Патент на изобретение №2152780
|
||||||||||||||||||||||||||
(54) ЗАГУСТИТЕЛЬ И/ИЛИ ЖЕЛИРУЮЩИЙ КОМПОНЕНТ КОСМЕТИЧЕСКИХ И/ИЛИ ДЕРМАТОЛОГИЧЕСКИХ КОМПОЗИЦИЙ, КОСМЕТИЧЕСКАЯ ИЛИ ДЕРМАТОЛОГИЧЕСКАЯ КОМПОЗИЦИЯ, СПОСОБ НЕТЕРАПЕВТИЧЕСКОГО КОСМЕТИЧЕСКОГО ВОЗДЕЙСТВИЯ НА КОЖУ, ВОЛОСЫ, РЕСНИЦЫ, БРОВИ, НОГТИ ИЛИ СЛИЗИСТЫЕ ОБОЛОЧКИ
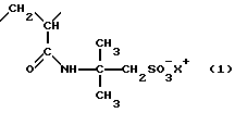
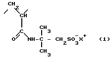
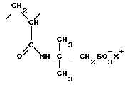
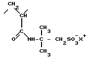
(57) Реферат: Изобретение относится к использованию в качестве косметического продукта поперечно-сшитых и по меньшей мере на 90% нейтрализованных полимеров поли (2-акриламидо-2-метилпропансульфоновой кислоты). Они включают при статическом распределении: а) от 90 до 99,9 вес.% звеньев общей формулы I, приведенной ниже ![]() в которой X+ обозначает катион или смесь катионов, при этом не более чем 10 мол. % катионов X+ могут быть протонами (H+); б) от 0,01 до 10 вес.% поперечно-сшивающих звеньев, полученных по крайней мере на основе одного мономера, имеющего по меньшей мере две олефиновых двойных связи; при этом весовые соотношения определяются относительно общего веса полимера. Заявка относится и к их применению в качестве загустителя и/или желирующего компонента в косметических и/или дерматологических композициях. 3 с. и 31 з.п. ф-лы. Изобретение относится к использованию в качестве косметического продукта поперечно-сшитых нейтрализованных по меньшей мере на 90% полимеров поли(2-акриламидо-2-метил-пропансульфоновой кислоты) и к косметическим или дерматологическим композициям, содержащим их. Косметические или дерматологические композиции обычно обладают высокой вязкостью и чаще всего изготавливаются в виде загущенных жидких форм, таких как молочко, крем, гель или пастообразная масса. Такой тип представления композиций наиболее полюбился потребителям; однако на практике у людей, занятых изготовлением готового продукта, как правило, возникает проблема: как облегчить удаление продукта из упаковки без значительной его потери, ограничить диффузию продукта на локальном обрабатываемом участке и при этом использовать указанный продукт в количествах, достаточных для того, чтобы получить желаемый косметический или дерматологический эффект. Эта цель особенно важна для получения продуктов, таких как средства макияжа, гигиенические продукты или продукты для ухода за кожей, которые должны достаточно хорошо гомогенно распределяться по участку поверхности, подлежащему лечению; то же самое относится к композициям для волос, которые должны хорошо наноситься и равномерно распределяться по кератиновым волокнам, не стекать вниз по лбу, по задней стороне шеи или по лицу и не попадать в глаза. Для того, чтобы удовлетворять этим условиям, вязкость композиций повышают за счет добавления загустителей и/или гелеобразующих полимеров. Гомополимеры поли (2-акриламидо-2-метилпропансульфоновой кислоты), такие как коммерческие продукты Космедия HSP1160 (Cosmedia HSP1160) и Реотик 8011 (Rheotik 8011), получаемые от компании Хенкель (Henkel), в настоящее время хорошо известны. Они используются в качестве загустителей и/или желирующих компонентов во многих косметических композициях. Однако при использовании этих полимеров не удается получить стабильные и гомогенные композиции, которые обладали бы высокой вязкостью в широком диапазоне pH. Обычно они приводят к получению гетерогенных, тягучих и клейких жидких гелей. Заявитель обнаружил новое семейство загущающих и/или желирующих полимеров, представители которого позволяют получать множество косметических и дерматологических композиций, в состав которых могут входить несущие компоненты различной природы. Объектом настоящего изобретения является использование в качестве косметических продуктов поперечно-сшитых нейтрализованных по меньшей мере на 90% полимеров поли(2-акриламидо-2- метилпропансульфоновой кислоты), которые будут более детально определены ниже в описании. Изобретение относится, в частности, к их использованию в качестве загущающих и/или желирующих компонентов в косметических и/или дерматологических композициях. В частности, такие полимеры делают возможным получение многочисленных водных композиций, вязкость которых остается стабильной в широком диапазоне pH в течение значительного времени при комнатной температуре или при работе при более высоких температурах. Они также позволяют получать прозрачные, гомогенные, нестекающие, нетягучие водные гели, которые при нанесении характеризуются мягкостью и скользкостью и обладают стабильностью при хранении. Поперечно-сшитые и полностью или почти полностью нейтрализованные полимеры поли(2-акриламидо-2-метилпропансульфоновой кислоты) по настоящему изобретению водорастворимы или набухают в воде. Они в основном характеризуются тем, что включают при случайном распределении: а) от 90 до 99,9 вес.% единиц общей формулы (I), приведенной ниже: ![]() в которой X+ обозначает катион или смесь катионов, при этом не более чем 10 мол.% катионов X+ может представлять собой протоны H+; б) от 0,01 до 10 вес.% поперечно-сшитых единиц, полученных по меньшей мере из одного мономера, имеющего по меньшей мере две олефиновые двойные связи; при этом соотношение их определяют относительно общего веса полимера. Полимеры по настоящему изобретению содержат предпочтительно множество единиц формулы (I) в количестве, достаточно высоком для того, чтобы получать полимерные частицы, которые в водном растворе имеют гидродинамический объем с радиусом от 10 до 500 нм и распределение которых отличается гомогенностью и равномерностью. Полимеры по настоящему изобретению предпочтительно включают от 98 до 99,5 вес.% формулы (I) и от 0,2 до 2 вес.% поперечно-сшитых единиц. X+ обозначает катион или смесь катионов, выбранных, в частности, из протона, катиона щелочного металла, катиона эквивалентного щелочноземельного металла или катиона аммония. Более предпочтительно, от 90 до 100 мол.% катионов представляют собой катионы NH4+ и от 0 до 10 мол.% являются протонами (H+). Поперечно-сшитые мономеры, содержащие по меньшей мере две олефиновые двойные связи, выбирают, например, из диаллилового эфира дипропиленгликоля, диаллиловых эфиров полигликоля, дивинилового эфира триэтиленгликоля, диаллилового эфира гидрохинона, тетрааллилоксэтаноила или других полифункциональных эфиров аллилового или винилового спиртов, тетраэтиленгликолевого эфира диакриловой кислоты, триаллиламина, диаллилового эфира триметилолпропана, метилен-бис-акриламида и дивинилбензола. Поперечно-сшитые мономеры, содержащие по меньшей мере две олефиновые двойные связи, наиболее предпочтительно выбирают из соединений, соответствующих общей формуле (2), приведенной ниже: ![]() в которой R1 обозначает атом водорода или C1-C4 алкил и наиболее предпочтительно метил (триметилолпропантриакрилат). Реакция полимеризации полимеров по настоящему изобретению приводит к получению не только линейных цепей, но также разветвленных или поперечно-сшитых полимерных молекул. Эти молекулы могут отличаться, в частности, особым реологическим поведением в воде, но в особенности они отличаются динамическим рассеянием света. В случае характеристики молекул на основе динамического светорассеяния определяют распределение гидродинамических объемов полимерных структур. Макромолекулы, растворенные в воде, обладают гибкостью и окружены сольватной оболочкой, образованной из молекул воды. В случае заряженных полимеров, таких как полимеры по настоящему изобретению, размер молекул зависит от количества соли, находящейся в воде. В полярных растворителях равномерное распределение вдоль основной цепи полимера ведет к значительному расширению полимерной цепи. Повышение количества соли повышает количество электролита в растворителе и нарушает равномерную заряженность полимера. Кроме молекул, транспортируемых по сольватной оболочке, молекулы растворителя также связываются в матрице полимера. В этом случае молекулы растворителя образуют участок макромолекул в растворе и движутся с той же скоростью. Таким образом гидродинамический объем снижает линейные размеры макромолекул и таких сольватированных молекул. Гидродинамический объем Vh определяют с помощью следующей формулы: Vh = M/NA (V2 + dV1),где M обозначает массу в граммах нерастворенных молекул; NA обозначает число Авогадро; V1 обозначает удельный объем растворителя; V2 обозначает удельный объем макромолекул; d представляет собой массу в граммах растворителя, который связывается с 1 г нерастворенных молекул. Если гидродинамическая частица имеет сферическую форму, то легко затем вычислить гидродинамический радиус на основе гидродинамического объема с использованием следующей формулы: Vh = 4 R3/3,где R обозначает динамический радиус. Однако, случаи, когда гидродинамические частицы являются совершенно сферическими, чрезвычайно редки. Большинство синтетических полимеров включают высокоэксцентрические эллипсоиды или компактные структуры. В этом случае радиус определяют на основе сферы, которая эквивалентна с точки зрения создания трения размеру рассматриваемых частиц. В основном, настоящая работа выполнена с привлечением таких параметров, как распределение молекулярного веса и, следовательно, гидравлического объема и распределения радиусов. Для полидисперсных систем должно быть также определено распределение коэффициентов диффузии. На основе данных о таком распределении можно вывести результаты относительно распределения радиусов и распределения гидродинамических объемов. Гидродинамические объемы полимеров по настоящему изобретению определяют, в частности, по динамическому светорассеянию на основании значения коэффициентов диффузии D в соответствии с формулой Стокса-Эйнштейна: D = kT/ ![]() R,где k обозначает константу Больцмана, T обозначает абсолютную температуру в градусах Кельвина, обозначает вязкость растворителя (воды) и R обозначает гидродинамический радиус.
Указанные коэффициенты диффузии D измеряют в соответствии с методом описания характеристик смеси полимеров посредством лазерной диффузии, описанным в следующих литературных источниках:(1) Pecora, R; Dynamic Light Scattering; Pienium Press, New York, 1976; (2) Chu, B; Dynamic Light Scattering; Academic Press, New York, 1994; (3) Schmitz, KS; Introduction to Dynamic Lidht Scatter ing; Academic Press, New York, 1990; (4) Provincher S.W.; Comp. Phys., 27, 213, 1982; (5) Provincher S.W.; Comp. Phys., 27, 229, 1982; (6) ALV Laservertriebgesellschaft mbH, Robert Bosch Str. 47, D-63225 Langen, Germany; (7) ELS-Reinheimer Strasse II, D-64846 Gross-Zimmern, Germany; (8) CHI WU et al., Macromolecuies, 1995, 28, 4914-4919. Наиболее предпочтительными среди полимеров являются те, которые имеют вязкость, измеряемую вискозиметром Брукфильда с ротором 4 при скорости вращения 100 об. в 1 мин в водном 2%-ном растворе при 25oC, большую или равную 1000 сП, и более предпочтительно, варьирующую от 5000 до 40000 сП, и еще более предпочтительно от 6500 до 35000 сП. Поперечно-сшитые поли (2-акриламидо-2-метилпропансульфоновой кислоты) по настоящему изобретению могут быть получены в соответствии со способом изготовления, включающим следующие стадии: (а) мономер 2-акриламидо-2-метилпропансульфоновой кислоты диспергируют или растворяют в свободном виде в трет-бутаноле или в воде и растворе трет-бутанола; (б) мономерный раствор или дисперсия, полученные по пункту (а), нейтрализуют одним или более неорганическими или органическим основаниями, предпочтительно водным раствором аммиака NH3, в количестве, которое позволяет получить уровень нейтрализации группировки сульфоновой кислоты полимера от 90 до 100%; (в) поперечно-сшитый мономер или мономеры добавляют к раствору или дисперсии, полученным в (б); (г) проводят стандартную полимеризацию радикалов в присутствии не содержащих радикалов инициаторов реакции при температуре от 10 до 150oC и затем осаждают полимер в растворе на основе трет-бутанола или его дисперсии. Другим объектом настоящего изобретения является косметическая или дерматологическая композиция, содержащая в косметически приемлемой среде по меньшей мере одну поперечно-сшитую и по меньшей мере на 90% нейтрализованную поли(2-акриламидо-2-метилпроансульфоновую кислоту), описанную выше. Поперечно-сшитая полностью или почти полностью нейтрализованная поли(2-акриламидо-2-метилпропансульфоновая кислота) присутствует в косметической или дерматологической композиции по настоящему изобретению в концентрациях, варьирующих предпочтительно от 0,01 до 20 вес.% от общего веса композиции, и более предпочтительно в количестве от 0,1 до 10 вес.%. Композиции по настоящему изобретению содержат косметически или дерматологически приемлемую среду, которую можно определить как среду, совместимую с любой кератиновой субстанцией в организме, такой, как кожа, ногти, слизистые оболочки и волосы или любые другие участки кожи тела. Композиции предпочтительно содержат косметически и/или дерматологически приемлемую водную среду. Они имеют pH с варьированием предпочтительно от 1 до 13 и более предпочтительно от 2 до 12. Косметически и/или дерматологически приемлемая среда в композициях по настоящему изобретению более предпочтительно состоит из воды и необязательно из косметически и/или дерматологически приемлемых органических растворителей. Органические растворители могут представлять собой от 5 до 98% от общего веса композиции. Они могут быть выбраны из группы, состоящей из гидрофильных органических растворителей, липофильных органических растворителей, амфифильных растворителей или их смесей. Среди гидрофильных органических растворителей можно отметить, например, линейные или разветвленные низшие моноспирты, содержащие от 1 до 8 атомов углерода, такие, как этанол, пропанол, бутанол, изопропанол и изобутанол; полиэтиленгликоли, содержащие от 6 до 80 этиленоксидов; полиолы, такие, как пропиленгликоль, бутиленгликоль, глицерин и сорбитол; моно- или диалкилизосорбид, в котором алкильные группы содержат от 1 до 5 атомов углерода, такие, как диметилизосорбид; гликолевые эфиры, такие, как диэтиленгликольмонометил или моноэтиловый эфир диэтиленгликоля и полипропиленгликолевые эфиры, такие, как дипропиленгликольметиловый эфир. В качестве амфифильных органических растворителей следует упомянуть полиолы, такие, как производные полипропиленгликоля (ППГ), такие, как эфиры пропиленгликоля и жирных кислот и эфиры ППГ и жирных спиртов, например, олеиловый эфир ППГ-23 и олеат ППГ-36. В качестве липофильных органических растворителей следует отметить, например, жирные эфиры, такие, как диизопропиладипат, диоктиладипат и алкилбензоаты. Для того, чтобы косметические или дерматологические композиции по настоящему изобретению было более приятно и удобно использовать (чтобы они были мягче при нанесении, более питательными и более смягчающими), можно добавлять жирную фазу к составу этих композиций. Жирная фаза предпочтительно составляет от 0 до 50% от общего веса композиции. Указанная жирная фаза может содержать одно или более масел, предпочтительно выбранных из группы, включающей: – водорастворимые или жирорастворимые, органомодифицированные или неорганомодифицированные, линейные, разветвленные или циклические, летучие или нелетучие силиконы, – минеральные масла, такие, как жидкий парафин и жидкий вазелин, – масла животного происхождения, такие, как пергидросквален, – масла растительного происхождения, такие, как масло сладкого миндаля, масло авокадо, касторовое масло, оливковое масло, масло жожоба, кунжутное масло, арахисовое масло, масло австралийского ореха, масло из косточек винограда, рапсовое масло или кокосовое масло, – синтетические масла, такие, как пурцеллиновое масло и изопарафины, – фторсодержащие масла и перфтор масла, – сложные эфиры жирных кислот, такие, как пурцеллиновое масло. Указанная фаза может также содержать в качестве жирной субстанции один или более жирных спиртов, жирные кислоты (стеариновая кислота) или воски (парафин, полиэтиленовый воск, карнаубский воск или пчелиный воск). В соответствии с известной техникой, все композиции настоящего изобретения могут содержать добавки, известные в косметической и дерматологической областях, другие стандартные желирующие компоненты и/или загустители; полимеры; эмульгаторы; поверхностно-активные вещества; увлажнители; умягчающие средства; солнцезащитные фильтры; гидрофильные или липофильные активные компоненты, такие, как керамиды; средства, связывающие свободные радикалы, репелленты против насекомых; агенты, способствующие скольжению; бактерицидные вещества; компоненты с отшелушивающим действием; противоперхотные средства; антиоксиданты; консерванты; подщелачивающие или подкисляющие агенты; парфюмерные отдушки; наполнители; красители. Количества различных добавок соответствуют таковым, традиционно используемым в настоящей области. Вполне очевидно, что специалист со средним уровнем знаний в данной области сможет выбрать необязательные соединение или соединения для введения их в композиции по настоящему изобретению таким образом, чтобы выгодные свойства, присущие этой композиции, либо вовсе, либо в значительной степени не подверглись обратимому воздействию при внесении рассматриваемых добавок. Композиции по настоящему изобретению могут находиться в любой форме, пригодной для местного нанесения, в частности, в виде растворов типа лосьона или сыворотки; в виде водных гелей; в виде эмульсий, получаемых при диспергировании жирной фазы в водной фазе (М/В) или, наоборот, (В/М), или иметь жидкую, полужидкую или твердую консистенцию, свойственную таким продуктам, как молочко, относительно однородные кремы или пасты. Такие композиции готовят в соответствии с обычными методами. Композиции по настоящему изобретению могут использоваться как смываемые продукты для ухода за волосами или как продукты, оставляемые на волосах, в частности, для мытья, ухода, кондиционирования или сохранения укладки, или для придания формы кератиновым волокнам, таким, как волосы. Они могут представлять собой продукты для укладки, такие, как лосьоны для укладки волос, лосьоны для высушивания феном и композиции для фиксирования и стилизованной укладки волос. Лосьоны могут быть представлены в различных упаковках, в частности, в испарителях, бутылях-дозаторах, снабженных насосом, или в аэрозольных баллонах с тем, чтобы наносить композицию в виде испаряющегося продукта или в виде мусса. Такие формы упаковки удобны в том случае, например, когда желательно получить спрэй или мусс для фиксирования или другого вида обработки волос. Композиции по настоящему изобретению могут также представлять собой шампуни или смываемые или оставляемые на волосах композиции, которые наносят перед или после мытья шампунем, окрашиванием, обесцвечиванием, перманентной завивкой или выпрямлением волос. Композиции по настоящему изобретению могут также использоваться в качестве гигиенических продуктов и/или продуктов для ухода за кожей, таких, как защитные кремы или кремы для лечения или ухода за кожей лица, рук или тела, защитные или по уходу за телом молочко и лосьоны, гели или муссы для ухода за кожей или слизистыми оболочками или для очищения кожи. Композиции по настоящему изобретению могут также использоваться в качестве солнцезащитных продуктов. Композиции могут также содержать твердые препараты, включающие очищающие мыла. Композиции по настоящему изобретению могут также использоваться в качестве продуктов для ухода за полостью рта, таких, как зубные пасты или средства для полоскания полости рта. Композиции могут представлять собой средства макияжа, такие, как кремы для лица, тональные кремы, туши, подводки для век или губные помады. Другим объектом настоящего изобретения является способ нелечебной косметической обработки кожи, кожи головы, волос, ресниц, бровей ногтей или слизистых оболочек, отличающийся тем, что композиция, определенная выше, наносится на кератиновую основу в соответствии с обычно используемой техникой, пригодной для настоящей композиции. Например, это может быть нанесение кремов, гелей, сывороток, лосьонов и молочка на кожу, волосистую часть головы и/или слизистые мембраны. Приведенные ниже примеры иллюстрируют настоящее изобретение, никоим образом не ограничивая его. Получение по способу примера А 2006,2 г трет-бутанола помещают в 5-литровую круглодонную колбу, соединенную с мешалкой, конденсором обратного холодильника, термометром и с трубками устройства для подачи азота и аммиака; затем вносят 340,0 г 2-акриламидо-2-метилпропансульфоновой кислоты, которую диспергируют в растворе при энергичном перемешивании. Через 30 мин через верхнюю входную трубку вводят в колбу аммиак и выдерживают реакционную среду при комнатной температуре в течение 30 мин до получения значения pH в диапазоне 6-6,5. Затем добавляют 32,0 г 25%-ного раствора триметилолпропантриакрилата в трет-бутаноле и нагревают реакционную среду до 60oC при одновременном создании инертной среды путем введения в колбу азота. Как только достигается указанная температура, добавляют перекись дилауроила. Реакция начинается сразу же, что видно по повышению температуры и осаждению полимера. Через 15 мин после начала полимеризации включают поток азота. Через 30 мин после добавления инициатора температура реакционной среды достигает максимум 65-70oC. Через 30 мин после того, как достигается эта температура, среду нагревают до температуры кипячения с обратным холодильником и поддерживают в этих условиях в течение 2 ч. В ходе реакции наблюдается образование густой пасты. Смесь охлаждают до комнатной температуры и отфильтровывают полученный продукт. Полученную пасту затем высушивают под вакуумом при температуре 60-70oC в течение 24 ч. Получают 391 г поперечно-сшитой и нейтрализованной поли(2-акриламидо-2- метилпропансульфоновой кислоты), которая имеет вязкость, измеряемую в вискозиметре Брукфильда с ротором 4 при скорости вращения 100 об. в 1 мин в водном 2%-ном растворе при температуре 25oC в диапазоне от 15000 до 35000 сП. Выбирают нужную величину вязкости полимера и контролируют стандартными способами в зависимости от конкретного косметического применения. Гидродинамический радиус полимера, полученного в водном растворе, который определяется методом динамического светорассеяния, составляет 440 нм. Получение по способу примера Б 2006,2 г трет-бутанола помещают в 5-литровую круглодонную колбу, соединенную с мешалкой, конденсором обратного холодильника, термометром и с трубками устройства для подачи азота и аммиака; затем вносят 340,0 г 2-акриламидо-2-метилпропансульфоновой кислоты, которую диспергируют в растворе при энергичном перемешивании. Через 30 мин через верхнюю входную трубку вводят в колбу аммиак и выдерживают реакционную среду при комнатной температуре в течение 30 мин до получения значения pH в диапазоне 6-6,5. Затем добавляют 19,2 г 25%-ного раствора триметилолпропантриакрилата в трет-бутаноле и нагревают реакционную среду до 60oC при одновременном создании инертной среды путем введения в колбу азота. Как только достигается указанная температура, добавляют перекись дилауроила. Реакция начинается сразу же, что видно по повышению температуры и осаждению полимера. Через 15 мин после начала полимеризации включают поток азота. Через 30 мин после добавления инициатора температура реакционной среды достигает максимум 65-70oC. Через 30 мин после того, как достигается эта температура, среду нагревают до температуры кипячения с обратным холодильником и поддерживают в этих условиях в течение 2 ч. В ходе реакции наблюдается образование густой пасты. Смесь охлаждают до комнатной температуры и отфильтровывают полученный продукт. Полученную пасту затем высушивают под вакуумом при температуре 60-70oC в течение 24 ч. Получают 391 г поперечно-сшитой и нейтрализованной поли (2-акриламидо-2-метилпропансульфоновой кислоты), которая имеет вязкость, измеряемую в вискозиметре Брукфильда с ротором 4 при скорости вращения 100 об. в 1 мин в водном 2%-ном растворе при температуре 25oC примерно 7000 сП. Гидродинамический радиус полимера, полученного в водном растворе, который определяется методом динамического светорассеяния, составляет 160 нм. Пример 1: Шампунь Лаурилсульфат натрия, продаваемый под маркой Эмпикол ESB3/FL (Empicol ESB3/FL) компанией Олбрайт и Уилсон (Albright and Wilson) – 10 г АМ Поперечно-сшитая поли(2-акриламидо-2-метил-пропансульфоновая кислота), нейтрализованная аммиаком и полученная по способу примера Б с вязкостью примерно 7000 сП в 2%-ном водном растворе и при температуре 25oC – 1,5 г АМ Лимонная кислота – 3 г Вода (значение pH доведено до 4,8 (NaOH) qs) – 100 г Указанный шампунь имеет вид густой прозрачной жидкости. Он обладает хорошими пенообразующими свойствами. Пример 2: Шампунь Триэтаноламинлаурилсульфат – 5 г AM Моноэтаноламинлаурилсульфат – 5 г AM Поперечно-сшитая поли(2-акриламидо-2-метил-пропансульфоновая кислота), нейтрализованная аммиаком и полученная по способу примера Б с вязкостью примерно 7000 сП в 2%-ном водном растворе и при температуре 25oC – 1,0 г АМ Гидроксиэтилцеллюлоза, сшитая с эпихлоргидрином и превращенная в четвертичную соль триэтаноламина – 0,1 г Вода (значение pH доведено до 7,8 (NaOH) qs) – 100 г Этот шампунь имеет вид густой прозрачной жидкости. Он обладает хорошими пенообразующими свойствами. Пример 3: Гель для укладки волос Сополимер винилпирролидона/диметиламиноэтил-метакрилата, продаваемый под маркой Сополимер 845 (Copolimer 845) компанией АйЭсПи (ISP) – 1 г АМ Поперечно-сшитая поли(2-акриламидо-2-метил-пропансульфоновая кислота), нейтрализованная аммиаком и полученная по способу примера А с вязкостью примерно 15600 сП в 2%-ном водном растворе и при температуре 25oC 2-амино-2-метил-1-пропанол (АМП) для доведения pH до значения 7,5 qs – 1,0 г АМ Абсолютный этанол – 8,7 г Парфюмерная отдушка, консервант, краситель qs Деминерализованная вода – 100 г Получают гомогенный однородный, прозрачный, густой стабильный гель. Пример 4: Прозрачный солнцезащитный гель Глицерин – 4 г Поперечно-сшитая поли(2-акриламидо-2-метил-пропансульфоновая кислота), нейтрализованная аммиаком и полученная по способу примера А с вязкостью примерно 16000 сП в 2%-ном водном растворе и при температуре 25oC – 1,0 г АМ Бензол-1,4-бис(3-метилиден-10-камфорсульфоновая кислота) в 33%-ном водном растворе – 6 г Пропиленгликоль – 18 г Стерильная деминерализованная вода – 70 г pH 1,7 Получают гомогенный, однородный прозрачный густой стабильный гель. Пример 5: Прозрачный противомоскитный гель Глицерин – 4 г Поперечно-сшитая поли(2-акриламидо-2-метил-пропансульфоновая кислота), нейтрализованная аммиаком и полученная по способу примера А с вязкостью примерно 16000 сП в 2%-ном водном растворе и при температуре 25oC – 0,8 г АМ Этил N-бутил-N-ацетиламинопропионат – 15 г N,N-диэтил-m-толуамид – 20 г Пропиленгликоль – 18 г 96o этанол – 23 г Стерильная деминерализованная вода – 19,2 г pH 3,95 Получают гомогенный однородный, прозрачный, густой стабильный гель. Пример 6: Гель для душа Поперечно-сшитая поли(2-акриламидо-2-метил-пропансульфоновая кислота), нейтрализованная аммиаком и полученная по способу примера А, с вязкостью примерно 16000 сП в 2%-ном водном растворе и при температуре 25oC – 1,2 г АМ Миристилгликолевый эфир на основе гидрогенизированного талового жира – 1 г Натиревая соль метил п-гидроксибензоата – 0,215 г Двузамещенная натриевая соль этилендиамин-тетрауксусной кислоты – 0,26 г Глицерин – 4 г Сополимер 50/50 диметилаллиламмоний хлорида акриламида в виде 8%-ного водного раствора – 0,5 г 1,3-диметилол-5,5-диметилгидантоин в 55%-ном водном растворе – 0,172 г Лаурилсульфат натрия, содержащий 2,2 моля этиленоксида – 10 г Триэтаноламинлаурилсульфат в виде 40%-ного водного раствора – 25 г Бетаин на основе жирных кислот кокосового масла в виде 32%-ного водного раствора – 5 г Парфюмерная отдушка – 0,15 г NaOH qs pH 7,5 Стерильная деминерализованная вода – 100 г Получают гомогенный однородный, прозрачный стабильный гель для душа с хорошими пенообразующими свойствами. Пример 7: Гель для душа Поперечно-сшитая поли(2-акриламидо-2-метил-пропансульфоновая кислота), нейтрализованная аммиаком и полученная по способу примера Б, с вязкостью примерно 7000 сП в 2%-ном водном растворе и при температуре 25oC – 1,2 г АМ Миристилгликолевый эфир на основе гидрогенизированного талового жира – 1 г Натиревая соль метил п-гидроксибензоата – 0,215 г Двузамещенная натриевая соль этилендиамин-тетрауксусной кислоты – 0,26 г Глицерин – 4 г Сополимер 50/50 диметилаллиламмоний хлорида/акриламида в виде 8%-ного водного раствора – 0,5 г 1,3-диметилол-5,5-диметилгидантоин в 55%-ном водном растворе – 0,172 г Лаурилсульфат натрия, содержащий 2,2 моля этиленоксида – 10 г Триэтаноламинлаурилсульфат в виде 40%-ного водного раствора – 25 г Бетаин на основе жирных кислот кокосового масла в виде 32%-ного водного раствора – 5 г Парфюмерная отдушка – 0,15 г HCl qs pH 5,5 Стерильная деминерализованная вода – 100 г Получают гомогенный однородный, прозрачный стабильный гель для душа с хорошими пенообразующими свойствами. Пример 8: Полоскание для полости рта Поперечно-сшитая поли(2-акриламидо-2-метил-пропансульфоновая кислота), нейтрализованная аммиаком и полученная по способу примера А, с вязкостью примерно 16000 сП в 2%-ном водном растворе и при температуре 25oC – 0,1 г Метил п-гидроксибензоат – 0,1 г Глицерин – 5 г Сорбитанмонолаурат оксиэтиленированный c 20 молями этиленоксида – 0,4 г Лаурилсульфат натрия порошковый – 0,25 г Фторид натрия – 0,05 г 96o этанол – 5 г Парфюмерная отдушка – 18 г NaOH qs pH 7,5 Стерильная деминерализованная вода – 100 г Получают гомогенную, прозрачную стабильную жидкость. Пример 9: Полоскание для полости рта Поперечно-сшитая поли(2-акриламидо-2-метил-пропансульфоновая кислота), нейтрализованная аммиаком и полученная по способу примера А, с вязкостью примерно 16000 сП в 2%-ном водном растворе и при температуре 25oC – 0,1 г АМ Метил п-гидроксибензоат – 0,1 г Глицерин – 5 г Сорбитанмонолаурат оксиэтиленированный с 20 молями этиленоксида – 0,4 г Лаурилсульфат натрия порошковый – 0,25 г Фторид натрия – 0,05 г 96o этанол – 5 г Парфюмерная отдушка – 18 г HCl qs pH 5 Стерильная деминерализованная вода – 100 г Получают гомогенную, прозрачную стабильную жидкость. Пример 10: Освежающий увлажняющий гель Поперечно-сшитая поли(2-акриламидо-2-метил-пропансульфоновая кислота), нейтрализованная аммиаком и полученная по способу примера Б, с 1 вязкостью примерно 7000 сП в 2%-ном водном растворе и при температуре 25oC – 1,5 г АМ Глицерин – 3 г 96o этиловый спирт в воде – 20 г Стерильная деминерализованная вода – 100 г pH 4,8 Получают гомогенный, стабильный прозрачный гель. Пример 11: Крем для ухода за кожей (эмульсия типа масло в воде) Жирная фаза: Сорбитанмоностеарат, содержащий 20 молей этиленоксида – 1 г Глицерилстеарат – 2 г Стеариновая кислота – 1,4 г Триэтаноламин – 0,7 г Цетиловый спирт – 0,5 г Подсолнечное масло – 15 г Циклометикон – 5 г Водная фаза: Поперечно-сшитая поли(2-акриламидо-2-метил-пропансульфоновая кислота), нейтрализованная аммиаком и полученная по способу примера Б, с вязкостью примерно 7000 сП в 2%-ном водном растворе и при температуре 25oC – 1,2 г АМ Глицерин – 5 г Консервант – 0,25 г Парфюмерная отдушка – 0,15 г Стерильная деминерализованная вода – 100 г pH 6,5 Получают блестящий, мягкий белый крем. Пример 12: Увлажняющее молочко (эмульсия типа масло-в-воде) Жирная фаза: Полуэмульгированная композиция, продаваемая под маркой Монтанов 68 (Montanov 68) компанией Сеппик (Seppic) – 2,5 г Масло жожоба – 3 г Кукурузное масло – 13 г Водная фаза: Поперечно-сшитая поли(2-акриламидо-2-метил-пропансульфоновая кислота), нейтрализованная аммиаком и полученная по способу примера А, с вязкостью примерно 16000 сП в 2%-ном водном растворе и при температуре 25oC – 0,1 г АМ Глицерин – 5 г Консервант qs Стерильная деминерализованная вода – 100 г pH 6,0 Полученное молочко легко наносится на лицо и на тело и отличается особой мягкостью при нанесении. Пример 13: Очищающий крем для лица и тела (эмульсия типа масло-в-воде) Жирная фаза: Масло жожоба – 20 г Водная фаза: Поперечно-сшитая поли(2-акриламидо-2-метил-пропансульфоновая кислота), нейтрализованная аммиаком и полученная по способу примера Б, с вязкостью примерно 7000 сП в 2%-ном водном растворе и при температуре 25oC – 2 г АМ Алкил (C8/C10/C12/C14/C16; 29/37/23/9/2 полиглюкозид-1,4 – 6 г Глицерин – 5 г Консервант qs Стерильная деминерализованная вода – 100 г pH 5 Получают мягкий, однородный, блестящий и пенистый крем. Пример 14: Крем-гель для области вокруг глаз (эмульсия типа масло-в-воде) Жирная фаза: ПЭГ-20 стеарат – 1,65 г Цетиловый спирт – 1,05 г Глицерилстеарат – 0,3 г Циклометикон – 6 г Водная фаза: Поперечно-сшитая поли(2-акриламидо-2-метил-пропансульфоновая кислота), нейтрализованная аммиаком и полученная по способу примера Б, с вязкостью примерно 7000 сП в 2%-ном водном растворе и при температуре 25oC – 1,5 г АМ Глицерин – 5 г Консервант qs Дистиллированная вода – 100 г pH 5 Получают гомогенный, блестящий, слегка прозрачный гелеобразный крем. Пример 15: Увлажняющий крем (эмульсия типа масло-в-воде) Жирная фаза: Полисорбат 60 – 0,8 г Стеариловый спирт – 1,0 г Глицерилстеарат (и) ПЭГ100-стеарат – 1,0 г Гидрогенизированный полиизобутен – 10 г Парфюмерная отдушка – 0,3 г Водная фаза: Поперечно-сшитая поли(2-акриламидо-2-метил-пропансульфоновая кислота), нейтрализованная аммиаком и полученная по способу примера А, с вязкостью примерно 16000 сП в 2%-ном водном растворе и при температуре 25oC – 1,0 г АМ Глицерин – 5 г Консервант qs Дистиллированная вода – 100 г Сравнительные испытания Исследуют общий вид композиций (1) по настоящему изобретению, загущенных с применением поперечно-сшитого полимера поли(2-акриламидо-2-метилпропансульфоновой кислоты), который будучи нейтрализован аммиаком, был получен по способу примера А, с вязкостью примерно 16000 сП в 2%-ном водном растворе и при температуре 25oC. Указанные композиции сравнивают с композициями (2), имеющимися на достигнутом уровне техники и содержащими в качестве загустителя несшитый полимер поли(2-акриламидо-2-метилпропансульфоновой кислоты), такой, как коммерческий продукт Космедиа HSP1160 (Cosmedia HSP1160), предлагаемый компанией Хенкель. В каждом типе композиций концентрация загущающего полимера варьирует, так же, как и значение pH, которое устанавливают в диапазоне от 2 до 7. Композиции типа (1) и типа (2) готовят в соответствии со следующей рецептурой: Композиция (1): Поперечно-сшитая поли(2-акриламидо-2-метил-пропансульфоновая кислота), нейтрализованная аммиаком и полученная по способу примера А, с вязкостью примерно 16000 сП в 2%-ном водном растворе и при температуре 25oC – 0,5 – 2 г АМ Дистиллированная вода – 100 г pH от 2 до 7 Композиция (2): Несшитая поли(2-акриламидо-2-метилпропан-сульфоновая кислота), нейтрализованная триэтаноламином, продаваемая под торговой маркой Космедиа HSP1160 (Cosmedia HSP1160) – 0,5 – 11 г АМ Дистиллированная вода – 100 г pH от 2 до 7 При использовании композиций (1) получают относительно густые, стабильные, гомогенные, нелипкие и нетягучие гели или кремы. При использовании композиций (2) получают жидкие, нестабильные, гетерогенные, клейкие, липкие и тягучие гели, даже при высоких концентрациях загущающего полимера (11% активного материала). Формула изобретения
![]() в которой X+ обозначает катион или смесь катионов, при этом не более чем 10 мол.% катионов X+ может представить собой протоны H+; б) от 0,01 до 10 вес.% звеньев сшивающего мономера, имеющего по меньшей мере две олефиновые двойные связи, при этом их соотношение определяется относительно общего веса полимера. 3. Применение полимера по п. 2, полимерные частицы которого в водном растворе имеют гидродинамический объем с радиусом от 10 до 500 нм и распределение которых характеризуется гомогенностью и равномерностью. 4. Применение полимера по п. 2 или 3, содержащей от 98 до 99,5 вес.% звеньев формулы 1 и от 0,2 до 2 вес.% поперечно-сшивающих звеньев. 5. Применение полимера по одному из пп.2-4, содержащего в формуле 1 катион X+, который представляет собой NH4+. 6. Применение полимера по одному из пп.2-5, в котором поперечно сшивающие мономеры соответствуют общей формуле 2. ![]() в которой R1 обозначает атом водорода или C1-C4 алкил. 7. Применение полимера по любому одному из пп.2-6, в котором поли(2-акриламидо-2-метилпропансульфоновая кислота) сшита с помощью поперечных связей триметилолпропантриакрилатом. 8. Применение по любому из пп.2-7, где полимеры формулы 1 имеют вязкость, определяемую вискозиметром Брукфильда с ротором 4 при скорости вращения 100 об/мин в 2%-ном водном растворе при 25oC, больше или равную 1000 сПз. 9. Применение по любому из пп.2-8, где полимеры формулы 1 имеют вязкость, определяемую вискозиметром Брукфильда с ротором 4 при скорости вращения 100 об/мин в 2%-ном водном растворе при 25oC, варьирующую от 5000 до 40000 сПз и более предпочтительно от 6500 до 35000 сПз. 10. Косметическая или дерматологическая композиция, отличающаяся тем, что содержит в косметически приемлемой среде по меньшей мере одну поперечно-сшитую и по меньшей мере на 90% нейтрализованную поли(2-акриламидо-2-метилпропансульфоновую кислоту). 11. Композиция по п.10, отличающаяся тем, что поперечно-сшитая поли(2-акриламидо-2-метилпропансульфоновая кислота) включает при статистическом распределении: а) 90 до 99,9 вес.% звеньев общей формулы 1 ![]() в которой X+ обозначает катион или смесь катионов, при этом не более чем 10 мол.% катионов X+ может представлять собой протоны H+; б) от 0,01 до 10 вес.% звеньев сшивающего мономера, имеющего по меньшей мере две олефиновых двойных связи, при этом соотношение их определяется относительно общего веса полимера. 12. Композиция по п. 11, отличающаяся тем, что полимерные частицы в водном растворе имеют гидродинамический объем с радиусом от 10 до 500 нм и распределение которых характеризуется гомогенностью и равномерностью. 13. Композиция по п. 11 или 12, отличающаяся тем, что указанная поперечно-сшитая поли(2-акриламидо-2-метилпропансульфоновая кислота) содержит от 98 до 99,5 вес.% звеньев формулы 1 и от 0,2 до 2 вес.% поперечно-сшивающих звеньев. 14. Композиция по пп.10-13, отличающаяся тем, что в формуле 1 катион X+, который представляет собой NH4+. 15. Композиция по любому из пп.10-14, отличающаяся тем, что поперечно-сшивающие мономеры соответствуют общей формуле 2 ![]() в которой R1 обозначает атом водорода или C1-C4 алкил. 16. Композиция по любому из пп.10-15, отличающаяся тем, что поли(2-акриламидо-2-метилпропансульфоновая кислота) сшита с помощью поперечных связей с триметилолпропантриакрилатом. 17. Композиция по любому из пп.10-16, отличающаяся тем, что поперечно-сшитая поли(2-акриламидо-2-метилпропансульфоновая кислота) имеет вязкость, определяемую вискозиметром Брукфильда в 2%-ном водном растворе при 25oC, больше или равную 1000 сПз. 18. Композиция по любому из пп.10-17, отличающаяся тем, что поперечно-сшитая поли(2-акриламидо-2-метилпропансульфоновая кислота) имеет вязкость, определяемую вискозиметром Брукфильда в 2%-ном растворе при 25oC, варьирующую от 5000 до 40000 сПз и более предпочтительно от 6500 до 35000 сПз. 19. Композиция по любому из пп.10-18, отличающаяся тем, что поперечно-сшитая поли(2-акриламидо-2-метилпропансульфоновая кислота) присутствует в концентрациях предпочтительно от 0,01 до 20 вес.% относительно веса всей композиции и более предпочтительно от 0,1 до 10 вес.%. 20. Композиция по любому из пп.10-19, отличающаяся тем, что она имеет вид дисперсии типа лосьона или сыворотки, водного или масляного геля; эмульсии жидкой или полужидкой консистенции типа молочка, полученной при диспергировании жирной фазы в водной фазе (масло/вода) или, наоборот (вода/масло); суспензий или эмульсий мягкой, полутвердой или твердой консистенции кремообразного или гелеобразного типа; твердого мыла. 21. Композиция по любому из пп.10-20, отличающаяся тем, что содержит косметически и/или дерматологически приемлемую водную среду. 22. Композиция по п.21, отличающаяся тем, что значение pH в ней варьирует от 1 до 13. 23. Композиция по любому из пп.10-22, отличающаяся тем, что указанная косметически и/или дерматологически приемлемая среда состоит из воды или воды и по меньшей мере одного органического растворителя, выбранного из группы, включающей гидрофильные органические растворители, липофильные органические растворители, амфифильные органические растворители и их смеси. 24. Композиция по п.23, отличающаяся тем, что органические растворители выбирают из группы, включающей моно- или полифункциональные спирты, необязательно оксиэтиленированные полиэтиленгликоли, сложные эфиры пропиленгликоля, сорбит и его производные, ди- и алкилизосорбиды, эфиры гликоля и пропиленгликоля, а также сложные эфиры жирных кислот. 25. Композиция по п.23 или 24, отличающаяся тем, что органический растворитель или растворители составляют от 5 до 98% от веса всей композиции. 26. Композиция по любому из пп.10-25, отличающаяся тем, что включает также по меньшей мере одну жирную фазу. 27. Композиция по любому из пп.10-26, отличающаяся тем, что указанная жирная фаза составляет от 0 до 50% от веса всей композиции. 28. Композиция по любому из пп.10-27, отличающаяся тем, что включает также по меньшей мере одну добавку, выбранную из группы, состоящей из стандартных водных или липофильных желирующих компонентов и/или загустителей; гидрофильных или липофильных активных агентов; консервантов; антиоксидантов; парфюмерных отдушек; эмульгаторов; увлажнителей; умягчающих веществ; компонентов, способствующих шелушению; поверхностно-активных веществ; полимеров; подщелачивающих или подкисляющих агентов, наполнителей; средств, связывающих свободные радикалы; церамидов; солнцезащитных фильтров; репеллентов против насекомых; средств, способствующих скольжению; красителей; бактерицидных средств; противоперхотных средств. 29. Композиция по любому из пп.10-28, отличающаяся тем, что используется как смываемое средство или оставляемый на волосах продукт для мытья, ухода, кондиционирования, поддержания укладки или формы волос. 30. Композиция по любому из пп.10-28, отличающаяся тем, что используется как средство для ухода и/или гигиеническое средство. 31. Композиция по любому из пп.10-28, отличающаяся тем, что используется как средство макияжа. 32. Композиция по любому из пп.10-28, отличающаяся тем, что используется как солнцезащитное средство. 33. Композиция по любому из пп.10-28, отличающаяся тем, что используется как средство ухода за полостью рта. 34. Способ нетерапевтического косметического воздействия на кожу, волосы, ресницы, брови, ногти или слизистые оболочки, отличающийся тем, что на них наносят композицию, определенную в пп.10-28. QB4A Регистрация лицензионного договора на использование изобретения
Лицензиар(ы): Л ОРЕАЛЬ (FR)
Вид лицензии*: ИЛ
Лицензиат(ы): Закрытое акционерное общество “Л ОРЕАЛЬ”
Договор № РД0063840 зарегистрирован 27.04.2010
Извещение опубликовано: 10.06.2010 БИ: 16/2010
* ИЛ – исключительная лицензия НИЛ – неисключительная лицензия
|
||||||||||||||||||||||||||




(V2 + dV1),
R3/3,
R,


