Патент на изобретение №2152936
|
||||||||||||||||||||||||||
(54) ПРОИЗВОДНЫЕ 10-ДЕАЦЕТИЛБАККАТИНА III И 10-ДЕАЦЕТИЛ-14
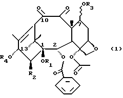
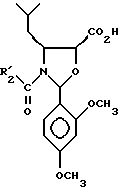
(57) Реферат: Описываются новые соединения формулы (1), где R1 и R2– атомы водорода, или R1 – атом водорода и R2 – гидроксильная группа или OR1 и R2 вместе образуют циклическую карбонатную группу формулы ![]() R3 который может быть – или -ориентированным, является атомом водорода или алкилсилильной группой, предпочтительно триэтилсилилом (ТЭС); R4 – водород или остаток ![]() или изосериновый остаток формулы A, где R1‘ – прямая или разветвленная алкильная группа, содержащая один-пять атомов углерода, R2‘ – прямая или разветвленная алкильная группа, содержащая один-пять атомов углерода, или трет-бутиоксильная группа, при условии, что когда R2 – H, R4 отличен от H и от изосеринового остатка формулы (A). Соединения обладают антиканцерогенным действием на различные формы опухолей человека. Описывается также способ их получения, промежуточные соединения и фармацевтическая композиция на основе вышеуказанных соединений, которую можно вводить путем инъекции или перорально. 5 с. и 3 з.п.ф-лы, 2 табл. ![]()
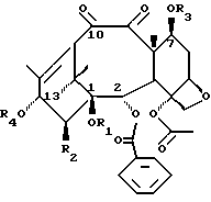
Известно, что паклитаксел (таксол) является дитерпеноидом, экстрагируемым из растений рода Taxus и обладающим антиканцерогенным действием на различные формы опухолей человека. Однако его клиническое применение все же обладает некоторыми недостатками вследствие его плохой растворимости в воде, что осложняет введение, а также возникновением серьезных побочных эффектов. Более того, паклитаксел быстро индуцирует невосприимчивость. По этим причинам в течение нескольких лет развивались исследования, имеющие целью синтез новых аналогов паклитаксела, которые вызывают меньше отрицательных эффектов по сравнению с исходной молекулой. В WO-A-9501969 описаны таксоиды, окисленные в положении 10 и содержащие разнообразные заместители в положениях 7 и 13. В EP-A-577083 описаны циклопропантаксаны, содержащие различные заместители в положении 10 и 13. В “Gazetta Chimica Italiana” 124, 1994 описаны способы окисления гидроксильной группы 10-деацетилбаккатина III. В “Heterocycies”, т. 38, N 5, 1994 описаны новые, родственные таксолу дитерпены, выделенные из корней Taxus Yunnanensis (Taxiyunnanine A). Настоящее изобретение относится к новым производным со структурой таксана, обладающим заметной противоопухолевой активностью. Новые производные имеют общую структуру 1: ![]() где R1 и R2 – атомы водорода, или R1 – атом водорода и R2 – гидроксильная или ацетоксигруппа, или OR1 и R2 вместе образуют циклическую карбонатную группу формулы ![]() R3, который может быть – или – ориентированным, является атомом водорода или алкилсилильной группой, предпочтительно триэтилсилилом (ТЭС);R4 – водород или остаток ![]() или изосериновый остаток формулы A: ![]() где R’1 – прямая или разветвленная алкильная или алкенильная группа, содержащая один-пять атомов углерода, или арильный остаток; R’2 – прямая или разветвленная алкильная или алкенильная группа, содержащая один-пять атомов углерода, или арильный остаток; или трет-бутоксильная группа. Новые производные общей формулы (1) получают полусинтезом, исходя из природных синтонов 10-деацетилбаккатина III (2) и 10-деацетил-14 – -гидроксибаккатина III (3). Для этого их избирательно окисляют в положении 10, а затем эстерифицируют по положению 13 подходящим ацилирующим агентом, который позволяет ввести группу R4.
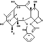
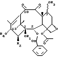
![]() 2 R2 = H 3 R2 = OH Когда таксаны природного или синтетического происхождения уже содержат требуемую изосериновую цепочку в положении 13, молекулы структуры 1 могут быть получены из указанных таксанов путем избирательного окисления по положению 10. Как будет описано далее, избирательное окисление по положению 10 соединений 2, 3 и таксанов, уже содержащих изосериновую цепочку в положении 13, можно получить путем обработки солями меди (II). 10-деацетилбаккатин III (2) и его 14 – гидроксильный аналог (3) могут быть извлечены из подходящим образом выбранного растительного материала (см. патент Indena US-5,269,591).
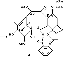
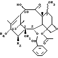
Однако можно синтезировать таксановые синтоны, содержащие окисленную функциональную группу в положении 14, которые таким образом являются пригодными для получения соединений структуры 1, содержащей окисленную функциональную группу в положении 14, исходя из 10-деацетилбаккатина III (2), и это является одной из целей настоящего изобретения. На самом деле было неожиданно обнаружено то, что после защиты гидроксильной группы в положении 7 соединения 2 в виде силилового эфира, посредством обработки диоксидом марганца происходит окисление кетонной группы по углероду в положении 13 и введение – ориентированной спиртовой функциональной группы при углероде 14. После защиты гидроксильных групп в положении 10 и 14, например, в виде ацетатов, путем обработки гидридами, кетонная функциональная группа в положении 13 восстанавливается в 13 – гидроксильную группу.
Способ, который схематически показан ниже, приводит к образованию синтона 4, пригодного для получения соединений структуры 1.
![]() ![]() Из синтона 4 получают 10-деацетил-14 – гидроксибаккатин III (3) после удаления защитных групп известными описанными в литературе методами, например с применением соляной кислоты для удаления силильной группы и основания для удаления ацетатных групп. Поэтому, как указано, для получения соединений формулы 1 должен быть доступен 10-деацетилбаккатин III (2), природный или полусинтетический 10-деацетил-14 – гидроксибаккатин III (3), или же другие таксаны, имеющие гидроксильную функциональную группу в положении 10 и уже содержащие в положении 13 изосериновую цепочку, представленную группой R4.
К удивлению, было обнаружено то, что все эти синтоны путем обработки солями меди (II), предпочтительно ацетатом меди, подвергаются избирательному окислению по положению 10, без необходимости защиты других гидроксильных функциональных групп. Например, 10-деацетилбаккатин III (2), 10-деацетил-14 – гидроксибаккатин III (3) и природный таксан 10-деацетилцефаломаннин приводят к соответствующим 10-кетопроизводным 5-7 с выходами от 75 до 85%. Для окисления обычно требуется продолжительное время (100-140 ч) и избыток окислителя и его осуществляют при комнатной температуре и в спиртовом растворителе.
![]() 5 R1=R2=R3=R4=H 6 R1=R3=R4=H; R2=OH 8 R1,R2=-CO-O; R3=R4=H 7 R1=R2=R3=H; ![]() Когда для получения соединения формулы 1 требуется присутствие циклической карбонатной группы между положениями 1 и 14, синтон 3 предварительно обрабатывают фосгеном в пиридине, и полученный карбонат далее окисляют по положению 10 ацетатом меди (II) с получением карбонатного производного синтона 8. Путем обработки основаниями дикетоны 5-8 подвергаются инверсии в положении 7, то есть гидроксил в положении 7 становится – ориентированным. Таким образом, для получения таксанов структуры 1 используют синтоны 5, 6 и 8 или необязательно их эпимеры в положении 7, после защиты присутствующих спиртовых функциональных групп. В противоположность другим гидроксильным спиртовым функциональным группам спиртовая функциональная группа в положении 13 обладает слабой реакционной способностью по отношению к силилированию и поэтому не образует производные.
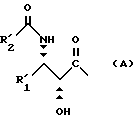
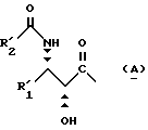
Для этерификации по положению 13 используют подходящим образом активированные изосериновые цепочки, согласно литературным данным для полусинтеза паклитаксела и его аналогов (см., например, Евр. пат. заявку 400971, 1992; Fr. Dem. 86, 10400; E. Didier et al. Tetrahedron letters 35, 2349, 1994; E. Didier et al., там же, 35, 3063, 1994). Изосериновые цепочки предпочтительно используют в активированных формах оксазолидинкарбоновых кислот 9a и 9b.
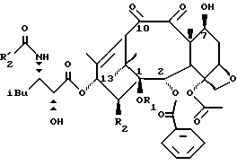
![]() ![]() В формулах 9a и 9b R’1 и R’2 имеют значение, описанное выше. Этерификацию оксазолидинкарбоновых кислот таксановыми синтонами и последующее элиминирование защитных групп осуществляют так, как описано в литературе для синтеза паклитаксела и его аналогов. Оказалось, что из числа соединений формулы 1 особенно активны соединения 10, 11 и 12. Соединение 10 представляет собой 13-[(2R,3S)-3-трет-бутоксикарбониламино-2-гидрокси-3-изобутил- пропаноил] -10-деацетил-10-дегидробаккатин III. Поэтому, что касается общей формулы I, то соединение 10 имеет: R1 = R2 = H, OR3 = – ОН, R’1 = изо-But, R’2 = трет-BuO. Соединение 11 представляет собой 13-[(2Р,3S)-3-трет-бутоксикарбониламино-2-гидрокси-3-изобутил-пропаноил] -10-дегидро-10-деацетил-14 – гидроксибаккатин-III-1,14-карбонат. Поэтому, что касается общей формулы 1, то соединение 11 имеет: R1, R2 = -CO-O, OR3 = – OH, R’1 = изо-But, R’2 = трет-Buo.
Соединение 12 представляет собой 13-[(2R,3S)-3-капроиламино-2-гидрокси-3-изобутил-пропаноил] -10-дегидро- 10-деацетил-14 -гидроксибаккатин-III-1,14-карбонат. Поэтому, что касается общей формулы 1, то соединение 12 имеет: R1, R2 = -CO-O, OR3 = B-OH, R’1 = изо-But, R’2 = C5H11.
![]() 10 R1 = R2 = H, R’2 = трет-бутокси 11 R1, R2 = -CO-O, R’2 = трет-бутокси 12 R1 = R2 = -CO-0, R’2 = C2H11 Данные по цитотоксичности для соединений 10 и 11 в сравнении с паклитакселом приведены в табл. 1. Стандартные условия: основная среда = RPMI 1640 + 20 мM HEPES (N-2-гидроксиэтилпиперазин-N’-2-этансульфоновая кислота) + 2 мМ L-глутамина.
Соединения формулы 1 проявляют неожиданные преимущества в сравнении с паклитакселом на клеточных линиях, невосприимчивых к другим противоопухолевым веществам, таким как адриамицин или цисплатин. Различия между паклитакселом и этими продуктами даже более очевидны для моделей in vivo, таких как атимичная “голая” мышь с имплантатом опухоли человека. Более того, было обнаружено, что соединения по изобретению, в которых R’2 является алкильной или алкенильной группой, к удивлению, не обладают кардиотоксичной активностью, в отличие от таксола и его известных производных, и поэтому их можно выгодно использовать при лечении опухолей у пациентов с сердечными патологиями, которых нельзя лечить таксолом и его известными производными.
Продукты, являющиеся предметом изобретения, можно ввести в подходящие фармацевтические композиции для их применения как парентерально, так и перорально. Для внутривенного применения в основном используют смеси Chremoform L и этанола, полисорбаты или липосомные препараты, полученные при использовании природного или синтетического фосфатидилхолина или смесей природных фосфолипидов в присутствии холестерина.
Далее изобретение иллюстрируется следующими примерами.
Пример 1 – Получение 10-деацетил-10-дегидроксибаккатина III (5)10 г 10-деацетилбаккатина III (2) (выделенного так, как описано G. Chauviere и др., C.R. Acad. Sci. Ser. II 293, 591, 1981) суспендируют в 350 мл метанола и к ним добавляют 65 г Cu(AOc)2. Суспензию перемешивают при комнатной температуре в течение 120 ч. Соли отфильтровывают и раствор хроматографируют на 100 г силикагеля с элюированием смесью гексан/этилацетат 6:4. После перекристаллизации из лигроина получают 9,5 г соединения (5), М+а m/z 542. Пример 2 – Получение 10-деацетил-10-дегидро-14 -гидроксибаккатин-III-1,14-карбоната (8)10 г 10-деацетил-14 – гидроксибаккатина III (3), выделенного так, как описано G. Appendino и др. , J. Chem. Soc. Perkin Trans 1, 2925, 1992, растворяют в 50 мл безводного пиридина и обрабатывают в течение одного часа 1,5 экв. 5% фосгена в толуоле при -10oC. Реакционную смесь выливают на лед и водную суспензию экстрагируют этилацетатом, тщательно промывая органическую фазу разбавленной HCl. После осушения над Na2SO4 органическую фазу концентрируют досуха. Получают 9 г 1,14-карбоната, который суспендируют в 350 мл метанола и обрабатывают 50 г Cu(OAc)2 при перемешивании при комнатной температуре в течение 120 ч. Суспензию фильтруют и раствор выпаривают досуха. Остаток хроматографируют на 100 г силикагеля с элюированием смесью гексан-этилацетат 1:1. Получают 8 г соединения (8), М+а m/z 584.
Пример 3 – Получение 13-[(2R,3S)-3-трет-бутоксикарбониламино-2-гидрокси- 3-изобутил-пропаноил]-10-деацетил-10-дегидробаккатина-III (10)К раствору 300 мг (1,84 ммоль) 7-O-триэтилсилил-10-деацетил-10-дегидробаккатина III, полученного из соединения (5) (пример 1) путем силилирования в положение 7 способом, описанным J. Denis и др., J. Am. Chem. Soc., 100, 5917, 1988, в 60 мл толуола добавляют 500 мг (4S,5R)-N-(трет-бутоксикарбонил)-2,2-диметил-4-изобутил- 5-оксазолидинкарбоновой кислоты, 240 мг дициклогексилкарбодиимида (1,2 экв. ) и 24 мг N,N-диметиламинопиридина (0,2 экв.). Реакционную смесь выдерживают при 80oC в течение 2 ч, затем фильтруют и промывают водой; органическую фазу концентрируют досуха. Остаток обрабатывают метанолом, содержащим 0,1% H2SO4, при 10oC. Метанольный раствор разбавляют водой и продукт экстрагируют этилацетатом; органическую фазу концентрируют досуха и остаток хроматографируют на силикагеле с элюированием ацетон/гексан 4:6. Получено 350 мг соединения (10). М+а m/z 785. Пример 4 – Получение 13-[(2R,3S)-3-трет-бутоксикарбониламино-2-гидрокси-3-изобутил- пропаноил] -10-деацетил-10-дегидро-14 – гидроксибаккатин-III-1,14-карбоната (11)0,5 г 7-O-триэтилсилил-10-деацетил-10-дегидро-14 – гидроксибаккатин-III-1,14-карбоната, полученного из соединения (8) (пример 2) путем силилирования в положение 7 в соответствии с тем, как описано J. Denis и др., J. Am. Chem. Soc., 100, 5917, 1988, растворяют в 60 мл толуола. К раствору добавляют 800 мг (4S,5R)-N-(трет-бутоксикарбонил)-2,2-диметил-4-изобутил-5- оксазолидинкарбоновой кислоты, 400 мг циклогексилкарбодиимида и 40 мг N,N-диметиламинопиридина. Реакционную смесь выдерживают при 80oC в течение двух часов, затем фильтруют и промывают водой; и органическую фазу концентрируют досуха. Остаток обрабатывают метанолом, содержащим 0,1% H2SO4, при 10oC. Метанольный раствор разбавляют водой и продукт экстрагируют этилацетатом; органическую фазу концентрируют досуха и остаток хроматографируют на силикагеле с элюированием ацетон/гексан 4:6. Получено 580 мг соединения (11), М+а m/z 827.
Пример 5 – Получение 10-деацетил-10-дегидро-14 – гидроксибаккатина-III (6)10-деацетил-14 – гидроксибаккатина-III (3 )суспендируют в 350 мл метанола и добавляют 65 г Cu(OAc)2. Суспензию выдерживают при перемешивании при комнатной температуре в течение 120 ч. Соли отфильтровывают, раствор выпаривают досуха, и остаток хроматографируют на 100 г силикагеля с элюированием смесью гексан/этилацетат 6:4. После кристаллизации из лигроина получено 9,3 г соединения (6), М+а m/z 558.
Пример 6 – Получение 10-деацетил-10-дегидроцефаломаннина (7)0,4 г 10-деацетилцефаломаннина (J.L. Laughlin и др., J. Nat. Prod. 44, 312, 1981) растворяют в 5 мл MeOH и добавляют 600 г Cu(OAc)2. Реакционную смесь выдерживают при перемешивании при комнатной температуре в течение 54 ч. После элиминирования солей для фильтрования раствор соли отфильтровывают, раствор выпаривают досуха и хроматографируют на силикагеле (10 г) с использованием смеси гексан/этилацетат 1:1 как элюент. Получено 220 мг соединения (7), М+а m/z 829. Пример 7 – Получение 7-триэтилсилил-14 – гидpoкcибaккатина-III (4)500 мг 7-триэтилсилил-10-деацетилбаккатина III, полученного в соответствии с методом J. Denis и др., J. Am. Chem. Soc., 100, 5917, 1988, растворяют в 15 мл смеси этилацетат/хлористый метилен 9:1. К раствору добавляют 10 г MnO2, оставляют суспензию при комнатной температуре при перемешивании на 24 ч. После фильтрования раствор выпаривают досуха и остаток хроматографируют на силикагеле (20 г) с элюированием смесью гексан/этилацетат 8:2. Получено 310 мг 7-триэтилсилил-10-деацетил-13-дегидро-14 – гидроксибаккатина-III (M+ а m/z 672).
300 мг этого продукта растворяют в 2 мл пиридина. К раствору добавляют 910 мг Ac2O. Через 16 ч реакционную смесь выливают на лед и затем экстрагируют этилацетатом. Органическую фазу промывают разбавленной HCl и затем водой до нейтральности. После выпаривания растворителя остаток кристаллизуют из эфира (220 мг, М+а m/z 756). Твердое вещество растворяют в 10 мл безводного ТГФ (тетрагидрофурана); к раствору добавляют 160 мкл бис(2-метоксиэтокси)алюминийгидрида (65% раствор). Через примерно 10 мин добавляют 10 мл насыщенного раствора NH4Cl, затем экстрагируют этилацетатом. Органическую фазу выпаривают досуха. Остаток очищают на силикагеле (15 г), элюируя смесью гексан-этилацетат 7:3. Получено 80 мг соединения (4), М+а 716.
Пример 8 – Получение метилового эфира (4S,5R)-N-капроил-2- (2,4-диметоксифенил)-4-изобутил-5-оксазолидинкарбоновой кислоты5 г метилового эфира N-капроил- – – изобутилизосерина растворяют в 200 мл смеси безводного ТГФ и бензола, и раствор обрабатывают 2 экв. диметилацеталя 2,4-диметоксибензальдегида в присутствии 120 мг п-толуолсульфоната пиридиния. Раствор кипятят с обратным холодильником в течение 1 ч. Растворитель перегоняют и остаток хроматографируют на силикагеле с элюированием основного вещества смесью этилацетат/гексан 8:2. После удаления в вакууме растворителя от фракций, содержащих требуемый изомер, остаток перекристаллизовывают из гексан/изопропиловый эфир. Получено 2,5 г соединения, имеющего т. пл. 98oC.
Пример 9 – Получение (4S,5R)-N-капроил-2-(2,4-диметоксифенил)- 4-изобутил-5-оксазолидинкарбоновой кислоты2 г соединения по примеру 8 суспендируют в 50 мл смеси метанола и воды (8: 2), содержащей 5 г K2CO3. Реакционную смесь оставляют при перемешивании до полного растворения производного изосерина. Реакционную смесь осторожно подкисляют до pH 5 при перемешивании, в присутствии этилацетата. Водную фазу отбрасывают, а органическую фазу сушат над сульфатом натрия и концентрируют досуха при низкой температуре в вакууме. Остаток растворяют в смеси толуол/хлористый метилен, и он готов для реакции с выбранными таксанами. Пример 10 – Получение 13-[(2R,3S)-3-капроиламино-2- гидрокси-3-изобутилпропаноил] -10-дегидро-10-деацетил-14 – гидроксибаккатин-III-1,14-карбоната (12)5 г 7-ТЭС-10-дегидробаккатин-III-1,14-карбоната растворяют в 100 мл смеси толуола и хлористого метилена в отношении 8:2, вместе с 6 г (4S,5R)-N-капроил-2-(2,4-диметоксифенил)-4-изобутил-5- оксазолидинкарбоновой кислоты. К реакционной смеси добавляют 500 мг 4-диметиламинопиридина и 2,5 г 1,3-дициклогексилкарбодиимида, а затем ее нагревают в течение 2 ч при мягком кипячении с обратным холодильником до тех пор, пока реагенты не исчезнут. Нерастворимые в среде соединения отфильтровывают и раствор концентрируют досуха. Остаток вносят в 50 мл метанол/HCl (0,01%) и реакционную смесь оставляют при комнатной температуре на 1 ч. Раствор подщелачивают до pH 5 и концентрируют досуха в вакууме, остаток хроматографируют на колонке с силикагелем при элюировании смесью хлористый метилен/метанол 98: 2. После кристаллизации из этилацетата получено 1,2 г соединения (12). Пример 11 – Раствор соединения (10) для парентерального применения Соединение 10 – 2 мг Cremophor EL – 175 мг Абсолютный спирт – Сколько требуется до 0,4 мл Пример 12 – Раствор соединения (II) для парентерального применения Соединение 11 – 2 мг Cremophor EL – 175 млАбсолютный спирт – Сколько требуется до 0,4 мл Пример 13 – Таблетки, содержащие соединение (10) Соединение 10 – 10 мг Поперечно-сшитая натрийкарбоксиметилцеллюлоза – 15 мг Лактоза (высушенная распылительной сушкой) – 41,5 мг Микрокристаллическая целлюлоза – 40 мг Коллоидный диоксид кремния – 0,5мг Стеарат магния – 1 мг Пример 14 – Таблетки, содержащие соединение (11) Соединение 11 – 10 мг Поперечно-сшитая натрийкарбоксиметилцеллюлоза – 15 мг Лактоза (высушенная распылительной сушкой) – 41,5 мг Микрокристаллическая целлюлоза – 40 мг Коллоидный диоксид кремния – 0,5 мг Стеарат магния – 1 мг Пример 15 – Капсулы, содержащие соединение (10) Соединение 10 – 10 мг Лактоза (высушенная распылительной сушкой) – 30 мг Микрокристаллическая целлюлоза – 48,5 мг Крахмал, предварительно переведенный в гель – 10 мг Стеарат магния – 1 мг Коллоидный диоксид кремния – 0,5 мг Пример 16 – Капсулы, содержащие соединение (11) Соединение 11 – 11 мг Лактоза (высушенная распылительной сушкой) – 30 мг Микрокристаллическая целлюлоза – 48,5 мг Крахмал, предварительно переведенный в гель – 10 мг Стеарат магния – 1 мг Коллоидный диоксид кремния – 0,5 мг Данные, касающиеся N-BOC-2-(2,4-диметоксифенил)-4-изобутил-1- оксазолидин-5-карбоновой кислоты ![]() Значения сигналов представлены в табл. 2 (химические сдвиги относительно к TMS). Формула изобретения
– гидроксибаккатина III формулы (1)![]() где R1 и R2 – атомы водорода, или R1-атом водорода и R2-гидроксильная группа, или OR1 и R2 вместе образуют циклическую карбонатную группу формулы ![]() R3 который может быть – или – ориентированным, является атомом водорода или алкилсилильной группой, предпочтительно триэтилсилилом (ТЭС);R4 – водород или остаток ![]() или изосериновый остаток формулы A ![]() где R’1 – прямая или разветвленная алкильная группа, содержащая один-пять атомов углерода, R’2 – прямая или разветвленная алкильная группа, содержащая один-пять атомов углерода, или трет-бутоксильная группа, при условии, что когда R2-H, R4 отличен от H и от изосеринового остатка формулы (A). 2. Соединение по п.1, выбранное из группы, состоящей из: 10-деацетил-10-дегидро-14 -гидроксибаккатина III; 10-деацетил-10-дегидроцефаломаннина; 10-деацетил-10-дегидро-14 -гидроксибаккатин-III-1,14-карбоната; 13-[(2R, 3S)-3-трет-бутоксикарбониламино-2-гидрокси-3-изобутилпропаноил] -10-деацетил-10-дегидро-14 -гидроксибаккатин-III-1,14-карбоната; 13-[(2R,3S)-3-капроиламино-2-гидрокси-3-изобутилпропаноил]-10-дегидро-10-деацетил-14 -гидроксибаккатин-III-1,14-карбоната.
3. Способ получения производных 10-деацетил-14 -гидроксибаккатина III по п.1, отличающийся тем, что соединения формулы ![]() где R1, R2, R3 и R4 имеют определенные выше значения, когда R2 = OH, или OR1 и R2 вместе образуют карбонатную группу и R4 = H, окисляют по положению 10 путем обработки солями меди (II), и необязательно снимают защиту по положению 7. 4. Способ получения соединений формулы B по п.3, в котором R2 = OH и R4 = H, отличающийся тем, что проводят селективное окисление 7-триалкилсилил-10-деацетилбаккатина III (или его 7-эпимера) по положению 13 и одновременное -гидроксилирование по положению 14 путем обработки диоксидом марганца, причем полученный 7-триалкилсилил-10-деацетил-13-дегидро-14 -гидроксибаккатин III (или его 7-эпимер)ацетилируют в положениях 10 и 14 и 7-триалкилсилил-13-дегидро-14 -гидрокси-14-ацетилбаккатин III (или его 7-эпимер) восстанавливают гидридами для получения соответствующего 13- -гидроксипроизводного.
5. Промежуточные соединения формулы ![]() ![]() где R’2 имеет описанное выше значение. 6. Фармацевтическая композиция, обладающая противоопухолевой активностью и содержащая в качестве активного ингредиента одно или несколько соединений формулы I по п.1 при R3 = H. 7. Фармацевтическая композиция по п.6, которую можно применять парентерально или перорально. 8. Соединения по пп.1 – 2 в качестве противоопухолевых средств. РИСУНКИ
|
||||||||||||||||||||||||||

-ГИДРОКСИБАККАТИНА III, СПОСОБ ИХ ПОЛУЧЕНИЯ, ПРОМЕЖУТОЧНЫЕ СОЕДИНЕНИЯ И ФАРМАЦЕВТИЧЕСКАЯ КОМПОЗИЦИЯ
– или 













+ 20 мM HEPES (N-2-гидроксиэтилпиперазин-N’-2-этансульфоновая кислота) + 2 мМ L-глутамина.
Соединения формулы 1 проявляют неожиданные преимущества в сравнении с паклитакселом на клеточных линиях, невосприимчивых к другим противоопухолевым веществам, таким как адриамицин или цисплатин. Различия между паклитакселом и этими продуктами даже более очевидны для моделей in vivo, таких как атимичная “голая” мышь с имплантатом опухоли человека. Более того, было обнаружено, что соединения по изобретению, в которых R’2 является алкильной или алкенильной группой, к удивлению, не обладают кардиотоксичной активностью, в отличие от таксола и его известных производных, и поэтому их можно выгодно использовать при лечении опухолей у пациентов с сердечными патологиями, которых нельзя лечить таксолом и его известными производными.
Продукты, являющиеся предметом изобретения, можно ввести в подходящие фармацевтические композиции для их применения как парентерально, так и перорально. Для внутривенного применения в основном используют смеси Chremoform L и этанола, полисорбаты или липосомные препараты, полученные при использовании природного или синтетического фосфатидилхолина или смесей природных фосфолипидов в присутствии холестерина.
Далее изобретение иллюстрируется следующими примерами.
Пример 1 – Получение 10-деацетил-10-дегидроксибаккатина III (5)






