|
|
(21), (22) Заявка: 2003115720/09, 28.05.2003
(24) Дата начала отсчета срока действия патента:
28.05.2003
(45) Опубликовано: 20.01.2005
(56) Список документов, цитированных в отчете о поиске:
АНДРЕЕВ В.А., Релейная защита и автоматика систем электроснабжения, Москва, Высшая школа, 1991, с.122, RU 94015190 А1, 20.04.1996, RU 2056693 С1, 20.03.1996, SU 350068, 04.01.1973, SU 775781, 01.11.1980.
Адрес для переписки:
129626, Москва, Рижский пр-д, 13, кв.144, Е.Ю. Плужниковой
|
(72) Автор(ы):
Варганов Г.П. (RU), Розенблюм Р.З. (RU)
(73) Патентообладатель(и):
ОАО “Чебоксарский электроаппаратный завод” (RU)
|
(54) РЕЛЕ ЧАСТОТЫ
(57) Реферат:
Изобретение относится к электротехнике и может быть использовано в качестве реле частоты. Технический результат заключается в расширении функциональных возможностей, путем обеспечения одновременного выполнения функции реле повышения и понижения частоты, а также скорости изменения частоты. Для этого частотное реле содержит разделительный трансформатор, частотно-зависимый элемент, два выпрямителя, алгебраический сумматор, три пороговых блока, два элемента И, два исполнительных элемента, блок вычитания, сумматор, два фильтра нижних частот, при этом уменьшение амплитуды сигнала на выходе частотно-зависимого элемента относительно его входного сигнала в сторону уменьшения пропорционально модулю отклонения частоты его входного сигнала от номинальной частоты. 1 ил.

Изобретение относится к электротехнике и может быть использовано в качестве реле частоты.
Известно устройство, содержащее последовательно соединенные генератор тактовых импульсов, двоичный счетчик импульсов, дешифратор, формирователь импульсов и исполнительный элемент, выполненный в виде транзистора [1].
Недостатком устройства являются относительно узкие функциональные возможности, не позволяющие использовать его в качестве реле частоты.
Наиболее близким по технической сущности к заявляемому является устройство, содержащее последовательно соединенные разделительный трансформатор, частотный фильтр, первый частотно-зависимый элемент, первый формирователь импульсов, элемент ЗАПРЕТ, расширитель импульсов, усилитель и исполнительный элемент, второй частотно-зависимый элемент, вход которого соединен с выходом частотного фильтра, а выход – через ключ соединен со вторым входом первого формирователя импульсов, последовательно соединенные делитель напряжения, вход которого соединен с выходом частотного фильтра, второй формирователь импульсов и формирователь коротких импульсов, выход которого соединен со вторым входом элемента ЗАПРЕТ, а также пусковой элемент, вход которого соединен с выходом разделительного трансформатора, а выход – соединен со вторым входом расширителя импульсов [2].
Недостатком наиболее близкого технического решения являются относительно узкие функциональные возможности, поскольку оно одновременно может работать либо как реле понижения частоты, либо как реле повышения частоты. Кроме того, это техническое решение не реагирует на скорость изменения частоты.
Требуемый технический результат заключается в расширении функциональных возможностей, путем обеспечения одновременного выполнения функций реле повышения и понижения частоты, а также скорости изменения частоты.
Этот технический результат достигается тем, что в устройство, содержащее разделительный трансформатор, частотно-зависимый элемент и первый исполнительный элемент, введены алгебраический сумматор, первый выпрямитель, вход которого соединен с выходом частотно-зависимого элемента, а выход – соединен с входом вычитания алгебраического сумматора, первый элемент И, выход которого соединен с входом первого исполнительного элемента, первый пороговый блок, выход “больше” которого соединен с первым входом первого элемента И, второй пороговый блок, выход “больше” которого соединен со вторым входом первого элемента И, второй выпрямитель, вход которого соединен с входом частотно-зависимого элемента и с выходом разделительного трансформатора, а выход – соединен с входом второго порогового блока и с входом сложения алгебраического сумматора, последовательно соединенные второй элемент И и второй исполнительный элемент, последовательно соединенные первый фильтр нижних частот и третий пороговый блок, выход “больше” которого соединен с первым входом второго элемента И, второй вход которого соединен с выходом второго порогового блока, блок вычитания, первый вход которого соединен с выходом алгебраического сумматора, сумматор, первый вход которого соединен с выходом блока вычитания и с входом первого фильтра нижних частот, а также второй фильтр нижних частот, вход которого соединен с выходом сумматора, а выход – соединен со входом первого порогового блока и со вторыми входами блока вычитания и сумматора, при этом уменьшение амплитуды сигнала на выходе частотно зависимого элемента относительно его входного сигнала в сторону уменьшения пропорционально модулю отклонения частоты его входного сигнала от номинальной частоты.
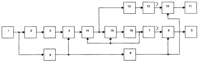
На чертеже представлена электрическая структурная схема частотного реле.
Частотное реле содержит разделительный трансформатор 1, частотно-зависимый элемент 2, первый исполнительного элемент 3, алгебраический сумматор 4, первый выпрямитель 5, вход которого соединен с выходом частотно-зависимого элемента 2, а выход – соединен с входом вычитания алгебраического сумматора 4, первый элемент И 6, выход которого соединен с входом исполнительного элемента 3, первый пороговый блок 7, выход “больше” которого соединен с первым входом первого элемента И 6, второй пороговый блок 8, выход “больше” которого соединен со вторым входом элемента первого И 6, а также второй выпрямитель 9, вход которого соединен с входом частотно-зависимого элемента 2 и с выходом разделительного трансформатора 1, а выход – соединен с входом второго порогового блока 8 и с входом сложения алгебраического сумматора 4. Частотное реле содержит также последовательно соединенные второй элемент И 10 и второй исполнительный элемент 11, последовательно соединенные первый фильтр 12 нижних частот и третий пороговый блок 13, выход “больше” которого соединен с первым входом второго элемента И 10, второй вход которого соединен с выходом второго порогового блока 8, блок вычитания 14, первый вход которого соединен с выходом алгебраического сумматора 4, сумматор 15, первый вход которого соединен с выходом блока 14 вычитания и с входом первого фильтра 12 нижних частот, а также второй фильтр 16 нижних частот, вход которого соединен с выходом сумматора 15, а выход – соединен со входом первого порогового блока 7 и со вторыми входами блока 14 вычитания и сумматора 15, при этом, изменение амплитуды сигнала на выходе частотно зависимого элемента 2 относительно его входного сигнала в сторону уменьшения пропорционально модулю отклонения частоты его входного сигнала от номинальной частоты.
Исполнительные элементы 3 и 11 могут быть выполнены в виде реле, обмотка которого непосредственно или через усилитель соединена с выходом соответствующего элемента И 6 или 10. Пример конструктивного выполнения частотно-зависимого элемента 2 приведен в [2, стр. 52, рис. 1.14]. Изменение амплитуды сигнала на выходе частотно зависимого элемента 2 относительно его входного сигнала в сторону уменьшения пропорционально модулю отклонения частоты его входного сигнала от номинальной частоты. Остальные блоки являются стандартными элементами электронной техники.
Частотное реле работает следующим образом.
Входное напряжение, частота которого может изменяться, поступает на вход разделительного трансформатора 1 и далее на вход второго выпрямителя 9 непосредственно, а на вход первого выпрямителя 5 – через частотно-зависимый элемент 2. Уменьшение амплитуды сигнала на выходе частотно-зависимого элемента 2 пропорционально модулю отклонения частоты от номинальной. Поэтому при частоте входного напряжения, близкой к номинальной, уровни сигнала на выходах первого 5 и второго 9 выпрямителей близки, а сигнал на выходе алгебраического сумматора незначительно отличается от нулевого. Этот сигнал, проходя через блок 14 вычитания и сумматор 15 (на их вторые входы поступают одинаковые сигналы), усредняется во втором фильтре 16 нижних частот. Первый пороговый блок 7 при этом не срабатывает (на его выходе “больше” не формируется уровень логической единицы). Это, в свою очередь, исключает срабатывание первого исполнительного элемента 3. Если частота входного сигнала отклоняется от номинальной за недопустимые пределы, то уровень сигнала на выходе алгебраического сумматора 4 повышается и срабатывает первый пороговый блок 7. Наличие второго выпрямителя 9 исключает ложное срабатывание реле из-за отсутствия или недопустимого снижения уровня напряжения в контролируемой сети. Сигналы с уровнями логической единицы на входе первого элемента И 6 объединяются этим элементом, что приводит к срабатыванию первого исполнительного элемента 3.
Кроме того, величина отклонения сигнала на выходе алгебраического сумматора 4 от своего среднего значения на некотором интервале усреднения, формируемого вторым фильтром 16 нижних частот, с выхода блока 14 вычитания поступает в первый фильтр 12 нижних частот и усредняется в нем. Таким образом, в первом фильтре 12 нижних частот формируется сигнал, пропорциональный усредненной величине скорости отклонения частоты входного напряжения от номинальной. Если эта скорость превысит свое допустимое значение, то на выходе третьего порогового блока 13 будет сформирован сигнал с уровнем логической единицы, что приведет к срабатыванию второго исполнительного элемента 11.
Таким образом, благодаря введению новых блоков и связей расширяются функциональные возможности реле частоты, поскольку оно позволяет одновременно реагировать на недопустимые отклонения частоты входного сигнала как в сторону повышения, так и в сторону понижения, а также на скорость отклонения частоты от своего номинального значения.
Источники информации, принятые во внимание:
1. Электротехнический справочник, в 4-х томах, т.2. Электротехнические изделия и устройства. Под общей редакцией В.Г.Герасимова и др. – М.: Издательство МЭИ, 1998 г., с.390, рис. 35.10.
2. В.А.Андреев. Релейная защита и автоматика систем электроснабжения. – М.: Высшая школа, 1991, с.122, рис. 3.29 (прототип).
Формула изобретения
Реле частоты, содержащее разделительный трансформатор, частотно-зависимый элемент и первый исполнительный элемент, отличающееся тем, что введены алгебраический сумматор, первый выпрямитель, вход которого соединен с выходом частотно-зависимого элемента, а выход соединен с входом вычитания алгебраического сумматора, первый элемент И, выход которого соединен с входом первого исполнительного элемента, первый пороговый блок, выход “Больше” которого соединен с первым входом первого элемента И, второй пороговый блок, выход “Больше” которого соединен со вторым входом первого элемента И, второй выпрямитель, вход которого соединен с входом частотно-зависимого элемента и с выходом разделительного трансформатора, а выход соединен с входом второго порогового блока и с входом сложения алгебраического сумматора, последовательно соединенные второй элемент И и второй исполнительный элемент, последовательно соединенные первый фильтр нижних частот и третий пороговый блок, выход “Больше” которого соединен с первым входом второго элемента И, второй вход которого соединен с выходом второго порогового блока, блок вычитания, первый вход которого соединен с выходом алгебраического сумматора, сумматор, первый вход которого соединен с выходом блока вычитания и с входом первого фильтра нижних частот, а также второй фильтр нижних частот, вход которого соединен с выходом сумматора, а выход соединен со входом первого порогового блока и со вторыми входами блока вычитания и сумматора, при этом уменьшение амплитуды сигнала на выходе частотно-зависимого элемента относительно его входного сигнала в сторону уменьшения пропорционально модулю отклонения частоты его входного сигнала от номинальной частоты.
РИСУНКИ
|
|