|
(21), (22) Заявка: 2003120737/28, 10.07.2003
(24) Дата начала отсчета срока действия патента:
10.07.2003
(45) Опубликовано: 27.11.2004
(56) Список документов, цитированных в отчете о поиске:
RU 2161864 C1, 10.01.2001. БАЗЕЛЯН Э.М. и др. Успехи физических наук, 2000, т.170, № 7, с.753-769. US 3719829 A, 06.03.1973. US 5952600 A, 14.09.1999.
Адрес для переписки:
249030, Калужская обл., г. Обнинск, ул. Белкинская, 41, кв.41, О.А. Трыкову
|
(72) Автор(ы):
Трыков О.А. (RU), Корхалева Т.С. (RU), Леонова О.О. (RU), Соловьев Н.А. (RU), Хачатурова Н.Г. (RU)
(73) Патентообладатель(и):
Трыков Олег Алексеевич (RU), Корхалева Татьяна Семеновна (RU), Леонова Оксана Олеговна (RU), Соловьев Николай Алексеевич (RU), Хачатурова Нелля Гарниковна (RU)
|
(54) СПОСОБ БЕСПРОВОЛОЧНОЙ ПЕРЕДАЧИ ЭЛЕКТРИЧЕСКОЙ ЭНЕРГИИ И УСТРОЙСТВО ДЛЯ ЕГО ОСУЩЕСТВЛЕНИЯ
(57) Реферат:
Изобретение относится к беспроволочной передачи электрической энергии в атмосфере (воздухе) на большие расстояния на основе инициирования электрических разрядов с помощью лазерного излучения, в котором для формирования плазменного канала вместо использования длиннофокусных оптических систем формируют относительно короткофокусную оптическую систему совместным многократно повторяющимся силовым воздействием на окружающую атмосферу интенсивным лазерным излучением и передаваемым зарядом электронов, предварительно ускоренных до релятивистских или близких к ним энергий. Устройство содержит систему, ускоряющую до релятивистских или близких к ним энергий электроны, заряд которых подлежит передаче, множество идентичных безлинзовых относительно короткофокусных оптических объективов, воссоздаваемых последовательно по всей длине траектории перемещения электрического заряда периодически повторяющимся совместным силовым воздействием на газовую среду (атмосферу) лазерных импульсов источника лазерного излучения и электрического заряда из ускоренных электронов. Величина интенсивности источника лазерного излучения выбрана такой, чтобы обеспечить самофокусирование лазерного импульса. Величина напряженности электрического поля в околозарядовой области выбрана такой, чтобы обеспечить лидерный механизм перемещения заряда и его энергии, а величина задержки между очередньми импульсами лазерного излучения выбрана такой, чтобы обеспечить идентичность воссоздания короткофокусного безлинзового объектива по всей длине траектории перемещения заряда. Устройство может содержать систему кумуляции первоначальных релятивистских электронов в сгусток электронов в некоторой ограниченной области, создавая условия для электрического пробоя в атмосфере и для перемещения в атмосфере электрического заряда лидерным механизмом. Обеспечены упрощение устройства и увеличение расстояния передачи энергии. 2 н. и 2 з.п. ф-лы, 4 ил.

Изобретение относится к беспроволочной передаче электрической энергии с помощью электрического заряда.
Широко известен способ переноса электрического заряда и его энергии с помощью электрического разряда, возникающего под воздействием напряженности электрического поля между источником заряда и его приемником (дуговой разряд) [1]. Обстоятельствами, ограничивающими применение этого способа при передаче электрического заряда, являются: ограничения в расстояниях, на которых происходит электрический пробой с образованием электропроводящего канала; ограничения по мощности передаваемого заряда, т.к. при таком способе передачи заряда источник и приемник заряда оказываются, практически, под одинаковым энергетическим воздействием. Широко известно и изучено воздействие лазерного излучения на газовую среду. Известен способ, в котором передача электрического разряда осуществляется по предварительно созданному лазерным излучением токопроводящему плазменному каналу [2, стр. 135-136]. С помощью лазерного излучения можно не только инициировать электрический пробой, но и влиять на развитие разряда и его ориентацию в разрядном промежутке.
Известно, что при слабой фокусировке гигантского лазерного импульса длиннофокусной линзой в каустике возникает протяженный оптический пробой, названный длинной лазерной искрой (ДЛИ), вдоль которой и направлен электрический пробой. Недостатком такого способа переноса заряда и его энергии, а также устройства, реализующего этот способ [2, стр. 137-138], является необходимость использования сложной длиннофокусной линзовой системы и незначительные расстояния, на которые может быть перенесена энергия заряда.
Заявляемый способ и реализующее его устройство лишены этих недостатков.
Способ реализует лидерно-стриммерный механизм электрического разряда, который всегда осуществляется при высоких напряженностях внешнего электрического поля [3, стр. 755].
Заявляется способ беспроволочной передачи электрической энергии, включающий создание электрического разряда заданной траектории с помощью лазерного излучения, отличающийся тем, что первоначально электроны передаваемого заряда до воздействия на них внешнего электрического разрядного поля ускоряют до релятивистских или близких к ним энергий, по мере продвижения по траектории волны электронного пучка, выполняющего роль лидера, в фокальную область лазерного пучка Vф вслед лидеру направляют лазерный импульс большой интенсивности, причем временную задержку очередного лазерного импульса относительно предыдущего выбирают такой, чтобы процессы формирования плазмы с заданной степенью ионизации, инициированные в фокальной области Vф предыдущим лазерным импульсом, были близки к завершению, и чтобы последующий импульсный пучок лазерного излучения успел бы догнать лазерный заряд сгустка электронов, проходящих через фокальную область Vф, до завершения полевого и геометрического формирования головки лидерного заряда, и тем самым обеспечивают повторение процессов взаимодействия лазерного импульса с околосгустовским (околозарядовым) пространством (т.е. внешней области относительно образующегося чехла лидера), приводящих к нелинейной рефракции обгоняющего лазерного излучения и, в конечном счете, его самофокусированию и созданию оптического пробоя на некотором расстоянии R от переднего фронта лидера в аналогичном предыдущему фокальном объеме Vф, посылают новый очередной лазерный импульс с временной задержкой, аналогичной предыдущей, и вызывают повторение процесса, приводящего к оптическому пробою среды на таком же расстоянии R от переднего фронта лидера, тем самым обеспечивают многократно повторяющееся совместное силовое воздействие на атмосферу лазерного излучения и перемещающегося через область оптического пробоя Vф по траектории оптического и электрического пробоев сгустка релятивистских или близких к ним электронов, что позволяет передавать его заряд и энергию заряда на расстояния, имеющие практические значения.
Для осуществления способа беспроволочной передачи электрической энергии заявляется устройство, содержащее источник лазерного излучения, систему его фокусирования для осуществления оптического пробоя и создания канала электрического разряда вдоль оптического пробоя, отличающееся тем, что в устройство введена система, ускоряющая до релятивистских или близких к ним энергий электроны, заряд и энергия которых подлежит передаче, взамен длиннофокусного линзового оптического объектива (длиннофокусной линзовой оптической системы) использовано множество идентичных безлинзовых относительно короткофокусных оптических объективов (безлинзовых короткофокусных оптических систем), воссоздаваемых последовательно по всей длине траектории перемещения электрического заряда периодически повторяющимся совместным силовым воздействием на атмосферу лазерных импульсов источника лазерного излучения и электрического заряда из ускоренных электронов, причем величина интенсивности источника лазерного излучения выбрана такой, чтобы обеспечить самофокусирование лазерного импульса, величина напряженности электрического поля в околозарядовой области выбрана такой, чтобы обеспечить лидерный механизм перемещения заряда и его энергии, а величина задержки между очередными импульсами лазерного излучения выбрана такой, чтобы обеспечить идентичность воссоздаваемого короткофокусного безлинзового объектива по всей длине траектории перемещения заряда.
Устройство может содержать блок кумуляции электронов, первоначально ускоренных в сгусток электронов в ограниченном объеме, для создания первоначального заряда с лидерными свойствами и может быть в виде, например, кольцевого вакуумного электроновода.
Поскольку электроны ускорены до релятивистских, они перемещаются почти со скоростью лазерного излучения и эффективная длина взаимодействия лазерного излучения с околосгустовским (околозарядовым) пространством становится значительно большей для создания большей оптической рефракционной неоднородности и, следовательно, к контролируемой реализации условий, обеспечивающих фокусирование лазерного излучения с помощью изменения свойств атмосферы (газовой среды) в околозарядовом пространстве. Это позволяет осуществлять безлинзовое фокусирование лазерного излучения перед передним фронтом лидерного заряда из релятивистских электронов вблизи головки лидера с последующим оптическим пробоем в фокальной области (области фокуса) Vф и электрическим пробоем между головкой лидера и электропроводящей областью оптического Vф пробоя, причем, оптический пробой перед передним фронтом лидера осуществляется импульсом лазерного излучения, имеющим энергию на несколько десятичных порядков меньше энергии лазерного излучения, используемого при длинной лазерной искре (ДЛИ), а использование заряда из релятивистских электронов обеспечивает минимальные энергетические потери при передаче (перемещении) заряда в область оптического пробоя Vф из-за кратковременности процесса передачи и, как следствие, к практическому отсутствию термодинамического обмена энергией с окружающей атмосферой (газовой средой) и из-за специфических эффектов, сопровождающих передачу тока в электропроводящем плазменном канале (после электрического пробоя) электронами, имеющими релятивистские скорости. Сопровождая перемещающийся в пространстве заряд, повторно посылаемыми вслед заряду и догоняющими этот заряд импульсами лазерного излучения, аналогичных предыдущим, обеспечивают перемещение заряда на расстояния, превышающие ДЛИ на несколько десятичных порядков при существенно меньших (на несколько десятичных порядков) потерях.
Осуществление способа и работа устройства поясняются следующими чертежами:
Фиг.1 – схематическое изображение кумулятивного вакуумного электроновода, где 1 – корпус электроновода; 2 – выходная мембрана электроновода; 3 – наружный вакуумный объем электроновода; Y – область скумулированного сгустка (импульса) электронов, L – его геометрические размеры; d – диаметр лазерного луча.
Фиг.2 – траектория лазерного луча в среде с нелинейной поляризацией.
Фиг.3 – траектория лазерного луча в среде по заявленному способу, где lэфф – эффективная длина траектории лазерного импульса, на которой лазерное излучение взаимодействует с околозарядовым (околосгустовским) пространством; R – расстояние между передним фронтом головки лидера и местом оптического пробоя; y0=a – радиус лазерного луча.
Фиг.4 – Схема электрического пробоя между головкой лидера S и электропроводящей областью фокального объема Vф.
Описание примера осуществления способа и работы устройства
Для удобства изложения описания изобретения рассмотрим сначала работу заявляемого устройства. Импульсные пучки, ускоренные до релятивистских энергий ускорительной системой электронов, транспортируются в наружном вакуумном объеме 3 кольцевого электроновода (см. Фиг.1) на выходную мембрану 2. С помощью специальной магнитоэлектронной оптики количество – импульсных e–-пучков кумулируются в сгусток (импульс) электронов в области “Y” на расстоянии l от выхода мембраны 2. Импульсный пучок электромагнитного лазерного излучения проходит через негерметичную центральную часть электроновода вдоль его оси. Благодаря малой разности в скоростях перемещения лазерного импульса и ускоренных электронов, эффективная длина взаимодействия lэфф лазерного излучения с околосгустовским (околозарядовым) пространством оказывается достаточной для создания оптической рефракционной неоднородности, достаточной для фокусирования лазерного излучения перед передним фронтом лидерного заряда вблизи головки лидера с последующим оптическим пробоем в фокальной области Vф и электрическим пробоем между головкой лидера и электропроводящей областью Vф оптического пробоя. С приходом каждого нового лазерного импульса процесс повторяется по мере перемещения заряда по траектории лазерного импульса. Следует отметить, что в общем случае использование кумулятивного блока в устройстве реализации заявляемого способа передачи электрической энергии необязательно, поскольку при больших напряженностях внешнего электрического поля формирование лидера будет обеспечено автоматически [3].
На основании литературных источников и некоторых данных экспериментов, проведенных авторами изобретения, в процессе описания примера осуществления способа произведем оценочные расчеты для расстояния, на которое передается электрическая энергия, и КПД передачи.
Рассмотрим импульсный пучок заметно релятивистских электронов с энергией Примем:
– 
– длительность импульса пучка электронов 
– диаметр пучка электронов радиус – (на выходе источника электронов в области кумуляции).
Зададимся энергией электронного сгустка “Y”. Примем энергию электронов в сгустке равной WY=2· 104 Дж. Оценим электрические параметры сгустка электронов (импульса электронов) исходя из следующих начальных условий:
– область переднего фронта образовавшегося сгустка электронов “Y” будем рассматривать как головку только что образовавшегося лидера [3];
– при наличии соответствующего внешнего электрического поля Е образовавшийся сгусток электронов “Y” способен распространяться в пространстве лидерным механизмом [3];
– начальная электрическая энергия сгустка электронов (заряда сгустка электронов) WQ равна кинетической энергии импульса пучка электронов WY, что можно осуществить соответствующей интенсивностью и геометрией (геометрическими размерами) сгустка пучка электронов.
Таким образом

где С – емкость проводящего канала (или “стержня”), имеющего геометрические размеры образовавшегося электронного сгустка “Y”; U – потенциал сгустка, определяемый емкостью С и энергией WQ=WY; Q – заряд электронов сгустка.
Определим емкость проводящего стержня (канала длиной L и радиусом [3])

В соответствии с (1) определим потенциал сгустка

И в соответствии же с (1) определим заряд сгустка “Y” (Y L)

Энергетические потери электронов с энергией в воздухе на длине L=1 см составят [4]. При средней энергии возбуждения молекул атмосферного воздуха J 5-10 эВ [3, 5, 6, стр.157] число возбужденных молекул n* в объеме (при условии, что средняя энергия -электронов, рассеянных в объем V0, находится в диапазоне 200-300 кэВ [7]) составит

Фактор “0,5” в соотношении (5) характеризует долю электронов, рассеянных в область околосгустовского (околозарядового) пространства V0 [8].
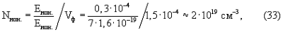
Таким образом, в единичном объеме области V0 можно ожидать концентрацию возбужденных молекул

Такая концентрация возбужденных молекул является достаточной для возникновения заметно отличных от нуля нелинейных восприимчивостей молекул воздуха при поляризации воздушной среды внешним электрическим (электромагнитным) полем [9-11].
Вдоль оси центрального канала кольцевого электроновода (диаметр канала dэ, фиг.1) вслед за сгустком электронного импульса “Y” направим импульс лазерного луча в направлении стрелки Z. Диаметр лазерного луча выбираем из условия Примем d =3 см. Длительность лазерного луча выберем порядка времени пролета расстояния l=(d /2) электронами, вылетающими из электронного сгустка при рассеянии электронов пучка (сгустка) на молекулах (атомах) атмосферы (воздуха). Учитывая, что средняя энергия электронов ( -электронов), рассеиваемых в объем v0, имеющем диаметр d=d , находится в диапазоне 200-300 кэВ [7], находим 50· 10-12 с=50 пс. Интенсивность лазерного луча выбираем из условия оптического пробоя атмосферы (воздуха) при фокусировании лазерного луча в фокальное пятно диаметром dф=10-2 см. Это характерный диаметр фокальной области [12, 13]. Используя критерий пробоя из [10] где N – число атомов газа в единице объема; Е – напряженность электрического поля лазерного излучения, найдем

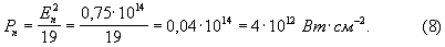
Определим удельную мощность лазерного излучения в области пробоя [10]

Удельная мощность лазерного излучения в месте падения на электронный сгусток Y (до момента падения) составит

что в соответствии с соотношением (8) дает

Оптический коэффициент преломления среды “n” (в общем случае n( ), где – частота электромагнитного поля, в которую помещена среда) определяется через диэлектрическую проницаемость среды ( ) как

где ( ), в свою очередь, определяется через поляризацию P( ) в соответствии с соотношением

где N – молекулярная плотность среды.
Поляризация Р Р( ) квантовой системы, индуцированная внешним полем E( ) (E(t), где t – текущее время, представляет собой дипольный момент квантовой системы “d”, усредненный по ее квантово-механическим состояниям, характеризуемым волновой функцией (z, t, E(t)). Если среда может быть описана как простая сумма отдельных квантовых систем (как, например, газ при атмосферном давлении), то индуцированная поляризация единицы объема будет равна Р=N· Р, где N – плотность среды (число квантовых систем в единице объема). Если внешнее поле Е не очень сильное (Е<<Еа, где Еа~109 В· см – характерная атомная напряженность поля), то поляризацию можно разложить в ряд по степеням напряженности поля

где коэффициенты (i) – восприимчивости (поляризуемости) квантовой системы.
Если внешнее поле Е слабое, то в разложении (13) можно пренебречь всеми членами кроме первого. При этом поляризация линейно зависит от напряженности поля

где величина (1) есть линейная восприимчивость квантовой системы, характеризующая линейные свойства системы при взаимодействии с внешним полем.
Если внешнее поле сильное, то в разложении (13) нельзя пренебречь членами, следующими за первым. В этом случае поляризация не линейно зависит от напряженности поля, а соответствующие нелинейные восприимчивости характеризуют нелинейные свойства системы. Рассмотрим оптические характеристики газовой среды и, в частности, атмосферной воздушной среды в присутствии сильного электромагнитного поля в области, расположенной вблизи электронного сгустка “Y”.
Согласно (11) рефракция среды непосредственно зависит от особенностей диэлектрической проницаемости среды ( )  . С помощью (12) запишем соотношение для определения диэлектрической проницаемости через поляризуемость среды

В приближении, отражаемом выражением (13), выражение для диэлектрической проницаемости запишется как

Газовые среды относятся к кубичным средам [11, стр. 26], поэтому для них приближение (16) для диэлектрической проницаемости запишется как

Для атмосферного воздуха при Е “0” В· см-1 линейное слагаемое (1)=4 (1)N 6· 10-4. Для газов значения кубичных восприимчивостей (3) находятся в диапазоне (3) 10-38-10-30 см3· см3/эрг (в ед. СГСЕ) [6]. При данном значении (3) и E=104 В· см-1

Числовой фактор 9· 104 в соотношении (18) ставит в соответствие размерности параметров (3) и Е. Как видно, при Е=104 В· см-1 (3)<< (1). Но уже при значении Е=1,26· 105 В· см-1 (см. (10))

т.е. при Е=1,26· 105 В· см-1 (3)>> (1). И значение коэффициента преломления воздуха вблизи электронного сгустка будет определяться нелинейным членом (3)

Оценим возможности фокусировки лазерного излучения в нелинейной среде с полученными параметрами. Траектория светового луча в нелинейной среде представляет собой параболу (фиг.2) [11, стр.169-171]

где 2 =d – диаметр или поперечный размер лазерного луча; E( ) Е. Угол преломления луча определяется знаком нелинейной поляризуемости (3). Если (3)>0, то лучи преломляются к оси пучка – возникает самофокусировка лазерного излучения. Длина фокусировки d, т.е. расстояние в среде в направлении оси Z, на котором световой луч, входящий в среду на расстоянии y0 от оси, пересечет ось Z, определяется в соответствии с (20) выражением

При y0= =r d=dmax. В нашем случае

В качестве начального условия энергия электронов в сгустке “Y” (каждого электрона) принята равной Оценим скорость электронов, имеющих энергию Оценку выполним с помощью релятивистского соотношения для кинетической энергии релятивистских частиц 

где m0с2=0,511 МэВ – масса покоя электрона; – скорость электрона с кинетической энергией с – скорость света в вакууме. Проделав соответствующие преобразования с соотношением (23) и полагая , получим

Как видим, скорость света относительно движущихся электронов в сгустке составит

Это означает, что время взаимодействия светового пучка с нелинейной областью, прилегающей к сгустку электронов “Y” на длине L, составит

а эффективная длина траектории лазерного импульса, в течение которой лазерное излучение провзаимодействует с околосгустовским пространством, составит

Сравнивая полученное значение lэфф со значением dmax=30 см, полученным по соотношению (22), видим, что лазерное излучение покидает область с нелинейными характеристиками до пересечения оси Z (фиг.3).
Определим с помощью соотношений, приведенных в [11], значение “y” на выходе из нелинейной области

где a – радиус лазерного пучка.
Оценим значение угла “ “, образуемого лучом лазера в точке “М” с линией “к-к”, параллельной оси Z [8] 
И, таким образом, эффективное расстояние, на котором произойдет пересечение (фокусирование) световыми лучами лазера оси Z, входящими в нелинейную среду, при z=0 на расстоянии y=y0=а от оси Z, будет равно

что менее, чем на 2 см больше значения dmax(=28,85 см), полученного по соотношению (22).
Таким образом, оптический пробой воздуха произойдет на расстоянии R 10 см от переднего фронта сгустка электронов. При 50· 10-12 с, мощности пробоя (см. (8)) Рп=4· 1012 Вт· см-2 и диаметре области пробоя dф=0,01 см получим, что энергия, поглощаемая в области пробоя, составит
Примем: энергия, идущая на ионизацию молекул воздуха в области пробоя, составляет Еuoн. 0,1 Еопт. [13, стр. 579], тогда

При средней энергии ионизации [3] степень ионизации воздуха в области (объеме) пробоя составит

т.е. практически 100%. Это означает, что на расстоянии R 10 см от переднего фронта электронного сгустка имеется, практически, идеальный электрический проводник [14] с потенциалом, равным потенциалу окружающей среды (из-за нейтральных электрических свойств плазмы [14]). Следствием электронейтральности плазмы области Vф оптического пробоя и ее (плазмы) электропроводящих свойств является возникновение между областью оптического пробоя Vф и сгустком электронов “Y” (область Y, фиг.1) электрического поля напряженностью

где U определяется соотношением (3), a R – расстояние от переднего фронта сгустка электронов “Y” и задним фронтом области оптического пробоя Vф. Согласно данным, приведенным в работе [3], уверенный электрический пробой атмосферы происходит при напряженности Е 30-50 кВ· см-1.
Оценим наиболее вероятный диаметр канала, образующегося в результате электрического пробоя на длине R.
Сечение канала пробоя (в момент начала пробоя) определится теми силовыми линиями электрического поля Е, которые “видят” фокальный объем, в то же время практически перпендикулярны поверхности S. Т.к. в рассматриваемом примере Sф<< S (фиг.4), то поперечное сечение канала пробоя, в основном, определится поперечным сечением фокального объема Vф. Примем диаметр канала электрического пробоя равным

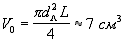
При R=100 см объем плазмы проводящего канала составит

Энергия, необходимая для ионизации молекул проводящего канала, составит

Из данных работ [3, 15] и результатов исследований, выполненных авторами настоящей заявки, следует, что электропроводящие каналы, образованные при энергетических воздействиях на атмосферную среду (воздух), аналогичных рассматриваемым, обладают коаксиальными свойствами. Оценим величину проводимости такого коаксиального канала при потерях (на длине R) Р( ) 10-5· W Y. Значение коэффициента затухания определим из соотношения

или

т.е.

Отсюда

Согласно [16]

где  – проводимость плазменного канала на длине R; a= 0· – абсолютная диэлектрическая проницаемость; – относительная диэлектрическая проницаемость; 0=8,85· 10-12 Кл/(В· м) – электрическая постоянная; 1 (для воздуха); а – радиус внутреннего проводника (электропроводящего канала); b – радиус наружного коаксиалоподобного проводящего канала.
Примем



тогда, преобразуя (42), имеем 
И, следовательно, сопротивление такого канала по порядку величины должно быть равно

Величина электрического сопротивления R=4· 10-10 Ом в плазме, имеющей степень ионизации на уровне N~3· 1019 см-3, в рамках явления “электронного просвиста” [14, стр. 99] – реальная величина.
Рассмотрим далее процесс передачи электрического заряда из начальной области “Y” сгустка электронов (фиг.1) в фокальную область Vф. Прежде всего отметим, что в данной заявке в основу механизма передачи заряда из области “Y” в область Vф положен лидерно-стримерный механизм, изложенный в работе [3, стр.755], в котором благодаря усиленным начальным силовым и геометрическим параметрам (по сравнению с таковыми в [3]) скорость всех процессов увеличена не менее, чем на два десятичных порядка. В частности, из-за существенно более высокой скорости формирования и распространения лидера радиус наружного чехла (объемного заряда) канала лидера rL (в отличие от такового в работе [3]) по величине соизмерим с радиусом головки лидера, т.е. rL r S (dф/2) (фиг.4).
В период продвижения (распространения) волны электронов е–-пучка из области “Y” в область Vф по траектории е–-пучка в “хвост” лидеру, роль которого (лидера) выполняет е–-пучок, направим очередной лазерный импульс. Причем временную задержку Л,З лазерного импульса относительно первого лазерного импульса выберем такой, чтобы процессы формирования (время формирования Т) плазмы с соответствующей степенью ионизации были близки к завершению, т.е. Т<40 [5, стр. 110], а с другой стороны, чтобы импульсный пучок лазерного излучения успел бы догнать лидерный заряд сгустка электронов, проходящий через фокальную область Vф, до завершения геометрического полевого формирования головки лидерного заряда вблизи области Vф. Указанный коридор граничных условий подбирается таким для того, чтобы обеспечить повторение процессов внешней (приграничной) относительно чехла лидера области, приводящей к нелинейной рефракции “обгоняющего” лазерного излучения и созданию оптического пробоя на расстоянии R от переднего фронта лидера. В данном случае лидер, головка которого формируется вблизи фокального объема Vф, является аналогом начального сгустка электронов в области “Y” (фиг.1). Повторяя многократно процессы, приводящие к оптическому пробою среды на расстоянии R от переднего фронта лидера, и тем самым обеспечивая условия многократно повторяющегося (многоступенчатого) силового воздействия на лидер (сгусток электронов, движущийся в пространстве), можно передать заряд (и его энергию) сгустка электронов на значительные расстояния.
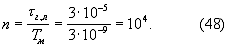
Рассмотрим гигантский лазерный импульс длительностью г,л=3· 10-3 с=30 мкс. Допустим лазерный импульс промодулирован с периодом Тм=3· 10 с и длительностью “рабочих” импульсов в нем =33· 10-12 с, число которых в каждом отдельном гигантском импульсе составит

Тогда энергия гигантского лазерного импульса при числе силовых воздействий на движущийся лидер, равном “n”, должна составить (см. соотношение (31))

При увеличении диаметра фокальной области до dф=0,1 см, т.е. увеличение площади поперечного сечения фокального пятна на два десятичных порядка (такое увеличение может оказаться необходимым для обеспечения надежного минимального уровня индуцированных со стороны лидера полей в проводящей плазме фокального объема Vф [17, стр. 130, 2]), энергия гигантского лазерного импульса составит

Суммарные потери энергии в проводящих каналах, образуемых при “n”-кратных электрических пробоях, составят (см. (37))

Суммарные электромагнитные потери в коаксиально проводящих каналах составят (см. (38), (39), (1))

Таким образом, КПД передачи электрической энергии можно ожидать равным (см. (50), (51), (52))
Следовательно, при кратности передачи n=104 можно обеспечить беспроволочную передачу электрической энергии с КПД около 60% на расстояние L=n· R=10 км. При этом при частоте импульсов (лазерных гигантских импульсов; импульсных зарядов в виде импульсов электронов) =100 Гц переданная с КПД~60% зарядовая энергия WQ может составить за 1 с

Следует отметить еще одно важное преимущество предлагаемого многоступенчатого способа передачи электрической энергии на расстояние с помощью лазерного излучения. В предлагаемом способе существенно снижаются требования к начальному диаметру поперечного сечения лазерного пучка d , а это, в свою очередь, существенно увеличивает диффракционную длину Rд [18] лазерного пучка. Например, при d =3 см (как, например, в иллюстрируемом примере)

где =1,06 мкм – длина волны фотонов неодимового лазера; k – волновое число.
Увеличение диаметра пучка d менее чем в 2 раза позволяет увеличить диффракционную длину до значения Rд>10 км, т.е. до значения Rд>L, где L=10 км – расстояние транспортировки электрической энергии в иллюстрируемом примере. Однако предлагаемый многоступенчатый способ передачи энергии позволяет, практически, свести “на нет” изменение интенсивности лазерного излучения из-за диффракционных потерь не только увеличением диаметра поперечного сечения лазерного пучка d . Для уменьшения (или полной компенсации) диффракционных потерь достаточно небольшой коррекции в величине временной задержки л,з лазерных импульсов последующих ступеней относительно предыдущих ступеней транспортировки электрической энергии.
Исходные начальные энергетические, геометрические и технические параметры лазерных пучков и пучков электронов (длина волны, длительность импульсов, энергия в импульсе, диаметры пучков и др.), взятые за основу в настоящей заявке и использованные при численных оценках различных физических и технических параметров в аналитических соотношениях по тексту заявки и в иллюстрируемом (демонстрируемом) примере, отражают реальные возможности лазерной и ускорительной науки и техники на сегодняшний день [19, 20, 21, 22].
СПИСОК ИСТОЧНИКОВ ИНФОРМАЦИИ
1. Источник света импульсный (ИСИ-1). Техническое описание и инструкция по эксплуатации, 1979.
4. Федоров Н.Д. Краткий справочник инженера-физика. М.: Госиздат, 1961.
5. Коротеев Н.И., Шутай И.Л. Физика мощного лазерного излучения. М.: Наука, 1991.
7. Медведев М.Н. Сцинтилляционные детекторы. М.: Атомиздат, 1977.
8. Таблицы физических величин. Справочник. /Под ред. Кикоина И.К. М.: Атомиздат, 1976.
9. Архипкин В.Г., Попов А.К. Нелинейное преобразование света в газах. Новосибирск: Наука, 1987.
10. Делоне Н.Б., Крайнов В.П. Основы нелинейной оптики атомарных газов. М.: Наука, 1986.
11. Делоне Н.Б. Взаимодействие лазерного излучения с веществом. М.: Наука, 1989.
14. Арцимович Л.А. Элементарная физика плазмы. М.: Атомиздат, 1969.
15. Высикайло Ф.И. Кумуляция электрического поля в диссипативных структурах и их кристаллических системах в газоразрядной плазме. Троицк: ГНЦ РФ ТРИНИТИ, 2003.
16. Купалян С.Д. Теоретические основы электротехники. Ч.3. М.: Энергия, 1970.
17. Абрамов А.И., Казанский Ю.А., Матусевич Е.С. Основы экспериментальных методов ядерной физики. М.: Атомиздат, 1970. (Теорема Рамо-Шокли, С.130)
18. Маленькая энциклопедия. Квантовая электроника. /Под ред. Ахманова С.А. и др. М.: Изд-во “Советская энциклопедия”, 1969.
19. Ганеев Р.А., Ганиханов Ф.Ш., Камалов Ш.Р., Редкоречев В.И., Усманов Т. Квантовая электроника, 23, №12, 1065 (1996).
22. Довбня А.Н. и др. Получение на линейных ускорителях электронов пучков малых размеров. Труды 13 Международной конференции по ускорителям частиц высокой энергии. Новосибирск. Наука, 1997, Т.2, 296-299.
Формула изобретения
1. Способ беспроволочной передачи электрической энергии на расстояние, включающий создание с помощью лазерного излучения заданной траектории электрического разряда, отличающийся тем, что первоначально электроны передаваемого заряда до воздействия на них внешнего электрического разрядного поля ускоряют до релятивистских или близких к ним энергий, по мере продвижения по траектории волны электронного пучка, выполняющего роль лидера, в фокальную область Vф лазерного пучка вслед лидеру направляют очередной лазерный импульс большой интенсивности, достаточной для осуществления его самофокусирования, причем временную задержку очередного лазерного импульса относительно предыдущего выбирают такой, чтобы процессы формирования плазмы с заданной степенью ионизации, инициированные в фокальной области Vф предыдущим лазерным импульсом, были близки к завершению и чтобы последующий импульсный пучок лазерного излучения успел бы догнать лидерный заряд сгустка электронов, проходящий через фокальную область Vф, в период завершения полевого и геометрического формирования головки лидерного заряда и тем самым обеспечивают повторение процессов взаимодействия лазерного импульса с околосгустовским (околозарядовым) пространством, приводящих к нелинейной рефракции обгоняющего лазерного импульса и, в конечном счете, его самофокусированию и созданию оптического пробоя на некотором расстоянии R от переднего фронта лидера в фокальном объеме Vф, аналогичном предыдущему, посылают новый очередной лазерный импульс с временной задержкой, аналогичной предыдущей, и вызывают повторение процесса, приводящего к оптическому пробою среды на таком же расстоянии R от переднего фронта лидера, тем самым обеспечивают многократно повторяющееся совместное силовое воздействие на атмосферу (газовую среду) лазерного излучения и перемещающегося по траектории оптического и электрического пробоев сгустка релятивистских (или близких к релятивистским) электронов, что позволяет передавать его заряд и энергию заряда на расстояния, имеющие практическое значение.
2. Устройство для беспроволочной передачи электрической энергии на расстояние, содержащее источник лазерного излучения, систему его фокусирования для осуществления оптического пробоя и создания канала электрического разряда вдоль оптического пробоя, отличающееся тем, что в устройство введена система, ускоряющая до релятивистских или близких к ним энергий электроны, заряд (и его энергия) которых подлежит передаче, взамен длиннофокусного линзового оптического объектива (длиннофокусной линзовой оптической системы) использовано множество идентичных безлинзовых относительно короткофокусных оптических объективов (безлинзовых относительно короткофокусных оптических систем), воссоздаваемых последовательно по всей длине траектории перемещения электрического заряда периодически повторяющимся совместным силовым воздействием на газовую среду (атмосферу) лазерных импульсов источника лазерного излучения и электрического заряда из ускоренных электронов, причем величина интенсивности источника лазерного излучения выбрана такой, чтобы обеспечить самофокусирование лазерного импульса, величина напряженности электрического поля в околозарядовой области выбрана такой, чтобы обеспечить лидерный механизм перемещения заряда и его энергии, а величина задержки между очередными импульсами лазерного излучения выбрана такой, чтобы обеспечить идентичность воссоздания короткофокусного безлинзового объектива по всей длине траектории перемещения заряда.
3. Устройство для беспроволочной передачи электрической энергии по п.2, отличающееся тем, что оно содержит блок кумуляции первоначальных релятивистских или почти релятивистских электронов в сгусток электронов в ограниченном объеме для создания первоначального заряда с лидерными свойствами.
4. Устройство для беспроволочной передачи энергии по п.3, отличающееся тем, что блок кумуляции релятивистских электронов выполнен в виде вакуумного кольцевого электроновода, кольцевая часть которого герметична и одним концом связана с ускоряющей электроны системой, другим – с выходной мембраной, а центральная часть электроновода выполнена негерметичной и одним концом связана с источником лазерного излучения, другим – с пространством за выходной мембраной.
РИСУНКИ
MM4A – Досрочное прекращение действия патента СССР или патента Российской Федерации на изобретение из-за неуплаты в установленный срок пошлины за поддержание патента в силе
Дата прекращения действия патента: 11.07.2006
Извещение опубликовано: 10.06.2007 БИ: 16/2007
|