|
|
(21), (22) Заявка: 2002134664/15, 20.12.2002
(24) Дата начала отсчета срока действия патента:
20.12.2002
(30) Конвенционный приоритет:
21.12.2001 FR 0116743
(43) Дата публикации заявки: 20.07.2004
(45) Опубликовано: 20.12.2004
(56) Список документов, цитированных в отчете о поиске:
RU 2160086 С2, 10.12.2000. RU 2167645 С2, 10.01.2001. US 46980681 А, 06.10.1987. FR 2751533 А1, 30.01.1998.
Адрес для переписки:
129010, Москва, ул. Б.Спасская, 25, стр.3, ООО “Юридическая фирма Городисский и Партнеры”, пат.пов. Е.Е.Назиной
|
(72) Автор(ы):
ДЕЗЕНН Патрисья (FR), БЕБО Сесиль (FR), ЛОРАН Флоранс (FR)
(73) Патентообладатель(и):
Л’ОРЕАЛЬ (FR)
(74) Патентный поверенный:
Назина Елена Евгеньевна
|
(54) КОМПОЗИЦИЯ ДЛЯ ОКИСЛИТЕЛЬНОГО ОКРАШИВАНИЯ КЕРАТИНОВЫХ ВОЛОКОН, СОДЕРЖАЩАЯ ОКСИАЛКИЛЕНОВЫЕ ПРОИЗВОДНЫЕ ОКСИКАРБОНОВОЙ КИСЛОТЫ И КВАТЕРНИЗОВАННУЮ ЦЕЛЛЮЛОЗУ С ЖИРНОЙ ЦЕПЬЮ
(57) Реферат:
Изобретение касается композиции для окислительного окрашивания волос, содержащей в среде, пригодной для окрашивания, окисляемый краситель, отличается тем, что она дополнительно содержит полиоксиалкиленовое производное оксикарбоновой кислоты или одну из ее солей и кватернизованную целлюлозу, содержащую по меньшей мере одну жирную цепь. Изобретение касается способов и наборов для окрашивания с применением упомянутой композиции. 6 с. и 31 з.п.ф-лы, 1 табл.
Изобретение касается композиции для окислительного окрашивания кератиновых волокон, в частности, кератиновых волокон человека, более конкретно волос, содержащей в подходящей для окрашивания среде по меньшей мере один окисляемый краситель, отличающейся тем, что она дополнительно содержит по меньшей мере одно полиоксиалкиленовое производное оксикарбоновой кислоты или одной из ее солей и по меньшей мере одну кватернизованную целлюлозу, содержащую по меньшей мере одну жирную цепь.
Изобретение касается также способов и устройств для окрашивания с использованием вышеупомянутой композиции.
Известно окрашивание кератиновых волокон и, в частности, волос человека с помощью красящих композиций, содержащих предшественники окисляемых красителей, называемых обычно “окисляемыми основаниями”, в частности, о- или п-фенилендиамины, о- или п-аминофенолы и гетероциклические основания.
Предшественники окисляемых красителей являются первоначально бесцветными или слабоокрашенными соединениями, которые проявляют свою красящую способность на волосах в присутствии окисляющих агентов, приводя к образованию окрашенных соединений. Образование упомянутых окрашенных соединений происходит или в результате окислительной конденсации “окисляемых оснований” друг с другом, или в результате окислительной конденсации “окисляемых оснований” с соединениями, являющимися модификаторами окраски, или “краскообразующими веществами”, которые обычно присутствуют в красящих композициях, используемых для окислительной окраски, и представляют собой, более конкретно, м-фенилендиамины, м-аминофенолы и м-дифенолы и некоторые гетероциклические соединения.
Разнообразие используемых молекул, которые представлены, с одной стороны, “окисляемыми основаниями” и, с другой стороны, “краскообразующими веществами”, позволяет получить очень богатую палитру цветов.
Упомянутые окисляемые основания и краскообразующие вещества вводят в носители или основы, обеспечивающие их нанесение на кератиновые волокна после смешивания с окисляющим агентом. Указанные носители являются обычно водными и содержат обычно одно или несколько поверхностно-активных веществ.
Таким образом, уже предлагалось использовать жирные кислоты в качестве анионного поверхностно-активного вещества в сочетании с кватернизованной целлюлозой с жирной цепью. Вышеупомянутые сочетания позволяют получить композиции для окислительного окрашивания, которые дают оттенки, обладающие очень хорошими красящими свойствами. Однако остается еще необходимость в изыскании основ, которые могли бы улучшить красящие свойства композиций.
В результате исследований, выполненных в этом направлении, заявитель обнаружил, что можно получать композиции для окислительного окрашивания, которые позволяют достичь более интенсивные и более разнообразные цветовые оттенки, вводя в вышеупомянутую красящую композицию, и взамен жирной кислоты, по меньшей мере одно полиоксиалкиленовое производное оксикарбоновой кислоты или одной из ее солей.
Данное открытие лежит в основе настоящего изобретения.
Итак, предметом настоящего изобретения является композиция для окислительного окрашивания кератиновых волокон, в частности, кератиновых волокон человека, более конкретно волос, содержащая в пригодной для окрашивания среде по меньшей мере один окисляемый краситель, и отличающаяся тем, что она дополнительно содержит по меньшей мере одно полиоксиалкиленовое производное оксикарбоновой кислоты или одной из ее солей и по меньшей мере одно производное кватернизованной целлюлозы, содержащее по меньшей мере одну жирную цепь (С8-С30).
Вышеупомянутая красящая композиция позволяет, кроме того, придать составам, которые ее содержат и которые являются жидкими, большую прозрачность.
С другой стороны, получаемые оттенки обладают хорошими характеристиками стойкости.
Другим объектом изобретения является готовая к применению композиция для окислительного окрашивания кератиновых волокон, которая содержит в среде, пригодной для окрашивания, по меньшей мере одну композицию, описанную выше, и по меньшей мере один окисляющий агент.
Под готовой к применению композицией, с точки зрения настоящего изобретения, имеют в виду композицию, предназначенную для немедленного нанесения на кератиновые волокна, это значит, что она может храниться как таковая перед использованием или может быть получена в результате смешивания двух или нескольких композиций перед самым употреблением.
Объектом изобретения является также способ окислительного окрашивания кератиновых волокон, в частности, кератиновых волокон человека, таких как волосы, заключающийся в нанесении на волокна красящей композиции, содержащей в среде, пригодной для окрашивания, по меньшей мере один окисляемый краситель, при этом окраска проявляется при щелочном, нейтральном или кислом рН при помощи окисляющей композиции, содержащей в среде, пригодной для окрашивания, по меньшей мере один окисляющий агент, которую смешивают с красящей композицией непосредственно перед применением или которую наносят последовательно, без промежуточного ополаскивания, причем красящая композиция и окисляющая композиция содержат дополнительно по меньшей мере одно полиоксиалкиленовое производное оксикарбоновой кислоты или одной из ее солей и по меньшей мере одно производное кватернизованной целлюлозы, содержащее по меньшей мере одну жирную цепь (С8-С30), которые распределены произвольно между этими двумя композициями.
В варианте вышеупомянутого способа одно или более полиоксиалкиленовое производное оксикарбоновой кислоты или ее солей и одно или более производное кватеринизованной целлюлозы, содержащие по меньшей мере одну жирную цепь (С8-С30), находятся в одной и той же красящей или окисляющей композиции и более конкретно в красящей композиции.
Объектом изобретения является также устройство для окрашивания с несколькими отделениями или “набор” для окислительного окрашивания кератиновых волокон, в частности, кератиновых волокон человека и более конкретно волос, которое имеет одно отделение, содержащее красящую композицию, содержащую в среде, пригодной для окрашивания, по меньшей мере один окисляемый краситель, и другое отделение, содержащее окисляющую композицию, содержащую в среде, пригодной для окрашивания, окисляющий агент, причем красящая композиция и окисляющая композиция содержат дополнительно по меньшей мере одно полиоксиалкиленовое производное оксикарбоновой кислоты или одной из ее солей и по меньшей мере одно производное кватернизованной целлюлозы, содержащее по меньшей мере одну жирную цепь (С8-С30), которые распределены произвольно между двумя композициями.
В варианте устройства одно или более полиоксиалкиленовое производное оксикарбоновой кислоты или ее солей и одно или более производное кватеринизованной целлюлозы, содержащее по меньшей мере одну жирную цепь (С8-С30), находятся в одной и той же красящей или окисляющей композиции, более конкретно в красящей композиции.
Другие характеристики, объекты и преимущества изобретения станут еще более ясными при чтении описания и примеров, которые следуют ниже.
Оксиалкиленовые производные оксикарбоновой кислоты и ее солей
Под оксиалкиленовыми производными оксикарбоновой кислоты подразумевают любое соединение, имеющее следующую формулу (I): 
в которой R обозначает алкильный или алкенильный радикал или смесь алкильных или алкенильных радикалов, линейных или разветвленных, содержащих от 8 до 22 атомов углерода, (С8-С9)алкилфенил, радикал R’CONH-CH2-CH2-, где R’ обозначает алкильный или алкенильный радикал, линейный или разветвленный, содержащий от 11 до 21 атомов углерода,
n обозначает целое или десятичное число, изменяющееся в интервале от 2 до 24,
р обозначает целое или десятичное число, изменяющееся в интервале от 0 до 6,
А обозначает атом водорода или Na, K, Li, 1/2Mg или остаток моноэтаноламина, аммония или триэтаноламина.
Оксиалкиленовые производные оксикарбоновых кислот и их солей, предпочтительно используемые согласно настоящему изобретению, выбраны среди оксиалкиленовых производных оксикарбоновых кислот и солей формулы (I), в которых R обозначает радикал или смесь радикалов: (С12-С14)алкил, олеил, цетил, стеарил; радикал нонилфенил или октилфенил; А обозначает атом водорода или Na; р=0 и n изменяется в интервале от 2 до 20, предпочтительно от 2 до 10.
Еще более предпочтительно используют соединения формулы (I), в которой R обозначает (С12)алкил, А обозначает атом водорода или натрия, р=0 и n изменяется в интервале от 2 до 10.
Из коммерческих продуктов можно использовать предпочтительно продукты, продаваемые фирмой CHEM Y под названиями:
AKYPO® NP 70 (R=нонилфенил, n=7, p=0, A=H)
AKYPO® NP 40 (R=нонилфенил, n=4, p=0, A=H)
AKYPO® OP 40 (R=октилфенил, n=4, p=0, A=H)
AKYPO® OP 80 (R=октилфенил, n=8, p=0, A=H)
AKYPO® OP 190 (R=октилфенил, n=19, p=0, A=H)
AKYPO® RLM 38 (R=(C12-C14)алкил, n=3,8, p=0, A=H)
AKYPO® RLM 38 NV (R=(C12-C14)алкил, n=4, p=0, A=Na)
AKYPO® RLM 45 (R=(C12-C14)алкил, n=4,5, p=0, A=H)
AKYPO® RLM 45 NV (R=(C12-C14)алкил, n=4,5, p=0, A=Na)
AKYPO® RLM 100 (R=(C12-C14)алкил, n=10, p=0, A=H)
AKYPO® RLM 100 NV (R=(C12-C14)алкил, n=10, p=0, A=Na)
AKYPO® RLM 130 (R=(C12-C14)алкил, n=13, p=0, A=H)
AKYPO® RLM 160 NV (R=(C12-C14)алкил, n=16, p=0, A=Na)
AKYPO® RO 20 (R=олеил, n=2, p=0, A=H)
AKYPO® RO 90 (R=олеил, n=9, p=0, A=H)
AKYPO® RCS 60 (R=цетил/стеарил, n=6, p=0, A=H)
AKYPO® RS 60 (R=стеарил, n=6, p=0, A=H)
AKYPO® RS 100 (R=стеарил, n=10, p=0, A=H)
AKYPO® RO 50 (R=олеил, n=5, p=0, A=H)
или фирмой SANDOS под названиями:
SANDOPAN ACA-48 (R=цетил/стеарил, n=24, p=0, A=H)
SANDOPAN DTC-Acid (R=(C13)алкил, n=6, p=0, A=H)
SANDOPAN DTC (R=(C13)алкил, n=6, p=0, A=Na)
SANDOPAN LS 24 (R=(C12-C14)алкил, n=12, p=0, A=Na)
SANDOPAN JA 36 (R=(C13)алкил, n=18, p=0, A=H)
и более конкретно продукты, продаваемые под следующими названиями:
AKYPO® NP 70
AKYPO® NP 40
AKYPO® OP 40
AKYPO® OP 80
AKYPO® RLM 25
AKYPO® RLM 45
AKYPO® RLM 100
AKYPO® RO 20
AKYPO® RO 50
AKYPO® RLM 38.
Оксиалкиленовые производные оксикарбоновых кислот или их солей составляют приблизительно от 2 до 15% и предпочтительно приблизительно от 3 до 10% от общей массы красящей композиции и приблизительно от 0,5 до 15% и предпочтительно приблизительно от 0,7 до 10% от общей массы композиции, готовой к применению (содержащей окислитель).
Производные кватернизованной целлюлозы, содержащие по меньшей мере одну жирную цепь
Производные кватернизованной целлюлозы с жирной цепью, согласно изобретению, представляют собой ассоциативные полимеры катионного типа.
Ассоциативные полимеры представляют собой водорастворимые полимеры, способные в водной среде обратимо ассоциироваться между собой или с другими молекулами.
Их химическая структура содержит гидрофильные участки и гидрофобные участки, отличающиеся по меньшей мере одной жирной цепью.
Согласно изобретению в их числе можно назвать, в частности:
– кватернизованные целлюлозы, модифицированные группами, содержащими по меньшей мере одну жирную цепь, такими как алкильная, арилалкильная, алкиларильная группы, содержащие от 8 до 30 атомов углерода, или их смесями,
– кватернизованные гидроксиэтилцеллюлозы, модифицированные группами, содержащими по меньшей мере одну жирную цепь, такими как алкильная, арилалкильная, алкиларильная группы, содержащие от 8 до 30 атомов углерода, или их смесями.
Арильные радикалы обозначают предпочтительно фенил, бензил, нафтил или антрил.
В качестве примеров кватернизованных алкилгидроксиэтилцеллюлоз с жирными цепями, содержащими от 8 до 30 атомов углерода, можно указать продукты QUATRISOFT LM 200®, QUATRISOFT LM-Х 529-18-А®, QUATRISOFT LM-Х 529-18В® ((С12)алкил) и QUATRISOFT LM-Х 529-8® ((С18)алкил), поставляемые в продажу фирмой AMERCHOL, и продукты CRODACEL QM®, CRODACEL QL® ((С12)алкил) и CRODACEL QS® ((С18)алкил), поставляемые в продажу фирмой CRODA.
Согласно изобретению особенно предпочтительной кватернизованной алкилгидроксиэтилцеллюлозой с жирной цепью, содержащей от 8 до 30 атомов углерода, является кватернизованная лаурилгидроксиэтилцеллюлоза.
Их массовое содержание в красящей композиции может изменяться приблизительно от 0,01 до 10% от общей массы композиции и в готовой к применению композиции (содержащей окислитель) приблизительно от 0,0025 до 10% от общей массы композиции. Более предпочтительно указанное количество изменяется приблизительно от 0,1 до 5 мас.% в красящей композиции и приблизительно от 0,025 до 10% в готовой к применению композиции.
Окисляемые красители
Окисляемые красители, которые могут быть использованы согласно изобретению, выбирают среди окисляемых оснований и/или краскообразующих веществ.
Предпочтительно композиции согласно изобретению содержат по меньшей мере одно окисляемое основание.
Окисляемые основания, которые могут быть использованы в настоящем изобретении, выбирают среди оснований, классически известных в окислительном окрашивании, в числе которых можно, в частности, назвать следующие орто- и пара-фенилендиамины, двойные основания, орто- и пара-аминофенолы, нижеследующие гетероциклические основания, а также их кислотно-аддитивные соли.
Можно, в частности, назвать следующие соединения.
(I) п-Фенилендиамины следующей формулы (III):

в которой R1 обозначает атом водорода, (С1-С4)алкил, (С1-С4)моногидроксиалкил, (С2-С4)полигидроксиалкил, (С1-С4)алкокси (С1-С4)алкил, (С1-С4)алкил, замещенный азотсодержащей, фенильной или 4’-аминофенильной группой;
R2 обозначает атом водорода, (С1-С4)алкил, (С1-С4)моногидроксиалкил или (С2-С4)полигидроксиалкил, (С1-С4)алкокси(С1-С4)алкил или (С1-С4)алкил, замещенный азотсодержащей группой;
R1 и R2 могут также образовывать с атомом азота, с которым они связаны, пятичленный или шестичленный азотсодержащий гетероцикл, в известных случаях замещенный одной или несколькими алкильными, гидроксильными или уреидными группами;
R3 обозначает атом водорода, атом галогена, такой как атом хлора, (С1-С4)алкил, сульфогруппу, карбоксильную группу, (С1-С4)моногидроксиалкильный радикал или
(С1-С4)гидроксиалкоксильный радикал,
(С1-С4)ацетиламиноалкоксильный радикал,
(С1-С4)мезиламиноалкоксильный радикал или
(С1-С4)карбамоиламиноалкоксильный радикал;
R4 обозначает атом водорода, атом галогена или (С1-С4)алкил,
и их кислотно-аддитивные соли.
Среди азотсодержащих групп формулы (III), приведенной выше, можно назвать, в частности, следующие группы: амино, моно(С1-С4)алкиламино, ди(С1-С4)алкиламино, три(С1-С4)алкиламино, моногидрокси(С1-С4)алкиламино, имидазолиниевую и аммониевую.
В числе п-фенилендиаминов формулы (III), приведенной выше, можно более конкретно назвать п-фенилендиамин, п-толуилендиамин, 2-хлор-п-фенилендиамин, 2,3-диметил-п-фенилендиамин, 2,6-диметил-п-фенилендиамин, 2,6-диэтил-п-фенилендиамин, 2,5-диметил-п-фенилендиамин, N,N-диметил-п-фенилендиамин, N,N-диэтил-п-фенилендиамин, N,N-дипропил-п-фенилендиамин, 4-амино-N,N-диэтил-3-метиланилин, N,N-бис-( -гидроксиэтил)-п-фенилендиамин, 4-N,N-бис-( -гидроксиэтил)амино-2-метиланилин, 4-N,N-бис-( -гидроксиэтил)амино-2-хлоранилин, 2- -гидроксиэтил-п-фенилендиамин, 2-фтор-п-фенилендиамин, 2-изопропил-п-фенилендиамин, N-( -гидроксипропил)-п-фенилендиамин, 2-гидроксиметил-п-фенилендиамин, N,N-диметил-3-метил-п-фенилендиамин, N,N-(этил, -гидроксиэтил)-п-фенилендиамин, N-( , -дигидроксипропил)-п-фенилендиамин, N-(4’-аминофенил)-п-фенилендиамин, N-фенил-п-фенилендиамин, 2- -гидроксиэтилокси-п-фенилендиамин, 2- -ацетиламиноэтилокси-п-фенилендиамин, N-( -метоксиэтил)-п-фенилендиамин, 2-метил-1-N- -гидроксиэтил-п-фенилендиамин, N-(4-аминофенил)-3-гидроксипирролидин и их кислотно-аддитивные соли.
Из п-фенилендиаминов формулы (III), приведенной выше, предпочитают, еще более конкретно, п-фенилендиамин, п-толуилендиамин, 2-изопропил-п-фенилендиамин, 2- -гидроксиэтил-п-фенилендиамин, 2- -гидроксиэтилокси-п-фенилендиамин, 2,6-диметил-п-фенилендиамин, 2,6-диэтил-п-фенилендиамин, 2,3-диметил-п-фенилендиамин, N,N-бис-( -гидроксиэтил)-п-фенилендиамин, 2-хлор-п-фенилендиамин и их кислотно-аддитивные соли.
(II) Согласно изобретению под двойными основаниями подразумевают соединения, содержащие, по меньшей мере, два ароматических ядра, замещенные амино- и/или гидроксильными группами.
Среди двойных оснований, используемых в качестве окисляемых оснований в красящих композициях согласно изобретению, можно, в частности, назвать соединения, отвечающие следующей формуле (IV):

в которой
– Z1 и Z2, одинаковые или разные, обозначают гидроксильный радикал или группу -NH2, которые могут быть замещены (С1-С4)алкильным радикалом или связующей группой Y;
– связующая группа Y обозначает алкиленовую цепочку, содержащую от 1 до 14 атомов углерода, линейную или разветвленную, которая может быть прервана или может заканчиваться одной или несколькими азотсодержащими группами и/или одним или несколькими гетероатомами, такими как атомы кислорода, серы или азота, и в известных случаях замещенную одним или несколькими гидроксильными или (С1-С6)алкоксильными радикалами;
– R5 и R6 обозначают атом водорода или галогена, (С1-С4)алкил, моногидрокси(С1-С4)алкил, полигидрокси(С2-С4)алкил, (С1-С4)аминоалкил или связующую группу Y;
– R7, R8, R9, R10, R11 и R12, одинаковые или разные, обозначают атом водорода, связующую группу Y или (С1-С4)алкил,
и их кислотно-аддитивные соли, при этом подразумевается, что соединения формулы (IV) содержат только одну связующую группу Y на молекулу.
Среди азотсодержащих групп формулы (IV), приведенной выше, можно назвать, в частности, аминогруппу, моно(С1-С4)алкиламиногруппу, ди(С1-С4)алкиламиногруппу, три(С1-С4)алкиламиногруппу, моногидрокси(С1-С4)алкиламиногруппу, имидазолиниевую группу и аммониевую группу.
Среди двойных оснований формулы (IV), приведенной выше, можно более конкретно назвать N,N’-бис-( -гидроксиэтил)-N,N’-бис-(4’-аминофенил)-1,3-диаминопропанол, N,N’-бис-( -гидроксиэтил)-N,N’-бис-(4’-аминофенил)этилендиамин, N,N’-бис-(4-аминофенил)тетраметилендиамин, N,N’-бис-( -гидроксиэтил)-N,N’-бис-(4-аминофенил)тетраметилендиамин, N,N’-бис-(4-метиламинофенил)тетраметилендиамин, N,N’-бис-(этил)-N,N’-бис-(4’-амино-3’-метилфенил)этилендиамин, 1,8-бис-(2,5-диаминофенокси)-3,5-диоксаоктан и их кислотно-аддитивные соли.
Среди упомянутых двойных оснований формулы (IV), N,N’-бис-( -гидроксиэтил)-N,N’-бис-(4’-аминофенил)-1,3-диаминопропанол, 1,8-бис-(2,5-диаминофенокси)-3,5-диоксаоктан или одна из их кислотно-аддитивных солей являются особенно предпочтительными.
(III) п-Аминофенолы, отвечающие следующей формуле (V):

в которой
– R13 обозначает атом водорода, атом галогена, такой как фтор, (С1-С4)алкил, моногидрокси(С1-С4)алкил, (С1-С4)алкокси(С1-С4)алкил, или (С1-С4)аминоалкил, или (С1-С4)гидроксиалкил(С1-С4)аминоалкил;
– R14 обозначает атом водорода или атом галогена, такой как фтор, (С1-С4)алкил, моногидрокси(С1-С4)алкил, полигидрокси(С2-С4)алкил, (С1-С4)аминоалкил, (С1-С4)цианоалкил или (С1-С4)алкокси(С1-С4)алкил,
и их кислотно-аддитивные соли.
В числе п-аминофенолов формулы (V), приведенной выше, можно более конкретно назвать п-аминофенол, 4-амино-3-метилфенол, 4-амино-3-фторфенол, 4-амино-3-гидроксиметилфенол, 4-амино-2-метилфенол, 4-амино-2-гидроксиметилфенол, 4-амино-2-метоксиметилфенол, 4-амино-2-аминометилфенол, 4-амино-2-( -гидроксиэтиламинометил)фенол и их кислотно-аддитивные соли.
(IV) о-Аминофенолы, которые могут быть использованы в качестве окисляемых оснований в объеме настоящего изобретения, выбирают, в частности, среди 2-аминофенола, 2-амино-1-гидрокси-5-метилбензола, 2-амино-1-гидрокси-6-метилбензола, 5-ацетамидо-2-аминофенола и их кислотно-аддитивных солей.
(V) В числе гетероциклических оснований, которые могут быть использованы в качестве окисляемых оснований в красящих композициях согласно изобретению, можно более конкретно назвать пиридиновые производные, пиримидиновые производные, пиразольные производные и их кислотно-аддитивные соли.
Среди пиридиновых производных можно более конкретно назвать соединения, описанные, например, в английских патентах GB 1026978 и GB 1153196, такие как 2,5-диаминопиридин, 2-(4-метоксифенил)амино-3-аминопиридин, 2,3-диамино-6-метоксипиридин, 2-( -метоксиэтил)амино-3-амино-6-метоксипиридин, 3,4-диаминопиридин и их кислотно-аддитивные соли.
Среди пиримидиновых производных можно более конкретно назвать соединения, описанные, например, в германском патенте DE 2359399, или в японских патентах JP 88-169571 и JP 91-10659, или в международной заявке на патент WO 96/15765, такие как 2,4,5,6-тетрааминопиримидин, 4-гидрокси-2,5,6-триаминопиримидин, 2-гидрокси-4,5,6-триаминопиримидин, 2,4-дигидрокси-5,6-диаминопиримидин, 2,5,6-триаминопиримидин, и пиразолопиримидиновые производные, такие как упомянутые во французской заявке на патент FR-A-2750048, и среди которых можно назвать пиразоло[1,5-a]пиримидин-3,7-диамин; 2,5-диметилпиразоло[1,5-a]пиримидин-3,7-диамин; пиразоло[1,5-a]пиримидин-3,5-диамин; 2,7-диметилпиразоло[1,5-a]пиримидин-3,5-диамин; 3-аминопиразоло[1,5-a]пиримидин-7-ол; 3-аминопиразоло[1,5-a]пиримидин-5-ол; 2-(3-аминопиразоло[1,5-a]пиримидин-7-иламино)этанол; 2-(7-аминопиразоло[1,5-a]пиримидин-3-иламино)этанол; 2-[(3-аминопиразоло[1,5-a]пиримидин-7-ил)-(2-гидроксиэтил)амино]этанол; 2-[(7-аминопиразоло[1,5-a]пиримидин-3-ил)-(2-гидроксиэтил)амино]этанол; 5,6-диметилпиразоло[1,5-a]пиримидин-3,7-диамин; 2,6-диметилпиразоло[1,5-a]пиримидин-3,7-диамин; 2,5,N7,N7-тетраметилпиразоло[1,5-a]пиримидин-3,7-диамин; 3-амино-5-метил-7-имидазолилпропиламинопиразоло[1,5-a]пиримидин, и их аддитивные соли и их таутомерные формы, когда существует таутомерное равновесие, и их кислотно-аддитивные соли.
Среди пиразольных производных можно более конкретно назвать соединения, описанные в германских патентах DE 3843892 и 4133957 и в международных заявках на патент WO 94/08969 и 94/08970, французской заявке на патент FR-A-2733749 и германской заявке на патент DE 19543988, такие как 4,5-диамино-1-метилпиразол, 3,4-диаминопиразол, 4,5-диамино-1-(4’-хлорбензил)пиразол, 4,5-диамино-1,3-диметилпиразол, 4,5-диамино-3-метил-1-фенилпиразол, 4,5-диамино-1-метил-3-фенилпиразол, 4-амино-1,3-диметил-5-гидразинопиразол, 1-бензил-4,5-диамино-3-метилпиразол, 4,5-диамино-3-трет-бутил-1-метилпиразол, 4,5-диамино-1-трет-бутил-3-метилпиразол, 4,5-диамино-1-( -гидроксиэтил)-3-метилпиразол, 4,5-диамино-1-( -гидроксиэтил)пиразол, 4,5-диамино-1-этил-3-метилпиразол, 4,5-диамино-1-этил-3-(4’-метоксифенил)пиразол, 4,5-диамино-1-этил-3-гидроксиметилпиразол, 4,5-диамино-3-гидроксиметил-1-метилпиразол, 4,5-диамино-3-гидроксиметил-1-изопропилпиразол, 4,5-диамино-3-метил-1-изопропилпиразол, 4-амино-5-(2’-аминоэтил)амино-1,3-диметилпиразол, 3,4,5-триаминопиразол, 1-метил-3,4,5-триаминопиразол, 3,5-диамино-1-метил-4-метиламинопиразол, 3,5-диамино-4-( -гидроксиэтил)амино-1-метилпиразол, и их кислотно-аддитивные соли.
Согласно настоящему изобретению окисляемые основания составляют предпочтительно от 0,0005 до 12 мас.% приблизительно от общей массы композиции, не содержащей окислителя, и еще более предпочтительно от 0,005 до 8 мас.% приблизительно от упомянутой массы.
Краскообразующие вещества, которые могут быть использованы в красящей композиции согласно изобретению, представляют собой краскообразующие вещества, обычно используемые в композициях для окислительного окрашивания, то есть м-аминофенолы, м-фенилендиамины, м-дифенолы, нафтолы и гетероциклические краскообразующие вещества, такие как, например, индольные производные, индолиновые производные, сезамол и его производные, пиридиновые производные, пиразолотриазольные производные, пиразолоны, индазолы, бензимидазолы, бензотиазолы, бензоксазолы, 1,3-бензодиоксолы, хинолины и их кислотно-аддитивные соли.
Более конкретно упомянутые краскообразующие вещества выбирают среди 2,4-диамино-1-( -гидроксиэтилокси)бензола, 2-метил-5-аминофенола, 5-N-( -гидроксиэтил)амино-2-метилфенола, 3-аминофенола, 1,3-дигидроксибензола, 1,3-дигидрокси-2-метилбензола, 4-хлор-1,3-дигидроксибензола, 2-амино-4-( -гидроксиэтиламино)-1-метоксибензола, 1,3-диаминобензола, 1,3-бис-(2,4-диаминофенокси)пропана, сезамола, 1-амино-2-метокси-4,5-метилендиоксибензола, -нафтола, 6-гидроксииндола, 4-гидроксииндола, 4-гидрокси-N- -гидроксиэтилиндола, 6-гидроксииндолина, 2,6-дигидрокси-4-метилпиридина, 1-Н-3-метилпиразол-5-она, 1-фенил-3-метилпиразол-5-она, 2-амино-3-гидроксипиридина, 3,6-диметилпиразоло-[3,2-c]-1,2,4-триазола, 2,6-диметилпиразоло[1,5-b]-1,2,4-триазола и их кислотно-аддитивных солей.
Когда они присутствуют, данные краскообразующие вещества составляют предпочтительно от 0,0001 до 10 мас.% от общей массы композиции, не содержащей окислителя, приблизительно и еще более предпочтительно от 0,005 до 5 мас.% приблизительно.
Обычно кислотно-аддитивные соли окисляемых оснований и краскообразующих веществ выбирают, в частности, среди хлоргидратов, бромгидратов, сульфатов и тартратов, лактатов и ацетатов.
Красящая композиция согласно изобретению может, кроме того, содержать один или несколько прямых красителей, в частности, для того, чтобы изменить оттенки, обогатив их отблесками. Упомянутые прямые красители могут быть выбраны, в частности, среди нитрокрасителей, азокрасителей или антрахиноновых красителей, нейтральных, катионных или анионных, обычно используемых или тех, которые описаны в заявках на патент FR-2782450, 2782451, 2782452 и EP-1025834, в массовом содержании приблизительно от 0,001 до 20%, предпочтительно от 0,01 до 10% от общей массы композиции.
Готовая к применению композиция согласно изобретению может также содержать в красящей композиции и/или в окисляющей композиции вещества для регулирования реологических свойств, такие как амиды жирных кислот (диэтанол- или моноэтаноламиды кислот копрового масла, моноэтаноламид оксиэтилированной алкилоксикарбоновой кислоты), целлюлозные загустители (гидроксиэтилцеллюлоза, гидроксипропилцеллюлоза, карбоксиметилцеллюлоза..), гуаровая смола и ее производные (гидроксипропилгуар..), смолы микробного происхождения (ксантановая смола, склероглюкановая смола..), сшитые гомополимеры акриловой кислоты или акриламидопропансульфоновой кислоты, так же, как другие ассоциативные полимеры анионного, неионного, амфотерного или катионного типа, отличающиеся от кватернизованных производных целлюлозы с жирной цепью настоящего изобретения, и такие, как описанные ниже.
Ассоциативные полимеры анионного типа
Среди них можно назвать следующие полимеры.
(I) Полимеры, содержащие, по меньшей мере, одно гидрофильное звено и, по меньшей мере, одно звено простого аллилового эфира с жирной цепью, более конкретно полимеры, гидрофильное звено которых образовано этиленненасыщенным анионным мономером, еще более конкретно винилкарбоновой кислотой и более конкретно акриловой кислотой или метакриловой кислотой или их смесями и звено простого аллилового эфира с жирной цепью которого соответствует мономеру следующей формулы (I):

в которой R’ обозначает Н или СН3, В обозначает этиленоксигруппу, n равно нулю или обозначает целое число, изменяющееся в интервале от 1 до 100, R обозначает углеводородный радикал, выбираемый среди следующих радикалов: алкил, арилалкил, арил, алкиларил, циклоалкил, содержащий от 8 до 30 атомов углерода, предпочтительно от 10 до 24 и еще более конкретно от 12 до 18 атомов углерода. Особенно предпочтительным звеном формулы (I) является звено, в котором R’ обозначает Н, n равно 10 и R обозначает стеарильный радикал (С18).
Ассоциативные анионные полимеры этого типа описаны и получены методом эмульсионной полимеризации в европейском патенте ЕР-0216479.
Среди этих ассоциативных анионных полимеров согласно изобретению особенно предпочитают полимеры, полученные из 20-60 мас.% акриловой кислоты и/или метакриловой кислоты, 5-60 мас.% низших алкил(мет)акрилатов, 2-50 мас.% простого аллилового эфира с жирной цепью формулы (I) и 0-1 мас.% сшивающего агента, представляющего собой хорошо известный сополимеризуемый полиэтиленненасыщенный мономер, такой как диаллилфталат, аллил(мет)акрилат, дивинилбензол, (поли)этиленгликольдиметакрилат и метилен-бис-акриламид.
Среди этих последних предпочитают более конкретно сшитые тройные сополимеры метакриловой кислоты, этилакрилата и простого эфира полиэтиленгликоля (10 ОЭ) и стеарилового спирта (Steareth 10), в частности, сополимеры, продаваемые фирмой ALLIED COLLOIDS под названиями SALCARE SC 80® и SALCARE SC 90®, которые представляют собой 30%-ные водные эмульсии сшитого тройного сополимера метакриловой кислоты, этилакрилата и простого стеарет-10-аллилового эфира (40/50/10).
(II) Полимеры, содержащие, по меньшей мере, одно гидрофильное звено типа ненасыщенной олефинкарбоновой кислоты и, по меньшей мере, одно гидрофобное звено типа сложного (С10-С30)алкилового эфира ненасыщенной карбоновой кислоты.
Предпочтительно упомянутые полимеры выбирают среди тех, гидрофильное звено которых типа ненасыщенной олефинкарбоновой кислоты соответствует мономеру следующей формулы (II):

в которой R1 обозначает Н, или СН3, или С2Н5, то есть звеньям акриловой кислоты, метакриловой кислоты или этакриловой кислоты, и гидрофобное звено которого типа сложного (С10-С30)алкилового эфира ненасыщенной карбоновой кислоты соответствует мономеру следующей формулы (III):

в которой R2 обозначает Н, или СН3, или С2Н5 (то есть акрилатным, метакрилатным или этилакрилатным звеньям) и предпочтительно Н (акрилатные звенья) или СН3 (метакрилатные звенья), при этом R3 обозначает (С10-С30)алкил, предпочтительно (С12-С22)алкил.
Сложные (С10-С30)алкиловые эфиры ненасыщенных карбоновых кислот согласно изобретению включают в себя, например, лаурилакрилат, стеарилакрилат, децилакрилат, изодецилакрилат, додецилакрилат и соответствующие метакрилаты: лаурилметакрилат, стеарилметакрилат, децилметакрилат, изодецилметакрилат и додецилметакрилат.
Анионные полимеры данного типа описаны и получены, например, в американских патентах US-3915921 и 4509949.
Из этого типа ассоциативных анионных полимеров с жирной цепью более конкретно используют полимеры, полученные из смеси мономеров, содержащей:
i) в основном акриловую кислоту,
ii) сложный эфир формулы (III), приведенной выше, в которой R2 обозначает Н или СН3, R3 при этом обозначает алкил, содержащий от 12 до 22 атомов углерода,
iii) и сшивающий агент, который представляет собой хорошо известный сополимеризуемый полиэтиленненасыщенный мономер, такой как диаллилфталат, аллил(мет)акрилат, дивинилбензол, (поли)этиленгликольдиметакрилат и метилен-бис-акриламид.
Среди ассоциативных анионных полимеров с жирной цепью этого типа более конкретно можно использовать полимеры, состоящие из 95-60 мас.% акриловой кислоты (гидрофильное звено), 4-40 мас.% (С10-С30)алкилакрилата (гидрофобное звено) и 0-6 мас.% полимеризуемого сшивающего мономера, или полимеры, состоящие из 98-96 мас.% акриловой кислоты (гидрофильное звено), 1-4 мас.% (С10-С30)алкилакрилата (гидрофобное звено) и 0,1-0,6 мас.% полимеризуемого сшивающего мономера, такого, как описан выше.
Среди вышеупомянутых полимеров, согласно настоящему изобретению, более конкретно предпочитают продукты, продаваемые фирмой GOODRICH под коммерческими названиями PEMULEN TR1®, PEMULEN TR2®, CARBOPOL 1382®, и наиболее предпочтительным является PEMULEN TR1®, и продукт, продаваемый фирмой S.E.P.P.I.C. под названием COATEX SX®.
(III) Тройные сополимеры малеинового ангидрида, (С30-С38)- -олефина и алкилмалеата, такие как продукт (сополимер малеинового ангидрида, (С30-С38)- -олефина и изопропилмалеата), продаваемый под названием PERFORMA V 1608® фирмой NEWPHASE TECHNOLOGIES.
(IV) Тройные акриловые сополимеры, содержащие:
а) приблизительно 20-70 мас.% , -моноэтиленненасыщенной карбоновой кислоты,
b) приблизительно 20-80 мас.% , -моноэтиленненасыщенного мономера, не обладающего поверхностно-активными свойствами, отличного от а),
c) приблизительно 0,5-60 мас.% неионного моноуретана, который является продуктом реакции моногидрированного поверхностно-активного вещества с моноэтиленненасыщенным моноизоцианатом,
такие, как сополимеры, описанные в европейской заявке на патент ЕР-А-0173109, и более конкретно сополимер, описанный в примере 3, а именно тройной сополимер метакриловой кислоты, метилакрилата и диметил-м-изопропенилбензилизоцианата этоксилированного (40 ОЭ) бегенилового спирта в виде 25%-ной водной дисперсии.
(V) Сополимеры, содержащие в качестве их мономеров , -моноэтиленненасыщенную карбоновую кислоту и сложный эфир , -моноэтиленненасыщенной карбоновой кислоты и оксиалкиленированного жирного спирта.
Предпочтительно данные соединения содержат также в качестве мономера сложный эфир , -моноэтиленненасыщенной карбоновой кислоты и спирта, содержащего от 1 до 4 атомов углерода.
В качестве примера соединения указанного типа можно назвать ACULYN 22®, продаваемый фирмой ROHM & HAAS, который представляет собой тройной сополимер метакриловой кислоты, этилакрилата и оксиалкиленированного стеарилметакрилата.
Ассоциативные полимеры катионного типа
Среди них можно назвать следующие соединения.
(I) Ассоциативные катионные полиуретаны, семейство которых было описано фирмой-заявителем во французской заявке на патент № 0009609; оно может быть представлено следующей общей формулой (Ia):

в которой R и R’, одинаковые или разные, обозначают гидрофобную группу или атом водорода;
Х и Х’, одинаковые или разные, обозначают группу, содержащую аминогруппу, содержащую или не содержащую гидрофобную группу, или группу L’’;
L, L’ и L’’, одинаковые или разные, обозначают группу, являющуюся диизоцианатной производной;
Р и Р’, одинаковые или разные, обозначают группу, содержащую аминогруппу, содержащую или не содержащую гидрофобную группу;
Y обозначает гидрофильную группу;
r обозначает целое число, находящееся в интервале от 1 до 100, предпочтительно от 1 до 50 и, в частности, от 1 до 25;
n, m и р каждый независимо от других принимают значения от 0 до 1000,
при этом молекула содержит по меньшей мере одну протонированную или кватернизованную аминогруппу и по меньшей мере одну гидрофобную группу.
В предпочтительном варианте осуществления в вышеупомянутых полиуретанах единственными гидрофобными группами являются группы R и R’ на концах цепи.
Предпочтительным семейством ассоциативных катионных полиуретанов является семейство, соответствующее формуле (Ia), приведенной выше, в которой
R и R’ оба, независимо, обозначают гидрофобную группу;
Х и Х’, каждый, обозначают группу L’’;
n и р принимают значения от 1 до 1000 и
L, L’, L’’, P, P’, Y и m имеют значения, указанные выше.
Другим предпочтительным семейством ассоциативных катионных полиуретанов является семейство, соответствующее формуле (Ia), приведенной выше, в которой:
R и R’ оба, независимо, обозначают гидрофобную группу; Х и Х’, каждый, обозначают группу L’’; n и р принимают значение 0 и L, L’, L’’, Y и m имеют значения, указанные выше.
Тот факт, что n и p равны 0, означает, что данные полимеры не содержат звеньев, являющихся производными мономера с аминогруппой, включаемых в полимер при поликонденсации. Протонированные аминогруппы данных полиуретанов образуются в результате гидролиза изоцианатных групп, находящихся в избытке, в конце цепи, и последующего алкилирования образующихся первичных аминогрупп алкилирующими агентами с гидрофобной группой, то есть соединениями типа RQ или R’Q, в которых R и R’ такие, как определены выше, и Q обозначает удаляемую группу, такую как галогенид, сульфат и т.д.
Еще одним предпочтительным семейством ассоциативных катионных полиуретанов является семейство, соответствующее формуле (Ia), приведенной выше, в которой
R и R’, оба, независимо, обозначают гидрофобную группу;
Х и Х’, оба, независимо обозначают группу, содержащую четвертичную аминогруппу;
n и p равны нулю и
L, L’, Y и m имеют значения, указанные выше.
Среднечисловая молекулярная масса ассоциативных катионных полиуретанов находится предпочтительно в интервале от 400 до 500000, в частности, от 1000 до 400000 и идеально от 1000 до 300000.
Под гидрофобной группой подразумевают радикал или полимер с углеводородной цепью, насыщенной или ненасыщенной, линейной или разветвленной, которая может содержать один или несколько гетероатомов, таких как P, O, N, S, или радикал с перфторированной или силиконовой цепью. Когда она обозначает углеводородный радикал, гидрофобная группа содержит, по меньшей мере, 10 атомов углерода, предпочтительно от 10 до 30 атомов углерода, в частности, от 12 до 30 атомов углерода и более предпочтительно от 18 до 30 атомов углерода.
Предпочтительно углеводородная группа происходит из монофункционального соединения.
В качестве примера гидрофобная группа может происходить из жирного спирта, такого как стеариловый спирт, додециловый спирт, дециловый спирт. Равным образом она может обозначать углеводородный полимер, такой как, например, полибутадиен.
Когда Х и/или Х’ обозначают группу, содержащую третичный или четвертичный амин, Х и/или Х’ могут отвечать одной из следующих формул:


в которых R2 обозначает алкиленовый радикал, содержащий от 1 до 20 атомов углерода, линейный или разветвленный, содержащий или не содержащий насыщенный или ненасыщенный цикл, или ариленовый радикал, при этом один или несколько атомов углерода могут быть заменены гетероатомом, выбранным среди N, S, O, P;
R1 и R3, одинаковые или разные, обозначают (С1-С30)алкил или (С1-С30)алкенил, линейный или разветвленный, или арил, при этом по меньшей мере один из атомов углерода может быть заменен гетероатомом, выбранным среди N, S, O, P;
А– представляет собой физиологически приемлемый противоион.
Группы L, L’ и L’’ обозначают группу формулы:

в которой Z обозначает -O-, -S- или -NH- и
R4 обозначает алкиленовый радикал, содержащий от 1 до 20 атомов углерода, линейный или разветвленный, содержащий или не содержащий насыщенный или ненасыщенный цикл, ариленовый радикал, при этом один или несколько атомов углерода могут быть заменены гетероатомом, выбранным среди N, S, O и P.
Группы Р и Р’, содержащие аминогруппу, могут отвечать по меньшей мере одной из следующих формул:

в которых R5 и R7 имеют те же самые значения, что R2, определенный выше;
R6, R8 и R9 имеют те же самые значения, что R1 и R3, определенные выше;
R10 обозначает алкиленовую группу, линейную или разветвленную, возможно, ненасыщенную, которая может содержать один или несколько гетероатомов, выбранных среди N, O, S и P, и
А– представляет собой физиологически приемлемый противоион.
Что касается значения Y, то под гидрофильной группой подразумевают водорастворимую группу, полимерную или неполимерную.
В качестве примера можно назвать, когда речь не идет о полимерах, этиленгликоль, диэтиленгликоль и пропиленгликоль.
Когда речь идет, согласно предпочтительному способу осуществления, о гидрофильном полимере, то в качестве примера можно назвать простые полиэфиры, сульфированные сложные эфиры, сульфированные полиамиды или смеси указанных полимеров. В качестве предпочтительного варианта гидрофильное соединение представляет собой простой полиэфир, в частности, поли(этиленоксид) или поли(пропиленоксид).
Ассоциативные катионные полиуретаны формулы (Ia) согласно изобретению получают исходя из диизоцианатов и различных соединений, содержащих функциональные группы с лабильным водородом. Функциональными группами с лабильным водородом могут быть спиртовые группы, первичные или вторичные аминогруппы или тиольные группы, дающие, после реакции с диизоцианатными группами, соответственно полиуретаны, поликарбамиды и политиокарбамиды. Термин “полиуретаны” настоящего изобретения объединяет указанные три типа полимеров, а именно собственно полиуретаны, поликарбамиды и политиокарбамиды, так же, как их сополимеры.
Первый тип соединений, участвующих в получении полиуретана формулы (Ia), представляет собой соединение, содержащее по меньшей мере одно звено с аминогруппой. Данное соединение может быть полифункциональным, но предпочтительно соединение является дифункциональным, то есть, согласно предпочтительному варианту осуществления, данное соединение содержит два лабильных атома водорода, связанных, например, с гидроксильной группой, первичной аминогруппой, вторичной аминогруппой или тиольной группой. Равным образом можно использовать смесь полифункциональных и дифункциональных соединений, в которой процентное содержание полифункциональных соединений является низким.
Как указано выше, данное соединение может содержать больше одного звена с аминогруппой. В таком случае речь идет о полимере, содержащем повторяющиеся звенья с аминогруппой.
Данный тип соединений может быть представлен одной из следующих формул:

в которых Z, P, P’, n и р являются такими, как определены выше.
В качестве примера соединения с аминогруппой можно назвать N-метилдиэтаноламин, N-трет-бутилдиэтаноламин, N-сульфоэтилдиэтаноламин.
Второе соединение, принимающее участие в получении полиуретана формулы (Ia), представляет собой диизоцианат, соответствующий формуле:

в которой R4 определено выше.
В качестве примера можно назвать метилендифенилдиизоцианат, метиленциклогександиизоцианат, изофорондиизоцианат, толуолдиизоцианат, нафталиндиизоцианат, бутандиизоцианат, гександиизоцианат.
Третье соединение, принимающее участие в получении полиуретана формулы (Ia), представляет собой гидрофобное соединение, предназначенное для образования концевых гидрофобных групп полимера формулы (Ia).
Данное соединение состоит из гидрофобной группы и функциональной группы с лабильным водородом, например, гидроксильной группы, первичной или вторичной аминогруппы или тиольной группы.
В качестве примера данное соединение может представлять собой жирный спирт, такой как, в частности, стеариловый спирт, додециловый спирт, дециловый спирт. Когда данное соединение содержит полимерную цепь, речь может идти, например, о гидрированном полибутадиене с гидроксильной группой.
Гидрофобная группа полиуретана формулы (Ia) равным образом может быть получена в результате реакции кватернизации третичного амина соединения, содержащего по меньшей мере одно звено третичного амина. Таким образом, гидрофобную группу вводят при помощи кватернизующего агента. Упомянутый кватернизующий агент представляет собой соединение типа RQ или RQ’, в котором R и R’ такие, как определены выше, а Q обозначает удаляемую группу, такую как галогенид, сульфат и т.д.
Ассоциативный катионный полиуретан, кроме того, может содержать гидрофильное звено. Данное звено вводится с соединением четвертого типа, принимающим участие в получении полимера. Упомянутое соединение может быть полифункциональным. Предпочтительно оно является дифункциональным. Равным образом можно иметь смесь, в которой процентное содержание полифункционального соединения является низким.
Функциональные группы с лабильным водородом представляют собой спиртовую группу, первичную или вторичную аминогруппу или тиольную группу. Упомянутое соединение может представлять собой полимер, имеющий на концах цепей одну из вышеупомянутых функциональных групп с лабильным водородом.
В качестве примера можно назвать, когда речь не идет о полимерах, этиленгликоль, диэтиленгликоль и пропиленгликоль.
Когда речь идет о гидрофильном полимере, в качестве примера можно назвать простые полиэфиры, сульфированные сложные эфиры, сульфированные полиамиды или смесь указанных полимеров. В качестве предпочтительного варианта гидрофильное соединение представляет собой простой полиэфир, в частности, поли(этиленоксид) или поли(пропиленоксид).
Гидрофильная группа, обозначенная Y в формуле (Ia), является необязательной. В самом деле, звенья с четвертичной или протонированной аминогруппой могут быть достаточными для придания растворимости или способности к диспергированию в воде, необходимой для данного типа полимера в водном растворе.
Хотя присутствие гидрофильной группы Y является необязательным, предпочитают, однако, ассоциативные катионные полиуретаны, содержащие такую группу.
(II) Катионные поливиниллактамы, семейство которых было описано фирмой-заявителем во французской заявке на патент №0101106.
Вышеупомянутые полимеры содержат:
а) по меньшей мере один мономер типа виниллактама или алкилвиниллактама;
б) по меньшей мере один мономер следующих формул (I) или (II):

в которых X обозначает атом кислорода или радикал NR6,
R1 и R6 обозначают, независимо один от другого, атом водорода или (C1-C5)алкил, линейный или разветвленный,
R2 обозначает (C1-C4)алкил, линейный или разветвленный,
R3, R4 и R5 обозначают, независимо один от другого, атом водорода, (C1-C30)алкил, линейный или разветвленный, или радикал формулы (III):

Y, Y1 и Y2 обозначают, независимо один от другого, линейный или разветвленный алкиленовый радикал, содержащий от 2 до 16 атомов углерода,
R7 обозначает атом водорода, или (C1-C4)алкил, линейный или разветвленный, или (C1-C4)гидроксиалкил, линейный или разветвленный,
R8 обозначает атом водорода или (C1-C30)алкил, линейный или разветвленный,
p, q и r обозначают, независимо один от другого, либо нуль, либо 1,
m и n обозначают, независимо один от другого, целое число, изменяющееся в интервале от 0 до 100,
х обозначает целое число, изменяющееся в интервале от 1 до 100,
Z обозначает анион органической или неорганической кислоты,
при условии, что
– по меньшей мере один из заместителей R3, R4, R5 или R8 обозначает (C9-C30)алкил, линейный или разветвленный,
– если m или n отличаются от нуля, тогда q равно 1,
– если m или n равны нулю, тогда p или q равно 0.
Катионные поливиниллактамы согласно изобретению могут быть сшитыми или несшитыми и могут быть также блок-полимерами.
Предпочтительно противоион Z– мономеров формулы (I) выбран среди галогенид-ионов, фосфат-ионов, метосульфат-иона, тозилат-иона.
Предпочтительно R3, R4 и R5 обозначают, независимо один от другого, атом водорода или (C1-C30)алкил, линейный или разветвленный.
Более предпочтительно мономер б) представляет собой мономер формулы (I), для которой еще более предпочтительно m и n равны нулю.
Мономер виниллактама или алкилвиниллактама представляет собой предпочтительно соединение структуры (IV):

в которой s обозначает целое число, изменяющееся в интервале от 3 до 6,
R9 обозначает атом водорода или (C1-C5)алкил,
R10 обозначает атом водорода или (C1-C5)алкил,
при условии, что по меньшей мере один из радикалов R9 и R10 обозначает атом водорода.
Еще более предпочтительно мономер (IV) представляет собой винилпирролидон.
Катионные поливиниллактамы согласно изобретению могут также содержать один или несколько дополнительных мономеров, предпочтительно катионных или неионных.
В качестве соединений, особенно предпочитаемых согласно изобретению, можно назвать следующие тройные сополимеры, содержащие по меньшей мере:
а) один мономер формулы (IV),
б) один мономер формулы (I), в которой р=1, q=0, R3 и R4 обозначают, независимо один от другого, атом водорода или (C1-C5)алкил и R5 обозначает (C9-C24)алкил и
в) один мономер формулы (II), в которой R3 и R4 обозначают, независимо один от другого, атом водорода или (C1-C5)алкил.
Еще более предпочтительно используют тройные сополимеры, содержащие 40-95 мас.% мономера а), 0,1-55 мас.% мономера в) и 0,25-50 мас.% мономера б).
Упомянутые полимеры описаны в международной заявке на патент WO-00/68282, содержание которой является составной частью изобретения.
В качестве катионных поливиниллактамов согласно изобретению используют, в частности, тройные сополимеры винилпирролидон/диметиламинопропилметакриламид/тозилат додецилдиметилметакриламидопропиламмония, тройные сополимеры винилпирролидон/диметиламинопропилметакриламид/тозилат кокоилдиметилметакриламидопропиламмония, тройные сополимеры винилпирролидон/диметиламинопропилметакриламид/тозилат или хлорид лаурилдиметилметакриламидопропиламмония.
Среднемассовая молекулярная масса катионных поливиниллактамов согласно настоящему изобретению предпочтительно находится в диапазоне от 500 до 20000000. Более конкретно она находится в диапазоне от 200000 до 2000000 и еще более предпочтительно в диапазоне от 400000 до 800000.
Амфотерные ассоциативные полимеры
Предпочтительно их выбирают среди полимеров, содержащих по меньшей мере одно нециклическое катионное звено. Еще более конкретно предпочитают полимеры, полученные из или содержащие от 1 до 20 мол.% мономера, содержащего жирную цепь, и, предпочтительно от 1,5 до 15 мол.% и еще более конкретно от 1,5 до 6 мол.% по отношению к общему числу молей мономеров.
Амфотерные ассоциативные полимеры, предпочитаемые согласно изобретению, содержат, или получены, сополимеризуя:
1) по меньшей мере один мономер формулы (Ia) или (Ib):

в которых R1 и R2, одинаковые или разные, обозначают атом водорода или метил, R3, R4 и R5, одинаковые или разные, обозначают алкильный радикал, линейный или разветвленный, содержащий от 1 до 30 атомов углерода,
Z обозначает группу NH или атом кислорода,
n обозначает целое число от 2 до 5,
А– обозначает анион органической или неорганической кислоты, такой как метосульфат-анион или галогенид, такой как хлорид или бромид;
2) по меньшей мере один мономер формулы (II):

в которой R6 и R7, одинаковые или разные, обозначают атом водорода или метил; и
3) по меньшей мере один мономер формулы (III):

в которой R6 и R7, одинаковые или разные, обозначают атом водорода или метил, Х обозначает атом кислорода или азота и R8 обозначает алкильный радикал, линейный или разветвленный, содержащий от 1 до 30 атомов углерода,
при этом по меньшей мере один из мономеров формул (Ia), (Ib) или (III) содержит по меньшей мере одну жирную цепь.
Мономеры формул (Ia) и (Ib) настоящего изобретения выбраны предпочтительно в группе, образованной следующими соединениями:
– диметиламиноэтилметакрилат, диметиламиноэтилакрилат,
– диэтиламиноэтилметакрилат, диэтиламиноэтилакрилат,
– диметиламинопропилметакрилат, диметиламинопропилакрилат,
– диметиламинопропилметакриламид, диметиламинопропилакриламид,
причем данные мономеры в известных случаях кватернизованы, например, (С1-С4)алкилгалогенидом или (С1-С4)диалкилсульфатом.
Более конкретно мономер формулы (Ia) выбран среди акриламидопропилтриметиламмонийхлорида и метакриламидо-пропилтриметиламмонийхлорида.
Мономеры формулы (II) настоящего изобретения выбраны предпочтительно в группе, образованной акриловой кислотой, метакриловой кислотой, кротоновой кислотой и 2-метилкротоновой кислотой. Более конкретно мономер формулы (II) представляет собой акриловую кислоту.
Мономеры формулы (III) настоящего изобретения выбраны предпочтительно в группе, образованной (С12-С22)алкилакрилатами или (С12-С22)алкилметакрилатами и более конкретно (С16-С18)алкилакрилатами или (С16-С18)алкилметакрилатами.
Мономеры, образующие амфотерные полимеры с жирной цепью настоящего изобретения, являются предпочтительно уже нейтрализованными и/или кватернизованными.
Отношение числа катионных зарядов к числу анионных зарядов предпочтительно равно приблизительно 1.
Амфотерные ассоциативные полимеры согласно изобретению содержат предпочтительно от 1 до 10 мол.% мономера, содержащего жирную цепь (мономер формулы (Ia), (Ib) или (III)), и преимущественно от 1,5 до 6 мол.%.
Среднемассовые молекулярные массы амфотерных ассоциативных полимеров согласно изобретению могут изменяться в диапазоне от 500 до 50000000 и предпочтительно находятся в диапазоне от 10000 до 5000000.
Амфотерные ассоциативные полимеры согласно изобретению могут также содержать другие мономеры, такие как неионные мономеры, и, в частности, такие как (С1-С4)алкилакрилаты или (С1-С4)алкилметакрилаты.
Амфотерные ассоциативные полимеры согласно изобретению описаны и получены, например, в международной заявке на патент WO 9844012.
Среди амфотерных ассоциативных полимеров согласно изобретению предпочитают тройные сополимеры акриловая кислота/ (мет)акриламидопропилтриметиламмонийхлорид/стеарилметакрилат.
Ассоциативные полимеры неионного типа
Согласно изобретению их выбирают предпочтительно среди:
(1) целлюлоз, модифицированных группами, содержащими по меньшей мере одну жирную цепь;
можно назвать в качестве примера:
– гидроксиэтилцеллюлозы, модифицированные группами, содержащими по меньшей мере одну жирную цепь, такими как алкильная, арилалкильная, алкиларильная группы, или их смеси и в которых алкильные группы предпочтительно содержат от 8 до 22 атомов углерода, такие как продукт NATROSOL PLUS GRADE 330 CS® (C16-алкилы), продаваемый фирмой AQUALON, или продукт BERMOCOLL EHM 100®, продаваемый фирмой BEROL NOBEL,
– гидроксиэтилцеллюлозы, модифицированные группами простого эфира полиалкиленгликоля и алкилфенола, такие как продукт AMERCELL POLYMER HM-1500® (простой эфир полиэтиленгликоля(15) и нонилфенола), продаваемый фирмой AMERCHOL;
(2) гидроксипропилгуаров, модифицированных группами, содержащими по меньшей мере одну жирную цепь, таких как продукт ESAFLOR HM 22® (алкильная цепочка из 22 атомов углерода), продаваемый фирмой LAMBERTI, продукты RE210-18® (алкильная цепочка из 14 атомов углерода) и RE205-1® (алкильная цепочка из 20 атомов углерода), продаваемые фирмой RHONE POULENC;
(3) сополимеров винилпирролидона и гидрофобных мономеров с жирной цепью, из которых в качестве примера можно назвать:
– продукты ANTARON V216® или GANEX V216® (сополимер винилпирролидона и гексадецена), продаваемые фирмой I.S.P.
– продукты ANTARON V220® или GANEX V220® (сополимер винилпирролидона и эйкозена), продаваемые фирмой I.S.P.;
(4) сополимеров (С1-С6)алкилметакрилатов или (С1-С6)алкилакрилатов и амфифильных мономеров, содержащих по меньшей мере одну жирную цепь, таких как, например, сополимер метилакрилата и оксиэтиленированного стеарилакрилата, продаваемый фирмой GOLDSCHMIDT под названием ANTIL 208®;
(5) сополимеров гидрофильных метакрилатов или акрилатов и гидрофобных мономеров, содержащих по меньшей мере одну жирную цепь, таких как, например, сополимер полиэтиленгликольметакрилата и лаурилметакрилата;
(6) простых полиэфирполиуретанов, содержащих в их цепи одновременно гидрофильные блоки, наиболее часто полиоксиэтиленированного типа и гидрофобные блоки, которые могут представлять собой одни алифатические цепочки и/или циклоалифатические и/или ароматические цепочки;
(7) полимеров со скелетом аминопласта с простыми эфирными группами, содержащих по меньшей мере одну жирную цепь, таких как соединения PURE THIX®, предлагаемые фирмой SUD-CHEMIE.
Предпочтительно простые полиэфирполиуретаны содержат по меньшей мере две липофильные углеводородные цепочки, содержащие от 6 до 30 атомов углерода, разделенные гидрофильным блоком, при этом углеводородные цепочки могут быть боковыми цепочками или концевыми звеньями гидрофильного блока. В частности, возможно присутствие одной или нескольких боковых цепочек. Кроме того, полимер может содержать углеводородную цепочку на одном конце или на обоих концах гидрофильного блока.
Простые полиэфирполиуретаны могут быть многоблочными, в частности, в трехблочной форме. Гидрофобные блоки могут быть на каждом конце цепи (например: трехблочный сополимер с гидрофильным центральным блоком) или распределены одновременно по концам и в цепи (например, многоблочный сополимер). Эти же самые полимеры равным образом могут быть привитыми или звездчатого типа.
Неионные простые полиэфирполиуретаны с жирной цепью могут быть трехблочными сополимерами, гидрофильный блок которых представляет собой полиоксиэтиленированную цепочку, содержащую от 50 до 1000 оксиэтиленовых групп. Неионные простые полиэфирполиуретаны содержат уретановую связь между гидрофильными блоками, откуда происходит название.
В широком смысле, среди неионных полиэфирполиуретанов с жирной цепью фигурируют также полимеры, гидрофильные блоки которых связаны с липофильными блоками посредством других химических связей.
В качестве примеров неионных полиэфирполиуретанов с жирной цепью, которые могут быть использованы согласно изобретению, можно также использовать Rheolate 205® с карбамидной функциональной группой, продаваемый фирмой RHEOX, или еще Rheolate® 208, Rheolate® 204 или Rheolate® 212, а также Acrysol® RM 184.
Можно также назвать продукт ELFACOS T210® с алкильной цепочкой, содержащей от 12 до 14 атомов углерода, и продукт ELFACOS T212® с алкильной цепочкой из 18 атомов углерода фирмы AKZO.
Продукт DW 1206B® фирмы ROHM & HAAS с алкильной цепочкой из 20 атомов углерода и уретановой связью, содержащий 20% сухого вещества в воде, также может быть использован.
Можно также использовать растворы или дисперсии указанных полимеров, в частности, в воде или в водно-спиртовой среде. В качестве примера таких полимеров можно назвать Rheolate® 255, Rheolate® 278 и Rheolate® 244, продаваемые фирмой RHEOX. Можно также использовать продукты DW 1206F и DW 1206J, предлагаемые фирмой ROHM & HAAS.
Простые полиэфирполиуретаны, которые могут быть использованы согласно изобретению, представляют собой, в частности, полиэфирполиуретаны, описанные в статье G. Fonnum, J. Bakke, Fk. Hansen – Colloid Polym. Sci., 271, 380-389 (1993).
Еще более конкретно, согласно изобретению, предпочитают использовать простой полиэфирполиуретан, который может быть получен поликонденсацией по меньшей мере трех соединений, включающих в себя (i) по меньшей мере один полиэтиленгликоль, содержащий от 150 до 180 молей этиленоксида, (ii) стеариловый спирт или дециловый спирт и (iii) по меньшей мере один диизоцианат.
Такие простые полиэфирполиуретаны продаются, в частности, фирмой ROHM & HAAS под названиями Aculyn 46® и Aculyn 44® [ACULYN 46® представляет собой продукт поликонденсации полиэтиленгликоля со 150 или 180 молями этиленоксида, стеарилового спирта и метилен-бис-(4-циклогексилизоцианата) (SMDI), с концентрацией 15 мас.%, в матрице из мальтодекстрина (4%) и воды (81%); ACULYN 44® представляет собой продукт поликонденсации полиэтиленгликоля со 150 или 180 молями этиленоксида, децилового спирта и метилен-бис-(4-циклогексилизоцианата) (SMDI), с концентрацией 35 мас.%, в смеси пропиленгликоля (39%) и воды (26%)].
Красящая композиция согласно изобретению может, кроме того, содержать ненасыщенные жирные спирты, такие как, например, олеиновый спирт в массовом содержании, изменяющемся в диапазоне от 0,5 до 15% по отношению к общей массе красящей композиции.
Равным образом композиция может содержать другие поверхностно-активные вещества, из которых, в частности, неионные поверхностно-активные вещества более конкретно выбраны среди оксиалкиленированных жирных спиртов и моноглицеринзамещенных и полиглицеринзамещенных жирных спиртов в массовом содержании, изменяющемся в диапазоне от 2 до 40% по отношению к общей массе красящей композиции.
Готовая к применению композиция согласно изобретению может также содержать в красящей композиции и/или в окисляющей композиции по меньшей мере один катионный полимер или амфотерный полимер.
Катионные полимеры
С точки зрения настоящего изобретения, выражение “катионный полимер” обозначает любой полимер, содержащий катионные группы и/или группы, способные ионизоваться с образованием катионных групп.
Катионные полимеры, используемые согласно настоящему изобретению, могут быть выбраны среди всех тех полимеров, которые уже сами по себе известны как улучшающие косметические свойства волос, а именно, в частности, тех, которые описаны в европейской заявке на патент ЕР-А-337354 и во французских патентах 2270846, 2383660, 2598611, 2470596 и 2519863.
Предпочтительные катионные полимеры выбирают из числа тех, которые содержат звенья, имеющие в своем составе первичные, вторичные, третичные и/или четвертичные аминогруппы, которые либо составляют часть основной полимерной цепи, либо входят в состав бокового заместителя, непосредственно связанного с ней.
Обычно используемые катионные полимеры имеют среднечисловую молекулярную массу в интервале приблизительно от 500 до 5·106, предпочтительно в интервале от 103 до 3·106 приблизительно.
Среди катионных полимеров можно более конкретно назвать полимеры типа полиамина, полиаминоамида и четвертичного полиаммония.
Они являются известными продуктами. В частности, они описаны во французских патентах 2505348 или 2542997. В числе вышеупомянутых полимеров можно назвать следующие полимеры.
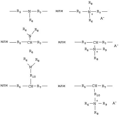
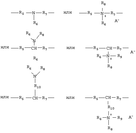
(1) Гомополимеры или сополимеры, являющиеся производными сложных эфиров или амидов акриловых или метакриловых кислот, содержащие по меньшей мере одно из звеньев формул (V), (VI), (VII) или (VIII):

в которых R3, одинаковые или разные, обозначают атом водорода или радикал СН3;
А, одинаковые или разные, обозначают алкильную группу, линейную или разветвленную, содержащую от 1 до 6 атомов углерода, предпочтительно 2 или 3 атома углерода, или гидроксиалкильную группу, содержащую от 1 до 4 атомов углерода;
R4, R5, R6, одинаковые или разные, обозначают алкильную группу, содержащую от 1 до 18 атомов углерода, или радикал бензил и предпочтительно алкильную группу, содержащую от 1 до 6 атомов углерода;
R1 и R2, одинаковые или разные, обозначают водород или алкильную группу, содержащую от 1 до 6 атомов углерода, и предпочтительно метильную или этильную группу;
Х обозначает анион неорганической или органической кислоты, такой как анион метосульфата или галогенид, такой как хлорид или бромид.
Сополимеры семейства (1) могут дополнительно содержать одно или несколько звеньев, производных сомономеров, которые могут быть выбраны в семействе акриламидов, метакриламидов, диацетонакриламидов, акриламидов и метакриламидов, замещенных у атома азота низшими (С1-С4)алкилами, акриловых или метакриловых кислот или их сложных эфиров, виниллактамов, таких как винилпирролидон или винилкапролактам, сложных виниловых эфиров.
Так, среди упомянутых сополимеров семейства (1) можно назвать:
– сополимеры акриламида и диметиламиноэтилметакрилата, кватернизованного диметилсульфатом или диметилгалогенидом, такие как сополимер, продаваемый под названием HERCOFLOC® фирмой HERCULES;
– сополимеры акриламида и метакрилоилоксиэтилтриметиламмонийхлорида, описанные, например, в европейской заявке на патент ЕР-А-080976 и продаваемые под названием BINA QUAT P 100® фирмой CIBA GEIGY;
– сополимер акриламида и метосульфата метакрилоилоксиэтилтриметиламмония, продаваемый под названием RETEN® фирмой HERCULES;
– сополимеры винилпирролидона и диалкиламиноалкилакрилата или диалкиламиноалкилметакрилата, кватернизованные или некватернизованные, такие как продукты, продаваемые под названием “GAFQUAT”® фирмой ISP, как, например, “GAFQUAT® 734” или “GAFQUAT® 755”, или продукты, называемые “COPOLYMER® 845, 958 и 937”; указанные сополимеры детально описаны во французских патентах 2077143 и 2393573;
– тройные сополимеры диметиламиноэтилметакрилата, винилкапролактама и винилпирролидона, такие как продукт, продаваемый под названием GAFFIX® VC 713 фирмой ISP;
– сополимеры винилпирролидона и метакриламидопропилдиметиламина, поставляемые в продажу, в частности, под названием STYLEZE® CC 10 фирмой ISP;
– и сополимеры винилпирролидона и кватернизованного диметиламинопропилметакриламида, такие как продукт, продаваемый под названием “GAFQUAT® HS 100” фирмой ISP;
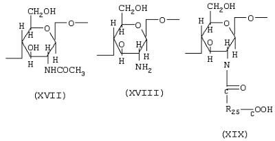
(2) Производные простых эфиров целлюлозы, содержащие четвертичные аммониевые группы, описанные во французском патенте 1492597, и, в частности, полимеры, поставляемые в продажу под названиями “JR®“ (JR 400, JR 125, JR 30M) или “LR®“ (LR 400, LR 30M) фирмой Union Carbide Corporation. Указанные полимеры равным образом определены в словаре CTFA как четвертичные аммониевые производные гидроксиэтилцеллюлозы, прореагировавшей с эпоксидным соединением, замещенным триметиламмониевой группой.
(3) Катионные производные целлюлозы, такие как сополимеры целлюлозы или производные целлюлозы, привитые водорастворимым мономером четвертичного аммония, и описанные, в частности, в американском патенте US 4131576, такие как гидроксиалкилцеллюлозы, как гидроксиметил-, гидроксиэтил- или гидроксипропилцеллюлозы, привитые, в частности, солью метакрилоилэтилтриметиламмония, метакриламидопропилтриметиламмония или диметилдиаллиламмония.
Поставляемые в продажу продукты, отвечающие данному определению, представляют собой более конкретно продукты, продаваемые под названием “Celquat® L 200” и “Celquat® H 100” фирмой National Starch.
(4) Катионные полисахариды, описанные более конкретно в американских патентах US 3589578 и 4031307, такие как гуаровые смолы, содержащие триалкиламмониевые катионные группы. Используют, например, гуаровые смолы, модифицированные солью (например, хлоридом) 2,3-эпоксипропилтриметиламмония.
Такие продукты поставляются в продажу, в частности, под коммерческими названиями “JAGUAR® C 13 S”, “JAGUAR® C 15”, “JAGUAR® C 17” или “JAGUAR® C 162” фирмой MEYHALL.
(5) Полимеры, состоящие из пиперазинильных звеньев и двухвалентных алкиленовых или гидроксиалкиленовых радикалов, с прямыми или разветвленными цепями, в известных случаях прерванными атомами кислорода, серы, азота или ароматическими циклами или гетероциклами, а также продукты окисления и/или кватернизации указанных полимеров. Такие полимеры описаны, в частности, во французских патентах 2162025 и 2280361.
(6) Водорастворимые полиаминоамиды, полученные, в частности, поликонденсацией кислотного соединения с полиамином; данные полиаминоамиды могут быть сшиты посредством эпигалогенгидрина, диэпоксисоединения, диангидрида, ненасыщенного диангидрида, бис-ненасыщенного производного, бис-галогенгидрина, бис-азетидиния, бис-галоацилдиамина, бисалкилгалогенида или еще посредством олигомера, полученного в результате реакции бифункционального соединения, реакционноспособного по отношению к бис-галогенгидрину, бис-азетидинию, бис-галоацилдиамину, бис-алкилгалогениду, эпигалогенгидрину, диэпоксисоединению или бис-ненасыщенному производному; при этом сшивающий агент используют в количествах, изменяющихся от 0,025 до 0,35 моль на аминогруппу полиаминоамида; указанные полиаминоамиды могут быть алкилированы или, если они содержат одну или несколько третичных аминогрупп, кватернизованы. Такие полимеры описаны, в частности, во французских патентах 2252840 и 2368508.
(7) Производные полиаминоамидов, полученные в результате конденсации полиалкиленполиаминов с поликарбоновыми кислотами и последующего алкилирования бифункциональными агентами. Можно назвать, например, полимеры на основе адипиновой кислоты и диалкиламиногидроксиалкилдиалкилентриамина, в которых алкильный радикал содержит от 1 до 4 атомов углерода и представляет собой предпочтительно метил, этил, пропил. Такие полимеры описаны, в частности, во французском патенте 1583363.
Среди указанных производных можно более конкретно назвать полимеры на основе адипиновой кислоты, диметиламиногидроксипропила и диэтилентриамина, продаваемые под названием “Cartaretine®F, F4 или F8” фирмой Sandoz.
(8) Полимеры, полученные реакцией полиалкиленполиамина, содержащего две первичные аминогруппы и по меньшей мере одну вторичную аминогруппу, с дикарбоновой кислотой, выбранной среди дигликолевой кислоты и насыщенных алифатических дикарбоновых кислот, содержащих от 3 до 8 атомов углерода. При этом молярное соотношение между полиалкиленполиамином и дикарбоновой кислотой составляет от 0,8:1 до 1,4:1; полученный полиаминоамид вводят в реакцию с эпихлоргидрином в молярном соотношении эпихлоргидрин/вторичная аминогруппа полиаминоамида, находящемся в интервале от 0,5:1 до 1,8:1. Такие полимеры описаны, в частности, в американских патентах 3227615 и 2961347.
Полимеры данного типа поставляются в продажу, в частности, под названием “Hercosett® 57” фирмой Hercules Inc. или под названием “PD 170®” или “Delsette® 101” фирмой Hercules в случае сополимера адипиновая кислота/эпоксипропил/диэтилентриамин.
(9) Циклополимеры алкилдиаллиламина или диалкилдиаллиламмония, такие как гомополимеры или сополимеры, содержащие в качестве основного компонента цепи звенья, отвечающие формулам (IX) или (X):

в которых k и t равны 0 или 1, при этом сумма k+t равна 1; R9 обозначает атом водорода или метил; R7 и R8, независимо один от другого, обозначают алкильную группу, содержащую от 1 до 6 атомов углерода, гидроксиалкильную группу, в которой алкильная группа содержит предпочтительно от 1 до 5 атомов углерода, низшую амидо(С1-С4)алкильную группу, или R7 и R8 могут обозначать вместе с атомом азота, к которому они присоединены, гетероциклические группы, такие, как пиперидинильную или морфолинильную; предпочтительно R7 и R8, независимо один от другого, обозначают алкильную группу, содержащую от 1 до 4 атомов углерода, Y– обозначает анион, такой как бромид, хлорид, ацетат, борат, цитрат, тартрат, бисульфат, бисульфит, сульфат, фосфат. Данные полимеры описаны, в частности, во французском патенте 2080759 и в его дополнительном патенте 2190406.
Среди полимеров, определенных выше, можно назвать более конкретно гомополимер диметилдиаллиламмонийхлорида, продаваемый под названием “Merquat® 100” фирмой Calgon (и его гомологи с низкой среднемассовой молекулярной массой) и сополимеры диметилдиаллиламмонийхлорида и акриламида, поставляемые в продажу под названием “Merquat® 550”.
(10) Полимеры четвертичного диаммония, содержащие повторяющиеся звенья, отвечающие формуле (XI):

в которой R10, R11, R12 и R13, одинаковые или разные, обозначают алифатические, алициклические или арилалифатические радикалы, содержащие от 1 до 20 атомов углерода, или низшие гидроксиалкилалифатические радикалы, или R10, R11, R12 и R13, вместе или раздельно, образуют с атомами азота, с которыми они связаны, гетероциклы, содержащие в известных случаях второй гетероатом, отличный от азота, или R10, R11, R12 и R13 обозначают линейный или разветвленный (C1-C6)алкил, замещенный нитрильной, сложноэфирной, ацильной, амидной группой или группой –CO-O-R14-D или –CO-NH-R14-D, в которых R14 обозначает алкилен и D обозначает четвертичную аммониевую группу;
А1 и B1 обозначают полиметиленовые группы, содержащие от 2 до 20 атомов углерода, которые могут быть линейными или разветвленными, насыщенными или ненасыщенными и могут содержать связанные с основной цепью или включенные в основную цепь один или несколько ароматических циклов, или один или несколько атомов кислорода, серы или одну или несколько таких групп, как сульфоксидная, сульфоновая, дисульфидная, аминогруппа, алкиламиногруппа, гидроксильная, четвертичная аммониевая, уреидогруппа, амидная или сложноэфирная;
X– обозначает анион неорганической или органической кислоты;
А1, R10 и R12 могут образовать с двумя атомами азота, с которыми они связаны, пиперазиновый цикл; кроме того, если А1 обозначает алкиленовый или гидроксиалкиленовый радикал, линейный или разветвленный, насыщенный или ненасыщенный, В1 может равным образом обозначать группу -(CH2)n-CO-D-OC-(CH2)n-, в которой D обозначает:
а) остаток гликоля формулы: -O-Z-O-, где Z обозначает углеводородный радикал, линейный или разветвленный, или группу, отвечающую одной из следующих формул:
-(CH2-CH2-O)x-CH2-CH2-,
-[CH2-СH(CH3)-O]y-CH2-CH(CH3)-,
где x и у обозначают целое число от 1 до 4, представляющее собой определенную и единственную степень полимеризации, или любое число от 1 до 4, представляющее собой среднюю степень полимеризации;
б) остаток вторичного бис-диамина, такой, как производное пиперазина;
в) остаток первичного бис-диамина формулы -NH-Y-NH-, где Y обозначает линейный или разветвленный углеводородный радикал, или двухвалентный радикал
-CH2-CH2-S-S-CH2-CH2-;
г) уреиленовую группу формулы: -NH-CO-NH-;
предпочтительно X– обозначает анион, такой, как хлорид или бромид.
Указанные полимеры имеют среднечисловую молекулярную массу, составляющую обычно от 1000 до 100000.
Полимеры указанного типа описаны, в частности, во французских патентах 2320330, 2270846, 2316271, 2336434 и 2413907 и в американских патентах US 2273780, 2375853, 2388614, 2454547, 3206462, 2261002, 2271378, 3874870, 4001432, 3929990, 3966904, 4005193, 4025617, 4025627, 4025653, 4026945 и 4027020.
Более конкретно можно использовать полимеры, состоящие из повторяющихся звеньев, отвечающих следующей формуле (XII):

в которой R10, R11, R12 и R13, одинаковые или разные, обозначают алкил или гидроксиалкил, содержащие от 1 до 4 атомов углерода приблизительно, n и р представляют собой целые числа, изменяющиеся в интервале от 2 до 20 приблизительно и Х– обозначает анион неорганической или органической кислоты.
(11) Полимеры четвертичного полиаммония, состоящие из повторяющихся звеньев формулы (XIII):

в которой р обозначает целое число, изменяющееся в диапазоне от 1 до 6 приблизительно, D может быть нулем или может обозначать группу -(CH2)r-CO-, в которой r обозначает число, равное 4 или 7, Х– обозначает анион.
Такие полимеры могут быть получены согласно способам, описанным в патентах США 4157388, 4702906, 4719282. В частности, они описаны в европейской заявке на патент ЕР-А-122324.
Среди них можно назвать, например, продукты “MIRAPOL® A 15”, “MIRAPOL® AD1”, “MIRAPOL® AZ1” и “MIRAPOL® 175”, продаваемые фирмой Miranol.
(12) Четвертичные полимеры винилпирролидона и винилимидазола, такие, как, например, продукты, поставляемые в продажу под названиями “LUVIQUAT® FC 905, FC 550 и FC 370 фирмой BASF.
(13) Полиамины, такие как POLYQUART® H, продаваемый фирмой HENKEL, упоминаемый в словаре CTFA под названием “POLYETHYLENEGLYCOL (15) TALLOW POLYAMINE”.
(14) Сшитые полимеры солей метакрилоилокси(C1-C4)алкил(C1-C4)триалкиламмония, такие, как полимеры, полученные гомополимеризацией диметиламиноэтилметакрилата, кватернизованного метилхлоридом, или сополимеризацией акриламида с диметиламиноэтилметакрилатом, кватернизованным метилхлоридом, причем после гомополимеризации или сополимеризации следует сшивание при помощи этиленненасыщенного соединения, в частности, метилен-бис-акриламида. Более конкретно можно использовать сшитый сополимер акриламида и метакрилоилоксиэтилтриметиламмонийхлорида (20/80 по массам) в форме дисперсии, содержащей 50 мас.% вышеупомянутого сополимера в минеральном масле. Данная дисперсия поставляется в продажу под названием “SALCARE® SC 92” фирмой ALLIED COLLOIDS. Равным образом, можно использовать сшитый гомополимер метакрилоилоксиэтилтриметиламмонийхлорида, содержащий, приблизительно, 50% масс. гомополимера в минеральном масле или в жидком сложном эфире. Указанные дисперсии поставляются в продажу под названиями “SALCARE® SC 95” и “SALCARE® SC 96” фирмой ALLIED COLLOIDS.
Другими катионными полимерами, используемыми в объеме изобретения, являются полиалкиленимины, в частности, полиэтиленимины, полимеры, содержащие винилпиридиновые или винилпиридиниевые звенья, продукты конденсации полиаминов и эпихлоргидрина, четвертичные полиурилены и производные хитина.
Из всех катионных полимеров, которые могут быть использованы в объеме настоящего изобретения, предпочитают использовать полимеры семейств (1), (9), (10), (11), (12) и (14) и еще более предпочтительно полимеры с повторяющимися звеньями формул (W) и (U), следующих ниже:

и особенно те, молекулярная масса которых, определенная методом гель-проникающей хроматографии, находится в диапазоне от 9500 до 9900;

и особенно те, молекулярная масса которых, определенная методом гель-проникающей хроматографии, равна приблизительно 1200.
Концентрация катионного полимера в композиции согласно настоящему изобретению может изменяться от 0,01 до 10 мас.% по отношению к общей массе композиции предпочтительно от 0,05 до 5% и еще более предпочтительно от 0,1 до 3%.
Амфотерные полимеры
Амфотерные полимеры, используемые согласно настоящему изобретению, могут быть выбраны среди полимеров, содержащих звенья К и М, статистически распределенные в полимерной цепи, где К обозначает звено, происходящее из мономера, содержащего по меньшей мере один основный атом азота, и М обозначает звено, происходящее из кислотного мономера, содержащего одну или несколько карбоксильных групп или сульфогрупп, или К и М могут обозначать группы, происходящие из цвиттерионных карбоксибетаиновых или сульфобетаиновых мономеров;
К и М могут также обозначать катионную полимерную цепь, содержащую первичные, вторичные, третичные или четвертичные аминогруппы, в которой по меньшей мере одна из аминогрупп содержит карбоксильную группу или сульфогруппу, присоединенную посредством углеводородного радикала, или К и М составляют часть полимерной цепи с , -дикарбоксиэтиленовым звеном, одна из карбоксильных групп которого была введена в реакцию с полиамином, содержащим одну или несколько первичных или вторичных аминогрупп.
Наиболее предпочтительные амфотерные полимеры, отвечающие определению, данному выше, выбирают среди следующих полимеров.
(1) Полимеры, полученные сополимеризацией мономера винилового соединения, содержащего карбоксильную группу, такого как более конкретно акриловая кислота, метакриловая кислота, малеиновая кислота, альфа-хлоракриловая кислота, и основного мономера, происходящего из замещенного винилового соединения, содержащего по меньшей мере один основный атом, такого как более конкретно диалкиламиноалкилметакрилат и диалкиламиноалкилакрилат, диалкиламиноалкилметакриламид и диалкиламиноалкилакриламид. Такие соединения описаны в американском патенте 3836537. Можно также назвать сополимер акрилата натрия и акриламидопропилтриметиламмонийхлорида, продаваемый под названием POLYQUART® KE 3033 фирмой HENKEL.
Равным образом виниловым соединением может быть соль диалкилдиаллиламмония, такая как диметилдиаллиламмонийхлорид. Сополимеры акриловой кислоты и указанного последнего мономера предлагаются под названиями MERQUAT® 280, MERQUAT® 295 и MERQUAT® PLUS 3330 фирмой CALGON.
(2) Полимеры, содержащие звенья, происходящие из:
а) по меньшей мере одного мономера, выбираемого среди акриламидов или метакриламидов, замещенных у атома азота алкильным радикалом,
б) по меньшей мере одного кислотного сомономера, содержащего одну или несколько реакционноспособных карбоксильных групп, и
в) по меньшей мере одного основного сомономера, такого как сложные эфиры акриловой и метакриловой кислот, содержащие в качестве заместителей первичные, вторичные, третичные или четвертичные аминогруппы, и продукт кватернизации диметиламиноэтилметакрилата диметилсульфатом или диэтилсульфатом.
N-замещенными акриламидами или метакриламидами особенно предпочтительными согласно изобретению являются группы, алкильные радикалы которых содержат от 2 до 12 атомов углерода, и более конкретно N-этилакриламид, N-трет-бутилакриламид, N-трет-октилакриламид, N-октилакриламид, N-децилакриламид, N-додецилакриламид, а также соответствующие метакриламиды.
Кислотные сомономеры выбирают более конкретно среди акриловой, метакриловой, кротоновой, итаконовой, малеиновой, фумаровой кислот, а также сложных (С1-С4)алкиловых моноэфиров кислот или малеинового или фумарового ангидридов.
Предпочтительными основными сомономерами являются аминоэтилметакрилат, бутиламиноэтилметакрилат, N,N’-диметиламиноэтилметакрилат, N-трет-бутиламиноэтилметакрилат.
В частности, используют сополимеры, названием которых в словаре Ассоциации по парфюмерно-косметическим товарам и душистым веществам (CTFA)(4-е издание, 1991) является “Octylacrylamide/acrylates/butylaminoethylmethacrylate copolymer” (сополимер октилакриламида, акрилатов и бутиламиноэтилметакрилата), такие как продукты, продаваемые под названием AMPHOMER® или LOVOCRYL® 47 фирмой NATIONAL STARCH.
(3) Полиаминоамиды, частично или полностью сшитые и алкилированные, производные полиаминоамидов общей формулы:

в которой R19 обозначает двухвалентный радикал, происходящий из насыщенной дикарбоновой кислоты, алифатической моно- или дикарбоновой кислоты с этиленовой двойной связью, сложного эфира низшего алканола, содержащего от 1 до 6 атомов углерода, и этих кислот, или радикал, происходящий от присоединения любой из вышеупомянутых кислот к бис-первичному или бис-вторичному амину, и Z обозначает радикал бис-первичного, моно- или бис-вторичного полиалкиленполиамина и предпочтительно представляет собой:
а) при содержании от 60 до 100 мол.% радикал

где x=2 и p=2 или 3 или x=3 и p=2,
происходящий из диэтилентриамина, триэтилентетраамина или дипропилентриамина;
б) при содержании от 0 до 40 мол.% вышеупомянутый радикал (XV), в котором x=2 и p=1, который происходит из этилендиамина, или радикал, происходящий из пиперазина:

в) при содержании от 0 до 20 мол.% радикал -NH-(CH2)6-NH-, происходящий из гексаметилендиамина, причем указанные полиаминоамины сшиты путем добавления бифункционального сшивающего агента, выбираемого среди эпигалогенгидринов, диэпоксидов, диангидридов, бис-ненасыщенных производных, из расчета от 0,025 до 0,35 молей сшивающего агента на аминогруппу полиаминоамида, и алкилированы путем воздействия акриловой кислотой, хлоруксусной кислотой или алкансультоном или их солями.
Насыщенные карбоновые кислоты выбирают предпочтительно среди кислот, содержащих от 6 до 10 атомов углерода, таких как адипиновая, 2,2,4-триметиладипиновая и 2,4,4-триметиладипиновая кислоты, терефталевая кислота, кислоты с этиленовой двойной связью, как, например, акриловая, метакриловая, итаконовая кислоты.
Алкансультоны, используемые для алкилирования, представляют собой предпочтительно пропансультон или бутансультон, соли алкилирующих агентов являются предпочтительно натриевыми или калиевыми солями.
(4) Полимеры, содержащие цвиттерионные звенья формулы (XVI):

в которой R20 обозначает ненасыщенную полимеризующуюся группу, такую как акрилатная, метакрилатная, акриламидная или метакриламидная группа, y и z обозначают целое число от 1 до 3, R21 и R22 обозначают атом водорода, метил, этил или пропил, R23 и R24 обозначают атом водорода или алкильный радикал, так что сумма атомов углерода в R23 и R24 не превышает 10.
Полимеры, содержащие такие структурные единицы, могут также содержать звенья, происходящие из нецвиттерионных мономеров, таких как диметилакрилат или диметилметакрилат, или диэтиламиноэтилакрилат или диэтиламиноэтилметакрилат, или алкилакрилаты или алкилметакрилаты, акриламиды или метакриламиды, или винилацетат.
В качестве примера можно назвать сополимер метилметакрилат/ метил(диметилкарбоксиметиламмонио)этилметакрилат, такой, как продукт, продаваемый под названием DIAFORMER® Z301 фирмой SANDOZ.
(5) Полимеры на основе хитозана, содержащие мономерные звенья, отвечающие следующим формулам (XVII), (XVIII) и (XIX):

в которых звено (XVII) присутствует в количествах, составляющих от 0 до 30%, звено (XVIII) в количествах, составляющих от 5 до 50%, и звено (XIX) в количествах, составляющих от 30 до 90%, при условии, что в данном звене (XIX) R25 обозначает радикал формулы:

в которой q обозначает ноль или 1;
если q=0, R26, R27 и R28, одинаковые или разные, обозначают каждый атом водорода, метил, гидроксил, ацетоксигруппу или аминогруппу, радикал моноалкиламина или радикал диалкиламина, в известных случаях прерванный одним или несколькими атомами азота и/или в известных случаях, замещенный одной или несколькими аминогруппами, гидроксильными группами, карбоксильными группами, алкилтиогруппами или сульфогруппами, алкилтиорадикал, алкильная группа которого содержит аминогруппу, причем в этом случае по меньшей мере один из радикалов R26, R27 и R28 является атомом водорода;
или, если q=1, R26, R27 и R28 обозначают, каждый, атом водорода, а также соли, образованные упомянутыми соединениями с основаниями или кислотами.
(6) Полимеры, полученные в результате N-карбоксиалкилирования хитозана, такие как N-карбоксиметилхитозан или N-карбоксибутилхитозан, продаваемый под названием “EVALSAN®“ фирмой JAN DEKKER.
(7) Полимеры, отвечающие общей формуле (XХ), такие как полимеры, описанные, например, во французском патенте 1400366:

в которой R29 обозначает атом водорода, радикал СН3О, СН3СН2О, фенил; R30 обозначает водород или низший алкил, такой как метил, этил; R31 обозначает водород или низший алкил, такой как метил, этил; R32 обозначает низший алкил, такой как метил, этил, или радикал, отвечающий формуле: -R33-N(R31)2, в которой R33 обозначает группу -CH2-CH2-, -CH2-CH2-CH2-, -CH2-CH(CH3)-, при этом R31 принимает значения, указанные выше,
а также высшие гомологи указанных радикалов, содержащие до 6 атомов углерода,
r является таким, что молекулярная масса находится в интервале от 500 до 6000000, предпочтительно от 1000 до 1000000.
(8) Амфотерные полимеры типа -D-X-D-X-, выбираемые среди:
а) полимеров, полученных воздействием хлоруксусной кислоты или хлорацетата натрия на соединения, содержащие по меньшей мере одно звено формулы:

где D обозначает радикал

и Х обозначает символ Е или Е’, при этом Е или Е’, одинаковые или разные, обозначают двухвалентный радикал, который представляет собой алкиленовый радикал с прямой или разветвленной цепью, содержащий до 7 атомов углерода в основной цепи, незамещенный или замещенный гидроксильными группами, который может, кроме того, содержать атомы кислорода, азота, серы, от 1 до 3 ароматических или гетероароматических циклов; при этом атомы кислорода, азота и серы присутствуют в форме следующих групп: простой эфирной, тиоэфирной, сульфоксидной, сульфо, сульфониевой, алкиламино, алкениламино, гидроксильных, бензиламино, аминоксидной, четвертичной аммониевой, амидной, имидной, спиртовой, сложноэфирной и/или уретановой;
б) полимеров формулы:

где D обозначает радикал

и Х обозначает символ Е или Е’ и, по меньшей мере, один раз Е’; при этом Е имеет значение, указанное выше, и Е’ обозначает двухвалентный радикал, который представляет собой алкиленовый радикал с прямой или разветвленной цепью, содержащий до 7 атомов углерода в основной цепи, замещенный или незамещенный одной или несколькими гидроксильными группами и содержащий один или несколько атомов азота, которые замещены алкильной цепочкой, в известных случаях прерванной атомом кислорода и обязательно содержащей одну или несколько карбоксильных групп или одну или несколько гидроксильных групп, и бетаинизированы реакцией с хлоруксусной кислотой или хлорацетатом натрия.
(9) Сополимеры простого (C1-C5)алкилвинилового эфира и малеинового ангидрида, частично модифицированные реакцией полуамидирования с N,N-диалкиламиноалкиламином, таким как N,N-диметиламинопропиламин, или реакцией полуэтерификации с N,N-диалканоламином. Указанные сополимеры могут также содержать другие виниловые сомономеры, такие как винилкапролактам.
Согласно изобретению особенно предпочтительными амфотерными полимерами являются полимеры семейства (1).
Согласно изобретению амфотерный полимер или амфотерные полимеры могут составлять от 0,01 до 10 мас.%, предпочтительно от 0,05 до 5 мас.% и еще более предпочтительно от 0,1 до 3 мас.% от общей массы композиции.
Среда
Среда композиции, пригодная для окрашивания, представляет собой предпочтительно водную среду, образованную водой, и предпочтительно может содержать органические растворители, косметически приемлемые, более конкретно спирты или диолы, такие как этиловый спирт, изопропиловый спирт, гексиленгликоль (2-метил-2,4-пентандиол), неопентилгликоль, 3-метил-1,5-пентандиол, бензиловый спирт и фенилэтиловый спирт, или гликоли или простые эфиры гликолей, такие как, например, простой монометиловый, простой моноэтиловый и простой монобутиловый эфиры этиленгликоля, пропиленгликоль или его простые эфиры, такие как, например, простой монометиловый эфир пропиленгликоля, бутиленгликоль, дипропиленгликоль, а также простые алкиловые эфиры диэтиленгликоля, как например, простой моноэтиловый или простой монобутиловый эфиры диэтиленгликоля. В таком случае растворители могут присутствовать, каждый, в концентрациях, составляющих приблизительно от 0,5 до 20%, предпочтительно приблизительно от 2 до 10 мас.% по отношению к общей массе композиции.
Композиция согласно изобретению может также содержать другие поверхностно-активные вещества и более конкретно неионные оксиалкиленированные поверхностно-активные вещества, хорошо известные специалисту в рассматриваемой области. В качестве примеров можно назвать оксиалкиленированные алкилфенолы, имеющие цепь, содержащую, например, от 8 до 22 атомов углерода, при этом число этиленоксидных и/или пропиленоксидных групп может изменяться, в частности, от 1 до 50; оксиалкиленированные спирты, содержащие от 8 до 30 атомов углерода, линейные или разветвленные, насыщенные или ненасыщенные, при этом число этиленоксидных и/или пропиленоксидных групп может изменяться, в частности, от 1 до 50; полиоксиэтиленированные жирные амиды, содержащие от 2 до 30 молей этиленоксида; сложные эфиры жирных кислот и полиэтиленгликолей, полиоксиэтиленированные сложные эфиры жирных кислот и сорбита, содержащие от 2 до 30 молей этиленоксида; оксиэтиленированные растительные масла, насыщенные или ненасыщенные, продукты конденсации этиленоксида и/или пропиленоксида, одних или в смесях.
Более конкретно предпочитаемыми неионными оксиалкиленированными поверхностно-активными веществами являются спирты, содержащие от 8 до 22 атомов углерода и оксиэтиленированные 1-10 молями этиленоксида. Среди них можно назвать совершенно конкретно лауриловый спирт, содержащий 2 ОЭ группы, лауриловый спирт, содержащий 3 ОЭ группы, дециловый спирт, содержащий 3 ОЭ группы, и дециловый спирт, содержащий 5 ОЭ групп.
Другие добавки
Красящая композиция согласно изобретению может, кроме того, содержать эффективные количества других агентов, ранее известных в окислительном окрашивании, таких как многие обычные добавки, например, комплексообразователи, такие как ЭДТК и этидроновая кислота, УФ-фильтры, воски, кремнийсодержащие соединения, летучие или нелетучие, циклические или линейные или разветвленные, модифицированные или немодифицированные органическими группами (в частности, аминогруппами), консерванты, керамиды, псевдокерамиды, растительные, минеральные или синтетические масла, витамины или провитамины, как пантенол, замутнители, и т.д.
Вышеупомянутая композиция может также содержать восстановители или антиоксиданты. Они могут быть выбраны, в частности, среди сульфита натрия, тиогликолевой кислоты, тиомолочной кислоты, бисульфита натрия, дегидроаскорбиновой кислоты, гидрохинона, 2-метилгидрохинона, трет-бутилгидрохинона и гомогентизиновой кислоты, и в этом случае они обычно присутствуют в количествах, изменяющихся приблизительно от 0,05 до 3 мас.% по отношению к общей массе композиции.
Разумеется, специалист будет выбирать это или эти возможные дополнительные соединения, упомянутые выше, таким образом, чтобы полезные свойства, присущие готовой к применению композиции согласно изобретению не были бы или не были бы в значительной степени изменены предлагаемой добавкой или предлагаемыми добавками.
Окислитель
В окисляющей композиции окислительный агент выбирают предпочтительно среди перекиси водорода, перекиси мочевины, броматов или феррицианидов щелочных металлов, персолей, таких как пербораты и персульфаты. Использование перекиси водорода является особенно предпочтительным. Этот окислитель предпочтительно представляет собой раствор перекиси водорода, титр которого может изменяться, более конкретно приблизительно от 1 до 40 объемов и еще более предпочтительно приблизительно от 5 до 40 объемов.
Можно также использовать в качестве окислителя один или несколько окислительно-восстановительных ферментов, таких как лакказы, пероксидазы и двухэлектронные оксидоредуктазы (такие как уриказа), в случае необходимости, в присутствии их донора или соответствующего кофактора.
Значение рН композиции, готовой к применению и нанесенной на кератиновые волокна [композиция, образующаяся в результате смешивания красящей композиции и окисляющей композиции], обычно заключено между величинами 3 и 12, включая граничные значения. Предпочтительно оно заключено между 8,5 и 11, включая граничные значения, и может быть доведено до желаемой величины при помощи подкисляющих или подщелачивающих агентов, хорошо известных в уровне техники окраски кератиновых волокон.
Среди подщелачивающих агентов можно назвать в качестве примера гидроксид аммония, карбонаты щелочных металлов, алканоламины, такие как моно-, ди- и триэтаноламины, а также их производные, гидроксиалкиламины и оксиэтиленированные и/или оксипропиленированные этилендиамины, гидроксиды натрия или калия и соединения следующей формулы:

в которой R обозначает пропиленовый радикал, в известных случаях замещенный гидроксильной группой или (C1-C4)алкилом; R38, R39, R40 и R41, одинаковые или разные, обозначают атом водорода, (C1-C4)алкил или (C1-C4)гидроксиалкил.
Подкисляющие агенты представляют собой обычно в качестве примера неорганические или органические кислоты, такие как соляная кислота, ортофосфорная кислота, карбоновые кислоты, такие как винная кислота, лимонная кислота, молочная кислота или сульфоновые кислоты.
Способ окрашивания согласно изобретению заключается предпочтительно в том, что готовую к применению композицию, приготовляемую непосредственно перед применением из красящей и окисляющей композиций, описанных выше, наносят на сухие или влажные кератиновые волокна и выдерживают в течение переменного промежутка времени предпочтительно от 1 до 60 минут приблизительно и более предпочтительно от 10 до 45 минут, ополаскивают волокна, затем, в случае необходимости, моют их с шампунем, затем их вновь ополаскивают и сушат.
Конкретный пример, иллюстрирующий изобретение, который тем не менее не носит ограничительного характера, приведен ниже.
ПРИМЕР
Готовят следующую красящую композицию (см. таблицу).

В момент применения красящую композицию в течение 2 минут смешивают в пластмассовой чаше с окисляющей композицией, титр перекиси водорода в которой составляет 20 объемов из расчета 1 часть красящей композиции на 1,5 части окисляющей композиции.
Полученную смесь наносят на пряди волос с 90% седых волос и оставляют в покое на 30 минут.
Затем пряди ополаскивают водой, моют их с шампунем, вновь ополаскивают водой, затем сушат и расчесывают.
В таком случае получают коричнево-зеленый оттенок.
Формула изобретения
1. Композиция для окислительного окрашивания кератиновых волокон, в частности, кератиновых волокон человека и, более конкретно, волос, содержащая в среде, пригодной для окрашивания, по меньшей мере один окисляемый краситель, отличающаяся тем, что она дополнительно содержит по меньшей мере одно полиоксиалкиленовое производное оксикарбоновой кислоты или одной из ее солей и по меньшей мере одно производное кватернизованной целлюлозы, содержащее по меньшей мере одну жирную цепь (C8-С30).
2. Композиция по п.1, отличающаяся тем, что полиоксиалкиленовые производные оксикарбоновой кислоты и ее солей отвечают следующей формуле (I):

в которой R обозначает алкильный или алкенильный радикал или смесь алкильных или алкенильных радикалов, линейных или разветвленных, содержащих от 8 до 22 атомов углерода, (С8-С9)алкилфенил, радикал R CONH-CH2-CH2– с R , обозначающим алкильный или алкенильный радикал, линейный или разветвленный, содержащий от 11 до 21 атомов углерода;
n обозначает целое или десятичное число, изменяющееся в интервале от 2 до 24;
р обозначает целое или десятичное число, изменяющееся в интервале от 0 до 6;
А обозначает атом водорода, или Na, К, Li, 1/2Mg, или остаток моноэтаноламина, аммония или триэтаноламина.
3. Композиция по п.2, отличающаяся тем, что в формуле (I) R обозначает (С12) алкил, А обозначает атом водорода или натрия, р=0 и n изменяется от 2 до 10.
4. Композиция по любому из предыдущих пунктов, отличающаяся тем, что производные кватернизованной целлюлозы, содержащие по меньшей мере одну жирную цепочку (С8-С30), выбраны в группе, образованной целлюлозами и гидроксиэтилцеллюлозами, кватернизованными и модифицированными алкильными, или арилалкильными, или алкиларильными группами, содержащими от 8 до 30 атомов углерода, или их смесями.
5. Композиция по п.4, отличающаяся тем, что производные кватернизованной целлюлозы, содержащие по меньшей мере одну жирную цепочку, выбраны среди кватернизованных (С8-С30)алкил-гидроксиэтилцеллюлоз.
6. Композиция по п.5, отличающаяся тем, что производное кватернизованной целлюлозы, содержащее по меньшей мере одну жирную цепочку (С8-С30), представляет собой кватернизованную лаурилгидроксиэтилцеллюлозу.
7. Композиция по любому из предыдущих пунктов, отличающаяся тем, что оксиалкиленовые производные оксикарбоновой кислоты, или ее солей, составляют от 2 до 15 мас.%, предпочтительно от 3 до 10 мас.% от общей массы композиции.
8. Композиция по любому из предыдущих пунктов, отличающаяся тем, что производные кватернизованной целлюлозы, содержащие по меньшей мере одну жирную цепочку (С8-С30), составляют от 0,01 до 10 мас.%, предпочтительно от 0,1 до 5 мас.% от общей массы композиции.
9. Композиция по любому из предыдущих пунктов, отличающаяся тем, что окисляемый краситель выбран среди окисляемых оснований и краскообразующих веществ.
10. Композиция по п.9, отличающаяся тем, что она содержит по меньшей мере одно окисляемое основание.
11. Композиция по п.9 или 10, отличающаяся тем, что окисляемые основания выбраны среди орто- и пара-фенилендиаминов, двойных оснований, орто- и пара-аминофенолов и гетероциклических оснований, а также кислотно-аддитивных солей упомянутых соединений.
12. Композиция по п.11, отличающаяся тем, что пара-фенилендиамины выбраны среди соединений следующей формулы (III):

в которой R1 обозначает атом водорода, (C1-C4)алкил, моногидрокси (C1-C4)алкил, полигидрокси (C2-C4)алкил, (C1-C4)алкокси (C1-C4)алкил, (C1-C4)алкил, замещенный азотсодержащей группой, фенил или 4 -аминофенил;
R2 обозначает атом водорода, (C1-C4)алкил, моногидрокси (C1-C4)алкил или полигидрокси (C2-C4)алкил, (C1-C4)алкокси (C1-C4)алкил или (C1-C4)алкил, замещенный азотсодержащей группой;
R1 и R2 могут также образовывать с атомом азота, с которым они связаны, азотсодержащий гетероцикл, состоящий из 5 или 6 звеньев, в известных случаях, замещенный одной или несколькими алкильными, гидроксильными или уреидными группами;
R3 обозначает атом водорода, атом галогена, (C1-C4)алкил, сульфогруппу, карбоксильную группу, моногидрокси (C1-C4)алкильный радикал или гидрокси (C1-C4)алкоксильный радикал, ацетиламино (C1-C4)алкоксильный радикал, мезиламино (C1-C4)алкоксильный радикал или карбамоиламино (C1-C4)алкоксильный радикал;
R4 обозначает атом водорода, атом галогена или (C1-C4)алкил.
13. Композиция по п.11, отличающаяся тем, что двойные основания выбраны среди соединений следующей формулы (IV):

в которой Z1 и Z2, одинаковые или разные, обозначают гидроксильный радикал или группу -NH2, которые могут быть замещены (C1-C4)алькильным радикалом или связующей группой Y;
связующая группа Y обозначает алкиленовую цепочку, содержащую от 1 до 14 атомов углерода, линейную или разветвленную, которая может быть прервана или может заканчиваться одной или несколькими азотсодержащими группами и/или одним или несколькими гетероатомами, такими как атомы кислорода, серы или азота, и, в известных случаях, замещенную одним или несколькими гидроксильными или (C1-C6)алкоксильными радикалами;
R5 и R6 обозначают атом водорода или галогена, (C1-C4)алкил, моногидрокси (C1-C4)алкил, полигидрокси (C2-C4)алкил, (C1-C4)аминоалкил или связующую группу Y;
R7, R8, R9, R10, R11 и R12, одинаковые или разные, обозначают атом водорода, связующую группу Y или (C1-C4)алкил;
при условии, что соединения формулы (IV) содержат только одну связующую группу Y на молекулу.
14. Композиция по п.12 или 13, отличающаяся тем, что азотсодержащие группы выбраны среди следующих групп: амино, моно (C1-C4)алкиламино, ди (C1-C4)алкиламино, три (C1-C4)алкиламино, моногидрокси (C1-C4)алкиламино, имидазолиниевой и аммониевой.
15. Композиция по п.11, отличающаяся тем, что пара-аминофенолы выбраны среди соединений следующей формулы (V):

в которой R13 обозначает атом водорода, атом галогена, (C1-C4)алкил, моногидрокси (C1-C4)алкил, (C1-C4)алкокси (C1-C4)алкил, или (C1-C4)аминоалкил, или (C1-C4)гидроксиалкил (C1-C4)аминоалкил;
R14 обозначает атом водорода или атом галогена, (C1-C4)алкил, моногидрокси (C1-C4)алкил, полигидрокси (C2-C4)алкил, (C1-C4)аминоалкил, (C1-C4)цианоалкил или (C1-C4)алкокси (C1-C4)алкил.
16. Композиция по п.11, отличающаяся тем, что гетероциклические основания выбраны среди пиридиновых производных, пиримидиновых производных, в том числе пиразолопиримидиновых, и пиразольных производных.
17. Композиция по пп.9-16, отличающаяся тем, что окисляемые основания присутствуют в концентрациях, изменяющихся в интервале от 0,0005 до 12 мас.% и предпочтительно, от 0,005 до 8 мас.% по отношению к общей массе композиции.
18. Композиция по п.9, отличающаяся тем, что краскообразующие вещества выбраны среди м-фенилендиаминов, м-аминофенолов, м-дифенолов, гетероциклических краскообразующих веществ, и кислотно-аддитивных солей указанных соединений.
19. Композиция по п.9 или 18, отличающаяся тем, что краскообразующие вещества присутствуют в концентрациях, изменяющихся в интервале от 0,0001 до 10 мас.% и предпочтительно от 0,005 до 5 мас.% по отношению к общей массе композиции.
20. Композиция по п.11 или 18, отличающаяся тем, что кислотно-аддитивные соли окисляемых оснований и краскообразующих веществ выбраны среди хлоргидратов, бромгидратов, сульфатов, тартратов, лактатов и ацетатов.
21. Композиция по любому из предыдущих пунктов, отличающаяся тем, что она содержит дополнительно прямые красители.
22. Композиция по любому из предыдущих пунктов, отличающаяся тем, что она содержит дополнительно по меньшей мере один восстановитель в количествах, изменяющихся в интервале от 0,05 до 3 мас.% по отношению к общей массе композиции.
23. Композиция по любому из предыдущих пунктов, отличающаяся тем, что она содержит по меньшей мере одно неионное оксиалкиленированное, или моно- или полиглицеринзамещенное поверхностно-активное вещество в количестве, изменяющемся в интервале от 2 до 40% по отношению к общей массе композиции.
24. Композиция по любому из предыдущих пунктов, отличающаяся тем, что она содержит по меньшей мере один ненасыщенный жирный спирт в количестве, изменяющемся в интервале от 0,5 до 15% по отношению к общей массе красящей композиции.
25. Композиция по любому из предыдущих пунктов, отличающаяся тем, что она содержит по меньшей мере один катионный или амфотерный полимер в количестве, изменяющемся в интервале от 0,01 до 10% от общей массы композиции.
26. Композиция, готовая к применению, для окислительного окрашивания кератиновых волокон, в частности, кератиновых волокон человека, таких как волосы, отличающаяся тем, что она получена смешиванием красящей композиции, такой как определенная в любом из пп.1-25, и окисляющей композиции, содержащей по меньшей мере один окисляющий агент.
27. Композиция по п.26, отличающаяся тем, что окисляющий агент выбирают среди перекиси водорода, перекиси мочевины, броматов или феррицианидов щелочных металлов, персолей, окислительно-восстановительных ферментов, таких как лакказы, пероксидазы и двухэлектронные оксидоредуктазы, в случае необходимости, в присутствии их донора или соответствующего кофактора.
28. Композиция по п.27, отличающаяся тем, что окисляющим агентом является перекись водорода.
29. Композиция по п.28, отличающаяся тем, что окисляющим агентом является раствор перекиси водорода, титр которого изменяется от 1 до 40 объемов.
30. Композиция по любому из предыдущих пунктов, отличающаяся тем, что она имеет рН в интервале от 3 до 12.
31. Композиция по любому из пп.26-30, отличающаяся тем, что оксиалкиленовые производные оксикарбоновой кислоты или ее солей составляют от 0,5 до 15 мас.%, предпочтительно от 0,7 до 10% от общей массы композиции.
32. Композиция по любому из пп.26-30, отличающаяся тем, что производные кватернизованной целлюлозы с жирной цепью составляют от 0,0025 до 10 мас.% предпочтительно от 0,025 до 10% от общей массы композиции.
33. Способ окислительного окрашивания кератиновых волокон, в частности, волос, отличающийся тем, что на волокна наносят по меньшей мере одну красящую композицию, содержащую в среде, пригодной для окрашивания, по меньшей мере один окисляемый краситель, при этом окраска проявляется при щелочном, нейтральном или кислом рН при помощи окисляющей композиции, содержащей в среде, пригодной для окрашивания, по меньшей мере один окисляющий агент, которую смешивают с красящей композицией непосредственно перед применением, или которую наносят последовательно, без промежуточного ополаскивания, причем красящая композиция и окисляющая композиция содержат дополнительно по меньшей мере одно полиоксиалкиленовое производное оксикарбоновой кислоты или одной из ее солей и по меньшей мере одно производное кватернизованной целлюлозы, содержащее по меньшей мере одну жирную цепь (C8-С30), которые произвольно распределены между двумя композициями.
34. Способ окрашивания кератиновых волокон, в частности, волос, отличающийся тем, что на волокна наносят по меньшей мере одну красящую композицию, содержащую в среде, пригодной для окрашивания, по меньшей мере один окисляемый краситель, при этом окраска проявляется при щелочном, нейтральном или кислом рН при помощи окисляющей композиции, содержащей в среде, пригодной для окрашивания, по меньшей мере один окисляющий агент, которую смешивают с красящей композицией непосредственно перед применением, или которую наносят последовательно, без промежуточного ополаскивания, причем красящая композиция или окисляющая композиция содержат дополнительно по меньшей мере одно полиоксиалкиленовое производное оксикарбоновой кислоты или одной из ее солей и по меньшей мере одно производное кватернизованной целлюлозы, содержащее по меньшей мере одну жирную цепь (C8-С30), которые находятся в одной и той же композиции.
35. Способ по п.34, отличающийся тем, что он заключается в том, что на сухие или влажные кератиновые волокна наносят готовую к применению композицию, приготовляемую непосредственно перед применением, исходя из красящей и окисляющей композиций, и выдерживают в течение промежутка времени в интервале от 1 до 60 мин приблизительно и предпочтительно от 10 до 45 мин, ополаскивают волокна, затем, в случае необходимости, моют их с шампунем, затем их вновь ополаскивают и сушат.
36. Набор для окислительного окрашивания кератиновых волокон, в частности, волос, отличающийся тем, что одно отделение содержит красящую композицию, содержащую в среде, пригодной для окрашивания, по меньшей мере один окисляемый краситель, а другое отделение содержит окисляющую композицию, содержащую в среде, пригодной для окрашивания, по меньшей мере один окисляющий агент, причем красящая композиция и окисляющая композиция содержат дополнительно по меньшей мере одно полиоксиалкиленовое производное оксикарбоновой кислоты или одной из ее солей и по меньшей мере одно производное кватернизованной целлюлозы, содержащее по меньшей мере одну жирную цепь (C8-С30), которые произвольно распределены между двумя композициями.
37. Набор для окислительного окрашивания кератиновых волокон, в частности, волос, отличающийся тем, что одно отделение содержит красящую композицию, содержащую в среде, пригодной для окрашивания, по меньшей мере один окисляемый краситель, а другое отделение содержит окисляющую композицию, содержащую в среде, пригодной для окрашивания, по меньшей мере один окисляющий агент, причем красящая композиция или окисляющая композиция содержат дополнительно по меньшей мере одно полиоксиалкиленовое производное оксикарбоновой кислоты или одной из ее солей и по меньшей мере одно производное кватернизованной целлюлозы, содержащее по меньшей мере одну жирную цепь (C8-С30), которые находятся в одной и той же композиции.
MM4A – Досрочное прекращение действия патента СССР или патента Российской Федерации на изобретение из-за неуплаты в установленный срок пошлины за поддержание патента в силе
Дата прекращения действия патента: 21.12.2008
Извещение опубликовано: 20.07.2010 БИ: 20/2010
|
|