|
(21), (22) Заявка: 2003116531/09, 03.06.2003
(24) Дата начала отсчета срока действия патента:
03.06.2003
(43) Дата публикации заявки: 20.12.2004
(45) Опубликовано: 10.04.2005
(56) Список документов, цитированных в отчете о поиске:
ЛАБУНЦОВ В.А., Однофазные полупроводниковые компенсаторы пассивных составляющих мгновенной мощности. В: “Электричество”, 1993, №12, с.20-32. RU 2187185 С2, 10.08.2002. RU 2157041 С2, 27.09.2000. SU 1128350 А, 07.12.1984. SU 1674306 А, 12.01.1989. US 4891569 А, 02.01.1990.
Адрес для переписки:
432027, г.Ульяновск, ул. Северный Венец, 32, УлГТУ, проректору по НИР
|
(72) Автор(ы):
Боровиков М.А. (RU), Петрова М.В. (RU)
(73) Патентообладатель(и):
Ульяновский государственный технический университет (RU)
|
(54) ОДНОФАЗНЫЙ КОМПЕНСАТОР ПАССИВНЫХ СОСТАВЛЯЮЩИХ МГНОВЕННОЙ МОЩНОСТИ
(57) Реферат:
Изобретение относится к электротехнике, в частности к области устройств компенсации пассивных составляющих мгновенной мощности, появление которых связано с особенностями потребителей электроэнергии. Технический результат заключается в расширении диапазона регулирования пассивных составляющих мгновенной мощности и повышении надежности работы компенсатора. Компенсатор по схеме однофазного инвертора напряжения в виде транзисторного моста с обратными диодами, в диагональ постоянного тока которого включен накопительный конденсатор, а диагональ переменного тока подключена к сети параллельно нагрузке через дроссель, обмотка дросселя выполняется секционированной, то есть состоящей из двух секций с выводом посредине, в компенсатор вводится ключ на двух тиристорах, посредством которого при разрядах накопительного конденсатора подключается одна секция обмотки дросселя, а при зарядах – обе секции. 2 ил.

Предлагаемое изобретение относится к электротехнике, области устройств, повышающих эффективность потребления электроэнергии, в частности устройств компенсации реактивной мощности и мощности искажения, которые в некоторых источниках называют “пассивными составляющими мгновенной мощности” [1].
Наиболее распространенными устройствами компенсации являются батареи конденсаторов, подключаемые параллельно нагрузке и обеспечивающие требуемые нагрузкой пассивные составляющие мгновенной мощности на месте потребления, без загрузки сети соответствующей составляющей тока. Недостатки таких устройств связаны с требованиями регулирования величины емкости конденсаторной батареи.
Другой разновидностью компенсаторов являются устройства, выполняемые на основе мостовых схем инверторов напряжения на двухоперационных ключах с обратными диодами и накопительной емкостью в диагонали моста постоянного тока. Такое устройство [2] было предложено в виде последовательного соединения с нагрузкой для формирования в ней синусоидального тока. Такое соединение имеет весьма ограниченную область применения, так как нарушает режим естественного для данной нагрузки способа потребления электроэнергии. Подключение же такого устройства параллельно нагрузке, а следовательно, и параллельно источнику питания делает его достаточно универсальным, так как он не нарушает режим естественного потребления тока нагрузки, а может разгрузить источник питания от реактивных токов, а также токов высших гармоник, что и требуется для повышения эффективности потребления электроэнергии, то есть повышения коэффициента мощности источника питания. В связи с этим прототипом предлагаемого изобретения является рассмотренный в статье [1] компенсатор пассивных составляющих мгновенной мощности.
Недостатком существующей схемы компенсатора на основе инвертора напряжения является склонность его к постепенному снижению среднего значения напряжения накопительного конденсатора, что, в конечном счете, приводит к срыву процесса разряда-заряда его и нарушению условий генерирования тока компенсации iк(t) требуемых формы и величины. Это объясняется тем, что для обеспечения устойчивости процессов разряда-заряда конденсатора колебательный контур из дросселя и конденсатора с вносимыми в него активными сопротивлениями полупроводниковых приборов, дросселя и проводов должен иметь высокую добротность, что для силовых устройств, к которым относится рассматриваемый компенсатор, добиться довольно сложно. Технический результат, получаемый от предлагаемого изобретения, состоит в преодолении указанного недостатка, то есть в повышении надежности работы компенсатора за счет устранения возможности срыва процесса разряда-заряда накопительного конденсатора при скачках тока нагрузки и, как следствие, – расширение диапазона регулирования тока компенсации.
Схема предлагаемого изобретения приведена на фиг.1.
На этой схеме:
1, 2, 3, 4 – транзисторы компенсатора, соединенные по мостовой схеме и обеспечивающие его инверторный режим;
5, 6, 7, 8 – обратные диоды, также образующие мостовую схему, через них происходит заряд конденсатора 9;
9 – накопительный конденсатор;
10 – дроссель (индуктивность), который в отличие от прототипа выполняется секционированным, то есть вся обмотка состоит из двух секций и имеет вывод посредине;
11, 12 – ключ на двух тиристорах, один из которых анодом соединен с выводом второй секции дросселя, катод его соединен с анодом другого тиристора, катод которого соединен с выводом первой секции дросселя, а управляющие электроды соединены с блоком управления 24;
13 – датчик тока нагрузки;
14 – датчик тока, потребляемого из сети;
15 – датчик напряжения нагрузки, совпадающего с напряжением сети;
16 – нагрузка;
17 – задающее устройство компенсатора, которое вырабатывает сигнал задания тока, потребляемого из сети, и сигнал задания формы тока компенсации;
18 – устройство сравнения сигналов задания потребляемого тока и его измеренной величины;
19 – регулятор тока сети;
20 – модулятор длительности управляющих импульсов транзисторов 1-4 компенсатора;
21 – формирователь и усилитель импульсов управления транзисторами 1-4 компенсатора;
22 и 23 – распределители импульсов управления парами транзисторов 1, 4 и 2, 3;
24 – блок управления тиристорами 11 и 12.
Компенсатор по схеме фиг.1 представляет собой систему автоматического управления током компенсации iк(t) из условия потребления минимального тока из сети ic(t).
На фиг.2 приведены временные диаграммы изменения основных координат компенсатора для случая “неискажающей” форму тока нагрузки. Кривые фиг.2,а показывают ток нагрузки iн(t), отстающий от напряжения сети ес на угол , и его составляющие: ia(t) – активную, совпадающую по фазе с напряжением сети, и ip(t) – реактивную, сдвинутую от ес на угол /2.
Основное назначение компенсатора – сформировать ток iк(t)=iр(t). Тогда реактивная составляющая тока нагрузки не будет потребляться из сети, а будет производиться в месте потребления, а сеть (источник питания) оказывается разгруженной от нее. Это и позволяет повысить эффективность потребления электроэнергии, так как в линии электропередачи будут снижены потери на величину, определяемую реактивными токами.
Потери мощности в линии без компенсатора определяются выражением

где Iн, Ia, Ip – действующие значения соответственно тока нагрузки и его активной и реактивной составляющих;
Рл, Рла, Рлр – общие потери мощности в линии (сети электроснабжения) и их составляющие от активного и реактивного токов;
Rл – общее активное сопротивление сети электроснабжения от источника питания eс до точки потребления электроэнергии нагрузкой.
Потери мощности в линии с компенсатором

Так как активная Ia и реактивная Ip составляющие тока Iн – соизмеримы, то снижение потери в линии на величину Рлр оказывается весьма эффективным: снижаются не только потери, но и увеличивается пропускная способность линии за счет возможности подключения других нагрузок.
На фиг.2,б показаны кривые изменения напряжения на накопительном конденсаторе Uск(t) и модули э.д.с. сети |ес| в стационарном режиме формирования нужного значения тока компенсации iк(t) (фиг.2,в). На фиг.2,г приведена кривая изменения э.д.с. самоиндукции дросселя 10 eL(t), которая определяется состоянием тиристоров 11 и 12:
если открыт тиристор 12, а 11 закрыт, то ток iк(t), протекает по первой секции дросселя 10 и

если открыт тиристор 11, а 12 закрыт, то ток iк(t) протекает по обеим секциям дросселя 10, которые включены согласно, при этом eL(t) определяется выражением

Все координаты компенсатора iк(t), Uск(t), eL(t) состоят из средних значений (“гладких составляющих”) iк0(t), Ucк0(t), eL0(t) и переменных величин iк, Ucк0, eL

Средние значения изменяются с частотой сети fc=1/Tc, где Тc – период изменения напряжения питания сети eс(t), а переменные составляющие изменяются с частотой коммутации транзисторов 1-4 компенсатора (частотой переключения)
fП=1/TП,
где ТП – период коммутации транзисторов.
На этом периоде коммутации у транзисторов есть интервал открытого состояния ТП и интервал закрытого состояния (1- )ТП,
где =tв/TП – относительная продолжительность открытого состояния (скважность) транзисторов.
Изменение скважности и позволяет формировать ток компенсации iк(t) нужных величины и формы.
Частота коммутации транзисторов fП задается входящим в состав блока 21 генератором несущей частоты.
Компенсатор по схеме фиг.1 работает следующим образом.
После включения компенсатора в сеть происходит начальный заряд накопительной емкости 9 через обе секции дросселя 10 (открыт тиристор 11, а 12 – закрыт) и обратные диоды 5-8 до напряжения, близкого к двойному значению амплитудного напряжения э.д.с. сети ec(t). Этот процесс начинается строго с момента ec=0, что обеспечивается работой блока 24, и занимает по длительности интервал времени не более полупериода Тc/2 (на фиг.2 не показан).
В зависимости от характера нагрузки 16, т.е. от величины и формы потребляемого тока iн(t), задающее устройство 17 с помощью датчика тока 13 и датчика напряжения 15 вырабатывает заданное значение тока компенсации iк0(t), отклонение от которого на допустимую величину iкдоп контролируется регулятором тока 19. Выходной сигнал звена 19 и сигнал задания формы тока компенсации из задающего устройства 17 определяют выходной сигнал на выходе блока 20 модулятора длительности сигналов управления транзисторами 1-4. Процесс разряда конденсатора 9 в стационарном режиме начинается с момента времени, угловая оценка которого соответствует значению 1= Тс/2= /2, где =2 fc – угловая частота изменения напряжения питания; = t – угловое измерение текущего времени.
В этот момент соответствующая пара транзисторов 1-4 или 2-3 открывается и на интервале времени TП начинает нарастать ток iк(t) (фиг.2,в). При отклонении его от заданного значения iк0(t) на допустимую величину транзисторы закрываются и на интервале (1- )ТП ток начинает уменьшаться, стремясь к отрицательному установившемуся значению. При отклонении от iк0(t) в отрицательную сторону на допустимую величину iкдоп пара транзисторов вновь включается и ток начинает нарастать. Далее такие процессы повторяются с частотой fП и изменяющейся скважностью .
При положительной полуволне тока iк(t), когда он идет из компенсатора в сеть, – напряжение на конденсаторе 9 Uск(t) уменьшается (разряд конденсатора), а при отрицательной полуволне iк(t), когда он идет из сети в конденсатор (заряд конденсатора), – напряжение Uск(t) увеличивается.
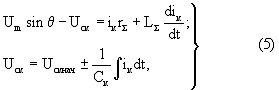
Изменение всех координат компенсатора фиг.1 подчиняются уравнениям

где r =rк+ rпп – суммарное активное сопротивление, через которое замыкается ток коммутации iк;
rк – сопротивление дросселя;
rпп – суммарное сопротивление полупроводниковых приборов;
L =Lл+Lк – индуктивность сети и дросселя.
Находя решения уравнений (5) и выделяя из них средние значения (гладкие составляющие), получаем

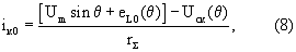
Следовательно, среднее за период несущей частоты значение э.д.с. самоиндукции дросселя 10 eL0 находится в фазе с напряжением источника питания eс, а среднее значение переменной составляющей напряжения Uскo на накопительном конденсаторе 9 – в противофазе с ес( ). Выражение для текущего значения тока iко( ) в инверторном режиме компенсатора (разряд конденсатора 9) можно записать так:

где k=0, 1, 2, …, .
Выражение для текущего значения тока iко( ) в выпрямительном режиме компенсатора (заряд конденсатора 9) записывается так:

где k=0, 1, 2, …, .
Из выражений (7) и (8) следует, что в инверторном режиме, когда ток iко идет из конденсатора в сеть через транзисторы 1-4, абсолютное значение |Uск( )| должно быть больше суммарного значения |ес+еL0|, а в выпрямительном режиме, когда ток iко идет в конденсатор 9 через обратные диоды, сумма э.д.с. |ес+еL0| должна быть больше, чем абсолютное значение напряжения на конденсаторе |Uск( )|. Так как значение eс( ) не может быть изменено, то для получения желаемого соотношения между |Uск( )| и |ec+eL0| целесообразно изменять значение eL0: в инверторном режиме его делать меньше, чем в выпрямительном. В этом суть предлагаемого изобретения: в инверторном режиме, когда eL0 препятствует формированию тока iк( ), его значение следует сделать малым, а в выпрямительном режиме, – когда eL0 способствует протеканию тока iк( ), его следует сделать большим. Это достигается путем изготовления дросселя 10 двухсекционным (двухобмоточным) и переключением согласно включенных секций с помощью тиристоров 11 и 12, которые переключают дроссель с одной обмотки на две последовательно включенные в зависимости от направления тока iк( ). Использование предлагаемого изобретения позволяет устранить основной недостаток существующих схем компенсатора с однообмоточным дросселем, заключающийся в том, что часто возникают ситуации при включении и выключении нагрузок, когда возникает условие

При этом срывается процесс заряда конденсатора 9 и компенсатор перестает выполнять свою функцию – генерировать ток компенсации
iк( )=iр( ).
При правильно выполненной системе управления и возникновении условия (9) должен начаться такой процесс: конденсатор 9 должен быть разряжен практически до нуля путем надлежащего управления парами транзисторов 1-2 и 3-4 (которые в нормальном режиме в таких сочетаниях не включаются), далее производится начальный заряд конденсатора до максимального напряжения и последующее управление парами транзисторов 1-4 и 2-3 для обеспечения нормального режима компенсации. Однако такая процедура сопровождается появлением интервала времени с потерей компенсации тока ip( ) и соответствующими дополнительными потерями в сети электроснабжения Ррл.
Применение предлагаемого изобретения позволяет исключить возможность появления описанных ситуаций, а следовательно, повысить надежность работы компенсатора и расширить диапазон регулирования тока компенсатора iк( ).
Источники информации
Формула изобретения
Однофазный компенсатор пассивных составляющих мгновенной мощности, силовые цепи которого выполнены на четырех транзисторах с обратными диодами, в диагональ постоянного тока включен накопительный конденсатор, диагональ переменного тока подключена к питающей сети параллельно нагрузке через дроссель, а система управления компенсатором состоит из датчиков тока и напряжения нагрузки, датчика тока сети, содержит задающее устройство компенсатора, которое вырабатывает сигнал задания тока, потребляемого из сети, и сигнал задания формы тока компенсации, на вход которого подключены датчики напряжения и тока нагрузки, узел сравнения сигнала задания тока с сигналом датчика тока сети, регулятор тока сети, который контролирует отклонение тока сети от заданного значения, выходной сигнал регулятора тока и сигнал задания формы тока компенсации из задающего устройства определяют выходной сигнал модулятора длительности импульсов управления транзисторами компенсатора, отличающийся тем, что обмотка дросселя выполняется секционированной, компенсатор снабжен ключом на двух тиристорах и блоком управления ими, причем анод одного тиристора соединен с выводом второй секции дросселя, а его катод соединен с анодом второго тиристора и с диагональю переменного тока компенсатора, катод второго тиристора соединен с выводом первой секции дросселя, а управляющие электроды тиристоров соединены с блоком управления ими, на вход которого поступает сигнал задания формы тока компенсации.
РИСУНКИ
MM4A Досрочное прекращение действия патента Российской Федерации на изобретение из-за неуплаты в установленный срок пошлины за поддержание патента в силе
Дата прекращения действия патента: 04.06.2005
Извещение опубликовано: 20.11.2006 БИ: 32/2006
|