|
|
(21), (22) Заявка: 2001108854/09, 02.04.2001
(24) Дата начала отсчета срока действия патента:
02.04.2001
(43) Дата публикации заявки: 20.04.2003
(45) Опубликовано: 27.11.2004
(56) Список документов, цитированных в отчете о поиске:
ГОНОРОВСКИЙ И. С. Радиотехнические цепи и сигналы. – М.: Сов. радио, 1977, с.573-576. SU 1270876 A1, 15.11.1986. SU 813703, 18.03.1981. ГОНОРОВСКИЙ И. С. Радиотехнические цепи и сигналы. – М.: Радио и связь, 1986, с.367. БРУНЧЕНКО А.Г. и др. Цифровые фильтры в электросвязи и радиотехнике. Под ред. Л.М.Гольденберга. – М.: Радио и связь, 1982, с.78-80. ОСТАПЕНКО А. Г. Анализ и синтез линейных радиоэлектронных цепей с помощью графов. – М.: Радио и связь, 1985, гл.5.
Адрес для переписки:
394064, г.Воронеж, ул. Старых большевиков, 27, Воронежский ВАИИ, научно-исследовательский отдел
|
(72) Автор(ы):
Евстафиев А.Ф. (RU)
(73) Патентообладатель(и):
Воронежский военный авиационный инженерный институт (RU)
|
(54) СПОСОБ СИНТЕЗА ЭЛЕКТРИЧЕСКИХ ФИЛЬТРОВ ПО ЗАДАННОЙ АМПЛИТУДНО-ЧАСТОТНОЙ ХАРАКТЕРИСТИКЕ
(57) Реферат:
Изобретение относится к радиотехнике и может быть использовано в радиотехнических системах различного функционального назначения, где требуется высококачественная частотная селекция сигналов. Технический результат заключается в повышении точности реализации заданной АЧХ без привлечения активных элементов и внешних источников энергии. Для чего, после реализации первого этапа синтеза – выбора аппроксимирующей функции, близкой к заданной АЧХ, последнюю продолжают периодически по частоте с периодом Tw, а затем разлагают в тригонометрический ряд Фурье и определяют коэффициенты этого ряда A0, А1, А2,…, An, на основании которых определяют весовые коэффициенты а0, а1, а2,…, an. При этом синтезируемый фильтр представляют последовательным соединением двух одинаковых звеньев, каждое из которых содержит линию задержки, нагруженную на сумматор, в отводы которой включают весовые коэффициенты и фазовращатели, а затем выделяют один период АЧХ. 3 ил., 1 табл.

Изобретение относится к радиотехнике, в частности к построению линейных четырехполюсников (электрических фильтров) по заданной амплитудно-частотной характеристике (АЧХ), и может быть использовано в радиотехнических системах и устройствах различного функционального назначения, где требуется высококачественная частотная селекция сигналов.
Актуальность данной проблемы обусловлена тем, что при решении ряда прикладных радиотехнических задач требуются устойчивые к возбуждению электрические фильтры с высокой частотной избирательностью и с различными по форме АЧХ. При этом предполагается, что к фазо-частотным характеристикам (ФЧХ) фильтров не предъявляется каких-либо специфических требований. Реализовать такие фильтры на основе известной классической теории синтеза четырехполюсников с конечным, приемлемым числом элементов с сосредоточенными параметрами с высокой точностью не удается (Гоноровский И.С. Радиотехнические цепи и сигналы. М.: Сов.радио, 1977, с.566-576).
Классическая теория синтеза линейных электрических цепей с сосредоточенными параметрами предусматривает два этапа. Первый этап заключается в выборе аппроксимирующей частотной функции, которая могла бы являться характеристикой физически осуществимой цепи и одновременно достаточно близкой к заданной АЧХ. Второй этап является самым сложным и заключается в отыскании структуры и элементов цепи (фильтра), реализующей выбранную функцию (Гоноровский И.С. Радиотехнические цепи и сигналы. М.: Сов.радио, 1977, с.550).
Известно, что реализация второго этапа не имеет однозначного решения. Одну и ту же АЧХ можно реализовать множеством способов, отличающихся по схеме и качеству фильтра, по числу входящих в него элементов и сложности подбора параметров этих элементов. Задача оптимизации второго этапа синтеза в настоящее время в фундаментальном плане не решена.
Наиболее близким к предлагаемому является способ синтеза электрических фильтров по заданной АЧХ, включающий выбор физически реализуемой аппроксимирующей функции, близкой к требуемой АЧХ на основе системы ортогональных функций с последующим отысканием структуры фильтра (Гоноровский И.С. Радиотехнические цепи и сигналы. М.: Сов.радио, 1977, с.573-576). К недостаткам данного способа относятся недостатки, присущие классической теории синтеза, когда передаточная функция синтезируемого фильтра обладает конечным числом нулей и полюсов, а следовательно, сам фильтр содержит конечное число элементов с сосредоточенными параметрами. В этом случае при повышении точности синтезируемой АЧХ существенно возрастает порядок синтезируемого фильтра, а следовательно, возрастает количество входящих в него элементов, в том числе и активных (усилительных) элементов. А это обстоятельство, как известно, повышает результирующую чувствительность фильтра к изменению параметров составляющих его элементов, что понижает запас его устойчивости к самовозбуждению. Кроме того, принципиальная необходимость наличия активных элементов (усилителей с обратными связями) понижает также динамический диапазон фильтра и требует внешних источников энергии.
Технический результат изобретения заключается в повышении точности физической реализации заданной амплитудно-частотной характеристики произвольной формы без привлечения активных элементов и, следовательно, внешних источников энергии, что дополнительно повышает динамический диапазон и устойчивость к самовозбуждению синтезируемого фильтра.
Данный технический результат достигается за счет принципиального отличия предлагаемого способа синтеза фильтров, заключающегося в том, что основу фильтра составляют элементы с распределенными (а не с сосредоточенными как в известном способе) параметрами, что позволяет использовать ортогональную систему тригонометрических (гармонических) функций для аппроксимации заданной АЧХ.
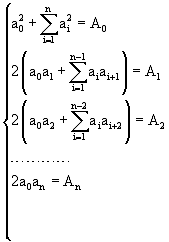
Для чего, как и в известном способе после реализации первого этапа -выбора физически реализуемой аппроксимирующей функции, близкой к заданной АЧХ, последнюю продолжают периодически по частоте с периодом T , затем полученную периодическую функцию разлагают в тригонометрический ряд Фурье и определяют коэффициенты этого ряда A0, А1, А2,…, Аn, которые подставляют в правые части следующей системы алгебраических уравнений:

в результате решения которой определяют весовые коэффициенты а0, а1, а2,…, аn, при этом синтезируемый фильтр представляют последовательным соединением двух одинаковых звеньев, каждое из которых содержит многоотводную линию задержки, нагруженную на сумматор, в отводы которой включают весовые коэффициенты (а0 -весовой коэффициент в незадерживающем отводе) и фазовращатели со сдвигами фаз
n=2 n[ 0/T ], (2)
где 0 – заданная средняя частота синтезируемого фильтра;
[]-символ дробной части числа;
n=0,1,2,…, – ряд натуральных чисел,
а время задержки между соседними отводами линии задержки определяют по формуле
t0=2 /T , (3)
затем с помощью известного фильтра выделяют один период АЧХ, при этом входом искомого фильтра является вход первой линия задержки, а выходом -выход выделяющего фильтра.
При этом периодическая АЧХ в общем случае будет описываться известным тригонометрическим рядом Фурье

При необходимости составляющие АЧХ А0, A1, А2,…, Аn можно всегда пронормировать так, чтобы весовые коэффициенты a0, a1, a2,…, an не превышали единицы, в результате никаких усилительных элементов, а следовательно, и внешних источников энергии при реализации искомого фильтра не потребуется. При этом форма требуемой АЧХ останется неизменной с точностью до постоянного множителя.
Таким образом, поскольку в синтезируемом фильтре нет принципиальной необходимости в наличии активных (усилительных) элементов, то это обстоятельство и обеспечивает повышенный динамический диапазон и повышенную устойчивость к самовозбуждению синтезируемого фильтра. Кроме того, предлагаемый способ синтеза, в принципе, является адаптивным, поскольку позволяет практически в реальном масштабе времени перестраивать АЧХ фильтра путем изменения весовых коэффициентов и фазовых сдвигов в отводах линии задержки в соответствии с выражениями (1) и (2), предварительно разложив требуемую АЧХ в ряд Фурье.
Представим математическое доказательство работоспособности предложенного способа синтеза фильтров и доказательство наличия технического результата, заключающегося в повышении точности физической реализации заданной АЧХ.
Рассмотрим частные случаи синтеза с восстановлением требуемой АЧХ по конечному числу гармоник, на основе которых, пользуясь индуктивным методом, сформулируем общее правило синтеза.
Пусть одно звено синтезируемого фильтра содержит линию задержки с тремя отводами, нагруженную на сумматор, в отводы которой включены весовые, (амплитудные) коэффициенты a0, a1, a2 (а0 -коэффициент в незадерживающем отводе) и фазовращатели 1 и 2=2 1, а время задержки между соседними отводами линии равно t0. Тогда в первом задерживающем отводе сигнал задержится на время t0, а во втором – на время 2t0. Будем считать, что входом данного звена является вход линии задержки, а выходом – выход сумматора.
Пусть полный (комплексный) спектр некоторого входного сигнала в общем случае равен Sвх(j ). При этих условиях комплексный спектр выходного сигнала будет равен

где экспоненциальный множитель обусловлен задержкой сигнала и сдвигом фаз в соответствующих отводах.
Из (5) следует, что комплексный коэффициент передачи фильтра будет равен

После преобразования выражения (6) с привлечением известной формулы Эйлера и группировки его составляющих с действительными и мнимыми частями, получим

Из (7) следует, что данную передаточную функцию нельзя точно представить в виде рациональной дроби – как отношение двух полиномов, что используется в классическом способе синтеза. При разложении синусов и косинусов в соответствующие ряды с конечным числом членов, представление (7) в виде рациональной дроби возможно, но будет только приближенным.
Это обстоятельство принципиально отличает предлагаемый способ синтеза от классического, так как основу его составляют элементы с распределенными (такие как линии задержки), а не с сосредоточенными параметрами.
АЧХ рассматриваемого звена будет равна модулю выражения (7)

Опуская промежуточные преобразования, запишем окончательное выражение для АЧХ данного звена в следующем виде:

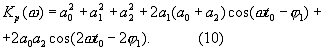
Для того, чтобы в АЧХ (9) освободиться от степени 1/2, необходимо в техническом отношении обеспечить последовательное соединение двух таких звеньев, при котором, как известно, результирующая АЧХ определяется произведением АЧХ отдельных звеньев. А поскольку АЧХ отдельных звеньев одинаковы, то, следовательно, результирующая АЧХ такого соединения будет равна квадрату выражения (9)

Из выражения (10) следует, что АЧХ фильтра представляет собой тригонометрический ряд Фурье, причем сумма первых трех членов данного выражения – постоянная составляющая этого ряда, а четвертый и пятый члены -соответственно первая и вторая гармоники АЧХ со своими параметрами (амплитудами и начальными фазами).
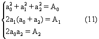
Таким образом, если бы в данном частном случае точность физической реализации заданной АЧХ была достаточной при представлении ее тремя членами ряда Фурье (постоянной составляющей и двумя гармониками), то продолжение задачи синтеза необходимо вести по алгоритму, описанному ранее. Для чего заданную АЧХ необходимо продолжить периодически по частоте с некоторым периодом T , по которому определяется время задержки между соседними отводами линии задержки. Затем полученную периодическую функцию необходимо разложить в ряд Фурье и найти три коэффициента этого ряда: A0, A1 и А2 – амплитуду постоянной составляющей, первой и второй гармоник соответственно. После чего необходимо установить соответствие между коэффициентами этого разложения и соответствующими коэффициентами выражения (10). Это соответствие обеспечивается путем составления и решения следующей системы трех алгебраических уравнений с тремя неизвестными:

Полученная система уравнений (11) является частным случаем общей системы уравнений (1), когда число гармонических составляющих при разложении АЧХ равно n=2.
В результате решения системы (11) определяются весовые коэффициенты фильтра, которые имеют следующие выражения:

Как видно из (12) коэффициент а1 имеет четыре значения, но из них необходимо отобрать те, которые имеют физический смысл.
По известному коэффициенту a1 определяются а2 и a0:


Если окажется, что полученные весовые коэффициенты имеют несколько действительных физически реализуемых значений, то при построении фильтра необходимо взять по одному, любому действительному значению этих коэффициентов. Отобранные весовые коэффициенты необходимо включить в соответствующие отводы линии задержки.
Далее, в соответствии с алгоритмом синтеза, при выбранном периоде следования АЧХ T однозначно определяется время задержки между соседними отводами линии t0=2 /T и при заданной средней частоте фильтра 0 однозначно определяются сдвиги фаз в задерживающих отводах линии:
1=2 [ 0/T ]; 2=2 1=4 [ 0/T ].
Поскольку АЧХ при таком методе синтеза является периодической функцией частоты с периодом T , то необходимо с помощью известного фильтра выделить (отфильтровать) только один период требуемой АЧХ.
На этом процедура синтеза фильтра заканчивается, так как выполнены все необходимые и достаточные операции и условия синтеза по данному способу, если, конечно, точность аппроксимации заданной АЧХ тремя членами ряда Фурье (включая постоянную составляющую) является достаточной.
Рассмотрим второй частный случай, когда звено синтезируемого фильтра содержит линию задержки с четырьмя отводами, нагруженной на сумматор, в отводы которой включены весовые коэффициенты a0, а1, а2, а3 и фазовращатели 1, 2=2 1, 3=3 1 с временем задержки между соседними отводами, равным t0.
В этом случае комплексный коэффициент передачи фильтра будет равен

Опуская промежуточные преобразования, можно показать, что результирующая АЧХ (модуль комплексного коэффициента передачи) последовательного соединения двух одинаковых звеньев имеет следующее выражение:

Анализ выражения (16) свидетельствует, что в данном случае АЧХ представляется четырьмя разделимыми членами ряда Фурье: постоянной составляющей и тремя гармоническими составляющими с соответствующими параметрами.
Таким образом, если коэффициенты разложения заданной АЧХ в ряд Фурье равны A0, A1, A2, A3, то система алгебраических уравнений, связывающая искомые весовые коэффициенты с коэффициентами разложения заданной АЧХ будет иметь следующий вид:

Полученная система алгебраических уравнений является частным случаем общей системы уравнений (1), когда число гармонических составляющих при разложении АЧХ равно n=3.
Исследования показывают, что если продолжить рассмотрение других частных случаев с большим количеством отводов в линии задержки, а следовательно, с большим количеством гармоник аппроксимации заданной АЧХ, то из закономерности между коэффициентами получаемых при этом систем уравнений на основе индуктивного метода следует доказательство справедливости системы уравнений (1) для общего случая.
Опуская громоздкие промежуточные преобразования, в результате решения системы уравнений (17) получены следующие выражения для вычисления весовых коэффициентов:

где 



При этом q и P определяются следующими выражениями:


Выражение (18) получено в результате, решения алгебраического уравнения четвертой степени с помощью вспомогательного кубического уравнения с вычислением его корней по методу Кардане.
По известному коэффициенту а0 достаточно просто определяются остальные весовые коэффициенты:



В качестве примера в количественном отношении рассмотрим физическую реализацию фильтра с заданной прямоугольной АЧХ и сравним полученные результаты с известным классическим методом синтеза, когда в качестве аппроксимирующей функции АЧХ используются полиномы Чебышева соответствующего порядка. Чебышевская аппроксимация АЧХ в способе-прототипе выбрана потому, что она является наиболее оптимальной при аппроксимации прямоугольной АЧХ (Гоноровский И.С. Радиотехнические цепи и сигналы. М.: Сов. Радио, 1977, с.573).
Если заданная синтезируемая АЧХ имеет прямоугольную форму, то ее аналитическое выражение в общем случае имеет следующий вид:

где K0,  , 0 – соответственно коэффициент передачи, полоса пропускания и средняя частота фильтра.
Пусть K0=1,  =4 рад/мс, 0=1000,2 рад/мс, а период следования АЧХ положим в два раза большим полосы пропускания T =2 =8 рад/мс.
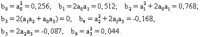
При этих условиях коэффициенты разложения заданной периодической АЧХ в ряд Фурье с точностью до четырех составляющих имеют следующие значения: А0=0,5; А1=2/ ; А2=0; А3=-2/3 .
Исследования показывают, что представление АЧХ четырьмя составляющими тригонометрического ряда с данными параметрами вызывает частичное отрицательное значение синтезируемого коэффициента передачи на некоторых частотах, что недопустимо по условию физической реализуемости фильтра. Эти отрицательные пульсации в данном случае не превышают 10% от максимального значения коэффициента передачи. Следовательно, при прочих неизменных условиях, для обеспечения физической реализуемости синтезируемого фильтра и, соответственно, для существования действительного решения системы уравнений (17), необходимо постоянную составляющую при разложении АЧХ в ряд увеличить на 0,1 и выбрать ее равной А0=0,6.
При заданных параметрах АЧХ, с учетом введенной коррекции на постоянную составляющую, по выражениям (18), (21), (22), (23) с привлечением дополнительных выражений (19) и (20) рассчитаны весовые коэффициенты синтезируемого фильтра, которые с точностью до тысячных имеют следующие значения:
а0=а1=0,506; а2=0,209; а3=-0,209.
Проверка полученных значений коэффициентов по исходной системе уравнений (17) свидетельствует об их достоверности.
Время задержки между соседними отводами линии задержки и фазовые сдвиги в них имеют следующие значения:



На этом, по существу, синтез фильтра завершается, так как определены все необходимые его параметры: количество отводов в линии задержки, время задержки между соседними отводами, а также весовые коэффициенты и фазовые сдвиги в них.
Так как в предлагаемом способе синтеза, АЧХ является периодической функцией частоты, то необходимо выполнить еще одну непринципиальную операцию по частотному выделению с помощью известного узкополосного фильтра только одного лепестка (периода) АЧХ на заданной частоте 0.
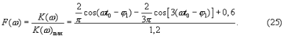
В результате, нормированная (по максимальному значению) АЧХ синтезируемого фильтра будет иметь следующий вид:

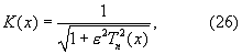
Нормированная АЧХ фильтра-прототипа, аппроксимированная соответствующими полиномами Чебышева имеет следующее выражение (Гоноровский И.С. Радиотехнические цепи и сигналы. М.: Сов.радио, 1977, с.573):

где Tn(x) -полином Чебышева n-го порядка;
x= / ср – текущая частота, отнесенная к частоте среза фильтра;
если х=1, то текущая частота равна частоте среза фильтра ( = ср);
– коэффициент, связанный с относительным допустимым уровнем пульсаций К АЧХ в полосе фильтра.
Эта связь определяется следующим выражением (Гоноровский И.С. Радиотехнические цепи и сигналы. М.: Сов.радио, 1977, с.573):

Расчеты показывают, что для синтезируемого фильтра, АЧХ которого определяется выражением (25), уровень пульсаций составляет К=0,152. При этом в соответствии с выражением (27) коэффициент =0,625, а 2=0,391.
Для того, чтобы оба фильтра, синтезируемый и прототип находились в одинаковых условиях по уровню пульсаций АЧХ в полосе пропускания, необходимо соответствующее значение (подставить в выражение (26), в результате получим

Чтобы оба фильтра находились также в одинаковых условиях по масштабу изменения частоты, в синтезируемом фильтре относительному значению частоты х=1 должно соответствовать значение аргумента косинуса ( t0– 1)=69°.
При этих условиях по выражениям (25) и (28) рассчитаны и сведены в таблицу значения АЧХ в предлагаемом способе синтеза и в способе-прототипе при относительном изменении частоты от х=1 до х=2. Причем при расчетах в прототипе использовались полиномы Чебышева 3-го, 4-го и 5-го порядков, имеющие следующие выражения:
T3(x)=4х3-3x; T4(x)=8x4-8x2+1; Т5(х)=16х5-20x3+5x. (29)

Из анализа таблицы следует, что на начальном участке изменения АЧХ от х=1 до х=1,5 скорость ее убывания (крутизна) в Чебышевском фильтре больше, чем в синтезируемом. Так, если в синтезируемом фильтре при заданном изменении х коэффициент передачи уменьшился в 3,24 раза, то в Чебышевском фильтре-прототипе при n=3 он уменьшился в 4,85, при n=4 – в 12,47, а при n=5 в 32,62 раза. Но на конечном участке изменения АЧХ от х=1,5 до х=2, характер ее поведения меняется существенным образом. Так, в Чебышевском фильтре при n=3 и заданном изменении x уменьшение коэффициента передачи составило 2,87, при n=4 – 4,25, а при n=5 – 5,91 раза. Тогда как в синтезируемом фильтре при данных условиях уменьшение коэффициента передачи составило 154,12 раза, что более чем в 26 раз лучше, чем в Чебышевском фильтре при n=5.
Приведенный количественный анализ свидетельствует о том, что степень прямоугольности АЧХ в синтезируемом фильтре существенно выше, чем в Чебышевском, который является одним из лучших известных фильтров, реализующих близкую к прямоугольной АЧХ. А, как известно, именно степень прямоугольности АЧХ определяет уровень частотных искажений при фильтрации сигналов.
Следует отметить, что в синтезируемом фильтре в формировании АЧХ участвуют, кроме постоянной составляющей, только три гармоники при разложении заданной прямоугольной АЧХ в ряд Фурье. Очевидно, что при увеличении количества формирующих гармоник точность аппроксимации заданной АЧХ еще более повысится. При этом, безусловно, и более сложным станет синтезируемый фильтр, в частности, по количеству отводов в линии задержки, но это никак не приведет к потере устойчивости и к снижению динамического диапазона, а также к привлечению внешних источников энергии в синтезируемом фильтре. Это принципиально отличает данный способ синтеза от известных, в которых синтезируемый фильтр представляется совокупностью элементов с сосредоточенными параметрами. К таким фильтрам, в частности, относится и рассматриваемый здесь в качестве прототипа фильтр с Чебышевской аппроксимацией АЧХ.
Кроме того, в отличие от фильтра с Чебышевской аппроксимацией, предлагаемый способ синтеза может быть реализован, в принципе, на любой сколь угодно высокой частоте, которая ограничивается, главным образом, только частотными свойствами линии задержки, составляющей основу фильтра.
Таким образом, доказанный выигрыш в точности физической реализации заданной АЧХ без привлечения активных элементов и внешних источников энергии, что, кроме того, повышает динамический диапазон и устойчивость к самовозбуждению синтезируемого фильтра по сравнению с прототипом, свидетельствует о наличии причинно-следственной связи между совокупностью существенных признаков и достигаемым техническим результатом.
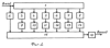
На фиг.1 представлена структурная электрическая схема синтезируемого фильтра, содержащая последовательное соединение двух одинаковых звеньев для частного случая, когда требуемая АЧХ аппроксимируется четырьмя составляющими (постоянной составляющей и тремя гармониками) при разложении ее в тригонометрический ряд Фурье; на фиг.2 – структурная электрическая схема фильтра, имеющего ту же АЧХ, но в котором два последовательно включенных звена объединены в единую конструкцию на основе одной линии задержки; а на фиг.3 – амплитудно-частотные характеристики синтезируемого фильтра.
Устройство (фиг.1), представленное в виде двух раздельных звеньев, содержит: две одинаковые, первую и вторую линии 1 и 2 задержки, устройства 3-10, реализующие требуемые значения весовых (амплитудных) коэффициентов; фазовращатели 11-16; сумматоры сигналов 17 и 18 и выделяющий фильтр 19.
Устройство работает следующим образом.
Сигнал, подлежащий фильтрации, поступает на вход первой линии задержки 1, отводы которой следуют через время задержки t0=2 /Т , где T -период АЧХ по частоте. В отводах линии задержки каждая составляющая задержанного сигнала умножается на весовые коэффициенты а0, a1, a2, а3 в соответствующих устройствах 3, 4, 5, 6 реализации весовых коэффициентов. После чего составляющие сигнала поступают на соответствующие фазовращатели 11, 12, 13 (кроме первого незадерживающего отвода), где осуществляется сдвиг их фаз 1, 2, 3 в соответствии с выражением n=2 n[ 0/T ], где 0 – средняя частота фильтра; [.] – символ взятия дробной части числа. С выходов фазовращателей 11, 12, 13 и с первого незадерживающего отвода составляющие сигнала поступают на объединяющий сумматор 17, с выхода которого результирующий сигнал поступает на второе точно такое же последовательно включенное звено, содержащее вторую линию 2 задержки с отводами, в которые включены устройства 7, 8, 9, 10 реализации таких же весовых коэффициентов а0, а1, а2, a3 и фазовращатели 14, 15, 16, обеспечивающие такие же сдвиги фаз, как и в первом звене 1, 2, 3. Затем составляющие сигнала объединяются в результирующий сигнал во втором объединяющем сумматоре 18, с выхода которого он поступает на известный выделяющий фильтр 19. Выделяющий фильтр выделяет только один лепесток (период) требуемой АЧХ и является выходом синтезируемого фильтра. В результате на выходе фильтра будет осуществлена фильтрация входного сигнала в соответствии с синтезируемой АЧХ.
Устройство (фиг.2) представляет собой электрический фильтр, в котором объединены два последовательно включенных звена предыдущего фильтра в единую конструкцию на основе одной линии задержки, имеющего точно такую же АЧХ и содержит: линию 1 задержки, устройства 2-8, реализующие соответствующие значения весовых коэффициентов, фазовращатели 9-14, сумматор 15 и выделяющий фильтр 16. Причем в данной конструкции фильтра число отводов равно N=2n-1, где n – число отводов линии задержки в одном звене предыдущего фильтра (фиг.1). Так как n=4, то в данном фильтре число отводов N=7, время задержки между которыми определяется общим с предыдущим фильтром условием и равно t0=2 /T . Весовые коэффициенты в отводах данного фильтра сформированы на основе весовых коэффициентов предыдущего фильтра а0+a 3, определяются следующими выражениями и имеют следующие значения:

Как видно, значения весовых коэффициентов в объединяющем фильтре также не превосходят единицы, что принципиально исключает необходимость наличия в данном фильтре усилительных элементов и внешних источников энергии.
Полученные весовые коэффициенты реализуются соответствующими устройствами 2-8. При этом в фазовращателях 9-14 сдвиги фаз определяются по общему с предыдущим фильтром правилу: n=2 n[ 0/T ].
Принцип работы данного фильтра аналогичен работе рассмотренного ранее фильтра, представленного на фиг.1.
На фиг.3а на качественном уровне представлена периодическая АЧХ синтезируемого фильтра, образованная четырьмя составляющими (постоянной составляющей и тремя гармониками). Пунктиром обозначена АЧХ выделяющего фильтра.
На фиг.3б представлена АЧХ после выделяющего фильтра, представляющая собой только один лепесток (период) периодической АЧХ. Здесь T , 0 и  – соответственно период следования, средняя частота и полоса частот АЧХ синтезируемого фильтра.
Особенностью АЧХ, в отличие от периодического сигнала – как функции времени, является неотрицательность ее значений на всех частотах , что практически достигается соответствующей коррекцией ее постоянной составляющей, о чем отмечалось ранее при рассмотрении частного примера.
Из описания следует, что в состав устройства (фильтра) реализации данного способа синтеза входят следующие элементы: многоотводная линия задержки, устройства реализации весовых (амплитудных) коэффициентов, фазовращатели, сумматор и выделяющий фильтр. Все эти элементы достаточно подробно описаны с конструктивными особенностями их технической реализации в журнале “Зарубежная радиоэлектроника”, N8, 1975, с.88-100, а также в книге Речицкого В.И. Радиокомпоненты на поверхностных акустических волнах. М.: Радио и связь, 1985.
Таким образом, предложенный способ синтеза электрических фильтров не имеет принципиальных ограничений при практическом исполнении и может быть реализован с применением известной элементной базы и функциональных устройств.
Формула изобретения
Способ синтеза электрических фильтров по заданной амплитудно-частотной характеристике (АЧХ), включающий выбор физически реализуемой аппроксимирующей функции, близкой к заданной АЧХ, отличающийся тем, что последнюю продолжают периодически по частоте с периодом Т , затем полученную периодическую функцию разлагают в тригонометрический ряд Фурье и определяют коэффициенты этого ряда A0, A1, A2,…, An, которые подставляют в правые части следующей системы алгебраических уравнений:

в результате решения которой определяют весовые коэффициенты а0, a1, a2,…, an, при этом синтезируемый фильтр представляют последовательным соединением двух одинаковых звеньев, каждое из которых содержит многоотводную линию задержки, нагруженную на сумматор, в отводы которой включают весовые коэффициенты (а0 – весовой коэффициент в незадерживающем отводе) и фазовращатели со сдвигами фаз n=2 n [ 0/Т ], где 0 – заданная средняя частота синтезируемого фильтра; [‘] символ дробной части числа; n=0,1,2,…, а время задержки между соседними отводами линии задержки определяют по формуле t0=2 /T , затем с помощью известного фильтра выделяют один период АЧХ, при этом входом искомого фильтра является вход первой линии задержки, а выходом – выход выделяющего фильтра.
РИСУНКИ
MM4A Досрочное прекращение действия патента Российской Федерации на изобретение из-за неуплаты в установленный срок пошлины за поддержание патента в силе
Дата прекращения действия патента: 03.04.2004
Извещение опубликовано: 10.12.2006 БИ: 34/2006
|
|