Патент на изобретение №2245884
|
|||||||||||||||||||||||||||||||||||||||||||||||||||||||||||||||||||||||||||||||||||||||||||||||||||||||||||||||||||||||||||||||||||||||||||||||||||||||||||||||||||||||||||||||||||||||||||||||||||||||||||||||||||||||||||||||||||||||||||||||||||||||||||||||||||||||||||||||||||||||||||||||||||||||||||||||||||||||||||||||||||||||||||||||||||||||||||||||||||||||||||||||||||||||||||||||||||||||||||||||||||||||||||||||||||||||||||||||||||||||||||||||||||||||||||||||||||||||||||||||||||||||||||||||||||||||||||||||||||||||||||||||||||||||||||||||||||||||||||||||||||||||||||||||||||||||||||||||||||||||||||||||||||||||||||||||||||||||||||||||||||||||||||||||||||||||||||||||||||||||||||||||||||||||||||||||||||||||||||||||||||||||||||||||||||||||||||||||||||||||||||||||||||||||||||||||||||||||||||||||||||||||||||||||||||||||||||||||||||||||||||||||||||||||||||||||||||||||||||||||||||||||||||||||||||||||||||||||||||||||||||||||||||||||||||||||||||||||||||||||||||||||||||||||||||||||||||||||||||||||
(54) 7-АЦИЛАМИНОЦЕФАЛОСПОРИНЫ, ЗАМЕЩЕННЫЕ В ПОЛОЖЕНИИ 3 ЦИКЛИЧЕСКИМИ АМИНОГУАНИДИНОВЫМИ ГРУППАМИ
(57) Реферат:
Изобретение относится к органической химии, в частности к цефемовым соединениям, замещенным в положении 3 циклической аминогуанидиновой группой формулы I в которой W обозначает СН или N; V обозначает NO; R1 обозначает водород или (С1-С4)алкил, необязательно замещенный галогеном; R3 обозначает водород или остаток сложного эфира; R2 обозначает группу формулы где Х, R5, R6, R’6, R7 и Hal имеют значения, указанные в формуле изобретения, в свободном виде, в виде соли и/или сольвата, или, если такая форма может существовать, в виде внутренней соли, четвертичной соли или их гидратов, обладающие антимикробной активностью. Также описан способ их получения и фармацевтическая композиция, содержащая их. 5 с. и 8 з. п. ф-лы, 10 табл.
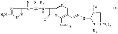
Настоящее изобретение относится к антибактериальным соединениям, которые представляют собой 7-ациламино-3-(циклический аминогуанидин)метиленцефалоспорины, включающие соединения, строение которых подобно строению 3-циклических аминогуанидинов, содержащие триаминометилидиновую группу вместо аминогуанидиновой группы. По одному из объектов настоящего изобретения предлагается соединение формулы в которой W обозначает СН или N, V обозначает СН или NO, R1 обозначает водородный атом, ацил, карбоксил или алкил, R3 обозначает водородный атом или остаток сложного эфира, R2 обозначает группу одной из формул или в которых X и Y каждый независимо друг от друга обозначает С2-С5алкилен или С2-С5алкенилен, который содержит одну двойную связь -С=С-, а в случае по меньшей мере С4алкенилена содержит две двойных связи -С=С-, R4 обозначает водородный атом или алкил, R5 обозначает водородный атом, алкил или аминоиминометил, R6 обозначает водородный атом, алкил, циклоалкил, аминогруппу, гидроксил, алкокси, гетероциклил или группу формулы -N=CHR8, в которой R8 обозначает алкил, арил или гетероциклил, или R5 и R6 совместно с азотным атомом, с которым они связаны, обозначает гетероциклил, R’6 обозначает алкил, R7 обозначает водородный атом или же R6 и R7 совместно с азотным атомом, с которым они связаны, образуют гетероциклил. В формуле I R3 обозначает водородный атом или остаток сложного эфира. Остатки сложных эфиров включают алкил, например незамещенный алкил или замещенный алкил, в частности замещенный арилом, таким как бензил, алкоксибензилом, таким как 4-метоксибензил, алкокси, таким как метоксиметил; алкилоксикарбонилокси; алкилом; алкокси, таким как глицилокси, фенилглицилокси, например глицилоксиметил, фенилглицилоксиметил; гетероциклилом, например 5-метил-2-оксо-1,3-диоксолен-4-ил; инданил, фталидил, алкоксикарбонилокси и остатки сложных эфиров, которые с группой СОО- образуют физиологически гидролизуемые и приемлемые сложные эфиры, например такие, которые в области цефалоспоринов известны среди гидролизующихся остатков сложных эфиров. Таким образом, соединение формулы I может находиться в форме физиологически гидролизуемого и приемлемого сложного эфира. Используемыми в настоящем описании терминами “физиологически гидролизуемых и приемлемых сложных эфиров” обозначают сложные эфиры, у которых группа СОО- этерифицирована и которые в физиологических условиях способны гидролизоваться с образованием кислоты, которая сама в дозах, предусмотренных для введения в организм, физиологически переносима. Следовательно, этот термин необходимо воспринимать как обозначающий обычные пролекарственные формы. Предпочтительным остатком сложного эфира может служить группа, которая в физиологических условиях способна легко гидролизоваться. В предпочтительном варианте такие сложные эфиры можно вводить в организм перорально. Парентеральное введение может быть показано в случае, если сам сложный эфир является действующим соединением или если в крови происходит гидролиз. У соединения формулы I: V в предпочтительном варианте обозначает NO. R1 в предпочтительном варианте обозначает водородный атом или алкил, например низший алкил, соответственно (низш.)алкил, включая, в частности, незамещенный алкил и замещенный алкил, например замещенный атомом галогена, карбоксилом, предпочтительно атомом галогена. R2 в предпочтительном варианте обозначает группу формулы а), а’), с), d), d’), e’) или f). R4 в предпочтительном варианте обозначает водородный атом или алкил, например (низш.)алкил. X и Y в предпочтительном варианте каждый независимо друг от друга обозначает алкилен или алкенилен, например С1-С4алкилен или С1-С4алкенилен, такой как С2-С3алкилен или С2-С3алкенилен, в частности включая незамещенный и замещенный алкилен или алкенилен, например замещенный атомом галогена, алкилом, например (низш.)алкилом; циклоалкилом, карбоксилом или алкилкарбонилом, предпочтительно алкилом, в частности включая гидроксиалкил, аминоалкил; карбоксилом и (низш.)алкилкарбонилом. R5 в предпочтительном варианте обозначает водородный атом, алкил, например включая незамещенный алкил и замещенный алкил, например замещенный гидроксилом, карбоксилом, аминогруппой, в частности включая (низш.)алкиламино- или ди(низш.)алкиламиногруппу; гетероциклилом, в частности включающим 5 или 6 кольцевых членов и включающим один или два гетероатома, например один, например выбранный из О, S и N; остатком эфира карбоновой, сульфоновой или фосфорной кислоты, например алкилового или арилового эфира, в частности у которого карбоксильный фрагмент содержит 1-12 углеродных атомов и у которого эфирный остаток содержит 1-8 углеродных атомов; или аминоиминометил, например формулы в которой каждый из R11 и R12 независимо друг от друга обозначает водородный атом или алкил, например (низш.)алкил, R6 в предпочтительном варианте обозначает водородный атом; амино-, алкиламино-, диалкиламиногруппу, например в которой алкильный фрагмент является незамещенным или замещенным, в частности замещенным гидроксилом, аминогруппой; ариламиногруппу; R6 обозначает, например, группу формулы –NR9R10, в которой каждый из R9 и R10 независимо друг от друга обозначает водородный атом, алкил, например включая гидроксиалкил, аминоалкил, арил; алкил, например включая незамещенный алкил и замещенный алкил, в частности замещенный гетероциклилом, например содержащим 5 или 6 кольцевых членов и один или два гетероатома, в частности выбранных из N, О и S; например включая незамещенный гетероциклил и замещенный гетероциклил, в частности замещенный гидроксилом; гидроксилом; алкокси, например включая незамещенный алкокси и замещенный алкокси, в частности замещенный гидроксилом, алкокси, аминогруппой; гуанидино, например аминогруппы которого являются незамещенными или замещенными, в частности концевая аминогруппа составляет фрагмент гетероциклила; амино-, алкиламино- и диалкиламиногруппой, например (низш.)алкиламино и (низш.)диалкиламиногруппой; алкилом, например (низш.)алкилом; гуанидино, любая аминогруппа которого является незамещенной или замещенной, в частности алкилом; гидроксил, циклоалкил, например включая незамещенный и замещенный циклоалкил, в частности замещенный аминогруппой; гетероциклил, например включая гетероциклил, содержащий 5 или 6 кольцевых членов и один или два гетероатома, в частности выбранных из N, О и S; например включая незамещенный гетероциклил и замещенный гетероциклил, в частности замещенный алкилом, например R6 обозначает группу формулы –NR9R10, в которой R9 и R10, совместно с азотным атомом, с которым они связаны, образуют гетероциклил; или группу формулы -N=CHR8, в которой R8 в предпочтительном варианте обозначает арил, гетероциклил, включая замещенный и незамещенный гетероциклил, например замещенный алкилом, в частности содержащим 5 или 6 кольцевых членов и один или два гетероатома, в частности выбранных из N, О и S; R5 и R6, если совместно с азотным атомом, с которым они связаны, образуют гетероциклил, в предпочтительном варианте обозначают алкилен например С2-С4алкилен, такой как С2-С3алкилен; R’6 в предпочтительном варианте обозначает алкил, например (низш.)алкил если R6 и R7 совместно с азотным атомом, с которым они связаны, образуют гетероциклил, гетероциклил, содержащий в предпочтительном варианте 5-7 кольцевых членов и один или два гетероатома, в частности выбранных из N, О и S. По другому объекту настоящего изобретения предлагается соединение формулы в которой W, R1, R3, R5 и R6 имеют значения, указанные выше. По еще одному объекту настоящего изобретения предлагается соединение формулы в которой W, R1, R3, R5 и R6 имеют значения, указанные выше, a m обозначает 1 или 2. По другому объекту настоящего изобретения предлагается соединение 7-{[(5-амино-1,2,4-тиадиазол-3-ил)-(Z)-(фторметоксиимино)ацетил]амино}-3-{[(3-этил-2-метилиминоимидазолидин-1-ил)имино]метил}-3-цефем-4-карбоновая кислота, например в форме гидрохлорида. Во всех случаях, если не указано иное, в настоящем описании понятие “соединение формулы I, Ia и Ib” охватывает соединение в любой форме, например в форме соли или в форме свободного основания. Таким образом, объем настоящего изобретения включает соединение в форме свободного основания или, когда, например, такие формы возможны, в форме соли, в частности в форме кислотно-аддитивной соли, внутренней соли, четвертичной соли и/или в форме сольвата, например в форме гидрата. Соль может быть фармацевтически приемлемой солью соединения формулы I, Ia или Ib, такой как металлическая соль или аминовая соль. Металлические соли включают, например, натриевые, калиевые, кальциевые, бариевые, цинковые, алюминиевые соли, предпочтительно натриевые и калиевые соли. Аминовые соли включают, например, триалкиламиновые, прокаиновые, дибензиламиновые и бензиламиновые соли. Соединения формул I, Ia и Ib в свободной форме можно превращать в солевые формы и наоборот. По еще одному объекту настоящего изобретения предлагаются соединения формул I, Ia и Ib в свободной форме и в форме солей, например кислотно-аддитивных солей или солей металлов, и соединения формул I, Ia и Ib, например в свободной форме или в форме солей, в виде сольватов. Во всех случаях, если не указано иное, в настоящем описании любая углеродсодержащая группа может включать до 20 углеродных атомов. Так, например, понятие “алкил”, в частности прямоцепочечный или разветвленный (C1-C20), охватывает, например, С1-С8алкилы, такие как С1-С6алкилы и алкилы более низкомолекулярного диапазона. К алкилам более низкомолекулярного диапазона относятся, например, С1-С4алкилы, такие как С1-С2алкилы. Циклоалкилы охватывают, например, С3-C7циклоалкилы, в частности С3-, С5– и С6циклоалкилы. К ацилам относятся алкилкарбонилы и арилкарбонилы, например C1-С12ацилы, в частности С1-С6ацилы, такие как С1-С4ацилы. Арилы включают фенил, нафтил, например фенил. К гетероциклилам относятся те гетероциклилы, которые содержат по 4-7, например по 5-6, кольцевых членов и по 1-3 гетероатома (азота, серы и/или кислорода, N, S, О), включая, например, конденсированный гетероциклил, в частности такой, как бензтиазолил. Понятием “аминогруппа” охватываются свободные аминогруппы, например в форме соли, алкиламино-, диалкиламино- и ариламиногрупп, в частности защищенные аминогруппы. К гуанидино относятся гуанидиногруппы, у которых 3 азотных атома не замещены или являются независимо друг от друга замещенными, например алкилами. Во всех случаях, если не указано иное, любая упомянутая в настоящем описании группа может быть незамещенной или замещенной и содержать, например, от одного до нескольких заместителей, в частности групп, которые для химии Атомы галогена включают атомы фтора, хлора, брома и иода. Объем настоящего изобретения включает соединения формулы I в любой изомерной форме, в которой они могут находиться. Так, например, группа -C=V-R1, в которой V-R1 обозначает N-O, может находиться в син- [(Z)] и анти-конфигурации [(Е)], а предпочтительно в син-конфигурации [(Z)]. Так, например, геометрические изомеры могут быть получены, в частности, во время процесса получения соединения формулы I, например благодаря наличию двойной связи –СХ’=СХ’’-, в которой X’ и X’’ обозначают группы, которые являются различными. Так, например, в ходе проведения процесса получения соединения формулы I можно ввести хиральный углеродный атом и можно получать соответствующие стереоизомерные варианты соединения формулы I, в частности смесь индивидуальных стереоизомеров, например рацематную, или чистые формы изостереоизомеров. Смеси изомеров можно разделять. Объем настоящего изобретения включает соединения формулы I в любой таутомерно форме. Так, например, соединение формулы I, в которой R2 обозначает группу формулы а), в которой R5 обозначает водородный атом или R2 обозначает группу формулы d), в которой R5 или R6 обозначает водородный атом, может находиться в таутомерной форме, в частности так, как представлено ниже: По другому объекту настоящего изобретения предлагается соединение формулы в которой Wp обозначает СН или N, Vp обозначает =СН- или =NO-, R1p обозначает водородный атом, ацил, карбоксил, незамещенный алкил или алкил, замещенный атомом галогена или карбоксилом, R3p обозначает водородный атом, образующий сложный эфир остаток или катион, R2p обозначает группу одной из формул в которых каждый из Xp и Yp, являющихся одинаковыми или различными, обозначает группу -(CH2)n-, в которой n обозначает число 2-5, одна или две группы СН2– необязательно замещены группой -СН=СН- и один или несколько водородных атомов необязательно замещены атомом галогена, алкилом, циклоалкилом, гидроксиалкилом, аминоалкилом, карбоксилом или этоксикарбонилом, R4p обозначает водородный атом, алкил или гидроксиалкил, R5p обозначает водородный атом, алкил, (поли)гидроксиалкил или аминоалкил, у которых алкильные группы необязательно дополнительно замещены функциональной группой, например остатком карбоновой кислоты, остатком сульфоновой кислоты или остатком фосфорной кислоты, R6p обозначает водородный атом, алкил, гидроксиалкил, аминоалкил, аминогруппу, гидроксил, алкоксиалкил, циклоалкил или группу формулы -N=CHR8p, в которой R8p обозначает арил или гетероарил, или группу –NR9pR10p, в которой R9p и R10p, которые одинаковы или различны, каждый обозначает водородный атом, алкил, гидроксиалкил или арил, или же они совместно с азотным атомом обозначают насыщенный или ненасыщенный гетероцикл с 5 или 6 кольцевыми членами с одним или двумя азотными и/или кислородными атомами, а R7p обозначает водородный атом или же R7p и R6p совместно с азотным атомом обозначают гетероцикл с 5-7 кольцевыми членами, содержащий один или два азотных и/или кислородных атома, при условии, что если Wp обозначает СН, Vp обозначает =N-O-, R1p обозначает водородный атом или метил, R2p обозначает группу формулы d), а R3p обозначает водородный атом, R5p и R6p одновременно обозначают группу, отличную от водородного атома или метила, в свободной форме или, когда такие формы возможны, в форме кислотно-аддитивных солей, внутренних солей, четвертичных солей или их гидратов. Соединение формулы I может быть получено, например, по описанной ниже методике и в примерах, а также, в частности, аналогично методу, который для химии По другому объекту настоящего изобретения предлагается способ получения соединения формулы I, включающий взаимодействие соединения формулы в которой W, V и R1 имеют значения, указанные выше, а
R2-NH2 III в которой R2 имеет значения, указанные выше. Так, например, необходимые (реакционноспособные) группы могут быть защищены защитными группами, в частности так, как это обычно делают в химии Так, например, соединение формулы I может быть получено следующим образом. В растворителе, который в реакционных условиях инертен, например в полярном растворителе, в частности в воде или смеси воды с низшим спиртом или диоксаном, или в диполярном апротонном растворителе, в частности в диметилформамиде, диметилсульфоксиде, диметилацетамиде, предпочтительно в диметилацетамиде, или смеси индивидуальных растворителей, как это, например, описано выше, в частности диметилацетамида со спиртом и водой, например при температуре от -20 до 50°С, можно проводить реакцию соединения формулы II с соединением формулы III, например при оптимальном значении рН, которое целесообразно регулировать, в частности, добавлением основания или кислоты, например минеральной или органической кислоты. Полученное соединение формулы I можно из реакционной смеси выделить, например аналогично известному методу, в частности добавлением в реакционную смесь осадителя или, например, хроматографией. При необходимости перед реакцией любую группу, например реакционноспособную группу, можно защитить, в частности с применением технологии защиты силильной группой в приемлемом растворителе, например в растворителе, который в реакционных условиях инертен, в частности в галоидированных углеводородах, например в дихлорметане, нитрилах, таких как ацетонитрил, простых эфирах, например в тетрагидрофуране, или диполярных апротонных растворителях, в частности в диметилформамиде, включая смесь индивидуальных растворителей, как это, например, описано выше. Защитные группы можно отщеплять, например, по методу удаления защитных групп, в частности по обычному методу. Исходные соединения известны или могут быть получены по обычному методу, как это, например, описано в примерах, или, в частности, аналогичным путем. Исходные соединения, например в свободной форме или в форме солей, в частности в форме гидрохлоридов, формулы или или в которой Y’ обозначает алкилен, например С2-С3алкилен, R’5 обозначает водородный атом, алкил или алкилиминогруппу, например незамещенный алкил, алкил, замещенный гидроксилом, карбоксилом, аминогруппой, например включая амино-, алкиламино- и диалкиламиногруппы; гетероциклилом, например содержащим 5 или 6 кольцевых членов и один или два гетероатома, выбранных из N, О и S, например N, в частности пиперидино или пирролидиновой группой; гуанидино; пиридилметилиминогруппу; R’’6 обозначает водородный атом, алкил, гидроксил, алкокси, циклоалкил, аминогруппу или гетероциклил, например алкиламино-, гидроксиалкиламино-, фениламиногруппу, незамещенный алкил, алкил, замещенный гетероциклилом, например содержащим 5 или 6 кольцевых членов и содержащим один или два гетероатома, выбранных из N, О и S, например N, в частности пиперазиновой, пиперидино, пиридиновой, морфолино, пиридоксальной группой, включая незамещенный гетероциклил и замещенный гетероциклил, например замещенный алкилом; аминогруппой, например включая амино-, алкиламино-, диалкиламино-, гидроксиалкиламино-, (ди)аминоалкиламиногруппы; гидроксилом, гидроксиалкокси, алкокси, например гидроксиалкокси, алкоксиалкокси, аминоалкоксиалкокси; гуанидино, например у которого аминогруппы не замещены или замещены, в частности алкилом, например гуанидино, у которого концевая аминогруппа составляет фрагмент гетероциклической кольцевой системы, в частности включающей 5-6 кольцевых членов и один или два гетероатома, выбранных из N, О и S, по меньшей мере N; алкилом, например (низш.)алкилом; гетероциклил, например включающий 5-6 кольцевых членов и включающий один или два гетероатома, выбранных, в частности, из N, О и S; С3-С7циклоалкил, например незамещенный циклоалкил или циклоалкил, замещенный аминогруппой; R’7 и R’8 каждый независимо друг от друга обозначает водородный атом, карбоксил, алкоксикарбонил или алкил, например (низш.)алкил, в частности незамещенный алкил или алкил, замещенный, например, гидроксилом; R’’’6 и R’’’’6 каждый независимо друг от друга обозначает алкил, например (низш.)алкил; или же R’’’6 и R’’’’6 совместно с азотным атомом, с которым они связаны, обозначают гетероциклил, например включающий 5-6 кольцевых членов и включающий один или два гетероатома, выбранных, в частности, из N, О и S, по меньшей мере один N; R’’5 обозначает алкил, например (низш.)алкил, или же R’’5 и R’’’6 совместно обозначают алкилен, например C2-С3алкилен; R’’’5 и R’’’’’6 каждый независимо друг от друга обозначает алкил, например (низш.)алкил; R’’’’’’6 и R’’7 совместно с азотным атомом, с которым они связаны, образуют гетероциклил, например включающий 5-6 кольцевых членов и один или два гетероатома, выбранных, в частности, из N, О и S, например N; R’4 и R’’’’’’’6 каждый независимо друг от друга обозначает алкил, например (низш.)алкил; а Hal– обозначает атом галогена, например хлора или брома; при условии, что соединение формулы IInt, в которой R’5, R’7 и R’8 обозначают водородные атомы, a R’’6 обозначает водородный атом, 2-(N-морфолино)этил, 3-(N,N-диметиламино)пропил, (2-гидроксиэтил)аминогруппу или 2-гидроксиэтил, исключается, являются новыми. По другому объекту настоящего изобретения предлагается соединение формулы IInt, IIInt, IIIInt, IVInt, VInt или VIInt, радикалы которого указаны выше, при вышеупомянутом условии. Соединения формулы I, которые в дальнейшем упоминаются как “действующие соединения по изобретению”, в дополнение, например, к низкой токсичности проявляют фармакологическое действие, поэтому могут быть использованы в качестве фармацевтических средств. Так, в частности, в тесте in vitro с агаровым разведением в соответствии с методом Национального комитета клинических лабораторных стандартов (НККЛС) 1993, документ М7-А3, том 13, №25: “Methods for dilution Antimicrobial Susceptibility Tests for Bacteria that Grow Aerobically – Third Edition, Approved Standart”, действующие соединения по изобретению проявляют антимикробное, например антибактериальное, действие против грам-отрицательных и грам-положительных бактерий, в частности таких грам-положительных бактерий, как Pseudomonas, например Pseudomonas aeruginosa; Escherichia, например Escherichia coli; Enterobacter, например Enterobacter cloacae; Klebsiella, например Klebsiella edwardsii, Klebsiella pneumoniae; Enterococcus, например Enterococcus faecalis; Moraxella, например Moraxella catarrhalis, Streptococcus, например Streptococcus pneumoniae, Streptococcus pyogenes, и Staphylococcus, например Staphylococcus aureus. В тесте с агаровым разведением эти действующие соединения проявляют МИК (мкг/мл) от примерно <0,0125 до примерно >25,6. Действующие соединения по изобретению неожиданно проявляют активность во всем спектре. Так, например, было установлено, что МИК (мкг/мл) соединения примера 48 в отношении, например, штаммов E.coli ATCC 35218 и АТСС 10536 составляет <0,0125 и в отношении штаммов Enterobacter cloacae равна <0,0125. Таким образом, действующие соединения по изобретению могут быть использованы для лечения болезней, вызванных микробами, например бактериями. По другому объекту настоящего изобретения предлагается соединение по п.1 формулы изобретения, предназначенное для использования в качестве фармацевтического, предпочтительно антимикробного, средства, такого как антибиотик. По еще одному объекту настоящего изобретения предлагается соединение по п.1 формулы изобретения, предназначенное для использования при приготовлении лекарственного средства для лечения болезней, вызванных микробами, например болезней, вызванных бактериями, относящимися к Pseudomonas, Escherichia, Enterobacter, Klebsiella, Enterococcus, Moraxella, Streptococcus, Staphylococcus. Кроме того, по объекту настоящего изобретения предлагается способ лечения болезней, вызванных микробами, который включает введение в организм субъекта, нуждающегося в таком лечении, эффективного количества соединения формулы I. Очевидно, что при таком показании соответствующая доза обычно варьируется в зависимости от, например, конкретно используемого соединения формулы I, субъекта, пути введения, а также природы и серьезности состояния, при котором проводят лечение. Однако обычно для достижения удовлетворительных результатов у большинства млекопитающих, например у человека, рекомендуемая ежедневная доза находится в интервале от примерно 0,05 до 5 г, например от 0,1 до примерно 2,5 г, действующего соединения по изобретению, вводимого, например, в виде дробных доз до четырех раз в день. Действующее соединение по изобретению можно вводить в организм по любому обычному пути, например перорально, в частности в форме таблеток или капсул, или парентерально, в форме растворов или суспензий для инъекций, в частности аналогично введению цефтазидима. Предпочтительным соединением по изобретению, предназначенным для использования в качестве антимикробного средства, является 7-{[(5-амино-1,2,4-тиадиазол-3-ил)-(Z)-(фторметоксиимино)ацетил]амино}-3-{[(3-этил-2-метилиминоимидазолидин1-ил)имино]метил}-3-цефем-4-карбоновая кислота (соединение примера 48). Было установлено, например, что МИК (мкг/мл) соединения примера 48 (тестировали в форме гидрохлорида) в отношении, в частности, штамма Klebsiella edwardsii ATCC 10896 составляет примерно 0,8, тогда как, например, МИК (мкг/мл), демонстрируемая цефтазидимом, равна примерно 1,6. Это показывает, следовательно, что при лечении болезней, вызванных микробами, например болезней, вызванных бактериями, предпочтительные соединения по изобретению можно вводить более крупным млекопитающим, например человеку, с применением таких же методов введения в аналогичных дозах, что и обычно применяемые для цефтазидима. Соединения формулы I можно вводить в форме фармацевтически приемлемой соли, например в форме кислотно-аддитивной соли или в форме основно-аддитивной соли, или в соответствующих свободных формах, необязательно в форме сольвата. Такие соли проявляют активность такого же порядка, как свободные формы. По настоящему изобретению предлагаются также фармацевтические композиции, включающие соединение формулы I в форме фармацевтически приемлемой соли или в свободной форме в сочетании с по меньшей мере одним фармацевтическим носителем или разбавителем. Такие композиции могут быть приготовлены обычным путем. Другими объектами настоящего изобретения являются: соединение формулы I для использования в качестве фармацевтического средства при лечении болезней, вызванных микробами, в частности бактериями, относящимися к Pseudomonas, Escherichia, Enterobacter, Klebsiella, Moraxella, Enterococcus, Streptococcus, Staphylococcus; применение соединения формулы I или применение фармацевтической композиции, включающей соединение формулы I, в качестве фармацевтического средства; способ лечения болезней, вызванных микробами, который включает введение субъекту, нуждающемуся в таком лечении, эффективного количества соединения формулы I. В следующих примерах, которые иллюстрируют сущность настоящего изобретения, температура во всех случаях указана в градусах Цельсия. Среди следующих аббревиатур трет-БОК обозначает N-трет-бутилоксикарбонил, БОК-ангидрид обозначает ди-трет-бутилдикарбонат. Пример 1 В смесь 0,2 г 1,2-диамино-4,5-дигидро-1Н-имидазола в форме дигидрохлорида, 0,73 мл 2н. НСl, 0,57 мл диметилацетамида и 0,57 мл воды добавляют 0,57 г амида N-(1,4,5а,6-тетрагидро-3-гидрокси-1,7-диоксо-3Н,7Н-азето[2,1-b]фуро[3,4-d][1,3]тиазин-6-ил)-2-(5-амино-1,2,4-тиадиазол-3-ил)-(Z)-2(фторметоксиимино)уксусной кислоты и образовавшуюся смесь при комнатной температуре перемешивают в течение примерно 3 ч. Полученную смесь при перемешивании выливают в 150 мл ацетонитрила. Получают осадок, который отфильтровывают, промывают и сушат. В виде желтого порошка в форме тригидрохлорида получают 7-{[(5-амино-1,2,4-тиадиазол-3-ил)-(Z)-(фторметоксиимино)ацетил]амино}-3-{[(2-амино-4,5-дигидро-1Н-имидазол-1-ил)имино]метил}-3-цефем-4-карбоновой кислоты. Для дальнейшей очистки полученное сырое соединение растворяют в воде, выливают в хроматографическую колонку (LiChroprep RP-18®, фирма Merck) и элюируют водой или водой/метанолом. Фракции, содержащие целевое соединение (определяют ВЭЖХ), объединяют и лиофилизируют. Аналогично примеру 1 получают соединения, представленные в приведенной ниже таблице 1 в виде примеров (Прим.) 2-83, которые являются соединениями формулы I, где V-R1 обозначает N-OCH2F; W имеет значения, указанные в таблице 1; R3 обозначает водородный атом; a R2 обозначает остаток соединения формулы а), где R5 и R6 имеют значения, указанные в таблице 1, а X обозначает –СН2СН2-; в форме соли, которая представлена в таблице 1.
Пример 84 Аналогично примеру 1 в форме гидрохлорида получают соединение формулы I, где V-R1 обозначает N-OCH2F; R3 обозначает –СН2-О-СО-С(СН3)3; W обозначает N; a R2 обозначает остаток соединения формулы а), где R5 обозначает –С2Н5, R6 обозначает СН3, а X обозначает –СН2СН2-. Аналогично примеру 1 соединения, представленные в приведенной ниже таблице 2 в виде примеров (Прим.) 85-90, которые являются соединениями формулы I, где W обозначает N; V-R1 обозначает N-OCH2F; R3 обозначает водородный атом; a R2 обозначает остаток соединения формулы а’), где R5, R6, R’6 и Hal имеют значения, указанные в таблице 2, а X обозначает –СН2СН2-; получают в форме соли, которая представлена в таблице 2.
Аналогично примеру 1 соединения, представленные в приведенной ниже таблице 3 в виде примеров (Прим.) 91-97, которые являются соединениями формулы I, где W обозначает N; V-R1 обозначает N-OCH2F; R3 обозначает водородный атом; a R2 обозначает остаток соединения формулы а), где R5, R6 и X имеют значения, указанные в таблице 3; получают в форме соли, которая представлена в таблице 3.
Аналогично примеру 1 соединения, представленные в приведенной ниже таблице 4 в виде примеров (Прим.) 98-100, которые являются соединениями формулы I, где V-R1 обозначает N-OH; R3 обозначает водородный атом; значения W указаны в таблице 4; a R2 обозначает остаток соединения формулы а), где R5 и R6 имеют значения, указанные в таблице 4, а X обозначает –СН2СН2-; получают в форме соли, которая представлена в таблице 4.
Аналогично примеру 1 соединения, представленные в приведенной ниже таблице 5 в виде примеров (Прим.) 101-115, которые являются соединениями формулы I, где V-R1 обозначает N-OCH2F; W обозначает N; R3 обозначает водородный атом; a R2 обозначает остаток соединения формулы d), где R5, R6 и Y имеют значения, указанные в таблице 5; получают в форме соли, которая представлена в таблице 5.
Аналогично примеру 1 соединения, представленные в приведенной ниже таблице 6 в виде примеров (Прим.) 116-118, которые являются соединениями формулы I, где V-R1 и W имеют значения, указанные в таблице 6; R3 обозначает водородный атом; a R2 обозначает остаток соединения формулы f), где R4 обозначает СН3, R6 имеет значения, указанные в таблице 6, а Y обозначает –СН2СН2-; получают в форме соли, которая представлена в таблице 6.
Пример 119 Аналогично примеру 1 в форме гидрохлорида получают соединение формулы I, где W обозначает N; V-R1 обозначает N-OCH2F; R3 обозначает водородный атом; a R2 обозначает остаток соединения формулы с), где R6 и R7 совместно с азотным атомом, с которым они связаны, обозначают группу формулы а X обозначает –СН2СН2-. Пример 120 Аналогично примеру 1 в форме дигидрохлорида получают соединение формулы I, где W обозначает N; V-R1 обозначает N-OCH2F; R3 обозначает водородный атом; a R2 обозначает остаток соединения формулы d’), где R5 и R6 обозначают водородные атомы. Замещенные 1,2-диамино-4,5-дигидро-1Н-имидазолы получают следующим образом. Пример А а. 5 г 1-бензилиденаминоимидазолидин-2-тиона суспендируют в 40 мл метанола и обрабатывают 1,7 мл метилиодида. Образовавшуюся смесь кипятят с обратным холодильником в течение примерно одного часа и выпаривают растворитель. В твердом виде в форме гидроиодида получают 1-бензилиденамино-2-метилтио-4,5-дигидро-1Н-имидазол, к которому добавляют 120 мл воды и 70 мл анионообменной смолы в хлоридной форме [Amberlite IRA-400 (Cl)®]. Смесь перемешивают при комнатной температуре в течение примерно 2 ч, фильтруют и лиофилизируют. В качестве лиофилизата в форме гидрохлорида получают 1-бензилиденамино-2-метилтио-4,5-дигидро-1Н-имидазол. б. 1 г 1-бензилиденамино-2-метилтио-2-имидазолина в гидрохлоридной форме в 10 мл метанола обрабатывают 0,33 мл NH3 (28%-ный в Н2О). Образовавшуюся смесь кипятят с обратным холодильником в течение примерно 5 ч и полученный осадок отфильтровывают. Из полученного фильтрата выпаривают растворитель. Полученный остаток обрабатывают ацетонитрилом. Выпавший осадок отфильтровывают и сушат. В форме гидрохлорида в виде твердого вещества получают 2-амино-1-бензилиденамино-4,5-дигидро-1Н-имидазол. в. Из смеси 0,89 г производного 2-амино-1-бензилиденамино-4,5-дигидро-1H-имидазола в форме гидрохлорида в 5,9 мл 2н. НСl перегонкой с водяным паром отгоняют бензиловый альдегид. Из оставшейся смеси выпаривают растворитель. В форме дигидрохлорида в виде твердого вещества получают 1,2-диамино-4,5-дигидро-1Н-имидазол. Пример Б Смесь 0,79 г 1-бензилиденамино-2-метилтио-4,5-дигидро-1Н-имидазола в форме гидрохлорида в 10 мл метанола с 0,18 мл гидразингидрата при комнатной температуре перемешивают в течение примерно 6 ч. Из образовавшейся смеси выпаривают растворитель и остаток обрабатывают ацетонитрилом. В осадок выпадает 1-бензилиденамино-2-гидразино-4,5-дигидро-1Н-имидазол, который отфильтровывают и сушат. Пример В а. 0,58 г 1-( б. Смесь 0,5 г в. Смесь 1,06 г 1-[ Пример Г а. Значение рН раствора 1,59 г 1-бензилиденамино-4,5-дигидро-2-метиламино-1Н-имидазола в форме гидрохлорида в 40 мл воды добавлением 2 М NaOH доводят до 12,0. Образовавшуюся смесь экстрагируют дихлорметаном.Органическую фазу сушат над Na2SO4 и выпаривают. В форме порошка получают 1-бензилиденамино-4,5-дигидро-2-метиламино-1Н-имидазол. б. Смесь 1 г 1-бензилиденамино-4,5-дигидро-2-метиламино-1Н-имидазола в 30 мл ацетонитрила с 1,26 г пропилиодида кипятят с обратным холодильником в течение примерно 8 ч. Образовавшуюся смесь при комнатной температуре перемешивают в течение ночи. 1-бензилиденамино-2-метилимино-3-пропилимидазолидин осаждается в форме гидроиодида, который отфильтровывают и сушат. в. Смесь 0,70 г 1-бензилиденамино-2-метилимино-3-пропилимидазолидина в форме гидроиодида в 20 мл Н2О с 10 мл анионообменной смолы в хлоридной форме [Amberlite IRA-400 (Cl)®] перемешивают при комнатной температуре в течение примерно 3 ч, анионообменную смолу отфильтровывают, а фильтрат обрабатывают 3,6 мл 2 М НСl. Из образовавшейся смеси перегонкой с водяным паром отгоняют бензиловый альдегид. Из оставшейся смеси выпаривают растворитель. В форме гидрохлорида в виде масла получают 1-амино-2-метилимино-3-пропилимидазолидин. Пример Д а. Смесь 0,89 г 1-бензилиденамино-2-метилимино-3-пропилимидазолидин в форме гидроиодида в 20 мл Н2О с 10 мл анионообменной смолы в хлоридной форме [Amberlite IRA-400 (Cl)®] перемешивают при комнатной температуре в течение примерно 3 ч, анионообменную смолу отфильтровывают, добавлением 2 М NaOH значение рН фильтрата доводят до 12,6. В осадок выпадает 1-бензилиденамино-2-метилимино-3-пропилимидазолидин, который отфильтровывают, сушат и получают в форме порошка. б. Смесь 0,51 г 1-бензилиденамино-2-метилимино-3-пропилимидазолидина в 15 мл ацетонитрила с 0,36 г метилиодида кипятят с обратным холодильником в течение примерно одного часа и выпаривают растворитель. Остаток обрабатывают ацетонитрилом и растворитель выпаривают. В форме порошка получают (1-бензилиденамино-3-пропилимидазолидин-2-илиден)диметиламмонийиодид. в. Аналогично примеру Г, раздел в., в форме гидрохлорида в виде твердого вещества получают (1-амино-3-пропилимидазолидин-2-илиден)диметиламмонийхлорид. Пример Е Смесь 0,72 г 2-(3-аминопропилимино)имидазолидин-1-ил-бензилиденамина в 15 мл абсолютного этанола с 0,53 г хлорида S-метилизотиомочевины кипятят с обратным холодильником в течение примерно 4 ч и выпаривают растворитель. Полученный остаток, растворенный в 4 мл 2 М НСl и 4 мл Н2О, выливают в хроматографическую колонку (LiChroprep RP-18®, фирма Merck) и элюируют водой. Полученные фракции, содержащие 2-(3-гуанидинопропилимино)имидазолидин-1-илбензилиденамин в форме гидрохлорида (как определяют ВЭЖХ), объединяют. Из смеси объединенных фракций, полученных с помощью 2 М НСl, перегонкой с водяным паром отгоняют бензиловый альдегид. Из оставшейся смеси выпаривают растворитель. В форме дигидрохлорида в виде твердого вещества получают 2-(3-гуанидинопропилимино)имидазолидин-1-иламин. Пример Ж а. Смесь 1,61 г 2-(3-аминопропилимино)имидазолидин-1-илбензилиденамина в 25 мл дихлорметана с 0,48 г метилизотиоцианата при комнатной температуре перемешивают в течение примерно 90 мин и выпаривают растворитель. Полученный остаток обрабатывают 40 мл Н2О и с помощью 2 М НСl значение рН полученной смеси доводят до 1,00. В форме гидрохлорида в осадок выпадает 1-[2-(1-бензилиденаминоимидазолидин-2-илиденамино)пропил]-3-метилтиомочевина, которую отфильтровывают, сушат и получают продукт в виде порошка. б. Смесь 1,79 г 1-[2-(1-бензилиденаминоимидазолидин-2-илиденамино)-пропил]-3-метилтиомочевины в форме гидрохлорида в 30 мл метанола с 0,52 мл метилиодида кипятят с обратным холодильником в течение примерно 3 ч, выпаривают растворитель и полученный остаток перемешивают с 80 мл Н2О и 30 мл анионообменной смолы в хлоридной форме [Amberlite IRA400 (Cl)®] в течение примерно 2 ч. Из образовавшейся смеси отфильтровывают ионообменную смолу и полученный фильтрат лиофилизируют. В качестве лиофилизата в форме гидрохлорида получают 1-[(1-бензилиденаминоимидазолидин-2-илиденамино)пропил]-3-метил-2-метилизотиомочевину. в. Смесь 1 г 1-[(1-бензилиденаминоимидазолидин-2-илиденамино)пропил]-3-метил-2-метилизотиомочевины в форме гидрохлорида с 0,54 мл метиламина (33%-ный раствор а абсолютном этаноле) и 30 мл метанола кипятят с обратным холодильником в течение примерно 7 ч и выпаривают растворитель. Полученный остаток, растворенный в 4 мл 2 М НСl и 6 мл Н2О, выливают в хроматографическую колонку (LiChroprep RP-18®, фирма Merck) и элюируют Н2О/метанолом. Фракции, содержащие 2-[3-(N,N’-диметилгуанидино)пропиламино]имидазолидин-1-илбензилиденамин в форме гидрохлорида (как определяют ВЭЖХ), объединяют и полученные объединенные фракции лиофилизируют. г. Из раствора 0,5 г производного 2-[3-(N,N’-диметилгуанидино)пропиламино]имидазолидин-1-илбензилиденамина в форме гидрохлорида в 2,1 мл 2 М НСl перегонкой с водяным отгоняют бензиловый альдегид. Из полученного остатка выпариванием растворителя в форме дигидрохлорида получают 2-[3-(N,N’-диметилгуанидино)пропиламино]имидазолидин-1-иламин. Пример 3 а. 0,99 мл N,N’-диизопропилкарбодиимида в 10 мл дихлорметана по каплям в течение примерно 30 мин вводят в раствор 1 г 2-амино-1-бензилиденамино-4,5-дигидро-1Н-имидазола в 20 мл дихлорметана, образующуюся смесь перемешивают при комнатной температуре в течение примерно 6 дней и выпаривают растворитель. Полученный остаток растворяют в 6 мл 2 М НСl и 4 мл Н2О, выливают в хроматографическую колонку (LiChroprep RP-18®, фирма Merck) и элюируют водой. Фракции, содержащие 1-бензилиденамино-3-(N,N’-диизопропилгуанидино)-2-иминоимидазолидин (как определяют ВЭЖХ), объединяют и лиофилизируют. б. Твердый 1-амино-3-(N,N’-диизопропилгуанидино)-2-иминоимидазолидин в форме дигидрохлорида получают удалением бензилового альдегида из 1-бензилиденамино-3-(N,N’-диизопропилгуанидино)-2-иминоимидазолидина аналогично примеру Ж, раздел г. Пример И а. Смесь 3 г 2-[(1-бензилиденамино-4,5-дигидро-1Н-имидазол-2-ил)-амино]этанола в 50 мл метиленхлорида с 1,22 мл тионилхлорида при комнатной температуре перемешивают в течение примерно 1 ч. В осадок выпадает 2-(2-хлорэтилимино)имидазолидин-1-илбензилиденамин, который отфильтровывают и сушат. б. Смесь 3,7 г 2-(2-хлорэтилимино)имидазолидин-1-илбензилиденамина в 50 мл абсолютного этанола с 2,25 мл N-этилдиизопропиламина кипятят с обратным холодильником в течение примерно 22 ч, выпаривают растворитель, а полученный остаток обрабатывают ацетонитрилом. В виде твердого вещества получают 2,3,5,6-тетрагидроимидазо[1,2-а]имидазол-1-илбензилиденамин в форме гидрохлорида. в. Твердый 2,3,5,6-тетрагидроимидазо[1,2-а]имидазол-1-иламин в форме гидрохлорида получают удалением бензилового альдегида из 2,3,5,6-тетрагидроимидазо[1,2-а]имидазол-1-илбензилиденамина в форме гидрохлорида аналогично примеру Ж, раздел г. Пример К а. Смесь 4 г гидразиноацетальдегиддиэтилацеталя в 40 мл этанола при комнатной температуре перемешивают с 1,97 г метилизотиоцианата в течение примерно 4 ч, выпаривают растворитель и в кристаллической форме получают 2-(2,2-диэтоксиэтил)-4-метилтиосемикарбазид. б. Смесь 4 г 2-(2,2-диэтоксиэтил)-4-метилтиосемикарбазида и 2,82 г метилиодида в 40 мл метанола кипятят с обратным холодильником в течение примерно 90 мин и выпаривают растворитель. В форме гидроиодида получают 4,53 г 2-(2,2-диэтоксиэтил)-3,4-диметилизотиосемикарбазида, который растворяют в воде и перемешивают с сильноосновной ионообменной смолой в хлоридной форме [Amberlite IRA 400 (Сl)®] в течение примерно 2,5 ч. Ионообменную смолу отфильтровывают и полученный фильтрат лиофилизируют. В форме гидрохлорида в виде масла получают 2-(2,2-диэтоксиэтил)-3,4-диметилизотиосемикарбазид. в. Смесь 2 г 2-(2,2-диэтоксиэтил)-3,4-диметилизотиосемикарбазида в форме гидрохлорида в 20 мл этанола с 0,91 мл метиламина (33%-ный раствор в абсолютном этаноле) при комнатной температуре перемешивают в течение примерно 26 ч. В образовавшуюся смесь добавляют 0,91 г бензилового альдегида. Образовавшуюся смесь перемешивают в течение примерно 21 ч, выпаривают растворитель и остаток обрабатывают диэтиловым эфиром. В форме гидрохлорида получают смолоподобный 1-(бензилиденамино)-1-(2,2-диэтоксиэтил)-2,3-диметилгуанидин. г. Смесь 1,39 г 1-(бензилиденамино)-1-(2,2-диэтоксиэтил)-2,3-диметилгуанидина в форме гидрохлорида с 5 мл концентрированной соляной кислоты при комнатной температуре перемешивают в течение примерно 30 мин. Добавлением 1н. NaOH значение рН образовавшейся смеси доводят до 6,4. Полученную смесь экстрагируют диэтиловым эфиром. Добавлением 1н. NaOH значение рН водной фазы доводят до 12. Образовавшуюся смесь экстрагируют дихлорметаном. Органическую фазу сушат над Na2SO4, растворитель выпаривают и в виде масла получают бензилиден(3-метил-2-метилимино-2,3-дигидроимидазол-1-ил)амин. д. Из 384 мг бензилиден(3-метил-2-метилимино-2,3-дигидроимидазол-1-ил)амина в 10 мл воды и 3,55 мл 2н. НСl аналогично примеру Ж, раздел г. удаляют бензальдегид и в виде масла в форме дигидрохлорида получают 3-метил-2-метилимино-2,3-дигидроимидазол-1-ил)амин. Пример Л а. При перемешивании 0,6 мл CS2 по каплям вводят в раствор 1,7 г гидроксида калия в 6 мл воды и 14 мл этанола. Образовавшуюся смесь кипятят с обратным холодильником в течение примерно 4 ч с 1,47 г (R,S)-2,3-диамино-1-пропанола в форме дигидрохлорида. Добавлением 6н. соляной кислоты значение рН образовавшейся смеси доводят до 2 и выпаривают растворитель. Полученный остаток обрабатывают этанолом и метанолом. Осаждается КСl, который отфильтровывают. Из полученного фильтрата выпаривают растворитель, получая в виде твердого вещества (R,S)-4-гидроксиметилимидазолидин-2-тион. б. Смесь 1,4 г (R,S)-4-гидроксиметилимидазолидин-2-тиона в 25 мл метанола с 1,8 г метилиодида кипятят с обратным холодильником в течение примерно 2 ч, выпаривают растворитель и в форме гидроиодида получают 2,26 г (R,S)-2-метилтио-4,5-дигидро-1Н-имидазол-4-ил)метанола, который растворяют в 4 мл воды и выливают в колонку, наполненную сильноосновной ионообменной смолой в хлоридной форме [Amberlite IRA-400 (Cl)®], и элюируют водой. Фракции, содержащие (R,S)-2-метилтио-4,5-дигидро-1Н-имидазол-4-ил)метанол в форме гидрохлорида (как определяют ВЭЖХ), объединяют и лиофилизируют. в. Смесь 1,54 г (R,S)-2-метилтио-4,5-дигидро-1Н-имидазол-4-ил)-метанола в форме гидрохлорида, растворенного в метаноле, с 462 мг гидразингидрата перемешивают при комнатной температуре в течение примерно одного дня, растворитель выпаривают, а полученный остаток растворяют в этаноле и обрабатывают эфирным раствором соляной кислоты. В кристаллическом виде в форме дигидрохлорида получают (R,S)-2-гидразоноимидазолидин-4-ил)метанол. Пример М а. При перемешивании 2,86 мл CS2 по каплям вводят в раствор 7,9 г гидроксида калия в 30 мл воды и 64 мл этанола. Образовавшуюся смесь кипятят с обратным холодильником в течение примерно 4 ч с 6,0 г DL-2,3-диаминопропионовой кислоты в форме гидрохлорида. Добавлением 6н. соляной кислоты значение рН образовавшейся смеси доводят до 2 и выпаривают растворитель. Полученную в виде твердого вещества (R,S)-2-тиоксоимидазолидин-4-карбоновую кислоту перемешивают в течение ночи со 150 мл метанола с добавлением 5 мл 1н. эфирного раствора соляной кислоты. Осаждается КСl, который отфильтровывают. Из полученного фильтрата выпаривают растворитель, получая в виде твердого вещества метиловый эфир (R,S)-2-тиоксоимидазолидин-4-карбоновой кислоты. б. Смесь 6 г метилового эфира (R,S)-2-тиоксоимидазолидин-4-карбоновой кислоты в 100 мл метанола и 4 г метилиодида кипятят с обратным холодильником в течение примерно 2 ч, выпаривают растворитель и в виде твердого вещества в форме гидроиодида получают 5 г метилового эфира (R,S)-2-метилтио-4,5-дигидро-1Н-имидазол-4-карбоновой кислоты, который растворяют в 30 мл воды. В образовавшийся раствор порциями вводят 3 г карбоната натрия. Полученный водный раствор экстрагируют дихлорметаном, органическую фазу сушат над Na2SO4 и выпаривают растворитель. В виде твердого вещества получают метиловый эфир (R,S)-2-метилтио-4,5-дигидро-1Н-имидазол-4-карбоновой кислоты. в. Смесь 1,36 г метилового эфира (R,S)-2-метилтио-4,5-дигидро-1Н-имидазол-4-карбоновой кислоты в 15 мл метанола с 710 мг гидразина в форме моногидрохлорида и 1 мл воды перемешивают при комнатной температуре и выпаривают растворитель. В виде твердого вещества в форме гидрохлорида получают метиловый эфир (R,S)-2-гидразоноимидазолидин-4-карбоновой кислоты. Аналогично примерам А-М получают соединения, представленные в примерах Н-ВЭ, которые приведены ниже. Примеры с Н по ВЛ Соединения формулы в которой R5 и R6 имеют значения, указанные в приведенной ниже таблице 7, в форме солей, которые представлены в таблице 7 (Прим. означает пример).
Примеры с ВМ по ВР Соединения формулы в которой R5, R6 и R’6 имеют значения, указанные в приведенной ниже таблице 8, в форме солей, которые представлены в таблице 8 (Прим. означает пример).
Примеры с ВС по ВХ Соединения формулы в которой R5, R6 и X имеют значения, указанные в приведенной ниже таблице 9, в форме солей, которые представлены в таблице 9 (Прим. означает пример).
Примеры с ВЦ по ВШ Соединения формулы в которой R5 и R6 имеют значения, указанные в приведенной ниже таблице 10, в форме солей, которые представлены в таблице 10 (Прим. означает пример).
Пример ВЩ Соединение формулы в которой R6 и R7 совместно с азотным атомом, с которым они связаны, обозначают группу формулы в форме дигидрохлорида. Пример ВЭ Соединение формулы в которой R4 обозначает CH3 и R6 обозначает СН3, в форме гидрохлорида. Пример ГА Охлажденную (примерно -5°) смесь 68,5 мл 2н. H2SO4 с 4 г 1-(2-гидроксиэтил)-3-нитрозоимидазолидин-2-тиона обрабатывают 3,42 г Zn порошка, образовавшуюся смесь перемешивают в течение примерно 15 мин и фильтруют. Полученный фильтрат обрабатывают 2,88 мл бензилового альдегида и перемешивают при комнатной температуре в течение примерно одного часа. В осадок выпадает 1-бензилиденамино-3-(2-гидроксиэтил)имидазолидин-2-тион, который отфильтровывают, промывают диэтиловым эфиром и сушат. Аналогично примеру ГА из 1-этил-3-нитрозоимидазолидин-2-тиона получают 1-бензилиденамино-3-этилимидазолидин-2-тион, из 1-метил-3-нитрозоимидазолидин-2-тиона получают 1-бензилиденамино-3-метилимидазолидин-2-тион, из 1-пропил-3-нитрозоимидазолидин-2-тиона получают 1-бензилиденамино-3-пропилимидазолидин-2-тион, из 1-нитрозо-4-метилимидазолидин-2-тиона получают 1-бензилиденамино-4-метилимидазолидин-2-тион и из 4,4-диметил-3-нитрозоимидазолидин-2-тиона получают 1-бензилиденамино-4,4-диметилимидазолидин-2-тион. Пример ГБ В охлаждаемую льдом смесь 6,81 г 1-этилимидазолидин-2-тиона и 3,6 г NaNO2 в 440 мл дихлорметана по каплям добавляют 63 мл 1 М НСl и образовавшуюся смесь перемешивают в течение примерно 10 мин. Получают двухфазную систему и фазы разделяют. Органическую фазу промывают Н2О, сушат над Na2SO4 и выпаривают растворитель. В виде твердого вещества получают 1-этил-3-нитрозоимидазолидин-2-тион. Аналогично примеру ГБ из 1-метилимидазолидин-2-тиона получают 1-метил-3-нитрозоимидазолидин-2-тион, из 1-пропилимидазолидин-2-тиона получают 3-нитрозо-1-пропилимидазолидин-2-тион, из 4-метилимидазолидин-2-тиона получают 4-метил-1-нитрозоимидазолидин-2-тион и из 4,4-диметилимидазолидин-2-тиона получают 4,4-диметил-1-нитрозоимидазолидин-2-тион. Данные 1Н-ЯМР-спектроскопии соединений (Прим. означает пример) в ДМСО-d6, если не указано иное Прим. 1: 3,58 и 4,64, АВ-квартет, J=18 Гц, 2Н, S-СН2; 3,68-4,10, m, 4H, N-СН2; 5,34, d, J=5 Гц, 1Н, Прим. 2: 3,20-4,28, m, 9H, 4H, N-CH2 и 2Н, S-CH2 и 3Н, СН3; 5,30, d, J=5 Гц, 1Н, Прим. 3: 3,52 и 4,54, АВ-квартет, J=18 Гц, 2Н, S-CH2; 3,67-4,25, m, 4H, N-CH2; 5,29, d, J=5 Гц, 1Н, Прим. 4: 2,97, d, J=5 Гц, 3Н, CH3, 3,56 и 4,55, АВ-квартет, J=18 Гц, 2Н, S-СН2; 3,70-4,15, m, 4H, N-СН2; 5,32, d, J=5 Гц, 1Н, Прим. 5: 2,83, s, 3Н, СН3; 3,00-3,30, m, 6H, N-CH2; 3,40-4,20, m, 7H, 1H, S-СН2 и 6H, N-СН2; 4,44, часть АВ-квартета, J=18 Гц, 1H, S-CH2; 5,30, d, J=5 Гц, 1H, Прим. 6: 0,60-0,92, m, 4H, СН2-циклопроп.; 2,50-2,54, m, 1H, CH-C; 3,51 и 4,59, АВ-квартет, J=18 Гц, 2Н, S-CH2; 3,70-4,10, m, 4H, N-CH2; 5,31, d, J=5 Гц, 1H, Прим. 7: 3,38-4,18, m, 17H, 16H, N-CH2 и 1H, S-CH2; 4,60, часть АВ-квартета, J=18 Гц, 1H, S-CH2; 5,32, d, J=5 Гц, 1H, Прим. 8: 3,45-3,70, m, 5H, 4H, N-CH2 и 1H, S-CH2; 3,72-4,10, m, 4H, N-CH2 и О-СН2; 4,59, часть АВ-квартета, J=18 Гц, 1H, S-CH2; 5,32, d, J=5 Гц, 1H, Прим. 9: 1,20, t, J=5 Гц, 3Н, СН3; 2,90-3,20, m, 4H, N-CH2; 3,40-4,10, m, 7H, 6H, N-CH2 и 1H, S-CH2; 4,60, часть АВ-квартета, J=18 Гц, 1H, S-CH2; 5,30, d, J=5 Гц, 1H, Прим. 10: 2,85, s, 6H, СН3; 3,35, b, 2Н, N-CH2; 3,48-4,15, m, 7H, 6H, N-CH2 и 1H, S-CH2; 4,61, часть АВ-квартета, J=18 Гц, 1H, S-CH2; 5,32, d, J=5 Гц, 1H, Прим. 11: 3,05, b, 2H, N-CH2; 3,45-3,68, m, 3H, 2H, N-СH2 и 1Н, S-CH2; 3,70-4,15, m, 4H, N-CH2; 4,52, часть АВ-квартета, J=18 Гц, 1Н, S-CH2; 5,24, d, J=5 Гц, 1Н, Прим. 12: 2,90, b, 2H, N-CH2; 3,40-3,61, m, 3H, 2H, O-CH2 и 1Н, S-CH2; 3,63-4,20, m, 4H, N-CH2; 4,50, часть АВ-квартета, J=18 Гц, 1Н, S-СН2; 5,29, d, J=5 Гц, 1Н, Прим. 13: 1,72-1,92, m, 2H, СH2; 2,85, b, 2H, N-CH2; 3,38, b, 2H, N-CH2; 3,54 и 4,51, АВ-квартет, J=8 Гц, 2H, S-CH2; 3,68-4,14, m, 4H, N-СН2; 5,21, d, J=5 Гц, 1Н, Прим. 14: 3,10, b, 2H, N-CH2; 3,20, b, 2H, N-CH2; 3,55 и 4,64, АВ-квартет, J=18 Гц, 2H, S-CH2; 3,62-4,15, m, 8H, 6Н, N-CH2 и 2H, ОСН2; 5,30, d, J=5 Гц, 1Н, Прим. 15: 3,30-4,30, m, 22H, 18H, N-CH2 и 2H, O-CH2 и 2H, S-CH2; 5,25, d, J=5 Гц, 1Н, Прим. 16: 1,18-1,50, m, 2H, CH2-C; 1,68-1,98, m, 3H, СH2-С и СН-С; 2,70-2,98, m, 2H, N-CH2; 3,10-3,38, m, 4H, N-CH2; 3,53 и 4,53, АВ-квартет, J=18 Гц, 2H, S-CH2; 3,62-4,15, m, 4H, N-CH2; 5,30, d, J=5 Гц, 1Н, Прим. 17: 3,20-4,10, m, 9H, 6Н, N-CH2, 1Н, S-CH2 и 2H, СН2-С; 4,38, часть АВ-квартета, J=18 Гц, 1Н, S-CH2; 5,29, d, J=5 Гц, 1Н, Прим. 18: 3,40-3,70, m, 9H, 6H, O-CH2 и 2H, N-CH2 и 1H, S-СН2; 3,72-4,12, m, 4Н, N-CH2; 4,55, часть АВ-квартета, J=18 Гц, 1H, S-CH2; 5,32, d, J=5 Гц, 1H, Прим. 19: 3,50 и 4,45, АВ-квартет, J=18 Гц, 2H, S-CH2; 3,70-4,12, m, 4Н, N-CH2; 5,28, d, J=5 Гц, 1H, Прим. 20: 2,80-3,02, m, 4Н, O-CH2 3,42-4,18, m, 9H, 8H, N-CH2 и 1H, S-CH2; 4,50, часть АВ-квартета, J=18 Гц, 1H, S-CH2; 5,31, d, J=5 Гц, 1Н, Прим. 21: 1,59, b, 4Н, CH2-C; 2,80, b, 2H, N-CH2; 3,32, b, 2H, N-CH2; 3,53 и 4,53, АВ-квартет, J=18 Гц, 2H, S-CH2; 3,68-4,12, m, 4Н, N-CH2; 5,24, d, J=5 Гц, 1H, Прим. 22: 3,35, b, 2H, N-CH2; 3,42-3,62, m, 3Н, 2H, OCH2 и 1H, S-CH2; 3,65-4,10, m, 4Н, N-CH2; 4,46, часть АВ-квартета, J=18 Гц, 1H, S-CH2; 5,31, d, J=5 Гц, 1H, Прим. 23: 1,28, b, 4Н, C-CH2; 1,52, b, 4Н, C-CH2; 2,76, b, 2H, N-CH2; 3,25, b, 2H, N-CH2; 3,50 и 4,45, АВ-квартет, J=18 Гц, 2H, S-CH2; 3,62-4,10, m, 4Н, N-CH2; 5,30, d, J=5 Гц, 1H, Прим. 24: 1,25, d, J=5 Гц, 3Н, СН3; 3,35-3,68, m, 4H, 2H, N-CH2 и 1H, N-CH и 1H, S-CH2; 3,70-4,20, m, 4H, N-CH2; 4,56, часть АВ-квартета, J=18 Гц, 1H, S-CH2; 5,24, d, J=5 Гц, 1H, Прим. 25: 2,92-3,60, m, 5H, 4H, N-CH2 и 1H, S-CH2; 3,62-4,15, m, 12H, 8H, N-CH2 и 4H, O-СН2; 4,35, часть АВ-квартета, J=18 Гц, 1H, S-CH2; 5,16, d, J=5 Гц, 1H, Прим. 26: 1,35, s, 6H, СН3; 3,48-4,15, m, 7H, 6H, N-CH2 и 1H, S-CH2; 4,74, часть АВ-квартета, J=18 Гц, 1H, S-CH2; 5,32, d, J=5 Гц, 1H, Прим. 27: 1,16, t, J=7 Гц, 3Н, СН3; 3,33, q, J=7 Гц, 2H, CH2; 3,54 и 4,53, АВ-квартет, J=18 Гц, 2H, S-CH2; 3,68-4,12, m, 4H, N-CH2; 5,30, d, J=5 Гц, 1H, Прим. 28: 0,87, t, J=7 Гц, 3Н, СН3; 1,55, h, J=7 Гц, 2H, CH2; 3,24, t, J=7 Гц, N-CH2; 3,52 и 4,54, АВ-квартет, J=18 Гц, 2H, S-СH2; 3,65-4,12, m, 4H, N-CH2; 5,30, d, J=5 Гц, 1H, Прим. 29: 2,90-3,05, m, 2H, N-CH2; 3,40-4,18, m, 15H, 6H, N-CH2 и 8Н, O-CH2 и 1H, S-CH2; 4,55, часть АВ-квартета, J=18 Гц, 1H, S-CH2; 5,33, d, J=5 Гц, 1H, Прим. 30: 1,72-2,02, m, 2H, СН2; 2,54, s, 3H, N-СН3; 2,94, b, 2Н, N-CH2; 3,34-3,64, m, 3H, 2H, N-CH2 и 1H, S-CH2; 3,70-4,10, m, 4H, N-CH2; 4,55, часть АВ-квартета, J=18 Гц, 1H, S-CH2; 5,30, d, J=5 Гц, 1H, Прим. 31: 1,80-2,05, m, 2H, СH2; 2,88-3,12, m, 4H, N-CH2; 3,40, b, 2H, N-СН2; 3,53 и 4,51, АВ-квартет, J=18 Гц, 2H, S-CH2; 3,62-4,12, m, 6H, 4H, N-СН2 и 2H, О-СН2; 5,30, d, J=5 Гц, 1H, Прим. 32: 1,82-2,10, m, 2H, CH2; 2,75, s, 6H, N-СН3; 3,00-3,18, m, 2H, N-CH2; 3,32-3,48, m, 2H, N-CH2; 3,54 и 4,54, АВ-квартет, J=18 Гц, 2H, S-CH2; 3,68-4,12, m, 4H, N-CH2; 5,30, d, J=5 Гц, 1H, Прим. 33: 1,78-2,02, m, 2H, CH2; 2,95-3,75, m, 11H, 10Н, N-CH2 и 1H, S-CH2; 4,10-4,35, m, 2H, O-CH2; 4,65, часть АВ-квартета, J=18 Гц, 1H, S-CH2; 5,27, d, J=5 Гц, 1H, Прим. 34: 1,82-2,02, m, 2H, CH2, 2,55, s, 3H, N-СН3; 2,88-3,02, m, 2H, N-CH2; 3,48-4,22, m, 12H, 8H, N-CH2 и 2H, О-СН2 и 2H, S-CH2; 5,27, d, J=5 Гц, 1H, Прим. 35: 1,82-2,08, m, 2H, CH2; 2,85-3,10, m, 4H, N-CH2; 3,38-4,22, m, 14H, 8H, N-CH2 и 4H, O-CH2 и 2H, S-CH2; 5,17, d, J=5 Гц, 1H, Прим. 36: 1,82-2,12, m, 2H, CH2; 2,77, s, 6H, N-СН3; 3,00-3,22, m, 2H, N-CH2; 3,45-4,12, m, 12H, 8H, N-CH2 и 2H, O-CH2 и 2H, S-CH2; 5,20, d, J=5 Гц, 1Н, Прим. 37: 2,72, s, 6H, N-СН3; 3,42-4,08, m, 9H, 6Н, N-CH2 и 2H, O-CH2 и 1Н, S-CH2; 4,56, часть АВ-квартета, J=18 Гц, 1Н, S-CH2; 5,30, d, J=5 Гц, 1Н, Прим. 38: 1,55-1,82, m, 2H, CH2-C; 3,30-3,65, m, 5H, 2H, N-CH2 и 2H, O-СН2 и 1Н, S-CH2; 3,70-4,10, m, 4Н, N-CH2; 4,51, часть АВ-квартета, J=18 Гц, 1Н, S-CH2; 5,32, d, J=5 Гц, 1Н, Прим. 39: 3,20, d, J=5 Гц, 3Н, N-СН2; 3,45-4,05, m, 9H, 6H, N-СН2 и 2H, O-СН2 и 1Н, S-CH2; 4,34, часть АВ-квартета, J=18 Гц, 1Н, S-CH2; 5,29, d, J=5 Гц, 1Н, Прим. 40: 2,65-3,05, m, 2H, N-CH2; 3,25-3,45, m, 2H, N-CH2; 3,54 и 4,55, АВ-квартет, J=18 Гц, 2H, S-CH2; 3,65-4,12, m, 5H, 4Н, N-CH2 и 1Н, O-СН; 5,21, d, J=5 Гц, 1Н, Прим. 41: 2,80-3,20, m, 10Н, N-CH2; 3,40-3,65, m, 3Н, 1Н, S-CH2 и 2H, N-CH2; 3,70-4,05, m, 4Н, N-CH2; 4,45, часть АВ-квартета, J=18 Гц, 1Н, S-СН2; 5,29, d, J=5 Гц, 1Н, Прим. 42: 1,65-1,92, m, 2H, CH2-C; 3,12-3,32, m, 2H, N-CH2; 3,40-3,58, 3Н, 2H, N-CH2 и 1Н, S-CH2; 3,62-4,12, m, 4Н, N-CH2; 4,55, часть АВ-квартета, J=18 Гц, 1Н, S-CH2; 5,29, d, J=5 Гц, 1Н, Прим. 43: 1,20, t, J=7 Гц, 3Н, СН3; 3,45-4,22, m, 12Н, 8Н, N-СН2 и 2Н, O-СH2 и 2Н, S-CH2; 5,29, d, J=5 Гц, 1Н, Прим. 44: 1,82-2,08, m, 4H, CH2-C; 2,82-3,10, m, 6H, N-CH2; 3,35-3,65, m, 3Н, 2Н, N-CH2 и 1Н, S-CH2; 3,70-4,12, m, 4H, N-CH2 4,55, часть AB-квартета, J=18 Гц, 1Н, S-CH2; 5,30, d, J=5 Гц, 1Н, Прим. 45: 1,30-1,70, m, 4H, СН2-С; 1,85-2,10, m, 4H, CH2-C; 2,85-3,10, m, 1Н, CH-C; 3,40-3,55, m, 2Н, 1Н, СН и 1Н, S-CH2; 3,56-4,10, m, 4H, N-СН2; 4,59, часть АВ-квартета, J=18 Гц, 1Н, S-CH2; 5,29, d, J=5 Гц, 1Н, Прим. 46: 1,15, t, J=7 Гц, 3Н, СН2; 3,40-3,62, m, 3Н, 2Н, CH2 и 1Н, S-СН2; 3,70-4,10, m, 4H, N-CH2; 4,55, часть АВ-квартета, J=18 Гц, 1Н, S-CH2; 5,29, d, J=5 Гц, 1Н, Прим. 47: 3,20-4,10, m, 10Н, 6H, N-CH2 и 2Н, O-CH2 и 1Н, O-СН и 1Н, S-CH2; 4,55, часть АВ-квартета, J=18 Гц, 1Н, S-СН2; 5,30, d, J=5 Гц, 1Н, Прим. 48: 1,18, t, J=7 Гц, 3Н, СН3; 3,16, d, J=5 Гц, 3Н, N-СН3; 3,45-3,68, m, 3Н, 2Н, N-CH2 и 1Н, S-CH2; 3,70-4,10, m, 4H, N-CH2; 4,29, часть АВ-квартета, J=18 Гц, 1Н, S-CH2; 5,29, d, J=5 Гц, 1Н, Прим. 49: 1,16, t, J=7 Гц, 3Н, СН3; 1,88-2,10, m, 2H, СН2-С; 2,78, s, 6H, N-СН3; 3,00-3,20, m, 2H, N-СН2; 3,40-4,20, m, 10Н, 8H, N-CH2; 2H, S-СH2; 5,17, d, J=5 Гц, 1Н, Прим. 50: 1,20, t, J=7 Гц, 3Н, СН3; 1,75-2,00, m, 2H, СН2-С; 2,90-3,60, m, 9H, 8H, N-CH2 и 1Н, S-CH2; 4,08-4,38, m, 2H, N-CH2; 4,65, часть АВ-квартета, J=18 Гц, 1Н, S-CH2; 5,28, d, J=5 Гц, 1Н, Прим. 51: 1,14, t, J=7 Гц, 3Н, СН3; 1,30-1,75, m, 4H, CH2-C; 1,88-2,12, m, 4H, СН2-С; 2,88-3,10, m, 1Н, N-CH; 3,40-4,22, m, 9H, 6H, N-CH2 и 1Н, N-CH и 2H, S-CH2; 5,28, d, J=5 Гц, 1Н, Прим. 52: 1,25-1,70, m, 4H, CH2-C; 1,85-2,12, m, 4H, СH2-С; 2,88-3,10, m, 1Н, N-CH; 3,45-4,28, m, 11Н, 6H, N-CH2 и 1Н, N-CH и 2H, O-СH2 и 2H, S-СН2; 5,15, d, J=5 Гц, 1Н, Прим. 53: 2,72-2,92, m, 2H, СН2-С; 3,10-3,30, m, 6H, N-CH2; 3,32-3,60, m, 3Н, 2H, N-СН2 и 1Н, S-СН2; 3,62-4,15, m, 8H, N-СН2; 4,59, часть АВ-квартета, J=18 Гц, 1Н, S-CH2; 5,29, d, J=5 Гц, 1Н, Прим. 54: 1,70-1,92, m, 2H, СН2-С; 2,76, d, J=4 Гц, 6H, N-СН3; 3,10-3,25, m, 2H, N-CH2; 3,27-3,42, m, 2H, N-CH2; 3,41 и 4,51, АВ-квартет, J=18 Гц, 2H, S-CH2; 3,70-4,10, m, 4H, N-CH2; 5,17, d, J=5 Гц, 1Н, Прим. 55: 3,04, s, 3Н, N-СН3; 3,53 и 4,54, АВ-квартет, J=18 Гц, 2H, S-СH2; 3,68-4,04, m, 4H, N-CH2; 5,29, d, J=5 Гц, 1H, Прим. 56: 3,16, s, 3Н, N-СН3; 3,17, s, 3Н, N-СН3; 3,57 и 4,32, АВ-квартет, J=18 Гц, 2H, S-CH2; 3,68-4,08, m, 4H, N-CH2; 5,29, d, J=5 Гц, 1Н, Прим. 57: 1,21, t, J=7 Гц, 3Н, СН3; 3,10, s, 3Н, N-СН3; 3,48-4,10, m, 7H, 6Н, N-CH2 и 1H, S-СН2; 4,20, часть АВ-квартета, J=18 Гц, 1H, S-CH2; 5,29, d, J=5 Гц, 1H, Прим. 58: 1,30-1,75, m, 4H, СH2-С; 1,88-2,12, m, 4H, CH2-C; 2,85-3,02, m, 1H, N-CH; 3,07, s, 3Н, СН3; 3,45-4,21, m, 7H, 4H, N-СН2 и 1H, N-CH и 2H, S-CH2; 5,28, d, J=5 Гц, 1H, Прим. 59: 3,14, s, 3Н, СН3; 3,50-4,10, m, 9H, 6Н, N-СН2 и 2H, О-СН2 и 1H, S-CH2; 4,25, часть АВ-квартета, J=18 Гц, 1H, S-CH2; 5,29, d, J=5 Гц, 1H, Прим. 60: 3,48-4,10, m, 13H, 8H, N-CH2 и 4H, O-CH2 и 1H, S-СH2; 4,20, часть АВ-квартета, J=18 Гц, 1H, S-CH2; 5,13, d, J=5 Гц, 1H, Прим. 61: 1,24, t, J=7 Гц, 6Н, СН3; 3,05-3,45, m, 6Н, N-CH2; 3,54 и 4,55, АВ-квартет, J=18 Гц, 2H, S-CH2; 3,70-4,10, m, 6Н, N-CH2; 5,29, d, J=5 Гц, 1Н, Прим. 62: 1,90-2,14, m, 2H, СН2-С; 2,73, d, J=4 Гц, 6Н, N-СН3; 3,00-3,20, m, 2H, N-CH2; 3,32-4,10, m, 7H, 6Н, N-CH2 и 1Н, S-CH2; 4,60, часть АВ-квартета, J=18 Гц, 1Н, S-CH2; 5,30, d, J=5 Гц, 1Н, Прим. 63: 1,24, t, J=7 Гц, 6Н, СН3; 3,05-3,40, m, 6Н, N-CH2; 3,53 и 4,56, АВ-квартет, J=18 Гц, 2H, S-СH2; 3,70-4,18, m, 6Н, N-CH2; 5,30, d, J=5 Гц, 1Н, Прим. 64: 1,21, t, J=7 Гц, 6Н, СН3; 3,08-3,30, m, 7H, 4H, N-CH2, и 3Н, N-СН3; 3,32-3,50, m, 2H, N-CH2; 3,58 и 4,24, АВ-квартет, J=18 Гц, 2H, S-СH2; 3,75-4,10, m, 6Н, N-СН2; 5,12, d, J=5 Гц, 1Н, Прим. 65: 2,79, d, J=4 Гц, 6Н, N-СН3; 3,32-3,48, m, 2H, N-CH2; 3,53 и 4,56, АВ-квартет, J=18 Гц, 2H, S-CH2; 3,68-4,04, m, 6Н, N-CH2; 5,30, d, J=5 Гц, 1Н, Прим. 66 (в ДМСО-d6/СF3COOD): 3,50 и 4,31, АВ-квартет, J=18 Гц, 2H, S-CH2; 3,75-4,20, m, 4H, N-CH2; 5,17, s, 2H, ОСH2; 5,29, d, J=5 Гц, 1Н, Прим. 67: 1,10-2,20, m, 8H, СH2-С; 3,12-3,40, m, 1H, N-CH; 3,55 и 4,55, АВ-квартет, J=18 Гц, 2H, S-CH2; 3,65-4,18, m, 5H, 4 Н, N-CH2 и 1Н, N-CH; 5,23, d, J=5 Гц, 1Н, Прим. 68: 1,10-2,20, m, 8H, СH2-С; 3,18-3,40, m, 1H, N-CH; 3,55 и 4,59, АВ-квартет, J=18 Гц, 2H, S-CH2; 3,68-4,20, m, 5H, 4Н, N-CH2 и 1H, N-CH; 5,21, d, J=5 Гц, 1H, Прим. 69: 0,88, t, J=7 Гц, 3Н, СН3; 1,40-1,70, m, 2H, СH2-С; 3,30-3,48, m, 2H, N-СН3; 3,53 и 4,55, АВ-квартет, J=18 Гц, 2H, S-CH2; 3,65-4,08, m, 4Н, N-CH2; 5,29, d, J=5 Гц, 1H, Прим. 70: 0,90, t, J=7 Гц, 3Н, СН3; 1,48-1,72, m, 2H, СН2-С; 3,16, d, J=5 Гц, 3Н, N-СН3; 3,32-3,50, m, 2H, N-CH2; 3,58 и 4,25, АВ-квартет, J=18 Гц, 2H, S-СН2; 3,70-4,10, m, 4Н, N-CH2; 5,28, d, J=5 Гц, 1H, Прим. 71: 1,00-1,44, m, 12H, СН3; 3,54 и 4,59, АВ-квартет, J=18 Гц, 2H, S-CH2; 3,75-4,30, m, 6H, 4Н, N-CH2 и 2H, N-CH; 5,32, d, J=5 Гц, 1H, Прим. 72: 1,19, d, J=7 Гц, 6H, СН3; 3,53 и 4,55, АВ-квартет, J=18 Гц, 2H, S-CH2; 3,65-4,02, m, 4Н, N-CH2; 4,15-4,32, m, 1H, N-CH; 5,29, d, J=5 Гц, 1Н, Прим. 73: 1,30-1,90, m, 6H, СН2-С; 2,82-3,05, m, 2H, N-CH2; 3,24-3,65, 5H, 4Н, N-CH2 и 1H, S-СН2; 3,75-4,10, m, 6H, N-CH2; 4,58, часть АВ-квартета, J=18 Гц, 1H, S-CH2; 5,30, d, J=5 Гц, 1H, Прим. 74: 0,90, t, J=7 Гц, 3Н, СН3; 1,25-1,42, m, 2H, СН2-С; 1,50-1,70, m, 2H, СН2-С; 3,16, d, J=5 Гц, 3Н, N-СН3; 3,40-3,50, m, 2H, N-СН2; 3,58 и 4,25, АВ-квартет, J=18 Гц, 2H, S-CH2; 3,70-4,12, m, 4H, N-СН2; 5,29, d, J=5 Гц, 1Н, Прим. 75: 0,90, t, J=7 Гц, 3Н, СН3; 1,20-1,40, m, 2H, СH2-С; 1,45-1,65, m, 2H, CH2-C; 3,35-3,50, m, 2H, N-СН2; 3,53 и 4,55, АВ-квартет, J=18 Гц, 2H, S-CH2; 3,70-4,10, m, 4H, N-CH2; 5,30, d, J=5 Гц, 1Н, Прим. 76: 1,30-1,90, m, 6H, CH2-C; 2,85-3,08, m, 2H, N-CH2; 3,20, d, J=5 Гц, 3Н, N-СН3; 3,30-3,70, m, 5H, 4H, N-CH2 и 1Н, S-CH2; 3,75-4,10, m, 6H, N-CH2; 4,21, часть АВ-квартета, J=18 Гц, 1Н, S-CH2; 5,28, d, J=5 Гц, 1Н, Прим. 77: 1,78-2,10, m, 4H, CH2-C; 3,00-3,20, m, 2H, N-CH2; 3,40-3,65, m, 5H, 4H, N-СН2 и 1Н, S-CH2; 3,80-4,10, m, 6H, N-CH2; 4,59, часть АВ-квартета, J=18 Гц, 1Н, Прим. 78: 3,54 и 4,54, АВ-квартет, J=18 Гц, 2H, S-CH2; 3,62-4,18, m, 4H, N-СН2; 4,34, s, 2H, N-CH2; 5,33, d, J=5 Гц, 1Н, Прим. 79: 0,87, t, J=7 Гц, 3Н, СН3; 1,18-1,40, m, 4H, СН2-С; 1,42-1,68, m, 2H, CH2-C; 3,30-3,50, 2H, N-CH2; 3,53 и 4,54, АВ-квартет, J=18 Гц, 2H, S-CH2; 3,70-4,10, m, 4H, N-CH2; 5,30, d, J=5 Гц, 1Н, Прим. 80: 0,86, t, J=7 Гц, 3Н, СН3; 1,20-1,40, m, 6H, СH2-С; 1,42-1,70, m, 2Н, СН2-С; 3,38-3,51, m, 2Н, N-CH2; 3,54 и 4,54, АВ-квартет, J=18 Гц, 2Н, S-CH2; 3,70-4,10, m, 4H, N-CH2; 5,30, d, J=5 Гц, 1Н, Прим. 81: 0,85, t, J=7 Гц, 3Н, СН3; 1,12-1,38, m, 8H, CH2-C; 1,40-1,68, m, 2Н, CH2-C; 3,35-3,62, m, 3Н, 2Н, N-CH2 и 1Н, S-CH2; 3,70-4,10, m, 4H, N-CH2; 4,55, часть АВ-квартета, J=18 Гц, 1Н, S-CH2; 5,30, d, J=5 Гц, 1Н, Прим. 82: 3,50-3,78, m, 5H, 4H, N-СH2 и 1Н, S-CH2; 4,00-4,48, m, 5H, 4H, N-CH2 и 1Н, S-CH2; 5,32, d, J=5 Гц, 1Н, Прим. 83: 1,90-2,05, m, 2Н, CH2-C; 3,28-3,46, m, 4H, N-CH2; 3,54 и 4,45, АВ-квартет, J=18 Гц, 2Н, S-СH2; 3,68-4,10, m, 4H, N-CH2; 5,31, d, J=5 Гц, 1Н, Прим. 84: 1,10-1,30, m, 12Н, СН3; 3,17, d, J=5 Гц, 3Н, N-СН3; 3,48-3,70, m, 3Н, 2Н, N-CH2 и 1Н, S-CH2; 3,75-4,00, m, 4H, N-CH2; 4,37, часть АВ-квартета, J=18 Гц, 1Н, S-CH2; 5,32, d, J=5 Гц, 1Н, Прим. 85: 1,21, t, J=7 Гц, 3Н, СН3; 3,14, s, 6H, N-СН3; 3,30-3,55, q, J=7 Гц, 2Н, N-CH2; 3,61, часть АВ-квартета, J=18 Гц, 1Н, S-CH2; 3,70-4,20, m, 5H, 4H, N-CH2 и 1Н, S-CH2; 5,28, d, J=5 Гц, 1Н, Прим. 86: 3,12, s 3H, N-СН3, 3,14, s, 6H, N-СН3; 3,61, часть АВ-квартета, J=18 Гц, 1Н, S-CH2; 3,70-4,18, m, 5H, 4H, N-СН2 и 1Н, S-CH2; 5,29, d, J=5 Гц, 1Н, Прим. 87: 1,12-1,30, m, 6H, СН3; 3,09, s, 3H, N-СН3; 3,32-4,20, m, 10Н, 8H, N-CH2 и 2Н, S-CH2; 5,28, d, J=5 Гц, 1Н, Прим. 88: 0,92, t, J=7 Гц, 3Н, СН3; 1,50-1,75, m, 2Н, CH2-C; 3,14, s, 6H, N-СН3; 3,30-3,50, m, 2Н, N-CH2; 3,61, часть АВ-квартета, J=18 Гц, 1Н, S-СН2; 3,72-4,18, m, 5H, 4H, N-CH2 и 1Н, S-CH2; 5,29, d, J=5 Гц, 1Н, Прим. 89: 3,28, s, 3Н, N-СН3; 3,42-3,72, m, 5H, 4H, N-CH2 и 1Н, S-CH2; 3,90-4,50, m, 5H, 4H, N-CH2 и 1Н, S-CH2; 5,29, d, J=5 Гц, 1Н, Прим. 90: 1,90-2,12, m, 2Н, CH2-C; 3,20-3,60, m, 8H, 4H, N-CH2 и 3Н, N-СН3 и 1Н, S-CH2; 3,62-4,15, m, 5H, 4H, N-CH2 и 1Н, S-CH2; 5,27, d, J=5 Гц, 1Н, Прим. 91 (диаизостереомерная смесь): 1,20-1,40, m, 3Н, СН3; 3,30-3,65, m, 2Н, 1Н, N-CH и 1Н, S-CH2; 3,95-4,30, m, 2Н, N-CH2; 4,53, часть АВ-квартета, J=18 Гц, 1Н, S-CH2; 5,30, d, J=5 Гц, 1Н, Прим. 92 (диаизостереомерная смесь): 1,20-1,40, m, 3Н, СН3; 2,94, d, J=5 Гц, 3Н, N-СН3; 3,30-3,70, m, 2Н, 1Н, N-CH и 1Н, S-CH2; 3,90-4,30, m, 2Н, N-CH2; 4,49, часть АВ-квартета, J=18 Гц, 1Н, S-CH2; 5,31, d, J=5 Гц, 1Н, Прим. 93: 1,32, d, J=6 Гц, 3Н, СН3; 1,70-1,98, m, 2H, CH2-C; 2,75-2,98, m, 2H, N-CH2; 3,25-3,65, m, 4H, 2H, N-СН2 и 1Н, N-CH и 1Н, S-CH2; 4,05-4,35, m, 2H, N-CH2; 4,53, часть АВ-квартета, J=18 Гц, 1Н, S-CH2; 5,22, d, J=5 Гц, 1Н, Прим. 94: 1,28, d, J=6 Гц, 3Н, СН3; 1,70-1,92, m, 2H, CH2-C; 2,72-3,00, m, 2H, N-CH2; 3,22-3,72, m, 4H, 2H, N-CH2 и 1Н, N-CH и 1Н, S-СH2; 3,90-4,35, m, 2H, N-CH2; 4,49, часть АВ-квартета, J=18 Гц, 1Н, S-CH2; 5,19, d, J=5 Гц, 1Н, Прим. 95 (в CDCl3/CD3OD=1/1): 1,46, s, 3Н, СН3; 1,48, s, 3Н, СН3; 3,55 и 4,32, АВ-квартет, J=18 Гц, 2H, S-CH2; 3,71, АВ-система, J=4 Гц и 10 Гц, 2H, N-CH2; 5,18, d, J=5 Гц, 1Н, Прим. 96 (в СDCl3/СD3OD=1/1): 1,46, s, 3Н, СН3; 1,48, s, 3Н, СН3; 2,84, s, 3Н, N-СН3; 3,56 и 4,36, АВ-квартет, J=18 Гц, 2H, S-СН2; 3,76, b, 2H, N-СН2; 5,19, d, J=5 Гц, 1Н, Прим. 97: 3,17, s, 3Н, N-СН3; 3,58, s, 3Н, N-СН3; 3,65 и 4,25, АВ-квартет, J=18,2 Гц, 2H, S-CH2; 5,28, d, J=5 Гц, 1Н, Прим. 98 (в D2O): 1,84, b, 2H, CH2-C; 2,84, b, 2H, N-CH2; 3,34, b, 2H, N-CH2; 3,56 и 4,40, АВ-квартет, J=18 Гц, 2H, S-CH2; 3,68-4,10, m, 4H, N-СН2; 5,13, d, J=5 Гц, 1Н, Прим. 99 (в D2O): 3,45-3,68, m, 3H, 2Н, N-CH2 и 1Н, S-CH2; 3,70-4,10, m, 4H, N-CH2; 4,40, часть АВ-квартета, J=18 Гц, 1Н, S-CH2; 5,16, d, J=5 Гц, 1Н, Прим. 100: 1,18, t, J=7 Гц, 3H, СН3; 3,15, s, 3H, N-СН3; 3,42-3,68, m, 3H, 2Н, N-CH2 и 1Н, S-CH2; 3,70-4,10, m, 4H, N-СН2; 4,25, часть АВ-квартета, J=18 Гц, 1Н, S-CH2; 5,12, d, J=5 Гц, 1Н, Прим. 101: 3,58 и 4,47, АВ-квартет, J=18 Гц, 2Н, S-CH2; 3,85-4,00, m, 2Н, N-CH2; 4,15-4,30, m, 2Н, N-CH2; 5,35, d, J=5 Гц, 1Н, Прим. 102: 3,45-3,97, m, 9H, 6H, N-СH2 и 2Н, О-СН2 и 1Н, S-CH2; 4,43, часть АВ-квартета, J=18 Гц, 1Н, S-CH2; 5,32, d, J=5 Гц; 1Н, Прим. 103: 3,51 и 4,36, АВ-квартет, J=18 Гц, 2Н, S-СН2; 3,71, b, 4H, N-CH2; 5,29, d, J=5 Гц, 1Н, Прим. 104: 1,90, m, 2Н, CH2-C; 3,33, b, 4H, N-CH2; 3,50 и 4,45, АВ-квартет, J=18 Гц, 2Н, S-CH2; 5,28, d, J=5 Гц, 1Н, Прим. 105: 3,11, b, 2Н, N-СН2; 3,51 и 4,39, АВ-квартет, J=18 Гц, 2Н, S-СH2; 3,60-3,95, m, 6H, N-CH2; 5,30, d, J=5 Гц, 1Н, Прим. 106: 3,56 и 4,45, АВ-квартет, J=18 Гц, 2H, S-CH2; 3,75-4,25, m, 4H, N-CH2; 4,30, s, 3Н, СН3; 5,33, d, J=5 Гц, 1Н, Прим. 107: 3,15, s, 6H, N-СН3; 3,55-3,82, m, 5H, 4H, N-CH2 и 1Н, S-СН2; 3,95, часть АВ-квартета, J=18 Гц, 1Н, S-CH2; 5,29, d, J=5 Гц, 1Н, Прим. 108: 1,12, t, J=7 Гц, 3Н, СН3; 3,42, q, J=7 Гц, 2Н, N-CH2; 3,51 и 4,38, АВ-квартет, J=18 Гц, 2H, S-CH2; 3,60-3,90, m, 4H, N-CH2; 5,32, d, J=5 Гц, 1Н, Прим. 109: 2,98, s, 3Н, N-СН3; 3,51 и 4,38, АВ-квартет, J=18 Гц, 2H, S-CH2; 3,60-3,88, m, 4H, N-CH2; 5,30, d, J=5 Гц, 1Н, Прим. 110: 0,87, t, J=7 Гц, 3Н, СН3; 1,45-1,70, m, 2H, СH2-С; 3,25-3,40, m, 2H, N-CH2; 3,51 и 4,39, АВ-квартет, J=18 Гц, 2H, S-CH2; 3,60-3,90, m, 4H, N-CH2; 5,30, d, J=5 Гц, 1Н, Прим. 111: 1,00-1,32, m, 6H, СН3; 3,51 и 4,39, АВ-квартет, J=18 Гц, 2H, S-CH2; 3,60-3,90, m, 4H, N-CH2; 4,08-4,30, m, 1Н, N-CH; 5,30, d, J=5 Гц, 1Н, Прим. 112: 1,16, d, 12H, СН3; 3,40-3,90, m, 6H, 4Н, N-CH2 и 2Н, S-СH2; 4,67, h, 2Н, N-CH; 5,21, d, J=5 Гц, 1H, Прим. 113 (диаизостереомерная смесь): 1,27, d, J=6 Гц, 3Н, СН3; 3,20-3,38, m, 1H, N-CH; 3,52 и 4,37, АВ-квартет, J=18 Гц, 2Н, S-CH2; 3,75-3,92, m, 1H, 1H, N-CH2; 4,08-4,30, m, 1H, 1H, N-CH2; 5,29, d, J=5 Гц, 1H, Прим. 114: 3,52 и 4,42, АВ-квартет, J=18,2 Гц, 2Н, S-CH2; 3,79, s, 3Н, O-СН3; 3,83 и 4,02, q, 1H, J=5,5 Гц и 10,0 Гц и широкий триплет, 1H, J=10,4 Гц, N-CH2; 4,79, q, 1H, J=5,5 Гц и 10,4 Гц, N-CH; 5,32, d, J=5 Гц, 1H, Прим. 115: 3,4-3,9, m, 5H, 1H, NCH и 1H, NCH2 и 2Н, О-СН2 и 1H, SCH2, 4,40, m, 1H, N-CH2; 4,43, часть АВ-квартета, J=18 Гц, 1H, S-СH2; 5,31 d, J=4,6 Гц, 1H, Прим. 116 (в D2O): 3,11, s, 3Н, N-СН3; 3,28, s, 3Н, N-СН3; 3,58-3,71, m, 3Н, 2Н, N-CH2 и 1H, S-СН2; 3,78-3,89, m, 2Н, N-CH2; 3,96, s, 3Н, O-СН3; 3,97, часть АВ-квартета, J=18 Гц, 1H, S-OH2; 5,22, d, J=5 Гц, 1H, Прим. 117 (в D2O): 3,10, s, 3Н, N-СН3; 3,29, s, 3Н, N-СН3; 3,50-3,72, m, 3Н, 2Н, N-CH2 и 1H, S-CH2; 3,75-3,89, m, 2Н, N-CH2; 3,97, часть АВ-квартета, J=18 Гц, 1H, S-CH2; 5,22, d, J=5 Гц, 1H, Прим. 118 (в ДMCO-d6/D2O): 3,12, s, 3Н, N-СН3; 3,30, s, 3Н, N-СН3; 3,52-3,72, m, 3Н, 2Н, N-CH2 и 1H, S-CH2; 3,76-3,91, m, 2Н, N-CH2; 4,01, часть АВ-квартета, J=18 Гц, 1H, S-CH2; 5,22, d, J=5 Гц, 1H, Прим. 119: 3,31, b, 4H, N-СН2-пиперазин; 3,52-4,30, m, 10Н, 4Н, N-СН2-пиперазин и 4H, N-СН2-имидазол и 2Н, S-CH2; 5,29, d, J=5 Гц, 1H, Прим. 120: (диаизостереомерная смесь): 1,15-1,60, m, 4H, CH2-C; 1,62-1,85, m, 2Н, СН2-С; 1,88-2,22, m, 2Н, СH2-С; 3,20-3,40, m, 2H, N-CH; 3,52 и 4,31 bzw, 3,55 и 4,39, АВ-квартет, J=18 Гц, 2Н, S-CH2; 5,31, d, J=5 Гц, 1Н, Прим. A: 3,38-3,58 и 3,60-3,80, m, 4H, N-CH2 Прим. Б (в СDСl3): 3,60-3,75 и 3,76-3,92, m, 4H, N-CH2; 7,22-7,48, m, 4H, 3Н, СН-ароматич. и 1H, CH=N; 7,52-7,68, m, 2Н, СН-ароматич. Прим. В: 1,39, b, 9H, СН3; 2,98-3,20 и 3,22-3,40 и 3,42-3,55 и 3,57-3,78, m, 8H, N-CH2 Прим. Г (в D2O): 0,80, t, J=7 Гц, 3Н, СН3; 1,53, hex, J=7 Гц, 2Н, СH2-С; 2,99, s, 3Н, N-СН3; 3,25, t, J=7 Гц, 2Н, N-СН2; 3,40-3,65, m, 4H, N-CH2 Прим. Д (в D2O): 0,79, t, J=7 Гц, 3Н, СН3; 1,52, hex, J=7 Гц, 2Н, СH2-C; 2,97, s, 6H, N-СН3; 3,15, t, J=7 Гц, 2Н, N-CH2; 3,48-3,75, m, 4H, N-CH2 Прим. Е (в D2O): 1,68-1,90, m, 2Н, CH2-C; 3,08-3,32, m, 4H, N-CH2; 3,42-3,70, m, 4H, N-CH2 Прим. Ж (в D2O): 1,70-1,90, m, CH2-C; 2,73, s, 6H, N-СН3; 3,10-3,30, m, 4H, N-CH2; 3,40-3,70, m, 4H, N-CH2 Прим. 3 (в D2O): 1,21, d, J=7 Гц, 12Н, СН3; 3,70-3,96, m, 4H, N-CH2; 3,98-4,18, m, 2Н, N-CH Прим. И (в D2O): 3,28-3,48, m, 4H, N-СН2; 3,82-4,00, m, 4H, N-СН2 Прим. К (в СDCl3): 3,12, s, 3Н, N-СН3; 3,57, s, 3H, N-СН3; 6,95 и 6,99, АВ-квартет, J=2 Гц, 2Н, N-CH Прим. Л (в D2O): 3,30-3,60, m, 3Н, 2Н, О-СН2 и 1Н, N-CH2; 3,78, t, J=10 Гц, 1Н, N-CH2; 4,14, m, 1Н, N-CH Прим. M: 3,61, q, J=5,4 Гц и 10,3 Гц, 1Н, N-CH; 3,87, s, 3Н, O-СН3, 4,10, t, J=10,3 Гц, 1Н, N-CH2; 4,56, q, J=5,4 Гц и 10,6 Гц, 1Н, N-СН2 Прим. Н: 3,33-3,50, m, 5H, 3Н, N-СН3 и 2Н, N-CH2; 3,66-3,78, m, 2Н, N-CH2 Прим. О: 3,40-3,64 и 3,66-3,92, m, 4H, N-CH2; 6,75-6,92, m, 3Н, CH-ароматич.; 7,15-7,40, m, 2Н, СН-ароматич. Прим. П: 2,85, d, J=5 Гц, 3Н, СН3; 3,40-3,56 и 3,58-3,72, m, 4H, N-CH2 8,18, d, J=5 Гц, 1Н, NH Прим. P (в D2O): 3,41-3,81, m, 16H, 8H, N-СН2-пиперазин и 4H, N-CH2-имидазол и 4H, N-CH2 Прим. С: 3,35-3,58, m, 4H, N-СН2-имидазол; 3,60-3,72, m, 4H, 2Н, N-CH2 и 2Н, O-СН2; 7,14, b, 2Н, NH2 Прим. Т: 1,24, t, J=7 Гц, 3Н, СН3; 2,85-3,15, m, 4H, N-CH2; 3,42-3,78, m, 6H, 4H, N-СН2-имидазол и 2Н, N-CH2; 8,30, t, J=6 Гц, 1Н, NH; 9,20, b, 1Н, NH; 9,46, b, 2Н, NH2 Прим. У (в D2O): 2,87, s, 6H, СН3; 3,28-3,40, m, 2Н, N-CH2; 3,51-3,75, m, 6H, 4H, N-CH2-имидазол и 2Н, N-CH2 Прим. Ф (в D2O): 3,08-3,26, m, 2Н, N-CH2; 3,43-3,76, m, 6H, 4H, N-СН2-имидазол и 2Н, N-CH2 Прим. X: 2,68-2,91, m, 2Н, N-CH2; 3,30-3,76, m, 6H, 4H, N-CH2-имидазол и 2Н, O-СН2 Прим. Ц (в D2O): 1,78-2,00, m, 2Н, СН2-С; 2,89-3,14, m, 2Н, N-CH2; 3,25-3,32, m, 2Н, N-CH2; 3,45-3,71, m, 4H, N-СН2-имидазол Прим. Ч (в D2O): 3,07-3,29, m, 4H, N-CH2; 3,45-3,69, m, 6H, 4H, N-СН2-имидазол и 2Н, N-CH2; 3,70-3,79, m, 2Н, O-СН2 Прим. Ш (в D2O): 3,15-3,80, m, 20H, N-CH2 и O-СH2 Прим. Щ (в D2O): 1,20-1,50, m, 2H, СH2-C; 1,72-2,00, m, 3Н, СH2-С и СН-С; 2,71-3,72, m, 10Н, N-CH2 Прим. Э: 3,12-3,41, m, 2H, N-CH2; 3,43-3,90, m, 6H, N-CH2; 7,88-8,08, m, 1H, пир.-Н; 8,10-8,20, m, 1H, СН-ароматич.; 8,40, b, 1H, NH; 8,50-8,68, m, 1H, СН-ароматич.; 8,71-8,90, m, 1H, СН-ароматич.; 9,38, b, 1H, NH Прим. AA: 3,28-3,72, m, 12H, N-CH2 и O-CH2 8,09, t, J=6 Гц, 1H, NH, 8,86, b, 1H, NH Прим. АБ (в D2O): 3,40-3,78, m, 4H, N-СН2-имидазол Прим. АВ: 2,66-2,90, m, 4H, O-СН2; 3,38-3,88, m, 8H, N-CH2 Прим. АГ (в D2O); 1,46-1,76, m, 4H, С-СН2-С; 2,82-3,02, m, 2H, N-CH2; 3,08-3,30, m, 2H, N-СН2; 3,40-3,74, m, 4H, N-СН2-имидазол Прим. АД: 3,20-3,40, m, 2H, N-CH2; 3,42-3,78, m, 6H, N-СН2-имидазол и O-СН2; 8,14, t, J=6 Гц, 1H, NH; 8,99, b, 1H, NH Прим. АЕ (в D2O): 1,13-1,38, m, 4H, CH2-C; 1,40-1,68, m, 4H, СН2-С; 2,78-2,98, m, 2H, N-CH2; 3,02-3,22, m, 2H, N-CH2; 3,40-3,68, m, 4H, N-CH2-имидазол Прим. АЖ (в D2О): 1,22, d, J=6 Гц, 3Н, СН3; 3,25-3,75, m, 7H, N-CH2 и N-CH Прим. AЗ: 2,95-4,18, m, 16H, N-CH2 и О-СН2; 8,43, b, 1H, NH; 9,42, b, 1H, NH Прим. АИ (в D2O): 1,37, s, 6H, СН3; 3,48, s, 2H, N-CH2; 3,50-3,95, m, 4H, N-СН2-имидазол; 7,35-7,51, m, 3Н, СН-ароматич.; 7,66, s, 1H, CH=N; 7,70-7,82, m, 2H, СН-ароматич. Прим. АК (в ДМСО-d6/D2О); 4,00-4,22 и 4,28-4,48, m, 4H, N-CH2; 4,53, s, 3Н, СН3; 8,14, s, 1H, CH=N; 8,48-8,62 и 8,92-9,10, m, 4H, СН-ароматич. Прим. АЛ (в D2O): 2,87, s, 3Н, СН3; 2,90-3,80, m, 12H, 8H, N-CH2-пиперазин и 4H, N-СН2-имидазол Прим. AM: 0,58-0,82, m, 4H, СH2-С; 2,55-2,72, m, 1H, CH-C; 3,50-3,82, m, 4H, N-CH2 Прим. АН: 1,10, t, J=7 Гц, 3Н, СН3; 3,27, р, J=7 Гц, 2Н, N-CH2; 3,42-3,78, m, 4H, N-CH2; 8,30, t, J=7 Гц, 1H, NH; 9,06, b, 1H, NH Прим. АО: 0,86, t, J=7 Гц, 3Н, СН3; 1,48, h, J=7 Гц, 2Н, CH2; 3,16, р, J=7 Гц, 2Н, N-CH2; 3,40-3,72, m, 4H, N-CH2; 8,30, t, J=7 Гц, 1H, NH; 9,03, b, 1H, NH Прим. АП (в D2О): 3,08, t, J=5 Гц, 2Н, N-CH2; 3,33, t, J=5 Гц, 2Н, N-CH2; 3,42-3,71, m, 12H, 4H, N-CH2 и 8Н, O-CH2 Прим. АР (в D2О): 1,89, р, J=7,5 Гц, 2Н, СН2 2,61, s, 3Н, N-СН3; 3,00, t, J=7,5 Гц, 2Н, N-CH2; 3,25, t, J=7,5 Гц, 2Н, N-CH2; 3,42-3,72, m, 4H, N-CH2 Прим. AC (в D2O): 1,89, р, J=7,5 Гц, 2Н, CH2; 2,92-3,15, m, 4H, N-CH2; 3,23, t, J=7,5 Гц, 2Н, N-CH2; 3,42-3,68, m, 4H, N-CH2; 3,71, t, J=5 Гц, 2Н, O-CH2 Прим. AT (в D2О): 1,82-2,02, m, 2Н, CH2; 2,79, s, 6H, N-СН3; 3,04-3,18, m, 2Н, N-CH2; 3,24, t, J=7 Гц, 2Н, N-CH2; 3,43-3,69, m 4H, N-CH2 Прим. АУ (в D2O): 1,84, р, J=6 Гц, 2Н, CH2; 3,13-3,43, m, 8Н, 6H, N-CH2 и 2Н, O-CH2; 3,68-3,84, m, 4H, N-CH2 Прим. АФ (в D2O): 1,85-2,12, m, 2Н, CH2; 2,64, s, 3Н, СН3; 2,95-3,12, m, 2Н, N-CH2; 3,30-3,42, m, 2Н, N-CH2; 3,50-3,78, m, 8Н, 6H, N-CH2 и 2Н, O-СН2 Прим. АХ (в D2O): 1,84-2,08, m, 2Н, CH2; 2,98-3,18, m, 4H, N-CH2; 3,30-3,42, m, 2Н, N-CH2; 3,48-3,82, m, 10Н, 6H, N-CH2 и 4H, O-CH2 Прим. АЦ (в D2O): 1,95-2,20, m, 2Н, СH2; 2,88, s, 6H, N-СН3; 3,12-3,28, m, 2Н, N-CH2; 3,38-3,50, m, 2Н, N-CH2; 3,58-3,83, m, 8Н, 6H, N-CH2 и 2Н, O-CH2 Прим. АЧ (в D2O): 2,67, s, 6H, N-СН3; 3,49-3,80, m, 8Н, 6H, N-CH2 и 2Н, O-CH2 Прим. АШ (в D2O): 1,69, р, J=7 Гц, 2Н, СH2-С; 3,19, t, J=7 Гц, 2Н, N-СН2; 3,40-3,64, m, 6Н, 4Н, N-OH2 и 2Н, O-СH2 Прим. АЩ (в D2О): 3,03, s, 3Н, N-СН3; 3,48, t, J=5 Гц, 2Н, N-CH2; 3,52-3,62, m, 4Н, N-CH2; 3,70, t, J=5 Гц, 2Н, O-СH2 Прим. АЭ (в D2O): 2,70-3,40, m, 4Н, N-CH2 3,42-3,75, m, 4Н, N-CH2 3,85-4,10, m, 1H, O-CH Прим. БА (в D2O): 3,20-3,75, m, 16H, N-CH2 Прим. ББ (в D2O): 1,10, t, J=7 Гц, 3Н, СН3; 3,30-3,80, m, 10Н, 8Н, N-СН2 и 2Н, О-СН2 Прим. БВ (в D2O): 1,78-2,18, m, 4Н, СH2-С; 2,85-3,18, m, 6Н, N-CH2; 3,20-3,38, m, 2Н, N-CH2; 3,40-3,78, m, 4Н, N-CH2 Прим. БГ (в D2O): 1,20-1,60, m, 4Н, CH2-C; 1,80-2,20, m, 4Н, CH2-С; 2,98-3,40, m, 2Н, N-CH; 3,42-3,72, m, 4Н, N-CH2 Прим. БД (в D2O): 1,05, t, J=7 Гц, 3Н, СН3; 3,22, q, J=7 Гц, 2Н, N-CH2 3,40-3,68, m, 4Н, N-CH2 Прим. БЕ (в D2O): 3,06-3,34, m, 2Н, N-CH2 3,36-3,66, m, 6Н, 4Н, N-СH2 и 2Н, О-СН2; 3,68-3,82, m, 1H, O-CH Прим. БЖ (в D2O): 1,07, t, J=7 Гц, 3Н, СН3; 2,98, s, 3Н, N-СН3; 3,34, q, J=7 Гц, 2Н, N-CH2; 3,42-3,58, m, 4Н, N-CH2 Прим. БЗ (в D2O): 1,05, t, J=7 Гц, 3Н, СН3; 1,88-2,12, m, 2Н, СН2-С; 2,78, s, 6Н, N-СН3; 2,98-3,35, m, 4Н, N-CH2; 3,40-3,70, m, 6Н, N-CH2 Прим. БИ (в D2O): 1,22, t, J=7 Гц, 3Н, СН3; 1,72-1,95, m, 2Н, CH2-С; 2,95-3,18, m, 2Н, N-CH2; 3,20-3,40, m, 6Н, N-CH2; 3,60-3,80, m, 2Н, N-CH2 Прим. БК (в D2O): 1,10, t, J=7 Гц, 3Н, СН3; 1,25-1,60, m, 4Н, CH2-C; 1,82-2,20, m, 4Н, CH2-C; 3,00-3,20, m, 1H, N-CH; 3,29, q, J=7 Гц, 2Н, N-CH2; 3,42-3,68, m, 4Н, N-CH2; 3,85-4,10, m, 1H, N-CH Прим. БЛ (в D2О): 1,25-1,60, m, 4Н, CH2-C; 1,85-2,20, m, 4Н, CH2-C; 2,96-3,25, m, 1H, N-CH; 3,30-3,40, m, 2Н, N-CH2; 3,50-3,78, m, 6Н, 4Н, N-CH2 и 2Н, O-CH2; 4,02-4,22, m, 1H, N-CH Прим. БМ (в D2О): 1,65-1,95, m, 2H, СH2-С; 3,05-3,38, m, 8H, N-CH2; 3,40-3,82, m, 8H, N-CH2 Прим. БН (D2O): 2,84, s, 3Н, N-СН3; 3,40-3,65, m, 4H, N-СН2 Прим. БО (в D2O): 2,98, s, 3Н, N-СН3; 3,0, s, 3Н, N-СН3; 3,42-3,58, m, 4H, N-CH2 Прим. БП (в D2O): 1,13, t, J=7 Гц, 3Н, СН3; 2,96, s, 3Н, N-СН3; 3,40-3,60, m, 6H, N-СН2 Прим. БР (D2O): 1,25-1,60, m, 4H, СН2-С; 1,85-2,18, m, 4H, CH2-C; 2,93, s, 3Н, N-СН3; 3,02-3,25, m, 1H, N-CH; 3,40-3,68, m, 4H, N-CH2; 3,88-4,10, m, 1H, N-CH Прим. БС (D2O): 2,95, s, 3Н, N-СН3; 3,42-3,70, m, 8H, 6H, N-CH2 и 2Н, O-СH2 Прим. БТ (D2O): 3,25-3,82, m, 12H, 8H, N-СH2 и 4H, O-CH2 Прим. БУ (D2O): 1,22, t, J=7 Гц, 6H, СН3; 3,10-3,28, m, 4H, N-CH2 3,30-3,42, m, 2H, N-CH2 3,50-3,75, m, 6H, N-СН2 Прим. БФ (в D2O): 1,88-2,08, m, 2H, CH2-C; 2,83, s, 6H, N-СН3; 3,05-3,20, m, 2H, N-CH2; 3,25-3,38, m, 2H, N-СН2; 3,46-3,70, m, 4H, N-CH2 Прим. БХ (в D2О): 1,20, t, J=7 Гц, 6H, СН3; 3,22, q, J=7 Гц, 4H, N-CH2; 3,26-3,38, m, 2H, N-СH2; 3,48-3,74, m, 6H, N-СH2 Прим. БЦ (в D2O): 1,24, t, J=7 Гц, 6H, СН3; 3,07, s, 3Н, N-СН3; 3,12-3,92, m, 12H, N-CH2 Прим. БЧ (в D2O): 2,87, s, 6H, N-СН3; 3,30-3,48, m, 2H, N-СН2; 3,50-3,78, m, 6H, N-CH2 Прим. БШ (в D2O): 3,55-3,82, m, 4H, N-CH2; 5,00, s, 2H, O-СH2; 7,10, s, 1H, CH; 7,99, s, 1H, CH Прим. БЩ (в D2О): 1,10-1,54, m, 4H, СН2-С; 1,56-1,84, m, 2H, СH2-С; 1,86-2,18, m, 2H, СН2-С; 3,10-3,46, m, 2H, N-CH; 3,48-3,70, m, 4H, N-СH2 Прим. БЭ (в D2O): 0,79, t, J=7 Гц, 3Н, СН3; 1,51, hex, J=7 Гц, 2H, СH2-С; 3,15, t, J=7 Гц, 2H, N-CH2; 3,40-3,70, m, 4H, N-СH2 Прим. ВА (в D2O): 1,11, d, J=7 Гц, 6H, СН3; 3,40-3,62, m, 4H, N-CH2; 3,72-3,92, m, 1H, N-CH Прим. ВБ (в D2О): 1,22-2,00, m, 6H, СН2-С; 2,80-3,08, m, 2H, N-CH2; 3,20-3,82, m, 10H, N-CH2 Прим. ВВ (в D2О): 0,80, t, J=7 Гц, 3Н, СН3; 1,10-1,38, m, 2H, СН2-С; 1,40-1,58, m, 2H, СH2-С; 3,00, s, 3Н, N-СН3; 3,20-3,38, m, 2H, N-СН2; 3,40-3,68, m, 4H, N-CH2 Прим. ВГ (в D2O): 0,80, t, J=7 Гц, 3Н, СН3; 1,08-1,32, m, 2H, CH2-C; 1,36-1,62, m, 2H, CH2-C; 3,08-3,30, m, 2H, N-CH2; 3,40-3,70, m, 4H, N-CH2 Прим. ВД (в D2О): 1,10-1,90, m, 6H, СН2-С; 2,78-3,04, m, 5H, 2H, N-СН2 и 3Н, N-СН3; 3,20-3,90, m, 10Н, N-CH2 Прим. BE (в D2O): 1,75-2,22, m, 4H, СН2-С; 2,92-3,18, m, 2H, N-CH2; 3,32-3,48, m, 2H, N-СH2; 3,48-3,78, m, 8H, N-CH2 Прим. ВЖ (D2O): 3,48-3,72, m, 4H, N-CH2; 4,11, s, 2H, CH2 Прим. ВЗ (D2O): 0,79, t, J=7 Гц, 3Н, СН3; 1,08-1,40, m, 4H, CH2-C; 1,42-1,68, m, 2H, CH2-C; 3,10-3,32, m, 2H, N-СН2; 3,40-3,70, m, 4H, N-CH2 Прим. ВИ (D2O): 0,75, t, J=7 Гц, 3Н, СН3; 1,08-1,32, m, 6H, CH2-C; 1,48-1,60, m, 2H, СН2-С; 3,10-3,25, m, 2H, N-CH2; 3,40-3,68, m, 4H, N-СН2 Прим. BK (D2O): 0,90, t, J=7 Гц, 3Н, СН3; 1,20-1,48, m, 8H, СН2-С; 1,52-1,75, m 2H, CH2-C; 3,25-3,40, m, 2H, N-CH2; 3,52-3,80, m, 4H, N-CH2 Прим. ВЛ (D2O): 1,80-2,02, m, 2H, CH2-C; 3,10-3,38, m, 4H, N-CH2; 3,40-3,65, m, 4H, N-CH2 Прим. ВМ (в D2O): 1,09, t, J=7 Гц, 3Н, СН3; 2,98, s, 6H, N-СН3; 3,26, q, J=7 Гц, 2H, N-СН2; 3,48-3,75, m, 4H, N-CH2 Прим. ВН (в D2O): 2,90, s, 3Н, N-СН3; 2,99, s, 6H, N-СН3; 3,45-3,75, m, 4H, N-CH2 Прим. ВО (в D2O): 1,00-1,22, m, 6H, СН3; 2,94, s, 3Н, N-СН3; 3,12-3,45, m, 4H, N-CH2; 3,50-3,72, m, 4H, N-CH2, Прим. ВП (в D2O): 3,1, s, 3H, N-СН3; 3,20-3,42, m, 4H, N-CH2; 3,75-4,02, m, 4H, N-CH2 Прим. BP (в D2O): 1,72-2,02, m, 2H, CH2-C; 2,95-3,30, m, 7H, 3H, N-СН3 и 4H, N-CH2; 3,32-3,70, m, 4H, N-CH2 Прим. ВС (в D2О): 1,17, d, J=6 Гц, 3Н, СН3; 2,75, s, 3H, N-СН3; 3,05-3,28, m, 1H, N-CH; 3,60-4,10, m, 2H, N-CH2 Прим. ВТ (в D2O): 1,17, d, J=6 Гц, 3Н, СН3; 3,12-3,30, m, 1H, N-CH; 3,68-4,05, m, 2H, N-CH2 Прим. ВУ (в D2O): 1,2, d, J=6 Гц, 3Н, СН3; 1,72-2,12, m, 2H СН2-С; 2,88-3,10, m, 2H, N-CH2; 3,12-3,45, m, 3Н, 2H, N-CH2 и 1H, N-CH; 3,68-4,15, m, 2H, N-CH2 Прим. ВФ (в СDСl3/СD3ОD=1/1): 1,40, s, 6H, СН3; 2,90, s, 3H, N-СН3; 3,58, s, 2H, N-CH2 Прим. ВХ (в СDCl3/СD3OD=1/1); 1,40, s, 6H, СН3; 3,54, s, 2H, N-CH2 Прим. ВЦ: 0,84, t, J=7 Гц, 3Н, СН3; 1,49, hex, J=7 Гц, 2H, CH2-C; 3,16, t, J=7 Гц, 2H, N-CH2; 3,42-3,72, m, 4H, N-CH2 Прим. ВЧ (в D2O): 1,14, d, J=7 Гц, 6Н, СН3; 3,50-3,92, m, 5H, 4H, N-СН2 и 1H, N-CH Прим. ВШ: 1,12, d, 12H, СН3; 3,50, b, 4H, N-CH2; 4,88, h, 2H, N-CH Прим. ВЩ: 3,17, b, 4H, N-CH2-пиперазин; 3,40-3,58 и 3,68-3,88, m, 4H, N-CH2-имидазол; 3,98, b, 4H, N-CH2; 9,16, b, 1H, NH; 10,01, b, 2H, NH2 Прим. ВЭ (в D2O): 3,05, s, 3Н, N-СН3; 3,20, s, 3H, N-СН3; 3,45-3,54, m, 2H, N-CH2; 3,66-3,76, m, 2H, N-CH2 Прим. ГБ (в СDСl3): 1,26, t, J=7 Гц, 3Н, СН3; 3,70-4,00, m, 6H, N-CH2 Фармацевтические композиции. Таблетка Смешивают 120 мг 7-[2-(5-амино-1,2,4-тиадиазол-3-ил)-2-(Z)-(фторметоксиимино)ацетиламино]-3-[(2-аминопропилимино)-4,5-дигидро-1H-имидазол-1-ил)иминометил]-3-цефем-4-карбоновой кислоты в виде ее моногидрохлорида (соединение из примера 13) со 192 мг дикальцийфосфата, 190 мг лактозы и 6 мг маисового крахмала. Затем эту смесь гранулируют с 6 мг маисового крахмала и грубо просеивают, сушат в высоком вакууме и просеивают через сито с размером ячеек 1,00 мм. Затем добавляют еще 6 мг маисового крахмала и 292 мг стеарата магния и смесь прессуют в таблетки весом 800 мг и диаметром примерно 1,27 см. Ампула В пузырек с прокалываемой пробкой, содержащий 500 мг 7-[2-(5-амино-1,2,4-тиадиазол-3-ил)-2-(Z)-(фторметоксиимино)ацетиламино]-3-[(2-аминопропилимино)-4,5-дигидро-1Н-имидазол-1-ил)иминометил]-3-цефем-4-карбоновой кислоты из примера 13 в виде моногидрохлорида вводят с помощью шприца 10 мл стерильной воды из отдельной ампулы. К полученному раствору добавляют физиологический раствор хлорида натрия и приготовленный таким образом раствор для инъекции используют для инфузии в течение 20-30 минут пациенту, нуждающемуся в лечении.
Формула изобретения
1. Цефемовое соединение, замещенное в положении 3 циклической аминогуанидиновой группой формулы в которой W обозначает СН или N, V обозначает NО, R1 обозначает водород или (С1-С4)алкил, необязательно замещенный галогеном, R3 обозначает водород или остаток сложного эфира, R2 обозначает группу формулы где Х обозначает (С2-С3)алкилен или (С2-С3)алкенилен с одной -С=С- двойной связью, R5 обозначает водород, (С1-С8алкил), необязательно замещенный гидроксилом, карбокси, ди(низш.алкил)амино, гетероциклилом, содержащим от 5 до 6 членов в кольце и включающим от одного до двух гетероатомов, выбранных из О, N или S, или R5 обозначает аминоиминометил формулы где R11 и R12 независимо друг от друга обозначают водород или (С1-С4)алкил, R6 обозначает водород, (С1-С4)алкиламино, ди(С1-С4)алкиламино, фениламино, нафтиламино, гидроксил, незамещенный (С1-С8)алкил, незамещенный циклоалкил, гетероциклил, содержащий от 5 до 6 членов в кольце и один или два гетероатома, выбранных из О, N, S, причем указанный гетероциклил может быть незамещен или замещен (С1-С4)алкилом, или R6 обозначает (C1-C8)алкил, замещенный гетероциклилом, содержащим от 5 до 6 членов в цикле и один или два гетероатома, выбранных из О, N, S, причем указанный гетероциклил может быть незамещен или замещен гидроксилом; или R6 обозначает (С1-С4)алкил, замещенный гидроксилом, алкокси, гуанидино, амино, (С1-С4)алкиламино, ди(С1-С4)алкиламино, или R6 обозначает циклоалкил, замещенный аминогруппой, или R6 обозначает группу формулы -NR9R10, где R9 и R10 независимо друг от друга обозначают водород, фенил, нафтил, незамещенный (С1-С4)алкил или (C1-С4)алкил, замещенный гидроксилом или аминогруппой; или R6 обозначает группу формулы -N=CHR8, в которой R8 обозначает алкил, фенил, нафтил или гетероциклил, содержащий 5 или 6 членов в кольце и от 1 до 2 гетероатомов, выбранных из О, N, S, и которые могут быть незамещенными или замещенными (С1-С4)алкилом, или R5 и R6 вместе обозначают (С2-С3)алкилен, R’6 обозначает низший алкил, Hal обозначает галоген, R7 обозначает водород, или R6 и R7 вместе с атомом азота, с которым они связаны, образуют гетероциклил, содержащий от 5 до 7 членов в цикле и один или два гетероатома, в свободном виде, в виде соли и/или сольвата, или, если такая форма может существовать, в виде внутренней соли, четвертичной соли или их гидратов. 2. Соединение по п.1 формулы в которой W, R1, R3, R5 и R6 имеют значения, указанные в п.1. 3. Соединение по п.1, которое представляет собой 7-{[(5-амино-1,2,4-тиадиазол-3-ил)-(Z)-(фторметоксиимино)ацетил]амино}-3-{[(3-этил-2-метилиминоимидазолидин-1-ил)имино]метил}-3-цефем-4-карбоновую кислоту. 4. Соединение по любому из п.п.1-3 в свободной форме. 5. Соединение по любому из п.п.1-3 в форме соли. 6. Соединение по любому из п.п.1-3 в форме сольвата. 7. Соединение по п.1, обладающее антимикробной активностью. 8. Цефемовое соединение, замещенное в положении 3 циклической аминогуанидиновой группой, формулы в которой Wp обозначает СН или N, Vp обозначает N-O-, R1p обозначает водород или (С1-С4)алкил, необязательно замещенный атомом галогена, R3p обозначает водород или образующую остаток сложного эфира группу, R2p обозначает группу формулы в которой Хр обозначает группу -(СН2)n-, в которой n обозначает число от 2 до 5, две группы СН2– необязательно замещены группой -СН=СН-, R5p обозначает водород, (С1-С8)алкил, (поли)гидрокси(С1-С8)алкил или амино(С1-С8)алкил, R6p обозначает водород, (C1-C8)алкил, гидрокси(С1-С8)алкил, амино(С1-С8)алкил, аминогруппу, гидроксил, алкокси(С1-С4)алкил, циклоалкил или группу формулы -NR9pR10p, в которой R9p и R10p одинаковы или различны и каждый обозначает водородный атом, (С1-С4)алкил, гидрокси(С1-С4)алкил, или фенил, или нафтил, или совместно с азотным атомом обозначают насыщенный незамещенный гетероцикл с 5 или 6 кольцевыми членами с одним или двумя азотными и/или кислородными атомами, a R7p обозначает водород, или R7p и R6p вместе с атомом азота обозначают гетероцикл с 5-7 кольцевыми членами, содержащий один или два азотных и/или кислородных атома, в свободной форме или, когда такие формы возможны, в форме кислотно-аддитивных солей, внутренних солей, четвертичных солей или их гидратов. 9. Способ получения соединения формулы I по п.1, включающий взаимодействие соединения формулы в которой W, V и R1 имеют значения, указанные выше в п.1, а
в свободной форме или в форме его кислотно-аддитивной соли, с амином формулы R2-NH2 III в которой R2 имеет значения, указанные в п.1. 10. Соединение по любому из п.п.1-3, предназначенное для приготовления лекарственного средства для лечения болезней, вызванных микробами. 11. Фармацевтическая композиция, обладающая антимикробной активностью, включающая соединение формулы I в форме фармацевтически приемлемой соли или в свободной форме в сочетании с по меньшей мере одним фармацевтическим носителем или разбавителем. 12. Соединение по п.10, где обусловленная микробами болезнь вызвана бактериями рода, выбранного из группы, включающей Pseudomonas, Escherichia, Enterobacter, Klebsiella, Moraxella, Enterococcus, Streptococcus и Staphylococcus. 13. Замещенные 1-амино-1-имидазолидиновые соединения формулы в которой R’5 обозначает водород, незамещенный (C1-C8)алкил, (C1-C8)алкил, замещенный гидроксилом, карбоксилом, амино, гуанидином или гетероциклилом, содержащим 5 или 6 кольцевых членов и один или два гетероатома, выбранных из N, S и О, или R’5 обозначает пиридилметилимино, R’’6 обозначает водород, незамещенный (С1-С8)алкил, гидроксил, алкокси, незамещенный циклоалкил, аминогруппу или гетероциклил, содержащий от 5 до 6 кольцевых членов и содержащий один или два гетероатома, выбранные из N, S, O, циклоалкил, замещенный аминогруппой, (C1-С8)алкил, замещенный гетероциклилом, содержащим 5 или 6 кольцевых членов и содержащим один или два гетероатомов, выбранных из О, N, S, или R”6 обозначает С1-С8алкил, замещенный амино, ди(С1-С4)алкиламино, (С1-С4) алкиламино, гидрокси(С1-С4)алкиламино, амино(С1-С4)алкиламино, гидроксил, гидроксиалкокси, алкокси, аминоалкоксиалкокси, гуанидино, R’7 и R’8 каждый независимо друг от друга обозначает водород или низший алкил, R’’’6 и R’’’’6 каждый независимо друг от друга обозначает низший алкил или R’’5 обозначает низший алкил или R’’5 и R’’’6 совместно обозначают (С2-С3)алкилен, R’’’’’’6 и R’’7 вместе с атомом азота, с которым они связаны, образуют гетероциклил, содержащий 5 или 6 кольцевых членов и содержащий один или два гетероатома, выбранных из азота, Наl’ обозначает атом галогена, при условии, что соединение формулы IInt, в которой R’5, R’7 и R’8 обозначают водород, a R’’6 обозначает водород, 2-(N-морфолино)этил, 3-(N,N-диметиламино)пропил, (2-гидроксиэтил)аминогруппу или 2-гидроксиэтил, исключается.
PC4A – Регистрация договора об уступке патента Российской Федерации на изобретение
(73) Патентообладатель(и):
(73) Патентообладатель:
Дата и номер государственной регистрации перехода исключительного права: 28.10.2005 № РД0003572
Извещение опубликовано: 20.12.2005 БИ: 35/2005
MM4A – Досрочное прекращение действия патента СССР или патента Российской Федерации на изобретение из-за неуплаты в установленный срок пошлины за поддержание патента в силе
Дата прекращения действия патента: 20.03.2007
Извещение опубликовано: 20.09.2010 БИ: 26/2010
|
|||||||||||||||||||||||||||||||||||||||||||||||||||||||||||||||||||||||||||||||||||||||||||||||||||||||||||||||||||||||||||||||||||||||||||||||||||||||||||||||||||||||||||||||||||||||||||||||||||||||||||||||||||||||||||||||||||||||||||||||||||||||||||||||||||||||||||||||||||||||||||||||||||||||||||||||||||||||||||||||||||||||||||||||||||||||||||||||||||||||||||||||||||||||||||||||||||||||||||||||||||||||||||||||||||||||||||||||||||||||||||||||||||||||||||||||||||||||||||||||||||||||||||||||||||||||||||||||||||||||||||||||||||||||||||||||||||||||||||||||||||||||||||||||||||||||||||||||||||||||||||||||||||||||||||||||||||||||||||||||||||||||||||||||||||||||||||||||||||||||||||||||||||||||||||||||||||||||||||||||||||||||||||||||||||||||||||||||||||||||||||||||||||||||||||||||||||||||||||||||||||||||||||||||||||||||||||||||||||||||||||||||||||||||||||||||||||||||||||||||||||||||||||||||||||||||||||||||||||||||||||||||||||||||||||||||||||||||||||||||||||||||||||||||||||||||||||||||||||||||












-лактама обычны, такие как алкил, например –СF3, арил, алкокси, атомы галогена, гидроксил, карбоксил, производное сульфокислоты, такое как SO3H, производное фосфорной кислоты, ацил, амино, гуанидино, гетероциклил, например пиридил, оксо-, тионо-, меркапто-, алкил- и арилтио-, имино, алкилиминогруппы, СНО.






) Rb обозначает гидроксил, a Rc и Rd совместно обозначают связь или
или
или 
или 
или 
















































































или 
