|
|
(21), (22) Заявка: 97121233/04, 19.12.1997
(24) Дата начала отсчета срока действия патента:
19.12.1997
(30) Конвенционный приоритет:
19.12.1996 (пп.1-16) GB 9626317.3
(43) Дата публикации заявки: 27.10.1999
(45) Опубликовано: 10.02.2005
(56) Список документов, цитированных в отчете о поиске:
ЕР 064034 А1, 15.03.1995. RU 94033107 A1, 20.07.1996. US 3772380 A, 13.11.1973. DT 1767150 В2, 25.05.1972. SU 1416053 A3, 07.08.1988. ЕР 0728726 А1, 28.08.1996.
Адрес для переписки:
101000, Москва, М.Златоустинский пер., д.10, кв.15, “ЕВРОМАРКПАТ”, И.А.Веселицкой
|
(72) Автор(ы):
Эверт Ян ДИТЗЕЛЬ (GB), Джон Глен САНЛИ (GB), Роберт Джон ВАТТ (GB)
(73) Патентообладатель(и):
БП КЕМИКЭЛЗ ЛИМИТЕД (GB)
|
(54) СПОСОБ ПОЛУЧЕНИЯ УКСУСНОЙ КИСЛОТЫ КАТАЛИЗИРУЕМЫМ ИРИДИЕМ КАРБОНИЛИРОВАНИЕМ
(57) Реферат:
Изобретение относится к получению уксусной кислоты. Способ осуществляют путем непрерывной подачи метанола и/или его реакционноспособного производного и монооксида углерода в реактор для карбонилирования, в котором находится жидкая реакционная смесь, содержащая иридиевый катализатор карбонилирования, метилиодидный сокатализатор, воду в ограниченной концентрации, уксусную кислоту, метилацетат. Жидкая реакционная смесь также включает по меньшей мере один промотор, выбранный из группы, включающей рутений, осмий, рений и вольфрам. Затем осуществляют карбонилирование метанола и/или его реакционноспособного производного монооксидом углерода в жидкой реакционной смеси с получением уксусной кислоты. Выделяют уксусную кислоту из жидкой реакционной смеси, при этом постоянно поддерживают (а) концентрацию воды в жидкой реакционной смеси не более 4,5 мас.% и (б) в ходе проведения всей реакции парциальное давление монооксида углерода в реакторе постоянно поддерживают в интервале от более 0 до 1 бар. Технический результат – увеличение скорости карбонилирования, снижение образования побочных продуктов, упрощение выделения уксусной кислоты из реакционной смеси. 16 з.п. ф-лы, 3 табл., 6 ил.

Настоящее изобретение относится к способу получения уксусной кислоты, в частности к способу получения уксусной кислоты карбонилированием в присутствии иридиевого катализатора и метилиодидного сокатализатора.
Получение карбоновых кислот в процессах карбонилирования, катализируемых иридием, известно и описано, например, в патентах Великобритании 1234121, США 3772380, Германии 1767150 и европейских заявках А-0616997, А-0618184, А-0618183 и А-0657386.
В европейской заявке А-0618184 описан способ карбонилирования для получения карбоновых кислот и/или их эфиров в присутствии иридиевого катализатора.
Реакционная смесь содержит от 0 (не включая) до 10% воды, в от 0 (не включая) до 10% галоидированного сокатализатора, от 2 до 40% эфира и карбоновой кислоты как растворителя.
Общее давление, как указано в этой публикации, обычно находится в интервале 5-200 бар, в частности в пределах 5-100 бар, а эксперименты во всех примерах проводили под давлением 30 бар.
В европейской заявке А-0643034 описан способ карбонилирования метанола и/или его реакционноспособного производного в присутствии уксусной кислоты, иридиевого катализатора, метилиодида, воды по меньшей мере в ограниченной концентрации, метилацетата и промотора, выбранного из рутения и осмия.
В заявке описаны эксперименты с периодическими и непрерывными процессами.
В непрерывных процессах вода содержится в низкой концентрации, составляющей 6,8%.
Таким образом, сохраняется необходимость в разработке усовершенствованного способа катализируемого иридием карбонилирования.
Согласно настоящему изобретению было установлено, что в зависимости от концентрации воды в жидкой реакционной смеси заметное влияние на скорость реакции карбонилирования оказывает парциальное давление монооксида углерода. В условиях высокой концентрации воды (более 5 мас.% воды при 30 мас.% метилацетата) при применении иридиевого катализатора без промотора повышение общего давления с 16,5 до 22 бар (расчетное парциальное давление СО соответственно от более 0 до 6 бар) приводит к повышению скорости реакции, в то время как в условиях низкой концентрации воды, например при 1 мас.%, понижение общего давления с 22 до 16,4 бар (расчетное парциальное давление СО соответственно с 6 до более 0 бар) приводит к повышению скорости реакции. Аналогичную тенденцию наблюдают также для данных при 15 мас.% метилацетата и данных в случае промотированных рутением иридиевых катализаторов. Иными словами, положение максимумов скорости на графике зависимости скорости карбонилирования от концентрации воды с понижением парциального давления монооксида углерода смещается в сторону более низкой концентрации воды.
Таким образом, по настоящему изобретению предлагается способ получения уксусной кислоты, включающий (1) непрерывную подачу метанола и/или его реакционноспособного производного и монооксида углерода в реактор для карбонилирования, в котором находится жидкая реакционная смесь, содержащая иридиевый катализатор карбонилирования, метилиодидный сокатализатор, воду в ограниченной концентрации, уксусную кислоту, метилацетат и по меньшей мере один необязательный промотор; (2) карбонилирование метанола и/или его реакционноспособного производного монооксидом углерода в жидкой реакционной смеси с получением уксусной кислоты; и (3) выделение уксусной кислоты из жидкой реакционной смеси, причем при этом постоянно поддерживают (а) концентрацию воды в жидкой реакционной смеси не более 4,5 мас.% и (б) парциальное давление монооксида углерода в реакторе в интервале от более 0 до 7,5 бар.
Настоящее изобретение позволяет решить описанную выше проблему путем непрерывного поддержания определенного парциального давления монооксида углерода и определенной концентрации воды в жидкой реакционной смеси. Благодаря этому достигается несколько технических преимуществ.
Таким образом, по настоящему изобретению положение максимумов скорости с понижением парциального давления монооксида углерода смещается в сторону более низкой концентрации воды. Преимущество применения низкого парциального давления монооксида углерода также состоит в том, что при этом уменьшается также количество образующихся побочных продуктов, например пропионовой кислоты и ее предшественников.
Кроме того, при осуществлении способа по настоящему изобретению проведение процесса в случае концентрации воды не более 4,5 мас.% упрощается выделением уксусной кислоты из реакционной смеси, отводимой из реактора для карбонилирования, поскольку уменьшается количество воды, которое следует отделять от уксусной кислоты, а поскольку отделение воды от уксусной кислоты является энергоемкой частью такого процесса выделения, понижение концентрации воды позволяет уменьшить затруднения технологического порядка и/или затраты.
Повышенная скорость карбонилирования при пониженной концентрации воды по настоящему изобретению позволяет проводить процесс при пониженной концентрации иридиевого катализатора с одновременным сохранением скорости карбонилирования. Преимущество этого состоит в снижении скорости образования побочных продуктов, таких, как пропионовая кислота.
Вода может образовываться in situ в жидкой реакционной смеси, например, вследствие реакции этерификации между метанольным реагентом и получаемой уксусной кислотой. Небольшие количества воды могут также быть получены за счет гидрогенизации метанола с образованием метана и воды. Воду можно вводить в реактор для карбонилирования совместно с другими компонентами жидкой реакционной смеси или отдельно от них. Воду можно отделять от других компонентов реакционной смеси, отводимой из реактора, и можно возвращать в процесс в количествах, регулируемых для поддержания требуемой концентрации воды в этой жидкой реакционной смеси. Концентрация воды в жидкой реакционной смеси не превышает 4,5 мас.%, т.е. меньше или равна 4,5 мас.%, а в предпочтительном варианте не превышает 3 мас.%.
Предпочтительная концентрация воды составляет по меньшей мере 0,1 мас.%, более предпочтительно по меньшей мере 0,5 мас.%.
Пригодные для использования в способе по настоящему изобретению реакционноспособные производные метанола включают метилацетат, диметиловый эфир и метилиодид. В качестве реагентов в предлагаемом способе может быть использована смесь метанола с его реакционноспособными производными. В предпочтительном варианте в качестве реагентов применяют метанол и/или метилацетат. В случае применения метилацетата или диметилового эфира для получения уксусной кислоты в качестве сореагента требуется также вода. Вследствие взаимодействия с получаемой уксусной кислотой или растворителем по меньшей мере некоторое количество метанола и/или его реакционноспособного производного обычно превращается в метилацетат, который, таким образом, содержится в жидкой реакционной смеси. В способе по настоящему изобретению приемлемая концентрация метилацетата в жидкой реакционной смеси составляет 1-70 мас.%, предпочтительно 2-50 мас.%, более предпочтительно 5-50 мас.%, еще более предпочтительно 5-40 мас.% и наиболее предпочтительно 10-40 мас.%.
В способе по настоящему изобретению предпочтительная концентрация метилиодидного сокатализатора в жидкой реакционной смеси находится в интервале 1-20 мас.%, более предпочтительно 4-16 мас.%. С повышением концентрации метилиодидного сокатализатора скорость образования побочных продуктов, таких, как пропионовая кислота, диоксид углерода и метан, обычно снижается. Кроме того, с повышением концентрации метилиодида на стадии выделения уксусной кислоты появляется возможность упростить разделение водной и метилиодидной фаз.
В предпочтительном варианте способа по настоящему изобретению иридиевый катализатор карбонилирования содержится в жидкой реакционной смеси в концентрации, составляющей 400-5000 част./млн в пересчете на иридий, более предпочтительно 500-3000 част./млн в пересчете на иридий и в еще более предпочтительном варианте в пределах 700-3000 част./млн в пересчете на иридий. В способе по настоящему изобретению с повышением концентрации иридия скорость реакции карбонилирования возрастает.
В качестве иридиевого катализатора в жидкой реакционной смеси может быть использовано любое иридийсодержащее соединение, которое растворимо в реакционной смеси. Иридиевый катализатор можно вводить в жидкую реакционную смесь для реакции карбонилирования в любой приемлемой форме, в которой он растворяется в жидкой реакционной смеси или способен переходить в растворимую форму. Примеры приемлемых иридийсодержащих соединений, которые можно вводить в жидкую реакционную смесь, включают IrCl3, IrI3, IrBr3, [Ir(CO)2I]2, [Ir(CO)2Cl]2, [Ir(CO)2Br]2, [Ir(СО)2I2]–H+, [Ir(СО)2Br2]–Н+, [Ir(СО)2I4]–H+, [Ir(СН3)I3(CО2)–Н+, Ir4(CO)12, IrCl3· 3H2O, IrBr3· 3Н2О, Ir4(СО)12, иридий металлический, Ir2О3, IrO2, Ir(acac) (CO)2, Ir(асас)3, ацетат иридия, [Ir3O(OAc)6(H2O)3] [OAc] и гексахлориридиевую кислоту [H2IrCl6], предпочтительно не содержащие хлоридов комплексы иридия, такие, как ацетаты, оксалаты и ацетоацетаты, которые растворимы в одном или нескольких компонентах реакции карбонилирования, таких, как вода, спирт и/или карбоновая кислота. Особенно предпочтителен зеленый ацетат иридия, который можно применять в уксусной кислоте или водном растворе уксусной кислоты.
В способе по настоящему изобретению реакционная смесь включает по меньшей мере один необязательный промотор. В предпочтительном варианте приемлемые промоторы выбирают из рутения, осмия, рения, вольфрама, цинка, кадмия, индия, галлия и ртути, более предпочтительны рутении и осмий. Наиболее предпочтительным промотором является рутений. В предпочтительном варианте промотор содержится в эффективном количестве, вплоть до предела его растворимости в жидкой реакционной смеси и/или любых технологических потоках жидкости, которые возвращают в реактор для карбонилирования со стадии выделения уксусной кислоты. Преимущественно содержание промотора в жидкой реакционной смеси соответствует молярному соотношению промотор:иридий [0,5-15]:1. Приемлемая концентрация промотора составляет 400-5000 част./млн.
Промотор может представлять собой любое приемлемое промоторное металлсодержащее соединение, которое растворимо в жидкой реакционной смеси. Промотор можно добавлять в жидкую реакционную смесь для реакции карбонилирования в любой приемлемой форме, в которой он растворим в этой жидкой реакционной смеси или способен переходить в растворимую форму. Примеры приемлемых рутенийсодержащих соединений, которые могут быть использованы в качестве источников промотора, включают хлорид рутения (III), тригидрат хлорида рутения (III), хлорид рутения (IV), бромид рутения (III), рутений металлический, оксиды рутения, формиат рутения (III), [Ru(CO)3I3]–H+, [Ru(CO)2I2]n, [Ru(CO)4I2], [Ru(CO)3I2]2, тетра(ацето)хлоррутений (II, III), ацетат рутения (III), пропионат рутения (III), бутират рутения (III), пентакарбонил рутения, трирутенийдодекакарбонил и смешанные рутенийгалоидкарбонилы, такие, как димер дихлортрикарбонила рутения (II), димер дибромтрикарбонила рутения (II) и другие рутений-органические комплексы, такие, как тетрахлорбис(4-цимен)дирутений (II), тетрахлорбис (бензол) дирутений (II), полимер дихлор(циклоокта-1,5-диен)рутения (II) и трис(ацетилацетонат) рутений (III).
Примеры приемлемых осмийсодержащих соединений, которые могут быть использованы в качестве источников промотора, включают гидрат хлорида осмия (III) и его безводный хлорид, осмий металлический, тетраоксид осмия, триосмийдодекакарбонил, [Os(СO)4I2], [Os(CO)3I2]2, [Os(СО)3I3]–H+, пентахлор- -нитродиосмий и смешанные осмийгалоидкарбонилы, такие, как димер трикарбонилдихлоросмия (II) и другие осмийорганические комплексы.
К примерам пригодных ренийсодержащих соединений, которые могут быть использованы в качестве источников промотора, относятся Re2(CO)10, Re(CO)5Cl, Re(CO)5Br, Re(CO)5I, ReCl3· xH2O, [Re(CO)4I]2, [Re(CO)4I2]–H+ и RеСl5· yН2O.
Примеры приемлемых вольфрамсодержащих соединений, которые могут быть использованы в качестве источников промотора, включают W(CO)6, WCl4, WCl6, WBr5, WI2 и C9H12W(CO)3.
Примеры пригодных кадмийсодержащих соединений, которые могут быть использованы, включают Cd(OAc)2, CdI2, CdBr2, CdCl2, Cd(OH)2 и ацетилацетонат кадмия.
Примеры приемлемых ртутьсодержащих соединений, которые могут быть использованы в качестве источников промотора, включают Hg(OAc)2, HgI2, HgBr2, HgCl2, Hg2I2 и Hg2Cl2.
Примеры приемлемых цинксодержащих соединений, которые могут быть использованы в качестве источников промотора, включают Zn(OAc)2, Zn(OH)2, ZnI2, ZnBr2, ZnCl2 и ацетилацетонат цинка.
Примеры приемлемых галлийсодержащих соединений, которые могут быть использованы в качестве источников промотора, включают ацетилацетонат галлия, ацетат галлия, GaCl3, GаВr3, GаI3, Ga2Cl4 и Gа(ОН)3.
Примеры приемлемых индийсодержащих соединений, которые могут быть использованы в качестве источников промотора, включают ацетилацетонат индия, ацетат индия, InСl3, InВr3, InI3, InI и In(ОН)3.
Монооксид углерода как реагент может быть практически чистым или может содержать инертные примеси, такие, как диоксид углерода, метан, азот, благородные газы, вода и С1-С4парафиновые углеводороды. В предпочтительном варианте концентрацию водорода, вводимого с исходным монооксидом углерода и обусловленного выделением in situ в результате реакции конверсии водяного газа, поддерживают на низком уровне, т.к. его присутствие может привести к образованию продуктов гидрогенизации. Таким образом, в предпочтительном варианте концентрацию водорода в монооксиде углерода как реагенте поддерживают на уровне менее 1 мол.%, более предпочтительно менее 0,5 мол.% и еще более предпочтительно менее 0,3 мол.%, и/или предпочтительное парциальное давление водорода в реакторе для карбонилирования находится на уровне менее 1 бар, более предпочтительно менее 0,5 бар и наиболее предпочтительно менее 0,3 бар. Парциальное давление монооксида углерода в реакторе составляет от более 0 до 7,5 бар, как правило, от примерно 0,6 до 7,5 бар.
Приемлемое общее манометрическое давление во время реакции карбонилирования составляет 10-200 бар, предпочтительно 15-100 бар, более предпочтительно 15-50 бар. Приемлемая температура во время реакции карбонилирования находится в пределах 100-300° С, предпочтительно в интервале 150-220° С.
Способ по настоящему изобретению осуществляют проведением непрерывного процесса.
Получаемую уксусную кислоту из жидкой реакционной смеси можно выделять отводом из реактора для карбонилирования пара и/или жидкости и выделением из отводимого материала уксусной кислоты. В предпочтительном варианте уксусную кислоту выделяют из жидкой реакционной смеси непрерывным отводом этой жидкой реакционной смеси из реактора для карбонилирования и выделением уксусной кислоты из отводимой жидкой реакционной смеси путем осуществления одной или нескольких стадий однократного равновесного испарения и/или фракционной перегонки, на которых уксусную кислоту отделяют от других компонентов жидкой реакционной смеси, таких, как иридиевый катализатор, метилиодидный сокатализатор, промотор, если он содержится, метилацетат, непрореагировавший метанол, вода и уксусная кислота как растворитель, которые можно возвращать в реактор для поддержания их концентрации в жидкой реакционной смеси. Для поддержания стабильности иридиевого катализатора при осуществлении стадии выделения получаемой уксусной кислоты концентрацию воды в технологических потоках, содержащих иридиевый катализатор карбонилирования, которые возвращают в реактор для карбонилирования, следует поддерживать на уровне по меньшей мере 0,5 мас.%.
Особенно предпочтительная жидкая реакционная смесь включает от примерно 0,5 до 2,5 мас.% воды, приблизительно 8 мас.% метилиодидного сокатализатора, около 15 мас.% метилацетата, иридиевый катализатор в концентрации в интервале 400-3000 част./млн в пересчете на иридий, что позволяет достигать скорости реакции карбонилирования в пределах 5-40 моль/л/ч при температуре реакции карбонилирования. приблизительно 190° С, под манометрическим давлением реакции карбонилирования 16-24 бар, парциальным давлением монооксида углерода от более 0 до 7,5 бар, при концентрации рутениевого промотора в интервале 400-4000 част./млн в пересчете на рутений, благодаря чему молярное соотношение рутений:иридий равно приблизительно [2,0-2,5]:1, а остальная часть реакционной смеси приходится по существу на уксусную кислоту. Для достижения более высокой или более низкой скорости реакции можно использовать более высокую или более низкую концентрацию катализатора и/или работать при более высокой или более низкой температуре и/или более высоком или более низком парциальном давлении монооксида углерода.
Изобретение далее проиллюстрировано со ссылкой на приведенные ниже эксперименты, которые не соответствуют настоящему изобретению, поскольку в противоположность непрерывным они являются экспериментами с периодическими процессами. Однако следует ожидать, что результаты, полученные в экспериментах с такими периодическими процессами, могут быть в равной степени получены при проведении непрерывного процесса. Те эксперименты, в которых концентрация воды составляет более 4,5 мас.% и/или парциальное давление монооксида углерода находится вне пределов от более 0 до 7,5 бар, включены только в сравнительных целях.
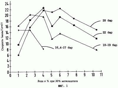
Данные представлены на фиг.1-6, на которых показано:
на фиг.1 – график зависимости скорости реакции от содержания воды в % при 30% метилацетата – влияние парциального давления СО на реакции, катализируемые непромотированным Ir;
на фиг.2 – график зависимости скорости реакции от содержания воды в % при 15% метилацетата – влияние парциального давления СО на реакции, катализируемые непромотированным Ir;
на фиг.3 – график зависимости скорости реакции от содержания воды в % при 30% метилацетата – влияние парциального давления СО на реакции, катализируемые Ir, промотированным рутением;
на фиг.4 – график зависимости скорости реакции от содержания воды в % при 15% метилацетата – влияние парциального давления СО на реакции, катализируемые Ir, промотированным рутением;
на фиг.5 – график зависимости селективности в % в отношении пропионовой кислоты и ее предшественников от содержания воды в % при 30% метилацетата – влияние парциального давления СО на реакции, катализируемые непромотированным Ir;
на фиг.6 – график зависимости селективности в % в отношении пропионовой кислоты и ее предшественников от содержания воды в % при 30% метилацетата – влияние парциального давления СО на реакции, катализируемые Ir, промотированным рутением.
В этих экспериментах под общим манометрическим давлением 16 бар парциальное давление СО по оценке авторов настоящего изобретения приближается, вероятно, к нулю. При более высоком общем реакционном давлении соответственно повышается парциальное давление СО в зависимости от жидкой смеси вплоть до общего манометрического давления в реакторе 24 бар, которое по данным расчета соответствует парциальному давлению СО приблизительно 7,5 бар.
В этих экспериментах скорости реакции приведены в виде числа молей полученного продукта/израсходованного реагента на литр холодной дегазированной реакционной смеси в час (моль/(л· ч)).
В экспериментах концентрацию компонентов, в частности воды и метилацетата, во время реакции карбонилирования рассчитывали по исходной смеси, предполагая, что один моль воды расходуется на каждый моль монооксида углерода, который израсходован. Наличие каких-либо органических компонентов в пространстве автоклава над жидкостью во внимание не принималось.
Методика эксперимента
Для проведения ряда экспериментов с периодическим карбонилированием применяли 300-миллилитровый автоклав из сплава Hastelloy B2, оборудованный мешалкой с магнитным приводом и газодиспергирующими лопастями, расходной емкостью и системой инжекции жидкого катализатора. Подачу газа в автоклав осуществляли из газовой расходной емкости, поддерживая в автоклаве постоянное давление, а скорость поглощения газа рассчитывали (с точностью ± 1%) по скорости падения давления в расходной емкости.
В конце эксперимента из автоклава отбирали пробы жидкости и газа, которые анализировали газовой хроматографией.
В ходе проведения каждого эксперимента с периодическим процессом карбонилирования в автоклав, как правило, загружали 10 г уксусной кислоты. Для проведения промотированных Ru реакций на этой стадии загружали также твердый рутениевый промотор. Затем автоклав плотно закрывали и трижды продували монооксидом углерода. После этого с помощью воронки в автоклав загружали основную массу жидкости (воду, метилацетат, уксусную кислоту и метилиодид). Далее монооксидом углерода давление в автоклаве повышали до соответствующего уровня (см. таблицу А) и нагревали с перемешиванием (1500 об/мин) до 190° С. После стабилизации при этой температуре из расходной емкости вводили небольшое количество монооксида углерода для создания соответствующего давления (см. таблицу А). Далее из инжекционного сосуда с помощью избыточного давления монооксида углерода добавляли каталитический раствор, содержавший примерно 1,30 г водного раствора H2IrCl6, растворенной в уксусной кислоте и воде. Это избыточное давление (см. таблицу А) было таким, что после инжекции достигали целевого реакционного давления. После инжекции катализатора манометрическое давление в автоклаве поддерживали на постоянном уровне (± 0,5 бар) с помощью монооксида углерода, вводимого из расходной емкости.
После прекращения поглощения газа из расходной емкости (т.е. в течение 6 мин газ из этой емкости не расходовался) автоклав от источника газа отключали и содержимое реактора охлаждали до комнатной температуры. Газ из автоклава сбрасывали в атмосферу, отбирали пробу сбрасываемого в атмосферу газа и анализировали ее. Из автоклава удаляли жидкую реакционную смесь, отбирали пробу и анализировали на содержание жидких продуктов и побочных продуктов.
| Таблица А |
| Манометрическое реакционное давление (бары) |
16 |
18 |
22 |
28 |
| Манометрическое давление при комнатной температуре (бары) |
0,5 |
1,3 |
3 |
6,5 |
| Манометрическое давление при 190° С (бары) |
10 |
12 |
16 |
22 |
| Избыточное манометрическое давление при инжекции катализатора (бары) |
26 |
26 |
34 |
40 |
Количества загружаемых компонентов приведены в таблице 1. Скорость реакции при 30% метилацетата и 15% метилацетата в реакционной смеси и селективность в отношении предшественника пропионовой кислоты приведены в таблице 2.
Результаты, представленные на фиг.1 и 2, показывают, что при соответственно 30%-ной и 15%-ной концентрации метилацетата в реакционной смеси для непромотированного карбонилирования с понижением общего давления и, следовательно, парциального давления монооксида углерода максимумы скорости реакции на графиках зависимости скорости от концентрации воды смещаются в сторону более низкой концентрации воды.
Результаты на фиг.3 и 4 показывают тот же самый эффект, что и на фиг.1 и 2, но для системы, промотированной рутением.
Результаты, представленные на фиг.5 и 6, демонстрируют благоприятное влияние снижения общего давления и, следовательно, парциального давления монооксида углерода на процесс образования жидких побочных продуктов, пропионовой кислоты и ее предшественников, этилиодида и этилацетата. Результаты, представленные на фиг.3, также показывают, что при низкой концентрации воды (например, 1%) скорость реакции почти не зависит от общего давления и, следовательно, парциального давления монооксида углерода, что можно считать преимуществом в условиях, когда завершается расход монооксида углерода.

| Таблица 2 |
| Манометрическое реакционное давление (бар) |
Скорость (моль/(л· ч)) при 30% МеОАс |
Скорость (моль/(л· ч)) при 15% МеОАс |
Селективность в % в отношении пропионовой кислоты и ее предшественников * |
| Эксперименты только с одним Ir |
| 1 мас.% воды при 30% МеОАс, 8% Mel |
| 090596 |
28 |
6,01 |
|
0,48 |
| 090596А |
28 |
5,91 |
|
0,51 |
| 100596 |
22 |
9,69 |
|
0,40 |
| 130596 |
18,2 |
16,33 |
|
0,32 |
| 170596 |
16,4 |
14,83 |
|
0,22 |
| 2,4 мас.% воды при 30% МеОАс, 8% Mel |
| 210596А |
28 |
15,72 |
|
0,48 |
| 200595 |
22 |
18,25 |
|
0,41 |
| 170596А |
18,1 |
20,18 |
|
0,28 |
| 210596 |
17,0 |
14,75 |
|
0,17 |
| 4 мас.% воды при 30% МеОАс, 8% Mel |
| 0,5 мас.% воды при 15% МеОАс |
| 150596 |
28 |
21,66 |
6,32 |
0,44 |
| 140596 |
22 |
22,53 |
8,34 |
0,31 |
| 160596 |
18,5 |
19,40 |
7,59 |
0,21 |
| 170696 |
16,8 |
8,11 |
4,88 |
0,16 |
| 5,1 мас.% воды при 30% МеОАс, 8% Mel |
| 1,55 мас.% воды при 15% МеОАс |
| 060896 |
28 |
20,99 |
10,28 |
0,40 |
| 120896 |
22 |
16,13 |
10,13 |
0,32 |
| 130896 |
18 |
11,62 |
9,63 |
0,22 |
| 6 мас.% воды при 30% МеОАс, 8% Mel |
| 2,4 мас.% воды при 15% МеОАс |
| 030796 |
28 |
22,32 |
11,52 |
0,52 |
| 040796 |
22 |
19,26 |
11,87 |
0,34 |
| 170796 |
18 |
13,56 |
9,24 |
0,20 |
| Манометрическое реакционное давление (бар) |
Скорость (моль/(л· ч)) при 30% МеОАс |
Скорость (моль/(л· ч)) при 15% МеОАс |
Селективность в % в отношении пропионовой кислоты и ее предшественников * |
| 7,7 мас.% воды при 30% МеОАс, 8% Mel |
| 4,0 мас.% воды при 30% МеОАс |
| 250796 |
28 |
18,73 |
11,98 |
0,60 |
| 260796 |
22 |
16,40 |
10,64 |
0,46 |
| 10,4 мас.% воды при 30% МеОАс, 8% Mel |
| 6,6 мас.% воды при 15% МеОАс |
| 230596 |
28 |
14,38 |
11,38 |
0,20 |
| 050696 |
22 |
11,68 |
9,49 |
0,18 |
| 140696 |
19 |
7,74 |
7,03 |
0,4 |
| Эксперименты с Ir/Ru |
| 1 мас.% воды при 30% МеОАс, 8% Mel |
| 270696 |
28 |
16,50 |
|
0,29 |
| 260696 |
22 |
18,58 |
|
0,24 |
| 280696 |
18,0 |
18,38 |
|
0,19 |
| 2,4 мас.% воды при 30% МеОАс, 8% Mel |
| 040696 |
28 |
22,83 |
|
0,36 |
| 030696 |
22 |
23,54 |
|
0,30 |
| 300596 |
18,0 |
22,00 |
|
0,21 |
| 310596 |
18,0 |
23,10 |
|
0,21 |
| 4 мас.% воды при 30% МеОАс, 8% Mel |
| 0,5 мас.% воды при 15% МеОАс, 7,6% Mel |
| 120696 |
28 |
33,54 |
6,44 |
0,29 |
| 070696 |
22 |
32,39 |
7,19 |
0,29 |
| 110696 |
18,2 |
26,21 |
10,64 |
0,19 |
| 6 мас.% воды при 30% МеОАс, 8% Mel |
| 2,4 мас.% воды при 15% МеОАс, 7,6% Mel |
| 020796 |
28 |
38,47 |
20,93 |
0,36 |
| 050796 |
22 |
34,61 |
20,50 |
0,27 |
| 080796 |
18 |
23,29 |
18,48 |
0,20 |
| Манометрическое реакционное давление (бар) |
Скорость (моль/(л· ч)) при 30% МеОАс |
Скорость (моль/(л· ч)) при 15% МеОАс |
Селективность в % в отношении пропионовой кислоты и ее предшественников * |
| 7,2 мас.% воды при 30% МеОАс, 8% Mel |
| 3,5 мас.% воды при 15% МеОАс, 7,6% Mel |
| 140896 |
28 |
38,23 |
27,61 |
0,46 |
| 190796 |
22 |
31,65 |
26,59 |
0,26 |
| 160896 |
18 |
16,91 |
17,09 |
0,19 |
| 8 мас.% воды при 30% МеОАс, 8% Mel |
| 4,4 мас.% воды при 15% МеОАс, 7,6% Mel |
| 120796 |
28 |
33,64 |
24,97 |
0,41 |
| 090796 |
22 |
28,46 |
27,51 |
0,26 |
| 180796 |
18 |
17,91 |
18,38 |
0,18 |
| 9 мас.% воды при 30% МеОАс, 8% Mel |
| 5,2 мас.% воды при 15% МеОАс, 7,6% Mel |
| 110796 |
28 |
28,08 |
24,47 |
0,26 |
| 150796 |
28 |
27,74 |
21,68 |
0,37 |
| 240796 |
22 |
22,26 |
21,93 |
0,21 |
| 10,0 мас.% воды при 30% МеОАс, 8% Mel |
| 6,3 мас.% воды при 15% МеОАс, 7,6% Mel |
| 180696 |
28 |
25,40 |
23,03 |
0,27 |
| 10,4 мас.% воды при 30% МеОАс, 8% Mel |
| 6,6 мас.% воды при 15% МеОАс, 7,6% Mel |
| 160796 |
28 |
23,77 |
21,65 |
0,30 |
| 200696 |
22 |
15,08 |
16,86 |
0,12 |
| 210696 |
18,0 |
9,18 |
11,20 |
0,10 |
| * На основе израсходованного МеОАс. Предшественниками являются этилиодид и этилацетат. |
Формула изобретения
1. Способ получения уксусной кислоты, включающий (1) непрерывную подачу метанола и/или его реакционноспособного производного и монооксида углерода в реактор для карбонилирования, в котором находится жидкая реакционная смесь, содержащая иридиевый катализатор карбонилирования, метилиодидный сокатализатор, воду в ограниченной концентрации, уксусную кислоту и метилацетат; (2) карбонилирование метанола и/или его реакционноспособного производного монооксидом углерода в жидкой реакционной смеси с получением уксусной кислоты и (3) выделение уксусной кислоты из жидкой реакционной смеси, причем при этом постоянно поддерживают (а) концентрацию воды в жидкой реакционной смеси не более 4,5 мас.% и (б) в ходе проведения всей реакции парциальное давление монооксида углерода в реакторе постоянно поддерживают в интервале от более 0 до 1 бар.
2. Способ по п.1, в котором жидкая реакционная смесь также включает по меньшей мере один промотор.
3. Способ по п.2, в котором по меньшей мере один промотор выбирают из группы, включающей рутений, осмий, рений и вольфрам.
4. Способ по любому из предшествующих пунктов, при котором в ходе проведения всей реакции в жидкой реакционной смеси концентрацию воды постоянно поддерживают не более 3 мас.%.
5. Способ по любому из предшествующих пунктов, при котором в ходе проведения всей реакции в жидкой реакционной смеси концентрацию воды постоянно поддерживают по меньшей мере 0,1 мас.%.
6. Способ по п.5, при котором в ходе проведения всей реакций в жидкой реакционной смеси концентрацию воды постоянно поддерживают по меньшей мере 0,5 мас.%.
7. Способ по любому из предыдущих пунктов, при котором в ходе проведения всей реакции в жидкой реакционной смеси концентрацию метилацетата постоянно поддерживают в интервале 2-50 мас.%.
8. Способ по п.7, при котором в ходе проведения всей реакции в жидкой реакционной смеси концентрацию метилацетата постоянно поддерживают в интервале 5-50 мас.%.
9. Способ по п.8, при котором в ходе проведения всей реакции в жидкой реакционной смеси концентрацию метилацетата постоянно поддерживают в интервале 5-40 мас.%.
10. Способ по п.9, при котором в ходе проведения всей реакции в жидкой реакционной смеси концентрацию метилацетата постоянно поддерживают в интервале 10-40 мас.%.
11. Способ по любому из предыдущих пунктов, при котором в ходе проведения всей реакции в жидкой реакционной смеси концентрацию метилиодида постоянно поддерживают в интервале 4-16 мас.%.
12. Способ по любому из предыдущих пунктов, при котором в жидкой реакционной смеси иридиевый катализатор карбонилирования содержится в концентрации от 400 до 5000 част./млн.
13. Способ по любому из предыдущих пунктов, при котором в жидкой реакционной смеси иридиевый катализатор карбонилирования содержится в концентрации от 700 до 3000 част./млн.
14. Способ по пп.1-3, при котором молярное соотношение промотор : иридий составляет [0,5-15]:1.
15. Способ по любому из предыдущих пунктов, при котором в ходе проведения всей реакции в реакторе постоянно поддерживают парциальное давление монооксида углерода 0,6 до 1 бар.
16. Способ по любому из предыдущих пунктов, при котором в ходе проведения всей реакции в реакторе постоянно поддерживают парциальное давление водорода менее 0,3 бар.
17. Способ по п.3, при котором в ходе проведения всей реакции в жидкой реакционной смеси постоянно поддерживают содержание от примерно 0,5 до 2,5 мас.% воды, приблизительно 8 мас.% метилиодидного сокатализатора, около 15 мас.% метилацетата, концентрацию иридиевого катализатора в интервале 400-3000 част./млн, концентрацию рутениевого промотора в пределах 400-4000 част./млн, а остальная часть реакционной смеси приходится, по существу, на уксусную кислоту.
РИСУНКИ
|
|