действующие начала тщательно смешивают в соответствующих смесителях с добавками и размельчают с помощью мельниц или других соответствующих дробилок. Тем самым получают пульверизуемые порошки, смачиваемость и суспендируемость которых предпочтительные; их можно суспендировать в воде до любой желательной концентрации и эти суспензии используют предпочтительно для нанесения на листья растений. Вместо смачивающихся порошков можно получать пасты. Условия и особенности получения и использования этих паст подобны таковым смачивающихся порошков или пульверизуемых порошков. В качестве примера ниже приводятся разные составы смачивающихся порошков (или пульверизуемых порошков): Пример СП 1 (смачивающийся порошок 1) – действующее начало 50% – этоксилированный жирный спирт (смачиватель) 2,5% – этоксилированный фенилэтилфенол (диспергатор) 5% – мел (инертный носитель) 42,5% Пример СП 2: – действующее начало 10% – синтетический оксо-спирт разветвленного типа с 13 атомами углерода, этоксилированный 8-10 молекулами этиленоксида (смачиватель) 0,75% – нейтральный лигносульфонат кальция (диспергатор) 12% – карбонат кальция (инертный наполнитель) достаточное количество до 100% Пример СП 3: Этот смачивающийся порошок содержит те же ингредиенты, что и в предыдущем примере, в нижеуказанных количествах: – действующее начало 75% – смачиватель 1,50% – диспергатор 8% – карбонат кальция (инертный наполнитель) достаточное количество до 100% Пример СП 4: – действующее начало 90% – этоксилированный жирный спирт (смачиватель) 4% – этоксилированный фенилэтилфенол (диспергатор) 6% Пример СП 5: – действующее начало 50% – смесь анионных и неионных поверхностно-активных агентов (смачиватель) 2,5% – лигносульфонат натрия (диспергатор) 5% – каолин (инертный носитель) 42,5% Водные дисперсии и эмульсии, например, композиции, получаемые путем разбавления водой смачивающегося порошка или эмульгируемого концентрата согласно изобретению, входят в рамки настоящего изобретения. Эмульсии могут быть типа вода-в-масле или масло-в-воде и они могут иметь густую консистенцию, как таковая “майонеза”. Фунгицидные композиции согласно изобретению могут быть приготовлены в виде диспергируемых в воде гранул, также входящих в рамки изобретения. Эти диспергируемые гранулы с кажущейся плотностью, составляющей обычно около 0,3-0,6, имеют размер частиц, обычно составляющий 150-2000 и предпочтительно 300-1500 микрон. Содержание действующего начала в этих гранулах обычно составляет около 1-90% и предпочтительно 25-90%. Остальная часть гранул по существу состоит из твердого наполнителя и возможно поверхностно-активных добавок, придающих гранулам свойства диспергируемости в воде. Эти гранулы могут быть по существу двух различных типов, в зависимости от того, растворяется или нет в воде соответствующий наполнитель. Когда наполнитель водорастворим, то он может быть неорганическим (минеральным) или предпочтительно органическим. Отличных результатов достигают при использовании мочевины. Если наполнитель нерастворим, то он является предпочтительно минеральным, как например, каолин или бентонит. Тогда его предпочтительно смешивают с поверхностно-активными агентами (по 2-20% масс. на гранулу), более чем половина которых состоит, например, по крайней мере из диспергатора, главным образом анионного, такого как полинафталинсульфонат щелочного или щелочноземельного металла или лигносульфонат щелочного или щелочноземельного металла, причем остальная часть образована неионными или анионными смачивателями, такими как алкилнафталинсульфонат щелочного или щелочноземельного металла. Кроме того, хотя это не является необходимым, можно добавлять другие добавки, такие как антивспенивающие агенты. Гранулы согласно изобретению можно получать путем смешения необходимых ингредиентов, затем гранулирования согласно само по себе известным нескольким способам (дражирование, псевдоожиженный слой, атомизатор, экструзия и т. д. ). Заканчивают приготовление обычно дроблением с последующим просеиванием для получения размера частиц, выбираемого в вышеуказанных пределах. Можно еще использовать грануляты, получаемые как описано выше, затем пропитываемые с помощью содержащей действующее начало композиции. Предпочтительно гранулят получают путем экструзии, поступая как указано в нижеприводимом примере. Пример ДГ 1; Диспергируемые грануляты В смесителе смешивают 90% масс. действующего начала и 10% мочевины в виде шариков. Смесь затем размельчают в стержневой дробилке. Получают порошок, который увлажняют с помощью примерно 8% масс. воды. Влажный порошок экструдируют в экструдере с перфорированным барабаном. Получают гранулят, который высушивают, затем дробят и просеивают, оставляя соответственно только грануляты размером 150-2000 микрон. Пример ДГ 2: Диспергируемые грануляты В смесителе смешивают следующие компоненты: – действующее начало 75% – смачиватель (алкилнафталинсульфонат натрия) 2% – диспергатор (полинафталинсульфонат натрия) 8% – не растворимый в воде инертный наполнитель (каолин) 15% Эту смесь гранулируют в псевдоожиженном слое, в присутствии воды, затем высушивают, размельчают и просеивают, чтобы получить гранулы размером 0,15-0,80 мм. Эти грануляты могут быть использованы индивидуально, в виде раствора или дисперсии в воде, чтобы получить желаемую дозу. Их также можно использовать в сочетании с другими действующими началами, например, фунгицидами, причем эти последние находятся в форме смачивающихся порошков, или гранул, или водных суспензий. Что касается композиций, предназначенных для хранения и транспортировки, то они более предпочтительно содержат 0,5-95% масс. действующего начала. Предметом изобретения, наконец, является способ борьбы, включающий лечение или профилактику с фитопатогенными грибками в культурах, отличающийся тем, что на надземные части растений наносят эффективное и нефитотоксичное количество фунгицидной композиции согласно изобретению. Фитопатогенными грибками культур, с которыми можно бороться с помощью этого способа, являются, в частности, следующие: – группа оомицетов: – рода фитофторы, как Phytophthora infestans (милдью пасленовых, особенно картофеля или томата), Phytophthora citrophthora, Phytophthora capsici, Phytophthora cactorum, Phytophthora palmivora, Phytophthora cinnamoni, Phytophthora megasperma, Phytopbthora parasitica; – семейства пероноспоровых, особенно Plasmopara viticola (милдью винограда), Plasmopara halstedei (милдью подсолнечника), Pseudoperonospora sp. (в частности, милдью тыквенных и хмеля), Bremia lactucaе (милдью латука), Peronospora tabacinae (милдью табака); – группа аделомицетов: – рода альтернариа, например, Alternaria solani (альтернариоз пасленовых, и особенно томата и картофеля); – рода Guignardia, в частности Guignardia bidwelli (черная гниль винограда); – рода мучнистой росы, например, мучнистая роса винограда (Uncinula necator); мучнистая роса овощных культур, например, Erysiphe polygoni (мучнистая роса крестоцветных); Zeveillula taurica, Erysiphe cichoracearum, Sphaerotheca fuligera (мучнистая роса тыквенных, сложноцветных, томата); Erysiphe communis (мучнистая роса свеклы и капусты); Erysiphe pisi (мучнистая роса гороха, люцерны); Erysiphe polyphaga (мучнистая роса фасоли и огурца); Erysiphe umbelliferarum (мучнистая роса зонтичных, особенно моркови); Sphaerotheca humuli (мучнистая роса хмеля); Erysiphe graminis (мучнистая роса зерновых культур); – рода Septoria, например, Septoria nodorum Septoria tritici (септориоз зерновых культур); – группа базидиомицетов: – рода Puccinia, например, Puccinia recondita или Striiformis (ржавчины пшеницы). Фунгицидную композицию, составляющую предмет изобретения, наносят с помощью различных методов обработки, таких как: – опрыскивание надземных частей обрабатываемых культур жидкостью, содержащей вышеуказанную композицию; – опыливание, введение в почву гранул или порошков, поливка, опрыскивание деревьев или обмазывание. Опрыскивание жидкостью надземных частей обрабатываемых культур представляет собой предпочтительный способ обработки. Под “эффективным и нетоксичным количеством” понимают количество композиции согласно изобретению, достаточное для осуществления борьбы или уничтожения имеющихся грибков или тех, которые могут появиться на культурах, и не вызывающее у вышеуказанных культур никакого симптома фитотоксичности. Такое количество может изменяться в широких пределах в зависимости от грибка, с которым нужно бороться, от типа культуры, климатических условий и природы соединения Б, входящего в фунгицидную композицию согласно изобретению. Это количество можно определять систематическими испытаниями в поле, проводимыми специалистом. В обычных условиях сельскохозяйственной практики количества фунгицидной композиции согласно изобретению на объем жидкости для пульверизации, доходящие до 1 г/гл – 500 г/гл, соответствующие в значительной степени количествам на гектар, составляющим от 10 г/га до 5000 г/га, обычно дают хорошие результаты. Нижеследующие примеры даны исключительно в качестве иллюстрации изобретения, никоим образом не ограничивая его объема охраны. В этих примерах используемым соединением А является (4-S) 4-метил-2-метилтио-4-фенил-1-фениламино-2-имидазолин-5-он. На прилагаемых к настоящему тексту чертежах количество (дозу) каждого действующего начала, взятого индивидуально, необходимое для борьбы с фитопатогенным грибком, на указанном уровне, сравнивают с таковым двух действующих начал, взятых в смеси. Эффективное количество каждого действующего начала, взятого индивидуально, указано на оси абсцисс и оси ординат и проведена прямая линия, пересекающая эти две оси и связывающая эти два количества (дозы). Когда одно действующее начало, взятое индивидуально, не является эффективным (например, фосэтил-AI на фиг. 1), то прямая линия параллельна оси координат, на которой указаны количества этого действующего начала. Что касается взятых в смеси двух действующих начал, количество смеси с данным соотношением указано точкой. Прямую между этой точкой и началом системы координат проводят так, что для каждого испытуемого соотношения можно четко указать соотношение действующих начал. Пример 1. Испытание ин виво смеси соединения А с фосэтилом-AI на Phytophthora infestans (милдью томата) путем профилактической обработки спустя 48 часов Готовят суспензию из 60 мг, включающих соединения А и Б, в жидкой смеси, образованной 0,3 мл поверхностно-активного агента (олеат полиоксиэтиленированного производного сорбитана), разбавленного до концентрации 10% водой, и 60 мл воды. Соединением Б является фосэтил-AI; соотношение А/Б составляет 0,05 – 0,1 – 1. Томатные растения (сорт Марманд) культивируют в горшках. Когда эти растения достигают возраста один месяц (стадия 5-6 листьев, высота 12-15 см), их обрабатывают путем опрыскивания вышеуказанной суспензией. По истечении 48 часов, каждое растение заражают путем пульверизации с помощью водной суспензии спор (30000 спор/см3) Phytophthora infestans. После этого заражения, томатные растения инкубируют в течение 7 дней примерно при 20oC в насыщенной влагой атмосфере. Оценку проводят спустя 7 дней после заражения путем сравнения с контрольными растениями. Полученные результаты наносят в виде точек, соответствующих 90% уничтожения паразита, и откладывают на диаграмме Таммеса, в которой на оси абсцисс указываются количества соединения А, выраженные в мг/л, а на оси ординат – количества соединения Б, также выраженные в мг/л. Получают диаграмму фиг. 1, из которой видно, что фосэтил- AI, когда его используют индивидуально, не обладает никакой эффективностью в условиях испытания. Однако, из диаграммы видно, что добавление фосэтил-AI совершенно неожиданно позволяет снижать количество вещества А, необходимое для уничтожения 90% паразита, до величины ниже 309 мг/л, которая соответствует количеству взятого индивидуально соединения А, необходимому для нанесения с целью достижения того же самого процента уничтожения. Полученное расположение точек, следовательно, указывает односторонний эффект, квалифицируемый по-английски согласно вышеуказанному методу Таммеса как “one sided effect” (односторонний эффект). Это расположение соответствует изоболе типа II согласно вышеуказанному методу (с. 74 уже цитированной соответствующей библиографической ссылки) и является признаком синергизма. Пример 2. Испытание ин виво смеси соединения А с фосэтилом-AI Plasmopara viticola (милдью винограда) путем профилактической обработки спустя 72 часа Готовят суспензию из 60 мг, включающих соединения А и Б, в жидкой смеси, образованной 0,3 мл поверхностно-активного агента (олеат полиоксиэтиленированного производного сорбитана), разбавленного до концентрации 10% в воде, и 60 мл воды. Компонентом Б является фосэтил-AI; соотношение А/Б составляет 0,002 – 0,004 – 0,02. Черенки винограда (Vitis vinifera), сорта Chardonnay, культивируют в горшках. Когда эти растения достигают возраста 2 месяца (стадия 8-10 листьев, высота 10-15 см), их обрабатывают путем пульверизации с помощью вышеуказанной суспензии. Используемые в качестве контрольных образцов растения обрабатывают подобной, но не содержащей действующего начала суспензией (“пустая” препаративная форма). После высушивания в течение 72-х часов каждое растение заражают путем пульверизации водной суспензии спор Plasmopara viticola, получаемой из спорообразующих листьев, зараженных за 7 дней до этого. Эти споры суспендируют по 100000 единиц на см3. Зараженные растения затем инкубируют в течение двух дней примерно при 18oC в насыщенной влагой атмосфере, затем в течение 5 дней при 20-22oC и относительной влажности 90-100%. Оценку проводят спустя 7 дней после заражения путем сравнения с контрольными растениями. Полученные результаты наносят в виде точек, соответствующих 90% уничтожения паразита, и откладывают на диаграмме изоболы Таммеса, в которой на оси абсцисс указываются количества соединения А, выраженные в мг/л, а на оси ординат – количества соединения Б, также выраженные в мг/л. Получают представленную на фиг. 2 диаграмму, из которой видно, что фосэтил-AI, когда его используют индивидуально, не обладает никакой эффективностью в условиях испытания. Однако, из диаграммы видно, что добавление фосэтил-AI совершенно неожиданно позволяет снижать количество соединения А, необходимое для уничтожения 90% паразита, до величины ниже 20 мг/л, которая соответствует количеству взятого индивидуально соединения А, необходимому для нанесения с целью достижения того же самого процента уничтожения. Полученное расположение точек, следовательно, указывает односторонний эффект, квалифицируемый по-английски, согласно вышеуказанному методу Таммеса, как “one sided efftct” (односторонний эффект). Это расположение соответствует изоболе типа II согласно вышеуказанному методу (с. 74 уже цитированной соответствующей библиографической ссылки) и является признаком синергизма. Пример 3. Испытание ин виво смеси соединения А с Манкозебом на Plasmopara viticola (милдью винограда) путем профилактической обработки спустя 24 часа Повторяют пример 2, используя в качестве компонента Б Манкозеб, выбирая концентрации А и Б в суспензии для обработки растений, равные соответственно 3,2 и 12,5 мг/л, и, наконец, осуществляя заражение спустя 24 часа после обработки. Определяемая эффективность, также как эффективность взятых по-отдельности продуктов А и Б, измеряемая в тех же условиях, представлены в таблице (см. в конце описания). Пример 4. Испытание ин виво смеси соединения А с Цимоксанилом на Phytophthora infestans (милдью томата) путем профилактической обработки спустя 48 часов Повторяют пример 1, используя в качестве компонента Б Цимоксанил, выбирая соотношения А/Б в суспензии для обработки растений, равные 0,25 – 0,5 – 2 – 4. Получают представленную на фиг. 3 диаграмму, которая показывает расположение точек, аналогичное примеру 1, характерное для синергизма. Пример 5. Испытание ин виво смеси соединения A с N-метил-N- этил-2-(3,4-диметоксифенил)-4-трифторметилбензамидом на Phytophthora infestans (милдью томата) путем профилактической обработки спустя 48 часов Повторяют пример 1, используя в качестве компонента Б N- метил-N-этил-2-(3,4-диметоксифенил)-4-трифторметилбензамид и выбирая соотношения А/Б в суспензии для обработки растений, равные 0,25-0,5-1-2-4. Полученные результаты наносят в виде точек, соответствующих 90% уничтожения паразита, и откладывают на диаграмме Таммеса, в которой на оси абсцисс указываются количества соединения А, выраженные в мг/л, а на оси ординат – количества соединения Б, также выраженные в мг/л. Получают представленную на фиг. 4 диаграмму, из которой видно, что добавление количества соединения А менее 163 мг/л (доза, которая соответствует количеству взятого индивидуально соединения А, необходимому для нанесения с целью достижения 90% уничтожения паразита), позволяет совершенно неожиданно уменьшать количество продукта Б, необходимое для уничтожения 90% паразита, до величины ниже 166 мг/л (это значение соответствует количеству продукта Б, взятого индивидуально, которое необходимо для нанесения с целью достижения того же самого процента уничтожения). Полученное расположение точек, следовательно, указывает на билатеральный (двухсторонний) эффект, квалифицируемый по-английски согласно вышеуказанному методу Таммеса как “twosided effect” (двухсторонний эффект). Это расположение соответствует изоболе типа III согласно вышеуказанному методу (с.75 уже цитированной соответствующей библиографической ссылки) и является признаком синергизма. Пример 6. Испытание ин виво смеси соединения А с Диметоморфом на Phytophthora infestans (милдью томата) путем профилактической обработки спустя 48 часов Повторяют пример 1, используя в качестве компонента Б Диметоморф и выбирая соотношения А/Б в суспензии для обработки растений, равные 0,25 – 0,5 – 1. Получают представленную на фиг. 5 диаграмму, в которой расположение точек аналогично таковому, полученному для примера 5, и характерно для синергизма. Пример 7. Испытание ин виво смеси соединения А с Оксадиксилом на Plasmopara viticola (милдью винограда; чувствительный к фениламидам штамм) путем профилактической обработки спустя 48 часов Готовят суспензию из 60 мг, включающих соединения А и Б, в жидкой смеси, образованной 0,3 мл поверхностно-активного агента (олеат полиоксиэтиленированного производного сорбитана), разбавленного до концентрации 10% водой, и 60 мл воды. Компонент Б представляет собой Оксадиксил; соотношение А/Б составляет 0,5-1- 2-4. Черенки винограда (Vitis vinifera) сорта Chardonnay культивируют в горшках. Когда эти растения достигают возраста 2 месяца (стадия 8-10 листьев, высота 10-15 см), их заражают путем пульверизации водной суспензии спор Plasmopara viticola, получаемой из спорообразующих листьев, зараженных за 7 дней до этого. Эти споры суспендируют по 100000 единиц на см3. Зараженные растения затем, спустя 48 часов после заражения, обрабатывают путем пульверизации с помощью вышеприготовленной суспензии фунгицидного продукта. Используемые в качестве контрольных образцов растения обрабатывают подобной, но не содержащей действующего начала суспензией (“пустая” препаративная форма). Зараженные, затем обработанные растения после этого инкубируют в течение двух дней примерно при 18oC в насыщенной влагой атмосфере, затем в течение 5 дней при 20-22oC при относительной влажности 90-100%. Оценку проводят спустя 7 дней после заражения путем сравнения с контрольными растениями. Полученные результаты наносят в виде точек, соответствующих 70% уничтожения паразита, и откладывают на диаграмме изоболы Таммеса, в которой на оси абсцисс указываются количества соединения А, выраженные в мг/л, а на оси ординат – количества продукта Б, также выраженные в мг/л. Получают представленную на фиг. 6 диаграмму, в которой расположение точек аналогично таковому, полученному для примера 5, и характерно для синергизма. Пример 8. Испытание ин виво смеси соединения А с Хлороталонилом на Phytophthora infestans (милдью томата) путем профилактической обработки спустя 48 часов Повторяют пример 1, используя в качестве соединения Б Хлороталонил; соотношение А/Б составляет 0,125-0,25-0,5-1-2. Используют результаты, соответствующие 70% уничтожения паразита. Получают представленную на фиг. 7 диаграмму, которая показывает расположение точек, аналогично примеру 5, характерное для синергизма. Пример 9. Испытание ин виво смеси соединения А с Диметоморфом на Plasmopara viticola (милдью винограда) путем профилактической обработки спустя 48 часов Повторяют пример 7, используя в качестве соединения Б Диметоморф; соотношение А/Б составляет 0,25 -0,5 – 1 – 2 – 4. Берут результаты, соответствующие 90% уничтожения паразита. Получают представленную на фиг. 8 диаграмму, которая показывает расположение точек, аналогичное примеру 1, характерное для синергизма. Пример 10. Испытание ин виво смеси соединения А с Металаксилом на Phytophthora infestans (милдью томата; чувствительный к фениламидам штамм) путем профилактической обработки спустя 48 часов Повторяют пример 1, используя в качестве соединения Б Металаксил; соотношение А/Б составляет 0,25 – 0,5 – 1 – 2. Используют штамм, чувствительный к фениламидам. Получают представленную на фиг. 9 диаграмму, которая показывает расположение точек, аналогичное примеру 1, характерное для синергизма. Пример 11. Испытание ин виво смеси соединения А с Металаксилом на Plasmopara viticola (милдью винограда) путем профилактической обработки спустя 24 часа Повторяют пример 2, используя в качестве соединения Б Металаксил; соотношение А/Б составляет 2-4-8. Виноградные растения заражают спустя 24 часа после обработки с помощью суспензии, содержащей смесь А и Б. Получают представленную на фиг. 10 диаграмму, которая показывает расположение точек, аналогичное примеру 5, характерное для синергизма. Пример 12. Испытание ин виво смеси соединения А с фосфористой кислотой на Phytophthora infestans (милдью томата) путем профилактической обработки спустя 48 часов Повторяют пример 1, используя в качестве соединения Б фосфористую кислоту; соотношение А/Б составляет 0,025-0,5-0,1-0,2-1. Берут результаты, соответствующие 70% уничтожения паразита. Получают представленную на фиг. 11 диаграмму, которая показывает расположение точек, также аналогичное примеру 1, характерное для синергизма. Пример 13. Испытание ин виво смеси соединения А с натриевой солью фосфористой кислоты на Plasmopara viticola (милдью винограда) путем профилактической обработки спустя 24 часа Повторяют пример 2, используя в качестве соединения Б натриевую соль фосфористой кислоты; соотношение А/Б составляет 0,025 – 0,05 – 0,1. Заражение виноградных растений осуществляют спустя 24 часа после обработки с помощью суспензии, содержащей смесь соединений А и Б. Получают представленную на фиг. 12 диаграмму, которая показывает расположение точек, также аналогично примеру 2, характерное для синергизма. Пример 14. Испытание ин виво смеси соединения А с Цимоксанилом на Phytophthora infestans (милдью томата) путем профилактической обработки спустя 48 часов Повторяют пример 1, используя в качестве соединения Б Цимоксанил; соотношение А/Б составляет 0,25 – 0,5 – 1 – 2. Берут результаты, соответствующие 70% уничтожения паразита. Получают представленную на фиг. 13 диаграмму, которая показывает расположение точек, аналогичное примеру 5, характерное для синергизма. Пример 15. Испытание ин виво смеси соединения А с Цимоксанилом на Phytophthora infestans (милдью томата) путем профилактической обработки спустя 24 часа Готовят суспензию из 60 мг, включающих соединения А и Б, в жидкой смеси, образованной 0,3 мл поверхностно-активного агента (олеат полиоксиэтиленированного производного сорбитана), разбавленного до концентрации 10% водой, и 60 мл воды. Компонентом Б является Цимоксанил, соотношение А/Б составляет 0,25 – 0,5 – 1 – 2. Томатные растения (сорт Марманд) культивируют в горшках. Когда эти растения достигают возраста один месяц (стадия 5-6 листьев, высота 12-15 см), их заражают путем пульверизации с помощью водной суспензии спор (30000 спор на см3) Phytophthora infestans. По истечении 24 часов, эти растения заражают путем пульверизации вышеуказанной суспензии. Затем томатные растения инкубируют в течение 7 дней примерно при 20oC в насыщенной влагой атмосфере. Оценку проводят спустя 7 дней после заражения путем сравнения с контрольными растениями. Полученные результаты наносят в виде точек, соответствующих 90% уничтожения паразита, и откладывают на диаграмме Таммеса, в которой на оси абсцисс указываются количества Цимоксанила, выраженные в мг/л, а на оси ординат – количества соединения А, выраженные в мг/л. Получают представленную на фиг. 14 диаграмму, расположение точек в которой указывает на односторонний эффект, характерный для синергизма. Пример 16. Испытание ин виво смеси соединения А с N-метил-N- этил-2- (3,4-диметоксифенил) -4-трифторметилбензамидом на Plasmopara viticola (милдью винограда) путем лечебной обработки спустя 48 часов Повторяют пример 7, используя в качестве компонента Б N- метил-N-этил-2-(3, 4-диметоксифенил)-4-трифторметилбензамид и выбирая соотношение А/Б в суспензии для обработки растений, равные 0,25 – 0,5 – 1 – 4. Получают представленную на фиг. 15 диаграмму, которая показывает расположение точек, аналогичное примеру 5, характерное для синергизма. Пример 17. Испытание ин виво смеси соединения А с метил-(Е) -метоксиимино -/ – (о-толилокси)-о-толил/ацетатом на Plasmopara viticola (милдью винограда) путем профилактической обработки спустя 24 часаПовторяют пример 2, используя в качестве компонента Б метил–(Е)-метоксиимино / – (о-толилокси)-о-толил/ацетат и выбирая соотношения А/Б в суспензии для обработки растений, равные 0,25 – 0,5 – 1. Заражение виноградных растений осуществляют спустя 24 часа после обработки суспензией, содержащей смесь А и Б.
Получают представленную на фиг. 16 диаграмму, которая показывает расположение точек, аналогичное примеру 5, характерное для синергизма.
Пример 18. Испытание ин виво смеси соединения А с метил-(Е)- метоксиимино / – (о-толилокси)-о-толил/ацетатом на Plasmopara viticola (милдью винограда) путем лечебной обработки спустя 48 часовПовторяют пример 7, используя в качестве соединения Б метил- -(Е)-метоксиимино / – (о-толилокси)-о-толил/ацетат; соотношение А/Б составляет 0,25 – 0,5 – 1. Берут результаты, соответствующие 90% уничтожения паразита.
Получают представленную на фиг. 17 диаграмму, которая показывает расположение точек, аналогичное примеру 5, характерное для синергизма.
Пример 19. Испытание ин виво смеси соединения А в метил-(Е)- 2-{2-[6-(2-цианофенокси)пиримидин-4-илокси] фенил} -3- метоксиакрилатом на Phytophthora infestans (милдью томата) путем профилактической обработки спустя 48 часовПовторяют пример 1, используя в качестве соединения Б метил- (Е)-2-{2-[6-(2-цианофенокси)пиримидин-4-илокси] фенил}-3- метоксиакрилат; соотношение А/Б составляет 0,25 – 0,5 – 1. Берут результаты, соответствующие 90% уничтожения паразита. Получают представленную на фиг. 18 диаграмму, которая показывает расположение точек, аналогичное примеру 5, характерное для синергизма. Пример 20. Испытание ин виво смеси соединения А с Флуазинамом на Phytophthora infestans (милдью картофеля; чувствительный к фениламидам штамм) путем лечебной обработки спустя 24 часа Повторяют пример 15, используя картофельные растения (сорт Bintje) и беря в качестве соединения Б Флуазинам; соотношение А/Б составляет 0,11 – 0,33 – 1. Получают представленную на фиг. 19 диаграмму. Пример 21. Испытание ин виво смеси соединения А с Эпоксиконазолом на Septorid nodorum (септориоз пшеницы) путем профилактической обработки спустя 24 часа Готовят концентрированную водную суспензию компонента А с концентрацией 500 г/л. Компонент Б представляет собой Эпоксиконазол, который используют в виде водной концентрированной суспензии в концентрации 125 г/л. Затем готовят суспензии, содержащие компоненты А и/или Б, разбавленные в воде, чтобы получить для соотношения А/Б следующие значения: 0,25 – 0,5. Во всех случаях получают разбавленную гомогенную суспензию. Зерна пшеницы сорта Таlent культивируют в горшках, помещенных в климатическую камеру, в которой температура составляет около 10oC, а относительная влажность составляет примерно 70%. Когда эти растения достигают возраста 15 дней (высота 8-10 см), их обрабатывают путем нанесения разбавленной суспензии, такой как полученная выше. Это нанесение осуществляют с помощью насадочной системы для пульверизации жидкости в форме конуса, угол вершины которого составляет 70-110o. Такую систему квалифицируют как пескоструйное сопло. Эта насадочная система фиксирована на тележке, передвигающейся по отношению к горшкам, расположенным на неподвижной плите. Такая система позволяет высвобождать дозу А и/или Б, которую наносят в г на гектар. Экспериментальными условиями являются такие, что объем водной разбавленной суспензии, наносимый на горшки, составляет 250 л/га. По истечении 24 часов, каждое растение заражают путем пульверизации (опрыскивания) с помощью водной суспензии спор (500000 спор/см3) Septoria nodorum. После этого заражения, пшеничные растения инкубируют в течение 7 дней примерно при 20oC. Оценку проводят спустя 7 дней после заражения путем сравнения с контрольными растениями, зараженными паразитами, но необработанными. Полученные результаты наносят в виде точки, соответствующей 90% уничтожения паразита, и откладывают на диаграмме Таммеса, в которой на оси абсцисс указывается количество (доза) Эпоксиконазола (выраженная в г/га), а на оси ординат – количество соединения А, также выраженное в г/га. Получают представленную на фиг. 20 диаграмму, которая показывает расположение точек, аналогичное примеру 1, характерное для синергизма. Пример 22. Испытание ин виво смеси соединения А с Эпоксиконазолом на Puccinia recondita (коричневая ржа пшеницы) путем профилактической обработки спустя 24 часа Повторяют пример 21, выбирая для соотношения А/Б следующие значения: 0,1-0,2-1-2 и осуществляя заражение с помощью водной суспензии спор (100000 спор/см3) Puccinia recondita. Оценку проводят спустя 10 дней после заражения путем сравнения с контрольными растениями, зараженными паразитом, но необработанными. Получают представленную на фиг. 21 диаграмму. Пример 23. Испытание ин виво смеси соединения А с Эпоксиконазолом на Septоria tritici (септориоз пшеницы) путем профилактической обработки спустя 24 часа Повторяют пример 21, выбирая для соотношения А/Б следующие значения: 0,25 – 0,5 – 1 и используя зерна пшеницы сорта Дариус. Заражение осуществляют с помощью водной суспензии спор (500000 спор/см3) Septoria tritici и инкубацию реализуют при температуре 18oC (днем) и 15oC ночью в течение периода 21 день. Оценку проводят спустя 21 день после заражения путем сравнения с контрольными растениями, зараженными паразитом, но необработанными. Получают представленную на фиг. 22 диаграмму, которая показывает расположение точек, аналогичное примеру 21, характерное для синергизма. Пример 24. Испытание ин виво смеси соединения А с Пропиконазолом на Puccinia recondita (коричневая ржа пшеницы) путем профилактической обработки спустя 24 часа Повторяют пример 22, беря в качестве соединения Б Пропиконазол, который используют в виде растворимого концентрата с содержанием компонента Б 125 г/л, и выбирая для соотношения А/Б следующие значения: 0,5 – 1 – 2. Берут результаты, соответствующие 70% уничтожения паразита. Получают представленную на фиг. 23 диаграмму, которая показывает расположение точек, аналогичное примеру 5, характерное для синергизма. Пример 25. Испытание ин виво смеси соединения A с Пропиконазолом на Septoria nodorum (септориоз пшеницы) путем профилактической обработки спустя 24 часа Повторяют пример 21, беря в качестве соединения Б Пропиконазол, который используют в виде растворимого концентрата с содержанием компонента Б 125 г/л, и выбирая для соотношения А/Б следующие значения: 0,5 – 1 – 2. Получают представленную на фиг. 24 диаграмму, которая показывает расположение точек, характерное для синергизма. Также повторяют этот пример, выбирая для соотношения А/Б следующие значения: 0,1 – 0,2 – 1. Получают представленную на фиг. 25 диаграмму, которая показывает расположение точек, характерное для синергизма. Пример 26. Испытание ин виво смеси соединения А с Пропиконазолом на Septoria tritica (септориоз пшеницы) путем профилактической обработки спустя 24 часа Повторяют пример 23, беря в качестве соединения Б Пропиконазол, который используют в виде растворимого концентрата с содержанием компонента Б 125 г/л, и выбирая для соотношения А/Б следующие значения: 0,1 – 0,2 – 1. Используют результаты, соответствующие 90% уничтожения паразита. Получают представленную на фиг. 26 диаграмму, которая показывает расположение точек, аналогичное примеру 1, характерное для синергизма. Пример 27. Испытание ин виво смеси соединения А с Прохлоразом на Septoria nodorum (септориоз пшеницы) путем профилактической обработки спустя 24 часа Повторяют пример 21, беря в качестве соединения Б Прохлораз и получая эмульгируемые концентраты А и Б, содержащие, соответственно, 150 и 320 г/л, в смеси бензилового спирта с растворителем ароматического типа, в которую введено два поверхностно-активных агента, представляющих собой касторовое масло, этоксилированное 33 молями этиленоксида, и алкиларилсульфонат кальция. Получают содержащие А и/или Б эмульсии, разбавленные водой так, чтобы придать соотношению А/Б следующие значения: 0,25-1-2. Во всех случаях получают таким образом разбавленную гомогенную эмульсию Получают представленную на фиг. 27 диаграмму, которая показывает расположение точек, характерное для синергизма. Пример 28. Испытание ин виво смеси соединения А с Тебуконазолом на Septoriа nodorum (септориоз пшеницы) путем профилактической обработки спустя 24 часа Повторяют пример 21, беря в качестве соединения Б Тебуконазол, который используют в виде концентрированной суспензии с содержанием компонента Б 25 г/л, и придавая соотношению А/Б следующие значения: 0,1 – 1 – 2. Разбавленные суспензии, содержащие А и/или Б, являются гомогенными. Получают представленную на фиг. 28 диаграмму, которая показывает расположение точек, характерное для синергизма. Пример 29. Испытание ин виво смеси соединения А с Тебуконазолом на Puccinia recondita (коричневая ржа пшеницы) путем профилактической обработки спустя 24 часа Повторяют пример 22, используя в качестве соединения Б Тебуконазол, который применяют в виде концентрированной суспензии с содержанием компонента Б 25 г/л, и придавая соотношению А/Б следующие значения: 0,1 – 0,2 – 1 – 2. Разбавленные суспензии, содержащие А и/или Б, являются гомогенными. Получают представленную на фиг. 29 диаграмму, которая показывает расположение точек, характерное для синергизма. Формула изобретения
![]() в которой М обозначает атом серы; n обозначает целое число, равное 0; и одно фунгицидное соединение Б, выбираемое в группе, состоящей из манкозеба, фосэтил-Al, фосфористой кислоты и ее солей щелочных металлов, хлороталонила, флуазинама, прохлораза, эпоксиконазола, тебуконазола, цимоксанила, металаксила, оксадиксила, диметоморфа, метил-(Е)-2-{2-/6-(2-цианофенокси)пиримидин-4-илокси/фенил} -3-метоксиакрилата, метил-(Е)-метоксиимино/ -(0-толилокси)-0-толил/ацетата, производного фенилбензамидного типа формулы II![]() в которой R1 и R2 разные, обозначают атом водорода или галогенированный алкильный радикал; R3 и R4, одинаковые или разные, обозначают алкильный радикал с 1 – 4 атомами углерода, причем вышеуказанная композиция содержит компоненты А и Б в массовом соотношении А : Б = 0,02 – 8. 2. Фунгицидная композиция по п.1, отличающаяся тем, что соединение Б представляет собой одно из следующих: манкозеб, фосэтил-Аl, фосфористая кислота, хлор-талонил, флуазинам, прохлораз, эпоксиконазол, тебуконазол, цимоксанил, металаксил, оксодиксил, диметоморф, производное фенилбензамидного типа, которое отвечает формуле II, в которой R1 обозначает атом водорода, R2 обозначает трифторметильный радикал, R3 обозначает метильный радикал и R4 обозначает этильный радикал, иными словами производное фенилбензамидного типа, называемое N-метил-N-этил-2-(3,4-диметоксифенил)-4-трифторметилбензамид. 3. Фунгицидная композиция по любому из пп.1 и 2, отличающаяся тем, что соединение Б выбирают среди фосэтил-Аl, манкозеба, цимоксанила, диметоморфа, оксадиксила или N-метил-N-этил-2-(3,4-диметоксифенил)-4-трифторметилбензамида. 4. Фунгицидная композиция по любому из пп.1 – 3, отличающаяся тем, что когда компонентом Б является фосэтил-Аl, соотношение А : Б составляет 0,002 – 1. 5. Фунгицидная композиция по любому из пп.1 – 3, отличающаяся тем, что когда компонентом Б является N-метил-N-этил-2-(3,4-диметоксифенил)-4-трифторметилбензамид, соотношение А : Б составляет 0,25 – 4. 6. Фунгицидная композиция по любому из пп.1 – 3, отличающаяся тем, что когда компонентом Б является цикмоксанил, соотношение А : Б составляет 0,25 – 4. 7. Фунгицидная композиция по любому из пп.1 – 3, отличающаяся тем, что когда компонентом Б является оксадиксил, соотношение А : Б составляет 0,5 – 4. 8. Фунгицидная композиция по любому из пп.1 – 3, отличающаяся тем, что когда компонентом Б является манкозеб, соотношение А : Б составляет 0,26. 9. Фунгицидная композиция по любому из пп.1 – 3, отличающаяся тем, что когда компонентом Б является диметоморф, соотношение А : Б составляет 0,2 – 1. 10. Фунгицидная композиция по любому из пп.1 – 9, отличающаяся тем, что она включает соединения А и Б в смеси с твердыми или жидкими носителями, приемлемыми в сельском хозяйстве, и поверхностно-активными агентами, также приемлемыми в сельском хозяйстве. 11. Фунгицидная композиция по любому из пп.1 – 10, отличающаяся тем, что она включает 0,05 – 95 мас.% действующего начала. 12. Способ борьбы, включая лечебную или профилактическую обработку против фитопатогенных грибков культур, отличающийся тем, что на надземные части растений наносят эффективное и нефитотоксичное количество фунгицидной композиции по любому из пп.1 – 11. 13. Способ борьбы по п.12, отличающийся тем, что наносят 10 – 5000 г/га композиции. РИСУНКИ
PC4A Государственная регистрация перехода исключительного права без заключения договора
Дата и номер государственной регистрации перехода исключительного права: 16.11.2010 № РП0001115
Лицо(а), исключительное право от которого(ых) переходит без заключения договора:
(73) Патентообладатель(и):
Адрес для переписки:
Дата публикации: 10.01.2011
|
||||||||||||||||||||||||||



-(4-хлорфенил)-
– [(2,4-дихлорфенил)метилен] –
У/100,
16,4o) при температуре 29oC.
Вторая стадия:
