Патент на изобретение №2152385
|
||||||||||||||||||||||||||
(54) ГЕТЕРОЦИКЛИЧЕСКИЕ СОЕДИНЕНИЯ, ПРИМЕНИМЫЕ В КАЧЕСТВЕ АЛЛОСТЕРИЧЕСКИХ ЭФФЕКТОРОВ ПРИ МУСКАРИНОВЫХ РЕЦЕПТОРАХ
(57) Реферат: Описываются новые производные пиррола формулы (I), где Z – метиленовая группа, метиновая группа, группу формулы: >NH или группу формулы: = N -; W – метиленовая группа, метиновая группа и атом серы или группа формулы: >S –>(O)v, где v – 1 или 2, при условии, что Z не обозначает группу формулы: >NН, когда W – группа формулы: >S –>(O)v; каждая обозначает ординарную связь или двойную связь, при условии, что когда W обозначает атом серы или группа формулы: >S –>(O)v, связь между W и Z обозначает ординарную связь; по меньшей мере один из Y1 – Y4 обозначает группу формулы: -(А)p – B1 – T1, где А – атом кислорода, T1 – карбоксильная группа, защищенная карбоксильная группа, защищенная тиокарбоксигруппа, защищенная сульфонамидная группа или тетразолильная группа, B1 – алкиленовая группа, которая имеет 1-4 атома углерода, или алкиленовая группа, которая имеет 1-4 атома углерода и которая замещена, по меньшей мере, одним заместителем, выбранным из заместителей , определенных ниже, и р = 0 или 1; возможны и другие сочетания значений Y1 – Y4 которые обозначены в п. 1 формулы изобретения; из R1 и R2 один обозначает атом водорода, алкильную группу, имеющую 1-6 атомов углерода, или бензильную группу, а другой – атом водорода или алкильную группу, имеющую 1-6 атомов углерода, или R1 и R2 вместе – группа формулы (I b’), в которой R10, R11 и R12 одинаковы или различны и каждый обозначает атом водорода, гидроксильную группу или алкоксигруппу, имеющую 1-6 атомов углерода; R3 – атом водорода или аминозащитная группа; заместители -гидроксильные группы, алкоксикарбонильные группы, имеющие 2-7 атомов углерода, карбоксильные группы, фенильные группы, которые могут быть незамещенными или замещенными, по крайней мере, одним заместителем, выбранным из атомов галогена и нитрогрупп, и аралкильные группы, включающие алкил, имеющий 1-3 атома углерода, который замещен фенильной группой, которая может быть незамещенной или замещенной по крайней мере одним заместителем, выбранным из атомов галогена и нитрогрупп, и его фармацевтически приемлемые соли и сложные эфиры. Соединения формулы (I) могут найти применение в качестве аллостерических эффекторов при мускариновых рецепторах. 26 з.п. ф-лы, 1 табл., 1 ил.
![]()
Изобретение касается соединений, полезных в качестве аллостерических эффекторов при мускариновых рецепторах, использования таких соединений и синтеза таких соединений. Известно, что ацетилхолин связан с памятью, и известно также, что в мозгу пациентов с болезнью Альцгеймера присутствуют пониженные уровни ацетилхолина. В попытке обеспечения способа лечения болезни Альцгеймера различные группы исследователей прилагали усилия для ослабления холинергической недостаточности in vivo. Это делалось, например, путем использования ингибиторов холинэстеразы (для снижения скорости распада ацетилхолина) или путем использования других агонистов в качестве дополнения к ацетилхолину. Ни один из путей не был успешным, так как действие каждого является генерализованным, так что происходит предотвращение распада ацетилхолина по всему телу и при всех рецепторах или действие на него добавки (или и то, и другое), без специфического нацеливания на рецепторы, участвующие в болезни Альцгеймера. Усиление действия ацетилхолина при некоторых рецепторах может вызывать например, депрессию, так что эти пути действия не продолжаются. Более конкретно, ацетилхолин действует на рецепторы, которые подразделяются на два класса: мускариновые и никотиновые. Считают, что в болезни Альцгеймера участвуют мускариновые рецепторы. Мускариновые рецепторы принадлежат к семейству G-белок-связывающих рецепторов. Они были классифицированы на три подтипа на основе их фармакологических свойств и на пять подтипов по их молекулярной структуре. Номенклатура подтипов мускариновых рецепторов была беспорядочной и на Четвертом Международном Симпозиуме по мускариновым рецепторам было рекомендовано, чтобы подтипы, основанные на антагонистсвязывающих свойствах, назывались M1, M2, M3 и M4, а подтипы на основе молекулярной структуры назывались m1 – m5 (см. табл. A). Далее будет использоваться эта номенклатура. Недавно было показано, что можно использовать клетки, экспрессирующие рецепторы m1- m5. Эти клетки представляют собой чистые препараты каждого подтипа рецепторов и очень ценны для характеристики каждого подтипа и для скрининга на специфические для подтипа агенты. Проводились исследования на мускариновых рецепторах в сердце (M2) с применением антагониста N-метилскополамина (NMS). Эти исследования установили, что на связывание этого антагониста могут влиять другие агенты, но эти агенты необязательно действуют в сайте связывания NMS. Такое действие при отличающемся сайте известно как аллостерическое действие или аллостерия. Tucek et al., [J. Neurochem. (1993), 61, Suppl, S 19] показали, что нейромышечное блокирующее лекарственное средство, алкурониум, аллостерически увеличивает аффинность мускариновых рецепторов M2 в сердце относительно NMS. Ricker and Wescoe в 1951 году сообщали, что галламин оказывает отрицательное действие на рецепторы сердца [Ann. N. Y. Acad. Sci., 54, 373-94 (1951)] . Впоследствии было установлено, что галламин не является конкурентным антагонистом для ацетилхолина. Waelbroeck et al. , [J. Recep. Res., 8. 787-808 (1988)] сообщали, что кураре действует аллостерически против мускариновых рецепторов в мозгу, однако эти результаты не могли быть воспроизведены. Сообщалось также, что тубокурарин и батрахотоксин оказывают отрицательное аллостерическое действие на связывание антагонистов. Birdsall et al., [Pierre Fabre Monograph Series, 1, New Concepts in Alzheimer’s Disease, Ed’s Briley, M. , et al., Macmillan Press, Chapter 9, 103-121 обсуждают вопрос о том, что “подтипы мускариновых рецепторов проявляют избирательность в их профиле связывания в отношении аллостерических агентов, и, следовательно, может быть возможной избирательная “настройка” мускариновых ответных реакций”. В этом отношении авторы ссылаются на различия между рецепторами, обнаруженными в центральной нервной системе, и рецепторами в других частях тела. В самом деле, в настоящее время мы обнаружили, что определенные соединения способны действовать при рецепторе m1. Кроме того, определенные соединения способны избирательно действовать в качестве положительных аллостерических эффекторов для ацетилхолина при рецепторах m1, но не при других рецепторах. Первой целью этого изобретения является обеспечение соединений, которые будут оказывать аллостерическое действие на какой-либо из описанных выше мускариновых рецепторов. Второй целью данного изобретения является обеспечение соединений, которые будут оказывать действие на мускариновые рецепторы таким образом, что они будут способствовать профилактике и/или лечению какого-либо из описанных выше состояний или любого состояния, связанного каким-либо образом с мускариновыми рецепторами. Таким образом, данное изобретение обеспечивает, в первом аспекте, способ регуляции m1-рецепторного ответа in vivo в млекопитающем, предусматривающий введение этому млекопитающему эффективного количества избирательного аллостерического эффектора для регуляции указанного рецептора. В предпочтительном варианте аллостерический эффектор проявляет положительное взаимодействие с ацетилхолином при этом рецепторе. Один класс соединений данного изобретения составляют соединения формулы (I): ![]() где Y1 – Y2 – одинаковы или различны и каждый представляет собой атом водорода, атом галогена, нитрогруппу, цианогруппу, гидроксильную группу, тиоловую группу, аминогруппу, алкильную группу, имеющую 1-6 атомов углерода, алкильную группу, имеющую 1-6 атомов углерода и замещенную кетогруппой или по меньшей мере, одним заместителем альфа, определенным ниже, галогеналкильную группу, имеющую 1-6 атомов углерода, алкилтиогруппу, имеющую 1-6 атомов углерода, карбоксильную группу, защищенную карбоксильную группу, сульфонамидную группу, защищенную сульфонамидную группу или группу формулы: – (O)p-B1-T1, где T1 обозначает карбоксильную группу, тиокарбоксильную группу, дитиокарбоксильную группу, защищенную карбоксигруппу, защищенную тиокарбоксильную группу, защищенную дитиокарбоксильную группу, сульфонамидную группу, защищенную сульфонамидную группу или тетразолильную группу; B1 обозначает алкиленовую группу, которая имеет 1-4 атома углерода и является незамещенной или замещена, по меньшей мере, одним из заместителей альфа, определенным ниже, и p = 0 или 1; один из R1 и R2 обозначает атом водорода, алкильную группу, имеющую 1-6 атомов углерода, арильную группу, замещенную арильную группу, аралкильную группу, замещенную аралкильную группу, оксазолильную группу, замещенную оксазолильную группу, карбоксильную группу, защищенную карбоксильную группу, сульфонамидную группу, защищенную сульфонамидную группу или группу формулы: – (A)p-B2-T2, где A обозначает атом кислорода или атом серы; T2 обозначает карбоксильную группу, защищенную карбоксильную группу, сульфонамидную группу, защищенную сульфонамидную группу или тетразолильную группу; B2 обозначает алкиленовую группу, которая имеет 1-6 атомов углерода и является незамещенной или имеет один или более заместителей, выбранных из аминогрупп, защищенных аминогрупп, гидроксильных групп, защищенных гидроксильных групп, оксазолильных групп и замещенных оксазолильных групп, и p имеет данные выше значения; и другой из R1 и R2 обозначает атом водорода, алкильную группу, имеющую 1-6 атомов углерода, арильную группу, замещенную арильную группу, аралкильную группу или замещенную аралкильную группу; или R1 и R2 вместе обозначают группу формулы (Ia) ![]() в которой R4 и R4′ одинаковы или различны и каждый представляет собой атом водорода или алкильную группу, имеющую 1-6 атомов углерода; R5 и R5′ одинаковы или различны и каждый представляет собой атом водорода или группу формулы: – (O)p-(CH2)n-T3, где T3 обозначает карбоксильную группу, защищенную карбоксильную группу, сульфонамидную группу, защищенную сульфонамидную группу или тетразолильную группу и n = 0, 1 или 2, а p имеет данное выше значение; R6 обозначает атом водорода или гидроксильную группу; R7 обозначает атом водорода, карбоксильную группу, защищенную карбоксильную группу, сульфонамидную группу, защищенную сульфонамидную группу или группу формулы: -(O)p-B3-T4, где T4 означает карбоксильную группу, сульфонамидную группу, защищенную сульфонамидную группу или тетразолильную группу и B3 означает алкиленовую группу, которая имеет 1-4 атома углерода и является незамещенной или замещена, по меньшей мере, одним из заместителей альфа, а p имеет данное выше значение; R8 обозначает атом водорода; или когда R9 обозначает алкилтиогруппу, имеющую 1-6 атомов углерода, R7 и R8 вместе обозначают лактоновую группу; R9 обозначает атом водорода или алкилтиогруппу, имеющую 1-6 атомов углерода; или R8 и R9 вместе обозначают оксогруппу; или R1 и R2 вместе обозначают группу формулы (Ib): ![]() в которой R10, R11, R12 и R13 одинаковы или различны и каждый обозначает атом водорода, алкильную группу, имеющую 1-6 атомов углерода, гидроксиалкильную группу, имеющую 1-6 атомов углерода, алкилтиогруппу, имеющую 1-6 атомов углерода, гидроксильную группу, карбоксильную группу, защищенную карбоксильную группу, сульфонамидную группу, защищенную сульфонамидную группу или группу формулы: – (O)p-B4-T5, в которой T5 обозначает карбоксильную группу, защищенную карбоксильную группу, сульфонамидную группу, защищенную сульфонамидную группу или тетразолильную группу, B4 обозначает алкиленовую группу, которая имеет 1-4 атома углерода и является незамещенной или замещена, по меньшей мере, одним из заместителей альфа, а p имеет данное выше значение; или R1 и R2 вместе обозначают группу формулы (Ic): ![]() в которой R14 обозначает атом водорода, алкильную группу, имеющую 1-6 атомов углерода, гидроксиалкильную группу, имеющую 1-6 атомов углерода, гидроксильную группу, карбоксильную группу, защищенную карбоксильную группу, сульфонамидную группу, защищенную сульфонамидную группу или группу формулы: -(O)p-B4-T5, где T5, B4 и p имеют указанные выше значения; R15 и R16 одинаковы или различны и каждый обозначает атом водорода, алкильную группу, имеющую 1-6 атомов углерода, или арильную группу; X обозначает метиленовую группу, группу формулы: или группу формулы: и W обозначает метиленовую группу, атом серы или группу формулы: где q = 0, 1 или 2, предпочтительно 1 или 2, при условии, что по меньшей мере, один из W и X обозначает метиленовую группу;R3 обозначает атом водорода или аминозащищающую группу; и указанные заместители альфа представляют собой гидроксильные группы, арильные группы, аралкильные группы и замещенные аралкильные группы; и их фармацевтически приемлемые соли и эфиры. В предпочтительном варианте обеспечено соединение формулы (I) ![]() где Z обозначает метиленовую группу, метиновую группу, группу формулы: или группу формулы: = N-, а W обозначает метиленовую группу, метиновую группу, атом серы или группу формулы; где v = 1 или 2, при условии, что Z не обозначает группу формулы когда W обозначает группу формулы ![]() каждая линия обозначает ординарную (простую) связь или двойную связь, при условии, что когда W обозначает атом серы или группу формулы: то между Z и W обозначает простую связь;по меньшей мере, один из Y1-Y4 обозначает карбоксильную группу, защищенную карбоксильную группу, сульфонамидную группу, защищенную сульфонамидную группу или группу формулы: -(A)p-B1-T1, где A обозначает атом кислорода или атом серы, T1 обозначает карбоксильную группу, тиокарбоксильную группу, дитиокарбоксильную группу, защищенную карбоксильную группу, защищенную тиокарбоксильную группу, защищенную дитиокарбоксильную группу, сульфонамидную группу, защищенную сульфонамидную группу или тетразолильную группу; В1 обозначает прямую связь, алкиленовую группу, имеющую 1-4 атома углерода, или алкиленовую группу, которая имеет 1-4 атома углерода и замещена, по меньшей мере, одним заместителем, выбранным из заместителей альфа, определенных ниже, и p = 0 или 1; любые члены из группы Y1 – Y4, которые не определены выше, могут быть одинаковыми или различными и каждый обозначает атом водорода, атом галогена, нитрогруппу, гидроксильную группу, тиоловую группу, аминогруппу, алкильную группу, имеющую 1-6 атомов углерода, алкильную группу, имеющую 1-6 атомов углерода и замещенную кетогруппой или, по меньшей мере, одним заместителем , определенным ниже, алкоксигруппу, имеющую 1-6 атомов углерода, алкилтиогруппу, имеющую 1-6 атомов углерода, алкилсульфинильную группу, имеющую 1-6 атомов углерода, алкилсульфонильную группу, имеющую 1-6 атомов углерода, арильную группу, аралкилоксигруппу, аралкилтиогруппу,и Y1 вместе с Y2 может обозначать лактоновую группу или кетогруппу; один из R1 и R2, обозначает атом водорода, алкильную группу, имеющую 1-6 атомов углерода, алканоильную группу, имеющую 1-6 атомов углерода, арильную группу, арилкарбонильную группу, имеющую 7-15 атомов углерода, аралкильную группу, карбоксильную группу, защищенную карбоксильную группу, сульфонамидную группу, защищенную сульфонамидную группу или группу формулы: -(O)-B2-T2, где T2 обозначает карбоксильную группу, защищенную карбоксильную группу, сульфонамидную группу, защищенную сульфонамидную группу или тетразолильную группу, B2 обозначает алкиленовую группу, имеющую 1-6 атомов углерода или алкиленовую группу, имеющую 1-6 атомов углерода и имеющую один или более заместителей, выбранных из аминогрупп, защищенных аминогрупп, гидроксильных групп и защищенных гидроксильных групп, и q = 0 или 1; другой из R1 и R2 обозначает атом водорода, алкильную группу, имеющую 1-6 атомов углерода, арильную группу или аралкильную группу, или R1 и R2 вместе обозначают группу формулы (Ib’): ![]() в которой R10, R11 и R12 одинаковы или различны и каждый представляет собой атом водорода, гидроксигруппу, атом галогена, галогеналкильную группу, алкильную группу, имеющую 1-6 атомов углерода, алкильную группу, имеющую 1-6 атомов углерода и имеющую, по меньшей мере, один заместитель гамма, определенный ниже, алкоксигруппу, имеющую 1-6 атомов углерода, алкилтиогруппу, имеющую 1-6 атомов углерода, алкилсульфинильную группу, имеющую 1-6 атомов углерода, или алкильсульфонильную группу, имеющую 1-6 атомов углерода; R3 обозначает атом водорода или аминозащитную группу; причем арильные группы являются карбоциклическими ароматическими группами, имеющими 6-14 атомов углерода, которые могут быть незамещенными или замещены, по меньшей мере, одним из заместителей, выбранных из заместителей , определенных ниже;алкильные части аралкильных групп имеют 1-3 атома углерода, арильная часть описана выше; заместители ![]() гидроксильные группы, алкильные группы, имеющие 1-6 атомов углерода, алкоксигруппы, имеющие 1-6 атомов углерода, алкилтиогруппы, имеющие 1-6 атомов углерода, арильные группы и аралкильные группы, описанные выше; заместители ![]() атомы галогена, нитрогруппы, гидроксильные группы, аминогруппы, защищенные аминогруппы, алкильные группы, имеющие 1-6 атомов углерода, алкоксикарбонильные группы, имеющие 2-7 атомов углерода, карбоксильные группы, карбоксамидные группы и аралкоксигруппы, причем аралкильная часть соответствует описанной выше; заместители ![]() гидроксильные группы, атомы галогена и арильные группы, описанные выше; и его фармацевтически приемлемые соли и эфиры. Другие цели и объекты, аспекты и варианты данного изобретения будут ясны из дальнейшего описания. Мы предпочитаем, чтобы W был метиновой группой, метиленовой группой или атомом серы, предпочтительно метиновой группой. Мы предпочитаем, чтобы в соединениях изобретения связи, обозначаемые были предпочтительно двойными связями.
Предпочтительно, по меньшей мере, один из Y1 – Y4 обозначает карбоксильную группу, сульфонамидную группу или, предпочтительно, группу формулы; – (A)p-B1-T1.
A предпочтительно обозначает атом кислорода, где он присутствует.
T1 предпочтительно обозначает карбоксильную группу, тиокарбоксигруппу, дитиокарбоксигруппу или тетразолильную группу, предпочтительно карбоксильную группу или тетразолильную группу.
B1 предпочтительно обозначает алкиленовую группу, которая имеет 1-4 атома углерода, или алкиленовую группу, которая имеет 1-4 атома углерода и замещена, по меньшей мере, одной аралкильной группой, хотя мы предпочитаем алкиленовую группу, имеющую 1 или 2 атома углерода.
Предпочтительно, p = 0.
Если любые члены группы Y1 – Y4 имеют не описанные выше значения, предпочтительно, чтобы они были одинаковые или различные и каждый из них обозначал атом водорода, гидроксильную группу, тиоловую группу, алкильную группу, имеющую 1-6 атомов углерода, алкоксигруппу, имеющую 1-6 атомов углерода, алкилтиогруппу, имеющую 1-6 атомов углерода, алкилсульфиниловую группу, имеющую 1-6 атомов углерода, алкилсульфонильную группу, имеющую 1-6 атомов углерода, аралкилоксигруппу, аралкилтиогруппу, причем Y1 вместе с Y2 необязательно обозначает кетогруппу. Особенно предпочтительно, чтобы другие члены из группы Y1 – Y4 были одинаковые или различные и каждый из них обозначал атом водорода, алкильную группу, имеющую 1-6 атомов углерода, алкоксигруппу, имеющую 1-6 атомов углерода, или алкилтиогруппу, имеющую 1-6 атомов углерода.
Один из R1 и R2 предпочтительно обозначает атом водорода, алкильную группу, имеющую 1-6 атомов углерода, или арильную группу, особенно предпочтительно, атом водорода или алкильную группу, имеющую 1-4 атома углерода.
Другой из R1 и R2 предпочтительно обозначает атом водорода, алкильную группу, имеющую 1-6 атомов углерода, или арильную группу, особенно предпочтительно, атом водорода или алкильную группу, имеющую 1-4 атома углерода.
Мы особенно предпочитаем, чтобы R1 и R2 вместе обозначали группу формулы (Ia). Мы также предпочитаем, чтобы R10, R11 и R12, были одинаковые или различные и каждый обозначал атом водорода, атом галогена, алкильную группу, имеющую 1-6 атомов углерода, алкоксигруппу, имеющую 1-6 атомов углерода или алкилтиогруппу, имеющую 1-6 атомов углерода.
R3 предпочтительно обозначает аралкильную группу, в частности, бензильную или фенетильную группу или бензильную или фенетильную группу, замещенную, по меньшей мере, одним заместителем, выбранным из группы, состоящей из атомов галогена и нитрогрупп. Особенно предпочтительно, чтобы R3 представлял собой незамещенную бензильную группу.
Предпочтительно, чтобы в соединениях этого изобретения арильные группы были выбраны из карбоциклических ароматических групп, имеющих 6-10 атомов углерода, и карбоциклических ароматических групп, имеющих 6-10 атомов углерода и имеющих по меньшей мере один заместитель, выбранный из заместителей , описанных выше.
Мы предпочитаем, чтобы в соединениях этого изобретения каждая из аралкильных групп была незамещенной или замещенной, по меньшей мере одним заместителем, выбранным из группы, состоящей из атомов галогена или нитрогрупп.
Что касается нижеследующих соединений, должно быть понятно, что, как и в описанных выше соединениях, любые предпочтительные ограничения в отношении групп-заместителей пригодны в общем к любым соединениям данного изобретения.
Предпочтительные соединения имеют формулу (I)![]() где W представляет собой -S-, или группу формулы: где v = 1 или 2;Z обозначает или = N-;пунктирные линии отдельно указывают, что связь, с которой они соседствуют, является ординарной или двойной связью; Y1 обозначает атом водорода, тиоловую группу, гидроксигруппу, цианогруппу, ацетильную группу, алкильную группу, имеющую 1-6 атомов углерода, пергалогеналкильную группу, имеющую 1 или 2 атома углерода, алкилтиогруппу, имеющую 1-6 атомов углерода, алкильную группу, имеющую 1 или 2 заместителя, выбранных из заместителей g, представленных ниже, аралкильную группу или аралкильную группу, замещенную одним или более заместителями f, представленными ниже; Y2 или Y3 одинаковы или различны и каждый обозначает атом водорода, алкильную группу, имеющую 1-6 атомов углерода, карбоксильную группу, алкилкарбонильную группу, имеющую 1-6 атомов углерода, гидроксильную группу, алкоксигруппу, имеющую 1-6 атомов углерода, алкоксигруппу, замещенную одним или более заместителями, выбранными из заместителей g, представленных ниже, цианогруппу, карбамоильную группу, группу формулы: -CONR30R31, где R30 и R31 имеют указанные ниже значения, алкилтиогруппу, имеющую 1-6 атомов углерода, алкилтиогруппу, замещенную одним или более заместителями f, представленными ниже, или алкильную группу, замещенную одним или более заместителями, выбранными из заместителей h, представленных ниже; Y4 обозначает атом водорода, алкильную группу, имеющую 1-6 атомов углерода, алкоксигруппу, имеющую 1-6 атомов углерода, арилоксигруппу, алкилтиогруппу, имеющую 1-6 атомов углерода, гидроксильную группу, тиоловую группу, метилсульфонильную группу, метилсульфинильную или арилтиогруппу; R3 обозначает алкилкарбонильную группу, имеющую 1-6 атомов углерода, атом водорода, метилсульфонильную группу, алкильную группу, имеющую 1-6 атомов углерода, бензоильную группу, бензоильную группу, замещенную одним или более заместителей f, представленных ниже, арильную группу, арильную группу, замещенную одним или более заместителями, выбранными из f (см. ниже), алкильную группу, имеющую 1-6 атомов углерода и замещенную одним или более заместителями, выбранными из заместителей h (см. ниже), аралкильную группу, где алкильная часть имеет 1-6 атомов углерода, или аралкильную группу, где алкильная часть имеет 1-6 атомов углерода, а арильная часть замещена, по меньшей мере, одним или более заместителями, выбранными из f (см. ниже); R2 и R1 одинаковые или различные и каждый обозначает атом водорода или алкильную группу, имеющую 1-6 атомов углерода, или R1 и R2 вместе образуют фенильную группу, конденсированную при связи, соединяющей R2, и R1, причем эта фенильная группа необязательно замещена одним или более заместителями f (см. ниже) и один из атомов углерода кольца необязательно заменен атомом азота; указанные арильные группы и арильные части аралкильных групп представляют собой карбоциклические ароматические группы, имеющие 6-14 атомов углерода, которые могут быть незамещенными или замещены, по меньшей мере, одним заместителем, выбранным из заместителей f (см. ниже); заместители f арилоксигруппы, нитрогруппы, атомы галогенов, карбамоильные группы, гидроксигруппы, алкоксигруппы, имеющие 1-6 атомов углерода, тетразолильные группы, карбоксильные группы и арильные группы; заместители g арильные группы, карбоксильные группы, цианогруппы, гидроксигруппы, атомы галогена, тиоловые группы, аминогруппы и моно- или диалкиламиногруппы, причем каждая из алкильных групп имеет 1-6 атомов углерода, группы формулы: CONR30R31, где R30 и R31 (каждый) представляет собой алкильную группу, имеющую 1-6 атомов углерода, или вместе с азотом, с которым они соединены, они образуют циклическую или гетероциклическую группу, или группу формулы: CSNR30R31, где R30 и R31 имеют данные выше значения; заместители h тетразолильные группы, карбоксильные группы, фенильные группы, фенил, замещенный одним или более заместителями, выбранными из заместителей f (см. выше), карбамоильные группы, сульфонамидные группы, защищенные сульфонамидные группы, карбонилсульфонамидные группы, гидроксильные группы, алкоксигруппы, имеющие 1-6 атомов углерода, тиоловые группы, алкилтиогруппы, имеющие 1-6 атомов углерода, арильные группы, гетероциклические группы, карбонильные группы, тиокарбонильные группы, группы формулы: CONR30R31, где каждый из R30 и R31 обозначает алкильную группу, имеющую 1-6 атомов углерода, или вместе с азотом, с которым они соединены, они образуют циклическую или гетероциклическую группу, или группу формулы: CSNR30R31, где R30 и R31 имеют указанные выше значения; при условии, что не все из Y1 – Y4 и R3 являются атомами водорода и, когда пунктирные линии обозначают ординарные связи, каждый из Y1 – Y4 может также обозначать кетогруппу и/или каждый из Y1 – Y4 может также обозначать две такие группы Y1 – Y4, и их фармацевтически приемлемые соли и эфиры. Будет более ценным, если в представленной выше формуле заместители Y1 – Y4 имеют определенные положения, являющиеся предпочтительными положениями. Другой класс соединений данного изобретения представляют соединения формулы (II): ![]() где Y3′ обозначает атом водорода, атом галогена, нитрогруппу, гидроксильную группу, аминогруппу, алкильную группу, имеющую 1-6 атомов углерода, арильную группу, замещенную арильную группу, аралкильную группу, замещенную аралкильную группу или, когда оба R1′ и R2′ являются атомами водорода, группу формулы: -B-T, где T обозначает карбоксильную группу, сульфонамидную группу, защищенную сульфонамидную группу или тетразолильную группу, а B обозначает алкиленовую группу, имеющую 1-4 атома углерода и необязательно замещенную фенильной или бензильной группой, причем фенильная или бензильная группа необязательно замещена одним или более заместителями, выбранными из атомов галогена, нитрогрупп, гидроксильных групп, аминогрупп и метильных групп; R1′ обозначает атом водорода или группу формулы: -B’-T’, где T’ обозначает карбоксильную группу, сульфонамидную группу, защищенную сульфонамидную группу или тетразолильную группу, а B’ обозначает алкиленовую группу, имеющую 1-4 атома углерода и необязательно замещенную аминогруппой; R2′ обозначает атом водорода; или R1′ и R2′ вместе обозначают группу формулы (Ia): ![]() в которой R4 и R4′ одинаковые или различные и каждый обозначает атом водорода или алкильную группу, имеющую 1-6 атомов углерода; R5 и R5′ одинаковые или различные и каждый обозначает атом водорода или группу формулы: -(CH2)n-T”, где T” обозначает карбоксильную группу, сульфонамидную группу, защищенную сульфонамидную группу или тетразолильную группу, а n = 0, 1 или 2; R6 обозначает атом водорода или гидроксильную группу; R7 обозначает атом водорода или группу формулы -(CH2)m-T”’, в которой T”’ обозначает карбоксильную группу, сульфонамидную группу, защищенную сульфонамидную группу или тетразолильную группу, а m = 0, 1 или 2; R8 обозначает атом водорода или, вместе с R6, обозначает лактоновую группу; R9 обозначает атом водорода, кетогруппу или метилтиогруппу; или R1′ и R2′ вместе обозначают группу формулы (Ib”): ![]() в которой R10′ обозначает атом водорода или алкильную группу, имеющую 1-6 атомов углерода; R11′ обозначает атом водорода или группу формулы: -(CH2)n-T””, в которой T”” обозначает карбоксильную группу, сульфонамидную группу, защищенную сульфонамидную группу или тетразолильную группу, а n имеет данное выше значение; R12′ обозначает атом водорода, гидроксильную группу, карбоксильную группу, сульфонамидную группу, защищенную сульфонамидную группу или группу формулы: -(O)p-B”-T””, в которой T””’ обозначает карбоксильную группу, сульфонамидную группу или тетразолильную группу, p = 0 или 1 и B” обозначает алкиленовую группу, имеющую 1-4 атома углерода и необязательно замещенную гидроксигруппой, фенильной группой или бензильной группой, причем фенильная или бензильная группа необязательно замещена одним или более заместителями, выбранными из атомов галогена, нитрогрупп, гидроксильных групп, аминогрупп и метильных групп; R13 обозначает атом водорода, алкильную группу, имеющую 1-6 атомов углерода, или метилтиогруппу; и R3 обозначает атом водорода или алкильную группу, имеющую 1-6 атомов, замещенную кетогруппой и/или фенильной группой, причем фенильная группа необязательно замещена одним или более заместителями, выбранными из атомов галогена, нитрогрупп, гидроксильных групп, аминогрупп и метильных групп; и их фармацевтически приемлемые соли и эфиры. Другой класс соединений данного изобретения составляют соединения формулы (II): ![]() где один из R1 и R2′ обозначает атом водорода, алкильную группу, имеющую 1-6 атомов углерода, арильную группу, замещенную арильную группу, аралкильную группу, замещенную аралкильную группу, оксазолильную группу, замещенную оксазолильную группу, которая замещена по меньшей мере, одним из заместителей , определенных ниже, группу формулы: -(A)p-B5-COOH, где A обозначает атом кислорода или атом серы, p обозначает 0 или 1, B5 обозначает алкиленовую группу, которая имеет 1-6 атомов углерода и является незамещенной или замещена, по меньшей мере одним заместителем, выбранным из аминогрупп, защищенных аминогрупп, гидроксильных групп, защищенных гидроксильных групп, оксазолильных групп и замещенных оксазолильных групп;а другой из R1′ и R2′ обозначает атом водорода, алкильную группу, имеющую 1-6 атомов углерода, арильную группу, замещенную арильную группу, аралкильную группу или замещенную аралкильную группу; или R1′ и R2′ вместе обозначают группу формулы (Id), (Ie) или (Ic): ![]() R14 и R10′ одинаковые или различные и каждый обозначает гидроксигруппу, галогеналкильную группу, имеющую 1-6 атомов углерода, гидроксиалкильную группу, имеющую 1-6 атомов углерода, карбоксильную группу, защищенную карбоксильную группу, сульфонамидную группу, защищенную сульфонамидную группу или группу формулы: -(O)p-B6-T6, где B6 обозначает алкиленовую группу, имеющую 1-4 атома углерода и незамещенную или замещенную, по меньшей мере, одним из заместителей , определенных ниже, T6 обозначает карбоксильную группу, защищенную карбоксильную группу, сульфонамидную группу, защищенную сульфонамидную группу или тетразолильную группу, а p имеет указанное выше значение;R15 и R12′ одинаковые или различные и каждый обозначает атом водорода, алкильную группу, имеющую 1-6 атомов углерода, галогеналкильную группу, имеющую 1-6 атомов углерода, или арильную группу; X обозначает метиленовую группу, группу формулы: или группу формулы: ![]() W обозначает метиленовую группу, атом серы или группу формулы где q имеет данное выше значение;при условии, что по меньшей мере, один из W и X является метиленовой группой; R11′ обозначает атом водорода, галогеналкильную группу, имеющую 1-6 атомов углерода, или алкилтиогруппу, имеющую 1-6 атомов углерода; R6 обозначает гидроксигруппу; R7 обозначает карбоксильную группу, защищенную карбоксильную группу, сульфонамидную группу, защищенную сульфонамидную группу или группу формулы -B7-T7, где В7 обозначает алкиленовую группу, которая имеет 1-4 атома углерода и которая является незамещенной или замещена, по меньшей мере, одним из заместителей (см. ниже), и T7 обозначает карбоксильную группу, защищенную карбоксильную группу, сульфонамидную группу, защищенную сульфонамидную группу или тетразолильную группу;R9 обозначает атом водорода или алкилтиогруппу, имеющую 1-6 атомов углерода; или R7 и R8 вместе обозначают лактоновую группу, когда R9 обозначает алкилтиогруппу, имеющую 1-6 атомов углерода; или R9 и R8 вместе обозначают оксогруппу; R3 обозначает атом водорода или аминозащищающую группу; Y3′ обозначает атом водорода, атом галогена, карбоксильную группу, защищенную карбоксильную группу, сульфонамидную группу, защищенную сульфонамидную группу или группу формулы: -B8-T8, где B8 обозначает алкиленовую группу, которая имеет 1-4 атома углерода и является незамещенной или замешена, по меньшей мере, одним из заместителей (см. ниже), а T8 обозначает карбоксильную группу, защищенную карбоксильную группу, сульфонамидную группу, защищенную сульфонамидную группу или тетразолильную группу;указанные заместители выбраны из алкильных групп, имеющих 1-6 атомов углерода, аралкильных групп, замещенных аралкильных групп, карбоксильных групп, нитрогрупп, атомов галогена и цианогрупп;указанные заместители выбраны из гидроксигрупп, аралкильных групп и замещенных аралкильных групп; и их фармацевтически приемлемые сопи и эфиры.
Другой класс соединений данного изобретения составляют соединения формулы (I)![]() где R1′ обозначает атом водорода; R2′ обозначает атом водорода; или R1′ и R2′ вместе обозначают группу формулы (If) ![]() R3 обозначает атом водорода, аралкильную группу, аралкильную группу, замещенную по меньшей мере, одним из заместителей (см. ниже), или ароматическую ацильную группу;Y1 обозначает атом водорода, тиоловую группу, алкильную группу, имеющую 1-6 атомов углерода, сульфонамидную группу, галоалкильную группу, имеющую 1-6 атомов углерода, защищенную сульфонамидную группу или группу формулы: -E-COOH; Y2 обозначает атом водорода, алкильную группу, имеющую 1-6 атомов углерода, алкилтиогруппу, имеющую 1-6 атомов углерода, галогеналкильную группу, имеющую 1-6 атомов углерода, сульфонамидную группу, защищенную сульфонамидную группу или группу формулы: -E-COOH или -E-Tet, где Tet – обозначает тетразолильную группу; Y3 обозначает галогеналкильную группу, имеющую 1-6 атомов углерода, сульфонамидную группу, защищенную сульфонамидную группу, группу формулы: -E-COOH или -E-Tet, где Tet имеет указанное выше значение; Y4 обозначает атом водорода, алкильную группу, имеющую 1-6 атомов углерода, галогеналкильную группу, имеющую 1-6 атомов углерода; и E обозначает алкиленовую группу, которая имеет 1-4 атома углерода и которая является незамещенной или замещена, по меньшей мере, одним из заместителей (см. ниже), или оксиалкиленовую группу, которая имеет 1-3 атома углерода и которая является незамещенной или замещена, по меньшей мере, одним из заместителей (см. ниже);при условии, что (1) когда оба R1′ и R2′ обозначают атомы водорода, по меньшей мере один из Y1 – Y3 обозначают группу формулы: -E-COOH, и R3 не является атомом водорода; (2) когда R1′ и R2′ вместе обозначают группу формулы (If), Y3 обозначает карбоксигруппу и R3 обозначает атом водорода, Y1, Y2 и Y4 не все обозначают атомы водорода; (3) когда R1′ и R2′ вместе обозначают группу формулы (If), Y3 обозначает карбоксигруппу, Y2 обозначает атом водорода и один из Y1 и Y4 обозначает карбоксигруппу, R3 не обозначает атом водорода; (4) когда R1′ и R2′ вместе обозначают группу формулы (If), Y3 обозначает карбоксигруппу и, по меньшей мере один из Y1, Y2 и Y4 обозначает алкильную группу, R3 не является атомом водорода; (5) когда R1′ и R2′ вместе обозначают группу формулы (If), Y3 обозначает карбоксигруппу и Y4 обозначает атом галогена, Y1 и Y2 не оба являются атомами водорода; указанные заместители выбраны из алкильных групп, имеющих 1-6 атомов углерода, аралкильных групп и аралкильных групп, замещенных, по меньшей мере, одним из заместителей (см. ниже);указанные заместители выбраны из атомов галогена и нитрогрупп.
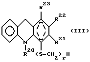
Наиболее предпочтительным классом соединений данного изобретения являются соединения формулы (III)![]() где пунктирное кольцо указывает на то, что кольцо, в котором оно присутствует, является полностью ненасыщенным; R20 обозначает бензильную группу, необязательно замещенную одним или более заместителями, выбранными из атомов галогена, аминогрупп, нитрогрупп и гидроксигрупп; R21 обозначает группу формулы: -Q-Alk-COOH, где Q обозначает атом кислорода или прямую связь, а Alk обозначает низшую алкиленовую группу, причем Alk необязательно замещен бензильной группой, необязательно замещенной далее одним или более заместителями, выбранными из атомов галогена, аминогрупп, нитрогрупп и гидроксигрупп; R22 обозначает атом водорода; R23 обозначает атом водорода или низшую алкильную группу; и r = 0 или 1; или пунктирное кольцо указывает на то, что центральной тройной циклической структурой является 1,2,3,4-тетрагидрокарбазол; R20, R21 и R23 все обозначают атомы водорода и R22 обозначает низшую алкильную группу, замещенную карбоксильной группой; и r = 1. В случае соединений формулы (III), когда пунктирное кольцо указывает на то, что центральной тройной циклической структурой является 1,2,3,4-тетрагидрокарбазол, мы предпочитаем те соединения, в которых r = 0, для использования в терапевтических приложениях данного изобретения. В случае соединений формулы (III), когда R20 обозначает замещенную бензильную группу или Alk замещен замещенной бензильной группой, предпочтительными заместителями на бензильной группе являются атомы галогена, в частности, предпочтительно атомы хлора, фтора и брома, или нитрогруппы, а предпочтительное число заместителей равно 0 или 1. В соединения формулы (III), Alk предпочтительно является метиленовой, этиленовой или пропиленовой группой, в частности, этиленовой группой, a Z предпочтительно является ординарной связью углерод-углерод. В соединениях формулы (III) R23 предпочтительно обозначает атом водорода или метильную группу, предпочтительно атом водорода. Данное изобретение также обеспечивает описанные выше классы соединений для использования в лечении деменции. Данное изобретение также обеспечивает описанные выше классы соединений для использования в лечении болезни Альцгеймера и делирия и в качестве седативных средств для центральной нервной системы. Данное изобретение, кроме того, обеспечивает описанные выше классы соединений для использования в приготовлении лекарственного средства для лечения болезни Альцгеймера. Изобретение охватывает также соединения (среди которых находятся те, которые были описаны выше), которые являются новыми. В соединениях данного изобретения, в тех случаях, когда Y1 – Y4, Y, R3, R12, B, B”, заместитель или заместитель обозначает атом галогена, он может быть атомом фтора, хлора, брома или иода и предпочтительно является атомом фтора или хлора.
Если Y1 – Y4, Y, R1 – R4, R4′, R10 – R15, заместитель или заместитель обозначает алкильную группу, имеющую 1-6 атомов углерода, это можетбыть группа с прямой или разветвленной цепью, имеющая 1-6, предпочтительно 1-4 атома углерода, и примеры включают в себя группы метил, этил, пропил, изопропил, бутил, изобутил, втор-бутил, трет-бутил, пентил, изопентил, неопентил, 2-метилбутил, 1-этилпропил, 4-метилпентил, 3-метилпентил, 2-метилпентил, 1- метилпентил, 3,3-диметилбутил, 2,2-диметилбутил, 1,1-диметилбутил, 1,2-диметилбутил, 1,3-диметилбутил, 2,3-метилбутил, 2-этилбутил, гексил и изогексил. Среди них мы предпочитаем алкильные группы, имеющие 1-4 атома углерода, предпочтительно группы метил, этил, пропил, изопропил, бутил и изобутил и, наиболее предпочтительно, метильную группу. Если Y1 – Y4, Y, R9, R10 – R13 обозначают алкилтиогруппу, имеющую 1-6 атомов углерода, это может быть группа с прямой или разветвленной цепью, имеющая 1-6 атомов углерода, предпочтительно 1-4 атома углерода, и примеры включают в себя метилтио, этилтио, пропилтио, изопропилтио, бутилтио, изобутилтио, втор-бутилтио, трет-бутилтио, пентилтио, изопентилтио, неопентилтио, 2-метилбутилтио, 1-этилпропилтио, 4-метилпентилтио, 3-метилпентилтио, 2-метилпентилтио, 1-метилпентилтио, 3,3-диметилбутилтио, 2,2-диметилбутилтио, 1,1-диметилбутилтио, 1,2-диметилбутилтио, 1,3-диметилбутилтио, 2,3- диметилбутилтио, 2-этилбутилтио, гексилтио и изогексилтиогруппы. Из них мы предпочитаем алкилтиогруппы, имеющие 1-4 атома углерода, предпочтительно метилтиогруппу, этилтиогруппу, пропилтиогруппу, изопропилтиогруппу, бутилтиогруппу и изобутилтиогруппу и, наиболее предпочтительно, метилтиогруппу. Если Y1 – Y4, T, T1 – T8, R1, R7, R10 – R14 обозначают защищенную карбоксигруппу, нет конкретного ограничения в отношении природы используемой карбоксизащищающей группы и в этой реакции можно равным образом использовать любую карбоксизащищающую группу, известную в этой области. Неограничивающие примеры таких групп включают в себя: алкильные группы, имеющие 1-25 атомов углерода, более предпочтительно 1-6 атомов углерода, такие как группы метил, этил, пропил, изопропил, бутил, изобутил, втор-бутил, трет-бутил, пентил, изопентил, неопентил, 2-метилбутил, 1-этилпропил, 4-метилпентил, 3-метилпентил, 2-метилпентил, 1-метилпентил, 3,3-диметилбутил, 2,2-диметилбутил, 1,1-диметилбутил, 1,2-диметилбутил, 1,3-диметилбутил, 2,3-диметилбутил, 2-этилбутил, гексил, изогексил, гептил, октил, нонил, децил, додецил, тридецил, пентадецил, октадецил, нонадецил, эйкозил, генэйкозил, докозил, трикозил, тетракозил и пентакозил, но наиболее предпочтительны метильная, этильная и трет-бутильная группы; циклоалкильные группы, имеющие 3-7 атомов углерода, например, группы циклопропил, циклобутил, циклопентил, циклогексил и циклогептил; аралкильные группы, в которых алкильная часть имеет 1-3 атома углерода, а арильная часть является карбоциклической ароматической группой, имеющей 6-14 атомов углерода, которая может быть замещенной или незамещенной и, если она замещенная, она имеет, по меньшей мере, один из заместителей (см. выше), хотя предпочтительны незамещенные группы; примеры таких аралкильных групп включают в себя группы бензил, фенетил, 1-фенилэтил, 3-фенилпропил, 2-фенилпропил, 1-нафтилметил, 2-нафтилметил, 2-(1-нафтил)-этил, 2-(2-нафтил)этил, бензгидрил (т. е. дифенилметил), трифенилметил, бис(о-нитрофенил)метил, 9-антрилметил, 2,4,6-триметилбензил, 4-бромбензил, 2-нитробензил, 4-нитробензил, 3-нитробензил, 4-метоксибензил и пиперонил;алкенильные группы, имеющие 2-6 атомов углерода, такие как группы винил, аллил, 2-метилаллил, 1-пропенил, изопропенил, 1-бутенил, 2-бутенил, 3-бутенил, 1-пентенил, 2-пентенил, 3-пентенил, 4-пентенил, 1-гексенил, 2-гексенил, 3-гексенил, 4-гексенил и 5-гексенил, из которых предпочтительны группы винил, аллил, 2-метилаллил, 1-пропенил, изопропенил и бутенил и наиболее предпочтительны аллил и 2-метилаллил; галогеналкильные группы, имеющие 1-6, предпочтительно 1-4 атома углерода, в которых алкильная часть описана и показа на в виде примеров в связи с алкильными группами выше, а атомом галогена является хлор, фтор, бром или иод, такие как группы 2,2,2-трихлорэтил, 2-галогенэтил (например, 2-хлорэтил, 2-фторэтил, 2-бромэтил или 2-иодэтил), 2,2-дибромэтил и 2,2,2-трибромэтил; замещенные силилалкильные группы, в которых алкильная часть описана и показана в виде примеров выше, а силильная группа имеет до 3 заместителей, выбранных из алкильных групп, имеющих 1-6 атомов углерода, и фенильных групп, которые являются незамещенными или имеют, по меньшей мере один заместитель, выбранный из заместителей (см. выше), например группа 2-триметилсилилэтил;фенильные группы, незамещенные или замещенные, предпочтительно, по меньшей мере одной алкильной группой, имеющей 1-4 атома углерода, или ациламиногруппой, например, фенильная, толильная и бензамидофенильная группы; фенацильные группы, которые могут быть незамещенными или имеют, по меньшей мере один из заместителей , описанных и показанных в виде примеров выше, например, сама фенацильная группа или п-бромфенацильная группа;циклические и ациклические терпенильные группы, например, группы геранил, нерил, линалил, фитил, ментил (в частности, м-ментил и п-ментил), туйил, карил, пинанил, борнил, норкарил, норпинанил, норборнил, ментенил, камфенил и норборненил; алкоксиметильные группы, в которых алкокси-часть имеет 1-6, предпочтительно 1-4 атома углерода и может быть сама замещена одной незамещенной алкоксигруппой, такие как метоксиметил, этоксиметил, пропоксиметил, изопропоксиметил, бутоксиметил и метоксиэтоксиметил; алифатические ацилоксиалкильные группы, в которых ацильная группа является предпочтительно алканоильной группой и, более предпочтительно, алканоильная группа имеет 2-6 атомов углерода, а алкильная часть имеет 1-6, предпочтительно, 1-4 атома углерода, такие как группы ацетоксиметил, пропионилоксиметил, бутирилоксиметил, изобутирилоксиметил, пивалоилоксиметил, 1-пивалоилоксиэтил, 1-ацетоксиэтил, 1-изобутирилоксиэтил, 1-пивалоилоксипропил, 2-метил-1-пивалоилоксипропил, 2-пивалоилоксипропил, 1-изобутирилоксиэтил, 1-изобутирилоксипропил, 1-ацетоксипропил, 1-ацетокси-2-метилпропил, 1-пропионилоксиэтил, 1-пропионилоксипропил, 2-ацетоксипропил и 1-бутирилоксиэтил; циклоалкил-замещенные алифатические ацилоксиалкильные группы, в которых ацильная группа является предпочтительно алканоильной группой и, более предпочтительно, алканоильной группой, имеющей 2- 6 атомов углерода, циклоалкильный заместитель имеет 3-7 атомов углерода и алкильная часть имеет 1-6, предпочтительно 1-4 атома углерода, такие как группы (циклогексилацетокси) метил, 1-(циклогексилацетокси) этил, 1-(циклогексилацетокси)пропил, 2-метил-1-(циклогексилацетокси)пропил, (циклопентилацетокси)метил, 1-(циклопентилацетокси)этил, 1-(циклопентилацетокси)пропил и 2-метил-1-(циклопентилацетокси)пропил; алкоксикарбонилоксиалкильные группы, в частности, 1-(алкоксикарбонилокси)этильные группы, в которых алкокси-часть имеет 1-10, предпочтительно 1-6 атомов углерода и, наиболее предпочтительно, 1-4 атома углерода, а алкильная часть имеет 1-6, предпочтительно 1-4 атома углерода, такие как 1-метоксикарбонилоксиэтил, 1-этоксикарбонилоксиэтил, 1-пропоксикарбонилоксиэтил, 1-изопропоксикарбонилоксиэтил, 1-бутоксикарбонилоксиэтил, 1-изобутоксикарбонилоксиэтил, 1-втор-бутоксикарбонилоксиэтил, 1-трет-бутоксикарбонилоксиэтил, 1-(1-этилпропоксикарбонилокси)этил, 1-(1,1-дипропилбутоксикарбонилокси)этил, и другие алкоксикарбонилалкильные группы, в которых как алкокси, так и алкильные группы имеют 1-6, предпочтительно 1-4 атома углерода, такие как 2-метил-1-(изопропоксикарбонилокси)пропил, 2-(изопропоксикарбонилокси)пропил, изопропоксикарбонилоксиметил, трет-бутоксикарбонилоксиметил, метоксикарбонилоксиметил и этоксикарбонилоксиметил; циклоалкилкарбонилоксиалкильные и циклоалкилоксикарбонилоксиалкильные группы, в которых циклоалкильная группа имеет 3-10, предпочтительно 3-7 атомов углерода, является моно- или полициклической и необязательно замещенной, по меньшей мере одной (и предпочтительно только одной) алкильной группой, имеющей 1-4 атома углерода (например, выбранной из приведенных выше в качестве примеров алкильных групп), а алкильная часть имеет 1-6, более предпочтительно 1-4 атома углерода (например, выбрана из приведенных выше в качестве примеров алкильных групп) и представляет собой наиболее предпочтительно метил, этил или пропил, например, 1-метилциклогексилкарбонилоксиметил, 1-метилциклогексилоксикарбонилоксиметил, циклопентилоксикарбонилоксиметил, циклопентилкарбонилоксиметил, 1-циклогексилоксикарбонилоксиэтил, 1-циклогексилкарбонилоксиэтил, 1-циклопентилоксикарбонилоксиэтил, 1-циклопентилкарбонилоксиэтил, 1-циклогептилоксикарбонилоксиэтил, 1-циклогептилкарбонилоксиэтил, 1-метилциклопентилкарбонилоксиметил, 1-метилциклопентилоксикарбонилоксиметил, 2-метил-1-(1-метилциклогексилкарбонилокси)пропил, 1-(1-метилциклогексилкарбонилокси)пропил, 2-(1-метилциклогексилкарбонилокси)пропил, 1-(циклогексилкарбонилокси)пропил, 2-(циклогексилкарбонилокси)пропил, 2-метил-1-(1-метилциклопентилкарбонилокси)пропил, 1-(1-метилциклопентилкарбонилокси)пропил, 2-(1-метилциклопентилкарбонилокси)пропил, 1-(циклопентилкарбонилокси)пропил, 2-(циклопентилкарбонилокси)пропил, 1-(1-метилциклопентилкарбонилокси)этил, 1-(1-метилциклопентилкарбонилокси)пропил, адамантилоксикарбонилоксиметил, адамантилкарбонилоксиметил, 1-адамантилоксикарбонилоксиэтил и 1-адамантилкарбонилоксиэтил; циклоалкилалкоксикарбонилоксиалкильные группы, в которых алкоксигруппа имеет один циклоалкильный заместитель, имеющий 3-10, предпочтительно 3-7 атомов углерода, и моно- или полициклические группы, например, циклопропилметоксикарбонилоксиметил, циклобутилметоксикарбонилоксиметил, циклопентилметоксикарбонилоксиметил, циклогексилметоксикарбонилоксиметил, 1-(циклопропилметоксикарбонилокси)этил, 1-(циклобутилметоксикарбонилокси)этил, 1-(циклопентилметоксикарбонилокси)этил и 1-(циклогексилметоксикарбонилокси)этил; терпенилкарбонилоксиалкильные и терпенилоксикарбонилоксиалкильные группы, в которых терпенильная группа соответствует приведенным выше примерам и предпочтительно представляет собой циклическую терпенильную группу, например, группы 1-(ментилоксикарбонилокси)этил, 1-(ментилкарбонилокси)этил, ментилоксикарбонилоксиметил, ментилкарбонилоксиметил, 1-(3-пинанилоксикарбонилокси)этил, 1-(3-пинанилкарбонилокси)этил, 3-пинанилоксикарбонилоксиметил и 3-пинанилкарбонилоксиметил; 5-алкил- или 5-фенил- [которые могут быть замещены, по меньшей мере, одним из заместителей (см. выше)] -(2-оксо-1,3-диоксолен-4-ил)алкильные группы, в которых каждая алкильная группа (которая может быть одной и той же или алкильные группы могут быть различными) имеет 1-6, предпочтительно 1-4, атомов углерода, например, группы (5-метил-2-оксо-1,3-диоксолен-4-ил)метил, (5-фенил-2-оксо-1,3-диоксолен-4-ил)метил, (5-изопропил-2-оксо-1, 3-диоксолен-4-ил)метил, (5-трет-бутил-2-оксо-1,3-диоксолен-4- ил)метил и 1-(5-метил-2-оксо-1,3-диоксолен-4-ил)этил;и другие группы, такие как фталидильные, инданильные и 2-оксо-4,5,6,7-тетрагидро-1,3-бензодиоксолен-4-ильные группы. Если T, T1 – T8, T’, T”, T”’, T””, T””’ или Tet обозначают тетразолильную группу, она предпочтительно является тетразол-5-ильной группой. Если R1, B2 или B5 обозначают оксазолильную группу, она предпочтительно является оксазол-5-ильной группой, которая может быть замещенной или незамещенной. В случае заместителей на атомах углерода, они могут быть выбраны из алкильных групп, имеющих 1-6 атомов углерода (таких как приведенные выше в качестве примеров) и аралкильных и ацильных групп (таких как приведенные в примерах ниже), а также нитрогрупп, атомов галогена и цианогрупп. Если B1 – B8, B, B’, B” или E обозначают алкиленовую группу, она может быть алкиленовой группой с прямой или разветвленной цепью, имеющей 1-3 или 1-4 атома углерода. Примеры таких групп включают в себя группы метилен, этилен, этилиден, триметилен, пропилен, пропилиден, изопропилиден, тетраметилен, бутилиден, 1-метилэтилен, 2-метилэтилен, 1-метилтриметилен, 2-метилтриметилен, 3-метилтриметилен, пентаметилен и гексаметилен, из которых предпочтительными являются метиленовая и этиленовая группы. Если E обозначает оксиалкиленовую группу, она может быть оксиалкиленовой группой с прямой или разветвленной цепью, имеющей 1-3 или 1-4 атома углерода. Примеры таких групп включают в себя группы оксиметилен, оксиэтилен, окситриметилен, оксипропилен, окситетраметилен, 1-метилоксиэтилен, 2-метилоксиэтилен, 1-метилокситриметилен, 2-метилокситриметилен и 3-метилокситриметилен, из которых предпочтительными являются оксиметиленовая и оксиэтиленовая группы. Если алкиленовая группа, представленная B2 или B5, замещена защищенной аминогруппой или, если R3, или R13 обозначает аминозащищающую группу, используемая защитная группа не является критической для данного изобретения и здесь можно использовать любую защитную группу, используемую в соединениях этого типа. Примеры подходящих защитных групп включают в себя: ацильные группы, такие как низший алифатический карбоциклический ацил, предпочтительно алканоильные группы и, в частности, алканоильные группы, имеющие 1-6 атомов углерода; или ароматические карбоксильные ацильные группы, предпочтительно арилкарбонильные группы, в которых арильная часть соответствует описанной и приведенной в примерах ниже в связи с R1, R2, R12, R15, Y или заместителем , например: алифатические низшие ацильные группы, такие как формил, ацетил, пропионил, бутирил, изобутирил, валерил, изовалерил и пивалоил; и ароматические ацильные группы, такие как бензоил, 4-ацетоксибензоил,4-метоксибензоил, 3-метоксибензоил, 2-метоксибензоил, 4-метилбензоил, 3-фторбензоил, 4-фторбензоил, 3-хлорбензоил, 4-хлорбензоил, 3,4-дихлорбензоил, 3,4-дифторбензоил, 3,4-диметоксибензоил, 4-нитробензоил, 4-аминобензоил, 4-ацетамидобензоил и 1-нафтоил. Из них мы предпочитаем ацетильную, бензоильную и изобутирильную группы.
Ароматические ацильные группы, представленные R3 в одном варианте данного изобретения, также могут соответствовать описанным и приведенным в качестве примеров выше.
Если R1, R2, R12, R15, Y или заместитель является арильной группой, она имеет 6-14 атомов углерода, более предпочтительно 6-10, наиболее предпочтительно 6 или 10 атомов углерода, в одном или более, предпочтительно одном, двух или трех, и более предпочтительно одном карбоциклическом кольце, и примеры незамещенных групп включают в себя группы фенил, 1-нафтил, 2-нафтил, инденил, аценафтенил, антрил и фенантрил, предпочтительно фенил или нафтил (1- или 2-нафтил) и, более предпочтительно, фенил. Такие группы могут быть незамещенными или они могут иметь на одном кольце, по меньшей мере, один заместитель, предпочтительно 1-3 заместителя, выбранных из группы, состоящей из заместителей , описанных и приведенных в виде примеров ниже. Примеры таких незамещенных групп включают в себя группы фенил, 2-метилфенил, 3-метилфенил, 4-метилфенил, 2-метоксифенил, 3-метоксифенил, 4-метоксифенил, 2-нитрофенил, 3-нитрофенил, 4-нитрофенил, 2-фторфенил, 3-фторфенил, 4-фторфенил, 2-хлорфенил, 3-хлорфенил и 4-хлорфенил. Однако предпочтительны незамещенные группы, в частности, фенильная группа.
Примеры заместителей включают в себя:алкильные группы, имеющие 1-4 атома углерода, такие как метил, этил, пропил, изопропил, бутил, изобутил, втор-бутил и трет-бутил, из которых предпочтительны метильная, этильная, пропильная и изопропильная группы; алкоксигруппы, имеющие 1-4 атома углерода, такие как метокси, этокси, пропокси, изопропокси, бутокси, изобутокси, втор-бутокси и трет-бутоксигруппы, из которых предпочтительными являются метокси и этоксигруппы; и атомы галогена, такие как фтор, хлор, бром и иод, из которых предпочтительны фтор, хлор и бром; и нитрогруппы. Если R1, R2, R3, Y, заместитель , заместитель или заместитель является аралкильной группой, это может быть алкильная группа, имеющая 1-4 атома углерода, которая замещена, по меньшей мере, одной, предпочтительно 1-3, более предпочтительно 1-2 и наиболее предпочтительно одной арильной группой, которая может быть любой из арильных групп, описанных и приведенных в виде примеров выше. Примеры алкильных групп, замещенных таким образом, включают в себя группы метил, этил, пропил, изопропил, бутил, изобутил и втор-бутил. Примеры предпочтительных и аралкильных групп включают в себя группы бензил, 1-фенилэтил, 2-фенилэтил (= фенетил), 1-фенилпропил, 2-фенилпропил, 3-фенилпропил, 4-фенилбутил, 2-метил-2-фенилэтил, 1-метил-2-фенилэтил, 1-нафтилметил, 2-нафтилметил, инденилметил, аценафтенилметил, антрилметил, фенантрилметил, бензгидрил и тритил (= трифенилметил), предпочтительно группы бензил или нафтил-метил (1- или 2-нафтилметил), и более предпочтительна группа бензил. Такие группы могут быть незамещенными или они могут иметь на кольце, по меньшей мере, один заместитель, предпочтительно 1-3 заместителя, выбранных из группы, состоящей из заместителей , описанных и приведенных в виде примеров выше. Примеры таких замещенных групп включают в себя группы бензил, 2-метилбензил, 3-метилбензил, 4-метилбензил, 2-метоксибензил, 3-метоксибензил, 4-метоксибензил, 2-нитробензил, 3-нитробензил, 4-нитробензил, 2-фторбензил, 3-фторбензил, 4-фторбензил, 2-хлорбензил, 3-хлорбензил и 4-хлорбензил. Однако предпочтительными являются незамещенные группы, особенно бензильная группа.
Если R7 и R8 и R6 обозначают лактоновую группу, эта группа содержит -O-C(O)- и необязательно одну или более метиленовых групп, т.е. -(CH2)s-O-C(O)-(CH2)t-, где s и t – одинаковы или различны и каждый равен 0 или целому числу от 1 до 3, предпочтительно 1 или 2, при условии, что (s+t) не больше 5.
Если R10, R11, R12, R13 или R14 обозначают гидроксильную группу, имеющую 1-6 атомов углерода, она может быть группой с прямой или разветвленной цепью, имеющей 1-6 атомов углерода, предпочтительно 1-4 атома углерода, и примеры включают в себя группы гидроксиметил, 1- или 2-гидроксиэтил, 1-, 2- или 3-гидроксипропил, 1- или 2-гидрокси-2-метилэтил, 1-, 2-, 3- или 4-гидроксибутил, 1-, 2-, 3-, 4- или 5-гидроксипентил или 1-, 2-, 3-, 4-, 5- или 6-гидроксигексил. Из них мы предпочитаем гидроксиалкильные группы, имеющие 1-4 атома углерода, предпочтительно группы гидроксиметил, 2-гидроксиэтил, 3- гидроксипропил и 4-гидроксибутил и наиболее предпочтительно гидроксиметильную группу.
Если Y1 – Y4, R10 – R15 обозначает галогеналкильную группу, это может быть группа с прямой или разветвленной цепью, имеющая 1-6, предпочтительно 1-4, атомов углерода, в которой алкильная часть соответствует описанным и приведенным в виде примеров выше, а атом галогена представляет собой хлор, фтор, бром или иод, такая как группы трифторметил, трихлорметил, трибромметил, трииодметил, дифторметил, дихлорметил, дибромметил, дииодметил, фторметил, хлорметил, бромметил, иодметил, 2,2,2-трихлорэтил, 2,2,2-трифторэтил, пентафторэтил, 2-галогенэтил (например, 2-хлорэтил, 2-фторэтил, 2-бромэтил или 2-иодэтил), 2,2-дибромэтил, 2,2,2-трибромэтил, 3-фторпропил, 4-фторбутил, 5-фторпентил, 6-фторгексил, 3-хлорпропил, 4-хлорбутил, 5-хлорпентил, 6-хлоргексил;Если B2 или B5 замещен защищенной гидроксильной группой, то нет конкретного ограничения относительно природы используемой гидроксизащищающей группы, и можно использовать любую гидроксизащищающую группу, известную в этой области. Подходящие группы включают в себя защитные группы, которые могут расщепляться химическими способами (такими как гидрогенолиз, гидролиз, электролиз или фотолиз) с образованием свободной гидроксигруппы, и защитные группы, которые могут расщепляться in vivo биологическими способами, такими как гидролиз. Подходящие примеры гидроксизащищающих групп, которые могут расщепляться химическими способами, включают в себя: алифатические ацильные группы, предпочтительно алканоильные группы, имеющие 1-25 атомов углерода, более предпочтительно 1-20 атомов углерода, еще более предпочтительно 1-6 атомов углерода и наиболее предпочтительно 1-4 атома углерода (такие как формил, ацетил, пропионил, бутирил, изобутирил, пивалоил, валерил, изовалерил, гексаноил, гептаноил, октаноил, лаурил, миристоил, тридеканоил, пальмитоил и стеароил, из которых наиболее предпочтительна ацетильная группа); галогенированные алканоильные группы, имеющие 2-6 атомов углерода, в частности, галогенированные ацетильные группы (такие как хлорацетил, дихлорацетил, трихлорацетил и трифторацетил); низшие алкоксиалканоильные группы, в которых алкокси-часть имеет 1-6, предпочтительно 1-3, атомов углерода, а алканоильная часть имеет 2-6 атомов углерода и является предпочтительно ацетильной группой (например, метоксиацетильная группа); ненасыщенные аналоги указанных выше групп, в частности, алкеноильных или алкиноильных групп, имеющие 3-6 атомов углерода [такие как акрилоил, метакрилоил, пропиолоил, кротоноил, изокротоноил и -2-метил-2-бутеноил];ароматические ацильные группы, предпочтительно арилкарбонильные группы, в которых арильная часть имеет 6-14, более предпочтительно 6-10 и наиболее предпочтительно 6 атомов углерода в кольце и представляет собой карбоциклическую группу, которая является незамещенной или имеет 1-5, предпочтительно 1-3 заместителя, выбранных из группы, состоящей из заместителей (см. выше); эти ароматические ацильные группы включают в себя, например,незамещенные группы (такие как бензоил, -нафтоил и -нафтоил); галогенированные арилкарбонильные группы (такие как 2-бромбензоил и 4-хлорбензоил); замещенные низшим алкилом арилкарбонильные группы, в которых каждый алкильный заместитель имеет 1-6 атомов углерода, предпочтительно 1-4 атома углерода (такие как 2,4,6-триметилбензоил и 4-толуоил);замещенные низшим алкокси арилкарбонильные группы, в которых каждый алкокси-заместитель предпочтительно имеет 1-6, более предпочтительно 1-4, атомов углерода (такие как 4-анизоильная группа); карбокси-замещенные арилкарбонильные группы (такие как 2-карбоксибензоил, 3-карбоксибензоил и 4-карбоксибензоил); нитро-замещенные арилкарбонильные группы (такие как 4-нитробензоил и 2-нитробензоил); замещенные (низший алкокси) карбонилом арилкарбонильные группы, в которых алкоксикарбонильный заместитель или каждый алкоксикарбонильный заместитель предпочтительно имеет 2-6 атомов углерода [такие как 2-(метоксикарбонил)бензоильная группа]; и замещенные арилом арилкарбонильные группы, в которых арильный заместитель имеет данное выше значение, за исключением того, что, если он замещен дальнейшей арильной группой, то эта арильная группа сама не замещена арильной группой (такие как 4-фенилбензоильная группа); гетероциклические группы, имеющие 5 или 6 кольцевых атомов, из которых 1 или 2 являются гетероатомами, выбранными из группы, состоящей из атомов кислорода, серы и азота, предпочтительно атомов кислорода или серы, причем эти группы могут быть незамещенным или могут иметь, по меньшей мере, один заместитель, выбранный из группы, состоящей из заместителей и атомов кислорода, предпочтительно атомы галогена и алкоксигруппы; подходящие примеры таких гетероциклических групп включают в себя:тетрагидропиранильные группы, которые могут быть замещенными или незамещенными, такие как тетрагидропиран-2-ил, 3-бромтетрагидропиран-2-ил и 4-метокситетрагидропиран-4-ил; тетрагидротиопиранильные группы, которые могут быть замещенными или незамещенными, такие как тетрагидротиопиран-2-ил и 4-метокситетрагидротиопиран-4-ил; тетрагидрофуранильные группы и тетрагидротиенильные группы, которые могут быть замещенными или незамещенными, такие как тетрагидрофуран-2-ил и тетрагидротиен-2-ил; тризамещенные силильные группы, в которых все три или два или один из заместителей являются алкильными группами, имеющими 1-5 атомов углерода, предпочтительно 1-4 атома углерода, и ни один, один или два из этих заместителей представляют собой арильные группы, описанные выше, но предпочтительно представляют собой фенильные группы или замещенные фенильные группы, предпочтительно: три(низший алкил)силильные группы, такие как триметилсилил, триэтилсилил, изопропилдиметилсилил, трет-бутилдиметилсилил, метилдиизопропилсилил, метилди-трет-бутилсилил и триизопропилсилил; и три(низший алкил)силильные группы, в которых одна или две алкильные группы заменены арильными группами, такие как дифенилметилсилил, дифенилбутилсилил, дифенил-трет-бутилсилил, дифенилизопропилсилил и фенилдиизопропилсилил; алкоксиалкильные группы, в которых алкокси-часть и алкильная часть имеют 1-6 атомов углерода, предпочтительно 1-4 атома углерода, в частности, алкоксиметильные группы, и такие группы, которые имеют, по меньшей мере один заместитель, предпочтительно 1-5 заместителей, более предпочтительно 1-3 заместителя, наиболее предпочтительно 1 заместитель, предпочтительно такие как: низшие алкоксиметильные группы и другие алкоксиалкильные группы (такие как метоксиметил, этоксиметил, пропоксиметил, изопропоксиметил, бутоксиметил и трет-бутоксиметил); замещенные низшим алкокси (низший алкокси)метильные группы (такие как 2-метоксиэтоксиметильная группа); галогенированные (низший алкокси) метильные группы [такие как 2,2,2-трихлорэтоксиметильная и бис-(2-хлорэтокси)метильная группа] и замещенные низшим алкокси этильные группы (такие как 1- этоксиэтильная, 1-метил-1-метоксиэтильная и 1-изопропоксиэтильная группы); другие замещенные этильные группы, предпочтительно: галогенированные этильные группы (такие как 2,2,2-трихлорэтильная группа); и замещенные арилселенилом этильные группы, в которых арильная часть имеет описанное выше значение, такие как 2-(фенилселенил)этильная группа; аралкильные группы, предпочтительно алкильные группы, имеющие 1-4, предпочтительно 1-3 и наиболее предпочтительно 1-2 атома углерода, которые замещены 1-3 арильными группами, описанными и приведенными в виде примеров выше, которые могут быть незамещенными (такие как бензил, фенетил, 1-фенетил, 3-фенетил, -нафтилметил, -нафтилметил, дифенилметил, трифенилметил, -нафтилдифенилметил и 9-антрилметил) или замещенными на арильной части низшим алкилом, низшей алкоксигруппой, нитрогруппой, атомом галогена, цианогруппой или алкилендиоксигруппой, имеющей 1-3 атома углерода, предпочтительно метилендиоксигруппой; примеры включают в себя группы:4-метилбензил, 2,4,6-триметилбензил, 3,4,5-триметилбензил, 4-метоксибензил, 4-метоксифенилдифенилметил, 2-нитробензил, 4-нитробензил, 4-хлорбензоил, 4-бромбензил, 4-цианобензил, 4-цианобензилдифенилметил, бис(2-нитрофенил)метил и пиперонил; алкоксикарбонильные группы, в частности, группы, имеющие 2-7, более предпочтительно 2-5 атомов углерода, которые могут быть незамещенными (такие как метоксикарбонил, этоксикарбонил, трет-бутоксикарбонил и изобутоксикарбонил) или замещенными атомом галогена или трехзамещенной силильной группой, например, три(низший алкил)силильной группой (такие как 2,2,2-трихлорэтоксикарбонильная группа и 2-триметилсилилэтоксикарбонильная группа); алкенилоксикарбонильные группы, в которых алкенильная часть имеет 2-6 атомов углерода, предпочтительно 2-4 атома углерода (такие как винилоксикарбонильная и аллилоксикарбонильная группа); сульфогруппы; и аралкилоксикарбонильные группы, в которых аралкильная часть соответствует описанным и приведенным в виде примеров выше и в которых арильное кольцо, если оно замещенное, замещено, по меньшей мере, одним заместителем, выбранным из группы, состоящей из заместителей (см. выше), одним или двумя низшими алкоксигруппами или нитрогруппами, такие как бензилоксикарбонил, 4-метоксибензилоксикарбонил, 3,4-диметоксибензилоксикарбонил, 2-нитробензилоксикарбонил и 4-нитробензилоксикарбонил.
Примеры гидроксизащищающих групп, которые могут расщепляться in vivo биологическими способами, такими как ферментативный гидролиз, включают в себя:ацилоксиалкильные группы, в которых алкильная часть имеет 1-6 атомов углерода, такие как ацетоксиметил, диметиламиноацетоксиметил, пропионилоксиметил, бутирилоксиметил, пивалоилоксиметил, и 1-ацетоксиэтил; 1-(алкоксикарбонилокси)алкильные группы, в которых алкокси-часть и алкильная часть имеет 1-6 атомов углерода, такие как метоксикарбонилоксиметил, этоксикарбонилоксиметил, пропоксикарбонилоксиметил, изопропоксикарбонилоксиметил, бутоксикарбонилоксиметил, изобутоксикарбонилоксиметил, циклогексилоксикарбонилоксиметил, циклогексилоксикарбонилоксициклогексилметил, 1-метоксикарбонилоксиэтил, 1-этоксикарбонилоксиэтил, 1-пропоксикарбонилоксиэтил, 1-изопропоксикарбонилоксиэтил, 1-бутоксикарбонилоксиэтил, 1-изобутоксикарбонилоксиэтил, 1-трет-бутоксикарбонилоксиэтил, 1-циклогексилоксикарбонилоксиэтил и 1-этоксикарбонилоксипропил; карбонилоксиалкильные группы, включающие в себя оксодиоксоленилметильные группы, такие как 4-метилоксодиоксоленилметил, 4-фенил-4-оксодиоксоленилметил и оксодиоксоленилметил; диоксоленилалкильные группы, алифатические ацильные группы и ароматические ацильные группы; любой остаток, который образует соль полуэфира дикарбоновой кислоты, такой как янтарная кислота; любой остаток, который образует соль фосфата; остаток сложного эфира аминокислоты; и карбонилоксиалкилоксикарбонильные группы, такие как пивалоилоксиметоксикарбонильная группа. Из описанных выше мы предпочитаем алифатические ацильные группы, три замещенные силильные группы и наиболее предпочтительны тризамещенные силильные группы. Если Y1 – Y4, T1 – T8, R1, R2, R7, R10 – R14, T, T’, T”, T”’, T”” или T””’ обозначает защищенную сульфонамидную группу, нет конкретного ограничения в отношении природы используемой защищающей сульфонамид группы и здесь можно равным образом использовать любую защищающую сульфонамидную группу защитную группу, известную в этой области. Неограничивающие примеры подходящих защитных групп для сульфонамидов включают в себя: ацильные группы, которые могут быть незамещенными или замещены, по меньшей мере, одной (и предпочтительно только одной) арильной группой, имеющей 6-14 атомов углерода (наиболее предпочтительно фенилом), такие как низшие алифатические ацильные или ароматические ацильные группы, например: алифатические низшие ацильные группы, такие как формил, ацетил, фенилацетил, дифенилацетил, пропионил, 3-фенилпропионил, бутирил, изобутирил, валерил, изовалерил и пивалоил; и ароматические ацильные группы, такие как бензоил, 4-ацетоксибензоил, 4-метоксибензоил, 3-метоксибензоил, 2-метоксибензоил, 4-метилбензоил, 3-фторбензоил, 4-фторбензоил, 3-хлорбензоил, 4-хлорбензоил, 3,4-дихлорбензоил, 3,4-дифторбензоил, 3,4-диметилбензоил, 4-нитробензоил, 4-аминобензоил, 4-ацетамидобензоил, 4-фенилбензоил и 1-нафтоил. Из них мы предпочитаем ацетил, фенилацетил, бензоил и изобутирил, наиболее предпочтительна фенилацетильная группа. Если соединение данного изобретения содержит карбоксильную группу, оно может образовать эфиры. Примеры групп, с которыми такие соединения могут образовать эфиры, включают в себя перечисленные выше карбоксизащищающие группы. В большинстве случаев мы предпочитаем вводить соединение в виде свободной кислоты, однако, если соединение должно вводиться в виде эфира, мы предпочитаем, чтобы эфирная группа была одной из групп, которые может легко удаляться in vivo, и наиболее предпочтительно алифатических ацилоксиалкильных групп, алкоксикарбонилоксиалкильных групп, циклоалкилкарбонилоксиалкильных групп, фталидильных групп и (5-замешенный 2-оксо-1,3-диоксолен-4-ил) метильных групп. Соединения данного изобретения, которые содержат карбоксильную группу, могут образовывать соли. Примеры таких солей включают в себя: соли со щелочным металлом, таким как натрий, калий или литий; соли со щелочноземельным металлом, таким как барий или кальций; соли с другим металлом, таким как магний или алюминий; соли аммония; соли органического основания, такие как соль с триэтиламином, диизопропиламином, циклогексиламином или дициклогексиламином; и соли с основной аминокислотой, такой как лизин или аргинин. Также, если соединение данного изобретения содержит основную группу в его молекуле, оно может образовывать соли с кислотами. Примеры таких солей с кислотами включают в себя: соли с минеральными кислотами, в частности, с галогенводородными кислотами (такими как фтористоводородная кислота, бромистоводородная кислота, иодистоводородная кислота или соляная кислота), азотной кислотой, угольной кислотой, серной кислотой или фосфорной кислотой; соли с (низший алкил)сульфоновыми кислотами, такими как метансульфоновая кислота, трифторметансульфоновая кислота или этансульфоновая кислота; соли с арилсульфоновыми кислотами, такими как бензолсульфоновая кислота или п-толуолсульфоновая кислота; соли с органическими карбоновыми кислотами, такими как уксусная кислота, фумаровая кислота, винная кислота, щавелевая кислота, малеиновая кислота, яблочная кислота, янтарная кислота, бензойная кислота, миндальная кислота, аскорбиновая кислота, молочная кислота, глюконовая кислота или лимонная кислота; и соли с аминокислотами, такими как глутаминовая кислота или аспаргиновая кислота. Предпочтительным классом соединений данного изобретения являются соединения формулы (I), в которой: каждый из Y1, Y2 и Y4 обозначает атом водорода; Y3 обозначает атом водорода, атом галогена, нитрогруппу, гидроксильную группу, аминогруппу, алкильную группу, имеющую 1-6 атомов углерода, алкилтиогруппу, имеющую 1-6 атомов углерода, карбоксильную группу, защищенную карбоксильную группу или группу формулы: -(O)p-B1-T1, где T1 обозначает карбоксильную группу, защищенную карбоксильную группу или тетразолильную группу, B1 обозначает алкиленовую группу, которая имеет 1-3 атома углерода и которая является незамещенной или замещена, по меньшей мере, одним из заместителей (см. ниже), а p = 0 или 1;R1′ обозначает атом водорода, карбоксильную группу, защищенную карбоксильную группу, алкильную группу, имеющую 1-6 атомов углерода, арильную группу, замещенную арильную группу, аралкильную группу, замещенную аралкильную группу или группу формулы: -B2-T2, где T2 обозначает карбоксильную группу, защищенную карбоксильную группу или тетразолильную группу, B2 обозначает алкиленовую группу, которая имеет 1-4 атома углерода и является незамещенной или замещена аминогруппой или защищенной аминогруппой; R2′ обозначает атом водорода, алкильную группу, имеющую 1-6 атомов углерода, арильную группу, замещенную арильную группу, аралкильную группу или замещенную аралкильную группу; или R1′ и R2′ вместе обозначают группу формулы (Id) ![]() в которой R6 обозначает атом водорода или гидроксильную группу; R7 обозначает атом водорода, карбоксильную группу, защищенную карбоксильную группу или группу формулы: -B3-T4, в которой T4 обозначает карбоксильную группу, защищенную карбоксильную группу или тетразолильную группу и B3 обозначает алкиленовую группу, которая имеет 1-4 атома углерода и которая является незамещенной или замещена, по меньшей мере, одним из заместителей ;R9 обозначает атом водорода или алкилтиогруппу, имеющую 1-6 атомов углерода; когда R9 обозначает алкилтиогруппу, R7 и R8 вместе обозначают лактоновую группу; или R8 и R9 обозначают оксогруппу; или R1′ и R2′ вместе обозначают группу формулы (Ie): ![]() в которой R10′ обозначает гидроксиалкильную группу, имеющую 1-6 атомов углерода, гидроксильную группу, карбоксильную группу, защищенную карбоксильную группу или группу формулы: -(O)p-B4-T5, в которой T5 обозначает карбоксильную группу, защищенную карбоксильную группу или тетразолильную группу, B4 обозначает алкиленовую группу, которая имеет 1-4 атома углерода и которая является незамещенной или замещена, по меньшей мере одним из заместителей , и p имеет данное выше значение;или R1′ и R2′ обозначают группу формулы (Ic) ![]() в которой R14 обозначает гидроксильную группу, имеющую 1-6 атомов углерода, гидроксильную группу, карбоксильную группу, защищенную карбоксильную группу или группу формулы: -(O)p-В4-T5, в которой T5, B4 и p имеют данные выше значения; R15 и R16 одинаковы или различны и каждый обозначает атом водорода, алкильную группу, имеющую 1-6 атомов углерода, или арильную группу; и X представляет собой метиленовую группу, группу формулы: или группу формулы: ![]() R3 обозначает атом водорода или аминозащищающую группу; и указанные заместители представляют собой гидроксильные группы, арильные группы и аралкильные группы;и их фармацевтически приемлемые соли и эфиры. Следующим предпочтительным классом соединений данного изобретения являются соединения формулы (I), в которых: R1′ обозначает атом водорода; R2′ обозначает атом водорода; или R1′ и R2′ вместе обозначают группу формулы (If): ![]() R3 обозначает атом водорода, аралкильную группу, аралкильную группу, которая замещена, по меньшей мере, одним из заместителей (см. ниже), или ароматическую ацильную группу;Y1 обозначает атом водорода, алкильную группу, имеющую 1-3 атома углерода, или группу формулы: -E’-COOH; Y2 обозначает атом водорода, алкильную группу, имеющую 1-3 атома углерода, алкилтиогруппу, имеющую 1-3 атома углерода, или группу формулы: -E’-COOH или -E’-Tet, где Tet обозначает тетразолильную группу; Y3 обозначает группу формулы: -E’-COOH или группу: -E’-Tet, где Tet имеет указанное выше значение; Y4 обозначает атом водорода, алкильную группу, имеющую 1-3 атома углерода, или атом галогена; и E’ обозначает прямую связь, алкиленовую группу, которая имеет 1-3 атома углерода и которая является незамещенной или замещена, по меньшей мере, одним из заместителей (см. ниже), или оксиалкиленовую группу, которая имеет 1-3 атома углерода и которая является незамещенной или замещена, по меньшей мере, одним из заместителей (см. ниже);и их фармацевтически приемлемые соли и эфиры. Особенно предпочтительными классами соединений данного изобретения являются соединения, описанные выше, к которым также относятся любое одно ограничение или любая комбинация двух или более следующих ограничений: (1) R1′ и R2′ вместе обозначают группу формулы (If), показанную выше. (2) R3 обозначает аралкильную группу, аралкильную группу, имеющую один или более из заместителей , или ароматическую ацильную группу.
(3) R3 обозначает аралкильную группу или аралкильную группу, имеющую один или более заместителей из заместителей .(4) R3 обозначает бензильную группу или бензильную группу, имеющую один или более заместителей из заместителей .(5) Y1 обозначает атом водорода, группу формулы: -E’-COOH, или группу формулы: -E’-Tet, где E’ и Tet имеют указанные выше значения. (6) Y1 обозначает атом водорода. (7) Y2 обозначает атом водорода, алкилтиогруппу, имеющую 1-6 атомов углерода, предпочтительно 1-3 атома углерода, группу формулы: -E’-COOH или группу формулы: -E’-Tet, где E’ и Tet имеют указанные выше значения. (8) Y2 обозначает алкилтиогруппу, имеющую 1-6 атомов углерода, предпочтительно 1-3 атома углерода. (9) Y4 обозначает алкильную группу, имеющую 1-6 атомов углерода, предпочтительно 1-3 атома углерода, или атом галогена. (10) Y4 обозначает алкильную группу, имеющую 1-6 атомов углерода, предпочтительно 1-3 атома углерода. (11) E’ обозначает прямую связь, алкиленовую группу, имеющую 1-3 атома углерода, замещенную алкиленовую группу, имеющую 1-3 атома углерода и замещенную, по меньшей мере, одним из заместителей (см. выше), оксиалкиленовую группу, имеющую 1-3 атома углерода, или замещенную оксиалкиленовую группу, которая имеет 1-3 атома углерода и замещена, по меньшей мере, одним из заместителей (см. выше).
(12) E’ обозначает прямую связь, алкиленовую группу, имеющую 1-3 атома углерода, замещенную алкиленовую группу, которая имеет 1-3 атома углерода и замещена, по меньшей мере, одним из заместителей (см. выше), или оксиалкиленовую группу, имеющую 1-3 атома углерода.
(13) E’ обозначает прямую связь, алкиленовую группу, имеющую 1-3 атома углерода, замещенную алкиленовую группу, которая имеет 1-3 атома углерода и замещена, по меньшей мере, одним из заместителей ![]() (см. ниже), оксиалкиленовую группу, имеющую 1-3 атома углерода, или замещенную оксиалкиленовую группу, которая имеет 1-3 атома углерода и замещена, по меньшей мере, одним из заместителей ![]() , описанных ниже.
(14) E’ обозначает прямую связь, алкиленовую группу, имеющую 1-3 атома углерода, замещенную алкиленовую группу, которая имеет 1-3 атома углерода и замещена, по меньшей мере одним из заместителей ![]() (см. ниже), или оксиалкиленовую группу, имеющую 1-3 атома углерода.
Заместители ![]() , на которые даны ссылки в (13) и (14) выше, представляют собой аралкильные группы и замещенные аралкильные группы, которые замещены, по меньшей мере одним из заместителей , описанных выше.
Примерами характерных соединений данного изобретения являются производные индола, показанные формулой (I-I):![]() где все группы-заместители соответствуют описанным ниже, а неупоминаемые представляют собой водород (см. в конце описания). Соединения данного изобретения могут быть получены различными способами, хорошо известными per se, для получения соединений этого типа. Например, они могут быть получены, как иллюстрируется в следующих далее схемах реакций A – K. Схема реакций A Соединения формулы (I), в которой R3 обозначает атом водорода и Y3 обозначает карбоксиметильную группу, т.е. соединения формулы (XIII), могут быть получены, как показано в следующей схеме реакций: В этой схеме исходный материал, соединение формулы (XI), может быть получен согласно процедуре, описанной в Chem. Ber. 95, 2205 (1962). В представленных выше формулах R1, R2, R3, Y1, Y2 и Y4 имеют указанные выше значения. Стадия A1; В этой стадии соединение карбоновой кислоты формулы (XII) получают гидролизом цианосоединения формулы (XI). Эту реакцию выполняют обычно и предпочтительно в присутствии растворителя, предпочтительно водного растворителя. Нет особого ограничения в отношении природы этого используемого растворителя при условии, что он не оказывает неблагоприятного действия на реакцию или на участвующие в ней реагенты и что он может растворять реагенты, по меньшей мере до некоторой степени. Примеры подходящих растворителей включают в себя: простые эфиры, такие как диэтиловый эфир, тетрагидрофуран, диоксан или диметоксиэтан; спирты, такие как метанол или этанол; и смеси спиртов и воды. Из них мы предпочитаем спирты или смесь спирта и воды. Также нет особого ограничения в отношении природы используемого основания, и любое основание, применяемое в общепринятых реакциях гидролиза, может быть равным образом использовано здесь. Примеры подходящих оснований включают в себя: карбонаты щелочных металлов, такие как карбонат натрия, карбонат калия или карбонат лития; гидроксиды щелочных металлов, такие как гидроксид лития, гидроксид натрия или гидроксид калия; и гидроксиды щелочноземельных металлов, такие как гидроксид бария. Из них мы предпочитаем гидроксид натрия или гидроксид калия. Реакция с основанием может происходить в широком диапазоне температур и точная температура реакции не является критической для изобретения. Предпочтительная температура реакции будет зависеть от таких факторов, как природа растворителя и исходный материал или используемый реагент. Однако, в общем, мы считаем удобным проведение этой реакции при температуре от 0oC до 150oC или при температуре перегонки реакционной среды. Время, необходимое для этой реакции, может также широко варьировать в зависимости от многих факторов, таких как температура реакции и природа используемых реагентов и растворителя. Однако, при условии, что реакцию проводят при описанных выше предпочтительных условиях, обычно будет достаточным период от 30 минут до 24 часов, более предпочтительно от 1 до 10 часов. После завершения этой реакции желаемое соединение можно извлечь из реакционной смеси стандартными методами. Например, один подходящий для этого способ предусматривает: промывание органической фазы, содержащей целевое соединение; отделение органической фазы, содержащей желаемое соединение; высушивание полученного раствора над осушителем, таким как безводный сульфат магния; и отгонку растворителя. Полученное таким образом желаемое соединение можно, если нужно, очистить далее такими общепринятыми способами, как перекристаллизация, переосаждение или различные хроматографические способы, в частности, колоночная хроматография. Стадия A2 В этой стадии соединение карбоновой кислоты формулы (XII), полученное, как описано в Стадии A1, подвергают синтезу Арндта-Эйстерта для введения метиленовой группы, соединенной с карбоксильной группой и получения соединения формулы (XIII), которое может быть соединением данного изобретения. В первой реакции этой стадии соединение карбоновой кислоты формулы (XII) сначала превращают в его галогенангидрид, предпочтительно хлорангидрид, реакцией с галогенирующим, предпочтительно хлорирующим агентом, таким как оксалилхлорид, карбонилхлорид, оксихлорид фосфора или пентахлорид фосфора, предпочтительно с оксалилхлоридом. Эту реакцию выполняют обычно и предпочтительно в присутствии растворителя. Нет особого ограничения в отношении природы растворителя при условии, что он не оказывает неблагоприятного действия на реакцию или на участвующие в ней реагенты и что он может растворять реагенты, по меньшей мере, до некоторой степени. Примеры подходящих растворителей включают в себя: галогенированные углеводороды, такие как метиленхлорид, хлороформ или дихлорэтан; простые эфиры, такие как диэтиловый эфир, тетрагидрофуран, диоксан или диметоксиэтан; и амиды, такие как формамид, диметилформамид или диметилацетамид. Из них мы предпочитаем галогенированные углеводороды (в частности, метиленхлорид) или амиды (особенно диметилформамид). Реакция может иметь место в широком диапазоне температур и точная температура реакции не является критической для изобретения. Предпочтительная температура реакции будет зависеть от таких факторов, как природа растворителя и используемый исходный материал или реагент. Однако, в общем, мы считаем удобным проводить эту реакцию при температуре от 0oC до 50oC, более предпочтительно при комнатной температуре. Время, необходимое для реакции, может также широко варьировать в зависимости от многих факторов, в частности, от температуры реакции и природы используемых реагентов и растворителя. Однако, при условии, что реакцию выполняют при предпочтительных описанных выше условиях, обычно будет достаточным период от 30 минут до 24 часов, более предпочтительно от 1 до 12 часов. В следующей реакции этой стадии галогенангидрид, предпочтительно хлорангидрид, полученный, как описано выше, превращают в соответствующий диазокетон реакцией с диазометаном. Эту реакцию обычно и предпочтительно выполняют в присутствии растворителя. Нет особого ограничения в отношении природы используемого растворителя, при условии, что он не оказывает неблагоприятного действия на реакцию или на участвующие в ней реагенты и что он может, по меньшей мере, в некоторой степени растворять реагенты. Примеры подходящих растворителей включают в себя: простые эфиры, такие как диэтиловый эфир, тетрагидрофуран, диоксан или диметоксиэтан; спирты, такие как метанол или этанол; кетоны, такие как ацетон или метилэтилкетон; и вода. Из них мы предпочитаем спирты (особенно метанол) или простые эфиры (особенно диэтиловый эфир). Эта реакция может иметь место в широком диапазоне температур, и точная температура реакции не является критической для изобретения. Предпочтительная температура реакции будет зависеть от таких факторов, как природа растворителя и исходный материал и используемый реагент. Однако, в общем, мы считаем удобным проводить эту реакцию при температуре от 0oC до 50oC, более предпочтительно при приблизительно комнатной температуре. Время, необходимое для этой реакции, может также широко варьировать в зависимости от многих факторов, в частности, от температуры реакции и природы используемых реагентов и растворителя. Однако, при условии, что реакцию выполняют при описанных выше предпочтительных условиях, обычно будет достаточным период от 5 до 30 часов, более предпочтительно от 10 до 24 часов. В последней реакции этой стадии диазокетон превращают в желаемое соединение формулы (XIII) реакцией с водой в присутствии катализатора, предпочтительно тяжелого металла, такого как серебро или оксид серебра. Реакцию обычно и предпочтительно выполняют в присутствии растворителя. Нет особого ограничения в отношении природы используемого растворителя, при условии, что он не оказывает неблагоприятного действия на реакцию или на участвующие в ней реагенты и что он может растворять реагенты, по меньшей мере, до некоторой степени. Примеры подходящих растворителей включают в себя: простые эфиры, такие как диэтиловый эфир, тетрагидрофуран, диоксан или диметоксиэтан; спирты, такие как метанол или этанол; кетоны, такие как ацетон или метилэтилкетон; и вода. Из них мы предпочитаем спирты (в частности, метанол). Эта реакция может иметь место в широком диапазоне температур, и точная температура реакции не является критической для изобретения. Предпочтительная температура реакции будет зависеть от таких факторов, как природа растворителя и исходный материал и используемый реагент. Однако, в общем, мы считаем удобным проводить эту реакцию при температуре от 10oC до 150oC, более предпочтительно при температуре перегонки реакционной среды. Время, необходимое для этой реакции, может также широко варьировать в зависимости от многих факторов, в частности, от температуры реакции и природы используемых реагентов и растворителя. Однако, при условии, что реакцию выполняют при описанных выше предпочтительных условиях, обычно будет достаточным период от 1 до 20 часов, более предпочтительно от 3 до 10 часов. После завершения каждой или всех описанных выше реакций желаемое соединение можно извлечь из реакционной смеси общепринятыми способами. Например, один подходящий способ предусматривает: промывание органической фазы водой; отделение органической фазы, содержащей требуемое соединение; высушивание полученного раствора над осушителем, таким как безводный сульфат магния; и отгонку растворителя. Полученное таким образом требуемое соединение можно, если это необходимо, очистить далее такими общепринятыми способами, как перекристаллизация, переосаждение или различные хроматографические способы, в частности, колоночная хроматография. Схема реакций B Соединения формулы (I), в которых R3 предпочтительно, обозначает атом водорода и Y3 обозначает 2-карбоксиэтильную группу, т.е. соединения формулы (XVIII), могут быть получены, как показано в схеме реакций B (см в конце описания). В приведенных в схеме B формулах R1, R2, R3, Y1, Y2 и Y4 имеют указанные выше значения и R16 и R17 одинаковы или различны и каждый обозначает карбоксизащищающую группу. Нет особого ограничения в отношении природы карбоксизащищающей группы, представленной R16 и R17, и в этой реакции можно равным образом использовать любую карбоксизащищающую группу, известную в этой области. Примеры таких групп, которые можно использовать в этой реакции, включают защитные группы, описанные и приведенные выше в виде примеров относительно карбоксизащищающих групп, которые могут обозначаться Y1, и т.д. Стадия B1 В этой стадии соединение формулы (XIV) восстанавливают в содержащее формил соединение формулы (XV). Эту реакцию обычно и предпочтительно выполняют в присутствии растворителя. Нет особого ограничения в отношении природы используемого растворителя, при условии, что он не оказывает неблагоприятного действия на реакцию или на участвующие в ней реагенты и что он может растворять реагенты, по крайней мере, до некоторой степени. Предпочтительны неполярные растворители. Примеры подходящих растворителей включают в себя: алифатические углеводороды, такие как гексан; ароматические углеводороды, такие как бензол, толуол или ксилол; простые эфиры, такие как диэтиловый эфир, тетрагидрофуран, диоксан или диметоксиэтан; галогенированные углеводороды, такие как метиленхлорид, хлороформ или дихлорэтан; и спирты, такие как метанол или этанол. Из них мы предпочитаем спирты (в частности, метанол), галогенированные углеводороды (в частности, метиленхлорид) и простые эфиры (в частности, тетрагидрофуран). Также нет особого ограничения в отношении природы используемого восстанавливающего агента, и любой восстановитель, обычно применяемый в общепринятых реакциях, может быть равным образом использован здесь. Примеры подходящих восстановителей включают в себя: боргидрид натрия, гидрид лития-алюминия, гидрид диизобутилалюминия, три-трет-бутоксигидрид лития-алюминия и триметоксигидрид лития-алюминия. Эта реакция имеет место в широком диапазоне температур и точная температура реакции не является критической для изобретения. Предпочтительная температура реакции будет зависеть от таких факторов, как природа растворителя и используемые исходный материал и реагенты. Однако, в общем, мы считаем удобным проводить эту реакцию при температуре от -78oC до 50oC, более предпочтительно от -60oC до 25oC и наиболее предпочтительно приблизительно при комнатной температуре. Время, необходимое для этой реакции, может также широко варьировать в зависимости от многих факторов, в частности, от температуры реакции и от природы используемых реагентов и растворителя. Однако, при условии, что реакцию выполняют при описанных выше предпочтительных условиях, обычно будет достаточным период от 5 минут до 24 часов, предпочтительно от 10 минут до 12 часов. После завершения реакции желаемое соединение может быть извлечено из реакционной смеси общепринятыми способами. Например, один подходящий способ предусматривает: нейтрализацию должным образом реакционной смеси; отфильтровывание нерастворимых веществ, если они имеются; добавление воды и не смешивающегося с водой органического растворителя, такого как этилацетат; промывание органической фазы водой; отделение органической фазы, содержащей желаемое соединение; высушивание экстракта над осушителем, таким как безводный сульфат магния; и отгонку растворителя. Полученное таким образом требуемое соединение может быть, если это необходимо, очищено далее такими общепринятыми способами, как перекристаллизация, переосаждение или различные хроматографические способы, в частности, колоночная хроматография. Стадия B2 В этой стадии соединение формулы (XVI) получают реакцией Виттига из соединения формулы (XV), которое можно получить согласно процедуре, описанной в стадии B1. Соединение формулы (XV) реагирует с реагентом Виттига, в этом случае предпочтительно алкил- или аралкил-ди(алкил или арил)фосфоноацетатом, при условиях, общепринятых для этого типа реакции. Реакцию обычно и предпочтительно выполняют в присутствии растворителя. Нет особого ограничения в отношении природы используемого растворителя, при условии, что он не оказывает неблагоприятного действия на эту реакцию или на участвующие в ней реагенты и что он может растворять реагенты, по крайней мере, до некоторой степени. Примеры подходящих реагентов включают в себя: ароматические углеводороды, такие как бензол, толуол или ксилол; галогенированные углеводороды, такие как метиленхлорид, хлороформ или дихлорэтан; простые эфиры, такие как диэтиловый эфир, тетрагидрофуран, диоксан или диметоксиэтан; нитрилы, такие как ацетонитрил или изобутиронитрил; амиды, такие как формамид, диметилформамид, диметилацетамид или гексаметилтриамид фосфорной кислоты; и сульфоксиды, такие как диметилсульфоксид или сульфолан. Из них мы предпочитаем тетрагидрофуран. Эта реакция может иметь место в широком диапазоне температур, и точная температура реакции не является критической для изобретения. В общем, мы считаем удобным проводить эту реакцию при температуре от 0 до 80oC, более предпочтительно от 0 до 20oC. Время, необходимое для этой реакции, может также широко варьировать в зависимости от многих факторов, в частности, температуры реакции и природы используемых реагентов и растворителя. Однако, при условии, что реакцию выполняют при описанных выше предпочтительных условиях, обычно будет достаточным период от 5 минут до 5 часов, более предпочтительно от 10 минут до 30 минут. После завершения реакции желаемое соединение можно извлечь из реакционной смеси общепринятыми способами. Например, один подходящий способ предусматривает: отфильтровывание нерастворимых веществ, если они имеются; добавление воды и не смешивающегося с водой органического растворителя, такого как этилацетат; промывание органической фазы водой или водным раствором; отделение органической фазы, содержащей желаемое соединение; высушивание органической фазы над осушителем, таким как безводный сульфат магния; и отгонку растворителя. Полученное таким образом желаемое соединение можно, если необходимо, очищать далее такими общепринятыми способами, как перекристаллизация, переосаждение или различные хроматографические способы, в частности, колоночная хроматография. Стадия B3 В этой стадии двойную связь углерод-углерод в соединении формулы (XVI), которое может быть получено, как описано в стадии B2, восстанавливают до ординарной связи углерод-углерод с образованием соединения формулы (XVII). Здесь может быть применен любой способ восстановления, обычно используемый для этого типа реакции, хотя предпочтительным является каталитический способ восстановления. Реакцию обычно и предпочтительно выполняют в присутствии растворителя. Нет особого ограничения в отношении природы используемого растворителя, при условии, что он не оказывает неблагоприятного действия на реакцию или на участвующие в ней реагенты и что он может растворять реагенты, по меньшей мере, до некоторой степени. Примеры подходящих растворителей включают в себя: ароматические углеводороды, такие как бензол, толуол или ксилол; простые эфиры, такие как диэтиловый эфир, тетрагидрофуран, диоксан или диметоксиэтан; и спирты, такие как метанол или этанол. Из них мы предпочитаем спирты (в частности, метанол) и простые эфиры (в частности, тетрагидрофуран). Также нет особого ограничения в отношении природы применяемого катализатора, и здесь можно применять любой катализатор, обычно используемый в общепринятых реакциях. Примеры подходящих катализаторов включают в себя: палладий, палладий на угле, платину или никель Ренея. Эта реакция может иметь место в широком диапазоне температур, и точная температура реакции не является критической для изобретения. Предпочтительная температура реакции будет зависеть от таких факторов, как природа растворителя и исходный материал и используемый реагент. Однако, в общем, мы считаем удобным проводить эту реакцию при температуре от -20oC до 40oC, более предпочтительно от 0oC до 25oC, наиболее предпочтительно приблизительно при комнатной температуре. Время, необходимое для этой реакции, может также широко варьировать в зависимости от многих факторов, в частности, от температуры реакции и природы используемых реагентов и растворителя. Однако, при условии, что реакцию выполняют при описанных выше предпочтительных условиях, обычно будет достаточным период от 5 минут до 24 часов, более предпочтительно от 10 минут до 12 часов. После завершения реакции желаемое соединение может быть извлечено из реакционной смеси общепринятыми способами. Например, один подходящий способ предусматривает: отфильтровывание примененного катализатора и затем отгонку растворителя. Полученное таким образом соединение можно, если требуется, очистить далее такими общепринятыми способами, как перекристаллизация, переосаждение или различные хроматографические способы, в частности, колоночная хроматография. Стадия B4 В этой стадии соединение формулы (XVII) гидролизуют для удаления карбоксизащищающей группы R17, получая желаемое соединение формулы (XVIII). Эту реакцию обычно и предпочтительно выполняют в присутствии основания. Реакцию также обычно и предпочтительно выполняют в присутствии растворителя. Нет особого ограничения в отношении природы используемого растворителя, при условии, что он не оказывает неблагоприятного действия на реакцию или на участвующие в ней реагенты и что он может растворять реагенты, по меньшей мере, до некоторой степени. Примеры подходящих растворителей включают в себя: простые эфиры, такие как тетрагидрофуран, диоксан или диметоксиэтан; спирты, такие как метанол или этанол; и смеси спиртов и воды. Из них мы предпочитаем спирты или смесь спирта и воды. Не существует также особого ограничения в отношении природы используемого основания, и любое основание, обычно применяемое в общепринятых реакциях этого типа, равным образом можно использовать здесь. Примеры подходящих оснований включают в себя: карбонаты щелочных металлов, такие как карбонат натрия, карбонат калия или карбонат лития; и гидроксиды щелочных металлов, такие как гидроксид натрия, гидроксид калия или гидроксид лития, или гидроксиды щелочноземельных металлов, такие как гидроксид бария. Из них мы предпочитаем гидроксид натрия или гидроксид калия. Реакция с основанием может иметь место в широком диапазоне температур, и точная температура реакции не является критической для изобретения. Предпочтительная температура реакции будет зависеть от таких факторов, как природа растворителя и исходный материал и используемый реагент. Однако, в общем, мы считаем удобным проводить эту реакцию при температуре от 0oC до 150oC, более предпочтительно от 10 до 50oC и наиболее предпочтительно приблизительно при комнатной температуре. Время, необходимое для этой реакции, может также широко варьировать в зависимости от многих факторов, в частности, от температуры реакции и природы используемых реагентов и растворителя. Однако, при условии, что реакцию выполняют при описанных выше предпочтительных условиях, обычно будет достаточным период от 3 минут до 24 часов, более предпочтительно от 1 до 10 часов. После завершения реакции желаемое соединение можно извлечь из реакционной смеси общепринятыми способами. Например, один подходящий способ включает в себя: нейтрализацию должным образом реакционной смеси; отфильтровывание нерастворимых веществ, если они имеются; добавление воды и не смешивающегося с водой органического растворителя, такого как этилацетат; промывание органической фазы водой или подходящим водным раствором; отделение органической фазы, содержащей желаемое соединение; высушивание экстракта над осушителем, таким как безводный сульфат магния; и отгонку растворителя. Полученное таким образом соединение можно, если требуется, очистить далее такими общепринятыми способами, как перекристаллизация, переосаждение или различные хроматографические способы, в частности, колоночная хроматография. Схема реакций C В этой схеме реакций получают соединение формулы (XXIV) или (XXV) (см. в конце описания). В приведенных в схеме C формулах Y1, Y2, Y3 и Y4 имеют указанные выше значения и R18 обозначает карбоксизащищающую группу, например, такую, какие описаны и приведены в виде примеров выше. Стадия C1 В этой стадии соединение формулы (XIX) реагирует с уксусным ангидридом в присутствии кислоты Льюиса с образованием соединения формулы (XX). Реакцию обычно и предпочтительно выполняют в присутствии растворителя. Нет особого ограничения в отношении природы используемого растворителя, при условии, что он не оказывает неблагоприятного действия на реакцию или на участвующие в ней реагенты и что он может растворять реагенты, по меньшей мере, до некоторой степени. Примеры подходящих растворителей включают в себя: алифатические углеводороды, такие как гексан; ароматические углеводороды, такие как бензол, толуол и ксилол; простые эфиры, такие как диэтиловый эфир, тетрагидрофуран, диоксан или диметоксиэтан; галогенированные углеводороды, такие как метиленхлорид, хлороформ или дихлорэтан; и спирты, такие как метанол или этанол. Из них мы предпочитаем галогенированные углеводороды (в частности, метиленхлорид) и простые эфиры (в частности, диэтиловый эфир). Также не существует особого ограничения в отношении природы используемой кислоты Льюиса, и любая кислота Льюиса, обычно применяемая в общепринятых реакциях, равным образом может использоваться здесь. Примеры подходящих кислот Льюиса включают в себя: трифторид бора, диэтилэфират трифторида бора, тетрахлорид титана и хлорид олова (IV). Эта реакция может иметь место в широком диапазоне температур, и точная температура реакции не является критической для изобретения. Предпочтительная температура реакции будет зависеть от таких факторов, как природа растворителя и исходный материал и используемый реагент. Однако, в общем, мы считаем удобным проводить эту реакцию при температуре от 0oC до температуры кипения реакционной среды, более предпочтительно, от 30oC до температуры кипения реакционной среды. Время, необходимое для этой реакции, может также широко варьировать в зависимости от многих факторов, в частности, от температуры реакции и природы используемых реагентов и растворителя. Однако, при условии, что реакцию выполняют при описанных выше предпочтительных условиях, обычно будет достаточным период от 30 минут до 10 часов. После завершения реакции желаемое соединение можно извлечь из реакционной смеси общепринятыми способами. Например, один подходящий способ включает в себя: нейтрализацию должным образом реакционной смеси; отфильтровывание нерастворимых веществ, если они имеются; добавление воды и не смешивающегося с водой органического растворителя, такого как этилацетат; промывание органической фазы водой или подходящим водным раствором; отделение органической фазы, содержащей желаемое соединение; высушивание экстракта над осушителем, таким как безводный сульфат магния; и отгонку растворителя. Полученное таким образом соединение можно, если требуется, очистить далее такими общепринятыми способами, как перекристаллизация, переосаждение или различные хроматографические способы, в частности, колоночная хроматография. Стадия C2 В этой стадии соединение формулы (XX), которое может быть получено, как описано в Стадии C1, реагирует с пропиолатом формулы (XXI) в реакции Дильса-Альдера с образованием смеси соединений формул (XXII) и (XXIII). Эту реакцию обычно и предпочтительно выполняют в присутствии растворителя. Нет особого ограничения в отношении природы используемого растворителя, при условии, что он не оказывает неблагоприятного действия на реакцию или на участвующие в ней реагенты и что он может растворять реагенты, по меньшей мере, до некоторой степени. Предпочтительны неполярные растворители. Примеры подходящих растворителей включают в себя: алифатические углеводороды, такие как гексан; ароматические углеводороды, такие как бензол, толуол и ксилол; простые эфиры, такие как диэтиловый эфир, тетрагидрофуран, диоксан или диметоксиэтан; галогенированные углеводороды, такие как метиленхлорид, хлороформ или дихлорэтан; и спирты, такие как метанол или этанол. Из них мы предпочитаем спирты (в частности, метанол), галогенированные углеводороды (в частности, метиленхлорид), простые эфиры (в частности, тетрагидрофуран) и ароматические углеводороды (в частности, ксилол). Эта реакция может иметь место в широком диапазоне температур, и точная температура реакции не является критической для изобретения. Предпочтительная температура реакции будет зависеть от таких факторов, как природа растворителя и исходный материал и используемый реагент. Однако, в общем, мы считаем удобным проводить эту реакцию при температуре от 0oC до температуры кипения реакционной среды, более предпочтительно от 30oC до температуры кипения реакционной среды. Время, необходимое для этой реакции, может также широко варьировать в зависимости от многих факторов, в частности, от температуры реакции и природы используемых реагентов и растворителя. Однако, при условии, что реакцию выполняют при описанных выше предпочтительных условиях, обычно будет достаточным период от 30 минут до 10 часов. После завершения реакции желаемое соединение можно извлечь из реакционной смеси общепринятыми способами. Например, один подходящий способ включает в себя удаление растворителя дистилляцией, предпочтительно в вакууме, для оставления желаемого продукта, который может быть, если необходимо, очищен далее такими общепринятыми способами, как перекристаллизация, переосаждение или различные хроматографические способы, в частности, колоночная хроматография. Соединения формул (XII) и (XXIII) могут быть разделены на этой стадии или их можно использовать в виде смеси в стадиях C3 и C4. Стадии C3 и C4 В этих стадиях соединения формул (XXII) и (XXIII) гидролизуют, получая соединения формул (XXIV) и (XXV), соответственно. Реакция, участвующая в этой стадии, по существу такая же, что и участвующая в Стадии B4 Схемы реакций B, и ее можно проводить с применением тех же самых реагентов и условий реакции. Схема реакции D В этой схеме соединение формулы (XXVI), которое может быть получено согласно процедурам, описанным в Chem. Pharm. Bull., 29, 1601 (1981), гидролизуют, получая соединение формулы (XXVII): ![]() В приведенных выше формулах R3 и R18 имеют указанные выше значения и R19 и R20 одинаковы или различны и каждый обозначает алкильную группу, имеющую 1-6 атомов углерода. Примеры таких алкильных групп включают в себя метил, этил, пропил, изопропил, бутил, изобутил, втор-бутил, трет-бутил, пентил, изопентил, неопентил, 2-метилбутил, 1-этилпропил, 4-метилпентил, 3-метилпентил, 2-метилпентил, 1-метилпентил, 3,3-диметилбутил, 2,2-диметилбутил, 1,1-диметилбутил, 1,2-диметилбутил, 1,3-диметилбутил, 2,3-диметилбутил, 2-этилбутил, гексил и изогексил. Из них мы предпочитаем алкильные группы, имеющие 1-4 атома углерода, предпочтительно группы метил, этил, пропил, изопропил, бутил и изобутил, и наиболее предпочтительно метильную группу. Реакция, участвующая в этой стадии, по существу такая же, что и участвующая в Стадии B4 Схемы реакций B, и ее можно проводить с применением тех же самых реагентов и условий реакции. Схема реакции E В этой схеме соединение формулы (XXVIII), которое является соединением формулы (I), в котором R3 обозначает атом водорода, превращается в соединение формулы (XXIX), которое является соединением формулы (I), в котором R3 обозначает аминозащищающую группу, в частности, алкильную, аралкильную или ацильную группу: ![]() В приведенных выше формулах R1, R2, Y1 – Y4 имеют указанные выше значения; R3′ обозначает алкильную, аралкильную или ацильную группу (в соответствии с описанными и приведенными в виде примеров в отношении R3); и X обозначает уходящую (отщепляемую) группу. Эта реакция включает в себя реакцию соединения формулы (XXVIII) с подходящим количеством, например, 1-4 эквивалентами (более предпочтительно с 2-3 эквивалентами), соединения формулы: R3′-X (где R3′ и X имеют данные выше значения) в растворителе в присутствии или в отсутствие основания, но предпочтительно в присутствии основания. Нет особого ограничения в отношении природы уходящей группы, представленной X, при условии, что эта группа способна отщепляться в виде нуклеофильного остатка, такого, какие хорошо известны в этой области. Примеры предпочтительных отщепляемых групп включают в себя: атомы галогена, такие как атомы хлора, брома и иода; (низший алкокси)карбонилоксигруппы, такие как метоксикарбонилоксигруппа и этоксикарбонилоксигруппа; галогенированные алкилкарбонилоксигруппы, такие как хлорацетокси, дихлорацетокси, трихлорацетокси и трифторацетоксигруппы; (низший алкан)сульфонилоксигруппы, такие как метансульфонилоксигруппа и этансульфонилоксигруппа; (низший галогеналкан) сульфонилоксигруппа, такая как трифторметансульфонилоксигруппа и пентафторэтансульфонилоксигруппа; и арилсульфонилоксигруппы, такие как бензолсульфонилоксигруппа, п-толуолсульфонилоксигруппа и п-нитробензолсульфонилоксигруппа. Из них мы предпочитаем атомы галогена, (низший галоалкан)сульфонилоксигруппы и арилсульфонилоксигруппы. Реакцию обычно и предпочтительно выполняют в присутствии растворителя. Нет особого ограничения в отношении природы используемого растворителя, при условии, что он не оказывает неблагоприятного действия на реакцию или на участвующие в ней реагенты и что он может растворять реагенты, по меньшей мере, до некоторой степени. Примеры подходящих растворителей включают в себя: алифатические углеводороды, такие как гексан и гептан; ароматические углеводороды, такие как бензол, толуол и ксилол; галогенированные углеводороды, такие как метиленхлорид, хлороформ, четыреххлористый углерод, дихлорэтан, хлорбензол и дихлорбензол; сложные эфиры, такие как этилформиат, этилацетат, пропилацетат, бутилацетат и диэтилкарбонат; простые эфиры, такие как диэтиловый эфир, диизопропиловый эфир, тетрагидрофуран, диоксан, диметоксиэтан и диметиловый эфир диэтиленгликоля; нитрилы, такие как ацетонитрил и изобутиронитрил; и амиды, такие как формамид, диметилформамид, диметилацетамид, N-метил-2-пирролидон, N-метилпирролидон и гексаметилтриамид фосфорной кислоты. Из них мы предпочитаем простые эфиры (в частности, диметоксиэтан или тетрагидрофуран) и амиды (в частности, диметилформамид). Также нет особого ограничения в отношении природы используемого основания, и любое основание, обычно применяемое в общепринятых реакциях этого типа, равным образом может использоваться здесь. Примеры подходящих оснований включают в себя: гидриды щелочных металлов, такие как гидрид лития, гидрид натрия или гидрид калия; алкоксиды щелочных металлов, такие как метоксид натрия, этоксид натрия, трет-бутоксид калия или метоксид лития; и органические основания металлов, такие как бутиллитий или диизопропиламид лития. Из них мы предпочитаем гидриды щелочных металлов (в частности, гидрид лития или гидрид натрия). Эта реакция может иметь место в широком диапазоне температур, и точная температура реакции не является критической для изобретения. Предпочтительная температура реакции будет зависеть от таких факторов, как природа растворителя и исходный материал и используемый реагент. Однако, в общем, мы считаем удобным проводить эту реакцию при температуре от -20oC до 60oC, более предпочтительно от 0oC до 20oC, для алкилирования или аралкилирования, и от -78oC до комнатной температуры, более предпочтительно от -78oC до 0oC, для ацилирования. Время, необходимое для этой реакции, может также широко варьировать в зависимости от многих факторов, в частности, от температуры реакции и природы используемых реагентов и растворителя. Однако, при условии, что реакцию выполняют при описанных выше предпочтительных условиях, обычно будет достаточным период от 5 минут до 24 часов, более предпочтительно от 5 минут до 6 часов. После завершения реакции желаемое соединение может быть извлечено из реакционной смеси общепринятыми способами. Например, один подходящий способ предусматривает: нейтрализацию должным образом реакционной смеси; отфильтровывание нерастворимых веществ, если они имеются; добавление воды и не смешивающегося с водой органического растворителя, такого как этилацетат; промывание органической фазы водой; отделение органической фазы, содержащей желаемое соединение; высушивание экстракта над осушителем, таким как безводный сульфат магния; и отгонку растворителя. Полученное таким образом соединение можно, если требуется, очистить далее такими общепринятыми способами, как перекристаллизация, переосаждение или различные хроматографические способы, в частности, колоночная хроматография. Альтернативно, если R3′ обозначает ацильную группу, соединение формулы: R3′-X, может быть заменено соответствующим ангидридом формулы R3”-O-R3” (где R3” обозначает ацильную группу). Эта реакция может иметь место в присутствии или в отсутствие основания и проводится при тех же самых условиях, в том числе с тем же растворителем, при тех же температурах и времени, какие описаны выше. Схема реакции F В этой схеме алкильную или аралкильную группу, описанные и приведенные в виде примеров в связи с заместителями , вводят в соединение формулы (XXX), получая соединение формулы (XXXI):![]() В приведенных выше формулах R1, R2, R3, Y1, Y2 и Y4 имеют указанные выше значения; R” обозначает алкильную или аралкильную группы, описанные и приведенные в виде примеров в отношении заместителей , A’ обозначает незамещенную алкиленовую или оксиалкиленовую группу, имеющую на один меньше атомов углерода, чем соответствующая группа в соединении формулы (I); и R18 и X имеют описанные с примерами выше значения. Эта реакция предпочтительно имеет место в присутствии основания.
Реакцию обычно и предпочтительно выполняют в присутствии растворителя. Нет особого ограничения в отношении природы используемого растворителя, при условии, что он не оказывает неблагоприятного действия на реакцию или на участвующие в ней реагенты и что он может растворять реагенты, по меньшей мере, до некоторой степени. Примеры подходящих растворителей включают в себя: ароматические углеводороды, такие как бензол, толуол или ксилол; простые эфиры, такие как диэтиловый эфир, тетрагидрофуран, диоксан или диметоксиэтан; амиды, такие как диметилформамид, диметилацетамид или гексаметилтриамид фосфорной кислоты; и сульфоксиды, такие как диметилсульфоксид или сульфолан. Из них мы предпочитаем простые эфиры (в частности, тетрагидрофуран) и амиды (в частности, диметилформамид).
Также нет особого ограничения в отношении природы используемого основания, и любое основание, обычно применяемое в общепринятых реакциях, равным образом можно использовать здесь. Примеры подходящих оснований включают в себя: гидриды щелочных металлов, такие как гидрид лития, гидрид натрия или гидрид калия; алкоксиды щелочных металлов, такие как метоксид натрия, этоксид натрия, трет-бутоксид калия или метоксид лития; и органические основания металлов, такие как бутиллитий или диизопропиламид лития. Из них мы предпочитаем гидриды щелочных металлов (в частности, гидрид лития или гидрид натрия).
Эта реакция может иметь место в широком диапазоне температур, и точная температура реакции не является критической для изобретения. Предпочтительная температура реакции будет зависеть от таких факторов, как природа растворителя и исходный материал и используемый реагент. Однако, в общем, мы считаем удобным проводить эту реакцию при температуре от -20oC до 60oC, более предпочтительно от 0oC до 20oC. Время, необходимое для этой реакции, может также широко варьировать в зависимости от многих факторов, в частности, от температуры реакции и природы используемых реагентов и растворителя. Однако, при условии, что реакцию выполняют при описанных выше предпочтительных условиях, обычно будет достаточным период от 5 минут до 24 часов, более предпочтительно от 5 минут до 6 часов.
После завершения реакции желаемое соединение можно извлечь из реакционной смеси общепринятыми способами. Например, один подходящий способ включает в себя: нейтрализацию должным образом реакционной смеси; отфильтровывание нерастворимых веществ, если они имеются; добавление воды и несмешивающегося с водой органического растворителя, такого как этилацетат; промывание органической фазы водой; отделение органической фазы, содержащей желаемое соединение; высушивание экстракта над осушителем, таким как безводный сульфат магния; и отгонку растворителя. Полученное таким образом соединение можно, если требуется, очистить далее такими общепринятыми способами, как перекристаллизация, переосаждение или различные хроматографические способы, в частности, колоночная хроматография.
Схема реакций GЭта схема реакции дает производное индола, имеющее две метилтиогруппы при положении 4 и оксогруппу при положении 5, которое может быть ценным исходным материалом для получения некоторых соединений данного изобретения: ![]() В приведенных выше формулах R1, R2, R3, Y3 и Y4 имеют данные выше значения. Стадия G1 В этой стадии соединение формулы (XXXII) реагирует с метилметилсульфинилметилсульфидом с образованием соединения формулы (XXXIII). Эта реакция предпочтительно имеет место в присутствии кислоты. Нет особого ограничения в отношении природы используемой кислоты, и любая кислота, обычно применяемая в общепринятых реакциях, равным образом может использоваться здесь. Примеры подходящих кислот включают в себя: кислоты Льюиса, такие как трифторид бора, диэтилэфират трифторида бора, тетрахлорид титана и хлорид олова (IV); минеральные кислоты, в частности, галогенводородные кислоты (такие как фтористоводородная кислота, бромистоводородная кислота, иодистоводородная кислота или соляная кислота), азотная кислота, угольная кислота, серная кислота или фосфорная кислота; (низший алкил)сульфоновые кислоты, такие как метансульфоновая кислота, трифторметансульфоновая кислота или этансульфоновая кислота; арилсульфоновые кислоты, такие как бензолсульфоновая кислота или п-толуолсульфоновая кислота; и органические карбоновые кислоты, такие как уксусная кислота или бензойная кислота. Реакцию обычно и предпочтительно выполняют в присутствии растворителя. Нет особого ограничения в отношении природы используемого растворителя, при условии, что он не оказывает неблагоприятного действия на реакцию или на участвующие в ней реагенты и что он может растворять реагенты, по меньшей мере, до некоторой степени. Предпочтительны неполярные растворители. Примеры подходящих растворителей включают в себя: ароматические углеводороды, такие как бензол, толуол или ксилол; простые эфиры, такие как диэтиловый эфир, тетрагидрофуран, диоксан или диметоксиэтан; амиды, такие как диметилформамид, диметилацетамид или гексаметилфосфорный триамид; и сульфоксиды, такие как диметилсульфоксид или сульфолан. Из них мы предпочитаем простые эфиры (в частности, тетрагидрофуран или диметоксиэтан) и амиды (в частности, диметилформамид). Эта реакция может иметь место в широком диапазоне температур, и точная температура реакции не является критической для изобретения. Предпочтительная температура реакции будет зависеть от таких факторов, как природа растворителя и исходный материал и используемый реагент. Однако, в общем, мы считаем удобным проводить эту реакцию при температуре от -78oC до температуры перегонки реакционной среды, более предпочтительно от 0oC до температуры перегонки реакционной среды. Время, необходимое для этой реакции, может также широко варьировать в зависимости от многих факторов, в частности, от температуры реакции и природы используемых реагентов и растворителя. Однако, при условии, что реакцию выполняют при описанных выше предпочтительных условиях, обычно будет достаточным период от 10 минут до 24 часов, более предпочтительно от 30 минут до 6 часов. После завершения реакции желаемое соединение можно извлечь из реакционной смеси общепринятыми способами. Например, один подходящий способ включает в себя: нейтрализацию должным образом реакционной смеси; отфильтровывание нерастворимых веществ, если они имеются; добавление воды и не смешивающегося с водой органического растворителя, такого как этилацетат; промывание органической фазы водой; отделение органической фазы, содержащей желаемое соединение; высушивание экстракта над осушителем, таким как безводный сульфат магния; и отгонку растворителя. Полученное таким образом соединение можно, если требуется, очистить далее такими общепринятыми способами, как перекристаллизация, переосаждение или различные хроматографические способы, в частности, колоночная хроматография. Стадия G2 В этой стадии соединение формулы (XXXIII) циклизуется посредством обработки кислотой с образованием соединения формулы (XXXIV). Эта реакция предпочтительно имеет место в присутствии кислоты. Нет особого ограничения в отношении природы используемой кислоты, и любая кислота, обычно применяемая в общепринятых реакциях, равным образом может использоваться здесь. Примеры подходящих кислот включают в себя: кислоты Льюиса, такие как трифторид бора, диэтилэфират трифторида бора, тетрахлорид титана и хлорид олова (IV); минеральные кислоты, в частности, галогенводородные кислоты (такие как фтористоводородная кислота, бромистоводородная кислота, иодистоводородная кислота или соляная кислота), азотная кислота, угольная кислота, серная кислота или фосфорная кислота; (низший алкил)сульфоновые кислоты, такие как метансульфоновая кислота, трифторметансульфоновая кислота или этансульфоновая кислота; арилсульфоновые кислоты, такие как бензолсульфоновая кислота или п-толуолсульфоновая кислота; и органические карбоновые кислоты, такие как уксусная кислота или бензойная кислота. Реакцию обычно и предпочтительно выполняют в присутствии растворителя. Нет особого ограничения в отношении природы используемого растворителя, при условии, что он не оказывает неблагоприятного действия на реакцию или на участвующие в ней реагенты и что он может растворять реагенты, по меньшей мере, до некоторой степени. Предпочтительны неполярные растворители. Примеры подходящих растворителей включают в себя: ароматические углеводороды, такие как бензол, толуол или ксилол; простые эфиры, такие как диэтиловый эфир, тетрагидрофуран, диоксан и диметоксиэтан; амиды, такие как диметилформамид, диметилацетамид или гексаметилфосфорный триамид; и сульфоксиды, такие как диметилсульфоксид или сульфолан. Из них мы предпочитаем простые эфиры (в частности, тетрагидрофуран или диметоксиэтан) и амиды (в частности, диметилформамид). Эта реакция может иметь место в широком диапазоне температур, и точная температура реакции не является критической для изобретения. Предпочтительная температура реакции будет зависеть от таких факторов, как природа растворителя и исходный материал и используемый реагент. Однако, в общем, мы считаем удобным проводить эту реакцию при температуре от 0oC до 200oC, более предпочтительно от приблизительно комнатной температуры до 150oC. Время, необходимое для этой реакции, может также широко варьировать в зависимости от многих факторов, в частности, от температуры реакции и природы используемых реагентов и растворителя. Однако, при условии, что реакцию выполняют при описанных выше предпочтительных условиях, обычно будет достаточным период от 10 минут до 24 часов, более предпочтительно от 30 минут до 6 часов. После завершения реакции желаемое соединение можно извлечь из реакционной смеси общепринятыми способами. Например, один подходящий способ включает в себя: нейтрализацию должным образом реакционной смеси; отфильтровывание нерастворимых веществ, если они имеются; добавление воды и не смешивающегося с водой органического растворителя, такого как этилацетат; промывание органической фазы водой; отделение органической фазы, содержащей желаемое соединение; высушивание экстракта над осушителем, таким как безводный сульфат магния; и отгонку растворителя. Полученное таким образом соединение можно, если требуется, очистить далее такими общепринятыми способами, как перекристаллизация, переосаждение или различные хроматографические способы, в частности, колоночная хроматография. Схема реакций H Соединения, содержащие карбоксильную группу, могут быть превращены в соответствующие соединения, содержащие тетразолилметильную группу при помощи следующих реакций: Стадия H1 В этой стадии соединение карбоновой кислоты реагирует с цианосоединением (предпочтительно с цианидом щелочного металла, таким как цианид натрия или цианид калия, или с триалкилсилилцианидом, в котором алкильные части имеют 1-6 атомов углерода, таким как триметилсилилцианид) в инертном растворителе. При использовании триалкилсилилцианида полученное таким образом О-триалкилсилильное производное обрабатывают затем кислотой, получая желаемое цианометильное соединение. Когда используют цианид щелочного металла, его предпочтительно используют в количестве от 1 до 3 эквивалентов, более предпочтительно от 1,2 до 2 эквивалентов на моль соединения карбоновой кислоты. Реакцию обычно и предпочтительно выполняют в присутствии растворителя. Нет особого ограничения в отношении природы используемого растворителя, при условии, что он не оказывает неблагоприятного действия на реакцию или на участвующие в ней реагенты и что он может растворять реагенты, по меньшей мере, до некоторой степени. Примеры подходящих растворителей включают в себя: простые эфиры, такие как диэтиловый эфир, тетрагидрофуран или диоксан; галогенированные углеводороды, особенно галогенированные алифатические углеводороды, такие как метиленхлорид или хлороформ; спирты, такие как метанол или этанол; воду; или смесь воды и одного или более из этих органических растворителей. Эта реакция может иметь место в широком диапазоне температур, и точная температура реакции не является критической для изобретения. Предпочтительная температура реакции будет зависеть от таких факторов, как природа растворителя и исходный материал и используемый реагент. Однако, в общем, мы считаем удобным проводить эту реакцию при температуре от -10oC до 80oC, более предпочтительно от 0oC до 30oC. Время, необходимое для этой реакции, может также широко варьировать в зависимости от многих факторов, в частности, от температуры реакции и природы используемых реагентов и растворителя. Однако, при условии, что реакцию выполняют при описанных выше предпочтительных условиях, обычно будет достаточным период от 1 до 24 часов, более предпочтительно от 2 до 16 часов. Эту реакцию можно ускорить, если желательно, добавлением бисульфита натрия. После завершения реакции продукт может быть извлечен общепринятыми способами, например, экстракцией реакционной смеси не смешивающимся с водой органическим растворителем (таким как этилацетат) и выпариванием растворителя из экстракта. Если необходимо, полученный продукт можно очистить далее такими общепринятыми способами, как перекристаллизация или различные хроматографические способы, в частности, колоночная хроматография. При применении триалкилсилилцианида его предпочтительно используют в количестве 1-2 эквивалентов, более предпочтительно 1,05-1,2 эквивалентов на моль соединения карбоновой кислоты, и реакцию предпочтительно проводят в присутствии каталитического количества иодида цинка. Реакцию обычно и предпочтительно выполняют в присутствии растворителя. Нет особого ограничения в отношении природы используемого растворителя, при условии, что он не оказывает неблагоприятного действия на реакцию или на участвующие в ней реагенты и что он может растворять реагенты, по меньшей мере, до некоторой степени. Примеры подходящих растворителей включают в себя: простые эфиры, такие как диэтиловый эфир, тетрагидрофуран или диоксан; и галогенированные углеводороды, особенно галогенированные алифатические углеводороды, такие как метиленхлорид и хлороформ. Эта реакция может иметь место в широком диапазоне температур, и точная температура реакции не является критической для изобретения. Предпочтительная температура реакции будет зависеть от таких факторов, как природа растворителя и исходный материал и используемый реагент. Однако, в общем, мы считаем удобным проводить эту реакцию при температуре от -10oC до 80oC, более предпочтительно от 10oC до 40oC. Время, необходимое для этой реакции, может также широко варьировать в зависимости от многих факторов, в частности, от температуры реакции и природы используемых реагентов и растворителя. Однако, при условии, что реакцию выполняют при описанных выше предпочтительных условиях, обычно будет достаточным период от 30 минут до 24 часов, более предпочтительно от 1 до 16 часов. После завершения реакции желаемое цианосоединение, в форме его O-триалкилсилильного производного, может быть получено концентрированием реакционной смеси, экстракцией концентрата не смешивающимся с водой органическим растворителем, промыванием экстракта слабощелочным водным раствором, таким как водный бикарбонат натрия, и выпариванием растворителя. Если необходимо, полученный продукт может быть очищен общепринятыми способами, такими как перекристаллизация или различные хроматографические способы, в частности, колоночная хроматография. O-триалкилсилильную группу затем удаляют. Эту реакцию можно проводить обработкой каталитическим количеством кислоты (например, п-толуолсульфокислоты, метансульфоновой кислоты или соляной кислоты) в подходящем растворителе, природа которого не является критической, при условии, что он не оказывает неблагоприятного действия на реакцию или на участвующие в ней реагенты и что он может хотя бы в некоторой степени растворять реагенты. Примеры подходящих растворителей включают в себя спирты, такие как метанол или этанол. Эта реакция может иметь место в широком диапазоне температур, и точная температура реакции не является критической для изобретения. Однако, в общем, мы считаем удобным проводить эту реакцию при температуре от -20oC до 60oC, более предпочтительно при приблизительно комнатной температуре. Время, необходимое для этой реакции, может также широко варьировать в зависимости от многих факторов, в частности, от температуры реакции и природы используемых реагентов и растворителя. Однако, при условии, что реакцию выполняют при описанных выше предпочтительных условиях, обычно будет достаточным период от 10 минут до 5 часов, более предпочтительно от 30 минут до 2 часов. Продукт этой стадии представляет собой соединение, в котором карбоксильная группа исходного соединения была заменена цианометильной группой, т. е. он содержит на один атом углерода больше, чем исходное соединение. После завершения этой реакции продукт может быть извлечен из реакционной смеси общепринятыми способами, например: концентрированием реакционной смеси, экстракцией концентрата не смешивающимся с водой органическим растворителем, таким, как этилацетат, промыванием слабощелочным водным раствором, таким, как водный бикарбонат натрия, и выпариванием растворителя. Если необходимо, полученный продукт может быть очищен далее общепринятыми способами, такими как перекристаллизация или различные хроматографические способы, в частности, колоночная хроматография. Стадия H2 Эта стадия является альтернативной стадии H1 и она дает цианосоединение, содержащее то же самое число атомов углерода, которое имеет исходное соединение карбоновой кислоты. В первой части этой стадии соединение карбоновой кислоты превращают в соответствующее карбамоильное соединение реакцией соединения карбоновой кислоты (или ее активного производного, например, низшего алкилового эфира, например, метилового эфира, галогенангидрида, например, хлорида, или ангидрида карбоновой кислоты, которое могло быть получено хорошо известными способами) с аммиаком. Реакцию обычно и предпочтительно выполняют в присутствии растворителя. Нет особого ограничения в отношении природы используемого растворителя, при условии, что он не оказывает неблагоприятного действия на реакцию или на участвующие в ней реагенты и что он может растворять реагенты, по меньшей мере, до некоторой степени. Примеры подходящих растворителей включают в себя: простые эфиры, такие как диэтиловый эфир, тетра-гидрофуран, диоксан или диметоксиэтан; спирты, такие как метанол или этанол; кетоны, такие как ацетон или метилэтилкетон; и вода. Из них мы предпочитаем спирты (в частности, метанол). Эта реакция может иметь место в широком диапазоне температур, и точная температура реакции не является критической для изобретения. Предпочтительная температура реакции будет зависеть от таких факторов, как природа растворителя и исходный материал и используемый реагент. Однако, в общем, мы считаем удобным проводить эту реакцию при температуре от 10oC до 50oC, более предпочтительно при приблизительно комнатной температуре. Время, необходимое для этой реакции, может также широко варьировать в зависимости от многих факторов, в частности, от температуры реакции и природы используемых реагентов и растворителя. Однако, при условии, что реакцию выполняют при описанных выше предпочтительных условиях, обычно будет достаточным период от 1 часа до 10 дней, более предпочтительно от 10 часов до 8 дней. Затем полученное карбамоильное соединение дегидратируют, получая цианосоединение. Эту реакцию можно проводить в виде реакции соответствующего карбамоильного соединения с дегидратирующим агентом (осушителем), предпочтительно с ангидридом карбоновой кислоты, таким как уксусный ангидрид, ангидрид трифторуксусной кислоты, ангидрид метансульфоновой кислоты или ангидрид трифторметансульфоновой кислоты или тионилхлорид. Реакцию обычно и предпочтительно выполняют в присутствии растворителя. Нет особого ограничения в отношении природы используемого растворителя, при условии, что он не оказывает неблагоприятного действия на реакцию или на участвующие в ней реагенты и что он может растворять реагенты, по меньшей мере, до некоторой степени. Примеры подходящих растворителей включают в себя: углеводороды, такие как бензол, толуол, ксилол и гептан; галогенированные углеводороды, особенно галогенированные алифатические углеводороды, такие как метиленхлорид и хлороформ; простые эфиры, такие как диэтиловый эфир, тетрагидрофуран и диоксан; и сложные эфиры, такие как этилацетат и бутилацетат. Реакцию выполняют в присутствии органического амина, предпочтительно триэтиламина, пиридина или N-метилморфолина. Эта реакция может иметь место в широком диапазоне температур, и точная температура реакции не является критической для изобретения. Предпочтительная температура реакции будет зависеть от таких факторов, как природа растворителя и исходный материал и используемый реагент. Однако, в общем, мы считаем удобным проводить эту реакцию при температуре от -10oC до 100oC, более предпочтительно от 0oC до 50oC. Время, необходимое для этой реакции, может также широко варьировать в зависимости от многих факторов, в частности, от температуры реакции и природы используемых реагентов и растворителя. Однако, при условии, что реакцию выполняют при описанных выше предпочтительных условиях, обычно будет достаточным период от 10 минут до 16 часов, более предпочтительно от 30 минут до 6 часов. После завершения реакции продукт может быть извлечен добавлением слабоосновного водного раствора (такого как водный раствор бикарбоната натрия) и не смешивающегося с водой органического растворителя, такого как этилацетат, к реакционной смеси, отделением полученного слоя органического растворителя и отгонкой растворителя. Затем, если необходимо, продукт может быть очищен далее общепринятыми способами, например, перекристаллизацией, или различными хроматографическими способами, в частности, колоночной хроматографией. Стадия H3 В этой стадии содержащее тетразолилметил или тетразолил соединение получают превращением цианогруппы, содержащейся в содержащем цианометил соединении, полученным, как описано в стадии H1, или цианосоединении, полученном, как описано в стадии H2, в тетразолильную группу. Эту стадию можно проводить с использованием любой из следующих трех реакций. Реакция (a): реакция с азидом щелочного металла Эту реакцию проводят посредством реакции соответствующего цианометил- или цианосоединения с подходящим количеством, например, 1-5 эквивалентами, более предпочтительно 1-3 эквивалентами, азида щелочного металла, такого как азид лития, азид натрия или азид калия, предпочтительно азид натрия, присутствии галогенида аммония. Эту реакцию обычно и предпочтительно выполняют в присутствии растворителя. Нет особого ограничения в отношении природы используемого растворителя, при условии, что он не оказывает неблагоприятного действия на реакцию или на участвующие в ней реагенты и что он может растворять реагенты, по меньшей мере, до некоторой степени. Примеры подходящих растворителей включают в себя: простые эфиры, такие как диоксан или 1,2-диметилэтан; спирты, такие как метанол или этанол; амиды, такие как диметилформамид или диметилацетамид; и сульфоксиды, такие как диметилсульфоксид. Количество галогенида аммония предпочтительно равно 0,5-2 эквивалентам, более предпочтительно 1-1,2 эквивалентам на моль цианометил- или цианосоединения. Примеры подходящих галогенидов аммония включают в себя фторид аммония, хлорид аммония и бромид аммония, предпочтительно хлорид аммония. Эта реакция может иметь место в широком диапазоне температур, и точная температура реакции не является критической для изобретения. В общем, мы считаем удобным проводить эту реакцию при температуре от 70oC до 150oC, более предпочтительно от 90oC до 120oC. Время, необходимое для этой реакции, может также широко варьировать в зависимости от многих факторов, в частности, от температуры реакции и природы используемых реагентов и растворителя. Однако, при условии, что реакцию выполняют при описанных выше предпочтительных условиях, обычно будет достаточным период от 10 часов до 7 дней, более предпочтительно от 1 до 5 дней. После завершения реакции продукт может быть извлечен из реакционной смеси общепринятыми способами. Например, воду и не смешивающийся с водой органический растворитель, такой как этилацетат, добавляют к реакционной смеси и слой органического растворителя отделяют, после чего растворитель выпаривают, получая продукт. Если требуется, продукт может быть очищен далее общепринятыми способами, например, перекристаллизацией, или различными хроматографическими способами, в частности, колоночной хроматографией. Реакция (b): Реакция с азидом триалкил- или триарилолова Эту реакцию проводят посредством реакции цианосоединения с подходящим количеством, например, 1-3 эквивалентами, более предпочтительно 1-2 эквивалентами, азида триалкилолова или триарилолова. Примеры азидов триалкилолова включают в себя азиды, в которых каждая алкильная группа имеет 1-6 атомов углерода, такие как азид триметилолова, азид триэтилолова или азид трибутилолова. Примеры азидов триарилолова включают в себя азид трифенилолова и азид тритолилолова. Эту реакцию обычно и предпочтительно выполняют в присутствии растворителя. Нет особого ограничения в отношении природы используемого растворителя, при условии, что он не оказывает неблагоприятного действия на реакцию или на участвующие в ней реагенты и что он может растворять реагенты, по меньшей мере, до некоторой степени. Примеры подходящих растворителей включают в себя: углеводороды, такие как бензол, толуол, ксилол или гептан; галогенированные углеводороды, такие как дихлорэтан или хлороформ; простые эфиры, такие как диоксан или 1,2-диметоксиэтан; сложные эфиры, такие как этилацетат или бутилацетат; амиды, такие как диметилформамид или диметилацетамид; и сульфоксиды, такие как диметилсульфоксид. Полученный аддукт олова обрабатывают затем кислотой (предпочтительно соляной кислотой или серной кислотой), основанием (предпочтительно гидроксидом щелочного металла, таким как гидроксид натрия или гидроксид калия, карбонатом щелочного металла, таким как карбонат натрия или карбонат калия, или бикарбонатом щелочного металла, таким как бикарбонат натрия или бикарбонат калия) или фторидом щелочного металла (предпочтительно фторидом натрия или фторидом калия). Эту реакцию обычно и предпочтительно выполняют в присутствии растворителя. Нет особого ограничения в отношении природы используемого растворителя, при условии, что он не оказывает неблагоприятного действия на реакцию или на участвующие в ней реагенты и что он может растворять реагенты, по меньшей мере, до некоторой степени. Примеры подходящих растворителей включают в себя: растворители, описанные выше; спирты, такие как метанол или этанол; воду и водные спирты. Эта реакция может иметь место в широком диапазоне температур, и точная температура реакции не является критической для изобретения. В общем, мы считаем удобным проводить эту реакцию при температуре от 60oC до 150oC, более предпочтительно от 80oC до 120oC, а обработку кислотой, основанием или фторидом при приблизительно комнатной температуре. Время, необходимое для этой реакции, может также широко варьировать в зависимости от многих факторов, в частности, от температуры реакции и природы используемых реагентов и растворителя. Однако, при условии, что реакцию выполняют при описанных выше предпочтительных условиях, обычно будет достаточным период от 8 часов до 7 дней, более предпочтительно от 1 до 5 дней для реакции с соединением олова, тогда как обработка кислотой, основанием или фторидом будет обычно требовать от 30 минут до 24 часов, более предпочтительно от 1 до 6 часов. После завершения реакции продукт может быть извлечен из реакционной смеси общепринятыми способами. Например, воду и не смешивающийся с водой органический растворитель, такой как этилацетат, добавляют к реакционной смеси и слой органического растворителя отделяют, после чего растворитель выпаривают, получая продукт. Если требуется, продукт может быть очищен далее общепринятыми способами, например, перекристаллизацией, или различными хроматографическими способами, в частности, колоночной хроматографией. Реакция (c): Реакция с триалкил- или триарил галидом олова и азидом щелочного металла Эту реакцию осуществляют в той же манере, что и реакцию (b), за исключением того, что вместо триалкил- или триарил азида олова используют подходящее количество, например, 1-3 эквивалента, более предпочтительно 1-2 эквивалента триалкил- или триарил галида олова (например, триметил хлорид олова, трибутилхлорид олова или трифенил хлорид олова) и подходящее количество, например, 1-3 эквивалента, более предпочтительно 1-2 эквивалента азида щелочного металла (предпочтительно азида натрия или азида калия). После завершения реакции продукт может быть извлечен из реакционной смеси общепринятыми способами. Например, воду и не смешивающийся с водой органический растворитель, такой как этилацетат, добавляют к реакционной смеси и слой органического растворителя отделяют, после чего растворитель выпаривают, получая продукт. Если требуется, продукт может быть очищен далее общепринятыми способами, например, перекристаллизацией, или различными хроматографическими способами, в частности, колоночной хроматографией. Схема реакции I Соединения, содержащие карбоксиалкильную группу могут быть превращены в соответствующие содержащие -гидроксикарбонил соединения –гидроксилированием карбоксильной части посредством реакции содержащего карбоксиалкил соединения с основанием и затем с молекулярным кислородом (предпочтительно, в виде газообразного кислорода).
Нет особого ограничения в отношении природы используемого основания, и любое основание, обычно применяемое в общепринятых реакциях -гидроксилирования могут быть использованы. Примеры подходящих оснований включают в себя органические основания металлов, такие как бутиллитий, диизопропиламид лития, гексаметилдисилазид натрия и гексаметилдисилазид лития (которые могут быть получены согласно процедурам, описанным в US-A-4 347 375). Из них мы предпочитаем гексаметилдисилазид натрия или гексаметилдисилазид лития (особенно гексаметилдисилазид лития).
Эту реакцию обычно и предпочтительно выполняют в присутствии растворителя. Нет особого ограничения в отношении природы используемого растворителя, при условии, что он не оказывает неблагоприятного действия на реакцию или на участвующие в ней реагенты и что он может растворять реагенты, по меньшей мере, до некоторой степени. Примеры подходящих растворителей включают в себя: ароматические углеводороды, такие как бензол, толуол или ксилол; простые эфиры, такие как диэтиловый эфир, тетрагидрофуран, диоксан или диметоксиэтан. Из них мы предпочитаем простые эфиры, в частности, тетрагидрофуран.
Эта реакция может иметь место в широком диапазоне температур, и точная температура реакции не является критической для изобретения. Предпочтительная температура реакции будет зависеть от таких факторов, как природа растворителя и исходный материал и используемый реагент. Однако, в общем, мы считаем удобным проводить эту реакцию при температуре от -20oC до 100oC, более предпочтительно от приблизительно 0oC до 50oC.
Время, необходимое для этой реакции, может также широко варьировать в зависимости от многих факторов, в частности, от температуры реакции и природы используемых реагентов и растворителя. Однако, при условии, что реакцию выполняют при описанных выше предпочтительных условиях, обычно будет достаточным период от 10 минут до 24 часов, более предпочтительно от 30 минут до 60 часов.
После завершения реакции желаемое соединение может быть извлечено из реакционной смеси стандартными способами. Например, один подходящий способ предусматривает: добавление воды и не смешивающегося с водой органического растворителя, такого как этилацетат; промывание органической фазы водой; отделение органической фазы, содержащей желаемое соединение; высушивание полученного раствора над осушителем, таким как безводный сульфат магния; и отгонку растворителя. Полученное таким образом целевое соединение может, если необходимо, быть очищено далее такими общепринятыми способами, как перекристаллизация, переосаждение, или одним из различных хроматографических способов, в частности, колоночной хроматографией.
Схема реакции I![]() В приведенных выше формулах R2, R3, Y1 – Y4 имеют указанные выше значения, а R51 обозначает метильную группу или атом водорода. Стадия J В этой стадии содержащее ацетил соединение формулы (XXXVI) получают из индольного соединения формулы (XXXV) реакцией Вильсмейера с применением оксифосфорилхлорида и диметилформамида или диметилацетамида. Эту реакцию обычно и предпочтительно выполняют в присутствии растворителя. Нет особого ограничения в отношении природы используемого растворителя, при условии, что он не оказывает неблагоприятного действия на реакцию или на участвующие в ней реагенты и что он может растворять реагенты, по меньшей мере, до некоторой степени. Примеры подходящих растворителей включают в себя: алифатические углеводороды, такие как гексан; галогенированные углеводороды, такие как метиленхлорид, хлороформ или дихлорэтан; простые эфиры, такие как диэтиловый эфир, тетрагидрофуран, диоксан или диметоксиэтан; и амиды, такие как формамид, диметилформамид или диметилацетамид. Мы предпочитаем использовать диметилформамид или диметилацетамид в качестве растворителя, особенно, когда эти соединения являются также реагирующими веществами. Эта реакция может иметь место в широком диапазоне температур, и точная температура реакции не является критической для изобретения. Предпочтительная температура реакции будет зависеть от таких факторов, как природа растворителя и исходный материал и используемый реагент. Однако, в общем, мы считаем удобным проводить эту реакцию при температуре от -20oC до 200oC, более предпочтительно от 0oC до 100oC и наиболее предпочтительно от приблизительно 5oC до 10oC. Время, необходимое для этой реакции, может также широко варьировать в зависимости от многих факторов, в частности, от температуры реакции и природы используемых реагентов и растворителя. Однако, при условии, что реакцию выполняют при описанных выше предпочтительных условиях, обычно будет достаточным период от 5 минут до 24 часов, более предпочтительно от 10 минут до 12 часов. После завершения реакции желаемое соединение может быть извлечено из реакционной смеси общепринятыми способами. Например, один подходящий способ предусматривает: нейтрализацию должным образом реакционной смеси; отфильтровывание нерастворимых материалов, если они имеются; добавление воды и не смешивающегося с водой органического растворителя, такого как этилацетат; промывание органической фазы водой; отделение органической фазы, содержащей желаемое соединение; высушивание экстракта над осушителем, таким как безводный сульфат магния; и удаление растворителя выпариванием при пониженном давлении. Полученное таким образом соединение, если необходимо, может быть очищено далее такими общепринятыми способами, как перекристаллизация, переосаждение или любой из различных хроматографических способов, в частности, колоночная хроматография. Схема реакции К В приведенных в схеме K формулах R1, R2, R3, Y1, Y2 и Y3 имеют указанные выше значения, а R50 обозначает алкильную группу, имеющую 1-6 атомов углерода, и X обозначает уходящую группу (см. в конце описания). Стадия K1 В этой стадии метилтиогруппу соединения формулы (XXXVII) окисляют до сульфинильной или сульфурильной группы соединения формулы (XXXVIII) или (XXXIX), соответственно. Любой способ окисления, обычно применяемый для этого типа реакции, может быть использован здесь, хотя предпочтительным является каталитический способ окисления. Эту реакцию обычно и предпочтительно выполняют в присутствии растворителя. Нет особого ограничения в отношении природы используемого растворителя, при условии, что он не оказывает неблагоприятного действия на реакцию или на участвующие в ней реагенты и что он может растворять реагенты, по меньшей мере, до некоторой степени. Предпочтительны неполярные растворители. Примеры подходящих растворителей включают в себя: алифатические углеводороды, такие как бензол, толуол или ксилол; простые эфиры, такие как диэтиловый эфир, тетрагидрофуран, диоксан или диметоксиэтан; галогенированные углеводороды, такие как метиленхлорид, хлороформ или дихлорэтан; и спирты, такие как метанол или этанол. Мы предпочитаем использовать галогенированные углеводороды или простые эфиры в качестве растворителей, в частности, метиленхлорид или тетрагидрофуран. Также нет особого ограничения в отношении природы используемого катализатора, и здесь можно использовать любой катализатор, обычно применяемый в общепринятых реакциях. Примером подходящего катализатора является м-хлорпербензойная кислота. Эта реакция может иметь место в широком диапазоне температур, и точная температура реакции не является критической для изобретения. Предпочтительная температура реакции будет зависеть от таких факторов, как природа растворителя и исходный материал и используемый реагент. Однако, в общем, мы считаем удобным проводить эту реакцию при температуре от -78oC до 80oC, более предпочтительно от 0oC до 50oC и наиболее предпочтительно при приблизительно комнатной температуре. Время, необходимое для этой реакции, может также широко варьировать в зависимости от многих факторов, в частности, от температуры реакции и природы используемых реагентов и растворителя. Однако, при условии, что реакцию выполняют при описанных выше предпочтительных условиях, обычно будет достаточным период от 5 минут до 24 часов, более предпочтительно от 10 минут до 12 часов. После завершения реакции целевое соединение может быть извлечено из реакционной смеси общепринятыми способами. Например, один подходящий способ предусматривает: нейтрализацию должным образом реакционной смеси; отфильтровывание нерастворимых материалов, если они имеются; добавление воды и не смешивающегося с водой органического растворителя, такого как этилацетат; промывание органической фазы водой; отделение органической фазы, содержащей желаемое соединение; высушивание экстракта над осушителем, таким как безводный сульфат магния; и удаление растворителя выпариванием при пониженном давлении. Целевое соединение, если необходимо, может быть очищено далее такими общепринятыми способами, как перекристаллизация, переосаждение или любой из различных хроматографических способов, в частности, колоночная хроматография. Стадия K2 В этой стадии соединение формулы (XL) получают из соединения формулы (XXXVIII) или (XXXIX) перегруппировкой Пуммерера, описанной в Tetrahedron Letters, vol. 25, N 17, 1753 (1984). Соединение формулы (XXXVIII) или (XXXIX) может быть получено согласно процедуре, описанной в стадии K1 выше. Соединение формулы (XXXVIII) или (XXXIX) реагирует с ангидридом сильной карбоновой кислоты, в данном случае предпочтительно с тригалогенированным уксусным ангидридом, таким как трифторуксусный ангидрид, при условиях, общепринятых для этого типа реакции. Затем реакционную смесь сушат удобным способом, таким как обработка безводным сульфатом магния, и затем гидролизуют. Гидролиз можно выполнять либо со спиртом, таким как метанол или этанол, либо с кислым водным раствором, таким как водная уксусная кислота. Эту реакцию обычно и предпочтительно выполняют в присутствии растворителя. Нет особого ограничения в отношении природы используемого растворителя, при условии, что он не оказывает неблагоприятного действия на реакцию или на участвующие в ней реагенты и что он может растворять реагенты, по меньшей мере, до некоторой степени. Примеры подходящих растворителей включают в себя: ароматические углеводороды, такие как бензол, толуол или ксилол; галогенированные углеводороды, такие как метиленхлорид, хлороформ или дихлорэтан; простые эфиры, такие как диэтиловый эфир, тетрагидрофуран, диоксан или диметоксиэтан; нитрилы, такие как ацетонитрил или изобутиронитрил; амиды, такие как формамид, диметилформацид, диметилацетамид или гексаметилтриамид фосфорной кислоты; и сульфоксиды, такие как диметилсульфоксид или сульфолан. Из них мы предпочитаем галогенированные углеводороды, такие как метиленхлорид. Реакция может иметь место в широком диапазоне температур, и точная температура реакции не является критической для изобретения. В общем, мы считаем, что удобно проводить реакцию при температуре от -50oC до 80oC, более предпочтительно от 0oC до 30oC и наиболее предпочтительно при приблизительно комнатной температуре. Время, необходимое для этой реакции, может также широко варьировать в зависимости от многих факторов, в частности, от температуры реакции и природы используемых реагентов и растворителя. Однако, при условии, что реакцию выполняют при описанных выше предпочтительных условиях, обычно будет достаточным период от 5 минут до 5 часов, более предпочтительно от 10 минут до 30 минут. После завершения реакции целевое соединение может быть извлечено из реакционной смеси общепринятыми способами. Например, один подходящий способ предусматривает: отфильтровывание нерастворимых веществ, если они имеются; добавление воды и не смешивающегося с водой органического растворителя, такого как этилацетат; промывание органической фазы водой или водным раствором; отделение органической фазы, содержащей целевое соединение; высушивание экстракта над осушителем, таким как сульфат магния; и отгонку растворителя. Целевое соединение, если необходимо, может быть очищено далее такими общепринятыми способами, как перекристаллизация, переосаждение или любой из различных хроматографических способов, в частности, колоночная хроматография. Стадия K3 Эта реакция предусматривает реакцию соединения формулы (XL) с соединением формулы: R50-X (где R50 и X имеют данные выше значения) с образованием соединения формулы (XLI). Подходящее количество соединения формулы: R50-X равно, например, 1-4 эквивалентам (более предпочтительно 2-3 эквивалентам) и находится предпочтительно в растворителе в присутствии или в отсутствие основания, но предпочтительно в присутствии основания. Нет особого ограничения в отношении природы уходящей группы, представленной X, при условии, что она является группой, способной отщепляться в виде нуклеофильного остатка, хорошо известного в этой области. Примеры предпочтительных уходящих групп включают в себя: атомы галогена, такие как атомы хлора, брома и иода; (низший алкокси)карбонилоксигруппы, такие как метоксикарбонилокси- и этоксикарбонилоксигруппы; галогенированные алкилкарбонилоксигруппы, такие как хлорацетокси, дихлорацетокси, трихлорацетокси и трифторацетоксигруппы; (низший алкан)сульфонилоксигруппы, такие как метансульфонилоксигруппа и этансульфонилоксигруппа; (низший галогеналкан)сульфонилоксигруппы, такие как трифторметансульфонилоксигруппа и пентафторэтансульфонилоксигруппа; и арилсульфонилоксигруппы, такие как бензолсульфонилокси, п-толуолсульфонилокси и п-нитробензолсульфонилоксигруппы. Из них мы предпочитаем атомы галогена, (низший галогеналкан)сульфонилоксигруппы и арилсульфонилоксигруппы. Эту реакцию обычно и предпочтительно выполняют в присутствии растворителя. Нет особого ограничения в отношении природы используемого растворителя, при условии, что он не оказывает неблагоприятного действия на реакцию или на участвующие в ней реагенты и что он может растворять реагенты, по меньшей мере, до некоторой степени. Примеры подходящих растворителей включают в себя: алифатические углеводороды, такие как гексан и гептан; ароматические углеводороды, такие как бензол, толуол и ксилол; галогенированные углеводороды, такие как метиленхлорид, хлороформ, четыреххлористый углерод, дихлорэтан, хлорбензол и дихлорбензол; сложные эфиры, такие как этилформиат, этилацетат, пропилацетат, бутилацетат и диэтилкарбонат; простые эфиры, такие как диэтиловый эфир, диизопропиловый эфир, тетрагидрофуран, диоксан, диметоксиэтан и диметиловый эфир диэтиленгликоля; нитрилы, такие как ацетонитрил и изобутиронитрил; и амиды, такие как формамид, диметилформамид, диметилацетамид, N-метил-2-пирролидон, N-метилпирролидинон и гексаметилтриамид фосфорной кислоты. Мы предпочитаем использовать в качестве растворителей простые эфиры или амиды, такие как тетрагидрофуран или диметилформамид. Нет особого ограничения в отношении природы используемого основания, и любое основание, которое может применяться в общепринятых реакциях этого типа, равным образом можно использовать здесь. Примеры предпочтительных оснований включают в себя органические основания, такие как N-метилморфолин, триэтиламин, трибутиламин, диизопропилэтиламин, дициклогексиламин, N-метилпиперидин, пиридин, 4-(1-пирролидинил)пиридин, пиколин, 4-(N,N-диметиламино)пиридин, 2,6-ди-трет-бутил-4-метилпиридин, хинолин, N,N-диметиланилин и N,N-диэтиланилин. Если желательно, можно использовать каталитическое количество 4-(N,N-диметиламино)пиридина, 4-(1-пирролидинил)пиридина или комбинацию других оснований. Для усиления реакции к реакционной смеси можно добавить соль четвертичного аммония (такую как хлорид бензилтриэтиламмония или хлорид тетрабутиламмония) или краун-эфир (такой как дибензо-18-краун-6). Эта реакция может иметь место в широком диапазоне температур, и точная температура реакции не является критической для изобретения. Предпочтительная температура реакции будет зависеть от таких факторов, как природа растворителя и исходный материал и используемый реагент. Однако, в общем, мы считаем удобным осуществлять алкилирование или аралкилирование при температуре от -20oC до 60oC, более предпочтительно от 0oC до 20oC, а ацилирование при температуре от -78oC до комнатной температуры, более предпочтительно от -78oC до 0oC. Время, необходимое для этой реакции, может также широко варьировать в зависимости от многих факторов, в частности, от температуры реакции и природы используемых реагентов и растворителя. Однако, при условии, что реакцию выполняют при описанных выше предпочтительных условиях, обычно будет достаточным период от 5 минут до 24 часов, более предпочтительно от 5 минут до 6 часов. После завершения реакции целевое соединение может быть извлечено из реакционной смеси общепринятыми способами. Например, один подходящий способ предусматривает: нейтрализацию должным образом реакционной смеси; отфильтровывание нерастворимых материалов, если они имеются; добавление воды и не смешивающегося с водой органического растворителя, такого как этилацетат; промывание органической фазы водой; отделение органической фазы, содержащей целевое соединение; высушивание экстракта над осушителем, таким как безводный сульфат магния; и отгонку растворителя. Целевое соединение, если необходимо, может быть очищено далее такими общепринятыми способами, как перекристаллизация, переосаждение или любой из различных хроматографических способов, в частности, колоночная хроматография. Альтернативно, Стадии K2 и K3 могут быть выполнены в виде реакции “в одном сосуде”. Так, после реакции с ангидридом сильной карбоновой кислоты к реакционной смеси добавляют сразу все компоненты: подходящий гидролизующий агент, R50-X и основание. Реакцию проводят при тех же условиях, включающих в себя растворитель, температуры и время, которые описаны выше. Получение разных соединений данного изобретения иллюстрируется следующими далее неограничительными примерами. Пример 1. Трет-бутил-(2-гидрокси-1,1-бисметилтио-1,2,3,4-тетрагидрокарбазол-2-ил)ацетат 1(a) Метил-3-(индол-3-ил)пропионат 36,2 г порошкообразного карбоната калия добавляли с охлаждением на льду к раствору 24,8 г 3-(индол-3-ил)пропионовой кислоты в 500 мл N,N-диметилформамида с последующим добавлением раствора 10,2 мл метилиодида в 50 мл N, N-диметилформамида. Затем реакционную смесь нагревали до комнатной температуры и перемешивали в течение 3 часов. После этого периода времени к реакционной смеси добавляли ледяную воду и водный слой экстрагировали этилацетатом. Затем органический экстракт промывали водой, сушили над безводным сульфатом магния и концентрировали упариванием при пониженном давлении. Полученный остаток подвергали колоночной хроматографии с использованием 500 г силикагеля и смеси 4:1 (об./об.) гексана и этилацетата в качестве элюента, получая 25,8 г указанного в заголовке соединения в виде аморфного твердого вещества. 1(b) 3-(4-Метилтио-4-метилсульфинил-3-оксобутен-1-ил)индол Раствор 11,2 г метилметилсульфинилсульфида в тетрагидрофуране добавляли с охлаждением на льду к суспензии 13,1 г гидрида натрия (55% (масса/масса) дисперсии в минеральном масле) в 100 мл тетрагидрофурана. Затем эту реакционную смесь нагревали до комнатной температуры и перемешивали в течение 2 часов. Затем к реакционной смеси добавляли раствор 12,2 г метил-3-(индол-3-ил)пропионата, полученного в примере 1(a) выше, в 50 мл тетрагидрофурана и смесь нагревали с обратным холодильником в течение 2 часов и затем подкисляли добавлением 1 н. водного раствора соляной кислоты. Водный слой экстрагировали этилацетатом и полученный органический экстракт промывали водой, сушили над безводным сульфатом магния и концентрировали выпариванием при пониженном давлении. Полученный таким образом остаток подвергали колоночной хроматографии с использованием 400 г силикагеля со смесью 1:2 (об./об.) гексана и этилацетата в качестве элюента, получая 16,8 г указанного в заголовке соединения в виде аморфного твердого вещества. 1(c) 1,1-Бисметилтио-1,2,3,4-тетрагидрокарбазол-3-он 680 мг п-толуолсульфокислоты добавляли к смеси 10,6 г -3-(4-метилтио-4-метилсульфинил-3-оксобутен-1-ил)индола, полученного в примере 1(b), в 150 мл тетрагидрофурана и 40 мл бензола. Затем эту реакционную смесь кипятили с обратным холодильником в течение 3 часов и затем нейтрализовали добавлением насыщенного водного раствора бикарбоната натрия. Растворитель удаляли из полученной смеси выпариванием при пониженном давлении и к остатку добавляли этилацетат. Затем водный слой экстрагировали этилацетатом и органический слой промывали насыщенным водным раствором хлорида натрия, сушили над сульфатом магния и концентрировали выпариванием при пониженном давлении. Полученный остаток подвергали колоночной хроматографии с применением 300 г силикагеля со смесью 9:1 (об./об.) гексана и этилацетата в качестве элюента, получая 9,7 г указанного в заголовке соединения в виде аморфного твердого вещества. 1(d) Трет-бутил-(2-гидрокси-1,1-бисметилтио-1,2,3,4-тетрагидрокарбазол-2-ил)ацетата 53 мл 1,7 М раствора н-бутиллития в гексане добавляли при температуре -78oC к раствору 13,9 г диизопропиламина в 50 мл толуола. Эту реакционную смесь затем нагревали до 0oC и перемешивали в течение 15 минут. Затем реакционную смесь охлаждали до -78oC и к охлажденному раствору добавляли раствор 5,0 г 1,1-бисметилтио-1,2,3,4-тетрагидрокарбазол-3-она, полученного в примере 1(c), в 10 мл толуола. Затем эту реакционную смесь перемешивали в течение 30 минут и затем нагревали до комнатной температуры и перемешивали в течение 2 часов. После этого к реакционной смеси добавляли насыщенный водный раствор хлорида аммония. Водный слой экстрагировали толуолом и органический экстракт промывали насыщенным водным раствором хлорида натрия, сушили над безводным сульфатом магния и концентрировали выпариванием при пониженном давлении. Полученный остаток подвергали колоночной хроматографии с использованием 250 г силикагеля с бензолом в качестве элюента, получая 6,8 г указанного в заголовке соединения в виде аморфного твердого вещества. Пример 2 Трет-бутил-(1-метилтиокарбазол-2-ил)ацетат 2,5 мл ледяной уксусной кислоты добавляли к раствору 3,37 г трет-бутил-(2-гидрокси-1,1-бисметилтио-1,2,3,4-тетрагидрокарбазол-2-ил)ацетата, полученного в примере 1, в 40 мл ксилола. Затем эту реакционную смесь кипятили с обратным холодильником в течение 1 часа и затем нейтрализовали добавлением насыщенного водного раствора бикарбоната натрия. Водный слой экстрагировали этилацетатом и органический экстракт промывали насыщенным водным раствором хлорида натрия, сушили над безводным сульфатом магния и концентрировали выпариванием при пониженном давлении. Полученный осадок подвергали колоночной хроматографии с использованием 80 г силикагеля со смесью 19:1 (об./об.) бензола и этилацетата в качестве элюента, получая 2,40 г указанного в заголовке соединения с температурой плавления 137-138oC, 50 мг 2-гидрокси-1-метилтиокарбазола (температура плавления 138-140oC), 85 мг трет-бутил-(2-гидрокси-1-оксо-1,2,3,4-тетрагидрокарбазол-2-ил)ацетата (плавление при 156-157oC) и 125 мг 3,3a,4,5,10,10b-гексагидро-3a-гидрокси-10b-метилтиофуро[2,3-a]карбазол-2-она (полученного в виде аморфного твердого вещества). Результаты спектра ядерного магнитного резонанса (CDCl3, 270 МГц), м. д. для каждого из указанных выше соединений были следующими:трет-бутил-(1-метилтиокарбазол-2-ил)ацетат 1,46 (9H, синглет); 2,36 (5H, синглет); 4,05 (2H, синглет); 7,21 (1H, дублет, J=7,8 Гц); 7,24 (1H, триплет, J=7,9 Гц); 7,42 (1H, триплет, J=7,9 Гц); 7,49 (1H, дублет, J =7,9 Гц); 7,99 (1H, дублет, J=7,9 Гц); 8,04 (1H, дублет, J=7,8 Гц); 8,62 (1H, широкий синглет). 2-гидрокси-1-метилтиокарбазол 2,33 (3H, синглет); 6,77 (1H, синглет); 6,93 (1H, дублет, J=8,4 Гц); 7,22 (1H, триплет, J=7,7 Гц); 7,36 (1H, триплет, J=7,7 Гц); 7,45 (1H, дублет, J=7,7 Гц); 7,94 (1H, дублет, J=8,4 Гц); 7,96 (1H, дублет, J=7,7 Гц); 8,39 (1H, широкий синглет). трет-бутил-(2-гидрокси-1-оксо-1,2,3,4-тетрагидрокарбазол-2-ил)ацетат. 1,49 (9H, синглет); 2,3-2,5 (2H, мультиплет); 2,6 (1H, дублет, J=14,6 Гц); 2,69 (1H, дублет, J=14,6 Гц); 3,02 (1H, двойной дублет дублетов, J=5,1, 8,7, 17,4 Гц); 3,23 (1H, триплет дублетов, J=5,1, 17,4 Гц); 4,59 (1H, синглет); 7,1-7,2 (1H, мультиплет); 7,3-7,5 (2H, мультиплет); 7,66 (1H, дублет, J=7,9 Гц); 8,81 (1H, широкий синглет); 3,3a, 4,5,10,10b-гексагидро-3a-гидрокси-10b-метилтиофуро-[2,3-a] карбазол-2-он 2,08 (3H, синглет); 2,12 (1H, двойной дублет дублетов, J=5,9, 9,9, 13,9 Гц); 2,27 (1H, двойной дублет дублетов, J=3,3, 5,9, 13,9 Гц); 2,70 (1H, дублет, J=16,8 Гц); 2,74 (1H, двойной дублет дублетов, J=5,9, 9,9, 17,2 Гц); 2,78 (1H, дублет, J=16,8 Гц); 3,02 (1H, двойной дублет дублетов, J=3,3, 5,9, 17,2 Гц); 3,17 (1H, синглет); 7,14 (1H, триплет, J=7,6 Гц); 7,28 (1H, триплет, J=7,6 Гц); 7,38 (1H, дублет, J=7,6 Гц); 7,53 (1H, дублет, J=7,6 Гц); 8,40 (1H, широкий синглет). Пример 3 (1-Метилтиокарбазол-2-ил)уксусная кислота 5 мл муравьиной кислоты добавляли к 51 мг трет-бутил-(1-метилтиокарбазол-2-ил) ацетата, полученному в примере 2. Затем эту реакционную смесь нагревали до комнатной температуры и перемешивали в течение 4 часов. Затем муравьиную кислоту удаляли при пониженном давлении и остаток перекристаллизовывали из этилацетата и гексана, получая 44 мг указанного в заголовке соединения, плавящегося при 210-212oC. Спектр ЯМР (CDCl3, 370 МГц), м.д.:2,36 (3H, синглет); 4,20 (2H, синглет); 7,22 (1H, дублет, J=7,9 Гц); 7,2-7,3 (1H, мультиплет); 7,44 (1H, триплет, J=7,6 Гц); 7,48 (1H, триплет, J=7,6 Гц); 8,01 (1H, дублет, J=7,9 Гц); 8,04 (1H, дублет, J=7,6 Гц); 8,63 (1H, широкий синглет). Пример 4 Трет-бутил-(9-бензил-1-метилтиокарбазол-2-ил)ацетат Раствор 98 мг трет-бутил-(1-метилтиокарбазол-2-ил)ацетата, полученного в примере 2, в 1 мл N,N-диметилформамида добавляли при охлаждении льдом к суспензии 13 мг гидрида натрия (55% (масса/масса) дисперсии в минеральном масле) в 2 мл N,N-диметилформамида, 51 мг бензилбромида добавляли к этой реакционной смеси, которую затем перемешивали в течение 1 часа. После этого к реакционной смеси добавляли насыщенный водный раствор хлорида аммония. Водный слой экстрагировали этилацетатом и органический экстракт промывали насыщенным водным раствором хлорида натрия, сушили над безводным сульфатом магния и концентрировали выпариванием при пониженном давлении. Полученный осадок подвергали колоночной хроматографии с использованием 4 г силикагеля со смесью 1:2 (об./об.) гексана и бензола в качестве элюента, получая 120 мг указанного в заголовке соединения в виде масла. Спектр ЯМР (CDCl3, 270 МГц), м.д.:1,43 (9H, синглет); 1,98 (3H, синглет); 4,09 (2H, синглет); 6,35 (2H, синглет); 7,03 (2H, дублет, J=6,5 Гц); 7,1-7,5 (7H, мультиплет); 8,08 (2H, дублет, J=7,9 Гц). Пример 5 (9-Бензил-1-метилтиокарбазол-2-ил)уксусная кислота В соответствии с процедурой и с применением относительных соотношений исходных материалов, сходных с описанными в примере 3, но с применением трет-бутил-(9-бензил-1-метилтиокарбазол-2-ил)ацетата, полученного в примере 4, в качестве исходного материала получали указанное в заголовке соединение с количественным выходом, плавящееся при 182-183oC. Спектр ЯМР (CDCl3, 270 МГц), м.д.:1,95 (3H, синглет); 4,22 (2H, синглет); 6,34 (2H, синглет); 7,03 (2H, дублет, J=7,7 Гц); 7,1-7,5 (7H, мультиплет); 8,0-8,2 (2H, мультиплет). Пример 6 Трет-бутил-[9-(4-хлорбензил)-1-метилтиокарбазол-2-ил]ацетат Согласно процедуре и с применением относительных соотношений исходных материалов, сходных с таковыми, описанными в примере 4, но с применением 4-хлорбензилхлорида в качестве исходного материала получали указанное в заголовке соединение в виде масла с выходом 96%. Пример 7 [9-(4-Хлорбензил)-1-метилтиокарбазол-2-ил]уксусная кислота Согласно процедуре и с применением относительных соотношений исходных материалов, сходных с описанными в примере 3, но с применением трет-бутил-[9-(4-хлорбензил)-1-метилтиокарбазол-2-ил] ацетата, полученного в примере 6, в качестве исходного материала получали указанное в заголовке соединение с количественным выходом, плавящееся при 176-178oC. Спектр ЯМР (CDCl3, 270 МГц), м.д.:2,01 (3H, синглет); 4,23 (2H, синглет): 6,30 (2H, синглет); 6,96 (2H, дублет, J=8,4 Гц); 7,1-7,4 (5H, мультиплет); 7,43 (1H, триплет, J=7,6 Гц); 8,0-8,2 (2H, мультиплет). Пример 8 Трет-бутил-[9-(4-фторбензил)-1-метилтиокарбазол-2-ил]ацетат Согласно процедуре и с применением относительных соотношений исходных материалов, сходных с описанными в примере 4, но с применением 4-фторбензилбромида в качестве исходного материала получали указанное в заголовке соединение в виде масла с выходом 98%. Пример 9 [9-(4-Фторбензил)-1-метилтиокарбазол-2-ил]уксусная кислота Согласно процедуре и с применением относительных соотношений исходных материалов, сходных с описанными в примере 3, но с применением трет-бутил-[9-(4-фторбензил)-1-метилтиокарбонил-2-ил]ацетата, полученного в примере 8 в качестве исходного материала получали указанное в заголовке соединение с количественным выходом, плавящееся при 156-157oC. Спектр ЯМР (CDCl3, 270 МГц) м.д.:2,00 (3H, синглет); 4,22 (2H, синглет); 6,30 (2H, синглет); 6,8-7,1 (4H, мультиплет); 7,2-7,4 (3H, мультиплет); 7,43 (1H, триплет, J=8,0 Гц); 8,08 (1H, дублет, J=7,8 Гц); 8,10 (1H, дублет, J=7,9 Гц). Пример 10 Трет-бутил-[9-(4-нитробензил)-1-метилтиокарбазол-2-ил]ацетат Согласно процедуре и с применением относительных соотношений исходных материалов, сходных с описанными в примере 4, но с применением 4-нитробензилбромида в качестве исходного материала получали указанное в заголовке соединение в виде масла с выходом 94%. Пример 11 [9-(4-Нитробезил)-1-метилтиокарбазол-2-ил]уксусная кислота Согласно процедуре и с применением относительных соотношений исходных материалов, сходных с описанными в примере 3, но с применением трет-бутил-[9-(4-нитробензил)-1-метилтиокарбазол-2-ил] ацетата, полученного в примере 10, в качестве исходного материала получали указанное в заголовке соединение с количественным выходом в виде аморфного твердого вещества. Спектр ЯМР (CDCl3, 270 МГц), м.д.:2,02 (3H, синглет); 4,21 (2H, синглет); 6,41 (2H, синглет); 7,17 (2H, дублет, J=8,5 Гц); 7,2-7,4 (5H, мультиплет); 7,44 (1H, триплет, J=7,5 Гц); 8,0-8,2 (4H, мультиплет). Пример 12 Трет-бутил-(9-бензил-1-метилтиокарбазол-2-ил)гидроксиацетат 0,47 мл 1,0 М раствора гексаметилдисилазида лития в тетрагидрофуране добавляли при перемешивании к раствору 65 мг трет- бутил-(9-бензил-1-метилтиокарбазол-2-ил) ацетата, полученного в примере 4, в 5 мл тетрагидрофурана. Затем реакционную смесь перемешивали в течение 1 часа в присутствии атмосферного кислорода. После этого к реакционной смеси добавляли водный раствор хлорида аммония. Водный слой экстрагировали этилацетатом и органический экстракт промывали насыщенным водным раствором хлорида натрия, сушили над безводным сульфатом магния и концентрировали выпариванием при пониженном давлении. Полученный осадок подвергали колоночной хроматографии с использованием 1,5 г силикагеля со смесью 3:1 (об./об.) гексана и этилацетата в качестве элюента, получая выход 43 мг указанного в заголовке соединения в виде масла. Спектр ЯМР (CDCl3, 270 МГц), м.д.:1,34 (9H, синглет); 2,09 (3H, синглет); 3,69 (1H, широкий синглет); 6,23 (1H, синглет); 6,37 (2H, синглет); 7,01 (2H, дублет, J=7,8 Гц); 7,1-7,5 (7H, мультиплет); 8,09 (1H, дублет, J=7,9 Гц); 8,13 (1H, дублет, J=8,0 Гц). Пример 13 Бензил-(9-бензил-4-метил-1-метилтиокарбазол-2-ил)ацетат a) Согласно процедуре и с применением относительных соотношений исходных материалов, сходных с описанными в примерах 1 и 2, но с применением 3-(индол-3-ил)масляной кислоты в качестве исходного материала получали бензил-(4-метил-1-метилтиокарбазол-2-ил)ацетат и использовали его без дальнейшей очистки в следующей стадии. b) Раствор 2,42 г бензил-(4-метил-1-метилтиокарбазол-2-ил)ацетата, полученного в а) выше, в 40 мл N,N-диметилформамида добавляли при охлаждении льдом к суспензии 280 мг гидрида натрия (55% (масса/масса) дисперсии в минеральном масле) в 30 мл N,N-диметилформамиде. Затем 1,1 г бензилбромида добавляли к реакционной смеси, которую затем перемешивали в течение 1 часа. После этого к реакционной смеси добавляли насыщенный водный раствор хлорида аммония. Водный слой экстрагировали этилацетатом и органический экстракт промывали водой, сушили над безводным сульфатом магния и концентрировали выпариванием при пониженном давлении. Полученный осадок подвергали колоночной хроматографии с использованием 80 г силикагеля со смесью 1:2 (об./об.) гексана и бензола в качестве элюента, получая 2,7 г указанного в заголовке соединения в виде масла и 195 мг бензил-2-(4-метил-1-метилтиокарбазол-2-ил)-3-фенилпропионата, также в виде масла. Пример 14 (9-Бензил-4-метил-1-метилтиокарбазол-2-ил)уксусная кислота 50 мл этанола и 50 мл 2 н. водного раствора гидроксида натрия добавляли к 1,16 г бензил-(9-бензил-4-метил-1-метилтиокарбазол-2-ил)ацетата, полученного в примере 13a). Реакционную смесь перемешивали в течение 2 часов при комнатной температуре, после чего ее подкисляли добавлением 1 н. водного раствора соляной кислоты и затем концентрировали выпариванием при пониженном давлении. К полученному таким образом остатку добавляли этилацетат. Водный слой экстрагировали этилацетатом и органический экстракт промывали насыщенным водным раствором хлорида натрия, сушили над безводным сульфатом магния и концентрировали выпариванием при пониженном давлении. Полученный осадок подвергали колоночной хроматографии с использованием 20 г силикагеля со смесью 1:1 (об./об.) гексана и этилацетата в качестве элюента и затем перекристаллизовывали из этилацетата и гексана, получая 0,90 г указанного в заголовке соединения, плавящегося при 219-220oC. Спектр ЯМР (CDCl3, 270 МГц), м.д.:1,96 (3H, синглет); 2,89 (3H, синглет); 4,15 (1H, синглет); 6,40 (2H, синглет); 7,0-7,5 (9H, мультиплет); 8,19 (1H, дублет, J=7,9 Гц). Пример 15 2-(4-Метил-1-метилтиокарбазол-2-ил)-3-фенилпропионовая кислота Согласно процедуре и с применением относительных соотношений исходных материалов, сходных с описанными в примере 14, но с применением бензил-2-(4-метил-1-метилтиокарбазол-2-ил)-3-фенилпропионата, полученного в примере 13, в качестве исходного материала получали указанное в заголовке соединение с выходом 93%, плавящегося при 186-187oC. Спектр ЯМР (CDCl3, 270 МГц), м.д.:2,16 (3H, синглет); 2,91 (3H, синглет); 3,11 (1H, дублет дублетов, J=7,5, 13,7 Гц); 3,53 (1H, дублет дублетов, J=7,5, 13,7 Гц); 5,18 (1H, триплет, J=7,5 Гц); 7,1-7,6 (9H, мультиплет); 8,17 (1H, дублет, J=7,9 Гц); 8,70 (1H, широкий синглет). Пример 16 Трет-бутил-2-(9-бензил-1-метилтиокарбазол-2-ил)-3-фенилпропионат Раствор 826 мг трет-бутил-(1-метилтиокарбазол-2-ил)ацетата, полученного в примере 2, в 5 мл N,N-диметилформамида добавляли при охлаждении льдом к суспензии 220 мг гидрида натрия (55% (масса/масса) дисперсии в минеральном масле) в 10 мл N,N-диметилформамида. Затем к реакционной смеси добавляли 855 мг бензилбромида и смесь нагревали до комнатной температуры и перемешивали в течение 1 часа. После этого к реакционной смеси добавляли насыщенный водный раствор хлорида аммония. Водный слой экстрагировали этилацетатом и органический экстракт промывали водой, сушили над безводным сульфатом магния и концентрировали выпариванием при пониженном давлении. Полученный осадок подвергали колоночной хроматографии с использованием 30 г силикагеля со смесью 1: 2 (об./об.) гексана и бензола в качестве элюента, получая 1,21 г указанного в заголовке соединения в виде масла. Спектр ЯМР (CDCl3, 270 МГц), м.д.:1,30 (9H, синглет); 1,89 (3H, синглет); 2,99 (1H, дублет дублетов, J=7,2, 13,7 Гц); 3,41 (1H, дублет дублетов, J=8,0, 13,7 Гц); 5,23 (1H, дублет дублетов, J=7,2, 8,0 Гц); 6,31 (2H, синглет); 6,9-7,5 (14H, мультиплет); 8,07 (1H, дублет, J=7,7 Гц); 8,13 (1H, дублет, J=8,2 Гц). Пример 17 2-(9-Бензил-1-метилтиокарбазол-2-ил)-3-фенилпропионовая кислота Согласно процедуре и с применением относительных соотношений исходных материалов, сходных с описанными в примере 3, но с применением трет-бутил-2-(9-бензил-1-метилтиокарбазол-2-ил)-3-фенилпропионата, полученного в примере 16, в качестве исходного материала получали указанное в заголовке соединение с выходом 99%, плавящееся при 154-156oC. Спектр ЯМР (CDCl3, 270 МГц), м.д.:1,86 (3H, синглет); 3,06 (1H, дублет дублетов), J=7,5, 13,7 Гц); 3,48 (1H, дублет дублетов, J=7,5, 13,7 Гц); 5,39 (1H, триплет, J=7,5 Гц); 6,32 (2H, синглет); 6,9-7,0 (2H, мультиплет); 7,1-7,5 (12H, мультиплет); 8,09 (1H, дублет, J=7,8 Гц); 8,15 (1H, дублет, J=8,2 Гц). Пример 18 Трет-бутил-2-[9-(4-хлорбензил)-1-метилтиокарбазол-2-ил] -3-(4-хлорбензил)пропионат Согласно процедуре и с применением относительных соотношений исходных материалов, сходных с описанными в примере 16, но с применением 4-хлорбензилхлорида в качестве исходного материала получали указанное в заголовке соединение в виде масла с выходом 95%. Пример 19 2-[9-(4-Хлорбензил)-1-метилтиокарбазол-2-ил]-3-(4-хлорбензил)пропионовая кислота Согласно процедуре и с применением относительных соотношений исходных материалов, сходных с описанными в примере 3, но с применением трет-бутил-2-(9-(4-хлорбензил)-1-метилтиокарбазол-2-ил)-3-(4-хлорфенил)пропионата, полученного в примере 18, в качестве исходного материала получали указанное в заголовке соединение с количественным выходом, с температурой плавления 104-107oC. Спектр ЯМР (CDCl3, 270 МГц), м.д.:1,95 (3H, синглет); 3,02 (1H, дублет дублетов, J=7,5, 13,8 Гц); 3,43 (1H, дублет дублетов, J=7,5, 13,8 Гц); 5,35 (1H, триплет, J=7,5 Гц); 6,27 (2H, синглет); 6,8-7,5 (12H, мультиплет); 8,0-8,2 (2H, мультиплет). Пример 20 Трет-бутил-2-[9-(4-фторбензил)-1-метилтиокарбазол-2-ил] 3-(4-фторфенил)пропионат Согласно процедуре и с применением относительных соотношений исходных материалов, сходных с описанными в примере 16, но с применением 4-фторбензилбромида в качестве исходного материала получали указанное в заголовке соединение в виде масла с выходом 97%. Пример 21 2-[9-(4-Фторбензил)-1-мeтилтиoкapбaзoл-2-ил] -3-(4-фторфенил)пропионовая кислота Согласно процедуре и с применением относительных соотношений исходных материалов, сходных с описанными в примере 3, но с применением трет-бутил-2-[9-(4-фторбензил)-1-метилтиокарбазол-2-ил] -3-(4-фторфенил)пропионата, полученного в примере 20, в качестве исходного материала получали указанное в заголовке соединение с количественным выходом, плавящееся при 90-94oC. Спектр ЯМР (CDCl3, 270 МГц), м.д.:1,93 (3H, синглет); 3,03 (1H, дублет дублетов, J=7,5, 13,7 Гц); 3,44 (1H, дублет дублетов, J=7,5, 13,5 Гц); 5,36 (1H, триплет, J=7,5 Гц); 6,25 (2H, синглет); 6,7-7,5 (12H, мультиплет); 8,0-8,2 (2H, мультиплет). Пример 22 Трет-бутил-2-[9-(4-нитробензил)-1-метилтиокарбазол-2-ил] -3-(4-нитрофенил)пропионат Согласно процедуре и с применением относительных соотношений исходных материалов, сходных с описанными в примере 16, но с применением 4-нитробензилбромида в качестве исходного материала получали указанное в заголовке соединение в виде масла, с выходом 92%. Пример 23 2-[9-(4-Нитробензил)-1-метилтиокарбазол-2-ил]-3-(4-нитрофенил) пропионовая кислота Согласно процедуре и с применением относительных соотношений исходных материалов, сходных с описанными в примере 3, но с применением трет-бутил-2-[(9-(4-нитробензил)-1-метилтиокарбазол-2-ил] -3-(4-нитрофенил)пропионата, полученного в примере 22, в качестве исходного материала получали указанное в заголовке соединение в виде аморфного твердого вещества с количественным выходом. Спектр ЯМР (CDCl3, 270 МГц), м.д.:1,96 (3H, синглет); 3,13 (1H, дублет дублетов, J=7,5, 13,7 Гц); 3,56 (1H, дублет дублетов, J=7,5, 13,7 Гц); 5,37 (1H, триплет, J=7,5 Гц); 6,28 (1H, дублет, J=17,8 Гц); 6,47 (1H, дублет, J=17,8 Гц); 7,12 (2H, дублет, J=8,7 Гц); 7,2-7,5 (6H, мультиплет); 8,0-8,2 (6H, мультиплет). Пример 24 Бензил-2-[9-бензил-4-метил-1-метилтиокарбазол-2-ил]-3-фенилпропионат Раствор 100 мг бензил-(9-бензил-4-метил-1-метилтиокарбазол-2-ил)ацетата, полученного в примере 13a), в 1 мл N,N-диметилформамида добавляли при охлаждении льдом к суспензии 23 мг гидрида натрия (55% (масса/масса) дисперсии в минеральном масле) в 3 мл N,N-диметилформамида. Затем добавляли 91 мг бензилбромида к реакционной смеси, которую после этого нагревали до комнатной температуры и перемешивали в течение 1 часа. После этого периода времени насыщенный раствор хлорида аммония добавляли к реакционной смеси. Водный слой экстрагировали этилацетатом и органический экстракт промывали водой, сушили над безводным сульфатом магния и концентрировали выпариванием при пониженном давлении. Полученный осадок подвергали колоночной хроматографии с использованием 3 г силикагеля со смесью 1:2 (об./об.) гексана и бензола в качестве элюента, получая 142 мг указанного в заголовке соединения в виде масла. Пример 25 2-(9-Бензил-4-метил-1-метилтиокарбазол-2-ил)-3-фенилпропионовая кислота Согласно процедуре и с применением относительных соотношений исходных материалов, сходных с описанными в примере 14, но с применением бензил-2-(9-бензил-4-метил-1-метилкарбазол-2-ил)-3-фенилпропионата, полученного в примере 24, в качестве исходного материала получали указанное в заголовке соединение с выходом 91%, плавящееся при 199-200oC. Спектр ЯМР (CDCl3, 270 МГц), м.д.:1,85 (3H, синглет); 2,92 (3H, синглет); 3,03 (1H, дублет дублетов, J=7,4, 13,7 Гц); 3,46 (1H, дублет дублетов, J=7,4, 13,7 Гц); 5,38 (1H, триплет, J=7,4 Гц); 6,36 (2H, синглет); 6,99 (2H, дублет, J=7,9 Гц); 7,1-7,5 (12H, мультиплет); 8,20 (1H, дублет, J=7,8 Гц). Пример 26 1-Метилкарбазол-2-карбоновая кислота 4 мл этанола и 4 мл 2 н. водного раствора гидроксида калия добавляли к 100 мг этил-1-метилкарбазол-2-карбоновой кислоты, полученной согласно процедурам, описанным в C.J.Moody and K.F.Rahimtoola, J.Chem. Soc. Parkin. Trans. I, 673 (1990)). Реакционную смесь перемешивали в течение 2 часов при комнатной температуре и затем подкисляли добавлением 1 н. водного раствора соляной кислоты, после чего концентрировали выпариванием при пониженном давлении. Этилацетат добавляли к остатку. Водный слой экстрагировали этилацетатом и органический экстракт промывали насыщенным водным раствором хлорида натрия, сушили над безводным сульфатом магния и концентрировали выпариванием при пониженном давлении. Полученный осадок перекристаллизовывали из этилацетата и гексана, получая 81 мг указанного в заголовке соединения, плавящегося при > 240oC. Спектр ЯМР (CDCl3, 270 МГц), м.д.:2,89 (3H, синглет); 7,24 (1H, триплет, J=8,0 Гц); 7,45 (1H, триплет, J=8,0 Гц); 7,52 (1H, дублет, J=8,0 Гц); 7,90 (1H, дублет, J=8,4 Гц); 7,94 (1H, дублет, J=8,4 Гц); 8,09 (1H, дублет, J=8,0 Гц); 8,89 (1H, широкий синглет). Пример 27 1-Метилкарбазол-3-карбоновая кислота Согласно процедуре и с применением относительных соотношений исходных материалов, сходных с описанными в примере 26, но с применением этил-1-метилкарбазол-3-карбоксилата в качестве исходного материала получали указанное в заголовке соединение с выходом 92%, плавящееся при > 240oC. Спектр ЯМР (CDCl3, 270 МГц), м.д.:2,61 (3H, синглет); 7,26 (1H, триплет, J=7,8 Гц); 7,43 (1H, триплет, J=7,8 Гц); 7,51 (1H, дублет, J=7,8 Гц); 7,98 (1H, синглет); 8,10 (1H, дублет, J=7,8 Гц); 8,71 (1H, синглет); 9,20 (1H, широкий синглет). Пример 28 Этил-9-бензил-1-метилкарбазол-2-карбоксилат Раствор 29 мг этил-1-метилкарбазол-2-карбоксилата в 1 мл N,N-диметилформамида добавляли при охлаждении льдом к суспензии 10 мг гидрида натрия (55% (масса/масса) дисперсии в минеральном масле) в 2 мл N,N-диметилформамида. 29 мг бензилбромида добавляли после этого к реакционной смеси, которую затем перемешивали в течение 1 часа с охлаждением на льду. После этого к реакционной смеси добавляли насыщенный водный раствор хлорида аммония. Водный слой экстрагировали этилацетатом и органический экстракт промывали водой, сушили над безводным сульфатом магния и концентрировали выпариванием при пониженном давлении. Полученный осадок подвергали колоночной хроматографии с использованием 1 г силикагеля со смесью 9:1 (об./об.) гексана и этилацетата в качестве элюента, получая 38 мг указанного в заголовке соединения, плавящегося при 79-80oC. Спектр ЯМР (CDCl3, 270 МГц), м.д.
1,40 (3H, триплет, J=7,1 Гц);2,80 (3H, синглет); 4,38 (2H, квартет, 3=7,1 Гц); 5,79 (2H, синглет); 7,07 (2H, дублет, J=6,5 Гц); 7,2-7,5 (6H, мультиплет); 7,66 (1H, дублет, J=8,2 Гц); 7,99 (1H, дублет, J=8,2 Гц); 8,12 (1H, дублет, J=8,0 Гц). Пример 29 9-Бензил-1-метилкарбазол-2-карбоновая кислота Согласно процедуре и с применением относительных соотношений исходных материалов, сходных с описанными в примере 26, но с применением этил-9-бензил-1-метилкарбазол-2-карбоксилата, полученного в примере 28, в качестве исходного материала указанное в заголовке соединение, плавящееся при 215-216oC, получали с выходом 94%. Спектр ЯМР (CDCl3, 270 МГц), м.д.:2,85 (3H, синглет); 5,80 (2H, синглет); 7,0-7,1 (2H, мультиплет); 7,2-7,4 (5H, мультиплет); 7,44 (1H, триплет, J=7,5 Гц); 7,76 (1H, дублет, J=8,1 Гц); 7,99 (1H, дублет, J=8,1 Гц); 8,12 (1H, дублет, J=7,5 Гц). Пример 30 Этил-9-бензил-1-метилкарбазол-3-карбоксилат Согласно процедуре и с применением относительных соотношений исходных материалов, сходных с описанными в примере 28, но с применением этил-1-метилкарбазол-3-карбоксилата в качестве исходного материала указанное в заголовке соединение, плавящееся при 118-119oC, получали с выходом 96%. Спектр ЯМР (CDCl3, 270 МГц), м.д.:1,44 (3H, триплет, J=7,1 Гц); 2,64 (3H, синглет); 4,43 (2H, квартет, J=7,1 Гц); 5,74 (2H, синглет); 6,9-7,0 (2H, мультиплет); 7,2-7,5 (6H, мультиплет); 7,87 (1H, синглет); 8,16 (1H, дублет, J=8,2 Гц); 8,72 (1H, синглет). Пример 31 9-Бензил-1-метилкарбазол-3-карбоновая кислота Согласно процедуре и с применением относительных соотношений исходных материалов, сходных с описанными в примере 26, но с применением этил-9-бензил-1-метилкарбазол-3-карбоксилата, полученного в примере 30, в качестве исходного соединения указанное в заголовке соединение, плавящееся при >240oC, получали с выходом 92%. Спектр ЯМР (CDCl3, 270 МГц), м.д.:2,70 (3H, синглет); 5,83 (2H, синглет); 7,0-7,1 (2H, мультиплет); 7,2-7,4 (5H, мультиплет); 7,46 (1H, триплет, J=7,6 Гц); 7,93 (1H, синглет); 8,18 (1H, дублет, J=7,6 Гц); 8,79 (1H, синглет). Пример 32 Метил-(1-метилкарбазол-3-ил)ацетат 73 мг оксалилхлорида добавляли при охлаждении льдом к раствору 92 мг 1-метилкарбазол-3-карбоновой кислоты, полученной в примере 27, в 5 мл метиленхлорида. Затем одну каплю N,N-диметилформамида добавляли к реакционной смеси, которую затем нагревали до комнатной температуры, перемешивали в течение 2 часов и затем концентрировали выпариванием при пониженном давлении. 10 мл диэтилового эфира и избыток раствора диазометана в диэтиловом эфире добавляли к полученному таким образом остатку и реакционную смесь перемешивали в течение ночи при комнатной температуре. Уксусную кислоту и затем насыщенный водный раствор бикарбоната натрия добавляли к реакционной смеси. Водный слой экстрагировали этилацетом и органический экстракт промывали водой, сушили над безводным сульфатом магния и концентрировали выпариванием при пониженном давлении. Полученный осадок подвергали колоночной хроматографии с использованием 2 г силикагеля со смесью 1:1 (об./об.) гексана и этилацетата в качестве элюента. Затем 6 мг оксида серебра добавляли к раствору элюированного остатка в 5 мл метанола. Реакционную смесь кипятили с обратным холодильником в течение 5 часов, фильтровали для удаления неорганических веществ и концентрировали выпариванием при пониженном давлении. Полученный остаток подвергали колоночной хроматографии с применением 2 г силикагеля со смесью 2:1 (об./об.) гексана и этилацетата в качестве элюента, получая 90 мг указанного в заголовке соединения в виде масла. Пример 33 (1-Метилкарбазол-3-ил)уксусная кислота Согласно процедуре и с применением относительных соотношений исходных материалов, сходных с описанными в примере 26, но с применением метил-(1-метилкарбазол-3-ил)ацетата, полученного в примере 32, в качестве исходного материала указанное в заголовке соединение, плавящееся при 177-179oC, получали с выходом 93%. Спектр ЯМР (CDCl3, 270 МГц), м.д.:2,56 (3H, синглет); 3,81 (2H, синглет); 7,1-7,5 (5H, мультиплет); 7,85 (1H, синглет); 7,97 (1H, широкий синглет); 8,04 (1H, дублет, J=7,9 Гц). Пример 34 9-Бензил-1-метилкарбазол-2-карбальдегид 1,6 мл 1,5 М раствора гидрида диизобутилалюминия в гексане добавляли при -78oC к раствору 213 мг этил-9-бензил-1-метилкарбазол-2-карбоксилата, полученного в примере 28, в 5 мл метиленхлорида. Реакционную смесь перемешивали в течение 1 часа при этой температуре, нагревали до комнатной температуры и затем перемешивали еще в течение 1 часа при комнатной температуре. После этого 0,1 мл воды, 0,1 мл 1 н. водного раствора гидроксида натрия и 0,3 мл воды добавляли последовательно к реакционной смеси. Осадившиеся кристаллы отфильтровывали и затем фильтрат концентрировали выпариванием при пониженном давлении. 187 мг дихромата пиридиния и молекулярное сито 4A и затем 2 мл метиленхлорида добавляли к 100 мг полученного таким образом остатка. Полученную смесь перемешивали в течение 2 часов при комнатной температуре, фильтровали при помощи Elorisil (товарный знак) и концентрировали выпариванием при пониженном давлении. Полученный остаток подвергали колоночной хроматографии с применением 2 г силикагеля со смесью 5:1 (об./об.) гексана и этилацетата в качестве элюента, получая 94 мг указанного в заголовке соединения в виде аморфного твердого вещества. Пример 35 Этил-3-(9-бензил-1-метилкарбазол-2-ил)-3-пропеноат 90 мг этил-диэтилфосфоноацетата добавляли при охлаждении льдом к суспензии 18 мг гидрида натрия (55% (масса/масса) дисперсии в минеральном масле) в 2 мл тетрагидрофурана и реакционную смесь перемешивали в течение 15 минут. Затем раствор 83 мг 9-бензил-1-метилкарбазол-2-карбальдегида, полученного в примере 34, в тетрагидрофуране добавляли к реакционной смеси, которую затем перемешивали в течение 15 минут. После этого к реакционной смеси добавляли насыщенный водный раствор хлорида аммония. Водный слой экстрагировали этилацетатом и органический экстракт промывали насыщенным водным раствором хлорида натрия, сушили над безводным сульфатом магния и концентрировали выпариванием при пониженном давлении. Полученный осадок подвергали колоночной хроматографии с использованием 2 г силикагеля со смесью 5:1 (об. /об. ) гексана и этилацетата в качестве элюента, получая 97 мг указанного в заголовке соединения в виде аморфного твердого вещества. Пример 36 Этил-3-(9-бензил-1-метилкарбазол-2-ил)пропионат 10 мг 10% (м/м) палладия на угле добавляли к раствору 89 мг этил-3-(9-бензил-1-метилкарбазол-2-ил)-3-пропионата, полученного в примере 35, в 1 мл метанола и 1 мл тетрагидрофурана. Реакционную смесь перемешивали в течение 1 часа при комнатной температуре, фильтровали для удаления катализатора и концентрировали выпариванием при пониженном давлении. Полученный остаток подвергали колоночной хроматографии с применением 2 г силикагеля со смесью 5: 1 (об./об.) гексана и этилацетата в качестве элюента, получая 85 мг указанного в заголовке соединения, плавящегося при 114-115oC. Спектр ЯМР (CDCl3, 270 МГц), м.д.:1,24 (3H, триплет, J=7,2 Гц); 2,57 (3H, синглет); 2,59 (2H, триплет, J=8,2 Гц); 3,11 (2H, триплет, J=8,2 Гц); 4,13 (2H, квартет, J=7,2 Гц); 5,76 (2H, синглет); 7,0-7,4 (8H, мультиплет); 7,37 (1H, триплет, J=7,0 Гц); 7,91 (1H, дублет, J=7,9 Гц); 8,06 (1H, дублет, J=7,8 Гц). Пример 37 3-(9-Бензил-1-метилкарбазол-2-ил)пропионовая кислота Согласно процедуре и с применением относительных соотношений исходных материалов, сходных с описанными в примере 26, но с применением этил-3-(9-бензил-1-метилкарбазол-2-ил)пропионата, полученного в примере 36, в качестве исходного материала получали указанное в заголовке соединение, плавящееся при 160-162oC, с выходом 97%. Спектр ЯМР (CDCl3, 270 МГц), м.д.:2,57 (3H, синглет); 2,66 (2H, триплет, J=8,1 Гц); 3,13 (2H, триплет, J=8,1 Гц); 5,77 (2H, синглет); 7,0-7,4 (9H, мультиплет); 7,92 (1H, дублет, J=7,9 Гц); 8,07 (1H, дублет, J=7,7 Гц). Пример 38 (Карбазол-2-ил)тиоацетоморфолид 96 мг морфолина и 18 мг порошка серы добавляли к 157 мг 2-ацетилкарбазола, полученного согласно процедурам, описанным S.G.P. and S.B.S. Williams, J. Chem. Soc., 1142 (1934). Реакционную смесь перемешивали в течение 5 часов при 80oC и затем подкисляли добавлением 0,5 н. водного раствора соляной кислоты. Водный слой экстрагировали этилацетатом и органический экстракт промывали насыщенным водным раствором хлорида натрия, сушили над безводным сульфатом магния и концентрировали выпариванием при пониженном давлении. Полученный осадок подвергали колоночной хроматографии с использованием 5 г силикагеля со смесью 2: 1 (об./об.) гексана и этилацетата в качестве элюента, получая 195 мг указанного в заголовке соединения в виде аморфного твердого вещества. Пример 39 (Карбазол-2-ил)уксусная кислота 1 мл 4 н. водного раствора гидроксида калия добавляли к раствору 100 мг (карбазол-2-ил) тиоацетморфолида, полученного в примере 38, в 2 мл этанола. Полученную смесь кипятили с обратным холодильником в течение 10 часов, после чего ее подкисляли добавлением 1 н. водного раствора соляной кислоты и затем концентрировали выпариванием при пониженном давлении. К остатку добавляли этилацетат. Водный слой экстрагировали этилацетатом и органический экстракт промывали насыщенным водным раствором хлорида натрия, сушили над безводным сульфатом магния и концентрировали выпариванием при пониженном давлении. Полученный остаток перекристаллизовывали из этилацетата и гексана, получая 68 мг указанного в заголовке соединения, плавящегося при 150-152oC. Спектр ЯМР (d6-DMSO, 270 МГц), м.д.:3,76 (2H, синглет); 7,1-7,5 (5H, мультиплет); 7,99 (1H, дублет, J=8,2 Гц); 8,02 (1H, дублет, J=9,2 Гц); 9,21 (1H, широкий синглет). Пример 40 2-Ацетил-9-бензилкарбазол Согласно процедуре и с применением относительных соотношений исходных материалов, сходных с описанными в примере 28, но с применением 2-ацетилкарбазола в качестве исходного материала указанное в заголовке соединение получали с выходом 95% в виде аморфного твердого вещества. Пример 41 (9-Бензилкарбазол-2-ил)ацетоморфолид Согласно процедуре и с применением относительных соотношений исходных материалов, сходных с описанными в примере 38, но с применением 2-ацетил-9-бензилкарбазола, полученного в примере 40, в качестве исходного материала указанное в заголовке соединение получали в виде аморфного твердого вещества с выходом 88%. Пример 42 (9-Бензилкарбазол-2-ил)уксусная кислота Согласно процедуре и с применением относительных соотношений исходных материалов, сходных с описанными в примере 39, но с применением (9-бензилкарбазол-2-ил)ацетоморфолида, полученного в примере 41, в качестве исходного соединения указанное в заголовке соединение, плавящееся при 149-150oC, получали с выходом 86%. Спектр ЯМР (CDCl3, 270 МГц), м.д.:3,80 (2H, синглет); 5,50 (2H, синглет); 7,1-7,5 (10H, мультиплет); 8,07 (1H, дублет, J=7,6 Гц); 8,10 (1H, дублет, J=6,6 Гц). Пример 43 Трет-бутил-(1-метилтиокарбазол-2-илокси)ацетат 135 мг порошкообразного карбоната калия добавляли к раствору 112 мг 2-гидрокси-1-метилтиокарбазола, полученного в примере 2, в 4 мл ацетона. 956 мг трет-бутилбромацетата добавляли к реакционной смеси, которую затем перемешивали в течение 2 часов при комнатной температуре. После этого реакционную смесь выливали в ледяную воду и концентрировали выпариванием при пониженном давлении. Водный слой экстрагировали этилацетатом и органический экстракт промывали насыщенным водным раствором хлорида натрия, сушили над безводным сульфатом магния и концентрировали выпариванием при пониженном давлении. Полученный осадок подвергали колоночной хроматографии с использованием 3 г силикагеля со смесью 9:1 (об./об.) гексана и этилацетата в качестве элюента, получая 140 мг указанного в заголовке соединения в виде масла. Пример 44 (1-Метилтиокарбазол-2-илокси)уксусная кислота Согласно процедуре и с применением относительных соотношений исходных материалов, сходных с описанными в примере 3, но с применением трет-бутил-(1-метилтиокарбазол-2-илокси)ацетата, полученного в примере 43, в качестве исходного материала указанное в заголовке соединение, плавящееся при 179-180oC, получали с количественным выходом. Спектр ЯМР (CDCl3, 270 МГц), м.д.: 2,50 (3H, синглет); 4,82 (2H, синглет); 6,79 (1H, дублет, J=8,6 Гц); 7,20 (1H, триплет, J=7,9 Гц); 7,37 (1H, триплет, J=7,9 Гц); 7,47 (1H, дублет, J=7,9 Гц); 7,92 (1H, дублет, J= 8,6 Гц); 7,96 (1H, дублет, J=7,9 Гц); 8,89 (1H, широкий синглет).
Пример 45Трет-бутил-(9-бензил-1-метилтиокарбазол-2-илокси)ацетат Согласно процедуре и с применением относительных соотношений исходных материалов, сходных с описанными в примере 28, но с применением трет-бутил-(1-метилтиокарбазол-2-илокси)ацетата, полученного в примере 43, в качестве исходного материала получали указанное в заголовке соединение в виде масла с выходом 94%. Пример 46 (9-Бензил-1-метилтиокарбазол-2-илокси)уксусная кислота Согласно процедуре и с применением относительных соотношений исходных материалов, сходных с описанными в примере 3, но с применением трет-бутил-(9-бензил-1-метилтиокарбазол-2-илокси)ацетата, полученного в примере 45, в качестве исходного материала указанное в заголовке соединение, плавящееся при 188-189oC, получали с количественным выходом. Спектр ЯМР (CDCl3, 270 МГц), м.д.:2,04 (3H, синглет); 4,85 (2H, синглет); 6,25 (2H, синглет); 6,89 (1H, дублет, J=8,2 Гц); 7,01 (2H, дублет, J=6,7 Гц); 7,1-7,5 (6H, мультиплет); 8,05 (1H, дублет, J=7,9 Гц); 8,10 (1H, дублет, J=8,4 Гц). Пример 47 (2-гидрокси-1-оксо-1,2,3,4-тетрагидрокарбазол-2-ил)уксусная кислота Согласно процедуре и с применением относительных соотношений исходных материалов, сходных с описанными в примере 3, но с применением трет-бутил-2-гидрокси-1-оксо-1,2,3,4-тетрагидрокарбазол-2-ил)ацетата, полученного в примере 2, в качестве исходного материала получали указанное в заголовке соединение, плавящееся при 156-157oC, с выходом 98%. Спектр ЯМР (d6-DMSO, 270 МГц), м.д.:2,34 (1H, двойной дублет дублетов, J=5,2, 8,3, 13,5 Гц); 2,55 (1H, триплет дублетов, J=5,2, 13,5 Гц); 2,72 (2H, синглет); 3,03 (1H, двойной дублет дублетов, J=5,2, 8,3, 17,3 Гц); 3,20 (1H, триплет дублетов, J=5,2, 17,3 Гц); 7,10 (1H, триплет, J=7,8 Гц); 7,32 (1H, триплет, J=7,8 Гц); 7,46 (1H, дублет, J=7,8 Гц); 7,62 (1H, дублет, J=7,8 Гц); 11,1 (1H, широкий синглет). Пример 48 Этил-1,2,3,4-тетрагидрокарбазол-3-карбоксилат Раствор 1,08 г фенилгидразина и 1,84 г этил-4-оксоциклогексанкарбоксилата в 25 мл уксусной кислоты кипятили с обратным холодильником в течение 30 минут и затем выливали в ледяную воду. Водный слой экстрагировали этилацетатом и органический экстракт промывали насыщенным водным раствором NaHCO3, сушили над безводным сульфатом магния и концентрировали выпариванием при пониженном давлении. Полученный осадок подвергали колоночной хроматографии с использованием 50 г силикагеля со смесью 4:1 (масса/масса) гексана и этилацетата в качестве элюента и затем перекристаллизовывали из этилацетата и гексана, получая 2,28 г указанного в заголовке соединения, плавящегося при 95-96oC. Спектр ЯМР (CDCl3, 270 МГц), м.д.:1,30 (3H, триплет, J=7,1 Гц); 1,9-2,1 (1H, мультиплет); 2,2-2,4 (1H, мультиплет); 2,7-3,0 (4H, мультиплет); 3,08 (1H, дублет дублетов, J=5,1, 15,1 Гц); 4,20 (2H, квартет, J=7,1 Гц); 7,08 (1H, триплет, J=7,1 Гц); 7,13 (1H, триплет, J=7,1 Гц); 7,27 (1H, дублет, J=7,1 Гц); 7,47 (1H, дублет, J=7,1 Гц); 7,72 (1H, широкий синглет). Пример 49 1,2,3,4-Тетрагидрокарбазол-3-карбоновая кислота Согласно процедуре и с применением относительных соотношений исходных материалов, сходных с описанными в примере 26, но с применением этил-1,2,3,4-тетрагидрокарбазол-3-карбоксилата, полученного в примере 48, в качестве исходного материала указанное в заголовке соединение, плавящееся при 198-199oC, получали с выходом 95%. Спектр ЯМР (CDCl3, 270 МГц), м.д.:2,0-2,2 (1H, мультиплет); 2,2-2,4 (1H, мультиплет); 2,7-3,2 (5H, мультиплет); 7,09 (1H, триплет, J=6,8 Гц); 7,14 (1H, триплет, J=6,8 Гц); 7,29 (1H, дублет, J=6,8 Гц); 7,48 (1H, дублет, J=6,8 Гц); 7,73 (1H, широкий синглет). Пример 50 Бензил-1,2,3,4-тетрагидрокарбазол-3-карбоксилат 5,53 г порошкообразного карбоната калия добавляли к раствору 4,34 г 1,2,3,4-тетрагидрокарбазол-3-карбоновой кислоты, полученной в примере 49, в 100 мл N,N-диметилформамида. 3,76 г бензилбромида добавляли к реакционной смеси, которую затем перемешивали в течение 1,5 часов при комнатной температуре, после чего смесь нейтрализовали добавлением 0,5 н. водным раствором соляной кислоты. Водный слой экстрагировали этилацетатом и органический экстракт промывали водой, сушили над безводным сульфатом магния и концентрировали выпариванием при пониженном давлении. Полученный осадок подвергали колоночной хроматографии с использованием 150 г силикагеля со смесью 4: 1 (об./об.) гексана и этилацетата в качестве элюента и перекристаллизовывали из этилацетата и гексана, получая 6,04 г указанного в заголовке соединения, плавящегося при 104-105oC. Пример 51 Бензил-9-бензоил-1,2,3,4-тетрагидрокарбазол-3-карбоксилат Раствор 291 мг бензил-1,2,3,4-тетрагидрокарбазол-3-карбоксилата, полученного в примере 50, в 2 мл N,N-диметилформамида добавляли при охлаждении льдом к суспензии 87 мг гидрида натрия (55% (масса/масса) дисперсии в минеральном масле) в 4 мл N,N-диметилформамида. 0,12 мл бензоилхлорида добавляли к реакционной смеси, которую затем перемешивали в течение 1 часа. После этого к реакционной смеси добавляли насыщенный водный раствор хлорида аммония. Водный слой экстрагировали этилацетатом и органический экстракт промывали водой сушили над безводным сульфатом магния и концентрировали выпариванием при пониженном давлении. Полученный осадок подвергали колоночной хроматографии с использованием 10 г силикагеля со смесью 5:1 (об./об.) гексана и этилацетата в качестве элюента, получая 384 мг указанного в заголовке соединения в виде масла. Пример 52 9-Бензоил-1,2,3,4-тетрагидрокарбазол-3-карбоновая кислота 20 мг 10% (м/м) палладия на угле добавляли к раствору 100 мг бензил-9-бензоил-1,2,3,4-тетрагидрокарбазол-3-карбоксилата, полученного в примере 51, в 5 мл метанола и 5 мл тетрагидрофурана. Реакционную смесь перемешивали в течение 3 часов под током водорода при комнатной температуре, фильтровали для удаления катализатора и концентрировали выпариванием при пониженном давлении. Полученный остаток перекристаллизовывали из этилацетата и гексана, получая 75 мг указанного в заголовке соединения, плавящегося при 189-190oC. Спектр ЯМР (CDCl3, 270 МГц), м.д.:1,9-2,0 (1H, мультиплет); 2,2-2,4 (1H, мультиплет); 2,8-3,2 (5H, мультиплет); 7,07 (2H, дублет, J=3,8 Гц); 7,20 (1H, триплет дублетов, J=4,0, 7,9 Гц); 7,4-7,8 (6H, мультиплет). Пример 53 Бензил-9-изобутирил-1,2,3,4-тетрагидрокарбазол-3-карбоксилат Согласно процедуре и с применением относительных соотношений исходных материалов, сходных с описанными в примере 51, но с применением изобутирилхлорида в качестве исходного материала указанное в заголовке соединение получали в виде масла с выходом 83%. Пример 54 9-Изобутирил-1,2,3,4-тетрагидрокарбазол-3-карбоновая кислота Согласно процедуре и с применением относительных соотношений исходных материалов, сходных с описанными в примере 52, но с применением бензил-9-изобутирил-1,2,3,4-тетрагидрокарбазол-3-карбоксилата, полученного в примере 53, в качестве исходного материала указанное в заголовке соединение получали в виде аморфного твердого вещества с выходом 98%. Спектр ЯМР (CDCl3, 270 МГц), м.д.:1,34 (3H, дублет, J=6,6 Гц); 1,36 (3H, дублет, J=6,6 Гц); 1,9-2,1 (1H, мультиплет); 2,3-2,4 (1H, мультиплет); 2,8-3,3 (5H, мультиплет); 3,50 (1H, септет, J=6,6 Гц); 7,2-7,4 (2H, мультиплет); 7,44 (1H, дублет дублетов, J=1,8, 7,2 Гц); 7,88 (1H, дублет дублетов, J=2,1, 6,8 Гц). Пример 55 Этил-9-бензил-1,2,3,4-тетрагидрокарбазол-3-карбоксилат Согласно процедуре и с применением относительных соотношений исходных материалов, сходных с описанными в примере 48, но с применением бензилфенилгидразина в качестве исходного материала указанное в заголовке соединение получали в виде масла с выходом 89%. Спектр ЯМР (CDCl3, 270 МГц), м.д.:1,28 (3H, триплет, J=7,1 Гц); 1,9-2,1 (1H, мультиплет); 2,2-2,4 (1H, мультиплет); 2,6-3,0 (4H, мультиплет); 3,12 (1H, дублет дублетов, J=5,3, 15,3 Гц); 4,19 (2H, квартет, J=7,1 Гц); 5,20 (1H, дублет, J=17,0 Гц); 5,27 (1H, дублет, J=17,0 Гц); 6,9-7,0 (2H, мультиплет); 7,0-7,4 (6H, мультиплет); 7,5-7,6 (1H, мультиплет). Пример 56 9-Бензил-1,2,3,4-тетрагидрокарбазол-3-карбоновая кислота Согласно процедуре и с применением относительных соотношений исходных материалов, сходных с описанными в примере 26, но с применением этил-9-бензил-1,2,3,4-тетрагидрокарбазол-3-карбоксилата, полученного в примере 55, в качестве исходного материала указанное в заголовке соединение, плавящееся при 195-196oC получали с выходом 93%. Спектр ЯМР (CDCl3, 270 МГц), м.д.:1,9-2,2 (1H, мультиплет); 2,3-2,4 (1H, мультиплет); 2,6-3,1 (4H, мультиплет); 3,17 (1H, дублет дублетов, J=5,1, 10,1 Гц); 5,22 (1H, дублет, J=16,9 Гц); 5,29 (1H, дублет, J=16,9 Гц); 6,9-7,0 (2H, мультиплет); 7,0-7,3 (6H, мультиплет); 7,52 (1H, дублет дублетов, J=3,1, 5,8 Гц). Пример 57 Этиленацеталь этил-4-оксоциклогексилиденацетата Согласно процедуре и с применением относительных соотношений исходных материалов, сходных с описанными в примере 35, но с применением моноэтиленацеталя циклогексан-1,4-диона в качестве исходного материала указанное в заголовке соединение получали с выходом 87% в виде масла. Пример 58 Этиленацеталь этил-4-оксоциклогексилацетата Согласно процедуре и с применением относительных соотношений исходных материалов, сходных с описанными в примере 36, но с применением этиленацеталя этил-4-оксоциклогексилиденацетата, полученного в примере 57, в качестве исходного материала указанное в заголовке соединение получали в виде масла с выходом 95%. Пример 59 Этил-4-оксоциклогексилацетат 50 мл 1 н. водного раствора соляной кислоты добавляли к раствору 5,0 г этиленацеталя этил-4-оксоциклогексилацетата, полученного в примере 58, в 50 мл ацетона. Реакционную смесь перемешивали в течение 10 минут при комнатной температуре, нейтрализовали добавлением насыщенного водного раствора бикарбоната натрия и затем концентрировали выпариванием при пониженном давлении. Полученный остаток экстрагировали этилацетатом. Органический экстракт промывали насыщенным водным раствором хлорида натрия, сушили над безводным сульфатом магния и концентрировали выпариванием при пониженном давлении. Полученный остаток подвергали колоночной хроматографии с применением 100 г силикагеля со смесью 4:1 (об./об.) гексана и этилацетата в качестве элюента, получая 3,9 г указанного в заголовке соединения в виде масла. Пример 60 Этил-(1,2,3,4-тетрагидрокарбазол-3-ил)ацетат Согласно процедуре и с применением относительных соотношений исходных материалов, сходных с описанными в примере 48, но с применением этил-4-оксоциклогексилацетата, полученного в примере 59, в качестве исходного материала указанное в заголовке соединение, плавящееся при 122-124oC, получали с выходом 90%. Спектр ЯМР (CDCl3, 270 МГц), м.д.:1,29 (3H, триплет, J=7,1 Гц); 1,6-1,8 (1H, мультиплет); 2,0-2,2 (1H, мультиплет); 2,3-2,5 (4H, мультиплет); 2,7-3,0 (3H, мультиплет); 4,18 (2H, квартет, J=7,1 Гц); 7,07 (1H, триплет, J=7,0 Гц); 7,12 (1H, триплет, J=7,0 Гц); 7,27 (1H, дублет, J=7,0 Гц); 7,44 (1H, дублет, J=7,0 Гц); 7,70 (1H, широкий синглет). Пример 61 (1,2,3,4-Тетрагидрокарбазол-3-ил)уксусная кислота Согласно процедуре и с применением относительных соотношений исходных материалов, сходных с описанными в примере 26, но с применением этил-(1,2,3,4-тетрагидрокарбазол-3-ил)ацетата, полученного в примере 60, в качестве исходного материала указанное в заголовке соединение, плавящееся при 209-210oC, получали с выходом 95%. Спектр ЯМР (CDCl3, 270 МГц), м.д.:1,6-1,8 (1H, мультиплет); 2,0-2,3 (1H, мультиплет); 2,3-3,0 (7H, мультиплет); 7,01 (1H, триплет, J=7,5 Гц); 7,07 (1H, триплет, J=7,5 Гц); 7,29 (1H, дублет, J=7,5 Гц); 7,41 (1H, дублет, J=7,5 Гц); 8,98 (1H, широкий синглет). Пример 62 Этил-(9-бензил-1,2,3,4-тетрагидрокарбазол-3-ил)ацетат Согласно процедуре и с применением относительных соотношений исходных материалов, сходных с описанными в примерах 55 и 56, но с применением этил-4-оксоциклогексилацетата, полученного в примере 59, в качестве исходного материала указанное в заголовке соединение получали в виде масла с выходом 91%. Спектр ЯМР (CDCl3, 270 МГц), м.д.:1,28 (3H, триплет, J=7,1 Гц); 1,5-1,7 (1H, мультиплет); 2,0-2,1 (1H, мультиплет); 2,3-2,5 (4H, мультиплет); 2,6-2,7 (2H, мультиплет); 2,9-3,0 (1H, мультиплет); 4,17 (2H, квартет, J=7,1 Гц); 5,21 (1H, дублет, J=17,7 Гц); 5,28 (1H, дублет, J=17,7 Гц); 6,9-7,3 (8H, мультиплет); 7,49 (1H, дублет, J=6,5 Гц). Пример 63 (9-Бензил-1,2,3,4-тетрагидрокарбазол-3-ил)уксусная кислота Согласно процедуре и с применением относительных соотношений исходных материалов, сходных с описанными в примере 26, но с применением этил-(9-бензил-1,2,3,4-тетрагидрокарбазол-3-ил)ацетата, полученного в примере 61, в качестве исходного материала указанное в заголовке соединение, плавящееся при 156-158oC, получали с выходом 97%. Спектр ЯМР (CDCl3, 270 МГц), м.д.:1,6-1,8 (1H, мультиплет); 2,0-2,1 (1H, мультиплет); 2,3-2,8 (6H, мультиплет); 3,01 (1H, дублет дублетов, J=4,1, 14,9 Гц); 5,20 (1H, дублет, J=17,9 Гц); 5,27 (1H, дублет, J=17,9 Гц); 6,9-7,3 (8H, мультиплет); 7,50 (1H, дублет, J=6,3 Гц). Пример 64 Аллил-2-(индол-6-ил)ацетат 750 мг 1-этил-3-(3-диметиламинопропил)карбодиимидгидрохлорида добавляли к раствору 450 мг 2-(индол-6-ил)уксусной кислоты, синтезированной согласно процедурам, описанным в Chem. Pharm. Bull. 20, 2163 (1972), 0,27 мл аллилового спирта и 480 мг 4-диметиламинопиридина в 20 мл метиленхлорида при комнатной температуре и полученную смесь перемешивали в течение ночи. После завершения реакции реакционную смесь подкисляли добавлением 3% раствора соляной кислоты с последующей экстракцией этилацетатом. Экстракт промывали водой и сушили над безводным сульфатом натрия и затем растворитель удаляли выпариванием при пониженном давлении. Полученный остаток подвергали колоночной хроматографии с применением 10 г силикагеля со смесью 4:1 (об./об.) гексана и этилацетата в качестве элюента, получая 480 мг указанного в заголовке соединения в виде масла. Спектр ЯМР (CDCl3, 270 МГц), м.д.:8,10 (1H, широкий синглет); 7,58 (1H, дублет, J=8,0 Гц); 7,34 (1H, синглет); 7,18 (1H, мультиплет); 7,05 (1H, дублет, J=8,0 Гц); 6,52 (1H, мультиплет); 5,80-6,00 (1H, мультиплет); 5,15-5,35 (3H, мультиплет); 4,55-4,65 (2H, мультиплет); 3,75 (2H, синглет). Пример 65 Аллил-2-бензил-2-(1-бензилиндол-6-ил)ацетат и аллил-2-(1-бензилиндол-6-ил)ацетат Раствор 100 мг аллил-2-(индол-6-ил)ацетата, полученного в примере 64, в 1 мл N,N-диметилформамиде добавляли при охлаждении льдом к суспензии 20 мг гидрида натрия (55% (масса/ масса) дисперсии в минеральном масле) в 1 мл N, N-диметилформамида и реакционную смесь перемешивали при этой температуре в течение 15 минут. 0,06 мл бензилбромида добавляли к реакционной смеси при охлаждении льдом и полученную смесь перемешивали еще в течение 30 минут. После завершения реакции воду добавляли к реакционной смеси с последующей экстракцией этилацетатом. Экстракт промывали водой и сушили над безводным сульфатом натрия и затем растворитель удаляли выпариванием при пониженном давлении. Остаток очищали колоночной хроматографией с применением 10 г силикагеля с последовательным использованием 5% (об./об.) раствора этилацетата в гексане и 10% раствора этилацетата в гексане в качестве элюента. Из первой фракции (5% элюент) получали 44 мг аллил-2-бензил-2-(1-бензилиндол-6-ил)ацетата и из второй фракции (10% элюент) получали 70 мг аллил-2-(1-бензилиндол-6-ил)ацетата. Спектр ЯМР (CDCl3, 270 МГц), м.д.:Аллил-2-бензил-2-(1-бензилиндол-6-ил)ацетат 7,61 (1H, дублет, J=8,2 Гц); 7,05-7,40 (13H, мультиплет); 6,54 (1H, дублет, J=3,0 Гц); 5,65-5,85 (1H, мультиплет); 5,33 (2H, синглет); 5,05-5,20 (2H, мультиплет); 4,50-4,60 (2H, мультиплет); 3,99 (1H, дублет дублетов, J=8,8, 6,6 Гц); 3,46 (1H, дублет дублетов, J=13,6, 8,8 Гц); 3,09 (1H, дублет дублетов, J=13,6, 6,6 Гц). Аллил-2-(1-бензилиндол-6-ил)ацетат 7,59 (1H, дублет, J=8,2 Гц); 7,0-7,30 (8H, мультиплет); 6,51 (1H, дублет, J=3,4 Гц); 5,75-5,95 (1H, мультиплет); 5,29 (2H, синглет); 5,10-5,30 (2H, мультиплет); 4,50-4,60 (2H, мультиплет); 3,71 (2H, синглет). Пример 66 2-Бензил-2-(1-бензилиндол-6-ил)уксусная кислота 6 мг тетракистрифенилфосфинпалладия, 7 мг трифенилфосфина и 65 мг 2-этилгексаноата Na добавляли к раствору 104 мг аллил-2-бензил-2-(1-бензилиндол-6-ил) ацетата, полученного в примере 65, в 5 мл метиленхлорида и реакционную смесь перемешивали при комнатной температуре в течение ночи. После завершения реакции реакционную смесь подкисляли добавлением 3% раствора водной соляной кислоты с последующей экстракцией этилацетатом. Экстракт промывали водой и сушили над безводным сульфатом натрия и затем растворитель удаляли выпариванием при пониженном давлении. Полученный остаток подвергали колоночной хроматографии с применением 5 г силикагеля со смесью 1:1 (об./об. ) гексана и этилацетата в качестве элюента, получая 61 мг указанного в заголовке соединения в виде твердого вещества, плавящегося при 148-150oC. Спектр ЯМР (CDCl3, 270 МГц), м. д.: 7,58 (1H, дублет, J=8,0 Гц); 7,00-7,30 (13H, мультиплет); 6,50 (1H, дублет, J=8,0 Гц); 5,28 (2H, синглет); 3,93 (1H, триплет, J=8,0 Гц); 3,42 (1H, дублет дублетов, J=13,8, 8,0 Гц); 3,05 (1H, дублет дублетов, J=13,8, 8,0 Гц).
Пример 672-(1-Бензилиндол-6-ил)уксусная кислота Согласно процедуре и с применением относительных соотношений исходных материалов, сходных с описанными в примере 66, но с применением 16 мг аллил-2-(1-бензилиндол-6-ил)ацетата, полученного в примере 65, в качестве исходного материала, получали 6 мг указанного в заголовке соединения в виде твердого вещества, плавящегося при 109-111oC. Спектр ЯМР (CDCl3, 270 МГц), дельта м.д.: 7,60 (1H, дублет, J=8,0 Гц); 7,0-7,35 (8H, мультиплет); 6,51 (1H, дублет, J=4,0 Гц); 5,30 (2H, синглет); 3,72 (2H, синглет), Пример 68 Аллил-2-(1-бензоилиндол-6-ил)ацетат Согласно процедуре и с применением относительных соотношений исходных материалов, сходных с описанными в примере 65, но с применением 100 мг аллил-2-(индол-6-ил)ацетата, полученного в примере 64, и 0,05 мл бензоилхлорида в качестве исходных материалов получали 65 мг указанного в заголовке соединения в виде масла. Спектр ЯМР (CDCl3, 270 МГц), м.д.:8,41 (1H, синглет); 7,20-7,80 (8H, мультиплет); 6,61 (1H, дублет, J=4,0 Гц); 5,80-6,00 (1H, мультиплет); 5,20-5,40 (2H, мультиплет); 4,55-4,70 (2H, мультиплет); 3,84 (2H, синглет). Пример 69 2-(1-бензоилиндол-6-ил)уксусная кислота Согласно процедуре и с применением относительных соотношений исходных материалов, сходных с описанными в примере 66, но с применением 65 мг аллил-2-(1-бензоилиндол-6-ил)ацетата, полученного в примере 68, в качестве исходного материала 26 мг указанного в заголовке материала получали в виде твердого материала, плавящегося при 113-115oC. Спектр ЯМР (CDCl3, 270 МГц), м.д.:8,38 (1H, синглет); 7,20-7,80 (8H, мультиплет); 6,59 (1H, дублет, J=4,0 Гц); 3,82 (2H, синглет). Пример 70 1-Фенил-1,2,3,4-тетрагидро- -карболинСмесь 1,0 г (6,24 ммоль) триптамина и 0,73 г (0,87 ммоль) бензальдегида в 10 мл уксусной кислоты кипятили с обратным холодильником в течение 3 часов. После завершения реакции растворитель отгоняли и остаток делали щелочным добавлением насыщенного водного раствора бикарбоната натрия с последующей экстракцией этилацетатом. Экстракт промывали насыщенным водным раствором хлорида натрия и сушили над безводным сульфатом натрия и затем растворитель удаляли выпариванием при пониженном давлении, получая 1,82 г неочищенной смеси. Полученный остаток подвергали колоночной хроматографии с применением 35 г силикагеля со смесью 9:1 (об./об.) метиленхлорида и метанола в качестве элюента, получая 1,43 г (92%) указанного в заголовке соединения. Продукт затем перекристаллизовывали из дихлорэтана и гексана, получая 0,72 г бледных желтовато-коричневых кристаллов. Пример 71 Бензил-(1-фенил-1,2,3,4-тетрагидро- -карболин-2-ил)ацетат147 мг (1,45 ммоль) триэтиламина и 277 мг (1,21 ммоль) бензилбромацетата добавляли последовательно к раствору 300 мг (1,21 ммоль) 1-фенил-1,2,3,4-тетрагидро – – карболина, полученного в примере 70, в 10 мл метиленхлорида, с охлаждением льдом, и полученную смесь перемешивали при комнатной температуре в течение 3 часов. После этого 277 мг бензилбромацетата и 183 мг триэтиламина добавляли к реакционной смеси и ей давали стоять в течение 2 дней. В конце этого периода времени сначала насыщенный водный раствор бикарбоната натрия и затем воду добавляли последовательно к реакционной смеси, которую затем экстрагировали этилацетатом. Полученный осадок промывали насыщенным раствором хлорида натрия и сушили над безводным сульфатом натрия и этилацетат удаляли выпариванием при пониженном давлении, получая 0,61 г неочищенной смеси. Полученный остаток подвергали колоночной хроматографии с применением 13 г силикагеля со смесью (об./об.) гексана и этилацетата в качестве элюента, получая 0,49 г указанного в заголовке соединения в виде желтых кристаллов с количественным выходом. Продукт затем перекристаллизовывали из этилацетата, получая 0,37 г указанного в заголовке соединения в виде желтых кристаллов, плавящихся при 130,8-132,0oC.
Спектр ЯМР (CDCl3, 270 МГц) м.д.:2,80-2,30 (4H, мультиплет); 3,36 (1H, дублет, J=16 Гц); 3,50 (1H, дублет, J=16 Гц); 5,07 (1H, синглет); 5,12 (1H, дублет, J=16 Гц); 5,18 (1H, дублет, J=16 Гц); 7,05-7,57 (15H, мультиплет) Пример 72 (1-Фенил-1,2,3,4-тетрагидро- -карболин-2-ил)уксусная кислотаКаталитическое количество 10% (м/м) палладия на угле добавляли под током водорода к раствору 260,2 мг (0,656 ммоль) бензил-(1-фенил-1,2,3,4-тетрагидро- -карболин-2-ил)ацетата, полученного в примере 71, в 2 мл метанола и 2 мл тетрагидрофурана и гидрированию давали происходить в течение 3 часов. Палладий на угле удаляли из реакционной смеси фильтрованием и растворитель удаляли выпариванием при пониженном давлении, получая 0,32 г неочищенной смеси. Полученный остаток подвергали колоночной хроматографии с применением 5 г силикагеля со смесью 19:1 (об./об) метиленхлорида и метанола в качестве элюента, получая 0,05 г указанного в заголовке соединения в виде бледно-желтого порошка, плавящегося при 157-164oC (с разложением).
Спектр ЯМР (CDCl3, 270 МГц), м.д.:3,20-4,13 (6H, мультиплет); 6,11 (1H, синглет); 7,15-7,65 (1H, мультиплет); 8,07 (1H, синглет). Пример 73 Трет-бутил-[9-(4-метоксибензил)-1-метилтиокарбазол-2-ил]ацетат Согласно процедуре и с применением относительных соотношений исходных материалов, сходных с описанными в примере 4, но с применением 4-метоксибензилбромида в качестве исходного материала получали указанное в заголовке соединение в виде масла с выходом 98%. Пример 74 [9-(4-Метоксибензил)-1-метилтиокарбазол-2-ил]уксусная кислота Согласно процедуре и с применением относительных соотношений исходных материалов, сходных с описанными в примере 3, но с применением трет-бутил-[9-(4-метоксибензил)-1-метилтиокарбазол-2-ил] ацетата, полученного в примере 73, в качестве исходного материала, указанное в заголовке соединение получали с количественным выходом в виде аморфного твердого вещества. Спектр ЯМР (CDCl3, 270 МГц), м.д.:2,01 (3H, синглет); 3,71 (3H, синглет); 4,22 (2H, синглет); 6,28 (2H, синглет); 6,75 (2H, дублет, J=8,7 Гц); 6,96 (2H, дублет, J=8,7 Гц); 7,2-7,5 (4H, мультиплет); 8,07 (1H, дублет, J=7,6 Гц); 8,09 (1H, дублет, J=7,9 Гц). Пример 75 9-Бензил-1-метилтиокарбазол-2-ацетамид Избыток раствора диазометана в диэтиловом эфире добавляли к раствору 150 мг 9-бензил-1-метилкарбазол-2-уксусной кислоты, полученной в примере 5, в 3 мл диэтилового эфира. Полученную реакционную смесь перемешивали в течение 10 минут при комнатной температуре и затем добавляли ледяную уксусную кислоту. Затем реакционную смесь концентрировали при пониженном давлении. 10 мл насыщенного раствора аммиака в метаноле добавляли к раствору полученного остатка в 5 мл метанола и реакционную смесь перемешивали в течение 7 дней при комнатной температуре. После этого периода времени реакционную смесь концентрировали выпариванием при пониженном давлении и полученный остаток подвергали колоночной хроматографии с применением 400 мг силикагеля с элюцией смесью 4: 1 (об./об.) гексана и этилацетата, получая 131 мг указанного в заголовке соединения в виде аморфного твердого вещества. Пример 76 9-Бензил-1-метилтиокарбазол-2-ацетонитрил 32 мг п-толуолсульфонилхлорида добавляли к раствору 20 мг 9-бензил-1-метилтиокарбазол-2-ацетамида, полученного в примере 75, в 0,6 мл пиридина при комнатной температуре. Затем реакционную смесь нагревали до 60oC и перемешивали в течение 2 часов. Затем реакционную смесь охлаждали до комнатной температуры и добавляли воду. Водный слой экстрагировали этилацетатом и органический экстракт промывали 0,5 N водным раствором NaHCO3, сушили над безводным сульфатом магния и концентрировали выпариванием при пониженном давлении. Полученный осадок подвергали колоночной хроматографии с использованием 50 мг силикагеля с элюцией смесью 4:1 (об./об.) гексана и этилацетата, получая 18 мг указанного в заголовке соединения в виде масла. Пример 77 5-[(9-Бензил-1-метилтиокарбазол)-2-илметил]-1H-тетразол 64 мг хлорида аммония и 78 мг азида натрия добавляли к раствору 13 мг 9-бензил-1-метилтиокарбазол-2-ацетонитрила, полученного в примере 76, в 3 мл N, N-диметилформамида при комнатной температуре. Реакционную смесь нагревали до 130oC и перемешивали в течение 1 дня. После этого реакционную смесь охлаждали до комнатной температуры и добавляли воду. Водный слой экстрагировали этилацетатом и органический экстракт промывали насыщенным водным раствором хлорида натрия, тушили над безводным сульфатом магния и концентрировали выпариванием при пониженном давлении. Полученный осадок подвергали колоночной хроматографии с использованием 40 мг силикагеля с элюцией смесью 1:5 (об. /об. ) гексана и этилацетата, получая 14 мг указанного в заголовке соединения в виде аморфного твердого вещества. Спектр ЯМР (CDCl3, 270 МГц), м.д.:1,91 (3H, синглет); 4,81 (2H, синглет); 6,30 (2H, синглет); 6,9-7,1 (2H, мультиплет); 7,1-7,5 (7H, мультиплет); 8,1-8,2 (2H, мультиплет). Пример 78 2-[4-трет-Бутилдифенилсилилокси-2-(индол-2-илтио)-бутил] -4,4-диметил-2-оксазолин a) 2-(4-трет-Бутилдифенилсилилокси-2-гидроксибутил)-4,4-диметил-2-оксазолин 5,2 мл раствора 1,6 М н-бутиллития в гексане добавляли по каплям к раствору 940 мг 2,4,4-триметил-2-оксазолина в 20 мл тетрагидрофурана при перемешивании при -78oC. Полученную смесь перемешивали при -78oC в течение 1 часа. После этого периода времени к реакционной смеси добавляли при перемешивании 2,00 г 3-трет-бутилдифенилсилилокси-1-пропаналя, [полученного, как описано в Can. J.Chem., 71, 695 (1993)], в 10 мл тетрагидрофурана при поддержании температуры при -78oC. Перемешивание продолжали при -78oC в течение 15 минут, затем реакционную смесь помещали в условия комнатной температуры и перемешивали в течение 30 минут. В конце этого периода времени реакционную смесь разбавляли водой и экстрагировали этилацетатом. Фракцию в этилацетате промывали водой, сушили над безводным сульфатом натрия и растворитель удаляли выпариванием при пониженном давлении. Полученный остаток очищали колоночной хроматографией на силикагеле, элюировали 50% смесью (об./об.) этилацетата и гексана, получая 2,18 г указанного в заголовке соединения в виде масла. Спектр ЯМР (CDCl3, 270 МГц), м.д.:1,05 (9H, синглет); 1,26 (6H, синглет); 1,70-1,80 (2H, мультиплет); 2,35-2,45 (2H, мультиплет); 3,75-3,90 (2H, мультиплет); 3,90 (2H, синглет); 4,15-4,20 (1H, мультиплет); 4,25 (1H, широкий синглет); 7,30-7,70 (10H, мультиплет). b) 2-[4-трет-Бутилдифенилсилилокси-2-(индол-2-илтио)бутил] -4,4-диметил-2-оксазолин 960 мг тетрабромида углерода добавляли к смеси 800 мг 2- (4- трет-бутилдифенилсилилокси-2-гидроксибутил)-4,4-диметил-2- оксазолина [полученного, как описано в a) выше] и 760 мг трифенилфосфина в 20 мл дихлорметана, при перемешивании, при комнатной температуре и перемешивание продолжали при этой температуре в течение 30 минут. После этого времени растворитель удаляли выпариванием при пониженном давлении и остаток растворяли в 10 мл ацетона. Полученный раствор добавляли к суспензии 280 мг индолин-2-тиона [полученного, как описано в Chem. Pharm. Bull., 32, 877 (1984)] и 400 мг карбоната калия в 20 мл ацетона и эту смесь перемешивали при комнатной температуре в течение 1 часа. В конце этого периода времени растворитель удаляли выпариванием при пониженном давлении и полученный остаток разбавляли водой и затем экстрагировали этилацетатом. Фракцию в этилацетате промывали водой и сушили над безводным сульфатом натрия. Затем растворитель удаляли выпариванием при пониженном давлении и полученный остаток очищали колоночной хроматографией на силикагеле, элюировали 20% смесью (об./об.) этилацетата в гексане, получая 460 мг указанного в заголовке соединения в виде масла. Спектр ЯМР (CDCl3, 270 МГц), м.д.:1,05 (9H, синглет); 1,38 (3H, синглет); 1,42 (3H, синглет); 1,70-1,80 (2H, мультиплет); 2,30-2,60 (2H, мультиплет); 3,35-3,45 (1H, мультиплет); 3,70-3,85 (2H, мультиплет); 4,02 (2H, синглет); 6,58 (1H, синглет); 7,05-7,70 (14H, мультиплет). Пример 79 2-[4-Гидрокси-2-(индол-2-илтио)бутил]-4,4-диметил-2-оксазолин 1 мл 1 М раствора фторида тетра-н-бутиламмония в тетрагидрофуране добавляли к раствору 460 мг 2-[4-трет-бутилдифенилсилилокси-2-(индол-2-илтио)бутил] -4,4-диметил-2-оксазолина [полученного, как описано в примере 78 b)] в 20 мл тетрагидрофурана, при перемешивании, при комнатной температуре и перемешивание продолжали при этой температуре в течение 30 минут. После этого времени реакционную смесь разбавляли водой и затем экстрагировали этилацетатом. Этилацетатную фракцию промывали водой и сушили над безводным сульфатом натрия. Затем растворитель удаляли выпариванием при пониженном давлении и полученный осадок очищали колоночной хроматографией на силикагеле с 60% смесью этилацетата в гексане в качестве элюента, получая 165 мг указанного в заголовке соединения в виде масла. Спектр ЯМР (CDCl3, 270 МГц), м.д.:1,36 (3H, синглет); 1,40 (3H, синглет); 1,70-1,85 (2H, мультиплет); 2,45-2,55 (2H, мультиплет); 3,30-3,45 (1H, мультиплет); 3,70-4,00 (2H, мультиплет); 4,02 (2H, синглет); 6,67 (1H, синглет); 7,05-7,60 (4H, мультиплет). Пример 80 2-(2,3,4,9-Тетрагидротиопирано[2,3-b] индол-2-ил)метил-4,4-диметил-2-оксазолин 0,05 мл метансульфонилхлорида добавляли к смеси 165 мг 2-[4-гидрокси-2-(индол-2-илтио)-бутил] -4,4-диметил-2-оксазолина (полученного, как описано в примере 79) и 0,10 мл триэтиламина в 5 мл дихлорэтана, при перемешивании и охлаждении льдом, и перемешивание продолжали в течение 30 минут. В конце этого периода времени реакционную смесь разбавляли водой и затем экстрагировали этилацетатом. Фракцию в этилацетате промывали водой, сушили над безводным сульфатом натрия и растворитель удаляли выпариванием при пониженном давлении и полученный остаток растворяли в смеси 5 мл дихлорметана и 5 мл бензола. 0,26 мл раствора 3 М бромида этилмагния в диэтиловом эфире добавляли к этой смеси при перемешивании при комнатной температуре и перемешивание продолжали при этой температуре в течение 30 минут. В конце этого периода времени реакционную смесь разбавляли насыщенным водным раствором хлорида аммония и затем экстрагировали этилацетатом. Этилацетатную фракцию затем промывали водой и сушили над безводным сульфатом натрия. Растворитель удаляли выпариванием при пониженном давлении и полученный остаток очищали колоночной хроматографией на силикагеле со смесью 30% (об./об.) этилацетата в гексане в качестве элюента, получая 73 мг указанного в заголовке соединения в виде твердого вещества. Спектр ЯМР (CDCl3, 270 МГц), м.д.:1,38 (6H, синглет); 2,05-2,40 (2H, мультиплет); 2,68 (2H, дублет, J=7,0 Гц); 2,88 (2H, триплет, J=7,0 Гц); 3,75-3,85 (1H, мультиплет); 3,95 (2H, синглет); 7,05-7,40 (4H, мультиплет); 7,73 (1H, широкий синглет). Пример 81 2-(9-Бензил-2,3,4,9-тетрагидротиопирано[2,3-b] индол-2-ил)метил-4,4-диметил-2-оксазолин 71 мг 2-(2,3,4,9-тетрагидротиопирано[2,3-b] индол-2-ил)метил-4,4-диметил-2-оксазолина, полученного, как описано в примере 80, в 1 мл диметилформамида добавляли к суспензии 11 мг гидрида натрия (55% (м/м) дисперсии в минеральном масле) в 1 мл диметилформамида, при перемешивании и охлаждении льдом. Перемешивание продолжали при этой температуре в течение 30 минут и затем к реакционной смеси добавляли 0,03 мл бензилбромида при перемешивании и охлаждении льдом. Перемешивание продолжали в течение часа. В конце этого периода времени реакционную смесь разбавляли водой и экстрагировали этилацетатом. Фракцию в этилацетате промывали водой, сушили над безводным сульфатом натрия. Растворитель удаляли выпариванием при пониженном давлении и полученный остаток очищали колоночной хроматографией на силикагеле, элюировали 20% смесью (об./об.) этилацетата в гексане, получая 71 мг указанного в заголовке соединения в виде масла. Спектр ЯМР (COCl3, 270 МГц), м.д.:1,28 (6H, синглет), 2,05-2,40 (2H, мультиплет), 2,68 (2H, дублет, J=7,0 Гц), 2,94 (2H, триплет, J=7,0 Гц), 3,75-3,85 (1H, мультиплет), 3,93 (2H, синглет), 5,19 (2H, синглет), 7,05-7,45 (9H, мультиплет). Пример 82 Этил-2-(9-бензил-2,3,4,9-тетрагидротиопирано[2,3-b]-индол-2-ил)ацетат 60 мг 2-(9-бензил-2,3,4,9-тетрагидротиопирано[2,3-b]-индол-2-ил)метил-4,4-диметил-2-оксазолина (полученного, как описано в примере 81) растворяли в 5% (об. /об.) серной кислоте в этаноле и смесь кипятили с обратным холодильником в течение 6 часов. После этого времени реакционную смесь нейтрализовали добавлением насыщенного водного раствора бикарбоната натрия и затем экстрагировали этилацетатом. Этилацетатную фракцию промывали водой и сушили над безводным сульфатом натрия. Затем растворитель удаляли выпариванием при пониженном давлении и полученный остаток очищали колоночной хроматографией с применением 20% (об./об.) этилацетата в гексане в качестве элюента, получая 46 мг указанного в заголовке соединения в виде масла. Спектр ЯМР (CDCl3, 270 МГц), м.д.:1,25 (3H, триплет, J=7,0 Гц), 2,05-2,35 (2H, мультиплет), 2,65-2,80 (2H, мультиплет), 2,80-2,95 (2H, мультиплет), 3,80-3,90 (1H, мультиплет), 4,16 (2H, квартет, J=7,0 Гц), 5,20 (2H, синглет), 7,05-7,45 (9H, мультиплет). Пример 83 2-(9-Бензил-2,3,4,9-тетрагидротиопирано[2,3-b]индол-2-ил)уксусная кислота 0,5 мл 3% (масса/объем) водного раствора гидроксида калия добавляли к смеси 44 мг этил-2-(9-бензил-2,3,4,9-тетрагидротиопирано [2,3-b]индол-2-ил)ацетата (полученного, как описано в примере 82) в 2 мл этанола. Затем реакционную смесь перемешивали при комнатной температуре в течение 2 часов. В конце этого периода времени реакционную смесь делали кислой добавлением 3% (масса/объем) водного раствора соляной кислоты и экстрагировали этилацетатом. Этилацетатную фракцию промывали затем водой и сушили над безводным сульфатом натрия. Затем растворитель удаляли выпариванием при пониженном давлении и полученный остаток перекристаллизовывали из гексана и этилацетата, получая 37 мг указанного в заголовке соединения в виде твердого вещества, плавящегося при 164-167oC. Спектр ЯМР (CDCl3, 270 МГц), м.д.:2,18-2,40 (2H, мультиплет), 2,70-2,85 (2H, мультиплет), 2,85-3,05 (2H, мультиплет), 3,80-3,90 (1H, мультиплет), 5,20 (2H, синглет), 7,05-7,50 (9H, мультиплет). Пример 84 5-(9-Бензил-2,3,4,9-тетрагидротиопирано[2,3-b]индол-2-ил)метилтетразол (a) 0,015 мл этилхлорформата добавляли к смеси 45 мг 2-(9-бензил-2,3,4,9-тетрагидротиопирано[2,3-b] индол-2-ил)уксусной кислоты (полученной, как описано в примере 83) и 0,02 мл триэтиламина в 2 мл тетрагидрофурана, при перемешивании и охлаждении льдом, и перемешивание продолжали в течение 15 минут. После этого времени избыток аммиака в метаноле добавляли к реакционной смеси, которую затем перемешивали еще в течение 15 минут. В конце этого периода времени реакционную смесь разбавляли водой и экстрагировали этилацетатом. Фракцию в этилацетате промывали водой, сушили над безводным сульфатом натрия и растворитель удаляли выпариванием при пониженном давлении, получая 21 мг амида в виде твердого вещества. Спектр ЯМР (CDCl3, 270 МГц), м.д.:2,05-2,35 (2H, мультиплет), 2,55 (2H, дублет, J=7,0 Гц), 2,80-3,00 (2H, мультиплет), 3,85-3,95 (1H, мультиплет), 5,19 (2H, синглет), 5,42 (1H, широкий синглет), 5,67 (1H, широкий синглет), 7,05-7,45 (9H, мультиплет). (b) 0,017 мл трифторуксусного ангидрида добавляли к смеси 20 мг полученного в (a) соединения и 0,02 мл пиридина в 1 мл дихлорметана, при перемешивании и охлаждении льдом, и перемешивание продолжали в течение 30 минут при охлаждении льдом. В конце этого периода времени реакционную смесь разбавляли водой и экстрагировали этилацетатом. Этилацетатную фракцию промывали 3% (масса/объем) водным раствором соляной кислоты, насыщенным водным раствором бикарбоната натрия и затем водой в указанном порядке перед высушиванием над безводным сульфатом натрия. Затем растворитель удаляли выпариванием при пониженном давлении, получая 20 мг нитрила в виде масла. Спектр ЯМР (CDCl3, 270 МГц), м.д.:2,20-2,40 (2H, мультиплет), 2,75 (2H, дублет, J=7,0 Гц), 2,80-3,05 (2H, мультиплет), 3,60-3,70 (1H, мультиплет), 5,18 (2H, синглет), 7,05-7,45 (9H, мультиплет). (c) 30 мг азида натрия и 30 мг хлорида аммония добавляли к смеси 20 мг полученного в (b) соединения в 2 мл диметилформамида. Реакционную смесь перемешивали при 130oC в течение 12 часов. В конце этого периода времени реакционную смесь подкисляли добавлением 3% (масса/объем) водного раствора соляной кислоты. Затем смесь экстрагировали этилацетатом и этилацетатную фракцию промывали водой и сушили над безводным сульфатом натрия. Затем растворитель удаляли при пониженном давлении и полученный остаток очищали колоночной хроматографией на силикагеле с этилацетатом в качестве элюента, получая 14 мг указанного в заголовке соединения в виде твердого вещества, плавящегося при 160-165oC. Спектр ЯМР (CDCl3, 270 МГц), м.д.:2,10-2,35 (2H, мультиплет), 2,85-3,00 (2H, мультиплет), 3,15-3,35 (2H, мультиплет), 3,70-3,80 (1H, мультиплет), 5,20 (2H, синглет), 7,00-7,45 (10H, мультиплет). Пример 85 Дифенилметил-2-(9-бензил-2,3,4,9-тетрагидротиопирано[2,3-b] индол-2-ил)ацетат Избыток дифенилдиазометана добавляли к смеси 100 мг 2-(9-бензил-2,3,4,9-тетрагидротиопирано[2,3-b] индол-2-ил)уксусной кислоты (полученной, как описано в примере 83) в 5 мл этилацетата, при перемешивании, при комнатной температуре и перемешивание продолжали при этой температуре в течение ночи. В конце этого времени растворитель удаляли выпариванием при пониженном давлении и полученный остаток очищали колоночной хроматографией на силикагеле со смесью 6% (об./об.) этилацетата в гексане в качестве элюента, получая 139 мг указанного в заголовке соединения в виде масла. Спектр ЯМР (CDCl3, 270 МГц), м.д.:2,00-2,30 (2H, мультиплет), 2,70-3,00 (4H, мультиплет), 3,80-3,90 (1H, мультиплет), 5,15 (2H, синглет), 6,92 (1H, синглет), 7,00-7,50 (19H, мультиплет). Пример 86 2-(9-Бензил-1-окси-2,3,4,9-тетрагидротиопирано[2,3-b]индол-2-ил)уксусная кислота 40 мг м-хлорпербензойной кислоты добавляли к смеси 100 мг дифенил-2-(9-бензил-2,3,4,9-тетрагидротиопирано[2,3-b]индол-2-ил)ацетата (полученного, как описано в примере 85) в 5 мл дихлорметана, при перемешивании и охлаждении льдом, и перемешивание продолжали в течение 30 минут. В конце этого периода времени реакционную смесь разбавляли дихлорметаном и затем промывали сначала насыщенным водным раствором бикарбоната натрия и затем водой перед высушиванием над безводным сульфатом натрия. Растворитель удаляли выпариванием при пониженном давлении. К 101 мг полученного остатка добавляли 2,5 мл анизола и 2,5 мл трифторуксусной кислоты при перемешивании и охлаждении льдом и перемешивание продолжали в течение 15 минут. В конце этого периода времени реакционную смесь разбавляли водой и экстрагировали этилацетатом. Фракцию в этилацетате промывали водой, сушили над безводным сульфатом натрия и растворитель удаляли выпариванием при пониженном давлении. Полученный остаток очищали колоночной хроматографией на силикагеле, элюировали этилацетатом, получая 38 мг указанного в заголовке соединения в виде порошка. Спектр ЯМР (CDCl3, 270 МГц), м.д.:2,30-2,70 (2H, мультиплет), 3,05-3,15 (2H, мультиплет), 3,20-3,35 (2H, мультиплет), 4,05-4,15 (1H, мультиплет), 5,55 (2H, синглет), 7,05-7,60 (9H, мультиплет). Пример 87 2-(9-Бензил-1,1-диокси-2,3,4,9-тетрагидротиопирано[2,3-b]ил)уксусная кислота 40 мг м-хлорпербензойной кислоты добавляли к раствору 50 мг дифенилметил-2(9-бензил-2,3,4,9-тетрагидротиопирано[2,3-b] индол-2-ил)ацетата (полученного, как описано в примере 85), в 5 мл дихлорметана при перемешивании и охлаждении льдом и перемешивание продолжали при комнатной температуре в течение 1 часа. В конце этого периода времени реакционную смесь разбавляли дихлорметаном и затем промывали сначала насыщенным водным раствором бикарбоната натрия и затем водой перед высушиванием над безводным сульфатом натрия. Растворитель удаляли выпариванием при пониженном давлении и к 48 мг полученного остатка добавляли 1 мл анизола и 1 мл трифторуксусной кислоты при перемешивании и охлаждении льдом и перемешивание продолжали в течение 30 минут. В конце этого периода времени реакционную смесь разбавляли водой и экстрагировали этилацетатом. Этилацетатную фракцию промывали водой и сушили над безводным сульфатом натрия. Затем растворитель удаляли выпариванием при пониженном давлении и полученный остаток очищали колоночной хроматографией на силикагеле, элюировали этилацетатом, получая 22 мг указанного в заголовке соединения в виде порошка. Спектр ЯМР (CDCl3, 270 МГц), м.д.:2,40-2,80 (2H, мультиплет), 3,05-3,15 (2H, мультиплет), 3,20-3,35 (2H, мультиплет), 4,10-4,20 (1H, мультиплет), 5,55 (2H, синглет), 7,05-7,60 (9H, мультиплет). Пример 88 1-бензил-4-цианоиндол Согласно процедуре и с применением относительных соотношений исходных материалов, сходных с описанными в примере 65, но с применением 4-цианоиндола в качестве исходного материала получали указанное в заголовке соединение с выходом 94%. Спектр ЯМР (CDCl3, 270 МГц), м.д.:5,37 (2H, синглет), 6,77 (1H, дублет, J=3,4 Гц), 7,05-7,50 (9H, мультиплет). Пример 89 4-Ацетил-1-бензилиндол 3,3 мл 2 М раствора иодида метилмагния в диэтиловом эфире добавляли к смеси 1,00 г 1-бензил-4-цианоиндола (полученного, как описано в примере 88) в 50 мл тетрагидрофурана при охлаждении льдом и реакционную смесь перемешивали в течение 1 часа. После этого насыщенный водный раствор хлорида аммония добавляли к реакционной смеси. Водный слой экстрагировали этилацетатом и органический экстракт промывали водой, сушили над безводным сульфатом магния и концентрировали выпариванием при пониженном давлении. Полученный осадок подвергали колоночной хроматографии с использованием 50 г силикагеля со смесью 4:1 (об./об.) гексана и этилацетата в качестве элюента, получая 1,00 г указанного в заголовке соединения в виде масла. Спектр ЯМР (CDCl3, 270 МГц), м.д.:2,57 (3H, синглет), 5,45 (2H, синглет), 7,00-7,50 (10H, мультиплет). Пример 90 (1-Бензилиндол-4-ил)тиоацетоморфолид Согласно процедуре и с применением относительных соотношений исходных материалов, сходных с описанными в примере 38, но с применением 4-ацетил-1-бензилиндола (полученного, как описано в примере 89) в качестве исходного материала указанное в заголовке соединение получали в виде масла с выходом 53%. Спектр ЯМР (CDCl3, 270 МГц), м.д.:3,29 (2H, триплет, J=5,2 Гц), 3,56 (2H, триплет, J=5,2 Гц), 3,76 (2H, триплет, J=5,2 Гц), 4,41 (2H, триплет, J=5,2 Гц), 4,63 (2H, синглет), 5,33 (2H, синглет), 6,60 (1H, дублет, J=3,2 Гц), 7,00-7,35 (9H, мультиплет). Пример 91 (1-Бензилиндол-4-ил)уксусная кислота Согласно процедуре и с применением относительных соотношений исходных материалов, сходных с описанными в примере 39, но с применением (1-бензилиндол-4-ил)тиоацетоморфолида (полученного, как описано в примере 90) в качестве исходного материала указанное в заголовке соединение, плавящееся при 138-140oC, получали с выходом 42%. Спектр ЯМР (CDCl3, 270 МГц), м.д.:3,93 (2H, синглет), 5,31 (2H, синглет), 6,59 (1H, дублет, J=3,4 Гц), 7,00-7,35 (9H, мультиплет). Пример 92 5-(1-Бензилиндол-4-ил)метил-1H-тетразол Согласно процедуре и с применением относительных соотношений исходных материалов, сходных с описанными в примере 84, но с применением в качестве исходного материала 50 мг (1-бензилиндол-4-ил)уксусной кислоты (полученной, как описано в примере 91) получали 12 мг указанного в заголовке соединения в виде бесцветного твердого вещества, плавящегося при 201-205oC (с разложением). Спектр ЯМР (CDCl3 и тетрадейтериров.метанол, 270 МГц), м.д.: 4,57 (2H, синглет), 5,33 (2H, синглет), 6,47 (1H, дублет, J=3,2 Гц), 7,00-7,55 (9H, мультиплет). Пример 93 5-(1-Бензилиндол-4-ил)-1H-тетразол Согласно процедуре и с применением относительных соотношений исходных материалов, сходных с описанными в примере 77, но с применением в качестве исходного материала 1-бензил-4-цианоиндола (полученного, как описано в примере 88) получали указанное в заголовке соединение, плавящееся при 224-228oC с разложением) с выходом 84%. Спектр ЯМР (CDCl3 и тетрадейтерир. метанол, 270 МГц), м.д.:5,41 (2H, синглет), 7,00-7,55 (10H мультиплет). Пример 94 N-Метансульфонил(9-бензилкарбазол-2-ил)ацетамид 0,055 мл (0,63 нмоль) оксалилхлорида добавляли при охлаждении льдом к смеси 100 мг (0,32 ммоль) (9-бензилкарбазол-2- ил)уксусной кислоты (полученной, как описано в примере 42) в 3 мл метиленхлорида и все перемешивали в течение 30 минут при комнатной температуре. После этого растворитель удаляли выпариванием при пониженном давлении. К полученному таким образом остатку при охлаждении льдом добавляли 5 мл метиленхлорида, 0,08 мл (0,99 ммоль) пиридина и 60 мг (0,63 ммоль) метансульфонамида. Затем реакционную смесь перемешивали в течение 12 часов при комнатной температуре. После завершения реакции к реакционной смеси добавляли воду и смесь экстрагировали этилацетатом. Органическую фракцию промывали водой, сушили над безводным сульфатом натрия и растворитель удаляли выпариванием при пониженном давлении. Остаток очищали колоночной хроматографией на силикагеле (30 г) с 5% (об./об.) раствором метанола в этилацетате в качестве элюента, получая 46 мг указанного в заголовке соединения в виде аморфного твердого вещества. Спектр ЯМР (CDCl3, 270 МГц), м.д.:3,01 (3H, синглет), 3,83 (2H, синглет), 5,51 (2H, синглет), 7,10-7,95 (12H, мультиплет). Пример 95 N-Метансульфонил-(9-бензил-1-метилкарбазол-2-ил)формамид Согласно процедуре и с применением относительных соотношений исходных материалов, сходных с описанными в примере 94, но с применением в качестве исходного материала (9-бензил-1-метилкарбазол-2-ил)карбоновую кислоту (полученную, как описано в примере 29) указанное в заголовке соединение получали с выходом 44% в виде аморфного твердого вещества. Спектр ЯМР (CDCl3, 270 МГц), м.д.:2,85 (3H, синглет), 3,03 (3H, синглет), 5,72 (2H, синглет), 7,10-7,65 (10H, мультиплет), 8,10 (1H, дублет, J=7,0 Гц). Пример 96 N-Ацетил-(9-бензил-1-метилкарбазол-2-ил)метансульфонамид а) Раствор 400 мг (1,21 ммоль) этил-(9-бензил-1-метилкарбазол-2-ил)карбоксилата (полученного, как описано в примере 28) в 10 мл тетрагидрофурана добавляли при охлаждении льдом к суспензии 92 мг (2,42 ммоль) гидрида лития-алюминия в 10 мл тетрагидрофурана и полученную смесь перемешивали в течение 30 минут. После этого к реакционной смеси добавляли 0,4 мл 4% (масса/объем) водного гидроксида натрия. Осажденный материал отфильтровывали и фильтрат концентрировали выпариванием при пониженном давлении, получая 320 мг (1,11 моль) спирта в виде масла. b) 350 мг (1,68 ммоль) пентахлорида фосфора добавляли при охлаждении льдом к раствору 320 мг полученного в a) соединения и 0,18 мл (2,23 ммоль) пиридина в 15 мл дихлорметана. Реакционную смесь перемешивали в течение 30 минут. После этого добавляли воду, водный слой экстрагировали диэтиловым эфиром. Органическую фракцию промывали водой, сушили над безводным сульфатом натрия и концентрировали выпариванием при пониженном давлении, получая хлорид в виде масла. c) Все количество полученного в b) соединения и 140 мг (1,11 ммоль) сульфита натрия добавляли к смеси 5 мл и 2 мл диметилсульфоксида и полученную смесь нагревали до 130oC и поддерживали при этой температуре в течение 14 часов. Растворители удаляли выпариванием при пониженном давлении, остаток экстрагировали метанолом и фильтрат концентрировали, получая натриевую соль сульфоновой кислоты в виде аморфного твердого вещества. d) 450 мг (2,16 ммоль) пентахлорида фосфора и одну каплю POCl3 добавляли к полученному в c) порошкообразному соединению и смесь нагревали при 70oC в течение 2 часов. После этого к реакционной смеси при охлаждении льдом добавляли большой избыток концентрированного водного аммиака. Затем все это перемешивали при комнатной температуре. Реакционную смесь экстрагировали метиленхлоридом и органическую фракцию промывали водой и сушили над безводным сульфатом натрия. Затем растворитель удаляли выпариванием при пониженном давлении и остаток очищали колоночной хроматографией с применением 30 г силикагеля и 10% (об./об.) раствора метанола в этилацетате в качестве элюента, получая 98 мг сульфонамида в виде аморфного твердого вещества. Спектр ЯМР (CDCl3 + тетрадейтериров.метанол, 270 МГц), м.д.:2,90 (3H, синглет), 3,87 (2H, синглет), 5,51 (2H, синглет), 7,10-7,85 (11H, мультиплет) e) 0,04 мл (0,56 ммоль)ацетилхлорида добавляли к раствору 96 мг (0,27 ммоль) сульфонамида, полученного в d), в смеси 0,15 мл (1,85 ммоль) пиридина и 2 мл метиленхлорида и эту смесь перемешивали в течение ночи при комнатной температуре. После завершения реакции воду добавляли к реакционной смеси, которую затем экстрагировали этилацетатом. Экстракт промывали водой и сушили над безводным сульфатом натрия и затем растворитель удаляли выпариванием при пониженном давлении. Остаток очищали колоночной хроматографией с применением 10 г силикагеля с этилацетатом в качестве элюента, получая 32 мг указанного в заголовке соединения в виде аморфного твердого вещества. Спектр ЯМР (CDCl3, 270 МГц), м.д.:2,48 (3H, синглет), 3,08 (3H, синглет), 3,84 (2H, синглет), 5,51 (2H, синглет), 7,10-7,85 (11H, мультиплет). Пример 97 5-[(9-Бензил-4-метил-1-метилтиокарбазол)-2-илметил]-1H-тетразол Указанное в заголовке соединение получали в соответствии с процедурой примеров 75-77, но с 9-бензил-4-метилтиокарбазол- 2-уксусной кислотой в качестве исходного продукта. Указанное в заголовке соединение получали в виде аморфного твердого вещества. Спектр ЯМР (CDCl3, 270 МГц), м.д.:1,91 (3H, синглет), 2,87 (3H, синглет), 4,76 (2H, синглет), 6,34 (2H, дублет, J=17 Гц), 6,9-7,0 (2H, мультиплет), 7,08 (1H, синглет), 7,21-7,5 (6H, мультиплет), 8,21 (1H, дублет, J=8 Гц). Пример 98 Метил-4-(индол-1-ил)метилбензоат Согласно процедуре и с применением относительных соотношений исходных материалов, сходных с описанными в примере 65, но с применением индола и метил-4-(бромметил)-бензоата в качестве исходного материала указанное в заголовке соединение получали в виде твердого вещества. Спектр ЯМР (CDCl3, 270 МГц), м.д.:3,88 (3H, синглет), 5,37 (2H, синглет), 6,57 (1H, дублет, J=3,2 Гц), 7,10-7,30 (7H, мультиплет), 7,68 (1H, дублет, J=6,2 Гц), 8,05 (2H, дублет, J=8,2 Гц). Пример 99 4-(Индол-1-ил)метилбензойная кислота Согласно процедуре и с применением относительных соотношений исходных материалов, сходных с описанными в примере 83, но с применением в качестве исходного материала 4-(индол-1-ил)метилбензоата указанное в заголовке соединение получали в виде твердого вещества, плавящегося при 163-165oC. Спектр ЯМР (CDCl3), 270 МГц), м.д.:5,41 (2H, синглет), 6,60 (1H, дублет, J=3,3 Гц), 7,05-7,30 (6H, мультиплет), 7,68 (1H, дублет, J=6,2 Гц), 8,03 (2H, дублет, J=8,2 Гц). Пример 100 5-[4-(Индол-1-ил)метил]фенил-1H-тетразол Согласно процедуре и с применением относительных соотношений исходных материалов, сходных с описанными в примерах 75-77, но с применением в качестве исходного материала 4-(индол-1-ил)метилбензойной кислоты указанное в заголовке соединение получали в виде твердого вещества, плавящегося при 181-184oC (с разложением). Спектр ЯМР (CDCl3 + тетрадейтерированный метанол, 270 МГц), м.д.:5,40 (2H, синглет), 6,59 (1H, дублет, J=3,2 Гц), 7,05-7,30 (6H, мультиплет), 7,68 (1H, дублет, J=6,2 Гц), 7,98 (2H, дублет, J=8,2 Гц). Пример 101 1-(4-Фенилбензил)-4-цианоиндол Согласно процедуре и с применением относительных соотношений исходных материалов, сходных с описанными в примере 65, но с применением в качестве исходных материалов 4-цианоиндола и 4-фенилбензилхлорида указанное в заголовке соединение получали в виде твердого вещества. Спектр ЯМР (CDCl3, 270 МГц), м.д.:5,40 (2H, синглет), 6,78 (1H, дублет, J=3,0 Гц), 7,10-7,60 (13H, мультиплет). Пример 102 2-[1-(4-Фенилбензил)индол-4-ил]уксусная кислота Согласно процедуре и с применением относительных соотношений исходных материалов, сходных с описанными в примерах 89, 90 и 91, но с применением в качестве исходного материала 1-(4-фенилбензил)-4-цианоиндола указанное в заголовке соединение получали в виде твердого вещества, плавящегося при 159-160oC. Спектр ЯМР (CDCl3, 270 МГц), м.д.:3,94 (2H, синглет), 5,36 (2H, синглет), 6,62 (1H, дублет, J=3,2 Гц), 7,04 (1H, дублет, J=7,1 Гц), 7,10-7,60 (12H, мультиплет). Пример 103 2-(9-Бензил-4-метил-2,3,4,9-тетрагидротиопирано[2,3-b] индол-2-ил)уксусная кислота Согласно процедуре и с применением относительных соотношений исходных материалов, сходных с описанными в примерах 78, 79, 80, 81, 82 и 83, но с применением в качестве исходного материала 3-трет-бутилдифенилсилилокси-1-бутанола указанное в заголовке соединение получали в виде твердого вещества, плавящегося при 158- 162oC. Спектр ЯМР (CDCl3, 270 МГц), м.д.:1,44 (3H, дублет, J=6,8 Гц), 2,10-2,20 (2H, мультиплет), 2,76 (2H, дублет, J=7,0 Гц), 3,25-3,40 (1H, мультиплет), 3,80-3,95 (1H, мультиплет), 5,20 (2H, синглет), 7,05-7,60 (9H, мультиплет). Пример 104 5-(9-Бензил-4-метил-2,3,4,9-тетрагидротиопирано[2,3-b] индол-2-ил)метил-1H-тетразол Согласно процедуре и с применением относительных соотношений исходных материалов, сходных с описанными в примере 84, но с применением в качестве исходного материала 2-(9-бензил-4-метил-2,3,4,9-тетрагидротиопирано[2,3-b] индол-2-ил)уксусной кислоты указанное в заголовке соединение получали в виде твердого вещества, плавящегося при 176-178oC. Спектр ЯМР (CDCl3 и тетрадейтерированный метанол, 270 МГц), м.д.:1,41 (3H, дублет, J=6,9 Гц), 2,03-2,25 (2H, мультиплет), 3,25-3,45 (3H, мультиплет), 3,90-4,05 (1H, мультиплет), 5,18 (2H, синглет), 7,05-7,60 (9H, мультиплет). Пример 105 1-Бензил-2,3-диметил-6-ацетилиндол Согласно процедуре и с применением относительных соотношений исходных материалов, сходных с описанными в примерах 40 и 65, но с применением в качестве исходного материала 2,3-диметилиндола указанное в заголовке соединение получали в виде твердого вещества. Спектр ЯМР (CDCl3, 270 МГц), м.д.:2,30 (6H, синглет), 2,62 (3H, синглет), 5,37 (2H, синглет), 6,95 (1H, дублет, J=2,0 Гц), 7,20-7,30 (4H, мультиплет), 7,53 (1H, дублет, J=8,4 Гц), 7,71 (1H, дублет, J=8,4 Гц), 7,92 (1H, синглет). Пример 106 2-(1-Бензил-2,3-диметилиндол-6-ил)уксусная кислота Согласно процедуре и с применением относительных соотношений исходных материалов, сходных с описанными в примерах 89, 90 и 91, но с применением в качестве исходного материала 1-бензил-2,3-диметил-6-ацетилиндола указанное в заголовке соединение получали в виде твердого вещества, плавящегося при 137oC (с разложением). Спектр ЯМР (CDCl3, 270 МГц), м.д.:2,25 (6H, синглет), 3,69 (2H, синглет), 5,27 (2H, синглет), 6,90-7,50 (8H, мультиплет). Пример 107 5-(1-Бензил-2,3-диметилиндол-6-ил)метил-1H-тетразол Согласно процедуре и с применением относительных соотношений исходных материалов, сходных с описанными в примерах 75, 76 и 77, но с применением в качестве исходного материала (1-бензил-2,3-диметилиндол-6-ил)уксусной кислоты указанное в заголовке соединение получали в виде твердого вещества, плавящегося при 160-163oC (с разложением). Спектр ЯМР (CDCl3 + тетрадейтериров. метанол, 270 МГц), м.д.:2,26 (3H, синглет), 2,27 (3H, синглет), 4,33 (2H, синглет), 5,26 (2H, синглет), 6,90-7,30 (7H, мультиплет), 7,46 (1H, дублет, J=8,0 Гц). Пример 108 5-(9-Бензилкарбазол-2-ил)метил-1H-тетразол Согласно процедуре и с применением относительных соотношений исходных материалов, сходных с описанными в примерах 75, 76 и 77, но с применением в качестве исходного материала 2-(9-бензилкарбазол-2-ил)уксусной кислоты указанное в заголовке соединение получали в виде твердого вещества, плавящегося при 175-184oC (с разложением). Спектр ЯМР (CDCl3 + тетрадейтериров. метанол, 270 МГц), м.д.:4,44 (2H, синглет), 5,50 (2H, синглет), 7,05-7,45 (10H, мультиплет), 8,08 (2H, триплет, J=7,8 Гц). Пример 109 Диэтил-(9-бензил-1,2,3,4-тетрагидрокарбазол-2-ил)малонат Указанное в заголовке соединение получали согласно процедуре и с применением относительных соотношений исходных материалов, сходных с описанными в примере 48, но с применением в качестве исходных материалов N,N-бензилфенилгидразина и диэтил-3-оксоциклогексилмалонат. Пример 110 (9-Бензил-1,2,3,4-тетрагидрокарбазол-2-ил)малоновая кислота Указанное в заголовке соединение получали согласно процедуре и с применением относительных соотношений исходных материалов, сходных с описанными в примере 26, но с применением в качестве исходного материала (9-бензил-1,2,3,4-тетрагидрокарбазол-2-ил)малоната. Спектр ЯМР (CDCl3, 270 МГц), м.д.:1,6-1,9 (1H, мультиплет), 2,1-2,4 (1H, мультиплет), 2,5-3,0 (5H, мультиплет), 3,39 (1H, дублет, J=8,4 Гц), 5,23 (2H, синглет), 6,9-7,6 (9H, мультиплет). Пример 111 (9-Бензил-1,2,3,4-тетрагидрокарбазол-2-ил)уксусная кислота Раствор 200 мг (9-бензил-1,2,3,4-тетрагидрокарбазол-2-ил)малоновой кислоты, полученной, как описано в примере 110, в 5 мл N,N-диметилформамида кипятили с обратным холодильником в течение 2 часов. Растворитель выпаривали при пониженном давлении. Полученный остаток подвергали колоночной хроматографии с применением 5 г силикагеля со смесью 1:2 (об./об.) этилацетата и гексана в качестве элюента, получая 162 мг указанного в заголовке соединения. Спектр ЯМР (CDCl3, 270 МГц), м.д.:1,5-1,8 (1H, мультиплет), 2,0-2,2 (1H, мультиплет), 2,3-2,6 (4H, мультиплет), 2,7-3,0 (3H, мультиплет), 5,24 (2H, синглет), 6,9-7,3 (8H, мультиплет), 7,4-7,6 (1H, мультиплет). Пример 112 (Этил-9-бензил-4-оксо-1,2,3,4-тетрагидрокарбазол-3-ил)ацетат 227 мг 2,3-дихлор-5,6-дициано-п-бензохинона (ДДХ) в 2 мл тетрагидрофурана добавляли по каплям при охлаждении льдом к раствору 174 мг этил-(9-бензил-1,2,3,4-тетрагидрокарбазол-3-ил) ацетата, полученного, как описано в примере 62, в 4,5 мл тетрагидрофурана и 0,5 мл воды. Реакционную смесь перемешивали в течение 10 минут. К реакционной смеси добавляли насыщенный раствор хлорида натрия, водный слой экстрагировали этилацетатом и органический экстракт промывали насыщенным водным раствором хлорида натрия, сушили над безводным сульфатом магния и концентрировали выпариванием при пониженном давлении. Полученный осадок подвергали колоночной хроматографии с использованием 8 г силикагеля со смесью 2:3 (об./об.) этилацетата и гексана в качестве элюента, затем перекристаллизовывали из этилацетата и гексана, получая 169 мг указанного в заголовке соединения. Пример 113 (9-Бензил-4-оксо-1,2,3,4-тетрагидрокарбазол-3-ил)уксусная кислота Указанное в заголовке соединение получали согласно процедуре и с применением относительных соотношений исходных материалов, сходных с описанными в примере 26, но с применением в качестве исходного этил-(9-бензил-4-оксо-1,2,3,4-тетрагидрокарбазол-3-ил)ацетата. Спектр ЯМР (CDCl3, 270 МГц), м.д.:2,0-2,2 (1H, мультиплет), 2,3-2,5 (1H, мультиплет), 2,45 (1H, дублет, J=11,3 Гц), 2,9-3,2 (4H, мультиплет), 5,35 (2H, синглет), 7,0-7,1 (2H, мультиплет), 7,2-7,4 (6H, мультиплет), 8,26 (1H, дублет, J=6,6 Гц). Пример 114 Изопропил-(1-метилтио-4-пропилкарбазол-2-ил)ацетат Указанное в заголовке соединение получали согласно процедуре и с применением относительных соотношений исходных материалов, сходных с описанными в примере 1 и 2, но с применением в качестве исходного материала 1,1-бисметилтио-2-оксо-4-пропил-1,2,3,4-тетрагидрокарбазола. Пример 115 Изопропил-(9-бензил-1-метилтио-4-пропилкарбазол-2-ил)ацетат Указанное в заголовке соединение получали согласно процедуре и с применением относительных соотношений исходных материалов, сходных с описанными в примере 13, но с применением в качестве исходного материала изопропил-(1-метилтио-4-пропилкарбазол-2-ил)ацетата. Пример 116 (9-Бензил-1-метилтио-4-пропилкарбазол-2-ил)уксусная кислота Указанное в заголовке соединение получали согласно процедуре и с применением относительных соотношений исходных материалов, сходных с описанными в примере 26, но с применением в качестве исходного материала изопропил-(9-бензил-1-метилтио-4-пропилкарбазол-2-ил)ацетата. Спектр ЯМР (CDCl3, 270 МГц), м.д.:1,13 (3H, триплет, J=7,4 Гц), 1,8-2,0 (1H, мультиплет), 1,97 (3H, синглет), 3,20 (3H, триплет, J=7,8 Гц), 4,15 (2H, синглет), 6,40 (2H, синглет), 7,0-7,5 (8H, мультиплет), 8,0-8,2 (2H, мультиплет). Пример 117 Изопропил-2-(9-бензил-1-метилтио-4-пропилкарбазол-2-ил)-3-фенилпропионат Указанное в заголовке соединение получали согласно процедуре и с применением относительных соотношений исходных материалов, сходных с описанными в примере 13, но с применением в качестве исходного материала изопропил-(1-метилтио-4-пропилкарбазол-2-ил)ацетата. Пример 118 2-(9-Бензил-1-метилтио-4-пропилкарбазол-2-ил)-3-фенилпропионовая кислота Указанное в заголовке соединение получали согласно процедуре и с применением относительных соотношений исходных материалов, сходных с описанными в примере 26, но с применением в качестве исходного материала изопропил-2-(9-бензил-1-метилтио-4-пропилкарбазол-2-ил)-3-фенилпропионата. Спектр ЯМР (CDCl3, 270 МГц), м.д.:1,12 (3H, триплет, J=7,3 Гц), 1,84 (3H, синглет), 1,8-2,0 (1H, мультиплет), 3,05 (1H, дублет дублетов, J=13,7 Гц, J=7,2 Гц), 3,1-3,4 (2H, мультиплет), 3,47 (1H, дублет дублетов, J=13,7 Гц, J=7,8 Гц), 5,37 (1H, триплет, J=7,5 Гц), 6,35 (2H, синглет), 6,9-7,5 (14H, мультиплет), 8,11 (1H, дублет, J=7,9 Гц). Пример 119 Трет-бутил-(1-метилтио-4-пропилкарбазол-2-ил)оксиацетат Указанное в заголовке соединение получали согласно процедуре и с применением относительных соотношений исходных материалов, сходных с описанными в примере 43, но с применением в качестве исходного материала 2-гидрокси-1-метилтио-4-пропилкарбазола. Пример 120 (1-Метилтио-4-пропилкарбазол-2-ил)оксиуксусная кислота Указанное в заголовке соединение получали согласно процедуре и с применением относительных соотношений исходных материалов, сходных с описанными в примере 26, но с применением в качестве исходного материала трет-бутил-(1-метилтио-4-пропилкарбазол-2-ил)оксиацетата. Спектр ЯМР (CDCl3, 270 МГц), м.д.:1,10 (3H, триплет, J=7,4 Гц), 1,8-2,0 (1H, мультиплет), 2,43 (3H, синглет), 3,15 (2H, триплет, J=7,7 Гц), 4,86 (2H, синглет), 6,63 (1H, синглет), 7,26 (1H, триплет, J=7,6 Гц), 7,41 (1H, триплет, J=7,6 Гц), 7,49 (1H, дублет, J=7,6 Гц), 8,00 (1H, дублет, J=7,6 Гц), 8,62 (1H, широкий синглет). Пример 121 Метил-(9-бензил-1,2,3,4-тетрагидрокарбазол-2-ил)ацетат Указанное в заголовке соединение получали согласно процедуре и с применением относительных соотношений исходных материалов, сходных с описанными в примере 85, но с применением в качестве исходных материалов (9-бензил-1,2,3,4-тетрагидрокарбазол-2-ил)уксусной кислоты и диазометана. Пример 122 Метил-(9-бензил-4-оксо-1,2,3,4-тетрагидрокарбазол-2-ил)ацетат Указанное в заголовке соединение получали согласно процедуре и с применением относительных соотношений исходных материалов, сходных с описанными в примере 112, но с применением в качестве исходных материалов метил-(9-бензил-1,2,3,4-тетрагидрокарбазол-2-ил)ацетата и диазометана. Пример 123 (9-Бензил-4-оксо-1,2,3,4-тетрагидрокарбазол-2-ил)уксусной кислоты Указанное в заголовке соединение получали согласно процедуре и с применением относительных соотношений исходных материалов, сходных с описанными в примере 26, но с применением в качестве исходного материала метил-(9-бензил-4-оксо-1,2,3,4- тетрагидрокарбазол-2-ил)ацетата. Спектр ЯМР (CDCl3, 270 МГц), м.д.:2,3-3,0 (6H, мультиплет), 3,17 (1H, дублет дублетов, J=16,4 Гц, J=4,4 Гц), 5,35 (2H, синглет), 6,9-7,1 (2H, мультиплет), 7,2-7,4 (6H, мультиплет), 8,27 (1H, дублет, J=8,0 Гц). Пример 124 [1-(3-Бензилоксибензил)индол-4-ил]тиоацетоморфолид Согласно процедуре и с применением относительных соотношений исходных материалов, сходных с описанными в примерах 88, 89 и 90, но с применением в качестве исходного материала 3-бензилоксибензилхлорида указанное в заголовке соединение получали в виде аморфного твердого вещества. Пример 125 [1-(3-Бензилоксибензил)индол-4-ил]уксусная кислота Согласно процедуре и с применением относительных соотношений исходных материалов, сходных с описанными в примере 39, но с применением в качестве исходного материала [1-(3-бензилоксибензил)индол-4-ил]тиоацетоморфолида, полученного в примере 124, указанное в заголовке соединение получали в виде твердого вещества, плавящегося при 130-133oC, с выходом 80%. Спектр ЯМР (CDCl3, 270 МГц), м.д.:3,93 (2H, синглет), 4,97 (2H, синглет), 5,27 (2H, синглет), 6,57-7,40 (14H, мультиплет). Пример 126 [1-(4-Пиридилметил)индол-4-ил]тиоацетоморфолид Согласно процедуре и с применением относительных соотношений исходных материалов, сходных с описанными в примере 88, 89 и 90, но с применением в качестве исходного материала 4-пиридилметилхлорида указанное в заголовке соединение получали в виде аморфного твердого вещества. Пример 127 [1-(4-Пиридилметил)индол-4-ил]уксусная кислота Согласно процедуре и с применением относительных соотношений исходных материалов, сходных с описанными в примере 39, но с применением в качестве исходного материала [1-(4-пиридилметил)индол-4-ил]тиоацетоморфолида, полученного в примере 126, указанное в заголовке соединение получали в виде аморфного твердого вещества с выходом 79%. Спектр ЯМР (CDCl3 + тетрадейтериров. метанол, 270 МГц), м.д.:3,81 (2H, синглет), 5,32 (2H, синглет), 6,68 (1H, дублет, J=3,5 Гц), 6,92-7,13 (6H, мультиплет), 8,41 (2H, дублет, J=6,4 Гц). Пример 128 5-[1-(3-Бензилоксибензил)индол-4-ил]метил-1H-тетразол Согласно процедуре и с применением относительных соотношений исходных материалов, сходных с описанными в примерах 75, 76 и 77, но с применением в качестве исходного материала [1-(3-бензилоксибензил)индол-4-ил]уксусной кислоты, полученной в примере 125, указанное в заголовке соединение получали в виде твердого вещества, плавящегося при 172-174oC. Спектр ЯМР (CDCl3) + тетрадейтериров. метанол, 270 МГц), м.д.:4,58 (2H, синглет), 4,98 (2H, синглет), 5,29 (2H, синглет), 6,46 (1H, дублет, J=3,2 Гц), 6,70 (1H, синглет), 6,71 (1H, дублет, J=7,1 Гц), 6,87 (1H, дублет дублетов, J=8,7, 1,9 Гц), 7,00 (1H, дублет, J=7,3 Гц), 7,1-7,4 (9H, мультиплет). Пример 129 (1-Дифенилметилиндол-4-ил)тиоацетоморфолид Согласно процедуре и с применением относительных соотношений исходных материалов, сходных с описанными в примерах 88, 89 и 90, но с применением в качестве исходного материала дифенилметилбромида указанное в заголовке соединение получали в виде масла. Пример 130 (1-Дифенилметилиндол-4-ил)уксусная кислота Согласно процедуре и с применением относительных соотношений исходных материалов, сходных с описанными в примере 39, но с применением в качестве исходного материала (1-дифенилметилиндол-4-ил)тиоацетоморфолида, полученного в примере 129, указанное в заголовке соединение получали в виде твердого вещества, плавящегося при 170-175oC с количественным выходом. Спектр ЯМР (CDCl2, 270 МГц), м.д.:3,92 (2H, синглет), 6,53 (2H, дублет, J=3,3 Гц), 6,81 (1H, синглет), 6,84 (1H, дублет, J=3,3 Гц), 7,0-7,4 (13H, мультиплет). Пример 131 Метил-(9-бензил-4-метил-1-пропоксикарбазол-2-ил)ацетат Согласно процедуре и с применением относительных соотношений исходных материалов, сходных с описанными в примере 220, но с применением в качестве исходного материала иодпропана указанное в заголовке соединение получали с выходом 90% в виде масла. Пример 132 (9-Бензил-4-метил-1-пропоксикарбазол-2-ил)уксусная кислота Согласно процедуре и с применением относительных соотношений исходных материалов, сходных с описанными в примере 14, но с применением в качестве исходного соединения (9-бензил-4-метил-1-пропоксикарбазол-2-ил)ацетата, полученного в примере 131, указанное в заголовке соединение получали с выходом 88% в виде твердого вещества, плавящегося при 175-177oC. Спектр ЯМР (CDCl3, 270 МГц), м.д.:0,82 (3H, триплет, J=7,5 Гц), 1,67 (2H, секстет, J=7,2 Гц), 2,84 (3H, синглет), 3,67 (2H, триплет, J=6,9 Гц), 3,84 (2H, синглет), 5,89 (2H, синглет), 6,92 (1H, синглет), 7,02-7,42 (8H, мультиплет), 8,17 (1H, дублет, J=7,4 Гц). Пример 133 Метил-(9-бензил-1-бензилокси-4-метилкарбазол-2-ил)ацетат Согласно процедуре и с применением относительных соотношений исходных материалов, подобных описанным в примере 220, но с использованием в качестве исходного материала бензилбромида указанное в заголовке соединение получали в виде масла с выходом 93%. Пример 134 (9-Бензил-1-бензилокси-4-метилкарбазол-2-ил)уксусная кислота Согласно процедуре и с применением относительных соотношений исходных материалов, подобных описанным в примере 14, но с использованием в качестве исходного метил-(9-бензил-1-бензилокси-4-метилкарбазол-2-ил)ацетата, полученного в примере 133, указанное в заголовке соединение получали в виде твердого вещества, плавящегося при 187-191oC, с выходом 88%. Спектр ЯМР (CDCl3, 270 МГц), м.д.:2,86 (3H, синглет), 3,86 (2H, синглет), 4,81 (2H, синглет), 5,86 (2H, синглет), 6,90-7,42 (14H, мультиплет), 8,19 (1H, дублет, J=7,9 Гц) Пример 135 Трет-бутил-[9-(3-бензилоксибензил)-4-метил-1-метилтиокарбазол-2-ил]ацетат Согласно процедуре и с применением относительных соотношений исходных материалов, подобных описанным в примере 4, но с использованием в качестве исходных материалов трет-бутил-(4-метил-1-метилтиокарбазол-2-ил)ацетата и 3-бензилоксибензилхлорида указанное в заголовке соединение получали в виде масла с выходом 78%. Пример 136 [9-(3-Бензилоксибензил)-4-метил-1-метилтиокарбазол-2-ил]уксусная кислота Согласно процедуре и с применением относительных соотношений исходных материалов, подобных описанным в примере 3, но с использованием в качестве исходного материала [9-(3-бензилоксибензил)-4-метил-1-метилтиокарбазол-2-ил] ацетата, полученного в примере 135, указанное в заголовке соединение получали в виде твердого вещества, плавящегося при 178-180oC, с выходом 85%. Спектр ЯМР (CDCl3, 270 МГц), м.д.:1,92 (3H, синглет), 2,89 (3H, синглет), 4,19 (2H, синглет), 4,90 (2H, синглет), 6,33 (2H, синглет), 6,6-7,5 (13H, мультиплет), 8,18 (1H, дублет, J=7,8 Гц). Пример 137 5-[9-(3-Бензилоксибензил)-4-метил-1-метилтиокарбазол-2-ил] метил-1H-тетразол Согласно процедуре и с применением относительных соотношений исходных материалов, подобных описанным в примерах 75, 76 и 77, но с использованием в качестве исходного материала [9-(3-бензилоксибензил)-4-метил-1-метилтиокарбазол-2-ил] уксусной кислоты, полученной в примере 136, указанное в заголовке соединение получали в виде твердого вещества, плавящегося при 205-207oC. Спектр ЯМР (CDCl3, 270 МГц), м.д.:1,86 (3H, синглет), 2,87 (3H, синглет), 4,78 (2H, синглет), 4,92 (2H, синглет), 6,34 (2H, синглет), 6,60-7,50 (13H, мультиплет), 8,20 (1H, дублет, J=7,8 Гц). Пример 138. Трет-бутил-[4-метил-1-метилтио-9-(3-нитробензил)карбазол-2-ил]ацетат Согласно процедуре и с применением относительных соотношений исходных материалов, подобных описанным в примере 4, но с использованием в качестве исходных материалов трет-бутил-(4-метил-1-метилтиокарбазол-2-ил)ацетата и 3-нитробензилбромида указанное в заголовке соединение получали в виде масла с выходом 83%. Пример 139 [4-Метил-1-метилтио-9-(3-нитробензил)карбазол-2-ил]уксусная кислота Согласно процедуре и с применением относительных соотношений исходных материалов, подобных описанным в примере 3, но с использованием в качестве исходного материала трет.-бутил-[4-метил-1-метил-9-(3-нитробензил)тиокарбазол-2-ил] ацетата, полученного в примере 138, указанное в заголовке соединение получали в виде твердого вещества, плавящегося при 196-201oC, с выходом 98%. Спектр ЯМР (CDCl3, 270 МГц), м.д.:2,02 (3H, синглет), 2,90 (3H, синглет), 4,19 (2H, синглет), 6,42 (2H, синглет), 7,09 (1H, синглет), 7,15-7,50 (5H, мультиплет), 8,06 (1H, дублет, J=6,6 Гц), 8,07 (1H, синглет), 8,21 (1H, дублет, 3=7,7 Гц). Пример 140 Трет-бутил-[9-(3-фторбензил)-4-метил-1-метилтиoкapбaзoл-2-ил]ацетат Согласно процедуре и с применением относительных соотношений исходных материалов, подобных описанным в примере 4, но с использованием в качестве исходных материалов трет-бутил-(4-метил-1-метилтиокарбазол-2-ил)ацетата и 3-фторбензилбромида указанное в заголовке соединение получали в виде масла с выходом 90%. Пример 141 [9-(3-Фторбензил)-4-метил-1-метилтиокарбазол-2-ил]уксусная кислота Согласно процедуре и с применением относительных соотношений исходных материалов, подобных описанным в примере 3, но с использованием в качестве исходного материала трет-бутил-[9-(3-фторбензил))-4-метил-1-метилтиокарбазол-2-ил] ацетата, полученного в примере 140, указанное в заголовке соединение получали в виде твердого вещества, плавящегося при 195-202oC, с выходом 97%. Спектр ЯМР (CDCl3, 270 МГц), м.д.:1,98 (3H, синглет), 2,89 (3H, синглет), 4,20 (2H, синглет), 6,36 (2H, синглет), 6,70-6,90 (3H, мультиплет), 7,07 (1H, синглет), 7,15-7,50 (4H, мультиплет), 8,20 (1H, дублет, J=7,9 Гц). Пример 142 Трет-бутил-[9-(4-фторбензил)-4-метил-1-метилкарбазол-2-ил]ацетат Согласно процедуре и с применением относительных соотношений исходных материалов, подобных описанным в примере 4, но с использованием в качестве исходных материалов трет-бутил-(4-метил-1-метилтиокарбазол-2-ил)ацетата и 4-фторбензилбромида указанное в заголовке соединение получали в виде масла с выходом 91%. Пример 143 [9-(4-Фторбензил)-4-метил-1-метилтиокарбазол-2-ил]уксусная кислота Согласно процедуре и с применением относительных соотношений исходных материалов, подобных описанным в примере 3, но с использованием в качестве исходного материала трет-бутил-[9-(4-фторбензил)-4-метил-1-метилтиокарбазол-2-ил] ацетата, полученного в примере 142, указанное в заголовке соединение получали в виде твердого вещества, плавящегося при 189-194oC, с выходом 97%. Спектр ЯМР (CDCl3, 270 МГц), м.д.:1,98 (3H, синглет), 2,89 (3H, синглет), 4,20 (2H, синглет), 6,33 (2H, синглет), 6,85-7,03, (4H, мультиплет), 7,06 (1H, синглет), 7,25-7,50 (3H, мультиплет), 8,19 (1H, дублет, J=8,0 Гц). Пример 144 Трет-бутил-[9-(3-хлорбензил)-метил-1-метилтиокарбазол-2-ил]ацетат Согласно процедуре и с применением относительных соотношений исходных материалов, подобных описанным в примере 4, но с использованием в качестве исходных материалов трет-бутил-(4-метил-1-метилтиокарбазол-2-ил)ацетата и 3-хлорбензилбромида указанное в заголовке соединение получали в виде масла с выходом 86%. Пример 145 [9-(3-Хлорбензил)-4-метил-1-метилтиокарбазол-2-ил]уксусная кислота Согласно процедуре и с применением относительных соотношений исходных материалов, подобных описанным в примере 3, но с использованием в качестве исходного материала трет-бутил-[9-(3-хлорбензил)-4-метил-1-метилтиокарбазол-2-ил] ацетата, полученного в примере 144, указанное в заголовке соединение получали в виде твердого вещества, плавящегося при 205-210oC, с количественным выходом. Спектр ЯМР (CDCl3, 270 МГц), м.д.:1,97 (3H, синглет), 2,89 (3H, синглет), 4,19 (2H, синглет), 6,33 (2H, синглет), 6,85 (1H, дублет, J=6,5 Гц), 7,06 (1H, синглет), 7,10-7,50 (6H, мультиплет), 8,19 (1H, дублет, J=7,8 Гц). Пример 146 Трет-бутил-{ 9-[(1-метил-2-пиридон-4-ил)метил] -4-метил-1-метилтиокарбазол-2-ил}ацетат Согласно процедуре и с применением относительных соотношений исходных материалов, подобных описанным в примере 4, но с использованием в качестве исходных материалов трет-бутил-(4-метил-1-метилтиокарбазол-2-ил)ацетата и хлор(1-метил-2-пиридон-4-ил)метана указанное в заголовке соединение получали в виде масла с выходом 87%. Пример 147 { 9-[(1-Метил-2-пиридон-4-ил)метилбензил]-4-метил-1-метилтиокарбазол-2-ил}уксусная кислота Согласно процедуре и с применением относительных соотношений исходных материалов, подобных описанным в примере 3, но с использованием в качестве исходного материала трет-бутил-{9-[(1-метил-2-пиридон-4-ил)метилбензил]-4-метил-1-метилтиокарбазол-2-ил} ацетата, полученного в примере 146, указанное в заголовке соединение получали в виде твердого вещества, плавящегося при 188-197oC, с количественным выходом. Спектр ЯМР (CDCl3 + тетрадейтериров. метанол, 270 МГц), м.д.:2,16 (3H, синглет), 2,88 (3H, синглет), 3,46 (3H, синглет), 4,14 (2H, синглет), 5,91 (1H, дублет дублетов, J=7,1, 1,9 Гц), 6,17 (1H, синглет), 6,22 (2H, синглет), 7,08 (1H, синглет), 7,18 (1H, дублет, J=7,0 Гц), 7,20 (3H, мультиплет), 8,18 (1H, дублет, J=8,1 Гц). Пример 148 Трет-бутил-[9-(3,4-дихлорбензил)-4-метил-1-метилтиокарбазол-2-ил]ацетат Согласно процедуре и с применением относительных соотношений исходных материалов, подобных описанным в примере 4, но с использованием в качестве исходных материалов трет-бутил-(4-метил-1-метилтиокарбазол-2-ил)ацетата и 3,4-дихлорбензил-хлорида указанное в заголовке соединение получали в виде масла с выходом 82%. Пример 149 [9-(3,4-Дихлорбензил)-4-метил-1-метилтиокарбазол-2-ил]уксусная кислота Согласно процедуре и с применением относительных соотношений исходных материалов, подобных описанным в примере 3, но с использованием в качестве исходного материала трет-бутил-[9-(3,4-дихлорбензил)-4-метил-1-метилтиокарбазол-2-ил] ацетата, полученного в примере 148, указанное в заголовке соединение получали в виде твердого вещества, плавящегося при 110-120oC, с количественным выходом. Спектр ЯМР (CDCl3, 270 МГц), м.д.:2,02 (3H, синглет), 2,89 (3H, синглет), 4,20 (2H, синглет), 6,30 (2H, синглет), 6,80 (1H, дублет дублетов, J=8,5, 1,9 Гц), 7,07 (1H, синглет), 7,21 (1H, дублет, J=1,9 Гц), 7,26-7,50 (4H, мультиплет), 8,19 (1H, дублет, J=7,4 Гц). Пример 150 Трет-бутил-[9-метилсульфонил-4-метил-1-метилтиокарбазол-2-ил]ацетат Согласно процедуре и с применением относительных соотношений исходных материалов, подобных описанным в примере 4, но с использованием в качестве исходных материалов трет-бутил-(4-метил-1-метилтиокарбазол-2-ил)ацетата и метилсульфонилхлорида указанное в заголовке соединение получали в виде масла с выходом 95%. Пример 151 (9-Метилсульфонил-4-метил-1-метилтиокарбазол-2-ил)уксусная кислота Согласно процедуре и с применением относительных соотношений исходных материалов, подобных описанным в примере 3, но с использованием в качестве исходного материала трет-бутил-(9-метилсульфонил-4-метил-1-метилтиокарбазол-2-ил)ацетата, полученного в примере 150, указанное в заголовке соединение получали в виде твердого вещества, плавящегося при 217-218oC, с количественным выходом. Спектр ЯМР (CDCl3 + тетрадейтериров. метанол, 270 МГц), м.д.:2,22 (3H, синглет), 2,78 (3H, синглет), 3,53 (3H, синглет), 4,15 (2H, синглет), 7,30 (1H, синглет), 7,37-7,50 (2H, мультиплет), 7,90 (1H, дублет, J=7,6 Гц), 8,00 (1H, дублет, J=8,1 Гц). Пример 152 5-[9-(3,4-Дихлорбензил)-4-метил-1-метилтиокарбазол-2-ил] метил-1H-тетразол Согласно процедуре и с применением относительных соотношений исходных материалов, подобных описанным в примерах 75, 76 и 77, но с использованием в качестве исходного материала [9-(3,4-дихлорбензил)-4-метил-1-метилтиокарбазол-2-ил]уксусной кислоты, полученной в примере 149, указанное в заголовке соединение получали в виде твердого вещества, плавящегося при 242-245oC. Спектр ЯМР (CDCl3 + тетрадейтериров. метанол, 270 МГц), м.д.:1,97 (3H, синглет), 2,87 (3H, синглет), 4,79 (2H, синглет), 6,30 (2H, синглет), 6,81 (1H, дублет дублетов, J=8,6, 1,9 Гц), 7,05 (1H, синглет), 7,18 (1H, дублет, J=1,7 Гц), 7,28-7,35 (5H, мультиплет). Пример 153 Изопропил-(1-метилтио-4-пропилкарбазол-2-ил)ацетат а) Этил-3-(индол-3-ил)гексаноат 10,7 г (148 ммоль) бутанола добавляли постепенно к 300 мл раствора 11,6 г индола (98,6 ммоль) и 14,2 г кислоты Мельдрума (98,6 ммоль) в ацетонитриле при комнатной температуре. 500 мг пролина добавляли к реакционной смеси, которую затем перемешивали в течение ночи. Растворитель удаляли выпариванием при пониженном давлении. Остаток растворяли в 200 мл пиридина и к полученному раствору добавляли 15 мл этанола и 2,5 г порошка меди. Затем реакционную смесь кипятили с обратным холодильником в течение 4 часов и после этого порошок меди отфильтровывали. Растворитель удаляли выпариванием при пониженном давлении. Остаток подвергали колоночной хроматографии (элюент: 15% (об./об.) раствор этилацетата в гексане), получая 20,1 г (78%) указанного в заголовке соединения в виде масла. b) 1,1-Бисметилтио-4-пропил-1,2,3,4-тетрагидрокарбазол-2-он Согласно процедуре и с применением относительных соотношений исходных материалов, подобных описанным в примерах 1a) и 1b, но с использованием в качестве исходного материала этил-3-(индол-3- ил)гексаноата, полученного в a), указанное в заголовке соединение получали в виде аморфного твердого вещества. c) Изопропил-(2-гидрокси-1,1-бисметилтио-4-пропил-1,2,3,4-тетрагидрокарбазол-2-ил)ацетат Согласно процедуре и с применением относительных соотношений исходных материалов, подобных описанным в примере 1d), но с использованием в качестве исходных материалов 1,1-бисметилтио-4-пропил-1,2,3,4-тетрагидрокарбазол-2-она, полученного в b) выше, и изопропилацетата указанное в заголовке соединение получали в виде масла с выходом 81%. d) Изопропил-(1-метилтио-4-пропилкарбазол-2-ил)ацетат Согласно процедуре и с применением относительных соотношений исходных материалов, подобных описанным в примере 2, но с использованием в качестве исходного материала изопропил-(2-гидрокси-1,1-бисметилтио-4-пропил-1,2,3,4-тетрагидрокарбазол- 2-ил)ацетата, полученного в c) выше, указанное в заголовке соединение получали в виде аморфного твердого вещества с выходом 89%. Пример 154 (1-Метилкарбазол-2-ил)тиоацетоморфолид а) 2-Ацетил-1-метилкарбазол 15 мл 1,5 М раствора метиллития (22 ммоль) в диэтиловом эфире добавляли к 30 мл раствора 1,25 г 1-метилкарбазол-2-ил-карбоновой кислоты (5,5 ммоль), полученной в примере 26, в диэтиловом эфире при температуре -78oC. Реакционную смесь нагревали до комнатной температуры и перемешивали в течение 1 часа. После этого смесь выливали в 0,5 н. водный раствор хлористого водорода. Водный слой экстрагировали этилацетатом и полученный органический слой промывали последовательно насыщенным водным раствором бикарбоната натрия и насыщенным водным раствором хлорида натрия в этой последовательности, сушили над безводным сульфатом магния и растворитель удаляли выпариванием при пониженном давлении. Остаток подвергали колоночной хроматографии (элюент: 25% (об. /об.) раствор этилацетата в гексане), получая 1,08 г (88%) указанного в заголовке соединения в виде аморфного твердого вещества. b) (1-Метилкарбазол-2-ил)тиоацетоморфолид Согласно процедуре и с применением относительных соотношений исходных материалов, подобных описанным в примере 38, но с использованием в качестве исходного материала 2-ацетил-1-метилкарбазола, полученного в a) выше, указанное в заголовке соединение получали в виде масла с выходом 75%. Пример 155 (1-Метилкарбазол-2-ил)уксусная кислота Согласно процедуре и с применением относительных соотношений исходных материалов, подобных описанным в примере 39, но с использованием в качестве исходного материала (1-метил-карбазол-2-ил)тиоацетоморфолида, полученного в примере 154, указанное в заголовке соединение получали в виде твердого вещества, плавящегося при 121oC (с разложением), с выходом 85%. Спектр ЯМР (CDCl3, 270 МГц), м.д.:2,51 (3H, синглет), 3,86 (2H, синглет), 7,11 (1H, дублет, J=7,9 Гц), 7,22 (1H, триплет, J=7,9 Гц), 7,3-7,5 (2H, мультиплет), 7,88 (1H, дублет, J=7,9 Гц), 8,01 (1H, широкий синглет), 8,03 (1H, дублет, J=7,9 Гц). Пример 156 [9-(3-Нитробензил)карбазол-2-ил]ацетоморфолид a) Карбазол-2-илацетоморфолид Избыток 1 н. водного раствора гидроксида калия добавляли к 50 мл этанольного раствора 3,10 г (карбазол-2-ил)тиоацетоморфолида (10 ммоль), полученного в примере 38, и реакционную смесь перемешивали в течение ночи при комнатной температуре. Водный слой затем подкисляли добавлением 0,5 н. водного раствора хлористого водорода к смеси и затем реакционную смесь экстрагировали этилацетатом. Полученный органический слой промывали последовательно насыщенным водным раствором бикарбоната натрия и насыщенным водным раствором хлорида натрия, в этом порядке, сушили над безводным сульфатом магния и растворитель удаляли выпариванием при пониженном давлении. Остаток подвергали колоночной хроматографии (элюент: 80% (об./об.) раствор этилацетата в гексане), получая 2,54 г (86%) указанного в заголовке соединения в виде аморфного твердого вещества. b) [9-(3-Hитробензил)карбазол-2-ил]ацетоморфолид Согласно процедуре и с применением относительных соотношений исходных материалов, подобных описанным в примере 4, но с использованием в качестве исходных материалов (карбазол-2-ил)ацетоморфолида, полученного в a) выше, и 3-нитробензилбромида указанное в заголовке соединение получали в виде аморфного твердого вещества с выходом 83%. Пример 157 [9-(3-Нитробензил)карбазол-2-ил]уксусная кислота Согласно процедуре и с применением относительных соотношений исходных материалов, подобных описанным в примере 39, но с использованием в качестве исходного материала [9-(3-нитробензил)карбазол-2-ил] ацетоморфолида, полученного в примере 156, указанное в заголовке соединение получали в виде аморфного твердого вещества с выходом 81%. Спектр ЯМР (CDCl3, 270 МГц), м.д.:3,55 (2H, синглет), 5,17 (2H, синглет), 6,9-7,4 (7H, мультиплет), 7,6-7,9 (4H, мультиплет). Пример 158 Метил-[9-3-ацетамидобензил)карбазол-2-ил]ацетат a) Метил-[9-(3-нитробензил)карбазол-2-ил]ацетат Согласно процедуре и с применением относительных соотношений исходных материалов, подобных описанным в примере 1a), но с использованием в качестве исходного материала [9-(3-нитробензил)карбазол-2-ил]уксусной кислоты, полученной в примере 157, указанное в заголовке соединение получали в виде масла с количественным выходом. b) Метил-[9-(3-ацетамидобензил)карбазол-2-ил]ацетат 20 мг 10% (м/м) препарат палладия на угле добавляли к 2 мл смеси 1:1 (об. /об. ) этанола и тетрагидрофурана, в которой растворяли 114 мг метил-[9-(3-нитробензил)карбазол-2-ил]ацетата (0,30 ммоль), полученного в а) выше. Затем реакционную смесь перемешивали в течение 3 часов при комнатной температуре под током водорода. После этого катализатор отфильтровывали и растворитель удаляли выпариванием при пониженном давлении, получая амин. Полученное таким образом соединение растворяли в 0,5 мл пиридина и затем к полученному раствору добавляли 0,5 мл безводной уксусной кислоты. Реакционную смесь перемешивали в течение 30 минут при комнатной температуре и затем добавляли избыток воды. Водный слой экстрагировали этилацетатом и полученный органический слой промывали последовательно разбавленным водным раствором хлористого водорода и насыщенным водным раствором хлорида натрия, в этом порядке, сушили над безводным сульфатом магния и затем растворитель удаляли выпариванием при пониженном давлении. Остаток подвергали колоночной хроматографии (элюент: 40% (об./об.) раствор этилацетата в гексане), получая 110 мг (93%) указанного в заголовке соединения в виде масла. Пример 159 [9-(3-Ацетамидобензил)карбазол-2-ил]уксусная кислота Согласно процедуре и с применением относительных соотношений исходных материалов, подобных описанным в примере 14, но с использованием в качестве исходного материала метил-[9-(3-ацетамидобензил)карбазол-2-ил]ацетат, полученный в примере 158, указанное в заголовке соединение получали в виде твердого вещества, плавящегося при 138-140oC (с разложением), с выходом 98%. Спектр ЯМР (CDCl3, 270 МГц), м.д.:2,06 (3H, синглет), 3,76 (2H, синглет), 5,49 (2H, синглет), 6,94 (1H, дублет, J=7,3 Гц), 7,06 (1H, синглет), 7,1-7,4 (6H, мультиплет), 7,67 (1H, дублет, J=7,9 Гц), 8,0-8,1 (2H, мультиплет). Пример 160 [9-(4-Бензилоксибензил)карбазол-2-ил]ацетоморфолид Согласно процедуре и с применением относительных соотношений исходных материалов, подобных описанным в примере 156 b), но с использованием в качестве исходного материала 4-бензилоксибензилхлорида указанное в заголовке соединение получали в виде аморфного твердого вещества с выходом 77%. Пример 161 [9-(4-Бензилоксибензил)карбазол-2-ил]уксусная кислота Согласно процедуре и с применением относительных соотношений исходных материалов, подобных описанным в примере 39, но с использованием в качестве исходного материала [9-(4-бензилоксибензил)карбазол-2-ил]ацетоморфолида, полученного в примере 160, указанное в заголовке соединение получали в виде твердого вещества, плавящегося при 169-171oC, с выходом 90%. Спектр ЯМР (CDCl3, 270 МГц), м.д.:3,81 (2H, синглет), 4,98 (2H, синглет), 5,44 (2H, синглет), 6,85 (2H, дублет, J=8,7 Гц), 7,07 (2H, дублет, J=8,7 Гц), 7,1-7,5 (10H, мультиплет), 8,0-8,1 (2H, мультиплет). Пример 162 Метил-[9-(4-гидроксибензил)карбазол-2-ил]ацетат a) Метил-[9-(4-бензилоксибензил)карбазол-2-ил]ацетат Согласно процедуре и с применением относительных соотношений исходных материалов, подобных описанным в примере 1a), но с использованием в качестве исходного материала [9-(4-бензилоксибензил)карбазол-2-ил]уксусной кислоты, полученной в примере 161, указанное в заголовке соединение получали в виде масла с количественным выходом. b) Метил-[9-(4-гидроксибензил)карбазол-2-ил]ацетат Согласно процедуре и с применением относительных соотношений исходных материалов, подобных описанным в примере 52, но с использованием в качестве исходного материала метил-[9-(4-бензилоксибензил)карбазол-2-ил]ацетата, полученного в a) выше, указанное в заголовке соединение получали в виде масла с выходом 75%. Пример 163 [9-(4-Гидроксибензил)карбазол-2-ил]уксусная кислота Согласно процедуре и с применением относительных соотношений исходных материалов, подобных описанным в примере 14, но с использованием в качестве исходного материала метил-[9-(4-гидроксибензил)карбазол-2-ил]ацетата, полученного в примере 162, указанное в заголовке соединение получали в виде твердого вещества, плавящегося при 216oC (с разложением), с количественным выходом. Спектр ЯМР (CDCl3, 270 МГц), м.д.:3,80 (2H, синглет), 5,44 (2H, синглет), 6,75 (2H, дублет, J=8,5 Гц), 7,02 (2H, дублет, J=8,5 Гц), 7,1-7,3 (2H, мультиплет), 7,3-7,4 (3H, мультиплет), 7,47 (1H, синглет), 8,0-8,1 (2H, мультиплет). Пример 164 [9-(3-Бензилоксибензил)карбазол-2-ил]ацетоморфолид Согласно процедуре и с применением относительных соотношений исходных материалов, подобных описанным в примере 156 b), но с использованием в качестве исходного материала 3-бензилоксибензилхлорида указанное в заголовке соединение получали в виде аморфного твердого вещества с выходом 79%. Пример 165 [9-(3-Бензилоксибензил)карбазол-2-ил]уксусная кислота Согласно процедуре и с применением относительных соотношений исходных материалов, подобных описанным в примере 39, но с использованием в качестве исходного материала [9-(3-бензилоксибензил)карбазол-2-ил]ацетоморфолида, полученного в примере 164, указанное в заголовке соединение получали в виде твердого вещества, плавящегося при 154-156oC, с выходом 89%. Спектр ЯМР (CDCl3, 270 МГц), м.д.:3,79 (2H, синглет), 4,91 (2H, синглет), 5,45 (2H, синглет), 6,7-6,8 (2H, мультиплет), 6,82 (1H, дублет дублетов, J=8,2, 2,0 Гц), 7,1-7,4 (10H, мультиплет), 7,41 (1H, триплет, J=7,5 Гц), 8,0-8,1 (2H, мультиплет). Пример 166 Метил-[9-(3-гидроксибензил)карбазол-2-ил]ацетат Согласно процедуре и с применением относительных соотношений исходных материалов, подобных описанным в примере 162, но с использованием в качестве исходного материала [9-(3-бензилоксибензил)карбазол-2-ил]уксусной кислоты, полученной в примере 165, указанное в заголовке соединение получали в виде масла. Пример 167 [9-(3-Гидроксибензил)карбазол-2-ил]уксусная кислота Согласно процедуре и с применением относительных соотношений исходных материалов, подобных описанным в примере 14, но с использованием в качестве исходного материала метил-[9-(3-гидроксибензил)карбазол-2-ил] ацетата, полученного в примере 166, указанное в заголовке соединение получали в виде твердого вещества, плавящегося при 186-187oC, с количественным выходом. Спектр ЯМР (CDCl3, 270 МГц), м.д.:3,79 (2H, синглет), 5,47 (2H, синглет), 6,54 (1H, синглет), 6,7-6,8 (2H, мультиплет), 7,12 (1H, триплет, J=7,8 Гц), 7,1-7,5 (5H, мультиплет), 8,0-8,1 (2H, мультиплет). Пример 168 (1-Метилтио-4-пропилкарбазол-2-ил)уксусная кислота Согласно процедуре и с применением относительных соотношений исходных материалов, подобных описанным в примере 26, но с использованием в качестве исходного материала изопропил-(1-метилтио-4-пропилкарбазол-2-ил)ацетата, полученного в примере 114, указанное в заголовке соединение получали в виде твердого вещества, плавящегося при 160-161oC, с выходом 95%. Спектр ЯМР (CDCl3, 270 МГц), м.д.:1,10 (3H, триплет, J=7,3 Гц), 1,8-1,9 (2H, мультиплет), 2,34 (3H, синглет), 3,16 (2H, триплет, J=7,7 Гц), 4,17 (2H, синглет), 7,01 (1H, синглет), 7,26 (1H, триплет, J=7,7 Гц), 7,43 (1H, триплет, J=7,7 Гц), 7,51 (1H, дублет, J=7,7 Гц), 8,05 (1H, дублет, J=7,7 Гц), 8,70 (1H, широкий синглет). Пример 169 Изопропил-[1-метилтио-9-(3-нитробензил)-4-пропилкарбазол-2-ил]ацетат Согласно процедуре и с применением относительных соотношений исходных материалов, подобных описанным в примере 4, но с использованием в качестве исходного материала изопропил-(1-метилтио-4-пропилкарбазол-2-ил)ацетата, полученного в примере 114, указанное в заголовке соединение получали в виде масла с выходом 80%. Пример 170 [1-Метилтио-9-(3-нитробензил)-4-пропилкарбазол-2-ил]уксусная кислота Согласно процедуре и с применением относительных соотношений исходных материалов, подобных описанным в примере 26, но с использованием в качестве исходного материала изопропил-[1-метилтио-9-(3-нитробензил)-4-пропилкарбазол-2-ил] ацетата, полученного в примере 169, указанное в заголовке соединение получали в виде твердого вещества, плавящегося при 150oC (с разложением), с количественным выходом. Спектр ЯМР [CDCl3 + (CD3)2СО, 270 МГц], м.д.:1,13 (3H, триплет, J=7,3 Гц), 1,18-2,0 (2H, мультиплет), 2,02 (3H, синглет), 3,21 (2H, триплет, J=7,8 Гц), 4,20 (2H, синглет), 6,42 (2H, синглет), 7,09 (1H, синглет), 7,2-7,5 (5H, мультиплет), 8,0-8,2 (3H, мультиплет). Пример 171 Изопропил-2-[1-метилтио-9-(3-нитробензил)-4-пропилкарбазол-2-ил] -3-(3-нитробензил)пропионат Согласно процедуре и с применением относительных соотношений исходных материалов, подобных описанным в примере 16, но с использованием в качестве исходных материалов изопропил-(1-метилтио-4-пропилкарбазол-2-ил)ацетата, полученного в примере 114, и 3-нитробензилхлорида указанное в заголовке соединение получали в виде масла с выходом 88%. Пример 172 2-[1-Метилтио-9-(3-нитробензил)-4-пропилкарбазол-2-ил] -3-(3-нитрофенил)пропионовая кислота Согласно процедуре и с применением относительных соотношений исходных материалов, подобных описанным в примере 26, но с использованием в качестве исходного материала изопропил-2-[1-метилтио-9-(3-нитробензил)-4-пропилкарбазол-2-ил]-3-(3-нитрофенил]пропионата, полученного в примере 171, указанное в заголовке соединение получали в виде аморфного твердого вещества с количественным выходом. Спектр ЯМР (CDCl3, 270 МГц), м.д.:1,12 (3H, триплет, J=7,4 Гц), 1,8-2,0 (2H, мультиплет), 2,00 (3H, синглет), 3,1-3,3 (3H, мультиплет), 3,56 (1H, дублет дублетов, J=13,9, 9,7 Гц), 5,38 (1H, триплет, J=7,5 Гц), 6,31 (1H, дублет, J=17,4 Гц), 6,40 (1H, дублет, J=17,4 Гц), 7,1-7,5 (7H, мультиплет), 7,18 (1H, синглет), 7,9-8,2 (5H, мультиплет). Пример 173 Изопропил-[9-(3-ацетамидбензил)-1-метилтио-4-пропилкарбазол-2-ил]ацетат Согласно процедуре и с применением относительных соотношений исходных материалов, подобных описанным в примере 158, но с использованием в качестве исходного материала изопропил-[1-метилтио-9-(3-нитробензил)-4-пропилкарбазол-2-ил] ацетата, полученного в примере 169, указанное в заголовке соединение в виде масла. Пример 174 [9-(3-Ацетамидобензил)-1-метилтио-4-пропилкарбазол-2-ил]уксусная кислота Согласно процедуре и с применением относительных соотношений исходных материалов, подобных описанным в примере 26, но с использованием в качестве исходного изопропил-[9-(3-ацетамидобензил)- 1-метилтио-4-пропилкарбазол-2-ил] ацетата, полученного в примере 173, указанное в заголовке соединение получали в виде твердого вещества, плавящегося при 130-134oC (с разложением), с количественным выходом. Спектр ЯМР (CDCl3, 270 МГц), м.д.:1,14 (3H, триплет, J=7,4 Гц), 1,8-2,0 (2H, мультиплет), 2,02 (3H, синглет), 2,07 (3H, синглет), 3,20 (2H, триплет, J=7,8 Гц), 4,20 (2H, синглет), 6,36 (2H, синглет), 6,76 (1H, дублет, J=7,3 Гц), 7,0-7,5 (6H, мультиплет), 7,60 (1H, дублет, J=8,0 Гц), 8,10 (1H, дублет, J=8,0 Гц), 8,40 (1H, широкий синглет). Пример 175 Изопропил-[1-метилтио-9-(4-нитробензил)-4-пропилкарбазол-2-ил]ацетат Согласно процедуре и с применением относительных соотношений исходных материалов, подобных описанным в примере 4, но с использованием в качестве исходных материалов изопропил-(1-метилтио-4-пропилкарбазол-2-ил)ацетата, полученного в примере 114, и 4-нитробензилбромида указанное в заголовке соединение получали в виде масла с выходом 76%. Пример 176 [1-Метилтио-9-(4-нитробензил)-4-пропилкарбазол-2-ил]уксусная кислота Согласно процедуре и с применением относительных соотношений исходных материалов, подобных описанным в примере 26, но с использованием в качестве исходного материала изопропил-[1-метилтио-9-(4-нитробензил)-4-пропилкарбазол-2-ил] ацетата, полученного в примере 175, указанное в заголовке соединение получали в виде аморфного твердого вещества с количественным выходом. Спектр ЯМР [CDCl3+(CD3)2CO, 270 МГц], м.д.:1,13 (3H, триплет, J=7,3 Гц), 1,8-2,0 (2H, мультиплет), 1,99 (3H, синглет), 3,20 (2H, дублет дублетов, J=8,8, 6,9 Гц), 4,18 (2H, синглет), 6,43 (2H, синглет), 7,08 (1H, синглет), 7,18 (2H, дублет, J=8,9 Гц), 7,2-7,4 (1H, мультиплет), 7,43 (1H, триплет, J=7,5 Гц), 8,0-8,2 (4H, мультиплет). Пример 177 Изопропил-[9-(4-ацетамидобензил)-1-метилтио-4-пропилкарбазол-2-ил]ацетат Согласно процедуре и с применением относительных соотношений исходных материалов, подобных описанным в примере 158 b), но с использованием в качестве исходного материала изопропил-[1-метилтио-9-(4-нитробензил)-4-пропилкарбазол-2-ил] ацетата, полученного в примере 175, указанное в заголовке соединение получали в виде масла. Пример 178 [9-(4-Ацетамидобензил)-1-метилтио-4-пропилкарбазол-2-ил]уксусная кислота Согласно процедуре и с применением относительных соотношений исходных материалов, подобных описанным в примере 26, но с использованием в качестве исходного материала изопропил-[9-(4-ацетамидобензил)-1-метилтио-4-пропилкарбазол-2-ил] ацетата, полученного в примере 177, указанное в заголовке соединение получали в виде твердого вещества, плавящегося при 219-221oC, с количественным выходом. Спектр ЯМР (CDCl3, 270 МГц), м.д.:1,13 (3H, триплет, J=7,3 Гц), 1,8-2,0 (2H, мультиплет), 2,12 (3H, синглет), 2,15 (3H, синглет), 3,20 (2H, триплет, J=7,8 Гц), 4,19 (2H, синглет), 6,35 (2H, синглет): 6,99 (2H, дублет, J=8,5 Гц), 7,08 (1H, синглет), 7,26 (1H, триплет, J=7,5 Гц), 7,3-7,5 (4H, мультиплет), 7,88 (1H, широкий синглет), 8,10 (1H, дублет, J=7,5 Гц). Пример 179 Трет-бутил-[9-(4-хлорбензил)-4-метил-1-метилтиoкapбaзoл-2-ил]ацетат Согласно процедуре и с применением относительных соотношений исходных материалов, подобных описанным в примере 4, но с использованием в качестве исходных материалов трет-бутил-(4-метил-1-метилтиокарбазол-2-ил)ацетата и 4-хлорбензилхлорида указанное в заголовке соединение получали в виде масла с выходом 92%. Пример 180 [9-(4-Хлорбензил)-4-метил-1-метилтиокарбазол-2-ил]уксусная кислота Согласно процедуре и с применением относительных соотношений исходных материалов, подобных описанным в примере 3, но с использованием в качестве исходного материала трет-бутил-[9-(4-хлорбензил)-4-метил-1-метилтиокарбазол-2-ил] ацетата, полученного в примере 179, указанное в заголовке соединение получали в виде твердого вещества, плавящегося при 198-199oC, с количественным выходом. Спектр ЯМР (CDCl3, 270 МГц), м.д.:1,99 (3H, синглет), 2,89 (3H, синглет), 4,19 (2H, синглет), 6,33 (2H, синглет), 6,95 (2H, дублет, J=8,4 Гц), 7,06 (1H, синглет), 7,19 (2H, дублет, J=8,4 Гц), 7,2-7,4 (2H, мультиплет), 7,43 (1H, триплет, J=7,6 Гц), 8,19 (1H, дублет, J=7,6 Гц). Пример 181 Изопропил-(9-бензил-6-метокси-4-метил-1-метилтиокарбазол-2-ил)ацетат Согласно процедуре и с применением относительных соотношений исходных материалов, подобных описанным в примере 114, но с использованием в качестве исходных материалов 5-метоксииндола и ацетальдегида указанное в заголовке соединение получали в виде масла. Пример 182 (9-Бензил-6-метокси-4-метил-1-метилтиокарбазол-2-ил)уксусная кислота Согласно процедуре и с применением относительных соотношений исходных материалов, подобных описанным в примере 26, но с использованием в качестве исходного материала изопропил-(9-бензил-6-метокси-4-метил-1-метилтиокарбазол-2-ил)ацетата, полученного в примере 181, указанное в заголовке соединение получали в виде твердого вещества, плавящегося при 205-206oC, с выходом 97oC. Спектр ЯМР (CDCl3, 270 МГц), м.д.:1,95 (3H, синглет), 2,87 (3H, синглет), 3,92 (3H, синглет), 4,18 (2H, синглет), 6,34 (2H, синглет), 7,0-7,3 (8H, мультиплет), 7,70 (1H, дублет, J=2,5 Гц) Пример 183 Изопропил-(9-бензил-5-метокси-4-метил-1-метилтиокарбазол-2-ил)ацетат Согласно процедуре и с применением относительных соотношений исходных материалов, подобных описанным в примере 114, но с использованием в качестве исходных материалов 4-метоксииндола и ацетальдегида указанное в заголовке соединение получали в виде масла. Пример 184 (9-Бензил-5-метокси-4-метил-1-метилтиокарбазол-2-ил)уксусная кислота Согласно процедуре и с применением относительных соотношений исходных материалов, подобных описанным в примере 26, но с использованием в качестве исходного материала изопропил-(9-бензил-5-метокси-4-метил-1-метилтиокарбазол-2-ил)ацетата, полученного в примере 183, указанное в заголовке соединение получали в виде твердого вещества, плавящегося при 214-216oC, с количественным выходом. Спектр ЯМР (CDCl3, 270 МГц), м.д.:1,91 (3H, синглет), 2,99 (3H, синглет), 3,99 (3H, синглет), 4,15 (2H, синглет), 6,37 (2H, синглет), 6,69 (1H, дублет, J=8,1 Гц), 6,9-7,1 (4H, мультиплет), 7,1-7,3 (3H, мультиплет), 7,32 (1H, триплет, J=8,1 Гц). Пример 185 Изопропил-(9-бензил-6-гидрокси-4-метил-1-метилтиокарбазол-2-ил)ацетат 0,48 мл 1,0 М раствора трибромида бора (0,48 ммоль) в метиленхлориде добавляли к 1 мл раствора 106 мг изопропил-(9- бензил-6-метокси-4-метил-1-метилтиокарбазол-2-ил)ацетата (0,24 ммоль), полученного в примере 181, в метиленхлориде при температуре -78oC. Реакционную смесь подогревали до 0oC и перемешивали в течение 3 часов. После этого реакционную смесь выливали в насыщенный водный раствор бикарбоната натрия и водный слой экстрагировали метиленхлоридом. Полученный органический слой промывали насыщенным водным раствором хлорида натрия, сушили над безводным сульфатом магния и затем растворитель удаляли выпариванием при пониженном давлении. Остаток подвергали колоночной хроматографии (элюент: 15% (об./об.) раствор этилацетата в гексане), получая 81 мг (79%) указанного в заголовке соединения в виде масла. Пример 186 (9-Бензил-6-гидрокси-4-метил-1-метилтиокарбазол-2-ил]уксусная кислота Согласно процедуре и с применением относительных соотношений исходных материалов, подобных описанным в примере 26, но с использованием в качестве исходного материала изопропил-(9-бензил-6-гидрокси-4-метил-1-метилтиокарбазол-2-ил)ацетат, полученный в примере 185, указанное в заголовке соединение получали в виде твердого вещества, плавящегося при 219-222oC, с выходом 94%. Спектр ЯМР (CDCl3, 270 МГц), м.д.:1,99 (3H, синглет), 2,84 (3H, синглет), 4,17 (2H, синглет), 6,35 (2H, синглет), 7,0-7,4 (9H, мультиплет), 7,69 (1H, синглет). Пример 187 Изопропил-(4-изопропил-1-метилтиокарбазол-2-ил)ацетат Согласно процедуре и с применением относительных соотношений исходных материалов, подобных описанным в примере 114, но с использованием в качестве исходного материала изобутиральдегида указанное в заголовке соединение получали в виде масла. Пример 188 (4-изопропил-1-метилтиокарбазол-2-ил)уксусная кислота Согласно процедуре и с применением относительных соотношений исходных материалов, подобных описанным в примере 26, но с использованием в качестве исходного материала изопропил-(4-изопропил-1-метилтиокарбазол-2-ил)ацетата, полученного в примере 187, указанное в заголовке соединение получали в виде твердого вещества, плавящегося при 171-173oC, с количественным выходом. Спектр ЯМР (CDCl3, 270 МГц), м.д.:1,47 (6H, дублет, J=6,8 Гц); 7,25 (1H, триплет, J=7,7 Гц), 2,35 (3H, синглет), 7,43 (1H, триплет, J=7,7 Гц), 3,91 (1H, септет, J=6,8 Гц), 7,51 (1H, дублет, J=7,7 Гц), 4,19 (2H, синглет), 8,14 (1H, дублет, J=7,7 Гц), 7,11 (1H, синглет), 8,72 (1H, широкий синглет). Пример 189 Изопропил(9-бензил-4-изопропил-1-метилтиокарбазол-2-ил)ацетат Согласно процедуре и с применением относительных соотношений исходных материалов, подобных описанным в примере 4, но с использованием в качестве исходного материала изопропил-(4-изопропил-1-метилтиокарбазол-2-ил)ацетат, полученный в примере 87, получали названное соединение в виде масла с выходом 83%. Пример 190 Изопропил-(9-бензил-4-изопропил-1-метилтиокарбазол-2-ил)ацетат Согласно процедуре и с применением относительных соотношений исходных материалов, подобных описанным в примере 26, но с использованием в качестве исходного материала изопропил-(9-бензил-4-изопропил-1-метилтиокарбазол-2-ил)ацетата, полученного в примере 189, указанное в заголовке соединение получали в виде твердого вещества, плавящегося при 170-171oC, количественным выходом. Спектр ЯМР (CDCl3, 270 МГц), м.д.:1,49 (6H, дублет, J=6,8 Гц), 6,39 (2H, синглет), 1,94 (3H, синглет), 7,0-7,1 (2H, мультиплет), 4,00 (1H, септет, J=6,8 Гц), 7,1-7,5 (7H, мультиплет), 4,22 (2H, синглет), 8,21 (1H, дублет, J=7,9 Гц). Пример 191 3-(1-Бензилиндол-3-ил)пропионовая кислота 8 мл раствора 1,00 г индол-3-ил-пропионовой кислоты в диметилформамиде добавляли постепенно к 4 мл суспензии 460 мг (10,6 ммоль) гидрида натрия (55% (масса/объем) дисперсии в минеральном масле) в диметилформамиде при температуре -5oC и полученную смесь перемешивали в течение 30 минут при этой температуре. После этого 1,8 г (10,6 ммоль) бензилбромида добавляли к смеси, которую затем нагревали до комнатной температуры, перемешивали в течение 10 минут, выливали в ледяную воду и подкисляли 1 н. водным раствором хлористого водорода. Полученный водный слой экстрагировали метиленхлоридом и экстракт сушили над безводным сульфатом магния и затем растворитель удаляли выпариванием при пониженном давлении. Остаток перекристаллизовывали из смеси 1:1 (об./об.) этилацетата и гексана, получая 1,15 г (79%) указанного в заголовке соединения, плавящегося при 121-122oC. Пример 192 (1-Бензилиндол-3-ил)тиоацетоморфолид Согласно процедуре и с применением относительных соотношений исходных материалов, подобных описанным в примерах 4 и 90, но с использованием в качестве исходного материала 3-ацетилиндола указанное в заголовке соединение получали в виде масла. Пример 193 (1-Бензилиндол-3-ил)уксусная кислота Согласно процедуре и с применением относительных соотношений исходных материалов, подобных описанным в примере 39, но с использованием в качестве исходного материала (1-бензилиндол-3-ил)тиоацетоморфолид, полученный в примере 192, указанное в заголовке соединение получали в виде твердого вещества, плавящегося при 155-156oC, с выходом 76%. Спектр ЯМР (CDCl3, 270 МГц), м.д.:3,82 (2H, синглет), 5,30 (2H, синглет), 7,11-7,67 (10H, мультиплет). Пример 194 Метил-(1-бензил-3-формилиндол-6-ил)ацетат a) Метил-(1-бензилиндол-6-ил)ацетат Согласно процедуре и с применением относительных соотношений исходных материалов, подобных описанным в примере 1a), но с использованием в качестве исходного материала (1-бензилиндол-6-ил)уксусной кислоты, полученной в примере 67, указанное в заголовке соединение получали в виде масла с выходом 98%. b) Метил-(1-бензил-3-формалиндол-6-ил)ацетат 18 мг (0,12 ммоль) фосфорилоксихлорида добавляли постепенно к 4 мл раствора 25 мг (0,09 ммоль) метил-(1-бензилиндол-6-ил)ацетата, полученного в а) выше, в диметилформамиде при комнатной температуре и полученную смесь перемешивали в течение 30 минут. После этого гидроксид натрия добавляли к смеси, которую затем перемешивали в течение 30 минут. Водный слой экстрагировали метиленхлоридом и экстракт промывали насыщенным водным раствором хлорида натрия, сушили над безводным сульфатом магния и затем растворитель удаляли выпариванием при пониженном давлении. Остаток подвергали колоночной хроматографии (элюент: 25% (об./об.) раствор этилацетата в гексане), получая 23 мг (83%) указанного в заголовке соединения в виде масла. Пример 195 (1-Бензил-3-формилиндол-6-ил)уксусная кислота Согласно процедуре и с применением относительных соотношений исходных материалов, подобных описанным в примере 14, но с использованием в качестве исходного материала метил-(1-бензил-3-формилиндол-6-ил) ацетата, полученного в примере 194, указанное в заголовке соединение получали в виде твердого вещества, плавящегося при 162-163oC, с выходом 92%. Спектр ЯМР (CDCl3, 270 МГц), м.д.:3,74 (2H, синглет), 5,33 (2H, синглет), 7,17-8,28 (9H, мультиплет), 9,96 (1H, синглет). Пример 196 Метил-(3-бензоил-1-бензилиндол-6-ил)ацетат Согласно процедуре и с применением относительных соотношений исходных материалов, подобных описанным в примере 194 b), но с использованием в качестве исходного материала N,N-диметилбензамида указанное в заголовке соединение получали в виде масла с выходом 70%. Пример 197 (3-Бензоил-1-бензилиндол-6-ил)уксусная кислота Согласно процедуре и с применением относительных соотношений исходных материалов, подобных описанным в примере 14, но с использованием в качестве исходного материала метил-(3-бензоил-1-бензилиндол-6-ил)ацетата, полученного в примере 196, указанное в заголовке соединение получали в виде твердого вещества, плавящегося при 195-196oC, с выходом 90%. Спектр ЯМР (CDCl3, 270 МГц), м.д.:3,75 (2H, синглет), 5,35 (2H, синглет), 7,24-8,39 (1H, мультиплет). Пример 198 Метил-(3-ацетил-1-бензилиндол-6-ил)ацетат Согласно процедуре и с применением относительных соотношений исходных материалов, подобных описанным в примере 194 b), но с использованием в качестве исходного материала N,N-диметилацетамида указанное в заголовке соединение получали в виде масла с выходом 75%. Пример 199 (3-Ацетил-1-бензилиндол-6-ил)уксусная кислота Согласно процедуре и с применением относительных соотношений исходных материалов, подобных описанным в примере 14, но с использованием в качестве исходного материала метил-(3-ацетил-1-бензилиндол-6-ил)ацетата, полученного в примере 198, указанное в заголовке соединение получали в виде твердого вещества, плавящегося при 211-212oC, с выходом 88%. Спектр ЯМР (CDCl3, 270 МГц), м.д.:2,50 (3H, синглет), 3,73 (2H, синглет), 5,33 (2H, синглет), 7,14-7,35 (7H, мультиплет), 7,72 (1H, синглет), 8,34 (1H, дублет, J=8,0 Гц). Пример 200 (9-Бензил-1-метилсульфинил-4-метилкарбазол-2-ил)уксусная кислота Согласно процедуре и с применением относительных соотношений исходных материалов, подобных описанным в примере 26, но с использованием в качестве исходного материала изопропил-(9-бензил-1-метансульфинил-4-метилкарбазол-2-ил)ацетата, полученного в примере 215 ниже, указанное в заголовке соединение получали в виде твердого вещества, плавящегося при 210oC, с выходом 96%. Спектр ЯМР (d6-DMSO, 270 МГц), м.д.:2,74 (3H, синглет), 2,83 (3H, синглет), 3,94 (1H, дублет, J=16,0 Гц), 4,30 (1H, дублет, J=16,0 Гц), 6,18 (2H, синглет), 6,86 (2H, дублет, J=7,26 Гц), 7,01 (1H, синглет), 7,17-7,53 (6H, мультиплет), 8,20 (1H, дублет, J=7,88 Гц). Пример 201 Изопропил-(9-бензил-1-метилсульфонил-4-метилкарбазол-2-ил)ацетат 44 мг (0,25 ммоль) м-хлорпербензойной кислоты добавляли к 6 мл раствора 100 мг (0,23 ммоль) изопропил-(9-бензил-1-метилсульфинил-4-метилкарбазол-2-ил)ацетата, полученного в примере 215, представленном ниже, в метиленхлориде при комнатной температуре и смесь перемешивали в течение 30 минут. После этого насыщенный водный раствор бикарбоната натрия добавляли к смеси, водный слой экстрагировали метиленхлоридом, экстракт сушили над безводным сульфатом магния и затем растворитель удаляли выпариванием при пониженном давлении. Остаток подвергали колоночной хроматографии (элюент: 50 (об./об.) раствор этилацетата в гексане), получая 90 мг (87%) указанного в заголовке соединения в виде аморфного твердого вещества. Пример 202 (9-Бензил-1-метилсульфонил-4-метилкарбазол-2-ил)уксусная кислота Согласно процедуре и с применением относительных соотношений исходных материалов, подобных описанным в примере 26, но с использованием в качестве исходного материала изопропил-(9-бензил-1-метансульфонил-4-метилкарбазол-2-ил)ацетата, полученного в примере 201, указанное в заголовке соединение получали в виде твердого вещества, плавящегося при 167-168oC, с выходом 95%. Спектр ЯМР (CDCl3, 270 МГц), м.д.:2,94 (3H, синглет), 3,06 (3H, синглет), 4,31 (2H, синглет), 6,25 (2H, синглет), 6,77 (2H, дублет, J=7,7 Гц), 7,03 (1H, синглет), 7,14-7,46 (6H, мультиплет), 8,20 (1H, дублет, J=7,7 Гц). Пример 203 Изопропил-(4,9-метил-1-метилсульфинилкарбазол-2-ил)ацетат a) Изопропил-(4,9-диметил-1-метилтиокарбазол-2-ил)ацетат Согласно процедуре и с применением относительных соотношений исходных материалов, подобных описанным в примере 4, но с использованием в качестве исходных материалов изопропил-(4-метил-1-метилтиокарбазол-2-ил)ацетата и метилиодида указанное в заголовке соединение получали в виде масла с выходом 80%. b) Изопропил-(4,9-диметил-1-метилсульфинилкарбазол-2-ил)ацетат Согласно процедуре и с применением относительных соотношений исходных материалов, подобных описанным в примере 215 ниже, но с использованным в качестве исходного материала изопропил-(4,9-диметил-1-метилтиокарбазол-2-ил)ацетата, полученного в a) выше, указанное в заголовке соединение получали в виде масла с выходом 89%. Пример 204 (4,9-Диметил-1-метилсульфинилкарбазол-2-ил)уксусная кислота Согласно процедуре и с применением относительных соотношений исходных материалов, подобных описанным в примере 26, но с использованием в качестве исходного материала изопропил-(4,9-диметил-1-метилсульфинилкарбазол-2-ил)ацетата, полученного в примере 203, указанное в заголовке соединение получали в виде твердого вещества, плавящегося при 219-220oC. Выход 84%. Спектр ЯМР (d6-DMSO, 270 МГц), м.д.:2,79 (3H, синглет), 3,13 (3H, синглет), 3,85 (2H, широкий синглет), 4,41 (3H, синглет), 6,89 (1H, синглет), 7,28 (1H, триплет, J=7,4 Гц), 7,51 (1H, триплет, J=7,4 Гц), 7,63 (1H, дублет, J=7,8 Гц), 8,14 (1H, дублет, J=7,8 Гц). Пример 205 Изопропил-(1-бензилтио-4,9-диметилкарбазол-2-ил)ацетат Согласно процедуре и с применением относительных соотношений исходных материалов, подобных описанным в примере 216 ниже, но с использованием в качестве исходного материала изопропил-(4,9-диметил-1-метилсульфинилкарбазол-2-ил)ацетата, полученного в примере 203, указанное в заголовке соединение получали в виде масла с выходом 72%. Пример 206 (1-Бензилтио-4,9-диметилкарбазол-2-ил)уксусная кислота Согласно процедуре и с применением относительных соотношений исходных материалов, подобных описанным в примере 26, но с использованием в качестве исходного материала изопропил-(1-бензилтио-4,9-диметилкарбазол-2-ил)ацетата, полученного в примере 205, указанное в заголовке соединение получали в виде твердого вещества, плавящегося при 187-188oC, с выходом 82%. Спектр ЯМР (CDCl3, 270 МГц), м.д.:2,85 (3H, синглет), 3,83 (2H, синглет), 3,90 (2H, синглет), 4,32 (3H, синглет), 6,93-7,57 (9H, мультиплет), 8,16 (1H, дублет, J=7,9 Гц). Пример 207 Изопропил-(4,9-диметил-1-изопропилтиокарбазол-2-ил)ацетат Согласно процедуре и с применением относительных соотношений исходных материалов, подобных описанным в примере 216 ниже, но с использованием в качестве исходного материала изопропил-(4,9-диметил-1-метилсульфинилкарбазол-2-ил)ацетата, полученного в примере 203, указанное в заголовке соединение получали в виде масла с выходом 65%. Пример 208 (4,9-Диметил-1-изопропилтиокарбазол-2-ил)уксусная кислота Согласно процедуре и с применением относительных соотношений исходных материалов, подобных описанным в примере 26, но с использованием в качестве исходного материала изопропил-(4,9-диметил-1-изопропилтиокарбазол-2-ил)ацетата, полученного в примере 207, указанное в заголовке соединение получали в виде твердого вещества, плавящегося при 205-206oC, с выходом 90%. Спектр ЯМР (CDCl3, 270 МГц), м.д.:1,17 (6H, дублет, J=6,73 Гц), 2,85 (3H, синглет), 3,06 (1H, гептет, J=6,7 Гц), 4,23 (2H, широкий синглет), 4,41 (3H, синглет), 7,01 (1H, синглет), 7,25-7,54 (3H, мультиплет), 8,15 (1H, дублет, J=7,8 Гц). Пример 209 Изопропил-(4,9-диметил-1-пропилтиокарбазол-2-ил)ацетат Согласно процедуре и с применением относительных соотношений исходных материалов, подобных описанным в примере 216 ниже, но с использованием в качестве исходных материалов изопропил-(4,9-диметил-1-метилсульфинилкарбазол-2-ил)ацетата, полученного в примере 203, и пропилиодида указанное в заголовке соединение получали в виде масла с выходом 69%. Пример 210 (4,9-Диметил-1-пропилтиокарбазол-2-ил)уксусная кислота Согласно процедуре и с применением относительных соотношений исходных материалов, подобных описанным в примере 26, но с использованием в качестве исходного материала изопропил-(4,9-диметил-1-пропилтиокарбазол-2-ил)ацетата, полученного в примере 209, указанное в заголовке соединение получали в виде твердого вещества, плавящегося при 187-188oC, с выходом 84%. Спектр ЯМР (CDCl3, 270 МГц), м.д.:0,94 (3H, триплет, J=7,3 Гц), 1,56 (2H, секстет, J=7,4 Гц), 2,66 (2H, триплет, J=7,54 Гц), 2,85 (3H, синглет), 4,22 (2H, синглет), 4,44 (2H, синглет), 7,00 (1H, синглет), 7,24-7,47 (3H, мультиплет), 8,15 (1H, дублет, J =7,9 Гц). Пример 211 Трет-бутил-[4-метил-1-метилтио-9-(2-фенетил)-карбазол-2-ил]ацетат Согласно процедуре и с применением относительных соотношений исходных материалов, подобных описанным в примере 4, но с использованием в качестве исходных материалов трет-бутил-(4-метил-1-метилтиокарбазол-2-ил)ацетата и 2-фенилбромида указанное в заголовке соединение получали в виде масла с выходом 77%. Пример 212 [4-Метил-1-метилтио-9-(2-фенетил)-карбазол-2-ил]уксусная кислота Согласно процедуре и с применением относительных соотношений исходных материалов, подобных описанным в примере 3, но с использованием в качестве исходного материала трет-бутил-[4-метил-1-метилтио-9-(2-фенетил)карбазол-2-ил] ацетата, полученного в примере 211, указанное в заголовке соединение получали в виде твердого вещества, плавящегося при 181-182oC, с количественным выходом. Спектр ЯМР (CDCl3, 270 МГц), м.д.:2,29 (3H, синглет), 2,86 (3H, синглет), 3,04 (2H, триплет, J=8,1 Гц), 4,25 (2H, синглет), 5,17 (2H, триплет, J=8,1 Гц), 7,04 (1H, синглет), 7,25-7,36 (6H, мультиплет), 7,51 (2H, дублет, J=3,3 Гц), 8,17 (1H, дублет, J=7,9 Гц). Пример 213 Трет-бутил-[4-метил-1-метилтио-9-(3-фенилпропил)карбазол-2-ил]ацетат Согласно процедуре и с применением относительных соотношений исходных материалов, подобных описанным в примере 4, но с использованием в качестве исходных материалов трет-бутил-(4-метил-1-метилтиокарбазол-2-ил)ацетата и 3-фенилпропилбромида указанное в заголовке соединение получали в виде масла с выходом 74%. Пример 214 [4-Метил-1-метилтио-9-(3-фенилпропил)карбазол-2-ил]уксусная кислота Согласно процедуре и с применением относительных соотношений исходных материалов, подобных описанным в примере 3, но с использованием в качестве исходного материала трет-бутил-[4-метил-1-метилтио-9-(3-фенилпропил)карбазол-2-ил] ацетата, полученного в примере 213, указанное в заголовке соединение получали в виде твердого вещества, плавящегося при 155-156oC количественным выходом. Спектр ЯМР (CDCl3, 270 МГц), м.д.:2,13 (2H, триплет, J=7,6 Гц), 2,2 (3H, синглет), 2,73 (2H, триплет, J=7,6 Гц), 2,84 (3H, синглет), 4,22 (2H, синглет), 4,94 (2H, триплет, J=7,6 Гц), 7,00 (1H, синглет), 7,17-7,48 (8H, мультиплет), 8,14 (1H, дублет, J=7,8 Гц). Пример 215 Изопропил-(9-бензил-4-метил-1-метилсульфинилкарбазол-2-ил)ацетат 750 мг 80% (об./об.) м-хлорпербензойной кислоты в воде добавляли постепенно к 40 мл раствора изопропил-(9-бензил-1-метилтио-4-метилкарбазол-2-ил)ацетата (1,00 г), полученного по способу, сходному с описанным для соединения в примере 115, в метиленхлориде и реакционную смесь перемешивали в течение 1 часа с охлаждением на льду. После этого реакционную смесь разбавляли избытком этилацетата и промывали насыщенным водным раствором бикарбоната натрия. Полученный органический слой сушили над безводным сульфатом натрия и затем растворитель удаляли выпариванием при пониженном давлении. Остаток подвергали колоночной хроматографии (элюент: 50-60% (об./об.) раствор этилацетата в гексане), получая 719 мг указанного в заголовке соединения в виде твердого вещества. Спектр ЯМР (CDCl3, 270 МГц), м.д.:1,23 (3H, дублет, J=6,6 Гц), 1,27 (3H, дублет, J=6,6 Гц), 2,51 (3H, синглет), 2,91 (3H, синглет), 4,18 (1H, дублет, J=16,7 Гц), 4,70 (1H, широкий синглет), 5,03 (1H, мультиплет), 6,06 (2H, широкий синглет), 6,90-7,50 (9H, мультиплет), 8,22 (1H, дублет, J=7,8 Гц). Пример 216 Изопропил-(9-бензил-4-метил-1-н-пропилтиокарбазол-2-ил)ацетат 0,1 мл безводной трифторуксусной кислоты добавляли к 5 мл раствора 100 мг изопропил-(9-бензил-4-метил-1-метилсульфинилкарбазол-2-ил)ацетата, полученного в примере 215, в метиленхлориде и реакционную смесь кипятили с обратным холодильником в течение 30 минут. Затем растворитель удаляли выпариванием при пониженном давлении и остаток растворяли в 2 мл метиленхлорида. 0,5 мл н-пропилиодида, 1 мл триэтиламина и 1 мл метанола одновременно добавляли к полученному раствору при комнатной температуре и реакционную смесь перемешивали в течение 30 минут. После этого реакционную смесь разбавляли избытком этилацетата и промывали разбавленным водным раствором хлористого водорода, насыщенным водным раствором бикарбоната натрия и насыщенным водным раствором хлорида натрия, в этой последовательности. Полученный органический слой сушили над безводным сульфатом натрия и затем растворитель удаляли выпариванием при пониженном давлении. Остаток подвергали колоночной хроматографии (элюент: 4-6% (об./об.) раствор этилацетата в гексане), получая 86 мг указанного в заголовке соединения в виде твердого вещества. Спектр ЯМР (CDCl3, 270 МГц), м.д.:0,78 (3H, триплет, J=7,4 Гц), 1,22 (6H, дублет, J=6,6 Гц), 1,33 (2H, мультиплет), 2,38 (2H, триплет, J=7,4 Гц), 2,89 (3H, синглет), 4,12 (2H, синглет), 5,04 (1H, мультиплет), 6,42 (2H, синглет), 6,95-7,45 (9H, мультиплет), 8,19 (1H, дублет, J=7,8 Гц). Пример 217 (9-Бензил-4-метил-1-н-пропилтиокарбазол-2-ил)уксусная кислота Согласно процедуре и с применением относительных соотношений исходных материалов, подобных описанным в примере 26, но с использованием в качестве исходного материала 96 мг изопропил-(9-бензил-1-н-пропилтио-4-метилкарбазол-2-ил)ацетата, полученного в примере 216, 64 мг указанного в заголовке соединения получали в виде твердого вещества, плавящегося при 190-193oC. Спектр ЯМР (CDCl3, 270 МГц) м.д.:0,81 (3H, триплет, J=7,4 Гц), 1,38 (2H, мультиплет), 2,41 (2H, триплет, J=7,4 Гц), 2,94 (3H, синглет), 4,25 (2H, синглет), 6,46 (2H, синглет), 7,00-7,50 (9H, мультиплет), 8,24 (1H, дублет, J=7,8 Гц). Пример 218 (9-Бензил-4-метил-1-изопропилтиокарбазол-2-ил)уксусная кислота Согласно процедуре и с применением относительных соотношений исходных материалов, подобных описанным в примерах 216 и 217, но с использованием в качестве исходного материала изопропилиодида указанное в заголовке соединение получали в виде твердого вещества, плавящегося при 207-210oC. Спектр ЯМР (CDCl3, 270 МГц), м.д.:0,99 (6H, дублет, J=6,6 Гц), 2,89 (3H, синглет), 2,90 (1H, мультиплет), 4,23 (2H, синглет), 6,41 (2H, синглет), 7,00-7,45 (9H, мультиплет), 8,28 (1H, дублет, J=7,8 Гц). Пример 219 Метил-(9-бензил-1-гидрокси-4-метилкарбазол-2-ил)ацетат a) 10-Бензил-5-метил-2,3-дигидрофуро[2,3-a]карбазол-2-он Согласно процедуре и с применением относительных соотношений исходных материалов, подобных описанным в примере 4, но с использованием 5-метил-2,3-дигидрофуро[2,3-a] карбазол-2-она, полученного как описано Y.Oikawa, M. Tanaka, H. Hirasawa and O.Yonemitsu in Chem. Pharm. Byll., 29, 1606 (1982), указанное в заголовке соединение получали в виде аморфного твердого вещества с выходом 88%. b) Метил-(9-бензил-1-гидрокси-4-метилкарбазол-2-ил)ацетат 0,5 мл 1 М метанольного раствора метоксида натрия добавляли к 5 мл метанольного раствора 10-бензил-5-метил-2,3-дигидрофуро-[2,3-a] карбазол-2-она (80 мг), полученного в примере 219 a) выше, с охлаждением льдом и реакционную смесь перемешивали в течение 30 минут при комнатной температуре. После этого реакционную смесь разбавляли избытком водного раствора хлорида аммония и затем экстрагировали этилацетатом. Полученный органический слой промывали водой, сушили над безводным сульфатом натрия и затем растворитель удаляли выпариванием при пониженном давлении. Остаток подвергали колоночной хроматографии (элюент: 15-20% (об./об.) раствор этилацетата в гексане), получая 83 мг указанного в заголовке соединения в виде твердого вещества. Спектр ЯМР (CDCl3, 270 МГц), м.д.:2,80 (3H, синглет), 3,75 (3H, синглет), 3,82 (2H, синглет), 6,00 (2H, синглет), 6,72 (1H, синглет), 7,10-7,50 (8H, мультиплет), 8,09 (1H, синглет), 8,16 (1H, дублет, J=7,8 Гц). Пример 220 Метил-(9-бензил-1-метокси-4-метилкарбазол-2-ил)ацетат 120 мг безводного карбоната калия и 0,14 мл метилиодида добавляли к 4 мл раствора 80 мг метил-(9-бензил-1-гидрокси-4-метилкарбазол-2-ил)ацетата, полученного в примере 219, в диметилформамиде при комнатной температуре и реакционную смесь перемешивали в течение 1 часа. После этого реакционную смесь разбавляли избытком этилацетата и затем промывали насыщенным водным раствором хлорида натрия. Полученный органический слой сушили над безводным сульфатом натрия и затем растворитель удаляли выпариванием при пониженном давлении. Остаток подвергали колоночной хроматографии (элюент: 15-20% (об. /об) раствор этилацетата в гексане), получая 84 мг указанного в заголовке соединения в виде твердого вещества. Спектр ЯМР (CDCl3, 270 МГц), м.д.:2,84 (3H, синглет), 3,62 (3H, синглет), 3,71 (3H, синглет), 3,82 (2H, синглет), 5,88 (2H, синглет), 6,91 (1H, синглет), 7,05-7,45 (8H, мультиплет), 8,17 (1H, дублет, J=7,8 Гц). Пример 221 (9-Бензил-1-метокси-4-метилкарбазол-2-ил)уксусная кислота Согласно процедуре и с применением относительных соотношений исходных материалов, подобных описанным в примере 26, но с использованием 80 мг метил-(9-бензил-1-метокси-4-метилкарбазол-2-ил)ацетата, полученного в примере 220, 61 мг указанного в заголовке соединения получали в виде твердого вещества, плавящегося при 200-202oC. Спектр ЯМР (CDCl3, 270 МГц), м.д.:2,84 (3H, синглет), 3,63 (3H, синглет), 3,85 (2H, синглет), 5,87 (2H, синглет), 6,91 (1H, синглет), 7,05-7,45 (8H, мультиплет), 8,17 (1H, дублет, J=7,8 Гц). Пример 222 [9-(4-Метоксикарбонилбензил)-1-метилкарбазол-2-ил]уксусная кислота a) Метил-[9-(4-метоксикарбонилбензил)-1-метилкарбазол-2-ил]ацетат Согласно процедуре и с применением относительных соотношений исходных материалов, подобных описанным в примере 4, но с использованием в качестве исходных материалов метил-(1-метилкарбазол-2-ил)ацетата и 4-метоксикарбонилбензилбромида указанное в заголовке соединение получали в виде масла. b) [9-(4-Метоксикарбонилбензил)-1-метилкарбазол-2-ил]уксусная кислота Согласно процедуре и с применением относительных соотношений исходных материалов, подобных описанным в примере 14, но с использованием в качестве исходного материала метил-[9-(метоксикарбонилбензил)-1-метилкарбазол-2-ил] ацетата, полученного в a) выше, указанное в заголовке соединение получали в виде твердого вещества, плавящегося при 200-202oC. Спектр ЯМР (CDCl3, 270 МГц), м.д.:2,50 (3H, синглет), 3,83 (2H, синглет), 3,88 (3H, синглет), 5,77 (2H, синглет), 7,10-7,45 (7H, мультиплет), 7,98 (2H, дублет, J=8,0 Гц), 8,10 (1H, дублет, J=8,2 Гц). Пример 223 [9-(4-Карбоксилбензил)-1-метилкарбазол-2-ил]уксусная кислота Согласно процедуре и с применением относительных соотношений исходных материалов, подобных описанным в примере 26, но с использованием в качестве исходного материала [9-(4-метоксикарбонилбензил)-1-метилкарбазол-2-ил]уксусной кислоты, полученной в примере 222, указанное в заголовке соединение получали в виде твердого вещества, плавящегося при 220-225oC (с разложением). Спектр ЯМР (CDCl3 + тетрадейтерированный метанол, 270 МГц), м.д.:2,52 (3H, синглет), 3,82 (2H, синглет), 5,80 (2H, синглет), 7,10-7,50 (7H, мультиплет), 7,93 (2H, дублет, J=8,0 Гц), 8,10 (1H, дублет, J=8,2 Гц). Пример 224 [9-(4-Карбамоилбензил)-1-метилкарбазол-2-ил]уксусная кислота [9-(4-Метоксикарбонилбензил)-1-метилкарбазол-2-ил] уксусную кислоту, полученную в примере 222, обрабатывали раствором аммиака в метаноле при комнатной температуре, получая указанное в заголовке соединение в виде твердого вещества, плавящегося при 255-260oC (с разложением). Спектр ЯМР (CDCl3 + тетрадейтерированный метанол, 270 МГц), м.д.:2,50 (3H, синглет), 3,86 (2H, синглет), 5,78 (2H, синглет), 7,10-7,40 (7H, мультиплет), 7,92 (2H, дублет, J=8,0 Гц), 8,06 (1H, дублет, 3=8,2 Гц). Пример 225 Метил-(1-бензилиндол-6-ил)акрилат Согласно процедуре и с применением относительных соотношений исходных материалов, подобных описанным в примерах 35 и 4, но с использованием индол-6-илкарбальдегида указанное в заголовке соединение получали в виде маслянистого вещества. Спектр ЯМР (CDCl3, 270 МГц), м.д.:3,79 (3H, синглет), 5,33 (2H, синглет), 6,40 (1H, дублет, J=18,0 Гц), 6,58 (1H, дублет, J=3,2 Гц), 7,10-7,40 (8H, мультиплет), 7,61 (1H, дублет, J=8,0 Гц), 7,88 (1H, дублет, J=18,0 Гц). Пример 226 (1-Бензилиндол-6-ил)акриловая кислота Согласно процедуре и с применением относительных соотношений исходных материалов, подобных описанным в примере 26, но с использованием метил-(1-бензилиндол-6-ил)акрилата, полученного в примере 225, указанное в заголовке соединение получали в виде твердого вещества, плавящегося при 202-204oC. Спектр ЯМР (CDCl3, 270 МГц), м.д.:5,33 (2H, синглет), 6,40 (1H, дублет, J=18,0 Гц), 6,57 (1H, дублет, J=3,2 Гц), 7,10-7,50 (9H, мультиплет), 7,86 (1H, дублет, J=18,0 Гц). Пример 227 (1-Бензилиндол-6-ил)пропионовая кислота Согласно процедуре и с применением относительных соотношений исходных материалов, подобных описанным в примерах 36 и 26, но с использованием метил-(1-бензилиндол-6-ил)акрилата, полученного в примере 225, указанное в заголовке соединение получали в виде твердого вещества, плавящегося при 104-106oC. Спектр ЯМР (CDCl3, 270 МГц), м.д.:2,68 (2H, триплет, J=8,0 Гц), 3,02 (2H, триплет, J=8,0 Гц), 5,31 (2H, синглет), 6,50 (2H, дублет, J=3,2 Гц), 6,89 (1H, дублет, J=8,4 Гц), 7,10-7,40 (7H, мультиплет), 7,58 (1H, дублет, J=8,4 Гц). Пример 228 N-(9-Бензил-4-метил-1-метилтиокарбазол-2-илацетил)метилсульфонамид 74,6 мг (0,26 ммоль) карбонилдиимидазола добавляли к 1 мл раствора 50 мг (0,13 ммоль) (9-бензил-4-метил-1-метилтиокарбазол-2-ил)уксусной кислоты, полученной в примере 14, в тетрагидрофуране и реакционную смесь перемешивали в течение 1 часа при комнатной температуре. После этого 43,8 мг (0,26 ммоль) метансульфонамида и 70,0 мг (0,26 ммоль) 1,8-диазобицикло[5,4,0]ундец-7-ена добавляли к смеси, которую затем перемешивали в течение ночи при комнатной температуре и затем кипятили с обратным холодильником в течение 2 часов. После этого избыток воды добавляли к смеси и полученный водный слой экстрагировали этилацетатом. Экстрагированный органический слой сначала промывали водой и затем насыщенным водным раствором хлорида натрия, сушили над безводным сульфатом натрия и затем растворители удаляли выпариванием при пониженном давлении. Остаток подвергали колоночной хроматографии (элюент: 50% (об./об.) раствор этилацетата в гексане), получая 48 мг (80%) указанного в заголовке соединения. Спектр ЯМР (CDCl3, 270 МГц), м.д.:1,93 (3H, синглет), 2,91 (3H, синглет), 3,22 (3H, синглет), 4,10 (2H, синглет), 6,35 (2H, синглет), 6,97-7,53 (9H, мультиплет), 8,00 (1H, синглет), 8,22 (1H, дублет, J=7,9 Гц). Пример 229 {9-[2-(3-Хлорфенил)этил]-4-метил-1-метилтиокарбазол-2-ил}уксусная кислота a) Трет-бутил-{9-[2-(3-хлорфенил)этил]-4-метил-1-метилтиокарбазол-2-ил} ацетат Согласно процедуре и с применением относительных соотношений исходных материалов, подобных описанным в примере 4, но с использованием в качестве исходных материалов трет-бутил-(4-метил-1-метилтиокарбазол-2-ил)ацетата и 2-(3-хлорфенил)этилбромида указанное в заголовке соединение получали в виде масла с выходом 73%. b) { 9-[2-(3-Хлорфенил)этил-1-4-метил-1-метилтиокарбазол-2-ил} уксусная кислота Согласно процедуре и с применением относительных соотношений исходных материалов, подобных описанным в примере 3, но с использованием в качестве исходного материала трет-бутил-{ 9-[2- (3-хлорфенил)этил]-4-метил-1-метилтиокарбазол-2-ил}ацетата, полученного в a), указанное в заголовке соединение получали в виде твердого вещества, плавящегося при 171-178oC. Спектр ЯМР (CDCl3, 270 МГц), м.д.:2,29 (3H, синглет), 2,86 (3H, синглет), 2,95-3,05 (2H, мультиплет), 4,24 (2H, синглет), 5,10-5,20 (2H, мультиплет), 7,05 (1H, синглет), 7,13-7,53 (7H, мультиплет), 8,17 (1H, дублет, J=7,9 Гц). Пример 230 (1-Метилтио-4-трифторметилкарбазол-2-ил)уксусная кислота a) Диэтил-1-(индол-3-ил)-2,2,2-трифторэтилмалонат 400 мг (17,4 ммоль) натрия добавляли к 10 мл раствора 2,23 г (13,9 ммоль) диэтилмалоната в толуоле под током газообразного азота и реакционную смесь кипятили с обратным холодильником в течение 2 часов. После этого реакционную смесь охлаждали до комнатной температуры и 6 мл раствора в толуоле 1,00 г (4,6 ммоль) 1-(индол-3-ил)-2,2,2-трифторэтанола добавляли к смеси. Полученную смесь кипятили с обратным холодильником в течение 30 минут. После этого смесь добавляли к 100 мл этанола, подкисляли разбавленным водным раствором хлористого водорода и растворитель удаляли выпариванием при пониженном давлении. Полученный водный слой экстрагировали этилацетатом и экстрагированный органический слой промывали насыщенным водным раствором хлорида натрия, сушили над безводным сульфатом натрия и растворитель удаляли выпариванием при пониженном давлении. Остаток подвергали колоночной хроматографии (элюент: 20% (об. /об.) раствор этилацетата в гексане), получая 1,49 г (91%) указанного в заголовке соединения. b) 3-(Индол-3-ил)-4,4,4-трифтормасляная кислота Согласно процедуре и с применением относительных соотношений исходных материалов, подобных описанным в примерах 109 и 110, но с использованием в качестве исходного материала диэтил-1-(индол-3-ил)-2,2,2-трифторэтилмалонат, полученный в a) выше, указанное в заголовке соединение получали в виде аморфного твердого вещества. c) Изопропил-(1-метилтио-4-трифторметилкарбазол-2-ил)ацетат Согласно процедуре и с применением относительных соотношений исходных материалов, подобных описанным в примерах 1 и 2, но с использованием в качестве исходного материала 3-(индол-3-ил)-4,4,4-трифтормасляную кислоту, полученную в b) выше, указанное в заголовке соединение получали в виде масла. d) (1-метилтио-4-трифторметилкарбазол-2-ил)уксусная кислота Согласно процедуре и с применением относительных соотношений исходных материалов, подобных описанным в примере 26, но с использованием в качестве исходного материала изопропил-(1-метилтио-4-трифторметилкарбазол-2-ил)ацетата, полученного в c) выше, указанное в заголовке соединение получали в виде твердого вещества, плавящегося при 115-120oC, с количественным выходом. Спектр ЯМР (CDCl3, 270 МГц), м.д.:2,39 (3H, синглет), 4,22 (2H, синглет), 7,28-7,56 (4H, мультиплет), 8,28 (1H, дублет, J=8,2 Гц), 8,88 (1H, дублет). Пример 231 (9-Бензил-1-метилтио-4-трифторметилкарбазол-2-ил)уксусная кислота a) Изопропил-(9-бензил-1-метилтио-4-трифторметилкарбазол-2-ил)ацетат Согласно процедуре и с применением относительных соотношений исходных материалов, подобных описанным в примере 4, но с использованием в качестве исходного материала изопропил-(1- метилтио-4-трифторметилкарбазол-2-ил)ацетата, полученного в примере 230 c), указанное в заголовке соединение получали в виде масла с выходом 88%. b) (9-Бензил-1-метилтио-4-трифторметилкарбазол-2-ил)уксусная кислота Согласно процедуре и с применением относительных соотношений исходных материалов, подобных описанным в примере 26, но с использованием в качестве исходного материала изопропил-(9-бензил-1-метилтио-4-трифторметилкарбазол-2-ил)ацетата, полученного в a) выше, указанное в заголовке соединение получали в виде твердого вещества, плавящегося при 166-167oC, с количественным выходом. Спектр ЯМР (CDCl3, 270 МГц), м.д.:1,97 (3H, синглет), 4,24 (2H, синглет), 6,40 (2H, синглет), 7,03-7,56 (9H, мультиплет), 8,36 (1H, дублет, J=8,1 Гц). Пример 232 (4-Метилтиокарбазол-3-ил)уксусная кислота a) Изопропил-(4-метилтиокарбазол-3-ил)ацетат Согласно процедуре и с применением относительных соотношений исходных материалов, подобных описанным в примерах 1a), 34, 35, 36, 1b), 1c), 1d) и 2, но с использованием в качестве исходного материала индол-2-илкарбоновой кислоты указанное в заголовке соединение получали в виде масла. b) (4-Метилтиокарбазол-3-ил)уксусная кислота Согласно процедуре и с применением относительных соотношений исходных материалов, подобных описанным в примере 26, но с использованием в качестве исходного материала изопропил-(4-метилтиокарбазол-3-ил)ацетата, полученного в а) выше, указанное в заголовке соединение получали в виде твердого вещества, плавящегося при 200-210oC (с разложением), с количественным выходом. Спектр ЯМР (CDCl3 + тетрадейтерированный метанол, 270 МГц), м.д.:2,40 (3H, синглет), 4,18 (2H, синглет), 7,20-7,50 (5H, мультиплет), 8,87 (1H, дублет, J=8,0 Гц). Пример 233 (9-Бензил-4-метилтиокарбазол-3-ил)уксусная кислота a) Изопропил-(9-бензил-4-метилтиокарбазол-3-ил)ацетат Согласно процедуре и с применением относительных соотношений исходных материалов, подобных описанным в примере 4, но с использованием в качестве исходного материала изопропил-(4-метилтиокарбазол-3-ил)ацетат, полученный в примере 232 a), указанное в заголовке соединение получали в виде масла с выходом 91%. b) (9-Бензил-4-метилтиокарбазол-3-ил)уксусная кислота Согласно процедуре и с применением относительных соотношений исходных материалов, подобных описанным в примере 26, но с использованием в качестве исходного материала изопропил-(9-бензил-4-метилтиокарбазол-3-ил)ацетат, полученный в a) выше, указанное в заголовке соединение получали в виде твердого вещества, плавящегося при 181-189oC, с количественным выходом. Спектр ЯМР (CDCl3, 270 МГц), м.д.:2,42 (3H, синглет), 4,22 (2H, синглет), 5,51 (2H, синглет), 7,10-7,50 (10H, мультиплет), 8,94 (1H, дублет, J=7,9 Гц). Пример 234 (9-Бензил-1-изoпpoпилтиoкapбaзoл-4-метил-2-ил)метил-1H-тетразол Согласно процедуре и с применением относительных соотношений исходных материалов, подобных описанным в примерах 75, 76 и 77, но с использованием в качестве исходного материала (9-бензил-1-изопропилтио-4-метилкарбазол-2-ил)уксусной кислоты, полученной в примере 218, указанное в заголовке соединение получали в виде твердого вещества, плавящегося при 231-232oC. Спектр ЯМР (тетрадейтерированный метанол, 270 МГц), м.д.:1,03 (6H, дублет, J=6,7 Гц), 2,94 (4H, мультиплет), 4,83 (2H, широкий синглет), 6,43 (2H, широкий синглет), 6,98-7,47 (9H, мультиплет), 8,21 (1H, дублет, J=7,9 Гц). Пример 235 (9-Бензил-4-изопропил-1-изопропилтиокарбазол-2-ил)уксусная кислота a) Изопропил-(9-бензил-4-изопропил-1-изопропилтиокарбазол-2-ил)ацетат Согласно процедуре и с применением относительных соотношений исходных материалов, подобных описанным в примере 216, но с использованием в качестве исходного материала изопропил-(4-изопропил-1-метилтиокарбазол-2-ил)ацетата, полученного в примере 189, указанное в заголовке соединение получали в виде масла с выходом 77%. b) (9-Бензил-4-изопропил-1-изопропилтиокарбазол-2-ил)уксусная кислота Согласно процедуре и с применением относительных соотношений исходных материалов, подобных описанным в примере 26, но с использованием в качестве исходного материала изопропил-(9-бензил-4-изопропил-1-изопропилтиокарбазол-2-ил)ацетата, полученного в а) выше, указанное в заголовке соединение получали в виде твердого вещества, плавящегося при 217-218oC, с количественным выходом. Спектр ЯМР (CDCl3 + тетрадейтерированный метанол в соотношении 20:1 (об. /об.), 270 МГц), м.д.:0,98 (6H, дублет, J=6,8 Гц), 1,50 (6H, дублет, J=6,8 Гц), 2,80 (1H, квинтиплет, J=6,8 Гц), 4,23 (2H, синглет), 3,99 (1H, квинтиплет, J=6,8 Гц); 6,42 (2H, синглет), 7,04-7,42 (9H, мультиплет), 8,20 (1H, дублет, 3=7,9 Гц). Некоторые соединения настоящего изобретения представлены в таблице. Структурные формулы иллюстрируют каждое из соединений вышеприведенных примеров. (см. в конце описания). Соединения данного изобретения можно вводить в любом подходящем виде для желаемого лечения. Например, соединения данного изобретения можно вводить орально в форме таблеток, капсул, гранул, порошков или сиропов или парентерально внутривенной инъекцией или в виде суппозиториев и т.п. Эти фармацевтические готовые формы могут быть получены смешиванием соединений данного изобретения с одним или более адъювантами, такими как наполнители (например, органические наполнители, в том числе производные сахаров, такие как лактоза, сахароза, глюкоза, маннит или сорбит; производные крахмала, такие как кукурузный крахмал, картофельное пюре, альфа-крахмал, декстрин или карбоксиметилкрахмал; производные целлюлозы, такие как кристаллическая целлюлоза, замещенная низшим гидроксипропилом целлюлоза, гидроксипропилметилцеллюлоза, карбоксиметилцеллюлоза, кальций-карбоксиметилцеллюлоза или натрий-карбоксиметилцеллюлоза, имеющая внутренние мостиковые связи; аравийская камедь; декстран и Пуллулан; неорганические наполнители, в том числе силикаты, такие как рыхлый ангидрид кремниевой кислоты, синтетический силикат алюминия или магниевый алюминат метакремниевой кислоты; фосфаты, такие как фосфат кальция; карбонаты, такие как карбонат кальция; и сульфаты, такие как сульфат кальция); смазывающие вещества (например, стеараты металлов, такие как стеариновая кислота, стеарат кальция или стеарат магния; тальк; коллоидный диоксид кремния; воски, такие как пчелиный воск или спермацет; борная кислота; адипиновая кислота; сульфаты, такие как сульфат натрия; гликоль; фумаровая кислота; бензоат натрия; DL-лейцин; соли натрия алифатических кислот; лаурилсульфаты, такие как лаурилсульфат натрия или лаурилсульфат магния; силикаты, такие как ангидрид кремниевой кислоты или гидрат кремниевой кислоты; и указанные выше производные крахмала); связующие вещества (например, поливинилпирролидон, Макрогол; и соединения, подобные описанным выше наполнителям); дезинтегрирующие агенты (например, соединения, сходные с описанными выше наполнителями; и химически модифицированные крахмал-целлюлозы, такие как Кросскармелоза натрия, натрий- карбоксиметилкрахмал или имеющий мостиковые связи поливинилпирролидон); стабилизаторы (например п-гидроксибензоаты, такие как метилпарабен или пропилпарабен; спирты, такие как хлорбутанол, бензиловый спирт или фенилэтиловый спирт; хлорид бензалкония; фенолы, такие как фенол или крезол; тимерозал, дегидроуксусная кислота; и сорбиновая кислота); корригенты (улучшающие вкус и запах вещества) (например, подслащивающие вещества, уксус или отдушки, такие, которые обычно используются); разбавители и т.п. Соединения данного изобретения можно также вводить любым другим подходящим способом, например, парентерально, внутривенно, в виде глазных капель, в виде суппозиториев, кожного пластыря и лекарственных форм с пролонгированным действием, с применением любых подходящих наполнителей, консервантов, ароматизаторов, красителей и других ингредиентов по необходимости и/или по желанию. Доза зависит от состояния и возраста пациента и от пути и типа введения, но, в виде примера, соединения данного изобретения можно вводить перорально с дневной дозой от 0,01 до 1000 мг на кг веса тела (предпочтительно 0,05-200 мг/кг веса тела), либо в виде одной дозы, либо в виде разделенных доз. БИОЛОГИЧЕСКАЯ АКТИВНОСТЬ Соединения данного изобретения могут тестироваться на аллостерическую активность при мускариновых рецепторах m1, как описано ниже, хотя тесты, которые мы описываем, не являются исчерпывающими и можно применять по желанию другие тесты для установления аллостерии. Должно быть понятно, что данное изобретение рассматривает также любые сопутствующие испытания, описанные ниже, а также любые соединения, и применение любых соединений, которые проявляют аллостерическое действие в любом одном или нескольких таких испытанях. В следующих испытаниях необходимо или, по меньшей мере, желательно использовать клеточную линию, которая экспрессирует только один тип мускаринового рецептора, такой как m1, и которая не имеет высокого уровня ацетилхолинэстеразной активности. Подходящей клеточной линией являются клетки яичников китайского хомячка CHO (Chenese Hannste Ovary), которые легко поддаются генной инженерии для экспрессии только одного подтипа рецептора. Получение мембран клеток CHO Для получения большого количества необходимых клеточных мембран используют чашки с зоной культивирования 530 квадратных сантиметров. Клетки CHO, экспрессирующие рецепторы m1, m2, m3 и m4, выращивали отдельно в MEM (минимальной поддерживающей среде) альфа, содержащей 10% сыворотку новорожденного теленка и антибиотики. Когда клетки достигали конфлюэнтности (слияния), их промывали дважды 10 мл 20 мМ HEPES, содержащего 10 мМ ЭДТА (pH 7,4), соскребали в тот же самый буфер и гомогенизировали при помощи гомогенизатора Polytron (товарный знак) (установка 5-6 в течение 5 секунд х 2). Осадки мембран получали центрифугированием (40000хg, 10 минут, 4oC) и ресуспендировали в 20 мМ HEPES-0,1 мМ ЭДТА (pH 7,4). Центрифугирование и ресуспендирование повторяли дважды для промывки клеточных мембран. После измерения мембранного белка мембраны (1 или 2 мг белка/мл) хранили при – 70oC. Ингибирование ацетилхолином (AX) связывания 3H- -метилскополамина (3H-N-MC, 3H-NMS) Хотя прямой тест измеряет связывание AX (ацетилхолина) только для состояния высокой аффинности, непрямой тест измеряет эффекты только при состоянии низкой аффинности. Это достигается включением в тест 0,2 мМ ГТФ. В этом тесте фиксированную концентрацию 3H-NMS (примерно равную величине Kd) инкубируют в отсутствие и в присутствии фиксированной концентрации AX (при приблизительно величине IC50) и действия трех концентраций тестируемого агента измеряют также в отсутствие и в присутствии AX. Действия на связывание одного 3H-NMS рассчитывают следующим образом: связывание в присутствии тестируемого агента выражают в виде процента связывания в его отсутствие, и если действие является ингибиторным, то IC50 определяют графически. Этот тест содержит также одну высокую концентрацию 3H-NMS (4 нМ, приблизительно в 30 раз более Kd), что обеспечивает оценку Bмакс (т. е. максимального связывания). При предположении, что агент действует только аллостерически и модифицирует только аффинность 3H-NMS без влияния на Bмакс, можно оценить аффинность 3H-NMS в присутствии этого агента и, следовательно, его аллостеризм. Выражение действия на связывание “холодного” (не содержащего радиоактивности) AX (Ach) будет объяснено со ссылкой на фиг. 1a, фиг. 1b и фиг. 1c). Эти фигуры показывают теоретические данные и эффекты преобразований, описываемых ниже. На фиг. 1а и 1b 3H-NMS и холодный AX присутствуют при их концентрациях Kd; на фиг. 1a тестируемый агент оказывает отрицательное аллостерическое действие на 3H-NMS, тогда как на фиг. 1b он оказывает положительное аллостерическое действие на 3H-NMS. Левые панели показывают количество 3H-NMS, специфически связанное в этом тесте. Если аффинность AX уменьшается этим тестируемым агентом, как показано в верхних панелях фиг. 1a и 1b, ингибирование ацетилхолином будет снижаться, но извлеченные импульсы радиоактивности будут также зависеть от действия этого агента на связывание одного 3H-NMS. Для расчета действия на связывание AX ингибиторный эффект AX сначала рассчитывают как процент от его собственного контроля в отсутствие AX. Затем предполагается, что частичное ингибирование – это то же самое, что и частичное занятие мест, и ингибирование в присутствии агента выражают в виде процента ингибирования в отсутствие агента. Эффекты этих преобразований показаны в центральных панелях. Выражение ингибирования ацетилхолином в присутствии агента в виде процента ингибирования в отсутствие агента позволяет увидеть действие этого агента на связывание холодного AX в том же самом масштабе, что и действие на связывание 3H-NMS и 3H-Ach (радиоактивного ацетилхолина), и является в целом предпочтительным. Если концентрация 3H-NMS, применяемого в непрямом тесте, равна примерно величине Kd или меньше, описанное выше преобразование обеспечивает количественную или полуколичественную меру действия аллостерического агента. Если используют более высокую концентрацию 3H-NMS или если этот агент оказывает положительное аллостерическое действие на 3H-NMS, то результаты этого преобразования могут ввести в заблуждение. Это демонстрируется на фиг. 1c, где высокая концентрация 3H-NMS и положительный аллостеризм на 3H-NMS заставляют агент иметь ингибиторное действие на связывание ацетилхолина, выраженное в виде процента от контрольного ингибирования, даже хотя этот агент в действительности имеет положительное действие на аффинность ацетилхолина. Эта проблема уменьшается или устраняется оценкой аффинности ацетилхолина и, следовательно, аллостеризма. Предполагается, что ацетилхолин связывается с одним состоянием аффинности, т.е. кривая ингибирования имеет наклон 1, и, таким образом, IC50 рассчитывают из процента ингибирования контрольного связывания. Эту величину используют с оценкой аффинности 3H-NMS, описанной выше, для расчета аффинности ацетилхолина. Аллостеризм тестируемого агента в отношении 3H-NMS и холодного ацетилхолина показан в правых панелях фиг. 1a-1c. Определение аффинных констант (pKi) Если три концентрации агента, используемого в тесте, являются подходящими и агент обладает ингибирующим действием, можно определить среднюю (кажущуюся) аффинность (pKi) агента в конкуренции с 3H-NMS и “горячим” (радиоактивным) и “холодным” ацетилхолином. Описанное преобразование показывает силу (активность) агента независимо от концентраций 3H-NMS и холодного ацетилхолина в тесте и, в случае холодного ацетилхолина, независимо от действия на связывание 3H-NMS, но включает в себя некоторые допущения. Мы предпочитаем считывать данные с графика в виде величин pIC50 и затем превращать их в величины pKi при помощи поправочных коэффициентов (факторов коррекции), произведенных из теории конкурентного антагонизма, – эта коррекция работает также с отрицательными аллостерическими агентами [Ehlert, Mol. Pharmacol. 33, 187, (1988)] . Для того, чтобы сделать поправку на влияние концентрации 3H-NMS, величины pIC50 c 3H-NMS превращают в величины pKi при помощи уравнения Ченг-Пруссоф. Ki=IC50/([3H-NMS]/Kd+1). Равноценный фактор коррекции в присутствии холодного ацетилхолина равен: Ki= IC50/([3H-NMS] /Kd+[Ach] /Ka+1). Часто можно считывать величины pIC50 из графика, поскольку 50% ингибирование не достигается (частое явление в случае слабых агентов), но 50% ингибирование может быть получено с измерением аллостеризма, т.к. в этом случае эту величину считывают из графика в виде величины pKi, без дальнейшего преобразования. Использование нелинейного регрессионного анализа для определения величин pKi и слабого аллостеризма Хотя определение величин pKi из визуального рассмотрения графиков является быстрым и обычно адекватным, существуют два обстоятельства, которые оправдывают использование занимающих большее время процедур вычерчивания кривых по точкам. Во-первых, может существовать ясный и доступный для количественной оценки тренд (тенденция) в данных, даже когда не получено 50% ингибирование. Во-вторых, аспекты этих данных могут предполагать, что данный агент действует как слабоаллостерический агент. Если агент является сильным аллостерическим, или конкурентным, ингибитором, то он должен вызывать максимально 100% ингибирование и его pKi по отношению к 3H-NMS должна быть приблизительно равна его pKi по отношению к горячему или холодному ацетилхолину. Однако слабый аллостерический агент будет максимально ингибировать менее 100% связывания, и величины pKi, просто считываемые из графика, будут недооценивать его истинную pKi. Необходимо, в связи с малочисленностью данных при нормальных тест-условиях, ограничивать наклон кривой ингибирования до единицы, и подогнанные по кривым оценки принимаются только в том случае, если их стандартные ошибки достаточно малы (приблизительно 0,3 log-единиц для pIC50 и 15% для оценки максимального ингибирования). Если данные % ингибирования совпадают, то фактор поправки используют для превращения pIC50 в величины pKi. Процедура Мембраны (10 мкг белка) инкубируют в 1,12 мл (3H-NMS) или 0,25 мл (3H-Ach) в буфере, содержащем 20 мМ HEPES + 100 мМ NaCl + 10 мМ MgCl2 (+ 0,2 мМ ГТФ в тестах 3H-NMS), pH 7,4, при 30oC в течение 2 часов. Связанный радиолиганд собирают фильтрованием через фильтры из стекловолокна Whatman GF/B, пропитанные 0,1% полиэтиленамином, при помощи 30-местного харвестера клеток Brandel и радиоактивность измеряют при помощи жидкостного сцинтилляционного счетчика. Неспецифическое связывание измеряют в присутствии 1 мкМ QNB. План и анализ 3H-NMS-тест содержит 0,2 мМ ГТФ и использует концентрации 3H-NMS приблизительно 4 и 0,15 нМ. Фиксированная концентрация ацетилхолина равна 30 мкМ. Общее и неспецифическое связывание измеряют с 4 нМ 3H-NMS для обеспечения определения Bмакс. С применением 0,15 нМ 3H-NMS измеряют связывание только в присутствии и в отсутствие ацетилхолина и в присутствии трех концентраций каждого из 4 агентов, а неспецифическое связывание измеряют с одним QNB. Каждую точку измеряют в двух повторностях (и в 4 повторностях для 0,15 нМ 3H-NMS одного). Эти данные анализируют, как описано выше, и получают графики с применением программы Minitab. Где это возможно, величины IC50 определяют визуально из графиков. Результаты для некоторых из соединений данного изобретения представлены в таблице активности. Каждое соединение тестировали при 3 мкг/мл. Формула изобретения
![]() где Z обозначает метиленовую группу, метиновую группу, группу формулы или группу формулы =N-;W обозначает метиленовую группу, метиновую группу и атом серы или группу формулы где v = 1 или 2, при условии, что Z не обозначает группу формулы когда W – группа формулы ![]() каждая обозначает ординарную или двойную связь при условии, что когда W – атом серы или группа формулы связь между W и Z обозначает ординарную связь;по меньшей мере один из Y1 – Y4 обозначает группу формулы -(A)p – B1 – T1, где А – атом кислорода, T1 – карбоксильная группа, защищенная карбоксильная группа, защищенная тиокарбоксигруппа, защищенная сульфонамидная группа или тетразолильная группа, B1 – алкиленовая группа, которая имеет 1 – 4 атома углерода, или алкиленовая группа, которая имеет 1 – 4 атома углерода и которая замещена по меньшей мере одним заместителем, выбранным из заместителей , определенных ниже, и p = 0 или 1; любые члены группы Y1 – Y4, которые не определены выше, могут быть одинаковыми или различными и каждый обозначает атом водорода, гидроксильную группу, алкильную группу, имеющую 1 – 6 атомов углерода, алкильную группу, имеющую 1 – 6 атомов углерода и замещенную по меньшей мере одним атомом галогена; алкоксигруппу, имеющую 1 – 6 атомов углерода, алкилтиогруппу, имеющую 1 – 6 атомов углерода, алкилсульфинильную группу, имеющую 1 – 6 атомов углерода, алкилсульфонильную группу, имеющую 1 – 6 атомов углерода, фенильную группу, бензилоксигруппу, или бензилтиогруппу, или Y1 вместе с Y2 могут обозначать кетогруппу;из R1 и R2 один обозначает атом водорода, алкильную группу, имеющую 1 – 6 атомов углерода, алканоильную группу, имеющую 1 – 6 атомов углерода, или бензильную группу, а другой – атом водорода или алкильную группу, имеющую 1 – 6 атомов углерода, или R1 и R2 вместе обозначает группу формулы (I b‘) ![]() в которой R10 – R12 одинаковы или различны и каждый обозначает атом водорода, гидроксильную группу или алкоксигруппу, имеющую 1 – 6 атомов углерода; R3 – атом водорода или аминозащитная группа; заместители – гидроксильные группы, алкоксикарбонильные группы, имеющие 2 – 7 атомов углерода, карбоксильные группы, фенильные группы, которые могут быть незамещенными или замещенными по крайней мере одним заместителем, выбранным из атомов галогена и нитрогрупп, и аралкильные группы, включающие алкил, имеющий 1 – 3 атома углерода, который замещен фенильной группой, которая может быть незамещенной или замещенной по крайней мере одним заместителем, выбранным из атомов галогена и нитрогрупп,и его фармацевтически приемлемые соли и сложные эфиры. 2. Соединение по п.1, в котором W – метиновая группа, метиленовая группа или атом серы. 3. Соединение по п.1, в котором W – метиновая группа. 4. Соединение по п.1, в котором – двойная связь.
5. Соединение по п.1, в котором Т1 – карбоксильная или тетразолильная группа.
6. Соединение по п.1, в котором В1 – алкиленовая группа, которая имеет 1 – 4 атома углерода, или алкиленовая группа, которая имеет 1 – 4 атома углерода и которая замещена по меньшей мере одной аралкильной группой.
7. Соединение по п.6, в котором алкиленовая группа имеет 1 или 2 атома углерода.
8. Соединение по п.1, где p = 0.
9. Соединение по п.1, в котором любые члены группы Y1 – Y4, кроме случаев, когда они определены, являются одинаковыми или различными и каждый обозначает атом водорода, алкильную группу, имеющую 1 – 6 атомов углерода, алкоксигруппу, имеющую 1 – 6 атомов углерода, или алкилтиогруппу, имеющую 1 – 6 атомов углерода.
10. Соединение по п. 1, в котором один из R1 и R2 – атом водорода или алкильная группа, имеющая 1 – 6 атомов углерода.
11. Соединение по п. 1, в котором один из R1 и R2 – атом водорода или алкильная группа, имеющая 1 – 4 атома углерода.
12. Соединение по п. 11, в котором другой из R1 и R2 – атом водорода, алкильная группа, имеющая 1 – 4 атома углерода.
13. Соединение по п.1, в котором R1 и R2 вместе – группа формулы (Ib‘).
14. Соединение по п. 13, в котором R10 – R12 одинаковы или различны и каждый обозначает атом водорода или алкоксигруппу, имеющую 1 – 6 атомов углерода.
15. Соединение по п.1, в котором R3 – бензильная или фенетильная группа.
16. Соединение по п.1, в котором R3 – бензильная или фенетильная группа, замещенная по меньшей мере одним заместителем, выбранным из группы, состоящей из атомов галогена и нитрогрупп.
17. Соединение по п.1, в котором R3 – бензильная группа.
18. Соединение по п.1, в котором R1 – атом водорода, R2 – атом водорода или R1 и R2 вместе – группа формулы (If)![]() R3 – атом водорода, аралкильная группа, включающая алкильную группу, имеющую от 1 до 3 атомов углерода, которая замещена фенильной группой, которая может быть незамещенной или замещенной по меньшей мере одним заместителем, выбранным из заместителей , определенным ниже, или бензоильной группой; Y1 – группа формулы -Е-СООН или Е- Tet, где Tet – тетразольная группа, а Е – алкиленовая группа, которая имеет от 1 до 3 атомов углерода и которая не замещена или замещена по меньшей мере одним из заместителей ![]() , определенным ниже, или оксиалкиленовой группой, которая имеет от 1 до 3 атомов углерода и которая не замещена или замещена по меньшей мере одним из заместителей ![]() , определенным ниже; Y2 – атом водорода, алкильная группа, имеющая 1 – 3 атомов углерода, или алкилтиогруппа, имеющая 1 – 6 атомов углерода, и Y3 – атом водорода или алкильная группа, имеющая 1 – 3 атомов углерода; указанные заместители выбираются из атомов галогена и нитрогрупп; указанные заместители ![]() выбираются из гидроксигрупп, аралкильных групп, включающих алкильную группу, имеющую 1 – 3 атомов углерода, которые замещены фенильной группой, которая может быть незамещенной или замещенной по меньшей мере одним заместителем, выбранным из атомов галогена и нитрогрупп.
19. Соединение по п.18, в котором R1 и R2 вместе – группа формулы (If).
20. Соединение по п.18 или 19, в котором R3 – бензильная группа или бензильная группа, имеющая один или более заместителей .21. Соединение по любому из пп.18 – 20, в котором Y2 – атом водорода или алкилтиогруппа, имеющая 1 – 6 атомов углерода. 22. Соединение по п.21, в котором Y2 – алкилтиогруппа, имеющая 1 – 6 атомов углерода. 23. Соединение по любому из пп.18 – 22, в котором Y3 – алкильная группа, имеющая 1 – 3 атомов углерода. 24. Соединение по любому из пп. 18 – 23, в котором Е – алкиленовая группа, имеющая 1 – 3 атомов углерода, замещенная алкиленовая группа, которая имеет 1 – 3 атомов углерода и замещена по меньшей мере одной аралкильной группой, определенной ниже, оксиалкиленовая группа, имеющую 1 – 3 атомов углерода или замещенная оксиалкиленовая группа, которая имеет 1 – 3 атомов углерода и замещена по меньшей мере аралкильной группой, определенной ниже; указанные аралкильные группы включают алкильную группу, имеющую 1 – 3 атомов углерода, которая замещена фенильной группой, которая может быть незамещенной или замещенной по меньшей мере одним заместителем, выбранным из атомов галогена и нитрогрупп. 25. Соединение по п.24, в котором Е – алкиленовая группа, имеющая 1 – 3 атомов углерода, замещенная алкиленовая группа, которая имеет 1 – 3 атомов углерода и замещена по меньшей мере одной аралкильной группой, определенной в п.24, или оксиалкиленовая группа, имеющая 1 – 3 атомов углерода. 26. Соединение по п.24, в котором Е – алкиленовая группа, имеющая 1 – 3 атомов углерода. 27. Соединение по п.1, выбираемое из группы, включающей (9-бензил-4-метил-1-изопропилтиокарбазол-2-ил)уксусную кислоту; (9-бензил-4-метил-1-н-пропилтиокарбазол-2-ил)уксусную кислоту; (9-бензил-4-метил-1-изобутилтиокарбазол-2-ил)уксусную кислоту; (9-бензил-4-метил-1-метилтиокарбазол-2-ил)уксусную кислоту; (9-бензил-4-метил-1-бензилтиокарбазол-2-ил)уксусную кислоту; (9-бензил-4-метил-1-изопропоксикарбазол-2-ил)уксусную кислоту; (9-бензил-4-метил-1-н-пропоксикарбазол-2-ил)уксусную кислоту; (9-бензил-4-метил-1-изобутоксикарбазол-2-ил)уксусную кислоту; (9-бензил-4-метил-1-метоксикарбазол-2-ил)уксусную кислоту и (9-бензил-4-метил-1-бензилоксикарбазол-2-ил)уксусную кислоту, и их фармацевтически приемлемые соли и эфиры. Приоритет по пунктам и признакам: 27.07.94 по пп.1 – 26, когда Z – метиновая группа, W – метиновая группа, каждая обозначает двойную связь, А – атом кислорода, Т1 представляет карбоксильную группу, защищенную карбоксильную группу или тетразолильную группу, В1 представляет алкиленовую группу, которая имеет 1 – 4 атомов углерода, или алкиленовую группу, которая имеет 1 – 4 атомов углерода и которая замещена по меньшей мере одним заместителем, выбранным из заместителей , определенных ниже, и p = 0 или 1; любые члены группы Y1 – Y4, которые не определены выше, могут быть одинаковыми или различными и каждый обозначает атом водорода, гидроксильную группу, алкильную группу, имеющую 1 – 6 атомов углерода, алкильную группу, имеющую 1 – 6 атомов углерода и замещенную по меньшей мере одним атомом галогена; алкилтиогруппу, имеющую 1 – 6 атомов углерода, один из R1 и R2 обозначает атом водорода, алкильную группу, имеющую 1 – 6 атомов углерода или бензильную группу, другой – атом водорода, алкильную группу, имеющую 1 – 6 атомов углерода, или R1 и R2 вместе обозначают группу формулы (Ib‘), в которой R10 – R12 одинаковы или различны и каждый представляет водород или гидроксильную группу; R3 – атом водорода или аминозащитная группа, заместители – гидроксильные группы, фенильные группы, аралкильные группы, включающие алкил, имеющий 1 – 3 атомов углерода, который замещен фенильной группой, которая может быть незамещенной или замещенной по крайней мере одним заместителем, выбранным из атомов галогена и нитрогруппы и фармацевтически приемлемые соли и сложные эфиры; по п.27 – первые пять по ходу изложения соединения;25.11.94 по пп.1 – 26, когда T1 защищенная тиокарбоксигруппа, защищенная сульфонамидная группа; 27.07.95 по пп.1 – 26 при всех остальных значениях радикалов Z, W, , Y1 – Y4, A, B1, T1, p, R1, R2, R3, R10, R11, R12, , п.27 – шестое-десятое по ходу изложения в этом пункте соединение.
РИСУНКИ
MM4A Досрочное прекращение действия патента Российской Федерации на изобретение из-за неуплаты в установленный срок пошлины за поддержание патента в силе
Дата прекращения действия патента: 28.07.2001
Извещение опубликовано: 10.11.2004 БИ: 31/2004
|
||||||||||||||||||||||||||

обозначает ординарную связь или двойную связь, при условии, что когда W обозначает атом серы или группа формулы: >S –>(O)v, связь
между W и Z обозначает ординарную связь; по меньшей мере один из Y1 – Y4 обозначает группу формулы: -(А)p – B1 – T1, где А – атом кислорода, T1 – карбоксильная группа, защищенная карбоксильная группа, защищенная тиокарбоксигруппа, защищенная сульфонамидная группа или тетразолильная группа, B1 – алкиленовая группа, которая имеет 1-4 атома углерода, или алкиленовая группа, которая имеет 1-4 атома углерода и которая замещена, по меньшей мере, одним заместителем, выбранным из заместителей
, определенных ниже, и р = 0 или 1; возможны и другие сочетания значений Y1 – Y4 которые обозначены в п. 1 формулы изобретения; из R1 и R2 один обозначает атом водорода, алкильную группу, имеющую 1-6 атомов углерода, или бензильную группу, а другой – атом водорода или алкильную группу, имеющую 1-6 атомов углерода, или R1 и R2 вместе – группа формулы (I b’), в которой R10, R11 и R12 одинаковы или различны и каждый обозначает атом водорода, гидроксильную группу или алкоксигруппу, имеющую 1-6 атомов углерода; R3 – атом водорода или аминозащитная группа; заместители 




или группу формулы:
и W обозначает метиленовую группу, атом серы или группу формулы:
где q = 0, 1 или 2, предпочтительно 1 или 2, при условии, что по меньшей мере, один из W и X обозначает метиленовую группу;
или группу формулы: = N-, а W обозначает метиленовую группу, метиновую группу, атом серы или группу формулы;
где v = 1 или 2, при условии, что Z не обозначает группу формулы
когда W обозначает группу формулы 
обозначает ординарную (простую) связь или двойную связь, при условии, что когда W обозначает атом серы или группу формулы:
то
между Z и W обозначает простую связь;
, определенным ниже, алкоксигруппу, имеющую 1-6 атомов углерода, алкилтиогруппу, имеющую 1-6 атомов углерода, алкилсульфинильную группу, имеющую 1-6 атомов углерода, алкилсульфонильную группу, имеющую 1-6 атомов углерода, арильную группу, аралкилоксигруппу, аралкилтиогруппу,
, определенных ниже;
были предпочтительно двойными связями.
Предпочтительно, по меньшей мере, один из Y1 – Y4 обозначает карбоксильную группу, сульфонамидную группу или, предпочтительно, группу формулы; – (A)p-B1-T1.
A предпочтительно обозначает атом кислорода, где он присутствует.
T1 предпочтительно обозначает карбоксильную группу, тиокарбоксигруппу, дитиокарбоксигруппу или тетразолильную группу, предпочтительно карбоксильную группу или тетразолильную группу.
B1 предпочтительно обозначает алкиленовую группу, которая имеет 1-4 атома углерода, или алкиленовую группу, которая имеет 1-4 атома углерода и замещена, по меньшей мере, одной аралкильной группой, хотя мы предпочитаем алкиленовую группу, имеющую 1 или 2 атома углерода.
Предпочтительно, p = 0.
Если любые члены группы Y1 – Y4 имеют не описанные выше значения, предпочтительно, чтобы они были одинаковые или различные и каждый из них обозначал атом водорода, гидроксильную группу, тиоловую группу, алкильную группу, имеющую 1-6 атомов углерода, алкоксигруппу, имеющую 1-6 атомов углерода, алкилтиогруппу, имеющую 1-6 атомов углерода, алкилсульфиниловую группу, имеющую 1-6 атомов углерода, алкилсульфонильную группу, имеющую 1-6 атомов углерода, аралкилоксигруппу, аралкилтиогруппу, причем Y1 вместе с Y2 необязательно обозначает кетогруппу. Особенно предпочтительно, чтобы другие члены из группы Y1 – Y4 были одинаковые или различные и каждый из них обозначал атом водорода, алкильную группу, имеющую 1-6 атомов углерода, алкоксигруппу, имеющую 1-6 атомов углерода, или алкилтиогруппу, имеющую 1-6 атомов углерода.
Один из R1 и R2 предпочтительно обозначает атом водорода, алкильную группу, имеющую 1-6 атомов углерода, или арильную группу, особенно предпочтительно, атом водорода или алкильную группу, имеющую 1-4 атома углерода.
Другой из R1 и R2 предпочтительно обозначает атом водорода, алкильную группу, имеющую 1-6 атомов углерода, или арильную группу, особенно предпочтительно, атом водорода или алкильную группу, имеющую 1-4 атома углерода.
Мы особенно предпочитаем, чтобы R1 и R2 вместе обозначали группу формулы (Ia). Мы также предпочитаем, чтобы R10, R11 и R12, были одинаковые или различные и каждый обозначал атом водорода, атом галогена, алкильную группу, имеющую 1-6 атомов углерода, алкоксигруппу, имеющую 1-6 атомов углерода или алкилтиогруппу, имеющую 1-6 атомов углерода.
R3 предпочтительно обозначает аралкильную группу, в частности, бензильную или фенетильную группу или бензильную или фенетильную группу, замещенную, по меньшей мере, одним заместителем, выбранным из группы, состоящей из атомов галогена и нитрогрупп. Особенно предпочтительно, чтобы R3 представлял собой незамещенную бензильную группу.
Предпочтительно, чтобы в соединениях этого изобретения арильные группы были выбраны из карбоциклических ароматических групп, имеющих 6-10 атомов углерода, и карбоциклических ароматических групп, имеющих 6-10 атомов углерода и имеющих по меньшей мере один заместитель, выбранный из заместителей 
или группу формулы:
где v = 1 или 2;
или = N-;




или группу формулы: 
где q имеет данное выше значение;

(см. ниже), или ароматическую ацильную группу;
, описанных и приведенных в виде примеров ниже. Примеры таких незамещенных групп включают в себя группы фенил, 2-метилфенил, 3-метилфенил, 4-метилфенил, 2-метоксифенил, 3-метоксифенил, 4-метоксифенил, 2-нитрофенил, 3-нитрофенил, 4-нитрофенил, 2-фторфенил, 3-фторфенил, 4-фторфенил, 2-хлорфенил, 3-хлорфенил и 4-хлорфенил. Однако предпочтительны незамещенные группы, в частности, фенильная группа.
Примеры заместителей
-2-метил-2-бутеноил];


или группу формулы: 

(см. ниже), оксиалкиленовую группу, имеющую 1-3 атома углерода, или замещенную оксиалкиленовую группу, которая имеет 1-3 атома углерода и замещена, по меньшей мере, одним из заместителей 





м. д. для каждого из указанных выше соединений были следующими:
или группу формулы =N-;
где v = 1 или 2, при условии, что Z не обозначает группу формулы
когда W – группа формулы 
обозначает ординарную или двойную связь при условии, что когда W – атом серы или группа формулы
связь
между W и Z обозначает ординарную связь;
– двойная связь.
5. Соединение по п.1, в котором Т1 – карбоксильная или тетразолильная группа.
6. Соединение по п.1, в котором В1 – алкиленовая группа, которая имеет 1 – 4 атома углерода, или алкиленовая группа, которая имеет 1 – 4 атома углерода и которая замещена по меньшей мере одной аралкильной группой.
7. Соединение по п.6, в котором алкиленовая группа имеет 1 или 2 атома углерода.
8. Соединение по п.1, где p = 0.
9. Соединение по п.1, в котором любые члены группы Y1 – Y4, кроме случаев, когда они определены, являются одинаковыми или различными и каждый обозначает атом водорода, алкильную группу, имеющую 1 – 6 атомов углерода, алкоксигруппу, имеющую 1 – 6 атомов углерода, или алкилтиогруппу, имеющую 1 – 6 атомов углерода.
10. Соединение по п. 1, в котором один из R1 и R2 – атом водорода или алкильная группа, имеющая 1 – 6 атомов углерода.
11. Соединение по п. 1, в котором один из R1 и R2 – атом водорода или алкильная группа, имеющая 1 – 4 атома углерода.
12. Соединение по п. 11, в котором другой из R1 и R2 – атом водорода, алкильная группа, имеющая 1 – 4 атома углерода.
13. Соединение по п.1, в котором R1 и R2 вместе – группа формулы (Ib‘).
14. Соединение по п. 13, в котором R10 – R12 одинаковы или различны и каждый обозначает атом водорода или алкоксигруппу, имеющую 1 – 6 атомов углерода.
15. Соединение по п.1, в котором R3 – бензильная или фенетильная группа.
16. Соединение по п.1, в котором R3 – бензильная или фенетильная группа, замещенная по меньшей мере одним заместителем, выбранным из группы, состоящей из атомов галогена и нитрогрупп.
17. Соединение по п.1, в котором R3 – бензильная группа.
18. Соединение по п.1, в котором R1 – атом водорода, R2 – атом водорода или R1 и R2 вместе – группа формулы (If)
обозначает двойную связь, А – атом кислорода, Т1 представляет карбоксильную группу, защищенную карбоксильную группу или тетразолильную группу, В1 представляет алкиленовую группу, которая имеет 1 – 4 атомов углерода, или алкиленовую группу, которая имеет 1 – 4 атомов углерода и которая замещена по меньшей мере одним заместителем, выбранным из заместителей
, Y1 – Y4, A, B1, T1, p, R1, R2, R3, R10, R11, R12,