Патент на изобретение №2152927
|
||||||||||||||||||||||||||
(54) АМИНОПРОИЗВОДНЫЕ, СПОСОБ ИНГИБИРОВАНИЯ СИНТЕЗА ОКСИДА АЗОТА, СПОСОБ СЕЛЕКТИВНОГО ИНГИБИРОВАНИЯ СИНТЕЗА ОКСИДА АЗОТА, ПРОДУЦИРУЕМОГО ИНДУЦИРУЕМОЙ NO-СИНТАЗОЙ, СПОСОБ СНИЖЕНИЯ УРОВНЯ ОКСИДА АЗОТА, ФАРМАЦЕВТИЧЕСКАЯ КОМПОЗИЦИЯ
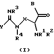
(57) Реферат: Изобретение относится к новым аминопроизводным формулы (I), где R1 – R4 – атомы водорода; X – алкилен с 1 – 6 атомами углерода; Y – низший алкил; B – NR5R11, где R5 – атом водорода, R11 выбран из 5 – 6-членного гетероциклического радикала, в котором один кольцевой член является углеродом и 1 – 4 члена – гетероатомами азота или серы, или их фармацевтически приемлемые соли, полезные как ингибиторы синтеза оксида азота. Предложены также способ ингибирования синтеза оксида азота, способ селективного ингибирования синтеза оксида азота, продуцируемого индуцируемой NO-синтазой, способ снижения уровня оксида азота и фармацевтическая композиция. 5 з.п. ф-лы, 1 табл.
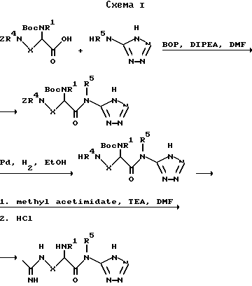
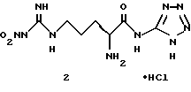
Изобретение относится к производным аминотетразола и их применению в терапии, в частности к их применению как ингибиторов синтазы оксида азота. Еще с 1980-х годов известно, что сосудистая релаксация, вызываемая ацетилхолином, зависит от присутствия эндотелия, и эта активность приписывается лабильному гуморальному фактору, названному выделяемым эндотелием расслабляющим фактором (EDRF). Активность оксида азота (NO) как вазодилататора хорошо известна свыше 100 лет, и NO является активным компонентом амилнитрита, глицерилтринитрита и других нитровазодилататоров. Последняя идентификация EDRF как NO совпала с открытием биохимического пути, по которому NO синтезируется из аминокислоты L-аргинина с помощью фермента синтазы NO. NO является эндогенным стимулятором растворимой гуанилатциклазы и в дополнение к эндотелий-зависимой релаксации вовлекается во множество биологических действий, включая цитотоксичность фагоцитарных клеток и коммуникацию клетка- к-клетке в центральной нервной системе (см. Moncada et al. Biochemical Pharmacology, 38, 1709-1715 (1989) and Moncada et al. Pharmacological Reviews, 43, 109-142 (1991). В настоящее время считается, что избыточное продуцирование NO может сказываться на многих состояниях, особенно состояниях, которые включают системную гипотензию, таких как токсический шок и терапия с применением некоторых цитокинов. Синтез NO из L-аргинина может быть ингибирован аналогом L- аргинина, L-N-монометил-аргинином (L-NMMA), и было предложено терапевтическое применение L-NMMA для лечения токсического шока и других типов системной гипотензии (WO 91/04024 and GB-A-2240041). Терапевтическое применение некоторых других ингибиторов синтазы NO, не считая L-NMMA, для той же цели также было предложено в WO 91/04024 и ЕР-А-0446699. Совсем недавно стало очевидным, что имеется, по меньшей мере, три типа синтазы NO, а именно следующие: (i) конститутивный, Ca++калмодулин-зависимый фермент, локализованный в эндотелии и выделяющий NO в ответ на рецепторную или физическую стимуляцию. (ii) конститутивный, Ca++/калмодулин- зависимый фермент, локализованный в головном мозге и выделяющий NO в ответ на рецепторную или физическую стимуляцию. (iii) Ca++ – независимый фермент, который индуцируется после активации сосудистой гладкой мускулатуры, макрофагов, эндотелиальных клеток и ряда других клеток эндотоксином и цитокинами. Однажды появившись, эта индуцируемая синтаза NO синтезирует NO в течение продолжительных периодов. NO, выделенный конститутивными ферментами, действует как механизм трансдукции, подчеркивающий различные физиологические реакции. NO, продуцированный индуцируемым ферментом, является цитотоксичной молекулой для опухолевых клеток и вторгающихся микроорганизмов. Представляется также, что вредные эффекты избыточного продуцирования NO, в частности патологическая вазодилатация и поражение ткани, могут быть в значительной степени результатом эффектов NO, синтезированного индуцируемой синтазой NO. Появляется все больше доказательств того, что NO может вовлекаться в дегенерацию хряща, которая имеет место при определенных состояниях, таких как артрит, а также хорошо известно, что синтез NO усиливается при ревматоидном артрите. Поэтому дополнительно к таким состояниям, при которых целесообразно ингибировать продуцирование NO из L-аргинина, относятся аутоиммунные и/или воспалительные состояния, поражающие суставы, например артрит, воспалительное заболевание кишечника, сердечно-сосудистая ишемия, диабет, гипералгезия (аллодиния), церебральная ишемия (как локальная ишемия, тромботическое поражение, так и обширная ишемия, вторичная в результате остановки сердца), другие расстройства центральной нервной системы, опосредуемые NO, и другие нарушения, опосредуемые NO. Кроме того, к состояниям, при которых целесообразно ингибировать продуцирование NO из L- аргинина, относится системная гипотензия, ассоциированная с септическим и/или токсическим шоком, вызываемым широким разнообразием агентов; терапия с применением цитокинов, таких как TNF, IL-1 и IL-2, и применение в качестве адъювантов для краткосрочной иммуносупрессии при трансплантации. Некоторые из ингибиторов синтазы NO, предложенные для терапевтического применения достаточно давно, и в частности L-NMMA, являются неизбирательными в том отношении, что они ингибируют как конститутивную, так и индуцируемую синтазу NO. Применение такого неизбирательного ингибитора синтазы NO требует большой осторожности при приеме с тем, чтобы избежать потенциально серьезных последствий слишком сильного ингибирования конститутивной синтазы NO, включающих гипертензию и возможный тромбоз и повреждение ткани. В частности, в случае терапевтического применения L-NMMA для лечения токсического шока рекомендуется постоянный контроль кровяного давления пациента в течение лечения. Таким образом, хотя неизбирательные ингибиторы синтазы NO имеют терапевтическую полезность, при условии принятия соответствующих предосторожностей, ингибиторы синтазы NO, которые являются избирательными в том смысле, что они ингибируют индуцируемую синтазу NO в значительно большей степени, чем конститутивную изоформу синтазы NO, были бы даже более терапевтически полезными и более удобными для применения. W094/12165, W094/14780, W093/13055, EP0446699A1 и патент США N 5132453 раскрывают соединения, которые ингибируют синтез оксида азота и преимущественно ингибируют индуцируемую изоформу синтазы оксида азота. Сообщения о них, таким образом, приводятся ссылкой во всей полноте, как описано здесь. В широком аспекте, настоящее изобретение направлено на ингибирование или модулирование синтеза оксида азота в организме субъекта, нуждающегося в таком ингибировании или модулировании, путем введения соединения, которое преимущественно ингибирует или модулирует индуцируемую изоформу синтазы оксида азота по сравнению с конститутивными изоформами синтазы оксида азота. Еще одна цель настоящего изобретения – снизить уровень оксида азота у субъекта, нуждающегося в таком снижении. Соединения настоящего изобретения представлены следующей химической формулой ![]() и их фармацевтически приемлемыми солями; где R1, R2 независимо выбраны из группы, состоящей из водорода, низшего алкила, низшего алкенила и низшего алкинила; R3, R4 независимо выбраны из группы, состоящей из водорода, низшего алкила, низшего алкенила, низшего алкинила, арила, COR7 или SO2R8, где R7 и R8 независимо выбраны из группы, состоящей из низшего алкила, низшего алкенила, низшего алкинила и арила; X независимо выбран из группы, состоящей из низшего алкила, низшего алкенила и низшего алкинила, причем все они могут быть замещены низшим алкилом, низшей алкоксигруппой, гидрокси, галогеном, трифторметилом, нитро, циано, аминогруппой; или X выбран из группы формулы -(CH2)pQ(CH2)r-, где p = 1-3, r=1-3 и Q – кислород, С= 0, S(0)t, где t = 0-2, или NR12, где R12 – водород или низший алкил, который может быть замещен низшим алкилом, низшей алкоксигруппой, гидрокси, галогеном, трифторметилом, нитро, циано, аминогруппой; или X выбран из группы формулы -(CH2)sA(CH2)v-, где s = 0-2, v = 0-2 и A – 3-6 -членный карбоциклический радикал, который может быть замещен низшим алкилом, низшей алкоксигруппой, гидрокси, галогеном, трифторметилом, нитро, циано, аминогруппой, где все эти радикалы могут быть замещены водородом, галогеном и низшим алкилом; Y выбран из группы, состоящей из низшего алкила, низшего алкенила и низшего алкинила, или Y может быть NR9R10, где R9 и R10 независимо выбраны из группы, состоящей из водорода, низшего алкила, низшего алкенила, низшего алкинила, нитро, амино, арила и низшего алкарила: и B-NR5R11, где R5 выбран из группы, состоящей из водорода, низшего алкила, низшего алкенила, низшего алкинила и арила и R11 выбран из 3-8 – членного гетероциклического радикала, в котором хотя бы один член кольца является водородом и в котором от 1 до около 4 членов являются гетероатомами, независимо выбранными из кислорода, азота и серы, а указанный гетероциклический радикал может быть замещен гидроксилом, низшей алкоксигруппой, низшим алкилом, галогеном, нитро, карбоксилом, S02R13, где R13 выбран из низшего алкила, низшей алкоксигруппы, NR1R2, амино, ацилокси, трифторметила, фенила и нафтила, которые могут быть замещенными галогеном, нитро, низшей алкоксигруппой и низшим алкилом. Цель настоящего изобретения – обеспечить соединения, которые полезны как ингибиторы синтазы оксида азота. Эти соединения также по меньшей мере в три раза интенсивнее ингибируют индуцируемую форму по сравнению с конститутивной формой. Преимущество настоящего изобретения в том, что эти соединения являются более избирательными, чем известные соединения. Цель настоящего изобретения – обеспечить соединения, которые также являются более избирательными, чем известные. Преимущество заключается также в том, что соединения настоящего изобретения имеют предпочтительные физические свойства по сравнению с известными соединениями. Например соединение, указанное в Примере 1, является кристаллическим продуктом так же, как и все его промежуточные соединения. Напротив, NIL, который представлен в WO 93/13055, в форме гидрохлоридной соли может быть выделен как бесцветный кристалл, но он имеет свойство разжижаться. Соединение быстро становится очень вязким липким маслом под воздействием влаги в обычном комнатном воздухе, что затрудняет обращение с ним. Настоящее изобретение охватывает соединения формулы (1) в форме солей, в частности аддитивных солей с кислотой. Подходящие соли включают соли, образуемые как с органическими, так и с неорганическими кислотами. Такие аддитивные соли с кислотой должны быть фармацевтически приемлемыми, хотя некоторые соли из фармацевтически неприемлемых солей могут быть полезными при получении и очистке соединения, о котором идет речь. Так, к предпочтительным солям относятся те, которые получены из гидрохлористой, гидробромистой, серной, лимонной, винной, фосфорной, молочной, пировиноградной, уксусной, янтарной, щавелевой, фумаровой, яблочной, щавелевоуксусной, метансульфоновой, этансульфоновой, п- толуолсульфоновой, бензолсульфоновой и изэтионовой кислот. Соли соединений формулы (1) могут быть получены реакцией соответствующего соединения в форме свободного основания с соответствующей кислотой. Хотя и возможно вводить соединения формулы (1) в виде самого химиката, целесообразно предоставлять их в виде фармацевтической композиции. Согласно следующему аспекту, настоящее изобретение предоставляет фармацевтическую композицию, содержащую соединение формулы (1) или его фармацевтически приемлемую соль или сольват вместе с одним или несколькими фармацевтически приемлемыми носителями для него и, возможно, одним или несколькими другими терапевтическими ингредиентами. Носитель (носители) должен быть “приемлемым” в том смысле, что он должен быть совместимым с другими ингредиентами композиции и не быть вредным для его реципиента. Композиции включают такие, которые пригодны для перорального, парентерального (включая подкожное, внутрикожное, внутримышечное, внутривенное и внутрисуставное), ректального и местного (включая кожное, защечное, подъязычное и внутриглазное) введения, хотя наиболее подходящий путь введения может зависеть, например, от состояния и болезни реципиента. Композиции могут быть представлены в удобной лекарственной форме и могут быть получены каким-либо из способов, хорошо известных в фармации. Все способы включают стадию объединения соединения формулы (1) или его фармацевтически приемлемой соли или сольвата (“активного ингредиента”) с носителем, который представляет собой один или несколько вспомогательных ингредиентов. В основном, композиции получают однородным и тщательным смешением активного ингредиента с жидкими носителями или тонкоизмельченными твердыми носителями или и теми, и другими, а затем формованием продукта в желаемую препаративную форму. Препаративные формы настоящего изобретения, пригодные для перорального введения, могут быть представлены в виде дискретных единиц, таких как капсулы, саше или таблетки, которые содержат заданное количество активного ингредиента; в виде порошка или гранул; раствора или суспензии в водной жидкости или неводной жидкости; или в виде жидкой эмульсии типа масло-в-воде или жидкой эмульсии типа вода-в-масле. Активный ингредиент может быть также представлен как болюс, электуарий или паста. Таблетка может быть получена прессованием или формованием, возможно, с одним или несколькими вспомогательными ингредиентами. Прессованные таблетки могут быть получены уплотнением в специальной машине активного ингредиента в свободно сыпучей форме, такой как порошок или гранулы, возможно, смешанные со связующим, смазкой, инертным разбавителем, смазывающим, поверхностно-активным или диспергирующим веществом. Формованные таблетки могут быть получены формованием в специальной машине смеси порошкообразного соединения, увлажненного инертным жидким разбавителем. Таблетки могут быть покрыты или могут иметь насечку и могут быть составлены так, чтобы обеспечить медленное или регулируемое выделение активного ингредиента из них. Препаративные лекарственные формы для парентерального введения включают водные и неводные стерильные инъекционные растворы, которые могут содержать антиоксиданты, буферы, бактериостаты и растворенные вещества, которые придают композиции изотоничность с кровью предполагаемого реципиента; и водные и неводные стерильные суспензии, которые могут содержать суспендирующие вещества и загустители. Препаративные формы могут быть представлены в контейнерах на одну или несколько доз, например в герметичных ампулах или пузырьках, и могут храниться в высушенном вымораживанием (лиофилизованном) состоянии, требующем только добавления стерильного жидкого носителя, например физиологического раствора, воды для инъекции, непосредственно перед использованием. Импровизированные инъекционные растворы и суспензии могут быть приготовлены из стерильных порошков, гранул и таблеток ранее описанного вида. Препаративные формы для ректального введения могут быть представлены как суппозиторий с обычными носителями, такими как какао-масло или полиэтиленгликоль. Препаративные формы для местного введения в рот, например за щеку или под язык, включают лепешки, содержащие активный ингредиент в ароматизированной основе, такой как сахароза, камедь акации или трагакант, и пастилки, содержащие активный ингредиент в основе, такой как желатин и глицерин или сахароза и камедь акации. Предпочтительными дозированными препаративными формами являются такие, которые содержат эффективную дозу, как изложено здесь ниже, или подходящую ее часть, активного ингредиента. Должно быть понятным, что в дополнение к перечисленным выше ингредиентам композиции этого изобретения могут содержать другие агенты, обычные для такого типа композиций, о которых идет речь, на пример те, которые предназначены для перорального введения могут содержать ароматизирующие вещества. Соединения изобретения могут быть введены перорально или путем инъекции в дозе от 0,001 до 2500 мг/кг в день. Пределы дозы для взрослых людей в основном от 0,005 мг до 10 г/день. Таблетки и другие представляемые лекарственные формы в виде дискретных единиц обычно содержат такое количество соединения изобретения, которое является эффективным в такой дозировке или в нескольких таких дозировках, на пример, в виде единиц, содержащих от 5 мг до 500 мг, обычно от около 10 мг до 200 мг. Соединения формулы (1) предпочтительно вводят перорально или путем инъекции (внутривенно или подкожно). Точное количество соединения, вводимого пациенту, должен определять лечащий врач. Однако применяемая доза обычно зависит от множества факторов, включая возраст и пол пациента, специфику болезни, требующей лечения, и ее тяжесть, а также путь введения может изменяться в зависимости от состояния и его тяжести. Как используется здесь, термин “низший алкил”, один или в сочетании, обозначает ациклический алкильный радикал, содержащий от 1 до около 10, предпочтительно от 1 до около 6 атомов углерода. Примерами таких радикалов являются метил, этил, н-бутил, изобутил, втор-бутил, трет-бутил, пентил, изоамил, гексил, октил и т.п. Термин “низший алкенил” относится к ненасыщенному ациклическому углеводородному радикалу, который содержит, по меньшей мере, одну двойную связь. Такие радикалы содержат от около 2 до около 10 атомов углерода, предпочтительно от около 2 до около 8 атомов углерода, а еще лучше от 2 до около 6 атомов углерода. Примерами подходящих алкенильных радикалов являются пропиленил, бутен -1- ил, изобутенил, пентенилен-1-ил, 2-2-метилбутен-1-ил, 3- метилбутен-1-ил, гексен-1- ил, гептен-1-ил и октен-1-ил и т.п. Термин “низший алкинил” относится к ненасыщенному ациклическому углеводородному радикалу, который содержит одну или несколько тройных связей, такие радикалы содержат от около 2 до около 10 атомов углерода, предпочтительно от около 2 до около 8 атомов углерода, а еще лучше от 2 до около 6 атомов углерода. Примерами подходящих алкинильных радикалов являются этинил, пропинил, бутин- 2-ил, пентин-2-ил, 3-метилбутин-1-ил, гексин-1-ил, гексин-2-ил, гексин-3-ил, 3,3-триметилбутин-1-ил и т.п. Термин “гетероциклический радикал” обозначает ненасыщенный гетероциклический углеводородный радикал с 3-6 атомами углерода, где от 1 до около 4 атомов углерода могут быть заменены азотом, кислородом или серой. “Гетероциклический радикал” может быть сконденсирован с ароматическим углеводородным радикалом. Подходящими примерами являются пирролил, пиридинил, пиразолил, триазолил, пиримидинил пиридазинил, оксазолил, тиазолил, имидазолил, индолил, тиофенил, фуранил, тетразолил, 2-пирролинил, 3-пирролинил, пирролидинил, 1,3-диоксоланил, 2-имидазолинил, имидазолидинил, 2- пиразолинил, пиразодилинил, изоксазолил, изотиазолил, 1,2,3- оксадиазолил, 1,2,3-триазолил, 1,3,4-тиадиазолил, 2H-пиранил, 4H-пиранил, пиперидинил, 1,4-диоксанил, морфолинил, 1,4-дитианил, тиоморфолинил, пиразинил, пиперазинил, 1,3,5-триазинил, 1,3,5- тритианил, бензо(b)тиофенил, бензимидазолил, хинолинил и т.п. Термин “арил” обозначает ароматический углеводородный радикал из 4 до около 16 атомов углерода, предпочтительно от 6 до около 12 атомов углерода, еще предпочтительнее от 6 до около 10 атомов углерода. Примерами подходящих ароматических углеводородных радикалов являются фенил, нафтил и т.п. Термин “циклоалкил” или “циклоалкенил” обозначает алициклический радикал из 3 до около 10 атомов углерода в кольце, а предпочтительно от 3 до около 6 атомов углерода. Примерами подходящих алициклических радикалов являются циклопропил, циклоприпиленил, циклобутил, циклопентил, циклогексил, 2-циклогексен-1-иленил, циклогексенил и т.п. Термин “алкокси”, один или в сочетании, обозначает радикал простого алкилового эфира, в котором термин алкил является таким, как определено выше, и наиболее предпочтительно содержит от 1 до около 4 атомов углерода. Примерами подходящих радикалов простого алкилового эфира являются метокси, этокси, н-пропокси, изопропокси, н-бутокси, изобутокси, втор-бутокси, трет-бутокси и т.п. Термин “галоген” обозначает фтор, хлор, бром или иод. Термин “пролекарство” относится к соединению, которое становится более активным in vivo. В том смысле, как используется здесь, ссылка на “лечение” пациента подразумевает и профилактику. Все ссылки, патенты или заявки, США или иностранные, цитируемые в заявке, приводятся для сведения, как если бы они описаны здесь. Следующую главную последовательность синтеза используют при осуществлении настоящего изобретения. ![]() Представляется, что специалист в этой области может без дальнейшей разработки, используя предшествующее описание, использовать настоящее изобретение в наиболее полном его объеме. Поэтому следующие предпочтительные специфические воплощения следует рассматривать только как иллюстративные и не ограничивающие остального из заявленного каким-либо образом. Все эксперименты проводят в атмосфере сухого азота или аргона. Все растворители и реагенты используют без дополнительной очистки, если не указано иное. Принятое на практике осуществление реакций включает добавление реакционной смеси к смеси нейтрального, или кислотного, или основного растворов и органического растворителя. Водный слой экстрагируют n раз (х) указанным органическим растворителем. Объединенные органические экстракты промывают n раз (х) указанными водными растворами, сушат над безводным Na2SO4, фильтруют, концентрируют в вакууме и очищают, как указано. Разделения путем колоночной хроматографии осуществляют в условиях, описанных Still. (Still, W. С.: Kahn, М.; Mitra, A. Rapid Chromatographic Technique for Prerarative Separation with Moderate Resolution. J. Org. Chem., 1978, 43, 2923-2925). Гидрохлоридные соли получают из 1N HCl, HCl в этаноле (EtOH), 2N в MeOH или 6N HCl в диоксане. Тонкослойные хроматограммы проводят на 0,25 мм пластинах из силикагеля 60 F254, предварительно покрытых ЕМ. Жидкостные хроматограммы высокого разрешения (ЖХВР) получают на С-8 или С-18 колонках для хроматографии с обращенной фазой, которые получают от различных поставщиков. Аналитические образцы сушат в аппарате Abderhalden при 56oC или при 78oC. 1H ЯРМ спектр получают на спектрометре General Electric QE-300 или Varian VXR 400 МГц с тетраметилсиланом в качестве внутреннего эталона. 13С ЯРМ спектр получают на спектрометре Varian при 125,8 МГц с тетраметилсиланом в качестве внутреннего эталона. Пример 1 ![]() 2S-амино-6-[(1-иминоэтил)амино]-N-(1H-тетразол-5-ил) гексанамид, гидрат, дигидрохлорид 1A К перемешиваемому раствору Boc-L-Lys (Cbz)-OH (5 г, 13,18 ммоль), 5-аминотетразол моногидрата (1,36 г, 13,18 ммоль) и N,N- диизопропилэтилендиамина (DIPEA) (5,1 г, 6,9 мл, 39,54 ммоль) в 20 мл диметилформамида (ДМФ) при окружающей температуре добавляют гексафторфосфат бензотриазол -1-ил-окси-трис-(диметиламино)фосфония (ВОР) (6,4 г, 14,49 ммоль). После перемешивания в течение 1 ч реакционную смесь концентрируют под вакуумом. Остаток распределяют между 60 мл этилацетата (EtOAc) и 50 мл воды. Слои разделяют. Органический слой промывают 50 мл 1 М раствора KHSO4 и 2 раза по 50 мл воды. Продукт начинает осаждаться, и суспензию концентрируют в вакууме, получая 9 г сырого соединения. После высушивания продукт очищают кипячением в метиленхлориде с последующим фильтрованием, получая 3,7 г 1A (62,7%). Соединение характеризуют 1H ЯРМ. 1B 1A (2 г, 4,5 ммоль) восстанавливают в условиях каталитического гидрирования с использованием Pd черни при 0,352 кг/см2 в 50% растворе EtOH/AcOH в течение 12 ч, получая 1,55 r (100%) 1B. Соединение характеризуют 1H ЯРМ. 1C К перемешиваемому раствору 1B (1,55 г, 4,15 ммоль) и гидрохлорида метилацетамидата (0,91 г, 8,31 ммоль) в 25 мл ДМФ добавляют триэтиламин (ТЭА) (1,26 г, 1,74 мл, 12,45 ммоль). После перемешивания в течение 16 ч при окружающей температуре реакционную смесь отфильтровывают от гидрохлорида триэтиламина и фильтрат концентрируют в вакууме. Остаток растворяют в 50% AcOH и лиофилизуют. Сырой продукт (2 г) очищают путем хроматографии с обращенной фазой на С-18 колонке, получая 0,9 г (52,3%) 1C. Продукт характеризуют 1H ЯРМ. 1 1C (0,9 г, 2,17 ммоль) растворяют в 30 мл уксусной кислоты и добавляют 3 мл 4 N HCI/диоксана. Реакционную смесь перемешивают в течение 20 мин при окружающей температуре, затем добавляют 150 мл простого этилового эфира. После 2 ч осадок отфильтровывают, промывают простым этиловым эфиром и высушивают, получая 0,78 г 1 (96%). Анал. рассч. для C9H18N8O, 2HCl, 1,25 H2O: С, 30,91; H, 6,48; N, 32,04; Cl, 20,27. Обнаружено: С, 31,64; H, 6,43; N, 32,19; Cl, 20,19. DSC т.пл. 144,9oC. Соединение примера 1 является также более избирательным, чем NIL. Соединение примера 1 является тонко кристаллическим продуктом так же, как и все его промежуточные соединения. Напротив, NIL является стеклом, что затрудняет обращение с ним. Пример 2 ![]() 2S-амино-5-[[амино(нитроимино)метил]амино]-N-(1H-тетразол-5- ил)пентанамид, гидрохлорид ![]() 2A Образец t-Boc нитроаргинина (5,0 г, 15,6 ммоль) и N- метилморфолин (1,6 г, 15,6 ммоль), растворенные в смеси метиленхлорида (CH2Cl2, 25 мл) и ДМФ (25 мл) охлаждают до -78oC. К этой перемешиваемой реакционной смеси в атмосфере азота (N2) добавляют изобутилхлорформиат (Aldrich, 2,2 г, 16,6 ммоль). Потом позволяют реакционной смеси подогреться до 0oC и поддерживают ее при этой температуре в течение 30 мин до того, как снова охлаждают до -78oC. Образец моногидрата 5-аминотетразола (Aldrich, 1,62 г, 15,8 ммоль) добавляют к реакционной смеси. Реакционной смеси позволяют нагреться до комнатной температуры и перемешивают в течение 48 ч. Весь растворитель удаляют при пониженном давлении и остаток распределяют между этилацетатом (EtOAc) и водой. Водный слой освобождают от всей воды и указанный в заголовке материал выделяют из сырого остаточного продукта (9,3 г) путем хроматографии. 2 Указанный в заголовке материал получают из 2A способом, описанным в Примере 1. Пример 3 ![]() 2S-амино-6-[(1-иминоэтил)амино] -N-(1H-имидазол-2- ил)-гексанамид, дигидрохлорид 3 Указанный в заголовке материал получают тем же способом, что и 1, исходя из 2-аминоимидазола. Пример 4 ![]() 2S-амино-6-[(1-иминоэтил)амино] -N-(1H-1,2,4-триазол-3- ил)-гексанамид, дигидрохлорид 4 Указанный в заголовке материал получают тем же способом, что и 1, исходя из 3-аминотриазола. Пример 5 ![]() 2S-амино-6-[(1-иминоэтил)амино] -N-(5- пиримидинил)гексанамид, гидрат, дигидрохлорид 5 Указанный в заголовке материал получают тем же способом, что и 1, исходя из 5-аминопиримидина. Пример 6 ![]() 2S-амино-6-[(1-иминоэтил)амино] -N-(1H-пиразол-3- ил)гексанамид, гидрат, дигидрохлорид 6 Указанный в заголовке материал получают тем же способом, что и 1, исходя из 3-аминопиразола. Пример 7 ![]() 2S-амино-6-[(1-иминоэтил)амино] -N-(тиазол-2- ил)гексанамид, дигидрохлорид 7 Указанный в заголовке материал получают тем же способом, что и 1, исходя из 2-аминотиазола. Биологические данные Активность перечисленных соединений как ингибиторов синтазы NO определяют в следующих анализах: Цитруллиновый анализ для синтазы оксида азота Активность синтазы оксида азота измеряют путем отслеживания превращения L-[2,3-3H] -аргинина в L-[2,3-3H]-цитруллин (1,2). Индуцируемую NOS человека (hiNOS), эндотелиальную конститутивную NOS человека (hecNOS) и нейронную конститутивную NOS человека (hncNOS), каждую, клонируют из РНК, извлеченной из ткани человека. Рекомбинантные ферменты экспрессируют в клетках насекомых с использованием бакуловирусного вектора. Активный фермент извлекают из клеточных экстрактов и частично очищают хроматографией DEAE-Сефароза (2). Фермент и ингибиторы добавляют до объема 50 мкл в 50 мМ Трис (pH 7,6) и инициируют реакцию добавлением 50 мкл раствора, содержащего 50 мМ Трис (pH 7,6), 2,0 мг/мл бычьего сывороточного альбумина, 2,0 мМ DTT, 4,0 мМ CaCl2, 20 мкМ FAD, 100 мкМ тетрагидробиоптерина, 0,4-2,0 мМ NADPH и 60 мкМ L-аргинина, содержащего 0,9 Ci L-[2,3-3H]-аргинина. Для конститутивной NOS вводят калмодулин до конечной концентрации 40-100 нМ. После инкубирования при 37oC в течение 15 мин реакцию прекращают добавлением 300 мкл холодного буфера, содержащего 10 мМ EGTA, 100 мМ HEPES (pH 5,5) и 1,0 мМ L-цитруллина. [3H]-Цитруллин отделяют хроматографией на катионообменной смоле Dowex 50W Х-8 и количественно определяют радиоактивность жидкостным сцинтилляционным счетчиком.
1. Bredt, D. S. and Snyder, S. H. (1990) Proc. Natl. Acad. Sci. U.S.A. 87, 682-685.
2. Misko, Т. P., Moore, W. M., Kasten, T. P., Nickols, G. A., Corbett, J. A. , Tilton, R. G., McDaniel, M. L, Williamson, J. R. and Currie, M. G. (1993) Eur. J. Pharm. 233, 119-125.
Соединения согласно изобретению являются нетоксичными, о чем свидетельствуют испытания, например, соединения примера I in vivo для 0.1, 0.3, 1.0, 3.0, 10.0 и 600.0 mpk, показавшие следующие результаты:Анализ: MTOL po для примера 1. 5/5 0.1 mpk 5/5 0.3 mpk 5/5 1.0 mpk Переносимая = 0.1 mpk Переносимая = 0.3 mpk Переносимая = 1.0 mpk 5/5 3.0 mpk 5/5 10.0 mpk 5/5 600 mpk Переносимая = 3.0 mpk Переносимая = 10.0 mpk Переносимая = 600 mpk Из предшествующего описания специалист в этой области легко может установить существенные характеристики этого изобретения и, не выходя за рамки его содержания и объема, может производить различные изменения и модификации изобретения, чтобы приспособить его для различных потребностей и условий. Формула изобретения
![]() в которой R1 – R4 – атомы водорода; X – алкилен, имеющий 1 – 6 атомов углерода; Y – низший алкил; B – NR5R11, где R5 – атом водорода, R11 выбран из 5 – 6-членного гетероциклического радикала, в котором по крайней мере один кольцевой член является углеродом и 1 – 4 члена – гетероатомами, независимо выбранными из азота и серы, или их фармацевтически приемлемые соли. 2. Аминопроизводные формулы (I) по п.1, где указанное соединение выбрано из группы: 2S-амино-6-[(1-иминоэтил)амино]-N-(1H-тетразол-5-ил)гексанамида, гидрата, дигидрохлорида; 2S-амино-6-[(1-иминоэтил)амино]-N-(1H-имидазол-2-ил)гексанамида, дигидрохлорида; 2S-амино-6-[(1-иминоэтил)амино]-N-(тиазол-2-ил)гексанамида, дигидрохлорида. 3. Способ ингибирования синтеза оксида азота у субъекта, нуждающегося в таком ингибировании, путем введения ингибитора, отличающийся тем, что в качестве ингибитора используют соединение по п.1 или 2 в эффективном количестве. 4. Способ селективного ингибирования синтеза оксида азота, продуцируемого индуцируемой NO-синтазой, относительно оксида азота, продуцируемого конститутивными формами NO-синтазы, у субъекта, нуждающегося в таком избирательном ингибировании, путем введения ингибитора, отличающийся тем, что в качестве ингибитора используют соединение по п.1 или 2 в эффективном количестве. 5. Способ снижения уровня оксида азота у субъекта, нуждающегося в этом, путем введения терапевтического ингредиента, отличающийся тем, что в качестве терапевтического ингредиента используют соединение по п.1 или 2 в эффективном количестве. 6. Фармацевтическая композиция, обладающая ингибирующим действием на синтазу оксида азота у субъекта, нуждающегося в таком ингибировании, содержащая терапевтический ингредиент вместе с одним или более фармацевтически приемлемыми носителями, отличающаяся тем, что в качестве в качестве терапевтического ингредиента она содержит соединение по п.1 или 2 в эффективном количестве. РИСУНКИ
MM4A – Досрочное прекращение действия патента СССР или патента Российской Федерации на изобретение из-за неуплаты в установленный срок пошлины за поддержание патента в силе
Дата прекращения действия патента: 09.11.2009
Извещение опубликовано: 20.09.2010 БИ: 26/2010
|
||||||||||||||||||||||||||











Ci L-[2,3-3H]-аргинина. Для конститутивной NOS вводят калмодулин до конечной концентрации 40-100 нМ. После инкубирования при 37oC в течение 15 мин реакцию прекращают добавлением 300 мкл холодного буфера, содержащего 10 мМ EGTA, 100 мМ HEPES (pH 5,5) и 1,0 мМ L-цитруллина. [3H]-Цитруллин отделяют хроматографией на катионообменной смоле Dowex 50W Х-8 и количественно определяют радиоактивность жидкостным сцинтилляционным счетчиком.
1. Bredt, D. S. and Snyder, S. H. (1990) Proc. Natl. Acad. Sci. U.S.A. 87, 682-685.
2. Misko, Т. P., Moore, W. M., Kasten, T. P., Nickols, G. A., Corbett, J. A. , Tilton, R. G., McDaniel, M. L, Williamson, J. R. and Currie, M. G. (1993) Eur. J. Pharm. 233, 119-125.
Соединения согласно изобретению являются нетоксичными, о чем свидетельствуют испытания, например, соединения примера I in vivo для 0.1, 0.3, 1.0, 3.0, 10.0 и 600.0 mpk, показавшие следующие результаты: