Патент на изобретение №2152402
|
||||||||||||||||||||||||||
(54) СПОСОБ ПОЛУЧЕНИЯ АЗОМЕТИНОВЫХ ПРОИЗВОДНЫХ ЦЕЛЛЮЛОЗЫ
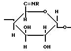
(57) Реферат: Изобретение относится к области синтеза производных целлюлозы. Описывается способ получения азометиновых производных целлюлозы, включающий конденсацию альдегидных групп, полученной озонированием, микрокристаллической целлюлозы, с модифицирующим целлюлозу аминосоединением при 97-100°С, при соотношении 1-2 моля аминосоединения на 1 моль альдегидных групп целлюлозы в течение 2-3 ч до степени замещения от 5,8 до 9,3 и получении азометинового производного со следующей формулой замещенного звена: ![]() где R – остаток аминосоединения, выбранного из группы, включающей 5-амино-1,2,4-триазол, 4-амино-1,2,4-триазол, -аминоянтарную кислоту, -аминопиридин, аминобензол. Технический результат состоит в упрощении и удешевлении технологии получения азометиновых производных целлюлозы. 1 табл.
Изобретение относится к способам получения производных целлюлозы, а именно азотсодержащих производных целлюлозы. Эти соединения находят применение в качестве биологически активных соединений (Роговин З.А., Гальбрайх Л. С. Химические превращения и модификация целлюлозы. – М.: Химия, 1979 г., 206 с.). Основным недостатком способа является использование в качестве основного реагента ДАЦ, синтез которой требует использования периодата натрия – дорогого и токсичного соединения. Задачей настоящего изобретения является разработка способа, который позволит упростить и удешевить технологию получения азометиновых производных целлюлозы, сократить длительность процесса. Использование озонированной микрокристаллической целлюлозы (МКЦ), которая содержит альдегидные группы в количестве до 6 ммоль/г, а также оптимальные технологические параметры: время реакции – 2-3 часа, соотношение исходных реагентов – 1 моль аминосоединения на моль альдегидных групп целлюлозы, позволяют получить технический результат, находящийся в причинно-следственной связи с существенными признаками изобретения. Существенными признаками изобретения являются: обработка полученной озонированием микрокристаллической целлюлозы, конденсация при соотношении 1-2 моля аминосоединения на 1 моль альдегидных групп целлюлозы в течение 2-3 часов до степени замещения от 5,8 до 9,3 и получения азометинового производного со следующей формулой замещенного звена: ![]() где R – остаток аминосоединения, выбранного из группы, включающей 5-амино-1,2,4-триазол, 4-амино-1,2,4-триазол, – аминоянтарную кислоту, – аминопиридин, аминобензол.
Озонирование проводили при 20-22oC в термостатированном реакторе барботажного типа объемом 200 см3. В реактор загружали 150 см3 дистиллированной воды, 2 г сульфатной беленой целлюлозы из смеси лиственных пород по ГОСТ 28172-89Е. Озон-кислородную смесь подавали со скоростью 3-4 дм3/ч.
Азометиновые производные целлюлозы получали следующим образом.
В раствор аминосоединений при нагревании до 97-100oC прибавляли порошкообразный препарат МКЦ, полученной озонированием беленой лиственной целлюлозы (с содержанием альдегидных групп 6,1 ммоль/г или 9,84 альдегидные группы на 100 глюкопиранозных звеньев) из расчета 1 моль альдегидных групп на 1 моль аминов. Содержание альдегидных групп в исходной МКЦ и конечном продукте определяли титрованием (А.В. Оболенская, В.П. Щеголев, Г.Л. Аким, Э.Л. Аким, Н. Л. Коссович, И.З. Емельянов. Практические работы по химии древесины и целлюлозы. Под ред. В.М. Никитина. М., Лесн. пром., 1965. – 411 с.).
Идентификацию структуры конечных продуктов и степени замещения (СЗ) проводили на основании данных ИК-спектроскопии, элементного анализа и сопоставления количеств исходных и оставшихся после реакции альдегидных групп.
Пример 1В трехгорлой круглодонной колбе, снабженной термометром, механической мешалкой и обратным холодильником, растворяли в расчетном количестве воды при температуре 60-70oC навеску 5-амино-1,2,4-триазола. Раствор нагревали до 97-100oC и прибавляли к нему порошкообразный препарат МКЦ, из расчета 1, 2 и 3 моля альдегидных (CHO-)групп целлюлозы на 1 моль 5-амино-1,2,4-триазола. Колбу помещали в кипящую водяную баню и проводили выдержку реакционной массы при интенсивном перемешивании в течение 3 и 5 ч. По окончании выдержки образовавшийся продукт отфильтровывали через матерчатый фильтр на воронке Бюхнера от горячего раствора, не вступившего во взаимодействие с МКЦ 5-амино- 1,2,4-триазола, и многократно промывали в стакане при перемешивании теплой (50-60oC) водой до отсутствия в ней следов 5-амино-1,2,4-триазола. Полученный продукт сушили при температуре 102-104oC до постоянного веса и анализировали. Конкретные условия получения ряда порошкообразных образцов азометиновых производных целлюлозы даны в таблице. Пример 2 В трехгорлой круглодонной колбе, снабженной термометром, механической мешалкой и обратным холодильником, растворяли в расчетном количестве воды при температуре 60-70oC навеску 4-амино-1,2,4-триазола. Раствор нагревали до 97-100oC и прибавляли к нему порошкообразный препарат МКЦ, из расчета 1, 2 и 3 моля альдегидных (CHO-) групп целлюлозы на 1 моль 4-амино-1,2,4- триазола. Колбу помещали в кипящую водяную баню и проводили выдержку реакционной массы при интенсивном перемешивании в течение 3 и 5 ч. По окончании выдержки образовавшийся продукт отфильтровывали через матерчатый фильтр на воронке Бюхнера от горячего раствора, не вступившего во взаимодействие с МКЦ 4-амино-1,2,4-триазола, и многократно промывали в стакане при перемешивании теплой (50-60oC) водой до отсутствия в ней следов 4-амино-1,2,4-триазола. Полученный продукт сушили при температуре 102-104oC до постоянного веса и анализировали. Пример 3 В трехгорлой круглодонной колбе, снабженной термометром, механической мешалкой и обратным холодильником, растворяли в расчетном количестве воды при температуре 85-95oC навеску -аминоянтарной кислоты.
Раствор нагревали до 97-100oC и прибавляли к нему порошкообразный препарат МКЦ, из расчета 1, 2 и 3 моля альдегидных (CHO-) групп целлюлозы на 1 моль аминокислоты.
Колбу помещали в кипящую водяную баню и проводили выдержку реакционной массы при интенсивном перемешивании в течение 3 и 5 ч. По окончании выдержки образовавшийся продукт отфильтровывали через матерчатый фильтр на воронке Бюхнера от горячего раствора, не вступившей во взаимодействие с МКЦ аминокислоты, и многократно промывали в стакане при перемешивании горячей (70-80oC) водой до отсутствия в ней следов – аминоянтарной кислоты. Полученный продукт сушили при температуре 102-104oC до постоянного веса и анализировали.
Пример 4В трехгорлой круглодонной колбе, снабженной термометром, механической мешалкой и обратным холодильником, растворяли в расчетном количестве воды при температуре 60-70oC навеску -аминопиридина.
Раствор нагревали до 97-100oC и прибавляли к нему порошкообразный препарат МКЦ, из расчета 1, 2 и 3 моля альдегидных (CHO-) групп целлюлозы на 1 моль -аминопиридина.
Колбу помещали в кипящую водяную баню и проводили выдержку реакционной массы при интенсивном перемешивании в течение 3 и 5 ч. По окончании выдержки образовавшийся продукт отфильтровывали через матерчатый фильтр на воронке Бюхнера от горячего раствора, не вступившего во взаимодействие с МКЦ -аминопиридина, и многократно промывали в стакане при перемешивании горячей (60-70oC) водой до отсутствия в ней следов -аминопиридина. Полученный продукт сушили при температуре 102-104oC до постоянного веса и анализировали.
Пример 5В трехгорлой круглодонной колбе, снабженной термометром, механической мешалкой и обратным холодильником, растворяли в расчетном количестве воды при температуре 50-60oC навеску аминобензола (анилина). Раствор нагревали до 97-100oC и прибавляли к нему порошкообразный препарат МКЦ, из расчета 1, 2 и 3 моля альдегидных (CHO-) групп целлюлозы на 1 моль аминобензола. Колбу помещали в кипящую водяную баню и реакционную массу интенсивно перемешивали в течение 3 и 5 ч. После этого образовавшийся продукт отфильтровывали через матерчатый фильтр на воронке Бюхнера от горячего раствора аминобензола (анилина), не вступившего во взаимодействие с МКЦ, и многократно промывали в стакане при перемешивании горячим (60-70oC) бензолом до отсутствия в нем аминобензола (анилина). Полученный продукт сушили при температуре 102-104oC до постоянного веса и анализировали. Условия получения и свойства азометинов представлены в таблице. Как следует из представленных данных применение МКЦ, полученной с использованием озонирования, позволяет получить азометиновые производные целлюлозы без применения токсичных и дорогих реактивов – периодатов. Формула изобретения
![]() где R – остаток аминосоединения, выбранного из группы, включающей 5-амино-1,2,4-триазол, 4-амино-1,2,4-триазол, -аминоянтарную кислоту, -аминопиридин, аминобензол.
РИСУНКИ
MM4A Досрочное прекращение действия патента Российской Федерации на изобретение из-за неуплаты в установленный срок пошлины за поддержание патента в силе
Дата прекращения действия патента: 31.10.1999
Номер и год публикации бюллетеня: 6-2002
Извещение опубликовано: 27.02.2002
|
||||||||||||||||||||||||||


-аминоянтарную кислоту, 
