Патент на изобретение №2245886
|
|||||||||||||||||||||||||||||||||||||||||||||||||||||||||||||||||||||||
(54) НЕАРОМАТИЧЕСКИЙ ЭСТРОГЕННЫЙ СТЕРОИД, ФАРМАЦЕВТИЧЕСКАЯ КОМПОЗИЦИЯ
(57) Реферат:
Изобретение относится к новому типу селективных эстрогенов, имеющих стероидную структуру общей формулы I с неароматическим А-кольцом и свободной или блокированной гидроксильной группой при атоме углерода 3, в которой R1 – Н, (С1-С3)алкил или (С2-С3)ацил; R2 – Н,
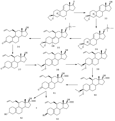
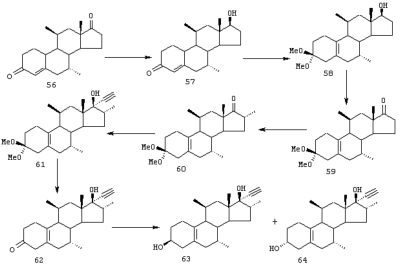
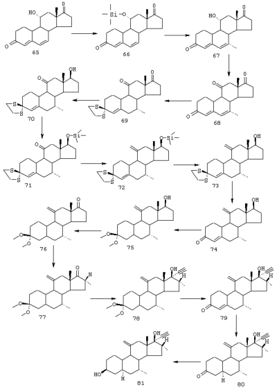
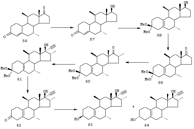
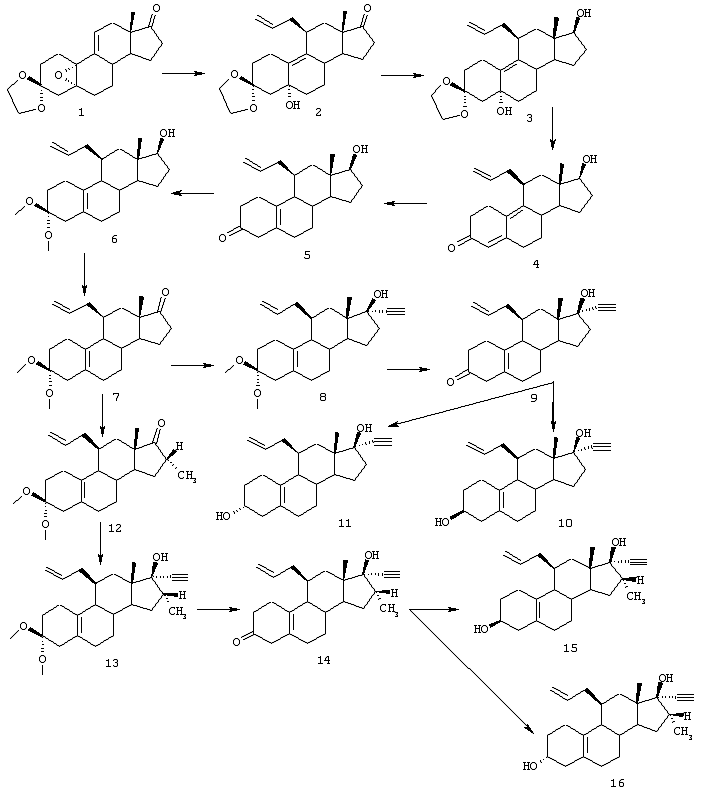
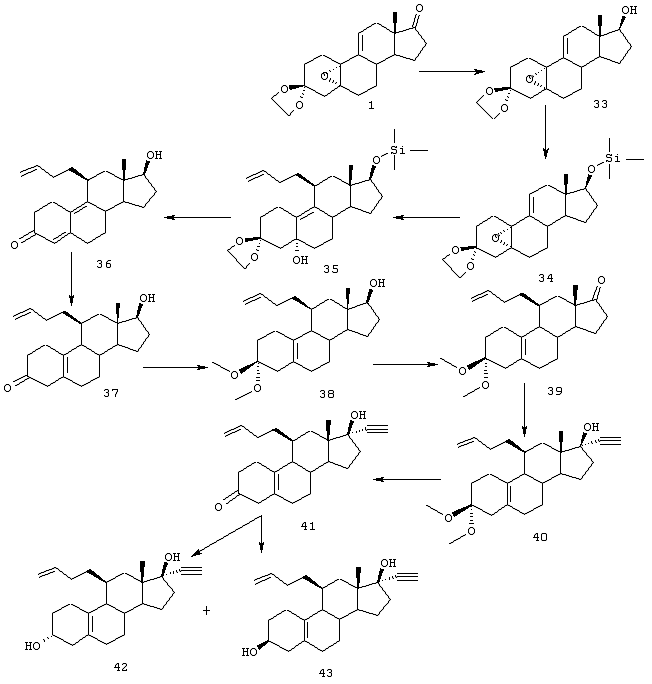
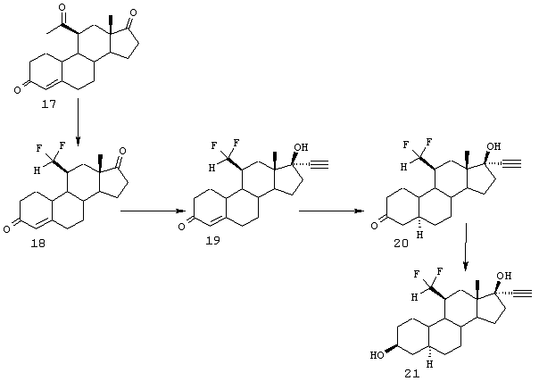
Данное изобретение относится к области эстрогенных соединений со стероидной структурой, имеющей неароматическое А-кольцо и свободную или блокированную гидроксильную группу при атоме углерода 3. Широко известно, что эстрогенные соединения полезны в контрацепции, также при лечении нарушений, связанных с эстроген-дефицитом, таких как симптомы менопауз и остеопороз. Известны из литературы многие эстрогенные соединения. Например, публикацией, дающей информацию по эстрогенным соединениям с неароматическим А-кольцом и свободной или блокированной гидроксильной группой при атоме углерода 3, является патент США 3413287. Другими документами, описывающими эстрогенное или гормональное воздействие неароматических стероидов с 3-гидроксил-замещенной группой и двойной связью в положении 4-5, являются патенты WO 94 18224, US 3465010, FR 2099385, US 3652606 и ЕР 145 493. Документом, в котором раскрыты неароматические стероиды с 3-кето-замещенной группой и двойной связью в положении 5-10, является патент США 3377366, Baran и др. Такие соединения описаны в целом как агенты, обладающие, кроме прочих свойств, эстрогенными или антиэстрогенными эффектами. В последнее время в области разработки лекарственных препаратов, имеющих сродство к рецепторам эстрогенов (ER), внимание сфокусировано на открытии двух особых типов рецепторов эстрогенов, обозначенных Данное изобретение касается эстрогенов, отвечающих общей формуле: Формула I в которой R1 обозначает Н, (C1-С3)алкил или (С2-С3)ацил; R2 обозначает Н, R3 обозначает Н или (C1-C4)алкил, (С2-С4)алкенил или (C2-С4)алкинил, каждый может находиться в положении 15 или 16 стероидного скелета; R4 обозначает Н или (C1-C5)алкил, (C2-C5)алкенил или (С2-C5)алкинил, каждый из которых необязательно замещен галогеном, предпочтителен этинил; R5 обозначает Н, (С1-С3)алкил или (С2-С3)ацил; R6 обозначает (C1-C5)алкил, (C2-C5)алкенил, (C2-C5)алкинил или (C1-C5)алкилиден, каждый из которых необязательно замещен галогеном или (C1-С3)алкилоксигруппой, предпочтителен аллил; предпочтительными галогенами в R6 являются фтор и хлор. Связи, обозначенные точками, необязательно являются двойными связями. Если R6 обозначает алкилиден, то обозначенная точками линия к R6 является дополнительной связью, присутствующей в алкилиденовом звене, а если R6 обозначает алкил или алкенил, связь от атома 11 к R6 является простой связью. Было обнаружено, что такие неароматические производные эстрадиола с заместителем в положении 11 стероидной структуры обладают селективным сродством к ER Соединения настоящего изобретения представляют собой усовершенствованные эстрогены, в том смысле, что их можно использовать при эстроген-зависимых нарушениях, таких как симптомы менопауз и остеопороз. Они также находят применение в контрацепции, а, кроме того, могут быть полезны при лечении или профилактике болезни Альцгеймера, опухоли молочной железы, доброкачественной гипертрофии предстательной железы и сердечно-сосудистых нарушений. Соединения данного изобретения особо подходят для лечения и профилактики нарушений, вызванных эстроген-дефицитом, при ослаблении связанных с эстрогеном побочных эффектов. Приведенные в данном описании термины имеют следующие значения: (С1-С5)алкил представляет разветвленную, неразветвленную или циклическую алкильную группу, имеющую 1-5 атомов углерода, например метил, этил, изопропил, 2-метилциклопропил, бутил, втор-бутил, трет-бутил и др. (C2-C5)алкенил представляет разветвленную, неразветвленную или циклическую алкенильную группу, имеющую от 2 до 5 атомов углерода, такую как этенил, 2-бутенил и др. (С2-С5)алкинил представляет разветвленную или неразветвленную алкинильную группу, имеющую 2-5 атомов углерода, такую как этинил и пропинил. (С2-С3)ацил представляет группу, имеющую 2-3 атома углерода и являющуюся производной из алкилкарбоновой кислоты, причем алкильная часть имеет значение, определенное выше. (C1-C5)алкилиден представляет разветвленную, неразветвленную или циклическую алкилиденовую группу, имеющую 1-5 атомов углерода, такую как метилен и этилиден. Из соединений приведенной выше общей формулы предпочтительны соединения, отвечающие общей формуле II: Формула II в которой R1 обозначает Н, (C1-С3)алкил, (С2-С3)ацил; R2 обозначает Н, R3 обозначает Н или (С1-С4)алкил в положении 16 стероидного скелета; R4 обозначает этинил; R5 обозначает Н или (C1-С3)алкил, (С2-С3)ацил; R6 обозначает (C1-C5)алкил, (С2-С5)алкенил, (C2-C5)алкинил, каждый из которых может быть замещен хлором или фтором. Если R6 обозначает (C1-C2)алкил, этенил или этинил, каждый из которых необязательно замещен хлором или фтором, то предпочтительно, чтобы R3 являлся метилом в положении 16 стероидного скелета. Более предпочтительны стероиды данного изобретения указанной формулы II, в которой R1 обозначает Н; R2 обозначает Н; R3 обозначает Н или 16 R4 обозначает этинил; R5 обозначает Н; R6 обозначает пропенил, аллил или бутенил. Соединения данного изобретения можно получить различными способами, известными в органической химии вообще и, главным образом, в химии стероидов. Смотри, например: Fried J. and Edwards J.A. “Organic-Reactions in Steroid. Chemistry”, Volumes I and II, Van Nostrand Reinhold Company, New York, 1972; и С.Djerassi “Steroid Reactions”, Holden-Day, Inc., San Francisco, 1963. Подходящим, например, является синтез стероидов с конкретными заместителями по положению С7 через сопряженное присоединение металлоорганических веществ к соответствующим 4,6-диен-3-оновым стероидам, обычно с получением 7 Настоящее изобретение касается также фармацевтической композиции, включающей стероидное соединение согласно изобретению в смеси с фармацевтически приемлемыми вспомогательными агентами, такими, которые описаны в работе Gennaro et al., Remington’s Pharmaceutical Sciences (18th ed., Mack publishing Company, 1990, главным образом Part 8: Pharmaceutical Preparations and Their Manufacture), которую можно использовать в качестве ссылки. Смесь стероидных соединений согласно изобретению и фармацевтически приемлемого вспомогательного агента можно прессовать в виде твердых стандартных дозированных форм, таких как гранулы, таблетки, или получать капсулы или суппозитории. Используя фармацевтически приемлемые соответствующие жидкости, данные соединения можно также применять в препаратах для инъекций в виде растворов, суспензий, эмульсий или спреев, например спреев для носа. Для получения стандартных дозированных форм, например таблеток, можно использовать обычные добавки, такие как наполнители, красители, полимерные связующие и подобные. Вообще можно использовать любую фармацевтически приемлемую добавку, которая не мешает действию активных соединений. Стероидные соединения согласно изобретению можно также включать в имплантаты, вагинальные кольца, пластыри, гели и любые другие препараты продолжительного действия. Подходящие носители, с которыми можно применять данные композиции, включают лактозу, крахмал, производные целлюлозы и подобные им вещества, или их смеси, используемые в подходящих количествах. Данное изобретение касается также применения стероидного соединения согласно изобретению для получения лекарственного препарата для лечения нарушений, связанных с эстроген-дефицитом, таких как симптомы пери- и/или постменопаузы. Таким образом, данное изобретение может рекомендоваться к таким медицинским показаниям, как симптомы пери- и/или постменопаузы (климактерические) и остеопороз, и именно к способу лечения путем HRT (гормонозаместительной терапии), включая введение пациенту (женщине) описанного выше соединения (в виде подходящей фармацевтической дозированной формы). Кроме того, данное изобретение касается применения стероидного соединения данного изобретения в качестве активного вещества в производстве лекарственного препарата с контрацептивной активностью. Таким образом, данное изобретение может применяться при контрацепции, а именно в способе контрацепции, включающем введение пациенту (женщине или самке животного) гестагена и эстрогена, как это принято в данной области, причем эстроген представляет собой описанное выше соединение (в виде подходящей фармацевтической дозированной формы). В заключение, данное изобретение касается применения указанного стероидного соединения для получения лекарственного препарата, обладающего селективной эстрогенной активностью, который мог бы найти широкое применение в области гормонозаместительной терапии (HRT). Дозированные количества настоящих стероидов находятся в диапазоне, обычном для эстрадиолов, примерно от 0,01 до 10 мг на прием. Ниже данное изобретение иллюстрируется с помощью некоторых примеров, не имеющих ограничительного характера, и соответствующих схем формул. ПРИМЕР 1 Синтез соединений (3 Соединение 2 К раствору 17,3 г CuI и 3,84 г LiCl в 250 мл ТГФ добавляют при -70°С 90,6 мл 1М раствора аллилмагнийбромида в диэтиловом эфире. После перемешивания еще в течение 20 мин добавляют 11,4 мл триметилхлорсилана, а затем раствор 7,5 г стероида 1 в 100 мл ТГФ. Температуру реакционной смеси все время поддерживают ниже -60°С. После перемешивания в течение 1 час. реакционную смесь гасят, выливая в насыщенный водный раствор NH4C1. Продукт экстрагируют этилацетатом и затем очищают способом колоночной хроматографии, получая 6,25 г 2 в виде бесцветного масла. ЯМР: 5,20 (м, СН, аллил), 5,0 (СН2, аллил), 3,04 (м, Н11). 3 К раствору 9,6 г 2 в смеси 100 мл метанола и 30 мл метиленхлорида, содержащему 800 мг NaOH, добавляют 0,4 г боргидрида натрия при 0-5°С. После перемешивания в течение 1,5 ч реакция завершается и смесь обрабатывают 20 мл ацетона в течение 0,5 ч. Затем реакционную смесь выливают в воду и экстрагируют этилацетатом, получая 9,5 г 3. ЯМР: 3,59 (т, СНОН), 2,98 (м, Н11), 0,92 (с, СН3). Схема I 4 К раствору 9,5 г 3 в 100 мл ацетона добавляют 8 мл 6N НСl. После перемешивания в течение 2 ч смесь нейтрализуют при помощи NаНСО3 и концентрируют до небольшого объема, который разбавляют водой и экстрагируют этилацетатом. Это дает 8,2 г 4 в виде бесцветного аморфного вещества. ЯМР: 5,68 (м, Н4), 3,10 (м, Н11), 3,65 (м, СНОН). 5 Раствор 8,2 г 4 в 100 мл сухого ТГФ добавляют к 500 мл жидкого NH3 при -70°С. Данную смесь обрабатывают некоторым количеством металлического лития (примерно 500 мг), пока синее окрашивание реакционной смеси не будет сохраняться в течение, по меньшей мере, 15 мин. Реакционную смесь гасят, добавляя порцию NH4Cl. Остаток, который остается после выпаривания NН3, разбавляют водой и экстрагируют этилацетатом. Хроматографическая очистка дает 4,0 г 5 в виде бесцветного масла. Rf 0,55 (гептан/этилацетат = 1/1 об./об.). ЯМР: 2,80 (ab, CH2 при С4), 0,93 (с, СН3). 6 К раствору 4,0 г 5 в 80 мл метанола добавляют 6 мл триметилортоформиата, а затем 0,8 г толуолсульфоновой кислоты. После перемешивания в течение 2 ч выполняют кетализацию. Данную смесь обрабатывают 6 мл пиридина и концентрируют до небольшого объема. Остаток разбавляют водой и экстрагируют этилацетатом. Полученный остаток 4,7 г состоит из почти чистого 6; ТСХ: Rf 0,78 (гептан/этилацетат = 1/1 об./об.). ЯМР: 3,22, 3,25 (2×с, ОСН3). 7 К раствору 33 г 6 в 50 мл ацетона добавляют 6 г молекулярных сит (4А), а затем 3,2 г N-метилморфолин-N-оксида и 150 мг перрутената тетрапропиламмония. Смесь перемешивают в течение 1 ч. К реакционной смеси добавляют 5 г силикагеля, а затем 50 мл гептана и перемешивают еще 5 мин. Данную смесь фильтруют посредством высокоскоростной фильтрации и после частичного концентрирования помещают в этилацетат, промывают водой и концентрируют. Остаток пропускают через короткую колонку с диоксидом кремния и получают 2,9 г 7; Rf 0,52 (гептан/этилацетат = 7/3). ЯМР: 1,02 (с, СН3). 8 Для этинилирования получают литийацетилид из дибромэтена и бутиллития. К раствору 0,74 мл 1,2-дибромэтена в 20 мл ТГФ добавляют при -70°С 11 мл 1,6М раствора BuLi в гексане. После перемешивания в течение 15 мин добавляют раствор 800 мг 7 в 2 мл ТГФ. Смеси дают нагреться до комнатной температуры в течение 15 мин и еще через 15 мин при комнатной температуре реакционную смесь гасят водой и продукт экстрагируют этилацетатом. Концентрирование с последующим пропусканием через короткую колонку с силикагелем дает 810 мг 8 в виде белого аморфного вещества. Rf 0,48 (гептан/этилацетат = 7/3), Rf исходного вещества 0,52. ЯМР: 2,61 (с, ацетилен). 9 К суспензии 3,2 г 8 в 60 мл этанола добавляют 0,16 г щавелевой кислоты в 16 мл воды. Смесь перемешивают в течение 2,5 ч, и она постепенно становится гомогенной. Реакционную смесь обрабатывают NаНСО3 и концентрируют до небольшого объема. Затем добавляют воду и экстрагируют продукт этилацетатом. Выделенный таким образом сырой продукт пропускают через короткую колонку с силикагелем и кристаллизуют из диизопропилового эфира, получая 2,3 г 9, т. пл. 136°С. Rf 0,66 (гептан/этилацетат = 1/1). ЯМР: 2,78 (ab, 2, Н4), 2,61 (с, ацетилен). 10, 11 К раствору 1 г 9 в 12 мл ТГФ добавляют 1,6 г три-трет-бутоксиалюминийгидрида лития. После перемешивания в течение 1 ч при комнатной температуре смесь обрабатывают водой и нейтрализуют, добавляя 2N НСl. Продукт экстрагируют этилацетатом и хроматографируют на силикагеле (гептан/этилацетат = 8/2 в качестве элюента). Это дает 0,56 г 3 12 К раствору гексаметилдисилазида лития (получен из 1,9 мл 1,6М раствора BuLi в гексане и 0,71 мл гексаметилдисилазана в 4 мл сухого ТГФ) добавляют при -40°С 1 г 7 и 0,7 мл DMPU (N,N’-диметилпропиленмочевина) в 5 мл ТГФ. Смесь перемешивают в течение 0,5 ч при -40°С и затем добавляют шприцем 225 мкл СН3I. После перемешивания в течение еще 0,5 ч при -40°С реакция завершается. Смесь разбавляют водой и экстрагируют этилацетатом. Хроматография выделенного таким образом сырого продукта дает 1,3 г 12, Rf 0,43 (гептан/этилацетат = 8/2). 13 Согласно методике, описанной для получения 8, 1,3 г 12 превращают в требуемое соединение 13, получая 1,2 г, Rf 0,46 (гептан/этилацетат = 7/3); Rf (12) 0,55. 14 К раствору 800 мг 13 в 20 мл этанола добавляют раствор 80 мг щавелевой кислоты в 5 мл воды. Смесь перемешивают 1 ч и затем нейтрализуют, добавляя NaHCO3. После разбавления водой и экстракции этилацетатом остается 0,7 г 14 в виде кристаллического вещества. Rf 0,47 (гептан/этилацетат = 7/3). 15, 16 К раствору 725 мг 14 в 20 мл смеси 1/1 этанола и ТГФ добавляют 130 мг боргидрида натрия. После перемешивания в течение 1 ч добавляют 2 мл ацетона для разложения избытка реагента. Через 15 мин смесь выливают в воду и продукт экстрагируют этилацетатом. Полученное таким образом вещество очищают хроматографически на силикагеле, используя смесь метилен-хлорид/ацетон или смесь гексан/этилацетат в качестве элюента. Это дает 300 мг 16 (3 ПРИМЕР 2 Синтез соединения (3 Схема II 18 К раствору 4 г известного альдегида 17 в 200 мл метиленхлорида добавляют 10 мл диметилсератрифторида. Смесь перемешивают в течение 48 ч при температуре окружающей среды, а затем выливают в воду со льдом и экстрагируют метиленхлоридом, с последующим промыванием NаНСО3. После концентрирования и хроматографии (SiO2 – гептан/этилацетат = 2/1) получают 2,5 г 18, т.пл. 138-139°С. ЯМР (СDСl3): 6,05 м.д. двойной триплет CHF2, 5,9 (с, Н4), 0,95 (с, СН3). 19 Газообразный ацетилен пропускают в течение 45 мин через дегазированную смесь 1,3 г третбутилата калия и 1 г 18 в 7 мл ТГФ и 2 мл трет-бутанола при 0°С. Затем смесь выливают в воду и экстрагируют этилацетатом. После промывания и концентрирования оставшееся вещество обрабатывают диизопропиловым эфиром, получая 0,85 г 19 в виде белого твердого вещества. Т.пл. 178-180°С. Rf 0,43 (гептан/этилацетат = 1/1). 20 К раствору 20 мг Li в 10 мл жидкого NН3 добавляют при -60°С раствор 300 мг 19 в 6 мл ТГФ. После перемешивания в течение 1 мин смесь обрабатывают 0,5 г NH4Cl. NH3 выпаривают, а остаток обрабатывают водой и экстрагируют этилацетатом. Полученное таким образом вещество очищают хроматографически, получая 140 мг 20. Т.пл. 224-225°С. Rf 0,64 (гептан/этилацетат = 7/3). 21 К раствору 25 мг LiAlH4 в 4 мл ТГФ добавляют при -60°С 85 мг 20 в 1 мл ТГФ. После перемешивания в течение 5 мин смесь быстро нагревают до комнатной температуры и обрабатывают, добавляя 45 мкл воды, 45 мкл 3N раствора NaOH и 140 мкл воды. Осадки отфильтровывают, а фильтрат переносят в этилацетат и промывают 2N НСl и водой. Остаток, остающийся после сушки и концентрирования, обрабатывают диизопропиловым эфиром и получают 50 мг 21. Т.пл. 168-169°С. Rf 0,30 (толуол/этилацетат = 7/3). ЯМР: 3,6 м.д. СНОН, 2,65 (СН ацетилен), 6,0 (двойной триплет CHF2). ПРИМЕР 3 Синтез соединений (3 23 К раствору 4,95 г 11 Схема III 24 Раствор 4 г 23 в смеси 30 мл ТГФ и 30 мл метанола обрабатывают 0,1 мл 4N NaOH и затем 0,23 г NaBH4. После перемешивания в течение 1 ч реакционную смесь выливают в воду и экстрагируют этилацетатом. Сырое вещество фильтруют через короткую колонку с силикагелем, получая 3,8 г 24. Rf 0,26 (гептан/этилацетат = 7/3). Rf (23) 0,33. 25 К раствору 3,8 г 24 в смеси 40 мл ТГФ и 230 мл жидкого NН3 добавляют при -33°С 5 г Li. Смесь перемешивают в течение 5 ч. Затем избыток лития убирают посредством обработки 45 мл этанола. Аммиаку дают испариться, а остаток разбавляют водой и экстрагируют этилацетатом. После сушки и концентрирования получают 3,7 г сырого 1,2,5 (10)диенолэфира. Его растворяют в 30 мл ацетона и добавляют 3 мл 6N НСl. После перемешивания в течение 3 ч смесь нейтрализуют NаНСО3, затем разбавляют водой и экстрагируют этилацетатом, получая 2,8 г 25. Rf 0,10 (гептан/этилацетат = 4/6). 26 Раствор 0,84 г 25 в смеси 30 мл жидкого NН3 и 6 мл ТГФ обрабатывают при -60°С небольшими кусочками лития до тех пор, пока синее окрашивание реакционной смеси не будет сохраняться в течение, по меньшей мере, 5 мин. Затем избыток реагента убирают, добавляя небольшое количество NH4Cl, и выпаривают NН3. Остаток вещества разбавляют водой и экстрагируют этилацетатом. Концентрирование раствора дает 0,80 г практически чистого вещества; Rf 0,39 (гептан/этилацетат = 1/1), Rf (25) 0,24. 27 К раствору 0,8 г 26 в 8 мл дихлорметана добавляют 2,8 мл этиленгликоля, 2,5 мл триэтилортоформиата и 5 мг толуолсульфоновой кислоты. Смесь перемешивают в течение ночи, затем выливают в насыщенный раствор NаНСО3 и экстрагируют этилацетатом. Полученное таким образом сырое вещество очищают, пропуская через короткую колонку с силикагелем, получая 0,72 г 27. Rf 0,46 (гептан/этилацетат = 1/1), Rf (26) 0,38. 28 К раствору 0,72 г 27 в 15 мл ацетона добавляют 1 г молекулярных сит (4А), а затем 0,70 г N-метилморфолин-N-оксида и 30 мг перрутената тетрапропиламмония. Смесь перемешивают в течение 1 ч. К реакционной смеси добавляют 1 г силикагеля, затем 15 мл гептана и перемешивают еще 15 мин. Смесь фильтруют посредством высокоскоростной фильтрации и после частичного концентрирования помещают в этилацетат, промывают водой и концентрируют. Остаток пропускают через короткую колонку с диоксидом кремния и получают 0,59 г 28. Rf 0,62 (гептан/этилацетат = 1/1). 29 Для этинилирования получают литийацетилид из дибромэтена и бутиллития. К раствору 0,74 мл 1,2-дибромэтена в 20 мл ТГФ добавляют при -70°С 11 мл 1,6М раствора BuLi в гексане. После перемешивания в течение 15 мин добавляют раствор 590 мг 28 в 2 мл ТГФ. Смеси дают нагреться до комнатной температуры в течение 15 мин и еще через 15 мин при комнатной температуре реакционную смесь гасят водой и экстрагируют продукт этилацетатом. Концентрирование с последующим пропусканием через короткую колонку с силикагелем дает 430 мг 29 в виде белого аморфного вещества. Rf 0,11 (гептан/ацетон = 9/1), Rf исходного вещества 0,21. 30 К раствору 0,43 г 29 в 15 мл ацетона добавляют 1 мл 2N НСl. Смесь перемешивают в течение 2 ч и затем обрабатывают насыщенным водным раствором NаНСО3 с последующей экстракцией этилацетатом, получая 0,40 г по существу чистого 30; Rf 0,18 (гептан/ацетон = 7/3), Rf (29) 0,23. 31/32 К раствору 0,40 г 30 в 4 мл ТГФ и 4 мл этанола добавляют 30 мг боргидрида натрия. После перемешивания в течение 0,5 ч добавляют несколько капель ацетона для разложения избытка реагента. Еще через 15 мин перемешивания реакционную смесь выливают в воду и экстрагируют этилацетатом, полученное таким образом сырое вещество подвергают колоночной хроматографии, получая 80 мг 3 ПРИМЕР 4 Синтез соединений (3 Схема IV 33 Раствор 55 г стероида 1 в смеси 300 мл ТГФ и 300 мл метанола обрабатывают раствором 2,7 г боргидрида натрия в 30 мл воды (содержащей 3 мг NaOH). После перемешивания в течение 1 ч восстановление завершается, и избыток гидрида удаляют, добавляя 75 мл ацетона. После перемешивания еще в течение 1 ч реакционную смесь выливают в воду и экстрагируют этилацетатом. Концентрирование органической фазы дает 54 г 33, Rf 0,31 (гептан/этилацетат = 4/6), Rf исходного вещества 0,42. 34 К раствору 54 г 33 в 350 мл ДМФ добавляют 35 г имидазола, а затем 37 мл триметилсилилхлорида при -10°С. После перемешивания в течение 0,5 ч реакция завершается. Смесь выливают в 1,5 л воды и экстрагируют эфиром. Остаток, полученный после концентрирования органического вещества, растирают в 80% водном этаноле, получая 50 г чистого 34. Т.пл. 90-91°С, Rf 0,79 (гептан/этилацетат = 4/6), Rf исходного вещества 0,36. 35 К раствору бутенилмагнийбромида, полученному из 0,51 мл 4-бром-1-бутена и 119 мг Мg в 20 мл ТГФ, добавляют при -10°С 100 мг CuI. После перемешивания в течение 0,5 ч смесь охлаждают до -30°С и добавляют 1 г 34 в 5 мл ТГФ. Реакционной смеси дают нагреться до комнатной температуры примерно за 1 час. Затем добавляют 100 мл насыщенного водного раствора NH4Cl с последующей экстракцией этилацетатом. Хроматография дает 0,9 г 35. Rf 0,54 (гептан/этилацетат = 6/4), Rf исходного вещества 0,60. 36 К раствору 8,65 г 35 в 80 мл ацетона добавляют 2 мл 2N НСl. Смесь перемешивают в течение 2 ч, затем нейтрализуют насыщенным водным раствором NaHCO3, концентрируют до небольшого объема, разбавляют водой и далее экстрагируют этилацетатом. Полученное таким образом сырое вещество пропускают через короткую колонку с силикагелем, получая 5,3 г 36; Rf 0,18 (гептан/этилацетат = 7/3), Rf исходного вещества 0,51. 37 Небольшие кусочки металлического лития добавляют к раствору 5,3 г 36 в смеси 340 мл жидкого NН3, 110 мл ТГФ и 9 мл трет-бутанола при -70°С до тех пор, пока синее окрашивание реакционной смеси не будет сохраняться в течение 45 мин ± 350 мг). Избыток реагента убирают, добавляя NH4Cl. Аммиак выпаривают, а остаток разбавляют водой и экстрагируют этилацетатом. Полученное таким образом сырое вещество пропускают через короткую колонку с силикагелем, получая 3,8 г 37. Rf 0,46 (гептан/этилацетат = 6/4), Rf исходного вещества 0,22. 38 К раствору 3,3 г 37 в 60 мл метанола добавляют 5 мл триметилортоформиата и 0,3 г пара-толуолсульфоновой кислоты. После перемешивания при комнатной температуре в течение 1 ч смесь нейтрализуют, добавляя 1 мл пиридина. Данную смесь концентрируют до одной трети исходного объема, выливают в воду и экстрагируют этилацетатом, получая после хроматографической очистки 3,7 г 38. Rf 0,60 (гептан/этилацетат = 1/1), Rf исходного вещества 0,48. 39 К раствору 3,7 г 38 в 45 мл ацетона добавляют 5 г молекулярных сит (4А), а затем 3,6 г N-метилморфолин-N-оксида и 100 мг перрутената тетрапропиламмония. Смесь перемешивают в течение 1 ч. К реакционной смеси добавляют 5 г силикагеля, затем 100 мл гептана и перемешивают еще 5 мин. Смесь фильтруют посредством высокоскоростной фильтрации и после частичного концентрирования помещают в этилацетат, промывают водой и концентрируют. Остаток пропускают через короткую колонку с диоксидом кремния и получают 3,3 г 39. Rf 0,51 (гептан/этилацетат = 7/3), Rf исходного вещества 0,38. 40 Для этинилирования получают литийацетилид из дибромэтена и бутиллития. К раствору 0,74 мл 1,2-дибромэтена в 20 мл ТГФ добавляют при -70°С 11 мл 1,6М раствора BuLi в гексане. После перемешивания в течение 15 мин добавляют раствор 0,8 г 39 в 2 мл ТГФ. Смеси дают нагреться до комнатной температуры в течение 15 мин и еще через 15 мин при комнатной температуре реакционную смесь гасят водой и экстрагируют продукт этилацетатом. Концентрирование с последующим пропусканием через короткую колонку с силикагелем дает 0,96 г 40 в виде белого аморфного вещества. Rf 0,15 (гептан/ацетон = 95/5), Rf исходного вещества 0,30. 41 К раствору 0,95 г 40 в 20 мл этанола добавляют 0,6 г щавелевой кислоты в 3 мл воды. Смесь перемешивают в течение 1,5 ч. Реакционную смесь обрабатывают NаНСО3 и концентрируют до небольшого объема. Затем добавляют воду и экстрагируют продукт этилацетатом. Выделенный таким образом сырой продукт пропускают через короткую колонку с силикагелем, получая 0,55 г 41. Rf 0,33 (гептан/этилацетат = 7/3), Rf исходного вещества 0,40. 42/43 К раствору 0,55 г 41 в 4 мл ТГФ и 4 мл этанола добавляют 30 мг боргидрида натрия. После перемешивания в течение 0,5 ч добавляют несколько капель ацетона для разложения избытка реагента. После перемешивания еще в течение 15 мин реакционную смесь выливают в воду и экстрагируют этилацетатом, полученное таким образом сырое вещество подвергают колоночной хроматографии, получая 90 мг 3 ПРИМЕР 5 Синтез соединений (3 45 К раствору 4 г 44 в 35 мл метанола добавляют 12 мл триметилортоформиата, затем 0,3 г толуолсульфоновой кислоты. После перемешивания в течение 1 ч исходное вещество расходуется, и реакционную смесь нейтрализуют, добавляя 1 г NaHCO3, и концентрируют. Остаток разбавляют водой и экстрагируют этилацетатом. Хроматография сырого вещества дает 3,4 г 45. Rf 0,61 (гептан/этилацетат = 7/3), Rf исходного вещества 0,35. Схема V 46 К раствору 3,4 г 45 в 50 мл метанола добавляют 0,5 г NaOH. После перемешивания в течение 2 ч омыление завершается. Смесь концентрируют, разбавляют водой и экстрагируют этилацетатом, получая 3 г 46 в виде бесцветного масла. Rf 0,31 (гептан/этилацетат = 7/3), Rf исходного вещества 0,65. 47 К раствору 3,6 г 46 в 30 мл ДМФ добавляют 2,8 г имидазола, затем 2 г трет-бутилметилсилилхлорида. После перемешивания в течение 2 ч смесь выливают в воду и экстрагируют этилацетатом. Сырое вещество пропускают через короткую колонку с силикагелем, получая 3,8 г 47 в виде масла. Rf 0,70 (гептан/этилацетат = 7/3), Rf исходного вещества 0,61. 48 Раствор 9-BBN получают из 1,75 мл 1,5-циклооктадиена и 1,4 мл комплекса боран-диметилсульфоксид в 40 мл ТГФ. К нему добавляют 3,8 г 47 в 5 мл ТГФ. Смесь перемешивают 2 ч и затем гасят, осторожно добавляя воду (5 мл), а затем 10 мл 2N NaOH и 8 мл 30% H2O2. После энергичного перемешивания в течение 2 ч реакционную смесь еще разбавляют водой, экстрагируют этилацетатом и промывают 10% водным раствором Nа2SO3. После концентрирования и хроматографии выделяют 2,8 г 48. Rf 0,27 (гептан/этилацетат = 7/3), Rf исходного вещества 0,70. 49 Смесь 1 г 48 и 0,5 г тозилхлорида в 5 мл пиридина перемешивают в течение 5 ч при 0-5°С. Затем добавляют 1 мл воды и продолжают перемешивание в течение 15 мин. Реакционную смесь еще разбавляют водой, экстрагируют этилацетатом и сырой продукт очищают хроматографически, получая 1,1 г 49, т.пл. 120°С, Rf 0,57 (гептан/этилацетат = 7/3), Rf исходного вещества 0,30. 50 Раствор 400 мг 49 в 5 мл сухого 1М TBAF в ТГФ перемешивают в течение 5 ч, что приводит к образованию фторида и сопутствующему отщеплению силильной функции. Смесь выливают в воду и экстрагируют этилацетатом. Очистка способом хроматографии дает 185 мг 50, т.пл 161-162°С, Rf 0,35 (гептан/этилацетат = 7/3), Rf исходного вещества 0,53. 51 К раствору 180 мг 50 в 5 мл ацетона добавляют 0,5 г молекулярных сит (4А), а затем 200 мг N-метилморфолин-N-оксида и 10 мг перрутената тетрапропиламмония. Смесь перемешивают в течение 1 ч. Добавляют к реакционной смеси 0,5 г силикагеля, затем 10 мл гептана и перемешивают еще 5 мин. Смесь фильтруют посредством высокоскоростной фильтрации и после частичного концентрирования помещают в этилацетат, промывают водой и концентрируют, получая 150 мг 51, т.пл. 166°С, Rf 0,45 (гептан/этилацетат = 7/3), Rf исходного вещества 0,35. 52 Для этинилирования получают литийацетилид из дибромэтена и бутиллития. К раствору 0,30 мл 1,2-дибромэтена в 6 мл ТГФ добавляют при -70°С 4,5 мл 1,6М раствора BuLi в гексане. После перемешивания в течение 15 мин добавляют раствор 150 мг 51 в 1 мл ТГФ. Смеси дают нагреться до комнатной температуры в течение 15 мин и еще через 15 мин при комнатной температуре реакционную смесь гасят водой и экстрагируют продукт этилацетатом. Концентрирование и обработка гептаном дают 140 мг 52 в виде белого твердого вещества, т.пл.168°С, Rf 0,38 (гептан/ацетон = 95/5), Rf исходного вещества 0,40. 53 К раствору 145 мг 52 в 3 мл этанола и 1,5 мл ТГФ добавляют 0,2 г щавелевой кислоты в 3 мл воды. Смесь перемешивают в течение 1,5 ч. Реакционную смесь обрабатывают NаНСО3 и концентрируют до небольшого объема. Затем добавляют воду и экстрагируют продукт этилацетатом. Выделенный таким образом сырой продукт пропускают через короткую колонку с силикагелем, получая 125 мг 53. Rf 0,23 (гептан/этилацетат = 7/3), Rf исходного вещества 0,38. 54/55 К раствору 125 мг 53 в 2 мл ТГФ и 1 мл этанола добавляют 20 мг боргидрида натрия. Восстановление завершают через 0,5 ч. Смесь разбавляют водой и экстрагируют этилацетатом. Выделенный таким образом сырой продукт очищают, пропуская через колонку с обращенной фазой С-18, используя в качестве элюента смесь ацетонитрил-вода и получая 40 мг 3 ПРИМЕР 6 Соединения данного примера получают по схеме VI. 57 Раствор 80 мг боргидрида натрия и 112 мг гидроксида натрия в 12 мл метанола добавляют по капле при 0°С к раствору 7 58 К раствору 0,74 г 57 в 15 мл метанола и 1,1 мл триметилортоформиата добавляют 0,2 г пара-толуолсульфоновой кислоты. Смесь перемешивают в течение 2 ч. Затем добавляют 0,1 мл пиридина и выливают в воду. Продукт экстрагируют этилацетатом и очищают хроматографически на силикагеле, используя в качестве элюента смесь гептан/этилацетат и получая 0,59 г 3,3-диметилкеталя 58, Rf 0,47 (гептан/этилацетат = 6/4); ЯМР, Схема VI 59 К раствору 0,59 г стероида 58 в 10 мл ацетона последовательно добавляют 0,6 г N-метилморфолин-N-оксида и 40 мг перрутената тетрапропиламмония. После перемешивания в течение 1 ч добавляют 10 мл гептана и 1 г диоксида кремния. Смесь перемешивают еще 15 мин и затем фильтруют через целит, концентрируют и остаток пропускают через короткую колонку с диоксидом кремния, получая 0,56 г 59; Rf 0,55 (гептан/этилацетат = 6/4); ЯМР, 60 Гексаметилдисилазид лития получают, добавляя 1,24 мл 1,55М раствора BuLi в гексане при -40°С к раствору 0,44 мл бис-триметилсилиламина в 4 мл ТГФ. После перемешивания в течение 1/2 ч добавляют раствор 0,56 г 59 и 0,46 мл DMPU в 8 мл ТГФ. Перемешивание продолжают 45 мин при -40°С и затем добавляют 140 мкл метилйодида. После перемешивания в течение еще 30 мин алкилирование завершается. Смесь выливают в 40 мл насыщенного раствора NH4Cl и экстрагируют этилацетатом. Хроматографическая очистка дает 0,55 г 16 61 Получают литийацетилид, добавляя раствор 9,5 мл 1,55М BuLi в гексане к 0,60 мл 1,2-дибромэтана в 20 мл ТГФ при -60°С. После перемешивания в течение 1/2 ч добавляют раствор 0,55 г кетона 60 в 2 мл ТГФ и убирают охлаждение, чтобы смесь постепенно нагрелась до комнатной температуры. Затем добавляют воду и экстрагируют продукт этилацетатом. После хроматографической очистки получают 0,50 г 61; Rf 0,22 (гептан/этилацетат = 9/1), Rf исходного вещества 0,42; ЯМР, 62 К раствору 0,49 г 61 в 20 мл этанола добавляют 50 мг щавелевой кислоты в 3 мл воды. Смесь перемешивают в течение 4 ч. Реакционную смесь обрабатывают 5% водным раствором бикарбоната натрия, а продукт экстрагируют этилацетатом и пропускают через колонку с диоксидом кремния, удаляя примеси и получая 250 мг 62. Rf 0,40 (гептан/этилацетат = 6/4), Rf исходного вещества 0,49; ЯМР, 63/64 К раствору 240 мг 62 в 5 мл ТГФ добавляют 360 мг литий(трет-бутокси)3АlН. Смесь перемешивают в течение 1 ч и выливают в воду, продукт экстрагируют этилацетатом. Полученные таким образом изомерные спирты разделяют путем препаративной ВЭЖХ (обращенная фаза С18), используя градиент ацетонитрила в воде. Полученные после концентрирования элюента продукты кристаллизуют из смеси вода/этанол. Это дает 68 мг 3 ЯМР (63), ПРИМЕР 7 Соединения данного примера получают по схеме VII Схема VII 66 К раствору 10 г 11 67 К раствору 5,3 г 66 и 500 мг Cu(Oac)2 в 20 мл ТГФ добавляют по капле при -30°С 9,8 мл 1М метилмагнийхлорида в ТГФ. Смесь перемешивают в течение 1 ч и выливают в раствор 6 мл концентрированной серной кислоты в 300 мл воды и перемешивают в течение ночи. Продукт экстрагируют этилацетатом, сушат и концентрируют, получая 4,8 г твердого вещества, достаточно чистого для дальнейшего взаимодействия. ЯМР, 68 К раствору 4,8 г 67 и 6,6 г NMO (N-метилморфолин-N-оксид) в 100 мл ацетона добавляют 130 мг перрутената тетрапропиламмония. После перемешивания в течение 2 ч добавляют 2 г силикагеля, затем 100 мл гептана. Смесь перемешивают еще 1/2 ч и фильтруют через целит. Фильтрат концентрируют, а остаток обрабатывают диизопропиловым эфиром, получая 4 г практически чистого триона 68. ЯМР, 69 Смесь 3,5 г стероида 68, 1,3 мл этандитиола, 300 мг пара-толуолсульфоновой кислоты и 35 мл этанола кипятят с обратным холодильником в течение 1 ч. Реакционную смесь охлаждают до комнатной температуры и добавляют 80 мл холодного 0,5N NaOH. После перемешивания в течение 1 ч продукт фильтруют и промывают холодной водой. После сушки в вакууме при 50°С получают 4,6 г 69; ЯМР, 70 К раствору 4,0 г 69 в смеси 100 мл метанола и 50 мл метилен-хлорида добавляют при -20°С 450 мг NaBH4 небольшими порциями. После перемешивания в течение еще 1 ч восстановление завершается и реакционную смесь обрабатывают 5 мл ацетона, затем концентрируют до небольшого объема, разбавляют 100 мл воды и экстрагируют метиленхлоридом. После сушки и концентрирования получают 3,9 г по существу чистого 70; ЯМР, 71 Раствор 2,5 мл триметилсилилхлорида в 20 мл эфира добавляют по капле к смеси 4,7 г 70 и 2,6 г имидазола в 50 мл ДМФ при 0°С. После перемешивания в течение 1 ч реакционную смесь разбавляют ледяной водой и экстрагируют продукт этилацетатом. После сушки и концентрирования органической фазы остаток растирают с 80% водным этанолом на бане со льдом, фильтруют и сушат в вакууме при 50°С, получая 5,2 г 71; ЯМР, 73 Суспензию 4,4 г трет-бутоксида калия и 16,2 г метилтрифенилфосфонийбромида в 130 мл толуола нагревают при 100°С в течение 1/2 ч в атмосфере азота. Желтую смесь охлаждают до 50°С и добавляют раствор 4,6 г стероида 71 в 20 мл толуола. Реакционную смесь перемешивают еще 1 ч при 100°С, охлаждают и выливают в 500 мл ледяной воды. Продукт экстрагируют толуолом, промывают, сушат и концентрируют. Остаток хроматографируют на силикагеле толуолом, удаляя большую часть загрязнений. Полученный таким образом сырой продукт 72 (6,3 г) растворяют в 20 мл ТГФ и добавляют раствор 18 мл 1М TBAF в ТГФ. После перемешивания в течение 1/2 ч смесь разбавляют водой и экстрагируют этилацетатом. Полученный таким образом продукт очищают способом хроматографии, получая 4,7 г 73; т.пл. 177-180°С; ЯМР, 74 Раствор 2,45 г перйодной кислоты в смеси 12 мл воды и 12 мл метанола добавляют к раствору 4,7 г 73 в 40 мл метиленхлорида. Смесь перемешивают в течение 45 мин и затем разбавляют водой. Продукт экстрагируют метиленхлоридом. Органический слой промывают несколько раз 5% водным раствором тиосульфата натрия и водой, затем сушат и концентрируют. Остаток очищают способом колоночной хроматографии на силикагеле, получая 2,6 г 74; ЯМР, 75 Смесь 2,6 г 74, 7 мл триметилортоформиата, 480 мг паратолуолсульфоновой кислоты и 50 мл метанола перемешивают при комнатной температуре, контролируя реакцию способом ТСХ. Через 2,5 ч реакционную смесь выливают в насыщенный водный NaHCO3 и экстрагируют этилацетатом. После сушки и концентрирования в вакууме получают 3,1 г смеси 1/1 76 Сырой продукт 75 растворяют в 60 мл ацетона. Добавляют 3,7 г N-метилморфолин-N-оксида и 75 мг перрутената тетрапропил-аммония. Смесь перемешивают в течение 2 ч, затем добавляют 1 г силикагеля и 60 мл гептана. После перемешивания в течение 15 мин реакционную смесь фильтруют через целит и фильтрат концентрируют досуха. Остаток пропускают через короткую колонку с диоксидом кремния и получают 1,9 г кетона 76 в виде смеси 77 Раствор 500 мг 76 в 10 мл ТГФ и 0,4 мл DMPU добавляют по капле при -40°С к 1,6 мл раствора 1М Li-гексаметилдисилазида в 10 мл ТГФ. После перемешивания в течение еще 45 мин добавляют 120 мкл метилйодида. Перемешивание продолжают еще 1 ч при -20°С и затем реакционную смесь выливают в воду и экстрагируют продукт этилацетатом. Полученное после промывания, сушки и концентрирования органической фазы вещество пропускают через колонку с диоксидом кремния и получают 510 мг 16 78 Получают Li-ацетилид, добавляя по капле 7,1 мл 1,6М BuLi в гексане к 0,46 мл 1,2-дибромэтена в 10 мл ТГФ при -60°С. После перемешивания в течение 1/2 ч добавляют раствор 500 мг стероида 77 в 10 мл ТГФ и реакционную смесь перемешивают в течение 1/2 ч, за это время температура поднимается до комнатной. Затем добавляют воду и экстрагируют продукт этилацетатом. Полученное таким образом вещество пропускают через короткую колонку с диоксидом кремния и получают 540 мг 78 в виде смеси изомеров по двойной связи. ЯМР, 79 К раствору 440 мг 78 в 20 мл ацетона добавляют 4 мл 4N НСl. После перемешивания в течение 1 ч реакция завершается, и смесь выливают в насыщенный водный NаНСО3 и экстрагируют этилацетатом. После промывания, сушки и концентрирования получают 380 мг по существу чистого 79, который непосредственно используют на следующей стадии; ЯМР, 80 К раствору 280 мг 79 в смеси 30 мл жидкого NH3 и 10 мл ТГФ при -40°С добавляют небольшие кусочки Li-фольги, до тех пор пока синее окрашивание реакционной смеси не будет сохраняться в течение 15 мин. Затем небольшой избыток Li быстро гасят, добавляя твердый NH4Cl, и аммиаку дают испариться. К оставшемуся веществу добавляют 100 мл воды и смесь экстрагируют этилацетатом. Выделенное после промывания, сушки и концентрирования органическое вещество содержит почти чистый 80. Rf 0,57 (гептан/этилацетат = 6/4); ЯМР, 81 К раствору 160 мг 80 в 10 мл ТГФ добавляют при 0°С небольшими порциями LiAlH4, пока не завершится реакция. После этого добавляют 0,1 мл насыщенного водного Na2SO4, а затем некоторое количество твердого Na2SO4. Смесь перемешивают 15 мин и затем фильтруют через целит. Фильтрат концентрируют, а остаток очищают, пропуская через препаративную ВЭЖХ-колонку с обращенной фазой С-18 диоксидом кремния, используя в качестве элюента смесь ацетонитрил-вода и получая 55 мг 81, т.пл. 198-199°С; Rf 0,33 (гептан/этилацетат = 6/4), Rf исходного вещества 0,57. ЯМР, ПРИМЕР 8 Соединения исследуют на их активность к рецепторам эстрогенов в тестах на связывание и в тестах на трансактивацию. Определение конкурентного связывания с цитоплазматическим рецептором эстрогена человека из рекомбинантных клеток СНО используют для оценки относительного сродства (соотношение силы) исследуемого соединения к рецепторам эстрогена, присутствующим в цитозоле рекомбинантных клеток яичников китайского хомяка (СНО), постоянно трансфицируемых с рецептором эстрогена человека, по сравнению с эстрадиолом (E2). Цитозоль получают из рекомбинантных клеток СНО, постоянно трансфицируемых с рецептором эстрогена человека. Клеточная линия получена в Department of Biotechnology and Biochemistry (ВВС) (N.V.Organon) и известна под названием СНО-ER (2B1). Сравнительными соединениями являются этинилэстрадиол и эстриол. Антиэстрогенную активность соединений определяют в биологических исследованиях in vitro с рекомбинантными клетками яичников китайского хомяка (СНО), постоянно сотрансфицируемыми с Исследуемая среда: целые рекомбинантные клетки СНО, постоянно сотрансфицируемые с рецептором эстрогена человека, промотором окситоксина крыс и люциферазным репортерным геном. Клеточная линия продуцирована в Department of Biotechnology and Biochemistry (ВВС) (N.V.Organon) и известна под названием CHO-ERRO 2B1-1E9. Результаты представлены ниже в таблице 1. Данные выражены в процентах от эффекта сравнительного соединения в данном исследовании.
Формула изобретения
1. Неароматический эстрогенный стероид общей формулы I в которой R1 обозначает Н, (C1-С3)алкил, (С2-С3)ацил; R2 обозначает Н, R3 обозначает Н или (C1-C4) алкил в положении 16 стероидного скелета; R4 обозначает этинил; R5 обозначает Н или (C1-С3)алкил, (С2-С3)ацил; R6 обозначает (C1-C5)алкил, (C2-C5)алкенил, (C2-C5)алкинил, каждый из которых может быть замещен хлором или фтором, пунктирная линия означает необязательную двойную связь. 2. Неароматический эстрогенный стероид по п.1, отличающийся тем, что R1 обозначает Н; R2 обозначает Н; R3 обозначает Н, 16 3. Фармацевтическая композиция, обладающая антиэстрогенной активностью, включающая стероидное соединение по любому из предыдущих пунктов и фармацевтически приемлемые вспомогательные добавки. 4. Стероидное соединение по любому из пп.1-3 в производстве фармацевтической композиции, обладающей антиэстрогенной активностью.
MM4A Досрочное прекращение действия патента Российской Федерации на изобретение из-за неуплаты в установленный срок пошлины за поддержание патента в силе
Дата прекращения действия патента: 29.08.2005
Извещение опубликовано: 20.10.2006 БИ: 29/2006
|
|||||||||||||||||||||||||||||||||||||||||||||||||||||||||||||||||||||||

-(C1-C4)алкил, 
и ER
(Mosselman и др., FEBS Letters 392 (1996) 49-53, а также ЕР-А-0 798 378). Так как указанные рецепторы по-разному распространены в тканях человека, то обнаружение соединений, которые обладают селективным сродством к каждому из двух, является важным вкладом в данную область, т.к. делает возможным проведение более селективного лечения эстроген-дефицитных состояний с менее тяжелыми побочными эффектами, связанными с эстрогенами.

-4,5-9,11-диенонов, или кетализацией 3-кето-




: 3,60 (т, 1, 17

