|
|
(21), (22) Заявка: 2002107995/12, 22.08.2000
(24) Дата начала отсчета срока действия патента:
22.08.2000
(30) Конвенционный приоритет:
31.08.1999 (пп.1-15) US 09/385,578
(43) Дата публикации заявки: 20.11.2003
(45) Опубликовано: 27.02.2005
(56) Список документов, цитированных в отчете о поиске:
US 4691404 A, 09.09.1987. RU 2139670 C1, 05.05.1994. RU 2197160 C2, 23.04.1996. US 4387479 A, 14.06.1983. US 4520526 A, 04.06.1985.
(85) Дата перевода заявки PCT на национальную фазу:
01.04.2002
(86) Заявка PCT:
US 00/22997 (22.08.2000)
(87) Публикация PCT:
WO 01/15567 (08.03.2001)
Адрес для переписки:
129010, Москва, ул. Б.Спасская, 25, стр.3, ООО “Юридическая фирма Городисский и Партнеры”, пат.пов. Г.Б. Егоровой
|
(72) Автор(ы):
ШЧЕХ Джеральд С. (US), ЛЕВЕНЧУК Джеффри С. (US)
(73) Патентообладатель(и):
ДЖИЛЛЕТ КЭНАДА КОМПАНИ (CA)
|
(54) ТЕЛО ЩЕТКИ ИЗ ПОЛИПРОПИЛЕНА
(57) Реферат:
Зубная щетка включает тело, которое состоит из полимерной композиции, содержащей полипропилен и пластомер, причем полимерная композиция содержит от приблизительно 2 вес.% до приблизительно 30 вес.% пластомера и имеет скорость течения расплава для упомянутой полимерной композиции по меньшей мере приблизительно 10 г/10 мин, и щетинки, выступающие из тела. Изобретение обеспечивает стойкость к разрушению и гибкость при сохранении необходимой жесткости конструкции. 14 з.п.ф-лы, 2 ил., 1 табл.

Данное изобретение относится к зубным щеткам, а более конкретно к телам щеток из полипропилена.
Зубная щетка в общем случае включает тело, имеющее часть, служащую ручкой, головную часть и щетинки, выступающие из головной части. Щетинки могут быть расположены в виде пучков. Зубная щетка сконструирована таким образом, чтобы выдерживать нормальные величины давлений, прикладываемых к щетке во время чистки зубов и других поверхностей в ротовой полости.
Зубные щетки изготавливают, проводя литье под давлением для жидкой полимерной композиции, например полипропилена, в полости формы, которая образует тело зубной щетки, после чего полимерная композиция отверждается (то есть застывает), принимая форму тела зубной щетки, например ручки и головной части щетки. Для двухкомпонентных тел зубных щеток тело зубной щетки после этого переводят в полость второй формы и в полости второй формы проводят литье под давлением для второй жидкой полимерной композиции, например эластомера, в результате получая вторую часть тела щетки, например деталь для захвата рукой.
Количество времени, которое требуется для отверждения жидкой полимерной композиции в полости формы, называется “продолжительностью отверждения”. “Продолжительность отверждения” оказывает влияние на скорость, с которой зубные щетки могут быть изготовлены.
Из патента США 5908038 известна зубная щетка, содержащая тело, состоящее из полимерной композиции, и щетинки, выступающие из этого тела, при этом скорость течения расплава для упомянутой полимерной композиции составляет по меньшей мере 10 г/10 мин.
Однако известные щетки имеют довольно значительную “продолжительность отверждения”, а также оказываются ломкими при приложении к ним изгибающих усилий при чистке зубов.
Поэтому технической задачей настоящего изобретения явилось создание зубной щетки, которая не ломалась при приложении усилий к головной части щетки при чистке. В частности, зубной щетки, не ломающейся при сгибании в направлениях вперед или назад и возвращающейся к своей первоначальной форме после сгибания с данным усилием.
Техническим результатом настоящего изобретения стало создание зубной щетки, тело которой имеет относительно узкие участки, которые обнаруживают превосходную стойкость к разрушению и остаются гибкими, сохраняя все еще при этом жесткость, достаточную для структуры, подходящей для ее целевого использования. Кроме того, техническим результатом настоящего изобретения стало повышение производительности и рентабельности производства щеток, как следствие минимальной продолжительности отверждения на стадии литьевого формования тел щеток.
Данные технические результаты достигаются за счет того, что зубная щетка, согласно изобретению, имеет тело, состоящее из полимерной композиции, которая содержит полипропилен и пластомер, причем полимерная композиция содержит от приблизительно 2 вес.% до приблизительно 30 вес.% пластомера и имеет скорость течения расплава для упомянутой полимерной композиции по меньшей мере приблизительно 10 г/10 мин, и щетинки, выступающие из упомянутого тела.
Предпочтительно предел прочности при растяжении у упомянутого тела по меньшей мере равен приблизительно 3100 фунтов на кв.дюйм (217,7 кг/см2), а более предпочтительно приблизительно 3700 фунтов на кв.дюйм (259,8 кг/см2).
Предпочтительно предел прочности при растяжении у упомянутого тела находится в диапазоне от приблизительно 3700 фунтов на кв.дюйм (259,8 кг/см2) до приблизительно 6000 фунтов на кв.дюйм (421,3 кг/см2).
Тело щетки может образовывать форму, включающую ручку и головную часть, выходящую из упомянутой ручки, причем упомянутая ручка включает деталь для расположения большого пальца с площадью поперечного сечения, не превышающей приблизительно 1,8 см2.
Тело щетки может образовывать форму, включающую ручку и головную часть, выходящую из упомянутой ручки, причем упомянутая ручка имеет площадь поперечного сечения, не превышающую приблизительно 1 см2.
Предпочтительно упомянутая полимерная композиция имеет скорость течения расплава в диапазоне от приблизительно 10 г/10 мин до приблизительно 40 г/10 мин.
Предпочтительно упомянутая полимерная композиция имеет скорость течения расплава в диапазоне от приблизительно 15 г/10 мин до приблизительно 30 г/10 мин.
Предпочтительно упомянутый полипропилен имеет скорость течения расплава в диапазоне от приблизительно 30 г/10 мин до приблизительно 40 г/10 мин.
Предпочтительно предел прочности при растяжении у упомянутого полипропилена находится в диапазоне от приблизительно 4000 фунтов на кв. дюйм (280,9 кг/см2) до приблизительно 6000 фунтов на кв. дюйм (421,3 кг/см2).
Предпочтительно упомянутый пластомер имеет скорость течения расплава в диапазоне от приблизительно 1,3 г/10 мин до приблизительно 5,2 г/10 мин.
Предпочтительно предел прочности при растяжении у упомянутого пластомера находится в диапазоне от приблизительно 1500 до приблизительно 3000 фунтов на кв. дюйм (105,3 до 210,6 кг/см2).
Предпочтительно упомянутый пластомер содержит сополимер, образованный из этилена и поли-альфа-олефина.
Предпочтительно упомянутая полимерная композиция содержит от приблизительно 10 мас.% до приблизительно 20 мас.% пластомера.
Предпочтительно упомянутая полимерная композиция содержит от приблизительно 75 мас.% до приблизительно 90 мас.% упомянутого полипропилена и от приблизительно 10 мас.% до приблизительно 25 мас.% упомянутого пластомера.
Далее изобретение будет пояснено более подробно на примерах его предпочтительного воплощения со ссылкой на прилагаемые чертежи, на которых:
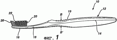
фиг.1 – вид сбоку на зубную щетку согласно изобретению;
фиг.2 – вид сверху на зубную щетку с фиг.1.
Если обратиться к фиг.1, то видно, что зубная щетка 10 включает тело 12, которое включает ручку 14, головную часть 16, шейку 18 между ручкой и головной частью 16 и деталь 19 для расположения большого пальца. Из головной части 16 тела 12 выступают пучки 20, которые состоят по меньшей мере из одной щетинки 22. Тело может включать основание, например, изготовленное из относительно более твердого, более жесткого пластика, такого, как полипропилен, и деталь для захвата рукой, например, изготовленную из относительно более каучукоподобного материала, такого, как, например, стирол-этилен-бутадиен-стирольный блок-сополимер.
Тело зубной щетки характеризуется пределом прочности при растяжении, по меньшей мере равным приблизительно 3100 фунтов на кв.дюйм (217,7 кг/см2), более предпочтительно в диапазоне от приблизительно 3700 фунтов на кв.дюйм (259,8 кг/см2) до приблизительно 6000 фунтов на кв.дюйм (421,3 кг/см2) согласно измерениям по методу ASTM D638. По меньшей мере часть тела зубной щетки (например, основание) состоит из полимерной композиции, которая характеризуется скоростью течения расплава, по меньшей мере равной приблизительно 10 г/10 мин, предпочтительно в диапазоне от приблизительно 10 г/10 мин до приблизительно 40 г/10 мин, более предпочтительно от приблизительно 12 г/10 мин до приблизительно 35 г/10 мин, наиболее предпочтительно от приблизительно 15 г/10 мин до приблизительно 30 г/10 мин согласно измерениям по методу ASTM D1238 – 95. В некоторых вариантах реализации по меньшей мере часть тела зубной щетки состоит из полимерной композиции, которая характеризуется скоростью течения расплава в диапазоне от приблизительно 30 г/10 мин до приблизительно 40 г/10 мин.
Зубная щетка является достаточно жесткой, для того чтобы ее можно было бы сгибать без разрушения. Ряд свойств щетки, взятых в комбинации, создают представление о способности тела щетки сгибаться, сопротивляясь при этом разрушению.
Одним свойством является максимальное смещение, достигаемое телом щетки при сгибании в направлениях вперед и назад. Максимальное смещение представляет собой максимальное расстояние, на которое образец отклонится во время испытания. Предпочтительно тело щетки характеризуется максимальным смещением вперед, по меньшей мере равным 3 дюймам, и максимальным смещением назад, по меньшей мере равным приблизительно 2,7 дюйма (6,9 см), согласно измерениям по способу испытаний для определения максимального смещения, описанному ниже.
Вторым свойством является жесткость тела щетки, которую можно измерить по величине максимальной нагрузки в направлениях вперед и назад, которую может выдержать тело щетки. Максимальная нагрузка в направлении вперед обозначает максимальную величину усилия, прилагаемого к телу щетки от поверхности с щетиной на теле щетки. Предпочтительно максимальная нагрузка в направлении вперед до разрушения для щетки равна усилию по меньшей мере приблизительно 8,0 фунтов (3,6 кг), более предпочтительно в диапазоне от усилия приблизительно 9,0 (4,1 кг) фунтов до усилия приблизительно 12,0 фунтов (5,4 кг), а максимальная нагрузка в направлении назад до разрушения равна усилию по меньшей мере приблизительно 8,0 фунтов (3,6 кг), более предпочтительно в диапазоне от усилия приблизительно 8,0 фунтов (3,6 кг) до усилия приблизительно 11,0 фунтов (4,9 кг), согласно измерению по способу испытаний для определения максимальной нагрузки, описанному ниже.
Третьим свойством щетки является энергия для разрушения тела щетки при испытании в направлениях вперед и назад. Предпочтительно тело щетки характеризуется максимальной энергией для разрушения в направлении вперед, составляющей по меньшей мере приблизительно 21 фунт дюйм (24,2 кг/см), более предпочтительно по меньшей мере приблизительно 23 фунт дюйм (26,5 кг/см), и максимальной энергией для разрушения в направлении назад, по меньшей мере приблизительно 23 фунт дюйм (26,5 кг/см), согласно измерениям по способу испытаний для определения энергии для разрушения, описанному ниже.
Четвертым свойством является ударная вязкость тела щетки в направлениях вперед и назад. Предпочтительно тело щетки характеризуется ударной вязкостью, по меньшей мере равной приблизительно 40 дюйм – фунт/дюйм3 (2,8см·кг/см3), более предпочтительно по меньшей мере равной приблизительно 44 дюйм – фунт/дюйм3 (3,0 см·кг/см3) в направлении вперед, и ударной вязкостью, по меньшей мере равной приблизительно 40 дюйм – фунт/дюйм3 (2,8 см·кг/см3), более предпочтительно по меньшей мере равной приблизительно 45 дюйм – фунт/дюйм3 (3,2 см·кг/см3) в направлении назад, согласно вычислениям по способу испытаний для определения ударной вязкости, описанному ниже.
Приведенные выше свойства предпочтительно имеют место для тел зубных щеток, у которых область детали для расположения большого пальца имеет поперечное сечение, не превышающее 1,8 см, предпочтительно не превышающее 1,1 см, наиболее предпочтительно не превышающее 1 см.
Полимерная композиция тела зубной щетки содержит полипропилен. Полипропилен существует в виде широкого разнообразия форм, каждая из которых характеризуется многообразными свойствами. Предпочтительно тело состоит из полипропилена, известного как полипропилен с регулируемой реологией, и его скорость течения не превышает 40 г/10 мин, более предпочтительно не превышает 30 г/10 мин, а предел прочности при растяжении по меньшей мере приблизительно равен 3100 psi, более предпочтительно находится в диапазоне от приблизительно 4000 фунтов на кв.дюйм (280,9 кг/см2) до 6000 фунтов на кв.дюйм (421,3 кг/см2), наиболее предпочтительно по меньшей мере равен приблизительно 4700 фунтов на кв.дюйм (330,0 кг/см2).
Предпочтительно композицию полипропилена составляют таким образом, чтобы при проведении литья под давлением он быстро бы отверждался после впрыскивания в полость формы. Способность отверждаться характеризуют “продолжительностью отверждения”. Предпочтительно продолжительность отверждения достаточно коротка для того, чтобы обеспечить максимальную степень использования оборудования для литьевого формования.
Предпочтительный полипропилен по меньшей мере приблизительно на 97% представляет собой изотактический полипропилен. Подходящий полипропилен может быть приобретен под торговыми обозначениями FINA 3824 и FINA 3825 в компании Fina Oil and Chemical Company (Dallas, Texas) и РР1105 в компании Еххоn Chemical (Houston, Texas).
Полимерная композиция может содержать вплоть до 100 мас.% полипропилена. Предпочтительно полипропилен присутствует в полимерной композиции в количестве от приблизительно 75 мас.% до приблизительно 90 мас.%, наиболее предпочтительно приблизительно 85 мас.%. Полипропилен предпочтительно имеет узкий диапазон молекулярных масс.
Полипропилен также содержит катализатор, который регулирует длину полимерной цепочки таким образом, чтобы получать полимер с узким диапазоном молекулярных масс. Такой полимер называется полипропиленом с регулируемой реологией. При проведении литья под давлением предпочтительные катализаторы также способствуют быстрому отверждению полипропилена после впрыскивания в полость формы. Примеры полезных катализаторов включают катализаторы Циглера-Натта и катализаторы, относящиеся к типу катализаторов Циглера-Натта.
Полимерная композиция тела зубной щетки также может содержать пластомер. Пластомеры обладают свойствами, которые в общем случае являются промежуточными по отношению к свойствам термопластичных материалов и эластомерных материалов. Пластомер предпочтительно модифицирует у полипропилена и тел зубных щеток, изготовленных из него, свойство ударопрочности (то есть реакцию на усилие). Предпочтительные пластомеры характеризуются скоростью течения расплава в диапазоне от приблизительно 1 г/10 мин до приблизительно 5 г/10 мин, более предпочтительно от приблизительно 1,3 г/10 мин до приблизительно 5,2 г/10 мин, и пределом прочности при растяжении в диапазоне от приблизительно 1500 фунтов на кв. дюйм (105,3 кг/см2) до приблизительно 3000 фунтов на кв.дюйм (210,6 кг/см2), более предпочтительно приблизительно 2500 фунтов на кв.дюйм (175,5 кг/см2).
Примеры полезных пластомеров включают сополимеры этилена и альфа-олефинов, например С3-С20-альфа-олефинов. Подходящие коммерческие пластомеры доступны под торговым обозначением Exact 4033 в компании Exxon Chemical.
Если в полимерной композиции тела зубной щетки будет присутствовать пластомер, то он будет присутствовать в количестве, по меньшей мере равном приблизительно 2 мас.%, предпочтительно в диапазоне от приблизительно 2 мас.% до приблизительно 30 мас.%, более предпочтительно от приблизительно 10 мас.% до приблизительно 25 мас.%, наиболее предпочтительно приблизительно 15 мас.% в расчете на массу полимерной композиции.
Полимерная композиция тела зубной щетки также может содержать интерполимер этилена-альфа-олефина. Предпочтительные интерполимеры этилена-альфа-олефина характеризуются скоростью течения расплава в диапазоне от приблизительно 1 г/10 мин до приблизительно 5 г/10 мин, более предпочтительно приблизительно 5 г/10 мин, и пределом прочности при растяжении в диапазоне от приблизительно 1500 psi до приблизительно 3000 фунтов на кв.дюйм (105,3 кг/см2), более предпочтительно приблизительно 1700 фунтов на кв.дюйм (119,4 кг/см2). Примеры коммерчески доступных интерполимеров этилена-альфа-олефина доступны под торговым обозначением FLEXOMER в компании Union Carbide (Danbury, Connecticut), например, FLEXOMER POLYOLEFIN DFDB 1085 Natural.
Если в полимерной композиции тела зубной щетки будет присутствовать интерполимер этилена-альфа-олефина, то он будет присутствовать в количестве, по меньшей мере равном приблизительно 2 мас.%, предпочтительно в диапазоне от приблизительно 2 мас.% до приблизительно 30 мас.%, более предпочтительно от приблизительно 10 мас.% до приблизительно 25 мас.%, наиболее предпочтительно приблизительно 15 мас.% в расчете на массу полимерной композиции.
Предпочтительно та часть тела зубной щетки, которая состоит из полимерной композиции, обладает стойкостью к воздействию ультрафиолетового (УФ) излучения, такой, что на теле в течение полезного срока службы зубной щетки не обнаруживается изменения окраски, обусловленного воздействием УФ-излучения.
Полимерная композиция тела зубной щетки также может содержать широкий спектр других компонентов, в том числе карбонат кальция, антиоксидант, пигмент (например, диоксид титана), краситель, ультрафиолетовые отбеливатели и их комбинации.
Теперь изобретение будет дополнительно описано следующими далее примерами.
Примеры.
Методики испытаний.
Методики испытаний, использованные в примерах, включают следующее.
Максимальное смещение.
Максимальное смещение в направлениях вперед и назад определяли следующим образом.
Измеряли и регистрировали ширину и толщину тела щетки на участке детали для расположения большого пальца на теле щетки. Деталь для расположения большого пальца является центром вращения или точкой, вокруг которой вращается свободная часть зубной щетки тогда, когда к телу щетки прикладывается усилие на аппарате для испытаний Instron. По центру вращения тела щетки (то есть вдоль линии А-А’) измеряли и регистрировали ширину тела щетки (ширину определяют по виду сверху (то есть поверхность с щетиной), см фиг.2). По центру вращения (то есть вдоль линии В-В’) измеряли и регистрировали толщину тела щетки так, как если смотреть на тело щетки сбоку (см. фиг.1). Значения ширины и толщины вводили в аппарат для испытаний Instron Model 4301 (Instron, Canton, Massachusetts).
Ручку тела щетки вставляли в зажим для испытаний Instron, который присоединен к аппарату для испытаний Instron. Для измерения максимального смещения в направлении вперед ручку вставляли в зажим для испытаний таким образом, чтобы щетина была бы обращена вверх, в направлении прикладываемой нагрузки. Для измерения максимального смещения в направлении назад ручку вставляли в зажим для испытаний таким образом, чтобы щетина была бы обращена вниз, в направлении от прикладываемой нагрузки.
Задний упор ручки регулировали таким образом, чтобы расстояние от передней грани зажима для испытаний до кончика головной части щетки составляло бы 61 мм. Кончик тела щетки центрировали непосредственно под динамометрическим элементом. Усилие прикладывали в направлении, перпендикулярном к продольному направлению тела щетки, при скорости направляющей головки 0,5 дюйм/мин (1,27 см/мин). Начальные установки на аппарате для испытаний Instron были следующими: начальная нагрузка – 0,5 фунта (0,23 кг) и начальное удлинение – 0,125. После этого запускали цикл тестирования на Instron. Усилие прикладывали к телу щетки до тех пор, пока тело щетки либо не разрушалось, либо не достигало угла отклонения 90°. Расстояние, которое пройдет захват аппарата для испытаний Instron в вертикальном направлении до достижения отклонения 90° в теле щетки, считывали с дисплея аппарата для испытаний Instron и регистрировали как максимальное смещение (в дюймах).
Максимальная нагрузка.
Максимальную нагрузку, действующую на тело щетки при отклонении на 90° (то есть при достижении максимального смещения), считывали с дисплея аппарата для испытаний Instron и регистрировали. Данное значение регистрировали как максимальную нагрузку (в фунтах). Если тело ломалось до отклонения на 90°, регистрировали факт разрушения.
Разрушение.
Оценку разрушения проводили, наблюдая, сломается или нет тело щетки во время испытания для определения максимального смещения.
Энергия для разрушения.
Энергию для разрушения (Еb) тела щетки в направлениях вперед и назад определяли, рассчитывая кривую зависимости площади действия силы от смещения. Энергию для разрушения считывали с дисплея аппарата для испытаний Instron и регистрировали в фунт дюймах.
Ударная вязкость.
Ударную вязкость (Т) тела щетки в направлениях вперед и назад рассчитывали, проводя деление энергии для разрушения (Еb) на объем образца в соответствии со следующим уравнением:
Т=Еb/(L·b·а),
где Еb представляет собой энергию для разрушения, L представляет собой базовую длину, а представляет собой ширину образца, а b представляет собой толщину образца.
Ударную вязкость регистрировали в дюйм – фунт/дюйм2.
Получение полимерной композиции.
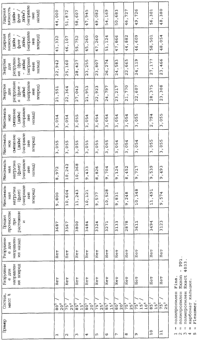
Пример 1.
При температуре 400°F (204,4°С) смешивали друг с другом полипропилен с регулируемой реологией Fina 3824 (FINA-РР) (Fina Oil & Chemical Co.) со скоростью течения расплава 30 г/10 мин и пределом прочности при растяжении 4700 фунтов на кв. дюйм (330 кг/см2) пластомер на основе этилена (EXXON-РР1) (Exxon Chemical) со скоростью течения расплава 5,2 г/10 мин и пределом прочности при растяжении 1700 до получения полимерной композиции, которая содержала 80 мас.% FINA-РР и 20 % EXXON-РР1.
Пример 2.
Полимерную композицию получали в соответствии с примером 1 за исключением того, что соотношение FINA-PP/EXXON-РР1 было 75/25.
Пример 3.
Смешивали друг с другом FINA-РР и пластомер на основе этилена (EXACT 4033) (Exxon Chemical) со скоростью течения расплава 1,3 г/10 мин и пределом прочности при растяжении 2500 до получения полимерной композиции, которая содержала 85 мас.% FINA-РР и 15 мас.% EXACT 4033.
Примеры 4-8.
Полимерную композицию получали в соответствии с примером 3 за исключением того, что соотношение FINA-РР/ЕХАСТ 4033 было следующим: 80/20 (пример 4); 75/25 (пример 5); 85/15 (пример 6); 80/20 (пример 7); 75/25 (пример 8).
Пример 9.
Смешивали друг с другом FINA-РР, EXACT 4033 и карбонат кальция до получения полимерной композиции, которая содержала 85 мас.% FINA-РР, 15 мас.% EXACT 4033 и 10 мас.% карбоната кальция.
Пример 10.
Смешивали друг с другом FINA-РР и полиолефин FLEXOMER POLYOLEFIN DFDB-1085 Natural (FLEXOMER) (Union Carbide) со скоростью течения расплава 5 г/10 мин и пределом прочности при растяжении 3000 до получения полимерной композиции, которая содержала 85 мас.% FINA-РР и 15 мас.% FLEXOMER.
Пример 11.
Полимерную композицию получали в соответствии с примером 10 за исключением того, что соотношение FINA-PP/FLEXOMER было 75/25.
В полости формы при 200°С проводили литьевое формование для полимерных композиций по примерам 1-11. Полость формы определяла тело зубной щетки с поперечным сечением детали для расположения большого пальца 1 см. Впрыскивание материалов при температурах между 190°С и 250°С проводили на литьевой машине с плавающим шнеком с максимальной дозой впрыска 150 граммов.
После этого тестировали каждое из сформованных тел зубных щеток, в направлениях вперед и назад, как потребуется, в соответствии со способом испытаний для определения максимального смещения. Также рассчитывали максимальную нагрузку, энергию для разрушения и ударную вязкость. Также обращали внимание на случаи разрушения во время реализации способа испытаний для определения максимального смещения. Тела зубных щеток, которые ломались, идентифицированы обозначением “да”, а те тела зубных щеток, которые не ломались, идентифицированы обозначением “нет”.
Результаты приведены в таблице 1.

Другие варианты реализации входят в объем формулы изобретения.
Формула изобретения
1. Зубная щетка, содержащая тело, состоящее из полимерной композиции, которая содержит полипропилен и пластомер, причем полимерная композиция содержит от приблизительно 2 до приблизительно 30 вес.% пластомера и имеет скорость течения расплава для упомянутой полимерной композиции по меньшей мере приблизительно 10 г/10 мин и щетинки, выступающие из упомянутого тела.
2. Зубная щетка по п.1, в которой предел прочности при растяжении у упомянутого тела по меньшей мере равен приблизительно 3100 фунтов на кв. дюйм (217,7 кг/см2).
3. Зубная щетка по п.1, в которой предел прочности при растяжении у упомянутого тела по меньшей мере равен приблизительно 3700 фунтов на кв. дюйм (259,8 кг/см2).
4. Зубная щетка по п.1, в которой предел прочности при растяжении у упомянутого тела находится в диапазоне от приблизительно 3700 (259,8 кг/см2) до приблизительно 6000 фунтов на кв. дюйм (421,3 кг/см2).
5. Зубная щетка по п.1, в которой упомянутое тело образует форму, включающую ручку и головную часть, выходящую из упомянутой ручки, причем упомянутая ручка включает деталь для расположения большого пальца с площадью поперечного сечения, не превышающей приблизительно 1,8 см2.
6. Зубная щетка по п.1, в которой упомянутое тело образует форму, включающую ручку и головную часть, выходящую из упомянутой ручки, причем упомянутая ручка имеет площадь поперечного сечения, не превышающую приблизительно 1 см2.
7. Зубная щетка по п.1, в которой упомянутая полимерная композиция имеет скорость течения расплава в диапазоне от приблизительно 10 до приблизительно 40 г/10 мин.
8. Зубная щетка по п.1, в которой упомянутая полимерная композиция имеет скорость течения расплава в диапазоне от приблизительно 15 до приблизительно 30 г/10 мин.
9. Зубная щетка по п.1, в которой упомянутый полипропилен имеет скорость течения расплава в диапазоне от приблизительно 30 до приблизительно 40 г/10 мин.
10. Зубная щетка по п.1, в которой предел прочности при растяжении у упомянутого полипропилена находится в диапазоне от приблизительно 4000 (280,9 кг/см2) до приблизительно 6000 фунтов на кв. дюйм (421,3 кг/см2).
11. Зубная щетка по п.1, в которой упомянутый пластомер имеет скорость течения расплава в диапазоне от приблизительно 1,3 до приблизительно 5,2 г/10 мин.
12. Зубная щетка по п.1, в которой предел прочности при растяжении у упомянутого пластомера находится в диапазоне от приблизительно 1500 до приблизительно 3000 фунтов на кв.дюйм (105,3 до 210,6 кг/см2).
13. Зубная щетка по п.1, в которой упомянутый пластомер содержит сополимер, образованный из этилена и поли-альфа-олефина.
14. Зубная щетка по п.1, в которой упомянутая полимерная композиция содержит от приблизительно 10 до приблизительно 20 мас.% пластомера.
15. Зубная щетка по п.1, в которой упомянутая полимерная композиция содержит от приблизительно 75 до приблизительно 90 мас.% упомянутого полипропилена и от приблизительно 10 до приблизительно 25 мас.% упомянутого пластомера.
РИСУНКИ
|
|