Патент на изобретение №2153222
|
||||||||||||||||||||||||||
(54) ГЕНЕРАТОР ВЫСОКОВОЛЬТНЫХ ИМПУЛЬСОВ
(57) Реферат: Изобретение относится к области высоковольтной импульсной техники. Техническим результатом является повышение напряжения на выходе генератора при формировании на согласованной резистивной нагрузке с высоким КПД прямоугольного импульса напряжения. Генератор высоковольтных импульсов содержит заземленный электрод, образующий короткозамкнутую ступенчатую линию, выполненную в виде не менее двух последовательно соединенных отрезков однородных линий с распределенными параметрами одинаковой электрической длины То. Во внутреннем объеме второго отрезка ступенчатой линии размещен высоковольтный электрод, разделяющий его на две однородные линии. Между высоковольтным и заземленным электродами включен источник напряжения. К выходу ступенчатой линии подключены соединенные последовательно нагрузка и предимпульсный разрядник. Между высоковольтным и заземленным электродами в месте соединения первого и второго отрезков ступенчатой линии подключен один из концов дополнительной однородной линии, электрическая длина которой равна электрической длине То. На другом конце дополнительной линии включен коммутирующий разрядник. Приведены соотношения для выбора волновых сопротивлений отрезков ступенчатых линий. 1 ил. Изобретение относится к области высоковольтной импульсной техники и может быть использовано в электрофизических установках для получения мощных высоковольтных импульсов, например для генерации пучков заряженных частиц (105 -107 В, 103 – 106 А, 10-7 – 10-8 с). Известен генератор /1, fig. 1/, содержащий два электрода, образующие ступенчатую линию (СЛ), выполненную в виде последовательно соединенных отрезков однородных линий с распределенными параметрами одинаковой электрической длины T0, коммутирующий разрядник, включенный между электродами на входе СЛ, резистивную нагрузку и предымпульсный разрядник, подсоединенные последовательно между электродами на выходе СЛ, а также источник напряжения, включенный между электродами СЛ. Под действием источника напряжения СЛ заряжаются до напряжения V0, и энергия запасается в генераторе в виде электрического поля. При включении коммутирующего разрядника в результате волновых процессов энергия концентрируется на выходе СЛ. С точки зрения достижения максимального КПД оптимальными являются следующие соотношения волновых сопротивлений: Zi=Z1 [i (i+1)]/2,где i = 1,2,…, n – номер отрезка линии, отсчитываемый от входа СЛ; n – полное число отрезков линий в СЛ; Zi – волновое сопротивление отрезка линии с номером i. В общем случае на выходе СЛ формируются импульсы напряжения чередующейся полярности длительностью 2T0. Рабочим является первый импульс напряжения. Нагрузка подключается к выходу СЛ при срабатывании предымпульсного разрядника с задержкой на время nT0 по отношению к моменту включения коммутирующего разрядника, то есть в момент прихода к выходу генератора первой электромагнитной волны. На согласованной нагрузке Zн=Zn формируется одиночный импульс напряжения длительностью 2T0, в течение которого вся энергия передается в нагрузку. Напряжение на согласованной нагрузке превышает зарядное в n/2 раз, включение в состав СЛ каждого дополнительного отрезка повышает напряжение в согласованном режиме на величину V0/2. Максимальное напряжение на выходе генератора в режиме холостого хода составляет nV0. Недостатком генератора является сравнительно невысокое напряжение на нагрузке, равное V0/2 в согласованном режиме и nV0 в режиме холостого хода. В качестве прототипа выбран генератор высоковольтных импульсов /1, fig. 3b/, содержащий заземленный электрод, образующий короткозамкнутую ступенчатую линию (СЛ), выполненную в виде не менее двух последовательно соединенных отрезков однородных линий с распределенными параметрами одинаковой электрической длины T0, высоковольтный электрод, размещенный во внутреннем объеме второго отрезка СЛ и разделяющий его на две однородные линии, источник напряжения и коммутирующий разрядник, включенные между высоковольтным и заземленным электродами, причем коммутирующий разрядник размещен в месте соединения первого и второго отрезков СЛ, резистивную нагрузку, подключенную к выходу СЛ последовательно с предымпульсным разрядником. Под действием источника напряжения два отрезка линии вблизи высоковольтного электрода заряжаются до напряжения V0, и энергия запасается в генераторе в виде электрического поля. При включении коммутирующего разрядника в результате волновых процессов энергия концентрируется на выходе СЛ. С точки зрения достижения максимального КПД оптимальными являются следующие соотношения волновых сопротивлений Zi = Zn 2/[(n-i+1)(n-i+2)],где i= 3,4,..,n – номер отрезка СЛ; n – полное число отрезков в СЛ; Zi – волновое сопротивление отрезка линии с номером i; волновых сопротивлений отрезков, образованных высоковольтным электродом во втором отрезке СЛ: – с разрядником Z2 = Zn 2/[(n-1)(3n-2)],– без разрядника ![]() Волновое сопротивление первого отрезка СЛ выбирается равным Z1 = Zn 4/[n(n+2)].
В общем случае на выходе СЛ формируются импульсы напряжения чередующейся полярности длительностью 2T0. Рабочим является второй импульс напряжения. Нагрузка подключается при срабатывании предымпульсного разрядника с задержкой на время (n+1)T0 по отношению к моменту включения коммутирующего разрядника, то есть с задержкой на время 2T0 по отношению к моменту прихода к выходу генератора первой электромагнитной волны. На согласованной нагрузке Zн = Zn формируется одиночный импульс напряжения длительностью 2T0, в течение которого вся энергия передается в нагрузку. Напряжение на согласованной нагрузке превышает зарядное в (3n-2)/4 раз, включение в состав СЛ каждого дополнительного отрезка повышает напряжение в согласованном режиме на величину (3/4)V0.
Недостатком генератора является сравнительно невысокое напряжение на нагрузке, равное (3n-2)V0/4 в согласованном режиме и (3n-2)V0/2 в режиме холостого хода.
Техническим результатом является повышение напряжения на выходе генератора при формировании на согласованной резистивной нагрузке с высоким КПД прямоугольного импульса напряжения. Технический результат достигается тем, что генератор высоковольтных импульсов, содержащий заземленный электрод, образующий короткозамкнутую ступенчатую линию, выполненную в виде не менее двух последовательно соединенных отрезков однородных линий с распределенными параметрами одинаковой электрической длины T0, высоковольтный электрод, размещенный во внутреннем объеме второго отрезка ступенчатой линии и разделяющий его на две однородные линии, источник напряжения, включенный между высоковольтным и заземленным электродами, коммутирующий разрядник, а также соединенные последовательно с выходом ступенчатой линии нагрузку и предымпульсный разрядник, снабжен дополнительной однородной линией с электрической длиной, равной электрической длине T0, один из концов дополнительной линии подключен между высоковольтным и заземленным электродами в месте соединения первого и второго отрезков ступенчатой линии, коммутирующий разрядник включен на другом конце дополнительной линии, а волновые сопротивления линий выбраны из соотношений:![]() где Z1 -волновое сопротивление первого отрезка ступенчатой линии, Z2, волновые сопротивления линий, образованных высоковольтным и заземленным электродами во втором отрезке ступенчатой линии, причем дополнительная линия подключена к линии с волновыми сопротивлениями Z2;Zi – волновое сопротивление отрезков ступенчатой линии без высоковольтного электрода; i = 3,4,…n – номер отрезка ступенчатой линии; n – число отрезков ступенчатой линии; Z – волновое сопротивление дополнительной линии. Включение в состав генератора дополнительной линии, изменение положения коммутирующего разрядника и указанный оптимальный выбор волновых сопротивлений в совокупности обеспечивают полную передачу запасенной в генераторе энергии в согласованную нагрузку при формировании на ней прямоугольного импульса напряжения повышенной амплитуды. На чертеже приведена принципиальная схема предлагаемого генератора высоковольтных импульсов, где 1 – заземленный электрод; 2 – высоковольтный электрод; 3 – первый отрезок ступенчатой линии, 4, 5 – однородные линии, образованные высоковольтным электродом 2 во втором отрезке ступенчатой линии; 6 – дополнительная однородная линия; 7 – коммутирующий разрядник; 8 – источник напряжения; 9 – нагрузка; 10 – предымпульсный разрядник; 11 – третий отрезок ступенчатой линии. Генератор содержит заземленный электрод 1, образующий короткозамкнутую ступенчатую линию, выполненную в виде не менее двух последовательно соединенных отрезков однородных линий с распределенными параметрами одинаковой электрической длины T0. Во внутреннем объеме второго отрезка ступенчатой линии размещен высоковольтный электрод 2, делящий второй отрезок СЛ на две однородные линии 4 и 5 с волновыми сопротивлениями, равными соответственно Z2 и Между высоковольтным 2 и заземленным 1 электродами в месте соединения первого и второго отрезков ступенчатой линии подключен один из концов дополнительной однородной линии 6, электрическая длина которой равна электрической длине T0. На другом конце дополнительной линии 6 включен коммутирующий разрядник 7. Между высоковольтным 2 и заземленным 1 электродами включен источник напряжения 8. К выходу ступенчатой линии подключены соединенные последовательно нагрузка 9 и предымпульсный разрядник 10. Волновые сопротивления линий выбраны из соотношений:![]() где Z1 – волновое сопротивление первого отрезка ступенчатой линии, Z2, волновые сопротивления линий, образованных высоковольтным и заземленным электродами во втором отрезке ступенчатой линии, причем дополнительная линия подключена к линии с волновым сопротивлением Z2;Zi – волновое сопротивление отрезков ступенчатой линии без высоковольтного электрода; i= 3,4,…,n – номер отрезка ступенчатой линии; n – число отрезков ступенчатой линии; Z – волновое сопротивление дополнительной линии. Генератор работает следующим образом. Под действием источника напряжения 8 осуществляется импульсная зарядка до напряжения V0 электрической емкости двух отрезков линий 4 и 5 с импедансами Z2 и а также дополнительной линии 6 с волновым сопротивлением Z. Энергия запасается в указанных линиях в виде электрического поля. При достижении максимального зарядного напряжения V0 включается коммутирующий разрядник 7, замыкающий накоротко конец дополнительной линии, по которой побежит волна разрядки – V0. Для дальнейшего анализа волновых процессов этот момент времени удобно обозначить как t = 0. Будем считать полярность напряжения положительной, если вектор напряженности электрического поля на рассматриваемом рисунке в ступенчатой линии направлен снизу вверх, а в дополнительной линии справа налево. В момент времени t = T0 волна разрядки, распространяющаяся по дополнительной линии 6, достигает места ее соединения с линиями 3, 4 и 5. В дополнительную линию 6 отразится волна напряжения -2/3 V0, а в линии 3, 4 и 5 пойдут волны с амплитудой, равной -[(17n-9)/(12n)] V0, -5/3 V0 и [(n+3)/(4n)] V0.
В момент времени t = 2T0 происходит следующее. Волна -2/3 V0, распространяющаяся по дополнительной линии 6, достигает короткозамкнутого коммутирующего разрядника 7 и отражается без изменения амплитуды, но с противоположной полярностью. Волна -[(17n-9)/(12n)] V0 достигает короткозамкнутого конца ступенчатой линии и также отражается без изменения амплитуды, но с противоположной полярностью. Волны напряжения -5/3 V0 и [(n+3)/(4n)] V0 приходят к месту соединения линий 4, 5 и 11. В результате в линию 4 пойдет волна -{ (3n-1)/[3(n-1)]}V0, в линию 5 – волна [(4n-3)/(4n)]V0, а в третий отрезок ступенчатой линии 11 пройдет волна -{(17n-9)/[12(n-1)]} V0.
В момент времени t = 3T0 происходит следующее. К месту соединения дополнительной линии 6 с линиями 3, 4 и 5 приходят четыре волны напряжения: по линии 6 – волна 2/3 V0, по линии 3 – волна [(17n-9)/(12n)]V0, по линии 4 – волна -{(3n-1)/[3(n-1)]}V0 и по линии 5 – волна [(4n- 3)/(4n)]V0. Для расчета амплитуды первого импульса напряжения на нагрузке генератора достаточно рассмотреть только волны, которые в результате суперпозии электромагнитных волн будут распространяться по линиям 4 и 5. Их амплитуда будет равна { (11n-7)/[6(n-1)]} V0 и [(4n-3)/ (4n)] V0. В это же время от места соединения третьего и четвертого отрезков ступенчатой линии в отрезок 11 отражается волна напряжения -{(17n-9)/[12(n-1)(n-2)]} V0.
В момент времени t = 4T0 происходит следующее. К месту соединения линий 4, 5 и 11 приходят три волны напряжения: по линии 4 – волна {(11n -7)/[6(n-1)] } V0, по линии 5 – волна [(4n-3)/(4n)] V0 и по линии 11 – волна -{ (17n-9) /[12(n-1)(n-2)]} V0. Для расчета амплитуды первого импульса напряжения на нагрузке генератора достаточно рассмотреть только волну, которая в результате суперпозии электромагнитных волн будет распространяться по линии 11. Ее амплитуда будет равна {(17n- 9)(2n -3)/[12(n-1)(n-2)]} V0.
Таким образом, в третий отрезок ступенчатой линии 11 в момент времени t= 2T0 пойдет волна напряжения V13 -{(17n-9)/[12(n-1)]} V0, а в момент времени t=4T0 – волна V23={(17n-9)(2n-3)/[12(n-1)(n-2)]} V0. В дальнейшем достаточно рассмотреть распространение по ступенчатой линии только этих двух волн напряжения. При прохождении неоднородностей в местах соединения отрезков ступенчатой линии волны будут менять свою амплитуду. В интервале времени iT0– (i+1)T0 первая волна будет распространяться по отрезку ступенчатой линии с номером i и ее амплитуда V13 будет равна![]() Амплитуда второй волны в отрезке ступенчатой линии с номером i, обозначим ее V23, связана с амплитудой этой же волны в отрезке с номером i-1 и амплитудой первой волны в отрезке с номером i следующим рекуррентным соотношением: ![]() С учетом соотношения волновых сопротивлений отрезков ступенчатой линии выражения для V13 и амплитуды волны V23 в третьем отрезке СЛ находим В момент времени t=nT0 первая волна с амплитудой V1n= -(17n-9)V0/24 приходит к выходу генератора с волновым сопротивлением Zn. Так как предымпульсный разрядник 10 выключен, то волна напряжения отражается от разомкнутого конца линии без изменения полярности и амплитуды. В результате выходной отрезок СЛ с номером n оказывается заряженным до напряжения 2V1n. В момент времени t = (n + 2)T0 включается предымпульсный разрядник 10, и на нагрузке 9 с импедансом Zн формируется импульс напряжения В это же время к выходу генератора приходит волна V2n = (17n-9)V0/8 и на нагрузке 9 возникает импульс напряжения Суммарная амплитуда импульса напряжения, возникающего на нагрузке 9 в момент времени t = (n+2)T0, равна и остается постоянной в интервале времени t = (n+2)T0– (n+4)T0. В дальнейшем на нагрузке в общем случае формируется импульс напряжения ступенчатой формы с длительностью ступеней, равной 2T0. Амплитуда напряжения максимальна в режиме холостого хода и равна V0(17n-9)/6. Генератор имеет максимальный КПД в согласованном режиме, когда Zн = Zn. В этом случае на нагрузке 8 формируется одиночный прямоугольный импульс напряжения амплитудой V0(17n-9)/12 и длительностью 2T0. Энергия, переданная в течение импульса в согласованную нагрузку 9 равна по величине энергии, запасенной первоначально в генераторе где C, C2, электрическая емкость линий с волновыми сопротивлениями Z, Z2, соответственно.
Следовательно, к моменту времени t = (n+4)T0 запасенная в генераторе энергия полностью передается в согласованную нагрузку 9, и напряжение и ток в любом сечении генератора становятся равными нулю.
В согласованном режиме, когда генератор в идеальном случае обладает 100%-ным КПД, на нагрузке 9 формируется импульс напряжения прямоугольной формы амплитудой V0(17n-9)/12, что в (17n-9)/[3(3n-2)] раз превышает напряжение на согласованной нагрузке генератора-прототипа, равного V0(3n-2)/4.
Правильность метода анализа волновых процессов в высоковольтных генераторах на ступенчатых линиях, подобного проведенному выше, была неоднократно подтверждена при создании ряда сильноточных импульсных ускорителей электронов с системами формирования импульсов ускоряющего напряжения на ступенчатых линиях /2 – 6/.
Генератор может быть выполнен в вариантах, использующих полосковые, коаксиальные и радиальные линии с распределенными параметрами.
Источники информации
th IEEE Internat Pulsed Power Conf, Albuquerque, NM, June 21-23, 1993; Springfield, VA, NTIS. 1993. V.2. PP. 910-912.
th IEEE Internat Pulsed Power Conf., Albuquerque, NM, June 21-23, 1993; Springfield, VA, NTIS. 1993. V.2. PP. 905-907.
Формула изобретения
![]() ![]() ![]() ![]() где Z1 – волновое сопротивление первого отрезка ступенчатой линии; Z2, волновые сопротивления линий, образованных высоковольтным и заземленным электродами во втором отрезке ступенчатой линии, причем дополнительная линия подключена к линии с волновым сопротивлением Z2;Z1 – волновое сопротивление отрезков ступенчатой линии без высоковольтного электрода; i = 3,4, …, n – номер отрезка ступенчатой линии; n – число отрезков ступенчатой линии; Z – волновое сопротивление дополнительной линии. РИСУНКИ
MM4A Досрочное прекращение действия патента Российской Федерации на изобретение из-за неуплаты в установленный срок пошлины за поддержание патента в силе
Дата прекращения действия патента: 21.10.2005
Извещение опубликовано: 27.09.2006 БИ: 27/2006
|
||||||||||||||||||||||||||

[i

волновые сопротивления линий, образованных высоковольтным и заземленным электродами во втором отрезке ступенчатой линии, причем дополнительная линия подключена к линии с волновыми сопротивлениями Z2;
Между высоковольтным 2 и заземленным 1 электродами в месте соединения первого и второго отрезков ступенчатой линии подключен один из концов дополнительной однородной линии 6, электрическая длина которой равна электрической длине T0. На другом конце дополнительной линии 6 включен коммутирующий разрядник 7. Между высоковольтным 2 и заземленным 1 электродами включен источник напряжения 8. К выходу ступенчатой линии подключены соединенные последовательно нагрузка 9 и предымпульсный разрядник 10. Волновые сопротивления линий выбраны из соотношений:
волновые сопротивления линий, образованных высоковольтным и заземленным электродами во втором отрезке ступенчатой линии, причем дополнительная линия подключена к линии с волновым сопротивлением Z2;
а также дополнительной линии 6 с волновым сопротивлением Z. Энергия запасается в указанных линиях в виде электрического поля. При достижении максимального зарядного напряжения V0 включается коммутирующий разрядник 7, замыкающий накоротко конец дополнительной линии, по которой побежит волна разрядки – V0. Для дальнейшего анализа волновых процессов этот момент времени удобно обозначить как t = 0. Будем считать полярность напряжения положительной, если вектор напряженности электрического поля на рассматриваемом рисунке в ступенчатой линии направлен снизу вверх, а в дополнительной линии справа налево. В момент времени t = T0 волна разрядки, распространяющаяся по дополнительной линии 6, достигает места ее соединения с линиями 3, 4 и 5. В дополнительную линию 6 отразится волна напряжения -2/3

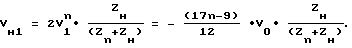
В момент времени t=nT0 первая волна с амплитудой V1n= -(17n-9)V0/24 приходит к выходу генератора с волновым сопротивлением Zn. Так как предымпульсный разрядник 10 выключен, то волна напряжения отражается от разомкнутого конца линии без изменения полярности и амплитуды. В результате выходной отрезок СЛ с номером n оказывается заряженным до напряжения 2V1n. В момент времени t = (n + 2)T0 включается предымпульсный разрядник 10, и на нагрузке 9 с импедансом Zн формируется импульс напряжения
В это же время к выходу генератора приходит волна V2n = (17n-9)V0/8 и на нагрузке 9 возникает импульс напряжения
Суммарная амплитуда импульса напряжения, возникающего на нагрузке 9 в момент времени t = (n+2)T0, равна
и остается постоянной в интервале времени t = (n+2)T0– (n+4)T0. В дальнейшем на нагрузке в общем случае формируется импульс напряжения ступенчатой формы с длительностью ступеней, равной 2T0. Амплитуда напряжения максимальна в режиме холостого хода и равна V0(17n-9)/6. Генератор имеет максимальный КПД в согласованном режиме, когда Zн = Zn. В этом случае на нагрузке 8 формируется одиночный прямоугольный импульс напряжения амплитудой V0(17n-9)/12 и длительностью 2T0. Энергия, переданная в течение импульса в согласованную нагрузку 9
равна по величине энергии, запасенной первоначально в генераторе
где C, C2,
электрическая емкость линий с волновыми сопротивлениями Z, Z2,
соответственно.
Следовательно, к моменту времени t = (n+4)T0 запасенная в генераторе энергия полностью передается в согласованную нагрузку 9, и напряжение и ток в любом сечении генератора становятся равными нулю.
В согласованном режиме, когда генератор в идеальном случае обладает 100%-ным КПД, на нагрузке 9 формируется импульс напряжения прямоугольной формы амплитудой V0(17n-9)/12, что в (17n-9)/[3(3n-2)] раз превышает напряжение на согласованной нагрузке генератора-прототипа, равного V0(3n-2)/4.
Правильность метода анализа волновых процессов в высоковольтных генераторах на ступенчатых линиях, подобного проведенному выше, была неоднократно подтверждена при создании ряда сильноточных импульсных ускорителей электронов с системами формирования импульсов ускоряющего напряжения на ступенчатых линиях /2 – 6/.
Генератор может быть выполнен в вариантах, использующих полосковые, коаксиальные и радиальные линии с распределенными параметрами.
Источники информации
th IEEE Internat Pulsed Power Conf, Albuquerque, NM, June 21-23, 1993; Springfield, VA, NTIS. 1993. V.2. PP. 910-912.
th IEEE Internat Pulsed Power Conf., Albuquerque, NM, June 21-23, 1993; Springfield, VA, NTIS. 1993. V.2. PP. 905-907.




волновые сопротивления линий, образованных высоковольтным и заземленным электродами во втором отрезке ступенчатой линии, причем дополнительная линия подключена к линии с волновым сопротивлением Z2;