Патент на изобретение №2152693
|
||||||||||||||||||||||||||
(54) СОТОВАЯ ТЕЛЕВИЗИОННАЯ ПЕРЕДАЮЩАЯ СИСТЕМА (СТПС) (ВАРИАНТЫ)
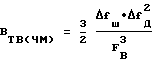
(57) Реферат: Изобретение относится к телевидению, в частности к системам беспроводного широкополостного доступа (LMDS – Local Multipoint Distribution Systems, MVDS – Multipoint Video Distribution Systems), представляющим собой высокочастотные, широкополосные, высокоскоростные маломощные линии передачи информации. Задача изобретения заключается в повышении качества изобретения за счет применения частотной модуляции, исключающей двойное изображение на экранах телевизоров вследствие переотражения принимаемого сигнала, в обеспечении уверенного приема при малой мощности излучения, порядка 100 – 200 МВт на канал, в создании интерактивного телевидения и компьютинга, а также в обеспечении высокоскоростной передачи информации, что также является достигаемым техническим результатом. 3 с. и 6 з.п.ф-лы, 12 ил. Изобретение относится к телевидению, в частности к системам беспроводного широкополостного доступа (LMDS – Local Multipoint Distribution Systems; MVDS – Multipoint Video Distribution Systems), представляющим собой высокочастотные, широкополосные, высокоскоростные маломощные линии передачи информации. Такие системы в своем большинстве строятся по сотовому принципу с радиусом обслуживания, не превышающим обычно 5-8 км. Действующие и перспективные системы работают в нескольких СВЧ-диапазонах: 12, 28, 38, 42 ГГц. Рабочая полоса частот составляет 1-2 ГГц. Радиотракт систем LMDS (MVDS) предназначен для передачи различных типов аналоговых и цифровых сигналов (SECAM, PAL или просто поток данных). Для передачи аналоговых ТВ-сигналов используется частотная модуляция, что позволяет обеспечить уверенный прием сигналов при малой мощности излучения (порядка 100-200 мВт на канал). При цифровом кодировании ТВ-сигнала используется стандарт MPEG-2. Системы LMDS (MVDS) могут обеспечить целый спектр услуг: многопрограммное ТВ-вещание (свыше 100 каналов в одной соте), в том числе передачу видеопрограмм по заказу; обеспечение доступа в Интернет; высокоскоростную передачу данных; интерактивное телевидение и компьютинг; телефонию, телеконференцию и т.д. Технология LMDS позволяет осуществить постепенное наращивание объема и спектра услуг. Предшествующий уровень техники В патенте EP 0282347 A2, кл. H 04 N 7/18, опубликованном 14.09.88, представлена “Низкомощная многофункциональная сотовая система”, содержащая множество маломощных передающих станций, содержащих множество передающих антенн, и множество приемников, принимающих телевизионный сигнал от указанных передающих антенн. Недостатком известной системы являются ее низкие функциональные возможности, не позволяющие принимать видеопрограммы по заказу, а также не позволяющие обмениваться информацией и видеосигналами между передающей станцией и приемником. Известна “Интерактивная телевизионная информационная передающая система”, описанная в патенте US 5321514 A, кл. H 04 N 5/38, опубликованном 14.06.94, и содержащая базовую станцию для передачи видеосигнала, базовые средства управления передачей, множество приемопередатчиков, каждый из которых имеет средства для приема видеосигнала и средства для приема и передачи радиосигнала. Недостатками известной системы являются ее низкие функциональные возможности, в частности низкое качество изображения, в связи с тем, что в ней используется амплитудная модуляция, а также невозможность передачи видеосигнала от приемопередатчика к базовой станции. Наиболее близкой из известных систем является “Сотовая телевизионная передающая система”, описанная в заявке WO 95/31070 A2, кл. H 04 N 7/20, опубликованной 16.11.95, и содержащая, по меньшей мере, две соты, каждая из которых оснащена маломощной передающей базовой станцией для передачи, по крайней мере, одного телевизионного сигнала в соту сотовой системы, в которой передающая базовая станция излучает телевизионные сигналы в микроволновом диапазоне. Система также включает множество приемных абонентских станций, оснащенных направленными приемными антеннами для приема телевизионных сигналов от одной из передающих базовых станций, при этом передающая базовая станция расположена на периферии соты и оснащена одной узконаправленной передающей антенной для излучения, по крайней мере, одного телевизионного сигнала на соседнюю соту. Недостатками известной системы являются ее низкие функциональные возможности, в частности низкое качество изображения, а также невозможность обмена видеосигналами между базовой станцией и абонентской станцией. Задачей данного изобретения является создание сотовой телевизионной передающей системы, обеспечивающей многопрограммное вещание, в том числе передачу программ по заказу, интерактивное телевидение и компьютинг, а также высокоскоростную передачу информации. Поставленная задача решается тем, что сотовая телевизионная передающая система содержит, по меньшей мере, две соты, каждая сота включает базовую станцию и N приемных абонентских станций, причем каждая базовая станция содержит передатчик, передающий сигналы в микроволновом диапазоне, базовая станция дополнительно содержит приемное устройство, содержащее последовательно соединенные приемный антенный блок, блок конвертации и блок демодуляции, причем передатчик содержит блок преобразования сигналов, оконечный блок и блок формирования пакетов информационных каналов, входы которого являются входами передатчика, выход данного блока соединен с входом блока преобразования сигналов, выход которого соединен с входом оконечного блока, причем блок формирования пакетов информационных каналов содержит N каналов формирования информационных пакетов, из которых M каналов (где M < N) являются каналами с частотной модуляцией, a (N-M) каналов являются каналами с квадратурной модуляцией, причем каждый канал с частотной модуляцией содержит последовательно соединенные частотный модулятор, амплитудно-фазовый корректор и канальный полосовой фильтр, выход которого является выходом канала с частотной модуляцией, при этом первый и второй информационные входы частотного модулятора являются соответственно входом видеосигнала и входом звукового сигнала канала с частотной модуляцией, опорный вход которого является опорным входом частотного модулятора, каждый канал с квадратурной модуляцией содержит последовательно соединенные модулятор, амплитудно-фазовый корректор и канальный полосовой фильтр, выход которого является выходом канала с квадратурной модуляцией, опорным, синфазным и квадратурным входами которого являются соответственно опорный вход, первый и второй информационные входы модулятора, выходы всех каналов информационных пакетов соединены соответственно с входами сумматора, выход которого является выходом блока формирования пакетов информационных каналов, а опорные входы всех указанных каналов соединены с выходом опорного кварцевого генератора, блок преобразования сигналов содержит опорный кварцевый генератор, первый и второй выходы которого соединены соответственно с опорными входами первого и второго гетеродинов, а также последовательно соединенные первый смеситель, опорный вход которого соединен с выходом первого гетеродина, первый полосовой фильтр, усилитель, второй смеситель, опорный вход которого соединен с выходом второго гетеродина, и второй полосовой фильтр, выход которого является выходом блока преобразования сигналов, входом которого является второй вход первого смесителя, а каждая абонентская станция содержит приемопередающую антенну, соединенную с приемопередающим блоком усиления и конвертации, который соединен с блоком модуляции/демодуляции. В приемном устройстве базовой станции приемный антенный блок содержит K антенн, выходы которых являются выходами приемного антенного блока, а блок конвертации содержит гетеродин и K каналов, каждый из которых состоит из последовательно соединенных первого усилителя, смесителя, канального полосового фильтра, второго усилителя, при этом выходы гетеродина соединены с опорными входами смесителей всех каналов, входы первых усилителей каждого канала являются входами блока конвертации, выходами которого являются выходы вторых усилителей каждого канала, а блок демодуляции содержит K демодуляторов, входы-выходы которых являются соответственно входами-выходами блока демодуляции. Оконечный блок содержит последовательно соединенные малошумящий усилитель и делитель на R каналов, каждый выход которого через соответствующий фазовращатель подключен ко входу соответствующего усилителя, выход которого подключен к соответствующему излучающему элементу, а выходы излучающих элементов являются выходами оконечного блока, входом которого является вход малошумящего усилителя. Поставленная задача решается также тем, что сотовая телевизионная передающая система содержит, по меньшей мере, две соты, каждая сота включает базовую станцию и N приемных абонентских станций, причем каждая базовая станция содержит передатчик, передающий сигналы в микроволновом диапазоне, базовая станция дополнительно содержит приемное устройство, содержащее последовательно соединенные приемный антенный блок, блок конвертации и блок демодуляции, причем передатчик содержит блок преобразования сигналов, оконечный блок и блок формирования пакетов информационных каналов, входы которого являются входами передатчика, выходы данного блока соединены с входами блока преобразования сигналов, выходы которого соединены с входами оконечного блока, причем блок формирования пакетов информационных каналов содержит два субблока формирования информационных пакетов и опорный кварцевый генератор, выход которого соединен с опорными входами каждого субблока формирования информационных пакетов, блок преобразования сигналов содержит опорный кварцевый генератор, первый и второй выходы которого соединены соответственно с опорными входами первого и второго гетеродинов, а также два канала, каждый из которых содержит последовательно соединенные первый смеситель, первый полосовой фильтр, усилитель, второй смеситель и второй полосовой фильтр, при этом первый и второй выходы первого гетеродина соединены с опорными входами первых смесителей каждого канала, а первый и второй выходы второго гетеродина соединены с опорными входами вторых смесителей каждого канала, при этом входы первых смесителей являются соответственно первым и вторым входами блока преобразования сигналов, выходами которого являются выходы вторых полосовых фильтров каждого канала, оконечный блок содержит блок управления и контроля, передающий антенный блок, первый и второй делители, первый и второй сверхвысокочастотные переключатели и две цепи, каждая из которых содержит последовательно соединенные сумматор, усилитель и направленный ответвитель, первые выходы направленных ответвителей каждой цепи соединены с входами передающего антенного блока, а вторые выходы направленных ответвителей каждой цепи соединены с входами блока управления и контроля, первый и второй выходы которого соединены с управляющими входами первого и второго сверхвысокочастотных переключателей, информационные входы которых соединены с первыми выходами соответственно первого и второго делителей, вторые выходы которых соединены с первыми входами сумматоров каждой цепи, при этом выход первого сверхвысокочастотного переключателя соединен со вторым входом сумматора второй цепи, а выход второго сверхвысокочастотного переключателя соединен со вторым входом сумматора первой цепи, причем входы первого и второго делителей являются соответственно первым и вторым входами оконечного блока, а каждая абонентская станция содержит приемопередающую антенну, соединенную с приемопередающим блоком усиления и конвертации, который соединен с блоком модуляции/демодуляции. Каждый субблок формирования информационных пакетов (вариант 1) содержит P каналов формирования информационных пакетов, из которых K каналов (где K Каждый субблок формирования информационных пакетов (вариант 2) содержит синтезатор сетки частот, сумматор и n каналов формирования информационных пакетов, выходы которых соединены с n входами сумматора, при этом каждый канал формирования информационных пакетов содержит последовательно соединенные спутниковую зеркальную антенну, конвертор, тюнер, смеситель, амплитудно-фазовый корректор и канальный полосовой фильтр, выход которого является выходом каждого канала формирования информационных пакетов, при этом выходы синтезатора сетки частот подсоединены к опорным входам смесителей всех указанных каналов, а выход сумматора является выходом субблока формирования информационных пакетов. В приемном устройстве базовой станции приемный антенный блок содержит K антенн, выходы которых являются выходами приемного антенного блока, а блок конвертации содержит гетеродин и K каналов, каждый из которых состоит из последовательно соединенных первого усилителя, смесителя, канального полосового фильтра, второго усилителя, при этом выходы гетеродина соединены с опорными входами смесителей всех каналов, входы первых усилителей каждого канала являются входами блока конвертации, выходами которого являются выходы вторых усилителей каждого канала, а блок демодуляции содержит K демодуляторов, входы-выходы которых являются соответственно входами-выходами блока демодуляции. Поставленная задача решается тем, что сотовая телевизионная передающая система содержит, по меньшей мере, две соты, каждая сота включает базовую станцию и N приемных абонентских станций, причем каждая базовая станция содержит передатчик, передающий сигналы в микроволновом диапазоне, базовая станция дополнительно содержит приемное устройство, содержащее последовательно соединенные приемный антенный блок, блок конвертации и блок демодуляции, причем передатчик содержит блок преобразования сигналов, оконечный блок и блок формирования пакетов информационных каналов, входы которого являются входами передатчика, выходы данного блока соединены с входами блока преобразования сигналов, выходы которого соединены с входами оконечного блока, причем блок формирования пакетов информационных каналов содержит N каналов формирования информационных пакетов, из которых M каналов (где M < N) являются каналами с частотной модуляцией, a (N-M) каналов являются каналами с квадратурной модуляцией, причем каждый канал с частотной модуляцией содержит последовательно соединенные частотный модулятор, амплитудно-фазовый корректор и канальный полосовой фильтр, выход которого является выходом канала с частотной модуляцией, при этом первый и второй информационные входы частотного модулятора являются соответственно входом видеосигнала и входом звукового сигнала канала с частотной модуляцией, опорный вход которого является опорным входом частотного модулятора, каждый канал с квадратурной модуляцией содержит последовательно соединенные модулятор, амплитудно-фазовый корректор и канальный полосовой фильтр, выход которого является выходом канала с квадратурной модуляцией, опорным, синфазным и квадратурным входами которого являются соответственно опорный вход, первый и второй информационные входы модулятора, выходы всех каналов информационных пакетов являются выходами блока формирования пакетов информационных каналов, а опорные входы всех указанных каналов соединены с выходом опорного кварцевого генератора, блок преобразования сигналов содержит опорный кварцевый генератор, первый и второй выходы которого соединены соответственно с опорными входами первого и второго гетеродинов, а также N каналов, каждый из которых содержит последовательно соединенные первый смеситель, первый полосовой фильтр, усилитель, второй смеситель и второй полосовой фильтр, при этом выходы первого гетеродина соединены соответственно с опорными входами первых смесителей указанных каналов, выходы второго гетеродина соединены с опорными входами вторых смесителей указанных каналов, выходы вторых полосовых фильтров указанных каналов являются выходами блока преобразования сигналов, входами которого являются вторые входы первых смесителей, оконечный блок содержит N усилителей, входы которых являются входами оконечного блока, при этом выходы n первых усилителей соединены с входами первого частотного сумматора, выходы следующих n усилителей соединены с выходами второго частотного сумматора, выходы последних n усилителей соединены с входами m-го частотного сумматора, причем N= nxm, m частотных сумматоров подключены к соответствующим входам передающего антенного блока, а каждая абонентская станция содержит приемопередающую антенну, соединенную с приемопередающим блоком усиления и конвертации, который соединен с блоком модуляции/демодуляции. В приемном устройстве базовой станции приемный антенный блок содержит K антенн, выходы которых являются выходами приемного антенного блока, а блок конвертации содержит гетеродин и K каналов, каждый из которых состоит из последовательно соединенных первого усилителя, смесителя, канального полосового фильтра, второго усилителя, при этом выходы гетеродина соединены с опорными входами смесителей всех каналов, входы первых усилителей каждого канала являются входами блока конвертации, выходами которого являются выходы вторых усилителей каждого канала, а блок демодуляции содержит K демодуляторов, входы-выходы которых являются соответственно входами-выходами блока демодуляции. Сущность изобретения поясняется следующими чертежами. На фиг. 1 представлена функциональная схема сотовой телевизионной передающей системы (по трем вариантам). На фиг. 2 представлена функциональная схема передатчика базовой станции (по трем вариантам). На фиг. 3 представлена функциональная схема приемного устройства базовой станции (по трем вариантам). На фиг. 4 представлена функциональная схема абонентской станции (по трем вариантам). На фиг. 5 представлен первый вариант структурной схемы передатчика базовой станции. На фиг. 6 представлена структурная схема приемного устройства базовой станции. На фиг. 7 представлен первый вариант структурной схемы субблока формирования информационных пакетов передатчика базовой станции. На фиг. 8 представлен второй вариант структурной схемы передатчика базовой станции. На фиг. 9 представлен третий вариант структурной схемы передатчика базовой станции. На фиг. 10 представлена структурная схема оконечного блока передатчика базовой станции. На фиг. 11 представлена структурная схема абонентской станции. На фиг. 12 представлена структурная схема частотного сумматора оконечного блока передатчика базовой станции. Сотовая телевизионная передающая система (СТПС) состоит из нескольких сот: C1, C2, C3, C4 (фиг. 1). Соты могут иметь различные размеры. Количество сот в СТПС может быть различным. Каждая сота содержит базовую станцию (БС) 1 и множество абонентских станций (АС) 2. Соты C1 и C2 представлены на фиг.1 в укрупненном виде C’1, C’2. БС в соте может располагаться как в ее центре, так и в любом другом месте соты. БС и АС излучают относительно маломощные сигналы в одном из микроволновых диапазонов частот, начиная с 11 ГГц и выше. С БС передаются телевизионные, радио, телефонные сигналы, потоки данных как в цифровой, так и в аналоговой форме, которые принимаются множеством АС, которые в свою очередь передают аналогичные ответные сигналы, которые принимаются БС. БС могут быть соединены со студиями эфирного и кабельного телевидения, провайдерами услуг по передаче данных и мультимедиа, телефонными станциями посредством различных линий связи, например радиорелейными линиями. Различные соты СТПС могут быть соединены между собой посредством различных линий связи, например радиорелейными линиями. БС состоит из передатчика (ПРД) (фиг. 2), включающего в себя блок 3 формирования пакетов информационных каналов (БФПИК), блок 4 преобразования сигналов (БП), оконечный блок (ОБ) 5, и приемного устройства (ПРМ) (фиг. 3), включающего в себя приемный антенный блок (ПАБ) 8, блок 7 конвертации (БК), блок 6 демодуляции (БД). АС (фиг. 4) состоит из приемопередающей антенны (ППА) 11, приемопередающего блока 10 усиления и конвертации (ППБУК), блока 9 модуляции/демодуляции. Диаграмма направленности (ДН) ОБ БС обеспечивает излучение передаваемых сигналов в заданную зону пространства (соту), в которой находятся АС. АС оснащены направленными ППА, ориентированными на БС. ПАБ БС состоит из нескольких независимых антенн, ширина ДН которых существенно уже ДН ОБ ПРД, а сами ДН веерно расположены таким образом, чтобы обеспечить прием сигналов от всех АС, расположенных в заданной зоне пространства (соте). Входными сигналами для БФПИК ПРД БС являются телевизионные и (или) иные информационные сигналы, поступающие в аналоговом (A – аудиосигнал, V – видеосигнал) и (или) цифровом (I, Q) виде. Аналоговые сигналы поступают на частотные модуляторы 13, выполненные, например, на транзисторных генераторах, управляемых напряжением, (ГУН) с фазовой автоподстройкой частоты (ФАПЧ), а цифровые сигналы поступают на модуляторы 14 (квадратурные фазовые или амплитудные), выполненные, например, по балансной схеме. Число частотных и квадратурных модуляторов может быть произвольным, но в сумме их количество равно числу входов БФПИК (N). Синхронизация работы всех модуляторов обеспечивается опорными сигналами от общего опорного кварцевого генератора. С выходов всех модуляторов сигналы на промежуточных частотах подаются на последовательно соединенные амплитудно-фазовые корректоры 15, выполненные, например, на многозвенных RC-цепочках, полосовые фильтры 16, выполненные, например, на микрополосковых линиях, и сумматор 17. Суммарный сигнал представляет собой совокупность N независимых сигналов, последовательно расположенных по частоте в диапазоне промежуточных частот 950. . .2150 МГц. Суммарный сигнал по коаксиальному кабелю поступает на смеситель 18 БП (диодный микрополосковый), на опорный вход которого поступает сигнал с выхода первого гетеродина 20, выполненного, например, по схеме прямого синтеза на транзисторно-варакторных цепочках. Преобразованный сигнал фильтруется полосовым (микрополосковым) фильтром 22, усиливается усилителем 23 (промежуточной частоты), подается на второй, например, смеситель 24 (волноводно-диодный), на опорный вход которого поступает сигнал с выхода второго гетеродина, выполненного, например, аналогично первому, и фильтруется вторым полосовым фильтром 25, например, волноводным. Сигналы с выходов первого и второго гетеродинов 20 и 21 формируются из сигнала одного опорного генератора 19, например, кварцевого в диапазоне 80…120 МГц. В случае работы СТПС в сантиметровом диапазоне длин волн допускается однократное преобразование сигналов по частоте в БП. Преобразованные сигналы после фильтрации в первом полосовом фильтре 22, например, волноводном подаются в ОБ, в котором усиливаются в усилителе 26, выполненном, например, на лампе бегущей волны, и излучаются антенной, например, рупорно-линзовой. ОБ ПРД БС может быть выполнен в виде, представленном на фиг. 10. Сигналы, поступающие от БП, усиливаются усилителем 78 и подаются на делитель 79, например, волноводный. С каждого из M выходов делителя сигналы подаются на последовательно соединенные управляемые фазовращатели 8, например, pin-диодные, усилители 81, например, транзисторные и излучатели 82, например, рупорные. ОБ представляет собой, по сути, конформную активную фазированную антенную решетку, которая путем выбора мест расположения излучателей и изменения фаз управляемых фазовращателей может формировать требуемую ДН для излучения сигналов в заданную зону пространства (соту), в которой находятся АС. Излученные сигналы (фиг. 11) принимаются ППА 96 АС, например, рупорной и подаются на частотный диплексор 95, выполненный, например, на циркуляторе 95(3) и последовательно с ним соединенных двух полосовых волноводных фильтрах 95(1) и 95(2), который обеспечивает развязку приемного и передающего каналов АС. Далее принятый сигнал подается на малошумящий транзисторный усилитель 93, последовательно соединенный с микрополосковым смесителем 89, выполненным, например, по балансной схеме, на опорный вход которого поступает сигнал с выхода гетеродина, выполненного, например, на транзисторе, стабилизированном диэлектрическим резонатором. После преобразования сигнал фильтруется полосовым микрополосковым фильтром 87, усиливается транзисторным усилителем 85 промежуточной частоты, демодулируется демодулятором 83, например синхронным или квадратурным фазовым детектором, и подается на исполнительное устройство (телевизор, компьютер и др.). Ответный сигнал формируется исполнительным устройством (компьютер, видеокамера, телефон и др.) и подается на модулятор 84 АС, например, частотный или квадратурный. Далее сигнал фильтруется микрополосковым полосовым фильтром 86, усиливается транзисторным усилителем 88 и подается на смеситель 91, например, диодный балансный, на опорный вход которого поступает сигнал с выхода гетеродина, выполненного, например, на транзисторе, стабилизированном диэлектрическим резонатором. Далее сигнал усиливается усилителем 94, например, транзисторным и подается на частотный диплексор 95, а затем в ППА АС и излучается в направлении БС. В случае работы СТПС в миллиметровом диапазоне длин волн допускается двукратное преобразование сигнала по частоте в приемном и передающем каналах АС. Ответные сигналы от АС принимаются ПРМ БС. ПРМ БС (фиг. 6) состоит из приемного антенного блока, содержащего K антенн 28 (например, рупорных), блока конвертации, который содержит K каналов, каждый из которых состоит из последовательно соединенных усилителя 29, смесителя 30, канального полосового фильтра 31, усилителя 32 (промежуточной частоты), а блок демодуляции содержит K демодуляторов 33, например, в виде синхронного или квадратурного фазового детектора. На опорные входы смесителей 30 поступают сигналы с выхода гетеродина, выполненного, например, на транзисторах, стабилизированных диэлектрическими резонаторами. При необходимости допускается схема построения ПРМ с двумя преобразователями частоты в каждом канале. Ответные сигналы от АС поступают на приемные антенны ПРМ БС в соответствии с их ДН. Относительно узкие ДН приемных антенн обуславливают их более высокий коэффициент усиления, что позволяет, например, снизить мощность излучения АС при сохранении качества передачи ответных сигналов. Ответный сигнал поступает на приемную антенну, усиливается усилителем 29 и подается на смеситель 30, на опорный вход которого поступает сигнал от гетеродина 27. Преобразованный по частоте сигнал фильтруется полосовым фильтром 31, усиливается усилителем 32 (промежуточной частоты) и демодулируется демодулятором 33. Демодулированный сигнал с выхода ПРМ БС подается на исполнительные устройства, в качестве которых могут быть телевизионный монитор, аппаратура обмена данными, вход в телефонную сеть и другие устройства. Сотовая телевизионная передающая станция (СТПС) по второму варианту состоит из нескольких сот: C1, C2, C3, C4 (фиг. 1). Соты могут иметь различные размеры. Количество сот в СТПС может быть различным. Каждая сота содержит базовую станцию 1 (БС) и множество абонентских станций 2 (АС). Соты C1 и C2 представлены на фиг.1 в укрупненном виде C’1, C’2. БС в соте может располагаться как в ее центре, так и в любом другом месте соты. БС и АС излучают относительно маломощные сигналы в одном из микроволновых диапазонов частот, начиная с 11 ГГц и выше. С БС передаются телевизионные, радио, телефонные сигналы, потоки данных как в цифровой, так и в аналоговой форме, которые принимаются множеством АС, которые в свою очередь передают аналогичные ответные сигналы, которые принимаются БС. БС могут быть соединены со студиями эфирного и кабельного телевидения, провайдерами услуг по передаче данных и мультимедиа, телефонными станциями посредством различных линий связи, например радиорелейными линиями. Различные соты СТПС могут быть соединены между собой посредством различных линий связи, например радиорелейными линиями. БС состоит из передатчика (фиг.2) (ПРД), включающего в себя блок 3 формирования пакетов информационных каналов (БФПИК), блок 4 преобразования сигналов (БП), оконечный блок 5 (ОБ), и приемного устройства (фиг. 3) (ПРМ), включающего в себя приемный антенный блок 8 (ПАБ), блок 7 конвертации (БК), блок 6 демодуляции (БД). АС (фиг. 4) состоит из приемопередающей антенны 11 (ППА), приемопередающего блока 10 усиления и конвертации (ППБУК), блока 9 модуляции/демодуляции. Диаграмма направленности (ДН) ОБ БС обеспечивает излучение передаваемых сигналов в заданную зону пространства (соту), в которой находятся АС. АС оснащены направленными ППА, ориентированными на БС. ПАБ БС состоит из нескольких независимых антенн, ширина ДН которых существенно уже ДН ОБ ПРД, а сами ДН веерно расположены таким образом, чтобы обеспечить прием сигналов от всех АС, расположенных в заданной зоне пространства (соте). БФПИК ПРД (фиг. 8) БС состоит из двух субблоков 48(1) и 48(2) формирования информационных пакетов и опорного кварцевого генератора 42. Входными сигналами для субблоков формирования информационных пакетов являются телевизионные и (или) иные информационные сигналы, поступающие в аналоговом (A – аудиосигнал, V – видеосигнал) и (или) цифровом (I, Q) виде. Каждый субблок может быть выполнен в виде, представленном на фиг. 8. Аналоговые сигналы поступают на частотные модуляторы 43, выполненные, например, на транзисторных генераторах, управляемых напряжением, (ГУН) с фазовой автоподстройкой частоты (ФАПЧ), а цифровые сигналы поступают на модуляторы 44 (квадратурные фазовые или амплитудные), выполненные, например, по балансной схеме. Число частотных и квадратурных модуляторов может быть произвольным, но в сумме их количество равно числу входов БФПИК (n). Синхронизация работы всех модуляторов обеспечивается подачей сигнала с выхода опорного кварцевого генератора. С выходов модуляторов сигналы на промежуточных частотах подаются на последовательно соединенные амплитудно-фазовые корректоры 45, выполненные, например, на многозвенных RC-цепочках, полосовые фильтры 46, выполненные, например, на микрополосковых линиях, и сумматор 47. Выходные суммарные сигналы каждого субблока представляют собой совокупность n независимых сигналов, последовательно расположенных по частоте в диапазоне промежуточных частот 950…2150 МГц. Каждый субблок 48(1) или 48(2) БФПИК может быть выполнен также в виде, представленном на фиг.7. Каждый субблок содержит синтезатор 38 сетки частот, выполненный, например, на транзисторных ГУН с ФАПЧ, и N каналов формирования информационных пакетов, выходы которых соединены с N входами сумматора 41. Каждый канал содержит последовательно соединенные антенну 34, конвертор 35, тюнер 36 (приемник), смеситель 37, амплитудно-фазовый корректор 39, выполненный, например, на многозвенных RC-цепочках, канальный полосовой фильтр 40, например, на встречных стержнях, сумматор 41. Сигналы со спутниковых ретрансляторов поступают на антенну 34 (зеркальную), преобразуются по частоте конвертором 35 и подаются на тюнер 36, который выделяет на промежуточной частоте требуемый информационный канал. Далее сигнал подается на смеситель 37, который преобразует его на заданную частоту в диапазоне промежуточных частот 950. ..2150 МГц. Это осуществляется путем подачи от синтезатора 38 сетки частот на опорный вход смесителя 37 сигнала соответствующей частоты. С выхода смесителя 37 сигнал подается на вход полосового фильтра 40 и подается на сумматор 41, выход которого является выходом субблока и одним из выходов БФПИК. Суммарные сигналы по двум коаксиальным кабелям поступают на два входа БП, который содержит опорный кварцевый генератор 48, соединенный с первым 49 и вторым 50 гетеродинами, выполненными, например, по схеме прямого синтеза на транзисторно-варакторных цепочках, и два канала, каждый из которых содержит последовательно соединенные первый, на опорный вход которого подается сигнал с выхода первого гетеродина 49, смеситель 51, например, диодный, полосовой фильтр, усилитель (промежуточной частоты), второй, на опорный вход которого поступает сигнал с выхода второго гетеродина, смеситель 54, например, волноводно-диодный и второй полосовой фильтр 55, например, волноводный. Сигналы, поступающие от БФПИК, каждый независимо преобразуются по частоте в первых смесителях 51, фильтруются первыми полосовыми фильтрами 52, усиливаются усилителями 53 (промежуточной частоты), преобразуются по частоте во вторых смесителях 54 и фильтруются вторыми полосовыми фильтрами. Сигналы на выходах первого и второго гетеродинов формируются из сигнала одного опорного генератора, например, кварцевого в диапазоне 80…120 МГц. В случае работы СТПС в сантиметровом диапазоне длин волн допускается однократное преобразование сигналов по частоте в БП. Сигналы с двух выходов БП подаются на два входа ОБ. ОБ состоит из блока 56 управления и контроля (БУК) и двух каналов усиления, каждый из которых состоит из делителя 57, например, волноводного, сверхвысокочастотного (СВЧ) переключателя 58, например, pin-диодного, сумматора 59, например, волноводного, усилителя 60, выполненного, например, на лампе бегущей волны, направленного ответвителя 61 и антенны 62, например, рупорно-линзовой. Каждый входной сигнал после деления в первом 57(1) или во втором 57(2) делителе подается на вход цепи, содержащей последовательно соединенные сумматор 59, усилитель 60 и направленный ответвитель 61, который является также входом сумматора той же цепи, а второй выход делителя через СВЧ-переключатель 58 соединен со вторым входом сумматора 59 другой цепи. После выхода из сумматора 59 сигнал усиливается в усилителе 60 и поступает на направленный ответвитель 61, а затем в антенну 62, где излучается. Ответвленная часть сигнала с направленного ответвителя 61 подается на БУК 56. В случае исправности усилителей 60 на БУК 56 от направленных ответвителей 61 поступают сигналы, уровень которых выше порогового уровня, что свидетельствует о нормальной работе усилителей 60, и БУК 56 вырабатывает управляющие сигналы, которые подаются на управляющие входы СВЧ-переключателей 58 и закрывают их. В случае неисправности усилителей 60 (когда данный элемент не усиливает сигнал), например усилителя первой цепи, переходят на работу второй цепи и, наоборот, при неисправности усилителя второй цепи переходят на работу первой цепи. Например, при неисправности усилителя первой цепи сигнал, проходящий через направленный ответвитель 61 первой цепи к БУК 56, имеет уровень сигнала меньше порогового и БУК 56 вырабатывает сигнал управления, который поступает на первый СВЧ-переключатель 58 и открывает его. В результате этого сигналы от первого и второго выходов БП 4 через делители 57(1) и 57(2) поступают на сумматор 59 второй цепи, суммируются, суммарный сигнал усиливается усилителем 60 второй цепи, подается на антенный блок 62 и излучается. Излученные сигналы принимаются ППА АС (фиг. 11), например, рупорной и подаются на частотный диплексор, выполненный, например, на циркуляторе и последовательно с ним соединенных двух полосовых волноводных фильтрах (фиг. 11), который обеспечивает развязку приемного и передающего каналов АС. Далее принятый сигнал подается на малошумящий транзисторный усилитель 93, последовательно соединенный с микрополосковым смесителем 89, выполненным, например, по балансной схеме, на опорный вход которого подается сигнал с выхода гетеродина 90, выполненного, например, на транзисторе, стабилизированном диэлектрическим резонатором. После преобразования сигнал фильтруется полосовым фильтром 87, усиливается усилителем 85 промежуточной частоты, демодулируется демодулятором 83, например синхронным или квадратурным фазовым детектором, и подается на исполнительное устройство (телевизор, компьютер и др.). Ответный сигнал формируется исполнительным устройством (компьютер, видеокамера, телефон и др.) и подается на модулятор 84 АС, например, частотный или квадратурный. Далее сигнал фильтруется полосовым фильтром 86, усиливается усилителем 88 и подается на смеситель 91, например, диодный балансный, на опорный вход которого подается сигнал с выхода гетеродина 92, выполненного, например, на транзисторе, стабилизированном диэлектрическим резонатором. Далее сигнал усиливается усилителем 94, например, транзисторным, подается на частотный диплексор 95, а затем в ППА АС и излучается в направлении БС. В случае работы СТПС в миллиметровом диапазоне длин волн допускается двукратное преобразование сигнала по частоте в приемном и передающем каналах АС. Ответные сигналы от АС принимаются ПРМ БС. ПРМ БС (фиг. 6) состоит из приемного антенного блока, содержащего K антенн 28, блока конвертации, который содержит K каналов, каждый из которых состоит из последовательно соединенных первого усилителя 29, смесителя 30, канального полосового фильтра 31, второго усилителя 32 (промежуточной частоты), а блок демодуляции содержит K демодуляторов 33, выполненных, например, в виде синхронного или квадратурного фазового детектора. На опорные входы смесителей подаются сигналы с выхода гетеродина 27, выполненного, например, на транзисторах, стабилизированных диэлектрическими резонаторами. При необходимости допускается схема построения ПРМ с двумя преобразователями частоты в каждом канале. Ответные сигналы от АС поступают на приемные антенны ПРМ БС в соответствии с их ДН. Относительно узкие ДН приемных антенн обуславливают их более высокий коэффициент усиления, что позволяет, например, снизить мощность излучения АС при сохранении качества передачи ответных сигналов. Ответный сигнал поступает на антенну 28, усиливается первым усилителем 29 и подается на смеситель 30, на опорный вход которого поступает сигнал с выхода гетеродина 27. Преобразованный по частоте сигнал фильтруется вторым полосовым фильтром 31, усиливается вторым усилителем 32 (промежуточной частоты) и демодулируется демодулятором 33. Демодулированный сигнал с выхода ПРМ БС подается на исполнительные устройства, в качестве которых могут быть телевизионный монитор, аппаратура обмена данными, вход в телефонную сеть и другие устройства. Сотовая телевизионная передающая система (СТПС) по третьему варианту состоит из нескольких сот: C1, C2, C3, C4 (фиг. 1). Соты могут иметь различные размеры. Количество сот в СТПС может быть различным. Каждая сота содержит базовую станцию 1 (БС) и множество абонентских станций 2 (АС). Соты C1 и C2 представлены на фиг.1 в укрупненном виде C’1, C’2. БС в соте может располагаться как в ее центре, так и в любом другом месте соты. БС и АС излучают относительно маломощные сигналы в одном из микроволновых диапазонов частот, начиная с 11 ГГц и выше. С БС передаются телевизионные, радио, телефонные сигналы, потоки данных как в цифровой, так и в аналоговой форме, которые принимаются множеством АС, которые в свою очередь передают аналогичные ответные сигналы, которые принимаются БС. БС могут быть соединены со студиями эфирного и кабельного телевидения, провайдерами услуг по передаче данных и мультимедиа, телефонными станциями посредством различных линий связи, например радиорелейными линиями. Различные соты СТПС могут быть соединены между собой посредством различных линий связи, например радиорелейными линиями. БС состоит из передатчика (ПРД) (фиг.2), включающего в себя блок 3 формирования пакетов информационных каналов (БФПИК), блок 4 преобразования сигналов (БП), оконечный блок 5 (ОБ), и приемного устройства (ПРМ) (фиг.3), включающего в себя приемный антенный блок 8 (ПАБ), блок 7 конвертации (БК), блок 6 демодуляции (БД). АС (фиг. 4) состоит из приемопередающей антенны 11 (ППА), приемопередающего блока 10 усиления и конвертации (ППБУК), блока 9 модуляции/демодуляции. Диаграмма направленности (ДН) ОБ БС обеспечивает излучение передаваемых сигналов в заданную зону пространства (соту), в которой находятся АС. АС оснащены направленными ППА, ориентированными на БС. ПАБ БС состоит из нескольких независимых антенн, ширина ДН которых существенно уже ДН ОБ ПРД, а сами ДН веерно расположены таким образом, чтобы обеспечить прием сигналов от всех АС, расположенных в заданной зоне пространства (соте). Входными сигналами для БФПИК ПРД БС (фиг. 9) являются телевизионные и (или) иные информационные сигналы, поступающие в аналоговом (A – аудиосигнал, V – видеосигнал) и (или) цифровом (I, Q) виде. Аналоговые сигналы поступают на частотные модуляторы 63, выполненные, например, на транзисторных генераторах, управляемых напряжением, (ГУН) с фазовой автоподстройкой частоты (ФАПЧ), а цифровые сигналы – на модуляторы 64 (квадратурные фазовые или амплитудные), выполненные, например, по балансной схеме. Число частотных и квадратурных модуляторов может быть произвольным, но в сумме их количество равно числу входов БФПИК (N). Синхронизация работы всех модуляторов обеспечивается подачей опорного сигнала от общего опорного кварцевого генератора 67. С выходов модуляторов сигналы на промежуточных частотах подаются на последовательно соединенные амплитудно-фазовые корректоры 65, выполненные, например, на многозвенных RC-цепочках, полосовые фильтры 66, выполненные, например, на микрополосковых линиях. Далее сигналы по коаксиальным кабелям подаются на вход БП, который состоит из кварцевого генератора 68, первого 69(1) и второго 69(2) гетеродинов, выполненных, например, по схеме прямого синтеза на транзисторно-варакторных цепочках, и N каналов преобразования, каждый из которых содержит последовательно соединенные первый смеситель 70, например, балансный диодный, на опорный вход которого подается сигнал с выхода первого гетеродина 69(1), первый полосовой фильтр 71, усилитель 72 (промежуточной частоты), второй 73 смеситель, например, волноводно-диодный, на опорный вход которого поступает сигнал с выхода второго гетеродина 69(2), второй полосовой фильтр 74. Сигналы от N выходов БФПИК поступают на N входов БП, преобразуются по частоте первыми смесителями, фильтруются, усиливаются, преобразуются по частоте вторым смесителем и фильтруются. С N выходов БП сигналы поступают на N входов ОБ, который состоит из N усилителей 75, например, транзисторных, m частотных сумматоров 76, выполненных, например (фиг. 12), из n-1 последовательно соединенных циркуляторов 98 и n волноводных полосовых фильтров 97, и передающего антенного блока, например, рупорно-линзового, причем N= nxm. Сигналы, поступающие от БП, усиливаются и с выходов первых n усилителей подаются на n входов первого частотного сумматора, с выходов следующих n усилителей подаются на n входов второго частотного сумматора, с выходов n последних усилителей – на n входов m-го частотного сумматора. В частотных сумматорах сигналы с минимальными потерями за счет частотного разноса складываемых сигналов и с выходов m сумматоров подаются на соответствующие входы передающего антенного входа и излучаются. Излученные сигналы принимаются ППА АС (фиг. 11), например, рупорной и подаются на частотный диплексор, выполненный, например, на циркуляторе и последовательно с ним соединенных двух полосовых фильтрах (фиг. 11), который обеспечивает развязку приемного и передающего каналов АС. Далее принятый сигнал подается на малошумящий усилитель 93, последовательно соединенный со смесителем 89, выполненным, например, по балансной схеме, на опорный вход которого поступает сигнал с выхода гетеродина 90, выполненного, например, на транзисторе, стабилизированном диэлектрическим резонатором. После преобразования сигнал фильтруется полосовым фильтром 87, усиливается усилителем 85 промежуточной частоты, демодулируется демодулятором 83, например синхронным или квадратурным фазовым детектором, и подается на исполнительное устройство (телевизор, компьютер и др.). Ответный сигнал формируется исполнительным устройством (компьютер, видеокамера, телефон и др.) и подается на модулятор 84 АС, например, частотный или квадратурный. Далее сигнал фильтруется полосовым фильтром 86, усиливается усилителем 88 и подается на смеситель 91, например, диодный балансный, на опорный вход которого подается сигнал с выхода гетеродина 92, выполненного, например, на транзисторе, стабилизированном диэлектрическим резонатором. Далее сигнал усиливается усилителем 94, например, транзисторным, подается на частотный диплексор 95, а затем в ППА АС и излучается в направлении БС. В случае работы СТПС в миллиметровом диапазоне длин волн допускается двукратное преобразование сигнала по частоте в приемном и передающем каналах АС. Ответные сигналы от АС принимаются ПРМ БС. ПРМ БС (фиг. 6) состоит из приемного антенного блока, содержащего K антенн 28, блока конвертации, который содержит K каналов, каждый из которых состоит из последовательно соединенных первого усилителя 29, смесителя 30, канального полосового фильтра 31, второго усилителя 32 (промежуточной частоты), а блок демодуляции содержит K демодуляторов 33, выполненных, например, в виде синхронного или квадратурного фазового детектора. На опорные входы смесителей 30 подаются сигналы с выходов гетеродина 27, выполненного, например, на транзисторах, стабилизированных диэлектрическими резонаторами. При необходимости допускается схема построения ПРМ с двумя преобразователями частоты в каждом канале. Ответные сигналы от АС поступают на приемные антенны ПРМ БС в соответствии с их ДН. Относительно узкие ДН приемных антенн обуславливают их более высокий коэффициент усиления, что позволяет, например, снизить мощность излучения АС при сохранении качества передачи ответных сигналов. Ответный сигнал поступает на приемную антенну, усиливается усилителем и подается на смеситель, на опорный вход которого поступает сигнал от гетеродина. Преобразованный по частоте сигнал фильтруется полосовым фильтром, усиливается усилителем промежуточной частоты и демодулируется демодулятором. Демодулированный сигнал с выхода ПРМ БС подается на исполнительные устройства, в качестве которых могут быть телевизионный монитор, аппаратура обмена данными, вход в телефонную сеть и другие устройства. Передатчик базовой станции представляет собой функционально законченную единицу, обеспечивающую передачу сигналов в минимально необходимом количестве каналов. Определение оптимального количества каналов требует нахождения компромисса между возможностью поэтапного наращивания системы с минимальными затратами, обеспечением линейности преобразования и усиления заданного количества сигналов с допустимыми искажениями, достижимой широкополосностью оконечных блоков. Учитывая вышеперечисленные факторы, целесообразно остановиться на 16-канальном модуле с полосой пропускания каждого канала 36 МГц, обеспечивающем передачу 16 аналоговых телевизионных программ с частотной модуляцией. При переходе к цифровому стандарту телевизионного вещания (MPEG-2) такой же передатчик обеспечит передачу до 160 телевизионных программ без ущерба качеству и дальности передачи. Ширина полосы частот одного канала передатчика выбрана равной 36 МГц. Такую ширину полосы частот (или кратную ей) имеют большинство транспондеров спутникового вещания, что позволит при ретрансляции телевизионных программ со спутников отказаться от их демодуляции, а производить непосредственный перенос сигнала спектра в один из каналов передатчика. Одновременно такая полоса частот согласуется с системным стандартом MPEG-2, принятым для цифрового телевизионного вещания, что позволит максимально упростить переход к цифровому вещанию с использованием существующей стандартной аппаратуры модуляции и демодуляции. Выбор значения промежуточной частоты определяется следующими факторами:диапазоном входных и выходных частот блока преобразования; наличием соответствующей элементной базы в диапазоне промежуточной частоты, особенно для блоков усиления и умножения частоты; соответствием ширины полосы пропускания фильтров на промежуточной частоте ширине полосы каналов. С учетом указанных факторов оптимальным для промежуточной частоты является диапазон 10-12 ГГц. В настоящее время этот диапазон достаточно хорошо освоен, транзисторная элементная база позволяет обеспечить усиление сигнала на 10 дБ на каскад, реализовать в микрополосковом исполнении усилители, смесители, умножители и другие устройства. Кроме того, использование монолитных интегральных схем из GaAs позволяет минимизировать размеры, повысить надежность и технологичность системы. Надо отметить, что выбранная промежуточная частота может быть и оконечной частотой передатчика сотовой телевизионной передающей системы. Отказ от применения амплитудной модуляции (AM), которая используется в эфирном телевидении и системах MMDS, дает возможность существенно (на 30-40 дБ) снизить удельную мощность передатчика, приходящуюся на каждый канал. Это обусловлено тем, что по сравнению с AM при передаче ТВ-сигнала методом ЧМ отношения сигнал-шум на входе и выходе приемника (тюнера) связаны соотношением (Pc/Pш)выx = (Pc/Pш)вxBTB(ЧM)BB ,где BТВ(ЧМ) – выигрыш в отношении сигнал – флуктуационный шум, обеспечиваемый ТВ – ЧМ-приемником; BВ – визометрический коэффициент; – выигрыш по тепловым шумам от введения линейных предыскажений.
В свою очередь ,где fД – пиковая девиация частоты, отведенная на собственно ТВ-сигнал без синхроимпульсов и сопутствующих сигналов; FВ – верхняя частота спектра ТВ сигнала (FВ=6 МГц); fш – шумовая полоса канала, определяемая полосовым фильтром ТВ – ЧМ-приемника ( fш=27 МГц).
При использовании линейных предыскажений BB = 14,2 дБ.
При fд = 18 МГц выигрыш ЧМ.
BВТ(ЧМ) = 17,8 дБ.
Тогда![]() Таким образом, для обеспечения удовлетворительного качества изображения (качества бытового видеомагнитофона, (Pс/Pш)взвеш.=42 – 44 дБ) при использовании AM необходимо обеспечить такое же входное отношение сигнал-шум, тогда как при использовании ЧМ на входе тюнера это значение достаточно иметь 10-12 дБ. Для обеспечения студийного качества изображения (при этом отношение сигнал – взвешенный шум равно 56 дБ) необходимо обеспечить соотношение сигнал-шум на приемной позиции (Pс/Pш)вх = 24 дБ. Это достигается применением в приемных системах профессионального назначения (головные станции и т.п.) приемной антенны, коэффициент усиления которой на 14-16 дБ больше, чем у индивидуального приемного комплекта. Дополнительным преимуществом ЧМ над AM является отсутствие двойного изображения на экранах телевизоров вследствие переотражений принимаемого сигнала. Шаг сетки центральных частот выбран равным 36 МГц, т.е. совпадающим с шириной частотной полосы одного канала, что соответствует наиболее плотному расположению каналов в рабочем диапазоне частот. При этом в полосе 1 ГГц можно передать до 28 каналов. При дальнейшем наращивании системы и переходе к работе в двух поляризациях возможно уменьшение шага сетки до 18 МГц и увеличение общего количества каналов в полосе 1 ГГц до 52. )> Формула изобретения
РИСУНКИ
|
||||||||||||||||||||||||||

,
,