|
|
(21), (22) Заявка: 2003106032/09, 03.03.2003
(24) Дата начала отсчета срока действия патента:
03.03.2003
(43) Дата публикации заявки: 20.09.2004
(45) Опубликовано: 10.04.2005
(56) Список документов, цитированных в отчете о поиске:
RU 2181512 C1, 20.04.2002. RU 2125749 C1, 27.01.1999. RU 2082245 C1, 20.06.1997. SU 1292135 A, 23.02.1987. DE 3311813, 20.10.1983.
Адрес для переписки:
350072, г.Краснодар, ул. Московская, 2, Кубанскому государственному технологическому университету, в патентный отдел
|
(72) Автор(ы):
Гайтов Б.Х. (RU), Кашин Я.М. (RU), Гайтова Т.Б. (RU)
(73) Патентообладатель(и):
Кубанский государственный технологический университет (RU)
|
(54) МНОГОФАЗНЫЙ ТРАНСФОРМАТОР
(57) Реферат:
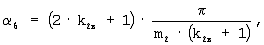
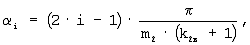
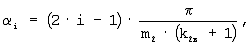
Изобретение относится к трансформаторостроению и может быть использовано в многофазных полупроводниковых преобразовательных устройствах. Технический результат заключается в удешевлении производства, улучшении массогабаритных показателей, экономии электротехнических материалов и существенном повышении к.п.д. за счет сокращения потерь электроэнергии. Внутренние аксиальные магнитопроводы, в пазы которых уложены вторичные многофазные или трехфазные обмотки, выполнены с двумя активными торцовыми поверхностями и смещены относительно магнитопроводов, в пазы которых уложены первичные трехфазные обмотки, вокруг их общей оси симметрии каждый на свой угол где i – порядковый номер внутреннего магнитопровода с вторичной обмоткой, m2 – число фаз вторичных обмоток, k2в – количество внутренних магнитопроводов с вторичными обмотками. Боковой аксиальный магнитопровод, примыкающий к внутреннему аксиальному магнитопроводу с первичными обмотками, примыкающему к K2в-му внутреннему аксиальному магнитопроводу с вторичными обмотками, повернут относительно магнитопроводов с первичными трехфазными обмотками вокруг их общей оси симметрии на угол Вторичные многофазные обмотки уложены в пазы внутренних аксиальных магнитопроводов друг относительно друга со смещением на угол . Количество k2в внутренних магнитопроводов с вторичными обмотками определяется соотношением , где mт – число фаз выходного напряжения. 4 ил.

Изобретение относится к трансформаторостроению и может быть использовано в многофазных полупроводниковых преобразовательных устройствах.
Известен многофазный агрегатированный трансформатор (см. патент №2125749, 1999 г., Бюл. №3, авторы Атрощенко В.А., Гайтов Б.Х., и др.), содержащий внутренние (средние) витые магнитопроводы с обмотками и два боковых витых магнитопровода, примыкающих к торцам среднего магнитопровода через немагнитные прокладки, причем внутренние витые магнитопроводы и два боковых витых магнитопровода выполнены тороидальными, а внутренних (средних) магнитопроводов принято несколько, и каждый из них с двумя активными торцевыми поверхностями, имеющими в пазах трехфазную распределенную первичную и многофазную сосредоточенную вторичную обмотки, примыкает друг к другу торцевыми поверхностями через две немагнитные прокладки, разделенные между собой одним промежуточным ярмом в виде листа из электротехнической стали, причем количество средних витых магнитопроводов, промежуточных ярм и немагнитных прокладок между ними определяется суммарной мощностью единого агрегатированного трансформатора.
Однако повышение фазности такого трансформатора может быть достигнуто только дополнительным увеличением количества фаз вторичной обмотки, а следовательно, необходимостью выфрезеровывания большего количества пазов магнитопроводов, что существенно удорожает технологический процесс, а также дополнительно ухудшает магнитные свойства магнитопроводов за счет проявления известного явления “наклепа”, неизбежного при любой механической обработке электротехнической стали.
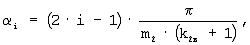
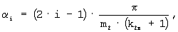
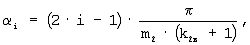
Наиболее близким к предлагаемому изобретению по физической сущности и достигаемому результату является многофазный трансформатор (см. патент №2181512, 2002 г., Бюл. №11, авторы Гайтов Б.Х., Кашин Я.М., Гайтова Т.Б.), содержащий несколько внутренних аксиальных магнитопроводов, имеющих по две активные торцовые поверхности с пазами, в которые уложены первичные трехфазные обмотки, и соответствующее количество других внутренних аксиальных магнитопроводов и два боковых аксиальных магнитопровода, имеющих по одной активной торцовой поверхности с пазами, в которые уложены вторичные многофазные обмотки, причем магнитопроводы, в пазы которых уложены вторичные многофазные или трехфазные обмотки, выполнены повернутыми относительно магнитопроводов, в пазы которых уложены первичные трехфазные обмотки, вокруг их общей оси симметрии каждый на свой угол где i – порядковый номер магнитопровода с вторичной обмоткой, m2 – число фаз вторичных обмоток, k2 – коэффициент агрегатирования, т.е. количество магнитопроводов с вторичными обмотками, причем боковые магнитопроводы примыкают к торцам внутренних магнитопроводов активными торцовыми поверхностями, а количество магнитопроводов с первичными обмотками k1 и количество магнитопроводов с вторичными обмотками k2 определяется числом фаз выходного напряжения многофазного трансформатора mт и числом фаз вторичных обмоток m2 соотношениями и 
Существенным недостатком такого многофазного трансформатора является наличие воздушного зазора между магнитопроводами, в пазы которых уложены вторичные многофазные обмотки, приводящее к увеличению магнитного сопротивления, а следовательно, к увеличению токов, необходимых для создания требуемого магнитного потока (тока намагничивания), то есть к увеличению требуемого сечения проводов обмоток и, соответственно, к ухудшению массогабаритных показателей трансформатора, увеличению его стоимости и увеличению потерь энергии.
Предлагаемое изобретение решает задачу удешевления производства многофазных трансформаторов, улучшения их массогабаритных показателей, экономии электротехнических материалов и сокращения потерь энергии, то есть повышения КПД.
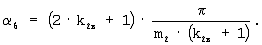
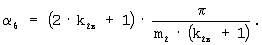
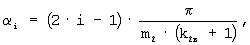
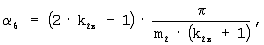
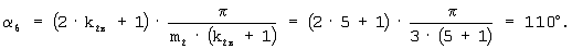
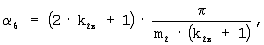
Для этого внутренние аксиальные магнитопроводы, в пазы которых укладываются вторичные многофазные или трехфазные обмотки, выполняются с двумя активными торцовыми поверхностями и смещаются относительно магнитопроводов, в пазы которых укладываются первичные трехфазные обмотки, вокруг их общей оси симметрии каждый на свой угол , где i – порядковый номер внутреннего магнитопровода с вторичной обмоткой, m2 – число фаз вторичных обмоток, k2в – количество внутренних магнитопроводов с вторичными обмотками, а боковой аксиальный магнитопровод, примыкающий к внутреннему аксиальному магнитопроводу с первичными обмотками, примыкающему к k2в-му внутреннему аксиальному магнитопроводу с вторичными обмотками, выполняется повернутым относительно магнитопроводов, в пазы которых уложены первичные трехфазные обмотки, вокруг их общей оси симметрии на угол причем вторичные многофазные обмотки укладываются в пазы внутренних аксиальных магнитопроводов друг относительно друга со смещением на угол при этом количество k2в внутренних магнитопроводов с вторичными обмотками определяется соотношением 
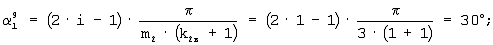
Так в частном случае, когда вторичные обмотки принимаются трехфазными (m2=3), а число фаз выходного напряжения многофазного трансформатора mт=12, получим Для 36-фазного трансформатора (mт=36) при m2=3, получим 
На фиг.1 представлен общий вид предлагаемого многофазного (в представленном варианте 12-фазного с трехфазной вторичной обмоткой – m2=3) трансформатора, на фиг.2 – общий вид предлагаемого многофазного (в представленном варианте 36-фазного с трехфазной вторичной обмоткой – m2=3) трансформатора, на фиг.3 – электрическая схема предлагаемого многофазного (в представленном варианте 12-фазного с трехфазной вторичной обмоткой – m2=3) трансформатора, на фиг.4 – векторная диаграмма предлагаемого многофазного (в представленном варианте 12-фазного с трехфазной вторичной обмоткой m2=3) трансформатора.
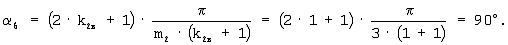
Многофазный (в представленных вариантах 12-фазный и 36-фазный) трансформатор содержит (см. фиг.1 и 2) внутренние аксиальные магнитопроводы (1 и 2 – фиг.1; 1, 2, 27, 28, 29, 30 – фиг.2), имеющие по две активные торцовые поверхности (3, 4, 10 и 11 – фиг.1, фиг.2 (на фиг.2 показаны активные торцовые поверхности только на магнитопроводах 1 и 30, чтобы не загромождать чертеж)) с пазами, в которых уложены первичные трехфазные обмотки (5, 6, 7 и 8 – фиг.1; 5, 6, 7, 8, 31, 32, 33, 34, 35, 36, 37, 38 – фиг.2), внутренние аксиальные магнитопроводы (9 – фиг.1; 9, 39, 40, 41, 42 – фиг.2), имеющие по две активные торцовые поверхности (15 и 16 – фиг.1; 15, 16, 43, 44 – фиг.2 (на фиг.2 показаны активные торцовые поверхности только на магнитопроводах 9 и 39, чтобы не загромождать чертеж)) с пазами, в которых уложены вторичные многофазные (в представленных вариантах – трехфазные) обмотки (19 и 20 – фиг.1; 19, 20, 45, 46, 47, 48, 49, 50, 51, 52 – фиг.2), и два боковых аксиальных магнитопровода (12 и 13 – фиг.1, фиг.2), имеющих по одной активной торцовой поверхности (14 и 17 – фиг.1, фиг.2) с пазами, в которые уложены вторичные многофазные (в представленных вариантах – трехфазные) обмотки (18 и 21 – фиг.1, фиг.2). Внутренние аксиальные магнитопроводы (9 – фиг.1; 9, 39, 40, 41, 42 – фиг.2), в пазы которых уложены вторичные многофазные (в представленных вариантах – трехфазные) обмотки (19 и 20 – фиг.1; 19, 20, 45, 46, 47, 48, 49, 50, 51, 52 -фиг.2), смещены относительно внутренних аксиальных магнитопроводов (1 и 2 – фиг.1; 1, 2, 27, 28, 29, 30 – фиг.2), в пазы которых уложены первичные трехфазные обмотки (5, 6, 7 и 8 – фиг.1; 5, 6, 7, 8, 31, 32, 33, 34, 35, 36, 37, 38 – фиг.2), вокруг их общей оси симметрии (22 – фиг.1, фиг.2) каждый на свой угол где i – порядковый номер внутреннего магнитопровода с вторичной обмоткой, m2 – число фаз вторичных обмоток, k2в – количество внутренних магнитопроводов с вторичными обмотками. Боковой аксиальный магнитопровод (12 – фиг.1, фиг.2), в пазы которого уложена вторичная многофазная (например, трехфазная) обмотка (18 – фиг.1, фиг.2), примыкающий активной торцовой поверхностью через немагнитную прокладку к внутреннему магнитопроводу (2 – фиг.1, фиг.2) с первичными обмотками (7 и 8 – фиг.1, фиг.2), примыкающему своей торцовой поверхностью (10 – фиг.1, фиг.2) через немагнитную прокладку (25 – фиг.1, фиг.2) к k2в-му внутреннему магнитопроводу (9 – фиг.1, фиг.2, в представленных вариантах: к первому – фиг.1, к пятому – фиг.2) с вторичными обмотками (19 и 20 – фиг.1, фиг.2), выполнен повернутым относительно магнитопроводов (1 и 2 – фиг.1; 1, 2, 27, 28, 29, 30 – фиг.2), в пазы которых уложены первичные трехфазные обмотки (5, 6, 7 и 8 – фиг.1; 5, 6, 7, 8, 31, 32, 33, 34, 35, 36, 37, 38 – фиг.2), вокруг их общей оси симметрии на угол где m2 – число фаз вторичных обмоток (в представленных вариантах m2 =3), k2в – количество внутренних магнитопроводов с вторичными многофазными обмотками (в представленных вариантах k2в = 1 (поз.9 фиг.1) и k2в=5 (поз.9, 39, 40, 41, 42 – фиг.2) соответственно), а вторичные многофазные (в представленных вариантах – трехфазные) обмотки уложены в пазы внутренних аксиальных магнитопроводов друг относительно друга со смещением на угол (в представленных вариантах для 12-фазного трансформатора фиг.1 и
для 36-фазного трансформатора фиг.2). Внутренние магнитопроводы (1, 9 и 2 – фиг.1; 1, 39, 27, 40, 28, 41, 29, 42, 30, 9, 2 – фиг.2) примыкают друг к другу торцовыми поверхностями через немагнитные прокладки (25 и 26 – фиг.1, фиг.2 (на фиг.2 немагнитные прокладки обозначены только между магнитопроводами 1 и 39, 39 и 27, 9 и 2 для облегчения чтения чертежа). Боковые магнитопроводы (12 и 13 – фиг.1, фиг.2) примыкают к торцовым поверхностям внутренних магнитопроводов (1 и 2 – фиг.1, фиг.2) активными торцовыми поверхностями (14 и 17 – фиг.1, фиг.2) через немагнитные прокладки (23 и 24 – фиг.1, фиг.2). Количество k1 внутренних магнитопроводов с первичными обмотками и количество k2в внутренних магнитопроводов с вторичными обмотками определяется числом фаз mт выходного напряжения многофазного трансформатора и числом фаз m2 вторичных обмоток соотношениями и k1=k2в+1.
В представленных вариантах:
k1=k2в+1=1+1=2 – для 12-фазного трансформатора (фиг.1);
k1=k2в+1=5+1=6 – для 36-фазного трансформатора (фиг.2).
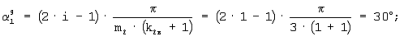
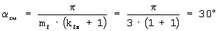
На фиг.3 обозначено: U1 – напряжение питающей трехфазной сети; 1, 2, 3…12 – порядковый номер фазы выходного напряжения многофазного (в представленном варианте 12-фазного) трансформатора; 1212 – первая фаза вторичной обмотки 21, 281 – вторая фаза первичной обмотки 8, т.е. цифра (1, 2, 3) обозначает номер фазы обмотки, верхний индекс – номер обмотки в соответствии с фиг.1, нижний индекс – первичную (вторичную) сторону многофазного трансформатора; 20 – угол поворота вторичной обмотки относительно первичной обмотки вокруг их общей оси симметрии, где верхний индекс обозначает номер обмотки в соответствии с фиг.1; 91 – угол смещения i-го внутреннего магнитопровода с вторичными обмотками относительно магнитопроводов с первичными обмотками вокруг их общей оси симметрии (где нижний индекс (i=1) обозначает порядковый номер внутреннего магнитопровода, в пазы которого уложены вторичные обмотки, верхний индекс – номер магнитопровода в соответствии с фиг.1), определенный в соответствии с соотношением (в представленном на фиг.1 и 3 варианте ) 13б1 – угол поворота первого бокового магнитопровода (13 – фиг.1, фиг.2) относительно магнитопроводов с первичными обмотками вокруг их общей оси симметрии, равный нулю; 12б2 – угол поворота второго бокового магнитопровода (12 – фиг.1, фиг.2) относительно магнитопроводов с первичными обмотками вокруг их общей оси симметрии, определенный в соответствии с соотношением 
Для представленного на фиг.1 и 3 варианта 12-фазного трансформатора:

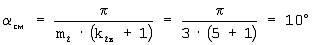
Для представленного на фиг.2 варианта 36-фазного трансформатора при m2=3:

Поскольку первичные напряжения равны по величине и по фазе, на фиг.4 они показаны единой “звездой” первичных напряжений. На фиг.4 напряжения фаз обозначены , где верхний индекс N обозначает номер обмотки, соответствующий номеру позиции на фиг.1, нижний индекс n обозначает номер фазы трехфазной первичной или сформированной многофазной вторичной системы напряжений.
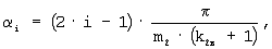
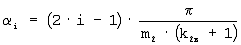
Многофазный трансформатор работает следующим образом. При подключении первичных трехфазных обмоток (5, 6, 7 и 8 – фиг.1; 5, 6, 7, 8, 31, 32, 33, 34, 35, 36, 37, 38 – фиг.2) к питающей сети напряжением U1 во внутренних магнитопроводах (9 – фиг.1; 9, 39, 40, 41, 42 – фиг.2) и боковых магнитопроводах (12 и 13 – фиг.1, фиг.2) создается вращающееся магнитное поле, которое, взаимодействуя с многофазными (в представленных вариантах – трехфазными) вторичными обмотками (18, 19, 20 и 21 – фиг.1; 18, 19, 20, 21, 45, 46, 47, 48, 49, 50, 51, 52 – фиг.2) наводит в каждой из них систему многофазных (в представленных вариантах – трехфазных) ЭДС и напряжений, сдвинутых друг относительно друга на угол 2 /m2, где m2 – число фаз каждой вторичной обмотки многофазного (в представленных вариантах 12-фазного и 36-фазного) трансформатора (в представленных вариантах m2=3, а угол сдвига фаз равен ). В результате происходит преобразование трехфазной системы напряжений в m2-фазную симметричную систему напряжений в каждой вторичной обмотке (18, 19, 20 и 21 – фиг.1; 45, 46, 47, 48, 49, 50, 51, 52 – фиг.2). Поскольку магнитное поле вращается, а внутренние аксиальные магнитопроводы (9 – фиг.1; 9, 39, 40, 41, 42 – фиг.2), в пазы которых уложены вторичные многофазные (в представленных вариантах – трехфазные) обмотки (19 и 20 – фиг.1, 19, 20, 45, 46, 47, 48, 49, 50, 51, 52 – фиг.2), и боковой аксиальный магнитопровод (12 – фиг.1, фиг.2), в пазы которых уложены вторичные многофазные (в представленных вариантах – трехфазные) обмотки, повернуты относительно магнитопроводов (1 и 2 – фиг.1; 1, 2, 27, 28, 29, 30 – фиг.2) вокруг их общей оси симметрии на угол и соответственно, а вторичные многофазные (в представленных вариантах – трехфазные) обмотки уложены в пазы внутренних аксиальных магнитопроводов друг относительно друга со смещением на угол где i – порядковый номер внутреннего магнитопровода с вторичной многофазной (в представленном варианте – трехфазной) обмоткой, m2 – число фаз вторичной обмотки, k2в – количество внутренних магнитопроводов с вторичными обмотками, то магнитное поле будет наводить ЭДС в каждой фазе всех вторичных обмоток в зависимости от их пространственного сдвига, т.е. со сдвигом между собой на угол (для 12-фазного трансформатора этот угол равен: = 30° , для 36-фазного – = 10° ).
Очевидно, что фазовый сдвиг между ЭДС, наводимыми во вторичных обмотках, равен соответствующему углу поворота вторичных обмоток (18, 19, 20 и 21 – фиг.1; 18, 19, 20, 21, 45, 46, 47, 48, 49, 50, 51, 52 – фиг.2), вокруг оси симметрии 22 (фиг.1, фиг.2) относительно магнитопроводов (1 и 2 – фиг.1; 1, 2, 27, 28, 29, 30 – фиг.2), в пазы которых уложены первичные трехфазные обмотки, равному:
– для обмоток 20 (фиг.1) и 45, 47, 49, 51, 20 (фиг.2) – углу поворота внутренних магнитопроводов (9 – фиг.1, 9, 39, 40, 41, 42 – фиг.2) вокруг оси симметрии 22 (фиг.1, фиг.2) относительно магнитопроводов с первичными обмотками (1 и 2 – фиг.1; 1, 2, 27, 28, 29, 30 – фиг.2) соответственно, который выбирается равным где i – порядковый номер внутреннего магнитопровода с вторичной обмоткой, m2 – число фаз каждой вторичной обмотки, k2в – количество внутренних магнитопроводов с вторичными обмотками;
– для обмоток 19 (фиг.1) и 46, 48, 502, 52, 19 (фиг.2) – сумме угла поворота i-го внутреннего магнитопровода (9 – фиг.1; 9, 39, 40, 41, 42 – фиг.2) вокруг оси симметрии 22 (фиг.1, фиг.2) относительно магнитопроводов с первичными обмотками (1 и 2 – фиг.1; 1, 2, 27, 28, 29, 30 – фиг.2), который выбирается равным и угла смещения вторичных многофазных обмоток 19 (фиг.1) и 46, 48, 502, 52, 19 – (фиг.2) вокруг оси симметрии 22 (фиг.1, фиг.2) относительно вторичных многофазных обмоток 20 (фиг.1) и 45, 47, 49, 51, 20 (фиг.2), который выбирается равным 
– для обмотки 18 (фиг.1, фиг.2) – углу поворота бокового магнитопровода (12 – фиг.1, фиг.2) вокруг оси симметрии 22 (фиг.1, фиг.2) относительно магнитопроводов (1 и 2 – фиг.1, 1, 2, 27, 28, 29, 30 – фиг.2), который выбирается равным 
Таким образом, число фаз выходного напряжения многофазного трансформатора равно mт = 2· m2· (k2в+1) (в представленных вариантах mт = 2· 3· (1+1) = 12 и mт = 2· 3· (5+1)=36 соответственно).
Предлагаемое изобретение, выполняя функцию известного многофазного трансформатора, как и прототип, в тоже время в отличие от него позволяет удешевить производство многофазных трансформаторов, улучшить их массогабаритные показатели, сэкономить электротехнические материалы и существенно повысить КПД трансформатора за счет сокращения потерь электроэнергии, неизбежно имеющих место в прототипе из-за наличия воздушного зазора между магнитопроводами, в пазы которых уложены вторичные многофазные обмотки.
Формула изобретения
Многофазный трансформатор, содержащий несколько внутренних аксиальных магнитопроводов, имеющих по две активные торцовые поверхности с пазами, в которые уложены первичные трехфазные обмотки, два боковых аксиальных магнитопровода, имеющих по одной активной торцовой поверхности с пазами, в которые уложены вторичные многофазные или трехфазные обмотки, примыкающих к торцам внутренних аксиальных магнитопроводов, в пазы которых уложены первичные трехфазные обмотки, через немагнитные прокладки, несколько внутренних аксиальных магнитопроводов с пазами, в которые уложены вторичные многофазные или трехфазные обмотки, примыкающих к торцам аксиальных магнитопроводов, в пазы которых уложены первичные трехфазные обмотки торцовыми поверхностями через немагнитные прокладки, при этом количество k2в внутренних магнитопроводов с вторичными обмотками определяется числом фаз mт выходного напряжения многофазного трансформатора и числом фаз m2 вторичных обмоток, отличающийся тем, что внутренние аксиальные магнитопроводы, в пазы которых уложены вторичные многофазные или трехфазные обмотки, выполнены с двумя активными торцовыми поверхностями, и смещены относительно магнитопроводов, в пазы которых уложены первичные трехфазные обмотки, вокруг их общей оси симметрии каждый на свои угол где i – порядковый номер внутреннего магнитопровода с вторичной обмоткой, m2 – число фаз вторичных обмоток, k2в – количество внутренних магнитопроводов с вторичными обмотками, а боковой аксиальный магнитопровод, примыкающий к внутреннему аксиальному магнитопроводу с первичными обмотками, примыкающему к k2в-му внутреннему аксиальному магнитопроводу с вторичными обмотками, выполнен повернутым относительно магнитопроводов, в пазы которых уложены первичные трехфазные обмотки, вокруг их общей оси симметрии на угол причем вторичные многофазные обмотки уложены в пазы внутренних аксиальных магнитопроводов друг относительно друга со смещением на угол , при этом количество k2в внутренних магнитопроводов с вторичными обмотками определяется соотношением , где mт – число фаз выходного напряжения.
РИСУНКИ
MM4A Досрочное прекращение действия патента Российской Федерации на изобретение из-за неуплаты в установленный срок пошлины за поддержание патента в силе
Дата прекращения действия патента: 04.03.2005
Извещение опубликовано: 27.01.2007 БИ: 03/2007
|
|